Реферат: Quantization error analysis of the quadrature components of narrowband signals
|
Название: Quantization error analysis of the quadrature components of narrowband signals Раздел: Топики по английскому языку Тип: реферат |
The implementation of filters with digital circuits having finite word-length introduces unavoidable quantization errors. These effects have been widely studied [1–7]. The three common sources of quantization error are: input quantization, coefficient quantization and quantization in arithmetic operations. In [2–4, 6] papers the statistical characteristics of the quantization errors of scalar signals have been studied. The influence of all three sources of quantization errors on performance of a Chebyshev digital third-order highpass filter was investigated in [5] also for the scalar input signals. The quantization errors of complex input signals, which were represented by its inphase and quadrature components were studied in [7] to evaluate the performance of coder/decoders with phase shift keying. However, only computer simulation results were presented in this paper. Usually digital signal processing of narrowband radio signals (i.e. signals for which inequality
Fig. 1. Block diagram of narrowband signals' converter The converter contains two frequency mixtures, two low pass filters (LPF), two analog-to-digital converters (A/D) and a control unit. The quantizing (roundoff) errors of the inphase Xi and the quadrature Yi components are caused by limited bit representation of the code words of these components. To quantitatively evaluate these errors we will transform the quadrature components which have the roundoff errors into the narrowband signal again, and then we will estimate the amplitude and phase errors in this signal in comparison with the input one. For this purpose we will add in the block-diagram in fig. 1 the necessary blocks (the right part of the plot): digital-to-analogue converters (D/A), low pass filters (LPF) which restore the continuous analogue signal, frequency mixtures and adder. Assume all blocks work in ideal mode, don't introduce the delay, then the magnitude of the transfer function of the LPF is
If the Nyquist constraint is valid the values of the restored analogue quadrature components Preliminaries Let
Suppose roundoff errors are independent with zero mean, variance If the input signal
then the output signal
where the values of The vector representation of the
Fig. 2. Vector representation of input and output (distorted) signals Under the assumption about independent random variables Amplitude error analysis of the quantized narrowband signals. The variance of the magnitude
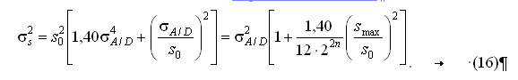
where smax is the maximum available amplitude of the input signals of the A/D converter, n – is the number of bits of the A/D converter. It is interesting to note that quantizing errors exist only when the input signals exists, nevertheless these errors are additive but not multiplicative because the values of these errors depend on the quantizing step The length
where As the amplitude
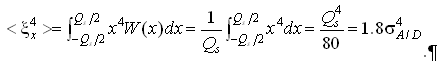
Since for many practical interesting cases
Considering the formulas (4) and (5) we will find the mean of values in formula (8)
The angle
because By inserting the values given by formulas (9)–(11) into the formula (8) we get the mean of the amplitude
Notice that the value of s0 in the formula (12) has to satisfy
as the amplitude of the input signal must exceed the quantization step. Analysis of formula (12) shows that if The variance of amplitude
Supposing that
Where
If we have identical A/D converters, then
Where
Finally we get, considering formula (11) and the fact that
Under the constraint given by formula (12') we get
The last expression means that the variance of the amplitude error of the signal caused by quantization errors of its quadrature components is practically equal to the variance of the quantization error of the A/D converter. Phase error analysis of the quantized narrowband signals The phase error
Let us define the limits of the angle
and from the triangle OAG we get
Transforming formula (18) considering the formula (19) we obtain
It is obvious from formula (20) what the maximum phase error
Inserting these values into formula (20), we get
Transforming in the formula (22) the sum of angles [8] we get
Solving the equation (23) with respect to
It is clear that maximum value of the angle
We have found that maximum phase error does not exceed 53°. Therefore we can replace sin in the formula (17) by its argument (with the error less than 10 %)
The mean of the phase error
where The variance of the phase error can be found from formulas (6) and (9)
Inserting the value of
The maximum value of the phase variance will occur if the input signal has the minimum, given by formula (12')
Fig. 3 shows a plot of phase variance a against number of A/D converter bits for various values of ratio
Fig. 3. Standard deviation of the phase quantization error for different rations
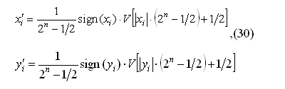
Fig. 4. Standard deviation of the amplitude quantization error as a function of code word length Сomputer simulation of the roundoff errors of the quadrature components. The computer simulation of the quantizing errors of the quadrature components of the narrowband signal was carried out with the intention to check the validity of the obtained formulas (16) and (29). The LFM signal with time-compression ratio 100 was chosen as a narrowband signal. Quantization of the inphase and quadrature components was made in accordance with formulas
where
For each sample of the input signal the quantizing values of inphase and quadrature components were defined and then amplitude and phase of the distorted signal were determined according to formulas
At the same time the phase of the input signal was computed
The phase error was then founded as the difference between Probability distribution laws of the amplitude and phase errors have also been evaluated by the means of computer simulation. For this purpose a LFM signal with time-compression ratio 6 400 was used. Statistical distributions were estimated with usage of 9 600 samples for inphase and 9 600 samples for quadrature components. Thirteen points of these statistical distributions were chosen. The plot of the statistical distribution law .
Fig. 5. Probability distribution laws of the phase error for different word length,
Fig. 6. Probability distribution laws of the amplitude error for different word-length, Conclusion narrowband signal error The results of theoretical analysis and computer simulation of the amplitude and phase errors of the narrowband signal, caused by quantizing of the signal's inphase and quadrature components show that the mean of the amplitude of the distorted signals remains equal to the input amplitude, but the output amplitude becomes fluctuated with the variance, determined by the variance of D/A converter error. The phase error has zero mean, maximum deviation 53° and a variance which is inversely proportional to the number of quantization levels. The results achieved may be used in digital filters' design. r eferences 1. Rabiner, L.R. Theory and Application of Digital Signal Processing / L.R. Rabiner, В. Gold // Englewood Cliffs, NJ. – Prentice-Hall, 2008. 2. Агеев, Р.В. Логарифмическая дискретизация сигналов с заданной абсолютной погрешностью / Р.В. Агеев, Ю.Н. Овчаров // Автометрия. – 2008. – № 6. – С. 23–27. 3. Лифшиц, Н.А.Численные характеристики ошибок квантования амплитуды / Н.А. Лифшиц, В.Е. Фарбер // Автоматика и телемеханика. – 2008. – т. 39, № 12. – с. 176–179. 4. Домрачеев, В.Г. Критерий оценки точности цифровых преобразователей угла / В.Г. Домрачеев, Б.С. Мейко // Измерительная техника. – 2008. – т. 18, № 11. – С. 22–25. 5. Koffler, H. Quantization and roundoff errors in a digital MTI filter, Siemens Forsch. and Entwicklungsber / H. Koffler. – Germany, 2010 – Vol. 2, № 2. – p. 73–78. 6. Snipad, A.B. A necessary and sufficient condition for quantization errors to be uniform and white / A.B. Snipad, D.L. Snyder // IEEE Trans, on Acoust. Speech and Sign. Proc.Vol. – ASSP-25. – 2007. – № 5 (Oct.)–p. 442–448. 7. O'Neal, Iz. Digital encoding of phase shift keying voiceband data signals / Iz. O 'Neal, R.R. Koneru, I.P. Agrawal // Conf. record of Int. Conf. on Acoustics Speech and Signal processing, ICASSP-80. Denver. Co. – 2010. – April 9–11. – P. 315–318. 8. Dvite, G.B. Tables of Integrals and Other Mathematical Data / G.B. Dvite // The Mac Millan Company. – N.Y., 2011. – 634 p. |


, cf. [6]. 

.(7)
, we shall use the decomposition
. (8)
, (9)
. (10)
.(12)
and if the number of bits of the A/D converter 

.
.
.(17)
, (18)
. (19)
. (20)
. (23)
. (24)
. (26)
, (27)




– operator of quantization.


