Курсовая работа: Метод вращений решения СЛАУ
|
Название: Метод вращений решения СЛАУ Раздел: Рефераты по математике Тип: курсовая работа | |||||||||||||||||||||||||||||||||
МИНИСТЕРСТВО ОБРАЗОВАНИЯ РОССИЙСКОЙ ФЕДЕРАЦИИ ГОСУДАРСТВЕННОЕ ОБРАЗОВАТЕЛЬНОЕ УЧРЕЖДЕНИЕ ВЫСШЕГО И ПРОФЕССИОНАЛЬНОГО ОБРАЗОВАНИЯ «МАГНИТОГОРСКИЙ ГОСУДАРСТВЕННЫЙ ТЕХНИЧЕСКИЙ УНИВЕРСИТЕТ им. Г. И. НОСОВА» Кафедра вычислительной техники и прикладной математики КУРСОВАЯ РАБОТА по дисциплине: «Вычислительная математика» на тему: «Метод вращений решения СЛАУ» Исполнитель: Сысоев Н.В,, студент 2 курса, АВ-09-1. Руководитель: Филиппов Е. Г. Магнитогорск, 2011. Введение 1 Теоретический обзор 1.1 Прямые методы 1.2 Метод Гаусса 1.2.1 Описание метода 1.2.2 Сходимость метода простой итерации 1.2.3 Апостериорная оценка погрешности 1.2.4 Пример 1.3 Метод вращений линейных систем 1.3.1 Описание метода 1.3.2 Контроль точности и уточнение приближенного решения в рамках прямого метода 1.3.3 Апостериорная оценка погрешности 1.3.4 Пример 1.4 Метод релаксации 1.4.1 Пример 2 Практическая часть 2.1 Таблица идентификаторов 2.2 Листинг программы 2.3 Пример 2.4 Сравнительная таблица Заключение Библиографический список Введение Как утверждается в книге известного американского математика Валяха, 75% всех расчетных математических задач приходится на решение СЛАУ. Это не удивительно, так как математические модели тех или иных явлений или процессов либо сразу строятся как линейные алгебраические, либо сводятся к таковым посредством дискретизации и/или линеаризации. Поэтому трудно переоценить роль, которую играет выбор эффективного способа решения СЛАУ. Современная вычислительная математика располагает большим арсеналом методов, а математическое обеспечение ЭВМ – многими пакетами прикладных программ, позволяющих решать различные возникающие на практике линейные системы. Чтобы ориентироваться среди методов и программ и в нужный момент сделать оптимальный выбор нужно разбираться в основе построений методов и алгоритмов, учитывающих специфику постановок задач, знать их сильные и слабые стороны и границы применимости. 1 Теоретический обзор1.1 Прямые методыматематический модель итерация погрешность Все методы решения линейных алгебраических задач можно разбить на два класса: прямые и итерационные. Прямые методы – это такие методы, которые приводят к решению за конечное число арифметических операций. Если операции реализуются точно, то и решение также будет точным (в связи с чем к классу прямых методов применяют название точные методы). Итерационные методы – это методы в которых точное решение может быть получено лишь в результате бесконечного повторения единообразных действий. Эффективность способов решения системы
иначе, векторно-матричных уравнений Ах=f, где f=(f1, f2, …,fn)T – вектор свободных членов и х=( х1, х2, …,хn)T – вектор неизвестных, а Так размерность системы (т.е число n) является главным фактором, заставляющим вычислителей отвернуться от весьма привлекательных в теоретическом плане и приемлемых на практике при небольших n формул Крамера. 1.2 Метод Гаусса1.2.1 Описание методаРассмотрим один из самых распространенных методов решения СЛАУ – метод Гаусса. Этот метод (который называют также методом последовательного исключения неизвестных) известен в различных вариантах уже более 2000 лет. Вычисления с помощью метода Гаусса состоят из двух основных этапов, называемых прямым ходом и обратным ходом. Прямой ход метода Гаусса заключается в последовательном исключении неизвестных из системы (1):
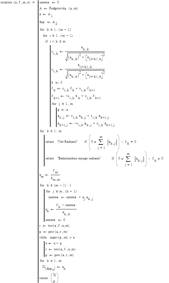
для преобразования её к эквивалентной системе с верхней треугольной матрицей. Вычисления значений неизвестных производят на этапе обратного хода. 1.2.2 Алгоритм.1.2.3 Апостериорная оценка погрешности.1.2.4 Пример1.3 Метод вращений линейных систем1.3.1 Описание метода.Как и в методе Гаусса, цель прямого хода преобразований в этом методе – приведение системы к треугольному виду последовательным обнулением поддиагональных элементов сначала первого столбца, затем второго и т.д.
Пусть с1 и s1 – некоторые отличные от нуля числа. Умножим первое уравнение исходной системы (1) на с1, второе на s1 и сложим их; полученным уравнением заменим первое уравнение системы. Затем первое уравнение исходной системы умножаем на –s1, второе – на c1 и результатом их сложения заменим второе уравнение. Таким образом, первые два уравнения (1) заменяются уравнениями
Отсюда Эти числа можно интерпретировать как косинус и синус некоторого угла В результате преобразований получим систему
где
Далее первое уравнение системы заменяется новым, полученным сложением результатов умножения первого и третьего уравнений соотведлтственно на
а третье – уравнением, полученным при сложении результатов умножения тех же уравнений соответственно на –s2 и с2. Получим систему
где
Выполнив преобразование m-1 раз, придем к системе
Вид полученной системы такой же, как после первого этапа преобразований методом Гаусса. Эта система обладает следующим свойством: длина любого вектора-столбца (эвклидова норма) расширенной матрицы остается такой же, как у исходной матрицы. Следовательно, при выполнении преобразований не наблюдается рост элементов. Далее по этому же алгоритму преобразуется матрица
и т.д. В результате m-1 этапов прямого хода система будет приведена к треугольному виду.
Нахождение неизвестных не отличается от обратного хода метода Гаусса. Треугольная, точнее, трапециевидная структура последней системы позволяет последовательно одно за другим вычислять значения неизвестных, начиная с последнего:
1.3.2 Контроль точности и уточнение приближенного решения в рамках прямого методаПрямые методы часто приводят к точному решению СЛАУ при точном выполнении предусматриваемых соответствующими алгоритмами арифметических операций (без округлений). Реальные же вычисления базируются на арифметике машинных (т.е. усеченных до определенного количества разрядов) чисел. Как отражается на результате решения системы подмена арифметики действительных чисел машинной арифметикой, зависит от самой решаемой системы, параметров применяемого компьютера и системы представления данных, способов реализации алгоритмов. В любом случае, практически вместо точного решения СЛАУ прямой метод дает приближенное решение*) (обозначим его х(0)). Подставив х(0) в выражение ξ:=f-Ax, называемое невязкой, по малости полученного вектора значения ξ(0)=f-Ax(0) можно с осторожностью судить о близости найденого решения x(0) к точному решению x. Если, напимер, || ξ(0)|| - недостаточно малая величина, то следует искать вектор-поправку p такой, что x(0)+р=х есть точное решение системы
Последнее равносильно векторно матричному уравнению Ар = ξ(0). Таким образом, нахождение поправки сводится к решению такой же системы, как и
где в качестве вектора свободных членов должен быть взят вектор невязок. 1.3.3 Апостериорная оценка погрешности.1.3.4 Пример1.4 Метод релаксации1.4.1 Пример2 Практическая часть2.1 Таблица идентификаторов
2.2 Листинг программы
2.3 Пример.
Подсчитаем матрицу неизвестных(Otvet1) и матрицу поправок(Otvet2)
Для сравнения, погрешность метода Гаусса:
Таким образом, можно говорить о том, что, действительно, метод вращений более точен. 2.4 Сравнительная таблицаЗаключениеВ данной работе был рассмотрен метод релаксации решения систем линейных алгебраических уравнений. Была подробно рассмотрена теоретическая часть, из которой выводятся различные формулы для реализации данного метода. А также было выполнено сравнение метода релаксации с методами простой итерации и Зейделя. Программная реализация выше описанных методов представлена в приложении А. По результатам работы можно сделать следующие выводы. Во-первых, скорость сходимости метода релаксации превышает скорости сходимости методов простой итерации и Зейделя. Во-вторых, скорость сходимости напрямую зависит от выбора параметра релаксации. Таким образом, данный метод удобен для решения СЛАУ средней размерности. Еще одно достоинство итерационного метода верхних релаксаций состоит в том, что при его реализации на ЭВМ алгоритм вычислений имеет простой вид и позволяет использовать всего один массив для неизвестного вектора. Библиографический список1) Вержбицкий В. М. Основы численных методов: Учеб. пособие для вузов / В. М. Вержбицкий. - М. : Высш. шк. , 2002. - 840 с. 2) И.Г. Серебренникова, Г.М. Коринченко, Вычислительная математика. МГТУ им Г.И. Носова 2003г. 146с 3) Е. Волков.Численные методы. М.,1987, 248 с. 4) А. И. Плис, Н. А. Сливина. Лабораторный практикум по высшей математике. - М.: "Высшая школа", 1983. 5) Калиткин Н.Н. Численные методы. М.: Наука, 1978, 512 с. 6) Демидович Б.П., Марон И.А. Основы вычислительной математики. -М.: Наука, 1966 г., 664 стр. 7) Фадеев Д.К., Фадеева В.Н. Вычислительные методы линейной алгебры. М. Физматлит, 1960. 8) Воеводин В.В. Вычислительные основы линейной алгебры. - М.: Наука, 1977. - 304 с. 9) А. Самарский. Введение в численные методы. М.,1988, 270 с. |
|||||||||||||||||||||||||||||||||
или



.





















