Контрольная работа: Аудит цикла выпуска и продажи готовой продукции
|
Название: Аудит цикла выпуска и продажи готовой продукции Раздел: Рефераты по бухгалтерскому учету и аудиту Тип: контрольная работа | |||||||||||||||||||||||||||||||||||||||||||||||||||||||||||||||||||||||||||||||||||||||||||||||||||||||||||||||||||||||||||||||||||||||||||||||||||||||||||||||||||||||||||||||||||||||||||||||||||||||||||||||||||||||||||||||||||||||||||||||||||||||||||||||||||||||||||||||||||||||||||||||||||||||||||||||||||||||||||||||||||||||||||||||||||||||||||||||||||||||||||||||||||||||||||||||||||||||||||||||||||||||||||||||||||||||||||||||||||||||||||||||||||||||||||||||||||||||||||||||||||||||||||
ФЕДЕРАЛЬНОЕ АГЕНТСТВО ПО ОБРАЗОВАНИЮ ФИЛИАЛ Федерального государственного образовательного учреждения Высшего профессионального образования "СЕВЕРОЗАПАДНАЯ АКАДЕМИЯ ГОСУДАРСТВЕННОЙ СЛУЖБЫ" в г. Северодвинске ( Филиал СЗАГС в г. Северодвинске (Архангельская область)) КОНТРОЛЬНАЯ РАБОТА по дисциплине: "Основы аудита" Тема: "Аудит цикла выпуска и продажи готовой продукции" Студент Копина Варвара Викторовна Группа 6 ФКТ1 Научный руководитель к. т. н., доцент Походий Вячеслав Иванович Северодвинск 2011 Оглавление Введение 1. Расчет уровня существенности 2. Общий план аудита ООО "ОЛИМПИЯ" 3. Программа аудита цикла выпуска и продажи готовой продукции 4. Анализ основных элементов учетной политики, влияющих на себестоимость готовой продукции 5. Аудит цикла выпуска и продажи готовой продукции Список использованной литературы ВведениеЦель аудита - конкретная задача, на решение которой направлена деятельность аудитора; она определяется законодательством, системой нормативного регулирования аудиторской деятельности, договорными обязательствами аудитора и клиента. Целью аудита согласно закону об аудиторской деятельности в Российской Федерации является выражение мнения о достоверности финансовой (бухгалтерской) аудируемых лиц и соответствии порядка ведения бухгалтерского учета законодательству Российской Федерации. Под достоверностью понимается степень точности данных финансовой (бухгалтерской) отчетности, которая позволяет пользователю этой отчетности на основании ее данных делать правильные выводы о результатах хозяйственной деятельности, финансовом и имущественном положении аудируемых лиц и принимать базирующиеся на этих выводах обоснованные решения. В ходе аудита бухгалтерской отчетности должны быть получены достаточные и уместные аудиторские доказательства, позволяющие аудиторской организации с достаточной степенью уверенности сделать выводы относительно: а) соответствия бухгалтерского учета экономического субъекта документам и требованиям нормативных актов, регулирующих порядок ведения бухгалтерского учета и подготовки бухгалтерской отчетности в Российской Федерации; б) соответствия бухгалтерской отчетности экономического субъекта тем сведениям, которыми располагает аудиторская организация о деятельности экономического субъекта. Мнение аудиторской организации о достоверности бухгалтерской отчетности может способствовать повышению доверия к этой отчетности со стороны пользователей, заинтересованных в информации об экономическом субъекте. Вместе с тем пользователи бухгалтерской отчетности не должны трактовать мнение аудиторской организации как полную гарантию будущей жизнеспособности экономического субъекта либо эффективности деятельности его руководства. Аудиторское заключение, содержащее мнение аудиторской организации о степени достоверности бухгалтерской отчетности, не должно восприниматься как гарантия аудиторской организации того, что какие-либо иные (помимо изложенных в аудиторском заключении) обстоятельства, влияющие или способные повлиять на бухгалтерскую отчетность экономического субъекта, отсутствуют. Цель проверки финансовых отчетов: 1. подтверждение достоверности отчетов или констатация их недостоверности; 2. контроль за соблюдением законодательства и нормативных документов, регулирующих правила ведения учета и составления отчетности, методологии оценки активов, обязательств и собственного капитала; 3. подтверждение полноты, достоверности и точности отражения в учете и отчетности затрат, доходов и финансовых результатов деятельности предприятия за проверяемый период; 4. выявление резервов лучшего использования собственных основных и оборотных средств, финансовых резервов и заемных средств. Основная цель аудита финансовых отчетов - объективная оценка достоверности, полноты и точности отражения в отчетности активов, обязательств, собственных средств и финансовых результатов деятельности предприятия за определенный период, проверка соответствия принятой на предприятии учетной политики действующему законодательству и нормативным актам. Под достоверностью бухгалтерской отчетности понимается такая степень точности данных отчетности, которая позволяет квалифицированному пользователю информации отчетности делать на ее основе правильные выводы о финансовом положении и результатах деятельности аудируемых организаций и принимать соответствующие обоснованные решения. Основная цель аудита может дополняться обусловленными договором с клиентом выявлением резервов лучшего использования финансовых ресурсов, анализом правильности исчисления налогов, разработкой мероприятий по улучшению финансового положения предприятия, оптимизации затрат и результатов деятельности, доходов и расходов. В ходе аудиторской проверки устанавливаются правильность составления баланса, отчета о прибылях и убытках, достоверность пояснений к ним. При этом устанавливают: 1. все ли активы и пассивы отражены в отчете; 2. все ли документы использованы в отчете; 3. насколько фактическая методика оценки имущества отклоняется от принятой при определении учетной политики предприятия. Отчет о прибылях и убытках аудитор проверяет для установления правильности расчета общей (балансовой) и налогооблагаемой прибыли[1] . Объектом исследования при написании контрольной работы является общество с ограниченной ответственностью "Олимпия". Методической и теоретической основой при написании контрольной работы послужили: Федеральный закон "Об аудиторской деятельности"; Федеральные правила (стандарты) аудиторской деятельности; Федеральный закон "О бухгалтерском учете" Положение по бухгалтерскому учету "Учет материально-производственных запасов" ПБУ 5/01; План счетов; и др. Источниками информации для проведения исследования являются бухгалтерская отчетность предприятия за 2009 год: Форма №1 "Бухгалтерский баланс", Форма №2 "Отчет о прибылях и убытках", Учетная политика предприятия; Оборотно-сальдовые ведомости за 2009 год; Оборотно-сальдовые ведомости по счетам 20, 23, 25, 26, 40, 43, 62, 90. 1. Расчет уровня существенностиПланируя аудиторскую проверку, необходимо установить существенность - максимально допустимый размер ошибочной суммы, которая может быть показана в отчетности и рассматривается как несущественная, т.е. не вводящая пользователей в заблуждение. Выберем существенные показатели из бухгалтерской отчетности, которые играют важную роль в характеристике деятельности предприятия: Из баланса предприятия: сумму валюты баланса; величину собственного капитала. Из отчета о прибылях и убытках: сумму выручки; сумму себестоимости проданной продукции, товаров, работ, услуг; сумму прибыли. Критерий уровня существенности примем согласно разделу 2.5.6 Руководства по использованию Международных стандартов аудита для аудита субъектов малого и среднего предпринимательства. Данные представим в табличном варианте. Таблица 1 Расчет уровня существенности
Найдем среднее арифметическое УСi по формуле:
где n - количество УСi.
Отбросим все УСi.,
которые отличаются от
Найдем 2. Общий план аудита ООО "ОЛИМПИЯ"Аудиторская организация должна начинать планировать аудит от написания письма - обязательства и до заключения договора о проведении аудита. Планирование, являясь начальным этапом проведения аудита, состоит в разработке общего плана аудита с указанием ожидаемого объема, графиков и сроков проведения, а также разработке программы, определяющей объем, виды и последовательность осуществления аудиторских процедур, необходимых для формирования объективного и обоснованного мнения о бухгалтерской отчетности организации. Планирование аудита должно проводится в соответствии с общими принципами проведения аудита, а также и со следующими частными принципами: комплексности; непрерывности; оптимальности планирования. Принцип комплексности планирования предполагает обеспечение взаимоувязанности и согласованности всех этапов планирования - от предварительного планирования до составления общего плана и программы аудита. Непрерывность планирования выражается в установлении сопряженных заданий группе аудиторов и увязке этапов планирования по срокам и по смежным хозяйствующим субъектам (структурным подразделениям, выделенным в отдельный баланс, филиалам, представительствам, дочерним организациям). При планировании на длительный период, в случае аудиторского сопровождения экономического субъекта, в течении года аудиторской организации следует своевременно корректировать планы и программы проведения аудита с учетом изменений финансово-хозяйственной деятельности экономического субъекта и результатов промежуточных аудиторских проверок. Принцип оптимальности планирования заключается в том, что в процессе планирования следует обеспечить его вариантность для возможности выбора оптимального варианта общего плана и программы на основании критериев, определенных самой аудиторской организацией. При планировании аудита следует выделить следующие основные этапы: предварительное планирование; подготовка и составление общего плана; подготовка и составление программы аудита. Свою работу начнем с ознакомления с проверяемым экономическим субъектом, для чего изучим учредительные документы, виды деятельности, учетную политику организации и т.д. Объектом аудита является ООО “Олимпия”, учрежденное юридическими лицами "Х", "У" и "Z" в августе 2008 года. Таблица 2 Сведения о ООО "Олимпия"
Бухгалтерский учет ведется с применением смешанной формы учета: журнально-ордерной и автоматизированной. Основным видом деятельности ООО "Олимпия" является производство продукции № 1 и № 2. Составим общий план аудита (Таблица 3). Для этого проанализируем бухгалтерский баланса, а также журнал хозяйственных операции. Таблица 3 Общий план аудита
3. Программа аудита цикла выпуска и продажи готовой продукцииЦелью аудита готовой продукции является установление полноты оприходования готовой продукции, правильности исчисления выручки и себестоимости реализованной продукции. На основании плана работ перед началом аудита составляется программа проверки. По существу, программа аудита является более детальным развитием плана аудита для полного сбора информации. В программе детально описываются все процедуры, необходимые для реализации плана аудиторской проверки. Программа аудита является набором инструкций для аудитора, а также средством контроля и проверки надлежащего выполнения работы. Таблица 4 Программа аудита цикла выпуска и продажи готовой продукции
4. Анализ основных элементов учетной политики, влияющих на себестоимость готовой продукцииНа себестоимость готовой продукции и процесса продаж влияют следующие способы ведения бухгалтерского учета: оценка стоимости материально-производственных запасов (МПЗ), отпускаемых в производство; метод оценки готовой продукции; определение ежемесячной суммы амортизационных отчислений по объекту основных средств; способ распределения общепроизводственных расходов порядок признания выручки организации. Таблица 5 Анализ учетной политики общества
В учетной политике аудируемой организации ООО "Олимпия" Указаны следующие способы ведения бухгалтерского учета: 1. Оценка материально-производственных запасов производится по средней себестоимости. 2. Готовая продукция учитывается по неполной фактической производственной себестоимости. 3. Определение ежемесячной суммы амортизационных отчислений по объекту основных средств производится линейным способом. 4. Порядок признания выручки организации определен по отгрузке продукции. В учетной политике организации выявлено нарушение в пункте, определяющем способ распределения общепроизводственных расходов. Факт распределения общепроизводственных расходов пропорционально заработной плате основных производственных рабочих в учетной политики организации не отражен. аудит выпуск продажа продукция 5. Аудит цикла выпуска и продажи готовой продукцииПроведем аудит цикла выпуска и продажи готовой продукции. Результаты проверки представим в таблице 6. Выручка ООО "Олимпия" определяется по методу отгрузки. Данный факт отражен в Учетной политике предприятия п.44, стр.23. В подтверждение представлена следующая схема учета отражения выручки на счетах: Таблица 6 Схема учета отражения выручки
1. В отчете о прибылях и убытках ООО "Олимпия" выручка составляет 3 558 тыс. руб.
Для подтверждения выручки проанализируем счет 90.1 "Выручка" в корреспонденции со счетом 62 "Расчеты с покупателями и заказчиками" (стр.131; карточка счета 90.1.1; карточка счета 68.2).
Для подтверждения суммы НДС анализируем счет 90.3 "Налог на добавленную стоимость" в корреспонденции со счетом 68 "Расчеты по налогам и сборам" (стр.130). Подтверждаем ставку налога на добавленную стоимость с помощью метода инспектирования. В соответствии с п.3 ст.164 НК РФ налогообложение производится по ставке 18%, с иностранным покупателем - по ставке 0%.
Применяем процедуру пересчет: 3 558 - 3 912 - 354 тыс. руб. 2. Подтверждаем цену единицы продукции. Так как аудит проводится выборочно, то проверяем цену единицы продукции № 2 (стр.147).
Подтверждаем достоверность фактической полной себестоимости единицы готовой продукции (стр.147):
Подтверждаем количество отпущенной продукции методом инспектирования договоров, счетов-фактур и накладной. На основании имеющихся первичных документов (книга продаж) можно сделать вывод, что продукция № 2 отпущена в количестве 3 000 единиц. Подтверждаем достоверность полной фактической производственной себестоимости готовой продукции (стр.147):
Подтверждаем достоверность Согласно учетной политики (стр.22) предприятия для оценки всех материалов при их передаче в производство или на иные цели используется способ ФИФО, т.е. отпуск материально-производственных запасов производится исходя первоочередности по времени приобретения (стр.86). Первоначально было отпущено 1 500 шт. материала "А" на производство продукции №1 по стоимости единицы продукции 200 руб. Подтверждаем правильность отпуска материала методом ФИФО - 1500 шт материала "А" было приобретено у поставщика ПМ-1 01.09.2009 (отражено в журнале операций стр.86, книга покупок стр.138). Далее 197 шт. материала "А" на производство продукции №1 из второй партии по стоимости единицы продукции 205 руб., (стр.51). Подтверждаем правильность отпуска материала методом ФИФО - 1520 шт материала "А" было приобретено у поставщика ПМ-2 01.09.2009 (отражено в журнале операций стр.86, книга покупок стр.138).
1500 х 200 = 300 000 рублей; 197 х 205 = 40 385 рублей. ИТОГО: материала "А" на производство продукции 1 было отпущено по методу ФИФО 1697 шт, на суму 340 385 рублей. Подтверждаем количество и цену материала "А" методом инспектирования первичных учетных документов (договоров, счетов-фактур и накладных на приобретение товаров). Д 20.1 К 10Б 76 000 партия №1 (карточка счета 20) Д 20.1 К 10Б 36 900 партия №2 (карточка счета 20) Первоначально было отпущено 760 шт материала "В" на производство продукции №1 по стоимости единицы продукции 100 руб. Подтверждаем правильность отпуска материала методом ФИФО - 760 шт. материала "Б" было приобретено у поставщика ПМ-1 01.09.2009 (отражено в журнале операций стр.86, книга покупок стр.138). Далее 360 шт. материала "Б" на производство продукции №1 из второй партии по стоимости единицы продукции 102,5 руб., (стр.52). Подтверждаем правильность отпуска материала методом ФИФО - 2540 шт. материала "Б" было приобретено у поставщика ПМ-2 01.09.2009 (отражено в журнале операций стр.86, книга покупок стр.138).
760 х 100 = 76 000 рублей; 360 х 102,5 = 36 900 рублей. ИТОГО: материала "Б" на производство продукции 1 было отпущено по методу ФИФО 1120 шт, на суму 112 900 рублей. Подтверждаем количество и цену материала "В" методом инспектирования первичных учетных документов (договоров, счетов-фактур и накладных на приобретение товаров). ВСЕГО: материала "А" и "Б" отпущено на производство продукции 2817 шт. на сумму 453 285 рублей, что соответствует оборотно-сальдовой ведомости счета 20. Д 20.1 К 70 ( стр.125, стр.127, оборотно-сальдовая ведомость по счету 20) Заработная плата работникам ООО "Олимпия" начисляется исходя из двух систем оплаты труда: сдельной и повременной (стр.8). Данные по оплате труда работников основного производства по продукции №1. Таблица 7
Методом пересчета подтверждаем начисленную сумму заработной платы выборочно Потапову П.Т. и Филимонову Ф. Ф. по Потапову П. Т.: т.к. отработан полностью фонд рабочего времени во всех трех месяцах:
по Филимонову Ф. Ф.:
Филимонов Ф.Ф. в течении 2 месяцев производил равные объемы продукции №1. по Следовательно,
Тогда доход с нарастающим итогом данных работников составит:
Налоговый вычет в размере 400 руб., предусмотренный п.3 статьи 218 НК РФ, начиная с третьего месяца, данному работнику не предоставлялся, хотя доход, исчисленный нарастающим итогом с начала налогового периода, не превысил 40 000 рублей. Налоговый вычет в размере 1000 рублей на ребенка налогоплательщика предоставлялся в соответствии с НК РФ.
Налоговый вычет в размере 400 руб. данному работнику не предоставлялся начиная с первого месяца в нарушение п.3 статьи 218 НК РФ, т.к. доход за первый месяц не превысил 40000 рублей. Подтверждаем нарушение правомерности предоставления налоговых вычетов и определения налогооблагаемой базы методом пересчета (53).
Проверяем правильность определения НДФЛ и суммы к выплате работникам методом пересчета (стр.53).
Д 20.1 К 69 ( стр.54) В 2009 году для всех плательщиков ЕСН применялись следующие % ставки: в ПФ РФ 20,0 %, в ФСС РФ 2,9%, в ФОМС 1,1%, в ТФОМС 2,0%. Страховой тариф от несчастных случаев на производстве составлял в размере 0,6%. Проверяем общую сумму уплаты ЕСН:
Д 20.1 К 02 ( стр.57) Определение ежемесячной суммы амортизационных отчислений по объекту основных средств производится способом уменьшаемого остатка. А = ПС * Na где ПС - первоначальная стоимость основного средства; Nа - норма амортизации. Методом инспектирования установлено, что все данные отражены в инвентарных карточках. Подтверждаем правильность расчета амортизации методом пересчета (стр.46): Станок робот для выпуска продукции №1. Код ОКПФ 14 2922030:
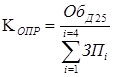
212217 * 5,6 = 4421,19 руб. сумма амортизации за один месяц (стр.96). Д 20.1 К 25 ( стр.141) Подтверждаем правильность распределения общепроизводственных расходов, учтенных за квартал. В качестве критерия распределения общепроизводственных расходов принимается распределение данной группы расходов пропорционально основной заработной плате труда основных производственных рабочих. Для этого воспользуемся формулой для нахождения коэффициента ОПР:
Сумма заработной платы за квартал подтверждена методом пересчета (стр.53):
Подтвердим оборот по дебету счета 25 методами инспектирования и пересчета (аналогично счету 20) (стр.68; стр.128) ОбД25 =520 376,62 руб. Отсюда,
Сумма ОПР, распределяемая на себестоимость продукции 2:
Д 20.1 К 26 ( стр.68, стр.129) Аналогично проверяем достоверность распределения общехозяйственных расходов.
Тогда,
Достоверность ОбД счета 26 подтвердили. Пересчитываем полную фактическую производственную себестоимость готовой продукции (стр.72):
Отсюда, Подтверждаем достоверность прибыли на единицу продукции:
Подтверждаем достоверность НДС за единицу продукции:
Тогда
Подтверждаем достоверность списания готовой продукции по нормативной полной фактической себестоимости (стр.69):
нормативная полная себестоимость единицы продукции 1. Следовательно, нормативная себестоимость изготовленной партии продукции 1:
Нормативная себестоимость реализованной партии продукции 1:
Аналогично подтверждаем достоверность списания готовой продукции №2 по нормативной полной фактической себестоимости. Итоговая таблица поведенного аудита ООО "Олимпия" Таблица 8 тыс. руб.
Список использованной литературы1. Об аудиторской деятельности: Федеральный Закон от 30.12.2008 г. № 307 ФЗ // СПС Консультант Плюс; 2. Приказ Минфина РФ от 29.11.2004 г. № 330. 3. Федеральные правила (стандарты) аудиторской деятельности (утв. Постановлением Правительства РФ от 23 сентября 2002 г. № 696 // СПС Консультант Плюс; 4. О мерах по обеспечению проведения обязательного аудита (вместе с "Правилами проведения открытого конкурса по отбору аудиторской организации для осуществления обязательного ежегодного аудита организации, доля государственной собственности или собственности субъекта Российской Федерации в уставном (складочном) капитале которой составляет не менее 25 процентов): Постановление Правительства РФ от 30.11.2005 № 706. // СПС Консультант Плюс; 5. О лицензировании аудиторской деятельности: Постановление Правительства РФ от 29.03.2002 № 190 (ред. от 26.01.2007) // СПС Консультант Плюс; 6. Об утверждении федеральных правил (стандартов) аудиторской деятельности: Постановление Правительства РФ от 23.09.2002 № 696 (ред. от 25.08.2006) // СПС Консультант Плюс; 7. Международные стандарты аудита и Кодекс этики профессиональных бухгалтеров (1999). - М.: МЦРСБУ, 2000. 8. Кодекс этики аудиторов России (одобрен Минфином РФ 31.05.2007, протокол № 56) // СПС Консультант Плюс; 9. Бухгалтерский учет: Учебное пособие / В.И. Походий - 3-е изд. Перераб. и доп. - СПб: СЗАГС, 2009. - 203 с. 10. Цели и задачи аудита // http://exsolver. narod.ru/Books/Other/Audit/c5.html [1] Цели и задачи аудита // http: //exsolver. narod.ru/Books/Other/Audit/c5.html |
|||||||||||||||||||||||||||||||||||||||||||||||||||||||||||||||||||||||||||||||||||||||||||||||||||||||||||||||||||||||||||||||||||||||||||||||||||||||||||||||||||||||||||||||||||||||||||||||||||||||||||||||||||||||||||||||||||||||||||||||||||||||||||||||||||||||||||||||||||||||||||||||||||||||||||||||||||||||||||||||||||||||||||||||||||||||||||||||||||||||||||||||||||||||||||||||||||||||||||||||||||||||||||||||||||||||||||||||||||||||||||||||||||||||||||||||||||||||||||||||||||||||||||

, где
(руб.) 
;