Дипломная работа: Совершенствование и развитие ценовой стратегии предприятия
|
Название: Совершенствование и развитие ценовой стратегии предприятия Раздел: Рефераты по финансовым наукам Тип: дипломная работа | |||||||||||||||||||||||||||||||||||||||||||||||||||||||||||||||||||||||||||||||||||||||||||||||||||||||||||||||||||||||||||||||||||||||||||||||||||||||||||||||||||||||||||||||||||||||||||||||||||||||||||||||||||||||||||||||||||||||||||||||||||||||||||||||||||||||||||||||||||||||||||||||||||||||||||||||||||||||||||||||||||||||||||||||||||||||||||||||||||||||||||||||||||||||||||||||||||||||||||||||||||||||||||||||||||||||||||||||||||||||||||||||||||||||||||||||||||||||||||||||||||||||||||||||||||||||||||||||||||||||||||||||||||||||||||||||||||||||||||||||||||||||||||||||||||||||||||||||||||||||||||||||||||||||||||||||||||||||||||||||||||||||||||||||||||||||||||||||||||||||||||||||||||||||||||||||||||||||||||||||||||||||||||||||||||||||||||||||||||||||||||||||||||||||||||||||||||||||||||||||||||||||||||||||||||||||||||||||||||||||||||||||||||||||||||||||||||||||||||||||||||||||||||||||||||||||||||||||||||||||||||||||||||||||||||||||||||||||||||||||||||||||||||||||||||||||||||||||||||||||
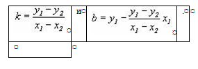
Содержание Введение 1. Теоретические основы ценовой стратегии предприятия 1.1 Концепция ценовой стратегии и ее роль в деятельности предприятия 1.2 Виды и характеристика ценовых стратегий 1.3 Ценовые стратегии в антикризисном управлении 2. Анализ формирования и структуры розничных цен в ООО «Ремкомплект» 2.1 Анализ финансового состояния предприятия 2.2 Анализ факторов, влияющих на ценовую политику предприятия 2.3 Анализ методики ценообразования предприятия 2.4 Недостатки действующей ценовой стратегии предприятия 3. Методы повышения эффективности ценовой стратегии ООО «Ремкомплект» в условиях кризиса 3.1 Предложения по совершенствованию ценовой стратегии ООО «Ремкомплект» 3.2 Использование экономико-математического моделирования в управлении ценовой политикой ООО «Ремкомплект» 3.3 Анализ эффективности предложенных мероприятий Заключение Список использованной литературы Затронувший Россию мировой экономический кризис отрицательно отразился на многих предприятиях. В связи с этим большинство предприятий сейчас сосредоточилось на тактических антикризисных мерах – и это, безусловно, правильный шаг. Но опыт показывает, что любые кризисы обычно благополучно заканчиваются, а пик напряженности, как правило, не так продолжителен, как может казаться в самом начале кризиса. Во время кризисов затраты компаний растут, а потребители, выбирая товары, все больше ориентируются на цены. В условиях экономического спада установление правильных цен — непростая задача: спрос сокращается, образуются излишки мощностей, а потребители начинают приобретать товары по более низкой цене. Все эти факторы тянут цены вниз. Чаще всего при экономическом спаде затраты на сырье, другие исходные материалы и на обслуживание покупателей стабилизируются или даже падают из-за замедления деловой активности. В итоге падение розничных цен компенсируется, хотя бы частично, уменьшением затрат в сфере поставок и производства. Однако сейчас не только снижается спрос со стороны конечных потребителей, но и растут цены на сырье, как и их волатильность. Из-за этого особенно трудно поддерживать цены. Как решать эту проблему? Из-за резкого изменения спроса и структуры затрат ранее предсказуемые механизмы рыночного ценообразования дают сбой. Чтобы правильно реагировать на эти колебания, нужно хорошо понимать, какие экономические факторы сильнее всего влияют на развитие предприятия. Необходимо уделять больше внимания поддержанию прибыльности отдельных клиентов и операций, учитывать меняющиеся запросы потребителей и их чувствительность к ценам, а также лучше понимать микроэкономические факторы, воздействующие на их отрасль и на бизнес поставщиков. В работе предлагается рассмотреть несколько тактических приемов, помогающих найти баланс между объемом продаж и уровнем прибыльности в трудных экономических условиях. Предприятию необходимо тщательно анализировать свою ценовую политику, особенно те методы, которые приводят к сокращению выручки, — скидки при покупке большого количества или оплате наличными, бонусы, а также затраты на обслуживание, в том числе на послепродажную поддержку и транспортные расходы. В условиях спада, из-за роста издержек и падения спроса, эти факторы оказывают более сильный и быстрый эффект, чем прежде. К примеру, при стремительном удорожании топлива резко увеличиваются транспортные расходы. Вследствие падения спроса некоторые потребители получают чрезмерные скидки, если они приобретают сразу много товаров. Ведущие компании гораздо чаще, чем остальные, пересматривают фактический уровень своей прибыльности, чтобы понять, сколько реально они зарабатывают на каждой сделке, и соответственно корректируют ценовую политику, например, включают стоимость топлива в каждый заказ. В период экономической нестабильности важно учитывать все аспекты сделки, ведь потеря на каждом из них может быстро уничтожить прибыль. Также предприятию необходимо оценивать чувствительность потребителей к ценам. Резкий рост цен на энергоносители и продовольствие заставил потребителей быть разборчивее к ценам. После каждого повышения цен на предметы первой необходимости, такие как продукты питания и топливо, им приходится выкраивать на них дополнительную часть своего бюджета. Уже через несколько месяцев рыночные цены меняются, а данные их анализа устаревают. Чтобы вести верную ценовую политику, оценивать чувствительность потребителей к ценам и анализировать цены нужно постоянно. Ценообразование в России сегодня является одной из наиболее значимых проблем производственно-хозяйственной деятельности любого предприятия. Повышается важность и сложность решений по ценам, меняется значение цены в экономических процессах, возникают принципиально новые подходы к ценообразованию. Уровень и поведение цен характеризуют состояние рынка, меняя уровень и соотношение цен, можно влиять на состояние целевого рынка. Например, продуманной дифференциацией цен на товар, возможно, значительно увеличить объем спроса и, соответственно, выручку. Цена является не только элементом маркетинга, но и финансовой категорией, которая оказывает влияние на основные результаты деятельности предприятий. Экономисты сталкиваются со сложной задачей установления той оптимальной цены, которая бы устраивала как производителя, так и потребителя. Исследованию проблем, связанных с ценообразованием, посвящены труды таких отечественных ученых как П.Н. Шуляк, И.В. Липсиц, В.П. Кодацкий, И.К. Салимжанов, А.Н. Цацулин, Е.С. Стоянова, Э.А. Уткин, Е.И. Лукин, В. Слепов, Б. Попов и других. Среди зарубежных специалистов следует выделить Ф. Кот-лера, Ж.-Ж. Ламбена, Дж. Эванса, Б. Бермана, П.Р. Диксона. Этими авторами рассматриваются и изучаются основные методы и приемы коммерческого ценообразования, анализируются экономические основания и последствия выбора различных вариантов ценовой политики предприятия, рассматривается взаимосвязь ценообразования с остальными элементами маркетинга. При подготовке выпускной квалификационной работы мы не могли не учитывать сложившуюся ситуацию, поэтому работа содержит не только комплекс подходов и технологий разработки и реализации стратегии, но и рекомендации по особенностям стратегического развития в нестабильных условиях кризиса. Кризис не только приносит много проблем, но и дает новые возможности для развития предприятии – при оперативной адаптации к изменениям на рынке и грамотном анализе ситуации компания может не только не потерять, но и усилить свои позиции, данное обстоятельство обуславливает актуальность темы выпускной квалификационной работы и определяет ее цели и задачи. Целью выпускной квалификационной работы является разработка конкретных рекомендаций по совершенствованию методики ценообразования на предприятии ООО «Ремкомплект». Для достижения поставленной цели в работе предполагается решить ряд задач, а именно: - дать определение цены как экономической категории, изучить ее структуру и виды цен, принятых в рыночной экономике; - изучить цели, задачи, элементы ценовой политики предприятия, а также методы ценообразования, применяемые с учетом стратегии развития предприятия; - дать характеристику деятельности и основным финансово-экономическим показателям анализируемого предприятия; - оценить динамику и структуру сбыта продукции предприятия, привести причины изменения уровня среднереализационных цен предприятия; - обосновать ценовую стратегию предприятия с использованием метода маржинального анализа (система «затраты-выпуск-прибыль»), выделить возможные пределы маневрирования ценой на продукцию; - посредством факторного анализа изучить степень влияния изменения уровня цен на финансовые показателей деятельности анализируемого предприятия; - провести маркетинговый анализ, в том числе ценовой политики, на примере регионального рынка; - определить направления повышения эффективности ценовой политики предприятия за счет использования методов экономико-математического планирования цен, а также использования маркетинговых коммуникаций. Объектом исследования выпускной квалификационной работы является процесс установления цены на продукцию ООО «Ремкомплект». Предметом деятельности ООО «Ремкомплект» являются: оптовая, розничная и комиссионная торговля всеми видами товаров на территории Российской Федерации и за рубежом; информационно-вычислительное обслуживание; погрузочно-разгрузочные и транспортно-экспедиционные работы; оказание автотранспортных услуг, производство и реализация товаров народного потребления, продукций производственно-технического назначения; оказание услуг связи; организация торговых точек (магазинов, лотков, прилавков и т.п.), строительная, ремонтно-строительная деятельность, строительство за счет собственных средств на условиях подряда, субподряда, долевого участия объектов производственного, социально-культурного, научно-технического, туристического, жилого, медицинского, агропромышленного и иного назначения, а также выпуск соответствующих видов продукции, товаров и услуг на основе эксплуатации перечисленных объектов; общестроительные работы; подготовка проектно-сметной документации; производство строительных материалов; открытие торговых точек. Исследование ценовой политики предприятия в рамках дипломной работы проводилось посредством применения группы общенаучных методов, методов финансового анализа и правового регулирования. К числу методов финансового и экономического анализа относятся метод трендового анализа, группировки, коэффициентный и факторный анализ. Методологическую основу исследования составляет экономическая теория, выработанная отечественной и зарубежной наукой в области исследования сущности цены и рыночного механизма ее регулирования, научные труды ученых - экономистов по вопросам стратегического управления деятельностью предприятий и коммерческого ценообразования, а также инструктивные материалы, нормативные акты и документы, информационные материалы внутренней отчетности предприятий. Информационную базу составили законодательные и нормативные акты РФ и РБ и данные периодической печати. Практическая значимость работы состоит в том, предложенная в работе методика формирования, выбора и анализа ценовой стратегии позволит предприятиям различных форм собственности разработать оптимальную стратегию ценообразования, отражающую реальные возможности конкретного предприятия. Структура работы. Выпускная квалификационная работа состоит из введения, трех глав, заключения, списка литературы, приложений. Объем работы 96 страниц, список использованной литературы 39 наименований. 1. Теоретические основы ценовой стратегии предприятия 1.1 Концепция ценовой стратегии и ее роль в деятельности предприятия Каждое предприятие самостоятельно устанавливает цены на свой товар, руководствуясь сформированной по собственному мнению ценовой стратегией и полагаясь на собственные знания и практические навыки. Суть ценовой стратегии состоит в установлении на товары предприятия таких цен и умении варьировать ими в зависимости от спроса на рынке, чтобы овладеть его определенной частью, обеспечить намеченный объем прибыли и решать иные стратегические и оперативные задачи предприятия. Ценовая стратегия предприятия определяется в первую очередь ее собственным потенциалом, наличием достаточного капитала, квалифицированностью кадров, организацией деятельности, а не только состоянием спроса и предложения на рынке. Даже имеющийся спрос надо уметь удовлетворить, причем в нужное время, в нужном объеме, в нужном месте и при обеспечении необходимого рынку качества продукции. Вместе с этим, политика цен и управление ценообразованием играют настолько важную роль в деятельности предприятия, что это является одним из основных моментов его стратегического развития. С целью разработки качественной стратегии ценообразования фирмы необходимо отработать сбор информации о рынке, его исследования, подготовку и предложение новых товаров, а также оптимальную организацию сбыта. На основании анализа собранной информации о рынке предприятие разрабатывает свою стратегию ценообразования [29, с. 217]. На политику цен большое влияние оказывают руководители службы сбыта, заведующие производством, руководители финансовых отделов, бухгалтерия. Поэтому вопросами разработки ценовой политики предприятия занимаются наряду с планово-экономическими службами и маркетинговые отделы. В составе основных элементов ценовой политики предприятия присутствуют блоки, представляющие собой этапы маркетинговых исследований [18, с. 156]. Алгоритм построения ценовой стратегии на предприятии можно представить в следующей последовательности: - поставка задач ценообразования; - определение спроса; - оценка затрат; - анализ цен и затрат конкурентов; - выбор метода ценообразования; - установление остаточной цены. Рассмотрим особенности осуществления каждого шага в стратегии ценообразования более конкретно. 1. Постановка задач ценообразования. Прежде всего, фирма должна решить, каких целей она хочет достигнуть при помощи конкретного товара. Если выбор целевого рынка и рыночное позиционирование тщательно продуманы, тогда подход к формированию комплекса маркетинга, включая и проблему цены, достаточно ясный. 2. Определение спроса. Рынки бывают различных типов, каждый из которых ставит свои задачи в сфере ценообразования и от которых зависит ценовая стратегия продавца: рынок чистой конкуренции, олигополия, монополистическая конкуренция, монополия. Тип рынка, на котором функционирует фирма, влияет и на ее подходы к ценообразованию, однако в любом случае фирме важно знать спрос на свой товар, поскольку спрос - одни их существенных ценообразующих факторов [19, с. 97]. Важной характеристикой спроса является его эластичность, то есть чувствительность потребителей к изменению цен на данный товар. Эластичность как показатель определяется по формуле:
где
Эластичность спроса относительно цены показывает относительное изменение объема спроса под влиянием изменения цены на 1%. Чувствительность потребителей к ценам определяется рядом психологических и экономических факторов. Например, чувствительность покупателей к изменению цены будет ниже, если: - продукт расположен на рынке отдельно от других (нет аналогов); - потребителю не известны товары-заменители; - потребителям сложно сравнить качество разных взаимозаменяемых товаров; - затраты потребителей на товар сравнительно невысоки в сопоставлении с их доходами; - потребитель может часть затрат на покупку товара разделить с кем-нибудь другим; - товар реально использовать в систем в ранее купленными товарами; - товары приписывается высокое качеств, особый престиж, исключительность [26, с. 174]. Чем менее эластичен спрос, тем высшую цену может установить продавец товара. И наоборот, чем эластичен ее спрос, тем больше основания у фирмы использовать политику снижения цен на свою продукцию, поскольку это приведен к увеличению объемов сбыта. Это особенно выгодно, если увеличение производства ведет общей экономии в расходах. Определенный на основе ценовой эластичности спрос определяет верхнюю границу цены. На спрос, кроме цены, могут оказывать влияние и иные факторы, например, увеличение рекламы, и становится невозможным определить, какая часть увеличения спроса поясняется снижением цены, а какая - увеличением рекламы. Таким образом, спрос, как правило, определяет максимальную цену, которую фирма может назначить на свой товар. 3. Оценка расходов. Минимальная цена определяется расходами фирмы. Компания стремиться установить на товар такую цену, чтобы она полностью покрывала все затраты по его производству, распределению и сбыту, включая прибыль. Поэтому в процессе формирования ценовой политики важное значение приобретает процесс формирования прогнозной величины затратной части цены. Упростить выполнение этого процесса можно путем использования результатов стратегического анализа себестоимости продукции. Во время проведения такого анализа осуществляется прогнозирование каждой затратной составной части себестоимости, анализируются ее прогнозные уровня и планируются мероприятия по снижению затрат предприятия на производство и реализацию продукции в прогнозируемом периоде. 4. Анализ цен и товаров конкурентов. На установление среднего диапазона цен влияют цены конкурентов и их рыночные реакции. Необходимо знать цены и качество товаров своих конкурентов. Для проведения такого анализа фирма может использовать один из следующих способов: 1) поручить своим представителям, сделать сравнительные закупки, чтобы сопоставить цены и качество товаров между собой; 2) получить прейскуранты конкурентов, закупить их оборудование и разобрать его; 3) попросить покупателей высказаться по поводу того, как они воспринимают цены и качество товаров конкурентов [18, с. 124]. Знания о ценах и товарах конкурентов фирма может использовать как отправную точку для потребностей собственного ценообразования. Если ее товар аналогичен товарам основного конкурента, тогда его цена близка к цене товара этого конкурента. По сути, фирма пользуется ценой для позиционирования своего предложения относительно предложения конкурентов. Для принятия своевременных решений в сфере ценообразования необходимо владеть достоверной информацией о ходе реализации товаров конкурентов. Главным результатов анализа сбора информации о ценах должно стать сокращение количества непредвиденных ситуаций в сфере ценовой политики конкурентов и минимизация собственных затрат. Даже любые действия конкурента по смене цен могут вызвать у предприятия значительные затраты (недополучение прибыли в случае повышения цен конкурентами и утрата части рынка при снижении ими цен). 4. Выбор метода ценообразования. В целом все методы ценообразования можно разделить на затратные и маркетинговые. В каждую из указанных групп входит значительное количество методов, каждый из которых имеет свои позитивные и негативные стороны. Механизм ценообразования на уровне предприятий, как правило, очень простой и недостаточно гибкий для условий постоянного изменения спроса. Эти определяется отсутствие на потребительском рынке отдельных видов товаров (которые быстро реализуются в условиях фиксированной в данном временном интервале цены) и проблемы с затовариванием предприятия другими видами товаров (цена на которые несколько выше, нежели платежеспособный спрос на них). Фирма надеется, что выбранный метод дает возможность правильно рассчитать конкретную цену. Действующие методики определения цены учитывают следующие возможные варианты: слишком низкая цена, возможная цена и слишком высокая цена (см. табл. 1). ценообразование антикризисный управление финансовый Таблица 1.Основные критерии установления цены в экономике
В целом существуют две группы методов ценообразования [35, с. 108]: 1) затратные методы ценообразования; 2) маркетинговые методы ценообразования. В Приложении 1 приведена детальная классификация методов установления цены, используемых в практической деятельности предприятий. В Приложении 2 приводится характеристика наиболее распространенных в отечественных условиях методов ценообразования. 5. Установление остаточной цены. Цель всех методов ценообразования - сузить диапазон цен, в пределах которого была выбрана окончательная цена товара. Однако перед назначением окончательной цены фирма должна рассмотреть ряд дополнительных условий, к которым принадлежат: - психология ценовосприятия. Продавец должен учитывать психологические факторы цены. Много потребителей смотрят на цену как на показатель качества. Цена престижа или психологическая цена могут использовать в комплексе с другими методами ценообразования; - политика цен фирмы. Цену необходимо проверить на соответствие установкам политики цен, которую практикует предприятие; - влияние цены на других участников рыночной деятельности. Необходимо учитывать реакцию на цену со стороны других участников рыночной деятельности, знать законы страны, которые применяются для установления цен, и быть уверенным с правильности выбранной ценовой политики; - ценообразование в пределах номенклатуры - фирма должна разработать систему цен, которая бы обеспечивала бы получение максимальной прибыли по номенклатуре в целом; - установление цен за географическим принципом предусматривается принятие решений об установлении фирмы разных стран для потребителей в разных странах; - установление цен со скидками. На решения руководства предприятия относительно политики ценообразования осуществляют влияние внутренние и внешние факторы. Маркетинговые цели и расходы фирмы служат приблизительным ориентиром для определения цен на товары и услуги. Перед тем, как установить конечную цену, фирма учитывается также степень государственного регулирования, уровень и динамика спроса, характер конкуренции, потребности оптовых и розничных торговцев, которые продают товар конечному потребителю. В общем виде, система факторов, обуславливающая изменение уровня цен, представлена в Приложении 3. В качестве вывода, можно отметить следующее. Стратегия ценообразования является важным составным элементом общей системы управлением предприятием. Она выражается в установлении на товар такой цены и умении варьировать ими так, чтобы занимать или удерживать определенную часть рынка и решать стратегические и тактические задачи. Цена - это инструмент, посредством которого предприятие максимизирует свою прибыль. Последовательно ценовой стратегия состоит в реализации ряда этапов: поставка задач ценообразования; определение спроса; оценка затрат; анализ цен и затрат конкурентов; выбор метода ценообразования; установление остаточной цены. На формирование цены оказывают влияние институциональные условия, факторы спроса, конкурентные условия формирования цены, издержки производства, каналы продвижения и реализации продукции. 1.2 Виды и характеристика ценовых стратегий Предприятие самостоятельно определяет схему разработки ценовой стратегии исходя из целей и задач развития фирмы, организационной структуры и методов управления, установившихся традиций на предприятии, уровня издержек производства и других внутренних факторов, а также состояния и развития предпринимательской среды, т.е. внешних факторов. При разработке ценовой стратегии обычно решаются следующие вопросы: - в каких случаях необходимо использовать при разработке ценовую стратегию; - когда необходимо отреагировать с помощью цены на рыночную политику конкурентов; - какими мерами ценовой стратегии должно сопровождаться введение на рынок нового продукта; - по каким товарам из продаваемого ассортимента необходимо изменить цены; - на каких рынках надо проводить активную ценовую политику, изменить ценовую стратегию; - как распределить во времени определенные ценовые изменения; - какими ценовыми мерами можно усилить эффективность сбыта; - как учесть в ценовой стратегии имеющиеся внутренние и внешние ограничения предпринимательской деятельности и ряд других. Процесс разработки и реализации ценовой стратегии предприятия можно представить схематично (см. рис. 1). Предприятие разрабатывает ценовую стратегию исходя из особенностей товара, возможностей изменения цен и условий производства (издержек), ситуации на рынке, соотношения спроса и предложения [23, с. 56-57]. Предприятие может выбирать пассивную ценовую стратегию, следуя за «лидером в ценах» или основной массой производителей на рынке, или попытаться реализовать активную ценовую стратегию, учитывающую, прежде всего его собственные интересы. Выбор ценовой стратегии, кроме того, во многом зависит от того, предлагает ли предприятие на рынке новый, модифицированный или традиционный товар [29, с. 45]. При выпуске нового товара предприятие выбирает, как правило, одну из следующих ценовых стратегий. Стратегия «снятия сливок». Суть ее заключается в том, что с самого начала появления нового товара на рынке на него устанавливается максимально высокая цена в расчете на потребителя, готового купить товар по такой цене. Снижение цен имеет место после того, как спадет первая волна спроса. Это позволяет расширить зону продажи – привлечь новых покупателей.
Рис. 1. Процесс разработки ценовой стратегии предприятия Такая ценовая стратегия имеет ряд преимуществ: - высокая цена позволяет легко исправить ошибку в цене, так как покупатели более благосклонно относятся к снижению цены, нежели к ее повышению; - высокая цена обеспечивает достаточно большой размер прибыли при относительно высоких издержках в первый период выпуска товара; - повышенная цена позволяет сдерживать покупательский спрос, что имеет определенный смысл, так как при более низкой цене предприятие не смогло бы полностью удовлетворить потребности рынка в связи с ограниченностью своих производственных возможностей; - высокая первоначальная цена способствует созданию имиджа качественного товара у покупателей, что может облегчить его реализацию в дальнейшем при снижении цены; - повышенная цена способствует увеличению спроса в случае престижного товара. Основным недостатком такой стратегии ценообразования является то, что высокая цена привлекает конкурентов – потенциальных производителей аналогичных товаров. Стратегия «снятия сливок» наиболее эффективна при некотором ограничении конкуренции. Условием успеха является также наличие достаточного спроса. Стратегия проникновения (внедрения) на рынок. Для привлечения максимального числа покупателей предприятие устанавливает значительно более низкую цену, чем цены на рынке на аналогичные товары конкурентов. Это дает ему возможность привлечь максимальное число покупателей и способствует завоеванию рынка. Однако такая стратегия используется только в том случае, когда большие объемы производства позволяют возмещать общей массой прибыли ее потери на отдельном изделии. Реализация такой стратегии требует больших материальных затрат, чего не могут позволить себе мелкие и средние фирмы, поскольку они не располагают возможностями быстро расширить производство. Стратегия дает эффект при эластичном спросе, а также в том случае, если рост объемов производства обеспечивает снижение издержек [23, с. 109-123]. Стратегия психологической цены основана на установлении такой цены, которая учитывает психологию покупателей, особенности их ценовосприятия. Обычно цена определяется в размере чуть ниже круглой суммы, у покупателя при этом создается впечатление очень точного определения затрат на производство и невозможности обмана, более низкой цены, уступки покупателю и выигрыша для него. Учитывается также и тот психологический момент, что покупатели любят получать сдачу. На самом же деле в выигрыше оказывается продавец за счет увеличения количества проданной продукции и соответственно суммы полученной прибыли. Стратегия следования за лидером в отрасли или на рынке предполагает, что цена на товар устанавливается исходя из цены, предлагаемой главным конкурентом, обычно ведущей фирмой отрасли, предприятием, доминирующим на рынке. Нейтральная стратегия ценообразования исходит из того, что определение цены на новую продукцию осуществляется на основе учета фактических издержек ее производства включая среднюю норму прибыли на рынке или в отрасли по формуле: Ц = С + А + Р (С+А), (2) где С – издержки производства; А – административные расходы и расходы по реализации; Р – средняя норма прибыли на рынке или в отрасли. Стратегия установления престижной цены основана на установлении высоких цен на изделия очень высокого качества, обладающие уникальными свойствами. Выбор одной из перечисленных стратегий осуществляет руководство предприятия в зависимости от целевого ряда факторов: - скорости внедрения на рынок нового товара; - доли рынка сбыта, контролируемой данной фирмой; - характера реализуемого товара (степень новизны, взаимозаменяемость с другими товарами и т.д.); - периода окупаемости капитальных вложений; - конкретных условий рынка (степень монополизации, ценовая эластичность спроса, круг потребителей); - положения фирмы в соответствующей отрасли (финансовое положение, связи с другими производителями и т.п.). Ценовые стратегии на товары, реализуемые на рынке относительно продолжительное время, могут также ориентироваться на различные виды цен. Стратегия скользящей цены предполагает, что цена устанавливается почти в прямой зависимости от соотношения спроса и предложения и постепенно снижается по мере насыщения рынка (особенно оптовая цена, а розничная цена может быть относительно стабильной). Такой подход к установлению цены применяется чаще всего по изделиям массового спроса. В этом случае тесно взаимодействуют цены и объемы выпуска товаров: чем больше объем производства, тем больше у предприятия (фирмы) возможностей снизить издержки производства и, в конечном счете, цены. Приданной стратегии ценообразования необходимо: - помешать появлению на рынке конкурента; - постоянно заботиться о повышении качества продукции; - снижать издержки производства [13, с. 205]. Долговременная цена устанавливается на товары массового спроса. Действует она, как правило, длительное время и слабо подвержена изменениям. Цены потребительского сегмента рынка устанавливаются на одни и те же виды товаров и услуг, которые реализуются различным социальным группам населения с неодинаковым уровнем доходов. Такие цены могут, например, устанавливаться на различные модификации легковых автомобилей, на авиабилеты и т.д. Важно при этом обеспечить правильное соотношение цен на различные изделия и услуги, что составляет определенную трудность. Стратегия гибкой цены основана на ценах, которые быстро реагируют на изменения соотношения спроса и предложения на рынке. В частности, если имеют место сильные колебания спроса и предложения в относительно короткие сроки, то применение этого вида цен оправданно, например, при продаже некоторых продуктов питания (свежей рыбы, цветов и т.д.). Использование такой цены эффективно при небольшом числе уровней управленческой иерархии на предприятии, когда права по принятию решения по ценам делегированы самому нижнему уровню управления. Стратегия преимущественной цены предусматривает определенное понижение цены на товары предприятием, которое занимает доминирующее положение (доля рынка 70–80%) и может обеспечить значительное снижение издержек производства за счет увеличения объемов выпуска и экономии на расходах по реализации товаров. Основная задача предприятия – воспрепятствовать внедрению на рынок новых конкурентов, заставить их платить слишком большую цену за право внедрения на рынок, что по карману далеко не каждому конкуренту [32, с. 221]. Стратегия установления цен на изделия, снятые с производства, выпуск которых прекращен, предполагает не распродажу по сниженным ценам, а ориентацию на строго определенный круг потребителей, нуждающихся именно в этих товарах. В таком случае цены выше, чем на обычные товары. Например, при производстве запасных частей к легковым автомобилям и грузовикам самых разных марок и моделей (включая снятые с производства). Существуют определенные особенности установления цен, обслуживающих внешнеторговый оборот. Внешнеторговые цены определяются, как правило, на базе цен основных мировых товарных рынков. На экспортируемые товары внутри страны устанавливаются специальные цены для поставки на экспорт. Например, для продукции машиностроения, поставляемой на экспорт, до последнего времени применялись надбавки к оптовым ценам за экспортное и тропическое исполнение. По некоторым видам дефицитной продукции при поставке на экспорт к ценам добавляется таможенная пошлина. На импортные потребительские товары во многих случаях устанавливаются свободные розничные цены исходя из соотношения спроса и предложения. 1.3 Ценовые стратегии в антикризисном управлении В сфере антикризисного управления ценовая политика организации имеет очень большое значение, так как именно от нее во многом зависит устойчивое финансовое положение фирмы. Причинами финансового кризиса на предприятии могут стать и общий спад рынка, и неправильно выбранная стратегия развития, и неэффективная работа менеджмента. Независимо от этого для вывода компании из кризиса можно использовать универсальные инструменты: снижение затрат, стимулирование продаж, оптимизацию денежных потоков, работу с дебиторами и реструктуризацию кредиторской задолженности [15, с. 77]. Скорость и методы преодоления кризиса во многом зависят от того, каковы причины его возникновения и как быстро он будет выявлен. В процессе развития финансового кризиса можно выделить четыре его основные стадии: - снижение эффективности использования капитала, сокращение рентабельности и абсолютных значений объемов прибыли; - возникновение убыточности производства; - отсутствие собственных средств и резервных фондов, резкое снижение платежеспособности компании. Зачастую это сопровождается значительным сокращением производства в силу того, что часть оборотных средств направляется на обслуживание возросшей кредиторской задолженности; - состояние острой неплатежеспособности. У предприятия нет возможности профинансировать производство и осуществлять платежи по предыдущим обязательствам. Возникает реальная угроза приостановки или даже полного прекращения производства, а затем банкротства. Основным критерием приближающегося финансового кризиса служит динамический рост просроченной кредиторской задолженности, а также частое превышение лимитов по отгрузке товаров покупателям и несоблюдение ими установленных сроков оплаты [12, с. 290]. Еще один показатель, постоянно контролируемый после кризисной ситуации - остатки складских запасов и их динамика. В период кризиса предприятия сталкиваются с тем, что при значительном объеме средств обездвиженных в складских запасах, реализация практически остановилась, поскольку на складе товар был либо не тот, либо неудовлетворительного качества с точки зрения потребительского спроса. Выход из кризиса возможен только при устранении причин его появления. Для этого необходимо провести тщательный и всесторонний анализ внешней и внутренней среды, выделить те компоненты, которые действительно имеют приоритетное значение для предприятия (запасы, оборудование, ключевой персонал), собрать информацию по каждому компоненту, а также оценить реальное положение предприятия. Комплексная диагностика возможных причин развития кризиса на предприятии включает: анализ эффективности текущей стратегии и ее функциональных направлений (стратегия в области управления финансами, продажами и производством). Для этого проводится мониторинг изменения ключевых показателей деятельности компании по функциональным направлениям; анализ конкурентных преимуществ компании, ее сильных и слабых сторон, а также возможностей и угроз (SWOT-анализ); анализ конкурентоспособности цен и издержек предприятия. Для этого проводятся периодические маркетинговые исследования и оперативный мониторинг работы конкурентов. В силу своей трудоемкости большинство из перечисленных процедур, за исключением мониторинга ключевых показателей деятельности, не могут осуществляться ежемесячно. Можно порекомендовать проводить диагностику ежегодно или в случаях, когда существенно изменяются внешние и внутренние условия работы предприятия [14, с. 300]. Можно диагностировать начало серьезного кризиса на предприятии, если в течение нескольких кварталов подряд оно не получает прибыли. Однако в современных компаниях эта величина, отражаемая в бухгалтерской отчетности, весьма условна, поэтому ее можно определить только на основании консолидированной отчетности всех юридических лиц, имеющих отношение к предприятию. Для исправления кризисной ситуации необходимо предпринять следующие шаги: - постановка диагноза и признание кризисной ситуации; - определение кризисного «очага». Это могут быть как устаревшие технологические процессы, неуправляемый рост издержек так и некорректное позиционирование товара на рынке; - выработка методов «лечения»; - формирование укрупненного плана по выходу из кризиса. Очевидно, что для того, чтобы повысить рентабельность продаж и в дальнейшем увеличить приток денежных средств, необходимо снизить затраты. В условиях кризиса сокращение издержек - один из наиболее действенных инструментов, которым предприятие может успешно воспользоваться для стабилизации финансового положения [28,с. 101]. Основные инструменты, которые можно применять в компании в неблагоприятных финансовых условиях, - нормирование всех статей затрат и жесткий контроль исполнения установленных нормативов. Одна из широко распространенных ошибок заключается в том, что в условиях кризиса многие компании пытаются увеличить приток поступления денежных средств, поднимая цену на продукцию без предварительного исследования рынка. Активизация продаж в ситуации кризиса должна выражаться в развитии отношений с существующими клиентами и привлечении новых, предложении рынку новой продукции, а также в пересмотре существующей системы скидок и льгот для покупателей [10, с. 5]. Для этого можно порекомендовать пересмотр ассортиментной и ценовой политик компании. Необходимо оценить точку безубыточности для каждой категории товаров и сопоставить ее с данными об объемах продаж за несколько предыдущих периодов. Если точка безубыточности выше объемов продаж какого-либо из наименований продукции, то следует пересмотреть ценовую политику [22, с. 200]. Также необходимо было увеличивать оборот по прибыльным товарным позициям. Собственных средств на развитие и активизацию продаж не хватало, а в банковских кредитах предприятию было отказано. Необходимые средства удалось изыскать за счет использования такого инструмента, как факторинг, что хотя и снизило рентабельность отдельных операций, но позволило значительно сократить финансовый цикл, увеличив при этом объем продаж и общую прибыль. Факторы, под воздействием которых находится предприятие при выборе способа ценообразования на свой товар: 1) фактор ценности - это фактор, который определяет способность товара в определенной степени удовлетворить потребности покупателей. Для того чтобы согласовать цену и полезность товара, можно: - придать товару большую ценность; - дать разъяснения для покупателя с помощью рекламы о ценности товара; - скорректировать цену определенным образом, чтобы она отвечала настоящей ценности товара; 2) фактор затрат - это фактор, основой которого служат затраты и прибыль, составляющие минимальную цену товара. Самый простой способ образования цены: к известным издержкам и расходам прибавить приемлемую норму прибыли. Но даже если цена покрывает исключительно расходы, нет никакой гарантии, что товар будет куплен. В результате некоторые предприятия становятся банкротами (рынок может оценить их товары ниже, чем стоят производство и продажа); 3) фактор конкуренции - этот фактор оказывает сильное влияние на ценовую политику. Можно назначить высокую цену, чтобы спровоцировать всплеск конкуренции, или минимальную, чтобы устранить ее. Если товар можно произвести особым методом производства или он очень сложен для производства вообще, то низкие цены не смогут привлечь к нему конкурентов, но высокие цены подскажут конкурентам, чем им стоит заняться; 4) фактор стимулирования сбыта - в цену товара включается наценка, которая окупает мероприятия по стимулированию рынка. Когда товар выпускается на рынок, то рекламе нужно перейти порог восприятия, прежде чем потребители узнают о нем. Средства, затраченные на стимулирование сбыта, должны полностью окупаться за счет продаж товара; 5) фактор распределения - распределение товара оказывает значительное влияние на его цену. Чем ближе товар к потребителю, тем дороже для предприятия его распределение. То есть, если товар будет напрямую поступать к потребителю, то каждая сделка становится отдельной операцией. Деньги, которые предназначены поставщику, получает производитель, но его издержки возрастают. Этот метод хорош тем, что возможен полный контроль над продажами и маркетингом; 6) фактор общественного мнения - обычно люди имеют некоторое представление о цене товара. Это не зависит от того, является он потребительским или промышленным. Покупая товар, они руководствуются некоторыми границами цен (ценовым радиусом), которые определяют, по какой цене они готовы купить товар; 7) фактор обслуживания - обслуживание участвует в предпродажном, продажном и послепродажном этапах сделки. Цена товара также должна включать расходы на обслуживание [13, с. 112]. 2. Анализ формирования и структуры розничных цен в ООО «Ремкомплект» 2.1 Анализ финансового состояния предприятия Общество с ограниченной ответственностью «Ремкомплект» (ООО «Ремкомплект»), зарегистрировано Постановлением Главы администрации г. Белорецк от 10.12.2004 г. № 1608. Юридический адрес ООО «Ремкомплект»: Россия, г. Белорецк, ул. Славы, д.14. Данное предприятие является юридическим лицом с момента его государственной регистрации, обладает обособленным имуществом на праве частной собственности, имеет самостоятельный баланс, расчетный счет, круглую печать, товарный знак и иные реквизиты. Целью создания ООО «Ремкомплект» является более полное насыщение рынка запасными частями и расходными материалами к автомобилям для удовлетворения потребностей организаций и физических лиц, а также создания дополнительных рабочих мест и получения дополнительной прибыли. Предприятие имеет достаточно большие перспективы развития, так как довольно прочно заняло свою нишу на рынке запасных частей к отечественным и импортным автомобилям, о чем свидетельствует открытие филиалов, а также цеха по изготовлению резиновых запасных частей к автомобилям. В 2007 году ООО «Ремкомплект» открыл на своей территории Станцию технического обслуживания автомобилей. Создание ООО «Ремкомплект» характеризовалось развитием инструментов контроля: управление активами, обязательствами и оборотным капиталом через трансфертное ценообразование, распределением ответственности и переходом от политики повышения объема продаж к политике прибыльности, с ориентацией на доходность. Главным принципом работы Общества является принцип повышения доходности. Деятельность Общества опирается на специфику компании с учетом: - использования информационных систем, исходя из специфики процессов; - использования новых технологий; - сокращения процессов, дающих низкую прибыль и высокие издержки управления; - постоянного поиска повышения эффективности деятельности; - поиска новых видов деятельности. Предметом деятельности предприятия является: осуществление хозяйственной, коммерческой и торгово-закупочной деятельности, розничная торговля. ООО «Ремкомплект» осуществляет следующие основные виды деятельности: - гарантийное обслуживание и ремонт автомобилей; - оказание услуг гражданам, предприятиям, организациям в предпродажной подготовке, техническом обслуживании и ремонте легковых автомобилей; реализация автомобилей и запасных частей к ним; - изготовление запасных частей и другой собственной продукции и их реализация; проведение технических экспертиз, с оформлением документов по возмещению ущерба, связанного с ремонтом и восстановлением автомобилей; - торговля грузовыми автомобилями, прицепами, полуприцепами, мотоциклами, мотороллерами, мотоблоками, мопедами, велосипедами и запчастями к ним; - выполнение строительно-монтажных работ, в том числе возведение несущих ограждающих конструкций зданий и сооружений; - осуществление строительных и пусконаладочных работ; - реконструкция объектов, монтаж, техническое обслуживание и ремонт оборудования автосервиса; - транспортно-экспедиционное обслуживание; - комиссионная торговля автомобилями и запасными частями, а также иными промышленными товарами; - абонементное обслуживание и страхование автомобилей через страховые компании; - изготовление сальников, пыльников, отбойников для автомобилей. Ассортимент реализуемой продукции представлен запасными частями к различным модификациям отечественных грузовых автомобилей, качество и цены товаров доступны большинству покупателей с разным уровнем потребностей и возможностей. Поставки запчастей осуществляются небольшими оптовыми фирмами, ценовой сегмент – эконом-класс и средний класс. ООО «Ремкомплект» имеет крупных постоянных поставщиков из разных регионов России, а также несколько мелких. Предприятие заключило с рядом поставщиков постоянные договоры на поставку продукции, другие поставляют товар на основе разовых соглашений. Как правило, ООО «Ремкомплект» работает с оптовыми поставщиками товаров, напрямую с производителями товаров договоров немного, что объясняется отсутствием производства в нашем городе. Покупателями ООО «Ремкомплект» являются в большей степени население, а также различные предприятия. Следует отметить, что компания имеет широкий круг покупателей среди всех слоев населения, а также постоянных клиентов. Это можно объяснить тем, что предприятие имеет строгую специализацию, занимается реализацией широкого круга товаров; ее ассортимент превышает 25 товарных групп, а общее количество наименований товаров более 2000. Компания оказывает также ряд сопутствующих услуг: упаковка, доставка товара. ООО «Ремкомплект» обязано в соответствии с Уставом: выполнять обязательства, вытекающие из законодательства Российской Федерации и заключенных им договоров, заключать трудовые договоры, полностью и в срок рассчитываться с работниками предприятия по заработной плате и социальным пособиям, осуществлять все виды обязательного страхования, своевременно предоставлять декларацию о доходах и бухгалтерскую отчетность, уплачивать налоги в соответствии с налоговым законодательством. Анализ динамики основных показателей хозяйственной деятельности ООО «Ремкомплект» позволяет сделать определенные выводы. Торгово-хозяйственная деятельность ООО «Ремкомплект» характеризуется следующими показателями (см. табл. 2). Таблица 2Динамика основных технико-экономических показателей ООО «Ремкомплект»
Данные, приведенные в таблице 2 показывают, что доходы предприятия стабильно растут, так, в 2007 г. выручка от реализации возросла на 3114 тыс. р. по сравнению с 2006 г. а в 2008 г. – на 2916 тыс.р. по сравнению с 2007 г. Соответственно и затраты на реализацию продукции имеют тенденцию к росту. В 2007 г. они возросли на 2152 тыс.р., по сравнению с 2006 г., в 2008 г. – на 1741 тыс.р. или на 17,8% по сравнению с 2007 г. Всего за 2008 г. рост выручки фирмы по отношению к 2006 году составил 61,9%. Затраты в целом возросли в 2008 г. по отношению к 2006 г. на 51,1%. В связи с опережающим ростом доходов против роста затрат на реализацию продукции, в 2007 г. себестоимость на 1 рубль реализованной продукции предприятия снизилась на 2 копейки или на 2,6% по сравнению с 2006 г., в 2008 г. данный показатель сократился еще на 3 копейки по сравнению с 2007 г. Нужно отметить, что прибыль от реализации продукции возросла на 596 тыс.р. в 2007 г. по сравнению с 2006 г., в 2008 г. она сократилась на 563 тыс. р. или на 38,9% по сравнению к 2007 г. Аналогичную тенденцию изменения имеет показатель рентабельности реализованной продукции, в 2007 году уровень рентабельности возрос с 8,8% до 11,3%, а в 2008 году снизился до 5,6%. Среднесписочная численность работников предприятия возросла на 1 человека в 2007 г. по сравнению с 2006 г. и на 4 человека в 2008 г. по сравнению с 2007 г. Производительность труда работников предприятия возросла в 2007 г. на 215,4 тыс.руб./чел. или на 24,2% по сравнению с 2006 г., в 2008 г уменьшилась – на 292,5 тыс.р./чел. или на 18,2% по сравнению с уровнем 2007 г. Прирост заработной платы за период составил в среднем 42,4% в год. Среднегодовая стоимость основных производственных фондов предприятия возросла в 2007 г. на 82 тыс.р. по сравнению с 2006 г., и в 2008 г. на 664 тыс.р. по сравнению с предыдущим годом. Уровень фондоотдачи средств возрос в 2007 г. на 2,2 р. по сравнению с 2008 г., и сократился на 3,3 р. в 2008 г. по сравнению с 2007 г. Как видно из таблицы 2, наиболее успешным был для предприятия 2007г., т.к. на этот год приходится наибольший объем прибыли от реализации продукции, показатель среднегодовой производительности труда работников, уровень фондоотдачи основных производственных фондов. В целом показатели выручки от реализации продукции, работ, услуг ООО «Ремкомплект» за 2006-2008 гг. свидетельствуют о наращивании масштабов торговой деятельности организации. Себестоимость продукции, представляя собой затраты предприятия на производство и обращение, служит основой из мерения расходов и доходов, т.е. самоокупаемости - основополагающего признака хозяйственного рыночного расчета. Изучение себестоимости продукции позволяет дать более правильную оценку уровню показателей прибыли и рентабельности, достигнутому на предприятиях. Высокий уровень издержек объясняется низким уровнем наценки на товары. Это делается в целях поддержания конкурентоспособности торговых точек. Доля издержек обращения снижается, что является результатом учета и экономии расхода финансовых ресурсов. Проведем анализ по методике ФСФО по данным Бухгалтерской баланса (см. Приложение 4), Отчета о прибылях и убытках за 2007-2008 гг. (см. Приложение 5,6). Таблицу с расчетами из-за большого размера выносим в Приложение 7. Как видно из Приложения 7, среднемесячная выручка характеризует объем доходов организации, доходы увеличились с 1933 тыс. руб. в 2006 и 1973 тыс. руб. в 2007г., до 2520 тыс. руб. в 2008г. Динамика положительная, что говорит об увеличении прибыли и о хорошем финансовом состоянии организации. Доля денежных средств в выручке дает представление о конкурентоспособности и степени ликвидности продукции организации, динамика показателя отрицательная, что говорит о снижении уровня ликвидности. Общая степень платежеспособности характеризует общую ситуацию с платежеспособностью организации, для расчетов со всеми обязательствами организации необходимо было в 2007г. -1,59 месяца, в 2008г. – 4,03 , а в 2008г. уже – 3,03,чтобы погасить задолженность перед другими организациями 2007г. -1,9 месяца, в 2008г. – 2,9 , а в 2008г. уже – 1,06, перед фискальными органами: 2007г. -0,105 месяца, в 2008г. – 0,08 , а в 2008г. уже – 0,12 . Показатели увеличиваются, что говорит об отрицательной динамике, ухудшении финансового состояния организации. Коэффициент внутреннего долга значительно вырос с 0,02 в 2006г., 0,017 в 2007г., до 0,28 в 2008г. Представим наглядно отрицательную динамику показателей платежеспособности организации в диаграмме (см. рис. 2), где по оси Х откладываем год, по оси Y – значение показателя. Степень платежеспособности по текущим обязательствам характеризует ситуацию с текущей платежеспособностью организации, объемами ее краткосрочных заемных средств и сроками возможного погашения текущей задолженности организации перед ее кредиторами, в 2006 г. организации для погашения краткосрочных обязательств необходимая выручка собиралась за 1,5 месяца, в начале анализируемого периода 3,52 месяца, а в конце уже 1,75 месяцев, то есть положение стабилизировалось, хотя по сравнению с 2006г. наблюдается некоторое замедление оборачиваемости капитала.
Рис. 2. График показателей платежеспособности ООО «Ремкомплект» Степень платежеспособности по текущим обязательствам характеризует ситуацию с текущей платежеспособностью организации, объемами ее краткосрочных заемных средств и сроками возможного погашения текущей задолженности организации перед ее кредиторами, в 2006 г. организации для погашения краткосрочных обязательств необходимая выручка собиралась за 1,5 месяца, в начале анализируемого периода 3,52 месяца, а в конце уже 1,75 месяцев, то есть положение стабилизировалось, хотя по сравнению с 2006г. наблюдается некоторое замедление оборачиваемости капитала. Коэффициент покрытия текущих обязательств оборотными активами показал, что сумма текущих обязательств, которые покрываются оборотными активами организации, увеличилась до 2,17 на конец анализируемого периода, что говорит об увеличении уровня ликвидности активов. Кроме того, показатель характеризует платежные возможности организации при условии погашения всей дебиторской задолженности и реализации имеющихся запасов. Наличие собственного оборотного капитала говорит о повышении финансовой устойчивости, хотя в 2007г. показатель значительно меньше, чем в 2006г.(2092 тыс. руб. в 2007г и 564 тыс. руб. в 2007г., в 2008г уже 1316 тыс. руб.), что говорит об увеличении размера внеоборотных активов. Динамику показателей К12 и К13 можно отобразить наглядно в виде диаграммы (см. рис. 3), где по оси Х откладываем год, по оси Y– значение показателя.
Рис. 3. Динамика коэффициента финансовой независимости и доли собственного капитала в оборотных средствах Наличие собственного капитала в обороте (собственных оборотных средств) является показателем финансовой устойчивости организации. В 2006г недостаток собственных оборотных средств составил 40% от всех оборотных средств, в 2007г. – 6%, то есть показатель значительно снизился из-за увеличения размера внеоборотных активов, а в 2008г. 13% положительная динамика есть, однако в целом показатель говорит о большом недостатке собственных оборотных средств, и низкой финансовой устойчивости. Расчет показал, что доля активов организации, покрываемых за счет собственного капитала в 2006г. составила 78%, в 2007г 64%, в 2008г. 65%, остальные активы составляют заемные средства. Соотношение собственного и заемного капитала снизилось, что, несмотря на положительную динамику, является отрицательным изменением. Показатель дополняется коэффициентами оборотных средств в сбыте и в расчетах, значения которых характеризуют структуру оборотных активов организации. В 2007г. показатель увеличился до 4,27 с 2,67 в 2006г., но в 2008г. снизился до 3,82, что говорит об ускорении оборачиваемости оборотных активов. Представим отрицательную динамику показателей оборотных средств организации в виде диаграммы (см. рис. 4), где по оси Х откладываем год, по оси Y– значение показателя.
Рис. 4. Оборотные средства организации Коэффициент оборотных средств снизился с 2,45 в 2007г до 1,8 в 2008г. что указывает на ускорение оборачиваемости оборотных средств и повышение эффективности использования капитала. Кроме того, коэффициент оборотных средств в расчетах отражает эффективность политики организации с точки зрения сбора оплаты по продажам, осуществленным в кредит. Рассматриваемый показатель характеризует вероятность возникновения сомнительной и безнадежной дебиторской задолженности и ее списания в результате недопоступления платежей, т.е. степень коммерческого риска. Возрастание данного показателя с 1,81 в 2007г. до 2,01 в 2008г. требует восполнения оборотных средств организации за счет новых заимствований и приводит к снижению платежеспособности организации. Рентабельность оборотного капитала определяет, сколько рублей прибыли приходится на один рубль, вложенный в оборотные активы. Показатель снизился с 69% в 2006г. до 38% в 2007г. и 16% в 2008г. Рентабельность продаж возросла с 16% в 2007г. до 21% в 2008г. Динамику финансовых коэффициентов можно отобразить наглядно в виде диаграммы (см. рис. 5), где по оси Х откладываем год, по оси Y– значение показателя.
Рис. 5. Динамика фондоотдачи и инвестиционной активности Инвестиционная активность значительно снизилась с 0,38 в 2007г. до 0,17 в 2008г. Низкий показатель коэффициента инвестиционной активности свидетельствует о неправильной стратегии развития организации и недостаточном контроле собственников организации за деятельностью менеджмента. Основной задачей стратегии ценообразования в рыночной экономике становится получение максимальной прибыли при запланированном объеме продаж. Ценовая стратегия должны обеспечить долговременное удовлетворение нужд потребителей, путем оптимального сочетания внутренней стратегии развития предприятия и параметров внешней среды в рамках долгосрочной маркетинговой стратегии. 2.2 Анализ факторов, влияющих на ценовую политику предприятия Разобраться в многообразии факторов ценообразования поможет их классификация (см. табл. 3). Таблица 3Классификация факторов ценообразования
Приведенная классификация факторов ценообразования полезна для их анализа и формирования. Стратегия цен ООО «Ремкомплект» - это стратегия ценового прорыва, установление цен на более низком уровне и получение прибыли за счет увеличения объема продаж и захвата большей доли рынка. Цель функционирования предприятия на рынке: 1. увеличение объемов продаж; 2. расширение доли рынка компании по основным группам продукции на растущем российском рынке нефтегазового оборудования; 3. повышение прибыльности компании; 4. расширение ассортимента продукции; 5. наращивание экспертной составляющей; 6. повышение управляемости компании. Метод установление цен – затратный метод «издержки плюс» Ц=С+П+Н, (3) где Ц - цена единицы товара; С - себестоимость единицы товара; П - прибыль, получаемая организацией за счет производства и реализации единицы товара; Н - косвенные налоги и отчисление в цене товара. Таблица 4Статьи затрат включаемые в себестоимость продукциитыс. руб.
Материальные расходы включают в себя материалы, спецоснастку и упаковку согласно нормам расхода. Заработная плата- все виды выплат на единицу изделия. ЕСН – налоги и отчисления с заработной платы. Накладные расходы - транспортные расходы, гальваника, термообработка, аренда помещения и др. Внепроизводственные (коммерческие) расходы – расходы, связанные с реализацией товара. Материальные затраты составляют значительную часть себестоимости продукции. Сокращение материальных затрат ведет к росту выпуска продукции, снижению ее себестоимости, увеличению прибыли и повышению рентабельности, т.е. к улучшению тех показателей, которые характеризируют его эффективность. Как видно из таблицы 5, значительно сократилась статья материальных затрат (на 13,64 руб. в 2008 году), следовательно предприятие выявило резерв снижения себестоимости, в результате чего в 2008 году увеличился объем продаж (на 950 штук), увеличилась прибыль и повысилась рентабельность, т.е. улучшились показатели производства, которые характеризуют его эффективность. Тем самым предприятие получило больший объем выручки (в 2008 году 1582781 тыс. руб., а в 2007 году 880931 тыс. руб.), следовательно, предприятию необходимо своевременно выявлять резервы снижения себестоимости. Таблица 5Затраты на произведенную продукцию и услуги
Основными задачами анализа факторов ценовой политики предприятия являются следующие: - изучение содержания процедур установки цены, уровня цен для определения обоснованности конкретной цены на продукцию; - выявление недостатков относительно эффективности ценовой политики ООО «Ремкомплект». Содержание и последовательность анализа ценовой стратегии проведем по следующим этапам: 1 Этап. Анализ услуг, предоставляемых ООО «Ремкомплект» и рынка сбыта. Как было сказано основным видом деятельности предприятия является производство автомобильных запасных частей, которая включает в себя следующие виды деятельности: - Производство и реализация изготовление сальников, пыльников, отбойников для автомобилей; - НИОКР; - Производство товаров народного потребления; - Производство другой продукции производственно-технического и социально-бытового назначения. Более 80% продукции разрабатывается и изготавливается в соответствии с индивидуальными требованиями клиентов. Номенклатура продукции ООО «Ремкомплект» для автомобилей насчитывает несколько десятков наименований. Обладая большим производственным потенциалом и высококвалифицированными кадрами, Компания планирует усилить свои позиции на рынке автомобильных запасных частей и расширить сферу своего влияния за счет диверсификации в смежные области. 2 Этап. Анализ влияния типов рынка на ценовую стратегию. Исходя из вышесказанного, данный рынок является олигополистическим, поэтому вид рынка существенно влияет на формирование и реализацию ценовой стратегии ООО «Ремкомплект». Конкуренты являются достаточно крупными фирмами, активно используют средства рекламы, ценовая стратегия должна с одной стороны - обеспечивать наличие конкурентных преимуществ, с другой стороны - ценовая стратегия должна обеспечивать достаточный для развития уровень прибыли ООО «Ремкомплект» (т.е. цены должны не только покрывать затраты на предоставление услуг, но и обеспечивать высокую рентабельность деятельности предприятия). 3 Этап. Анализ целей ценообразования. Цели ценообразования на предприятии зависят от того, какие цели ставит перед собой предприятие на перспективу [15, c. 116]. Для исследуемого предприятия цель подразделяется на две составляющие: 1. Социальная цель – поддержка работников (оказание материальной помощи, благотворительность); 2. Экономическая – увеличение объемов продаж, сохранение доли рынка компании по основным группам продукции на растущем российском рынке автозапчастей, расширение ассортимента продукции, и получение по результатам своей деятельности высокого экономического эффекта (чистой прибыли). В связи с тем, что цель предприятия носит двойственный характер, цель ценообразования также имеет достаточно сложный характер. Ценообразование на предприятии ООО «Ремкомплект» имеет своей целью следующее - разработать такую систему ценообразования, которая обеспечивала бы увеличение рынка сбыта продукции. 4 Этап. Анализ факторов, которые определяют ценовую стратегию предприятия. На практике процесс формирования цен зависит от многих факторов — расходов производства, величины спроса, конкуренции, транспортных расходов, изменения курсов обмена валют, рекламы и других элементов стимулирования сбыта. Следовательно, во время анализа ценовой стратегии ООО «Ремкомплект» нужно учитывать: 1. Факторы расходов. Расходы предприятия являются достаточно высокими и связаны с приобретением материалов, транспортными расходами, оплатой труда персонала, обязательными платежами в пользу государства и др. 2. Факторы конкуренции. Главное в ценообразовании, ориентированном на цены конкурентов, обеспечить конкурентные преимущества в аспекте соотношения цены услуги и ее качества. На данный момент конкурентами ООО «Ремкомплект» являются магазин Сигнал, автосервис «Гарант» и завод «Литейщик». Целью маркетингового анализа является изучение рынка. В рамках данного исследования предметом является региональный рынок. ООО «Ремкомплект» имеет региональную структуру, что предполагает необходимость проведения подобного рода анализа не только на примере г. Белорецка, но и других регионов, где предприятие имеет представительства. Однако можно предположить, что те тенденции и факторы развития рынка продукции ООО «Ремкомплект», которые удастся идентифицировать на примере регионального рынка вполне адаптивны. Основными субъектами рынка по отношению к предприятию являются потребители и предприятия, производящие и реализующие аналогичную продукцию - конкуренты. Поэтому при проведении маркетингового анализа выделяют два основных подхода: 1) изучение рынка с точки зрения оценки предпочтений и потребностей потребителей; 2) изучение особенностей и форм проявления конкуренции на анализируемом рынке. Оценка потребителя, формирование его портрета является первым этапом в проведении маркетингового исследования рынка автомобильных запасных частей. Важным аспектом маркетингового анализа является изучение процесса формирования предпочтений потребителя по отношению к продукции того или иного предприятия. Проанализируем положение ООО «Ремкомплект» среди потенциальных конкурентов. Таблица 6Положение ООО «Ремкомплект» среди потенциальных конкурентов
Если сравнивать ООО «Ремкомплект» с предприятиями конкурентами, то можно сделать следующие выводы: у ООО «Ремкомплект» хорошее качество товара, неплохая репутация фирмы, хорошие производственные мощности и очень хорошие технологические навыки, что способствует неплохому качеству выпускаемой продукции. Сбытовая сеть, реклама и любые средства продвижения товара – плохие, это приводит к тому, что готовая продукция залёживается на складах и не реализуется, а это в свою очередь приводит к потере прибыли, неустойчивому финансовому положению и к высоким издержкам. В связи с этим необходимо в следующем планируемом году для начала сделать значительное вложение в рекламную компанию, а так же повысить технологические навыки и только это может повысить финансовое положение компании. Важность требования оценивается по шкале от 1 (совсем неважные) до 8 (очень важные). Характеристики производителя оцениваются от 0 (катастрофические) до 10 (выдающиеся). Данная методика позволяет определить, какое предприятие-производитель выберет покупатель, если цена и другие параметры будут одинаковыми у всех конкурентов. Он остановится на той компании, которая может предложить ему то, что он ищет. Один из способов оценки заключается в том, чтобы представить себе еще одного поставщика, который идеален во всех отношениях, а характеристики продукции, интересующие потребителя, оценивают в 10 баллов. Покупатель выбрал бы именно такого поставщика автомобильных запасных частей, если бы он существовал. Идеальный поставщик набрал бы 280 баллов (в результате сложения произведений важности характеристик из оценки в каждой из них). Применив те же правила для остальных предприятий, выясним, что Магазин «Сигнал» заработало 222 балла из 280 возможных (или 79,28 % от идеального производителя), анализируемое предприятие ООО «Ремкомплект» - 202 балла (72,14%). Все остальные предприятия данной отрасли, действующие на локальном рынке г. Белорецка набрали меньшее количество баллов. Следовательно, предприятие Магазин «Сигнал»является основным конкурентом для ООО «Ремкомплект». Кроме того, следует отметить, что результаты анализа потребительских предпочтений показали, что в целом требования покупателей могут удовлетворить в максимально полном объеме (свыше 70%) ограниченное количество поставщиков. С одной стороны это создает определенные конкурентные преимущества для предприятий, суммарный балл потребительских предпочтений у которых высокий. С другой - является свидетельством того, что на рынке могут появиться серьезные конкуренты у лидеров, если они остановятся на достигнутых показателях. Таблица 7.Маркетинговый анализ предпочтений покупателей локального рынка автомобильных запасных частей г. Белорецка
Суммарные требования потребителя (СТП):
Для ООО «Ремкомплект» необходимо особое внимание уделять политике деятельности основного конкурента – Автосервис «Гарант». С точки зрения результативности деятельности конкурентов на рынке и завоевания ими там сильных позиций можно выделить следующие основные факторы, требующие изучения: 1. Имидж организации; 2. Концепция продукта; 3. Качество продуктов, уровень соответствия мировому уровню; 4. Ассортиментный ряд продукции; 5. Суммарная доля, занимаемая фирмой на рынке автомобильных запасных частей; 6. Мощность инноваций и исследований; 7. Мощность производственной базы; 8. Стабильность финансово-экономического положения; 9. Рыночная цена с учетом возможных скидок и наценок; 10. Частота и глубина проводимых маркетинговых исследований; 11. Предпродажная подготовка, уровень послепродажного обслуживания и гарантии; 12. Эффективность сбыта с точки зрения каналов товародвижения; 13. Уровень рекламной деятельности и другие. Проведем сравнительный маркетинговый анализ деятельности ООО «Ремкомплект» по сравнению с основным конкурентом. Критериями сравнения выбраны такие показатели, как качество, цена, финансовое положение, сбыт, эффективность связи с внешней средой, пред и после продажное обслуживание, концепция нового продукта. Анализ конкурентов по данным критериям целесообразно осуществлять с привлечение экспертов, которые могут дать предприятию ООО «Ремкомплект» независимую оценку. Как видно из рисунка 6, слабыми сторонами анализируемого предприятия по отношению к политике основного конкурента являются качество продукции и эффективная рекламная деятельность предприятия. В целом, ценовая политика предприятий конкурентов может быть признана одинаковой. Поэтому в данном случае рычагом стимулирования сбыта продукции для ООО «Ремкомплект» могут быть признаны другие элементы маркетинга: повышение качества, после и предпродажное обслуживание, разработка новых образцов продукции. В качестве вывода можно отметить следующее. Изучение потребительских предпочтений на региональном рынке предприятий обслуживающих автомобили дало возможность определить, что наибольшую важность при совершении покупки со стороны потребителей отдается потребительским качествам. Важность соотношения «цена-качество» стоит на 3-м месте. Это свидетельствует о том, что с повышением качества производства продукции ООО «Ремкомплект» будет иметь конкурентное преимущество, даже назначая несколько большую цену по сравнению с конкурентами.
Рис. 6. Многоугольник конкурентоспособности предприятий обслуживающих автомобили на локальном рынке г. Белорецка Оценка конкурентных позиций анализируемого предприятия позволила выявить, что основным конкурентом является автосервис «Гарант», продукции, которой потребители отдают максимальное предпочтение из числа основных предприятий обслуживающих автомобили. Однако следует отметить, что степень удовлетворения потребителей не высока по сравнению с возможностями. Основными рычагами укрепления позиций ООО «Ремкомплект» может быть признана не ценовая стратегия, а повышение качества, после и предпродажное обслуживание, разработка новых образцов продукции. Рассмотрим влияние факторов на ООО «Ремкомплект». Данные для анализа представлены в таблице 8. Представим, что А – это продажа запчастей в магазине. Б - изготовление и реализация запчастей в цехе предприятия, В – реализация услуг в автосервисе ООО «Ремкомплект». Таблица 8Данные для анализа влияния факторов на цену единицы продукции
Цена единицы продукции возросла на 5,34 руб. На ее уровень оказали влияние структурные сдвиги в выпуске продукции (возрос удельный вес группы) и себестоимость единицы продукции по каждому наименованию. Цена единицы изделия (усредненная) по плану:
Усредненная цена единицы продукции при фактической структуре равна:
или
Таким образом, влияние структурных сдвигов на цену единицы продукции составит: 151,48 – 150,99 = 0,49 руб. Влияние изменений в цене единицы продукции на усредненный показатель цены составит: 156,33 – 151,48 = 4,85 руб. Итого влияние: 0,49 + 4,85 = 5,34 руб. или 156,33 – 150,99 = 5,34 руб. Алгоритм расчета влияния объема, структуры продукции и цены единицы продукции на совокупную цену представлен в таблице 9. Таблица 9Схема расчета влияния факторов на совокупную цену, руб.
Для расчета влияния цен введем дополнительные условия: индексы цен на сырьевой набор и услуги (см. табл. 10). Таблица 10Данные для анализа влияния цен и ресурсоемкости
Изменение цены единицы продукции под влиянием: а) изменения цен на ресурсы и услуги составляет: 156,33 – 137,94 = 18,39 руб.; б) ресурсоемкости: 137,94 – 151,48 = -13,54 руб. Итого изменение цены единицы продукции: 18,39 – 13,54 = 4,85 руб. На изменение цены всей продукции влияют: 1) цены ресурсов: 118030 – 103630,48 = 14399,52 руб.; 2) ресурсоемкость: 103630,48 – 114370 = -10739,52 руб. Таким образом, рост цены продукции обусловлен ростом цен на ресурсы и услуги при снижении ресурсоемкости выпуска продукции. Объединим в таблицу 11. Таблица 11Совокупное влияние факторов на цену
Элиминирование влияния объема выпуска и цен на ресурсы позволяет определить сумму относительной экономии или перерасхода затрат на выпуск продукции. В данном случае достигнута экономия затрат в сумме 10369,57 руб. (369,95 – 10739,52) путем снижения ресурсоемкости выпуска продукции и структурных сдвигов в ассортименте. Для факторного анализа уровня цены, данные по ООО «Ремкомплект» дополним индексами цен на изделия и услуги (см. табл. 12). Таблица 12Данные для анализа уровня затрат на 1 руб. товарной продукции
По данным таблицы рассчитаем уровень затрат на 1 руб. товарной продукции: 1. Уровень затрат на рубль товарной продукции по плану:
2. Уровень затрат в плановых ценах, пересчитанный на фактический объем выпуска и структуру:
3. Уровень затрат на 1 руб. товарной продукции фактический при плановых ценах на ресурсы и продукцию:
4. Уровень затрат на 1 руб. товарной продукции фактический при плановых ценах на продукцию:
5. Уровень затрат фактический на 1 руб. товарной продукции:
Расчеты сведем в таблицу 13. Таблица 13Расчет влияния факторов на уровень затрат на 1 руб. товарной продукции
Себестоимость 1 руб. товарной продукции снизилась на 2,98 коп. Это снижение себестоимости вызвано положительным влиянием структурных сдвигов в ассортименте (0,16 коп.), снижением ресурсоемкости продукции (9,01 коп.) и ростом цен на продукцию (6,22 коп.). Рост себестоимости 1 руб. товарной продукции на 12,09 коп. обусловлен повышением цен на материальные, трудовые ресурсы и услуги. Отрицательное влияние цен на ресурсы не возмещается ростом цен на продукцию и единственным резервом роста прибыли является снижение ресурсоемкости продукции. Изучение структуры затрат на производство и ее изменений за отчетный период по отдельным элементам затрат, а также анализ статей расходов фактически выпущенной продукции составляют следующий этап анализа цены. Анализ структуры цены проводится сопоставлением удельных весов отдельных элементов с планом и в динамике. На ООО «Ремкомплект» проведем анализ влияния факторов на изменение прямых затрат (см. табл. 14). Прямые затраты зависят от следующих факторов: - изменения объема выпуска продукции; - изменения структуры; - уровня затрат в цене отдельных изделий. Таблица 14Данные для расчета влияния факторов на материальные затраты
Отклонение прямых затрат из-за изменения объема товарной продукции рассчитывается путем корректировки базисных (плановых) материальных затрат на темп изменения объема товарной продукции:
где DTN– темп прироста объема товарной продукции. Отклонение прямых затрат из-за изменения структуры продукции определяется вычитанием из суммы плановых затрат, рассчитанных по плановым нормам при фактических объеме и структуре товарной продукции, суммы прямых затрат по плану и отклонения затрат за счет изменения товарной продукции: DСм (D) = 87920 – 85460 – 7708,49 = -5248,49 руб. Отклонение прямых затрат за счет изменения их уровня в себестоимости определяется как разность между фактической суммой затрат и суммой прямых затрат, рассчитанной по плановым нормам, фактических объеме и структуре: DСм (Z) = С1 м - См (D) = 92150 – 87920 = 4230 руб. Проверка: 7708,49 + (-5248,49) + 4230 = 6690 = 92150 - 85460. Расчет влияния факторов на изменение прямых затрат поместим в таблицу 15. Таблица 15Расчет влияния факторов на изменение прямых затрат, руб.
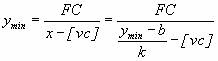
Далее составляется функция зависимости цены единицы товара z(y) от объема продаж у(х) (см. рис. 7).
Если в выражение подставить вместо у(х) выражение (1), то получается уже зависимость себестоимости единицы товара z(y) от цены товара х:
Построенный для зависимости график (см. рис. 8) наглядно показывает, как в условиях эластичного спроса снижение цены товара приводит к снижению цены единицы товара.
Рис.7. Зависимость цены единицы товара от объема его продаж
Рис. 8. Зависимость себестоимости единицы товара от его цены Далее, зная зависимость объема продаж у(х) от цены товара х, а также зависимость себестоимости единицы товара z(х) от цены х, выводится уже функция зависимости валовой прибыли P(х) от цены товара x:
где P(x) — валовая прибыль от продажи товаров (тыс. руб.). Пусть несколько десятков крупных и средних предприятий в различных отраслях подадут пример снижения цен, преследуя при этом, казалось бы, более чем меркантильную цель — увеличить объемы продаж и свою прибыль. Эффект снижения цен даже отдельными предприятиями будет аналогичен тому, который наблюдают, бросая камень в воду: камень падает в одну точку, а волны разбегаются по всей глади пруда. Так и с ценами: снижать их начинают лидеры, а последователями становятся все. 2.3 Анализ методики ценообразования предприятия ООО «Ремкомплект» применяет затратный метод ценообразования, который предполагает расчет цены продажи продукции путем прибавления к издержкам реализации некой определенной величины. Суть метода, основанного на определении полных издержек (метод «издержки плюс»), состоит в суммировании совокупных издержек (прямые плюс накладные издержки) и прибыли, которую предприятие рассчитывает получить. Пример определения цены на амортизатор методом полных затрат ООО «Ремкомплект» приведен в таблице 16. Таким образом, усредненная цена реализации амортизатора, рассчитанная на основе метода полных издержек, составит 3300 руб. Рассмотрим пределы установления цены на продукцию предприятия ООО «Ремкомплект». Нижним пределом цены являются издержки, поскольку они возмещают затраты. Однако это допущение справедливо для тех случаев, когда в основе лежит предположение, что окупаются расходы по созданию продукта собственными усилиями, без привлечения инструментальных сред и программных модулей со стороны (т.е. собственного производства). Но вместе с тем величина данных издержек может быть весьма значительной, поэтому ООО «Ремкомплект» стремится включить в цену и упущенную выгоду, связанную со следующими факторами: - отказом от самостоятельных действий на рынке (в случае передачи продукта посредникам для дальнейшего распространения); - возможностью превращения пользователя в будущего конкурента (в случае продажи базовых и инструментальных средств с возможностью дальнейшего развития и распространения, что должно быть оговорено в договоре купли-продажи); - возрастанием риска при разглашении функционального наполнения продукта и возможности несанкционированного распространения. Таблица 16.Определение цены амортизатора методом полных затрат, тыс. руб.
В итоге нижним пределом цены продукции для ООО «Ремкомплект» является его собственная оценка суммы издержек и упущенной выгоды, а для пользователя - собственные оценки издержек производителя. Верхний предел цены продукта установить сложнее, так как им может быть сразу несколько показателей. Это связано с несколькими факторами. Предельной ценой для пользователя будут выступать собственные издержки на разработку и применение. Обобщая приведенное, выделим основные компоненты цены продукции ООО «Ремкомплект», не учитываемые ранее: - упущенную выгоду и связанную с ней прибыль; - издержки передачи оборудования, спецификации, технологических схем, документации и т.д.; - отсутствие материального износа в процессе потребления и снижение цены по мере расширения круга пользователей; - наличие или отсутствие конкуренции производителей (монополия или олигополия). В свою очередь, верхний предел цены для производителя будет формироваться на основе следующих наименьших оценок: - прироста прибыли (экономии) пользователя в результате применения продукта; - стоимости приобретения аналогичного продукта у конкурента; - издержек самостоятельной разработки. Нижний предел цены, обеспечивающий лишь покрытие затрат на освоение и материальное стимулирование работников предприятия-изготовителя, определяется по формуле [9, с. 206]:
где Сп – полная себестоимость производства нового изделия, руб.;
Как нетрудно заметить, нижний предел цены определяется из условия равновыгодности для предприятия-изготовителя производства старого заменяемого и нового проектируемого изделия. Под верхним пределом цены понимается такой ее уровень, при котором для потребителей оказывается равновыгодным приобретение и использование выбранного аналога и проектируемого изделия. Верхний предел цены рассчитывается по формуле [12, с. 116]: Цmax = Цан•a ± DЭ , (7) где Цан – действующая оптовая цена аналога; a – показатель качества, используемый для приведения сравниваемых вариантов к тождественному эффекту; DЭ – экономия затрат (или дополнительные расходы) потребителя новой техники, a определяется как произведение частных качественных показателей по производительности, безотказности (сроку службы) и другим параметрам (более подробно методика расчета DЭ и a будет изложена ниже). Лимитная цена выражает предельно допустимый (верхний) уровень цены, определяемый на основе стоимостной оценки улучшения ее потребительских свойств, при которой обеспечивается относительное удешевление продукции в эксплуатации. Так как мы будем рассматривать совершенствование ценовой стратегии ООО «Ремкомплект», то рассмотрим верхний и нижний предел цены на этом товарном направлении: Цл=0,9×41832+15500×0,7=48500 р. Верхний предел цены изделия равен 48500 р. Нижний предел цены рассчитывается по следующей формуле: Цнп=Сп×(1+Ур) или Цпн=Сп (8) Где Сп - полная себестоимость изделия; Ур- уровень рентабельности. Цнп=31300 р. Нижний предел цены равен 31300 р. У нас разница между верхним и нижним пределами цены составляет 64%. Так как верхний предел значительного выше нижнего, то выход на рынок возможен. Таблица 17.Расчет верхнего и нижнего предела цены
Из множества используемых в рыночных условиях стратегических подходов ценообразования выбираем следующий подход- это политика «доступных цен», быстрое возмещение затрат. Данная стратегия рассчитана на активную продажу большего объема товаров. Цена устанавливается относительно не высокая, чаще всего по нижнему пределу. Невысокая цена товара обуславливается желанием быстро возместить издержки. Если предприятие отталкивается от определенного процента рентабельности реализации продукции, то расчет продажной цены может быть произведен по формуле 9 [9, с. 98]: Р = С(1+ R/100), (9) где Р – продажная цена; С – полные издержки на единицу продукции; R – ожидаемая (нормативная) рентабельность. Методика расчета цен на основе полных издержек является одной из самых популярных среди большинства предприятий России, так как достаточно проста и удобна. Также к достоинствам данного метода ценообразования для ООО «Ремкомплект» относят: - снижение ценовой конкуренции. Этим методом пользуется большинство фирм отрасли продажи продовольственных товаров, их цены, скорее всего, будут схожими, поэтому ценовая конкуренция сводится к минимуму; - равенство покупателей и продавцов. При высоком спросе продавцы не наживаются за счет покупателей и вместе с тем имеют возможность получить справедливую норму прибыли. Однако метод полных издержек имеет два больших недостатка: - при установлении цены не принимаются во внимание имеющийся спрос на товар и конкуренция на рынке, поэтому возможна ситуация, когда товар при данной цене не будет пользоваться спросом, а продукция конкурентов может быть лучше по качеству и более известна покупателю благодаря рекламе и т.п.; - отнесение на себестоимость товара постоянных издержек, которые являются условными и искажают подлинный вклад продукта в доход предприятия. Метод полных затрат наиболее распространен в ценовой стратегии ООО «Ремкомплект», так как это розничное предприятие с четко выраженной товарной дифференциацией для расчета цен товаров. В практике оптовых и розничных продавцов встречается ситуация, когда покупатель требует от них осуществить снижение цены на определенное количество процентов [30,с. 205]. Поэтому, если заранее определить величину прибыли, которую необходимо получить в целом от продажи данного товара, можно легко и без ущерба для финансовой деятельности ООО «Ремкомплект» контролировать величину снижения цен. В данном случае при расчете цены ООО «Ремкомплект» использует метод надбавки к цене. Данный метод предполагает умножение цены приобретения товара на повышающий коэффициент по формуле 8 [9, с. 115]: Р s = Рр (1 + т), (10) где Ps – цена продажи; Рр – цена приобретения; т – повышающий коэффициент (торговая надбавка), %. Процент наценки на основе цены реализации легко пересчитывается в процент наценки на основе цены приобретения товара. Выражение коэффициента повышения цены от цены продажи через коэффициент повышения цены от себестоимости называется восстановлением себестоимости. И наоборот, выражение коэффициента повышения цены от себестоимости через коэффициент повышения цены от цены продажи называется восстановлением цены продажи [25,с. 124]. Рассмотрим использование данного метода в ООО «Ремкомплект». Издержки обращения единицы товара равна 62 руб. Сумма наценки — 29 руб. Процент наценки на себестоимость составляет: 29 руб. / 62 руб. х 100 = 46,8%. То же на основе цены реализации: 29 руб. / (62 руб. + 29 руб.) х 100 = 31,9%. Выше перечисленные методы определения цен базируются на суммировании издержек ООО «Ремкомплект». В связи с этим представляет важность анализа структуры издержек обращения торговой фирмы. Предприятия, занимающиеся производственной деятельностью, определяют издержки производства, а предприятия, осуществляющие сбытовую, снабженческую, торгово-посредническую деятельность издержки обращения. Издержки обращения представляют собой общественно необходимые затраты труда, обеспечивающие выполнение торговлей своих функций и задач. Издержки обращения учитываются на всех стадиях ценообразования, начиная от производства, когда в себестоимость продукции включаются расходы по сбыту, и, заканчивая розничной продажей, когда в розничной цене отражаются издержки оптовой и розничной торговли [34,с. 117]. Анализ структуры издержек обращения показывает, что торговая деятельность ООО «Ремкомплект» не является трудоемкой, поскольку затраты на оплату труда вместе с отчислениями на социальные нужды составляют не более 5% издержек обращения. На основании данных таблицы 18 можно отметить, что наибольшую долю в издержках обращения ООО «Ремкомплект» составляют транспортные услуги (30-37%), что объясняется количеством арендуемых транспортных средств фирмы для перевозки товаров. Также значительны расходы на отопление зданий и складов, затраты на электро - и теплоэнергию. Часто, в подходе к управлению издержками самой распространенной является устаревшая точка зрения, согласно которой издержки должны быть снижены любой ценой до самого низкого, ниже минимально допустимого их уровня. В последнее время все большее и большее распространение получила вторая точка зрения на оптимальный размер издержек обращения. Можно и необходимо идти на дополнительные затраты в целях увеличения оборота, привлечения новых поставщиков и покупателей, повышения качества торгового обслуживания, создания привлекательного имиджа предприятия. Проблема снижения издержек обращения в рыночных условиях должна рассматриваться в разрезе управления издержками. Так как рост издержек обращения в большей степени зависит от внешних факторов, торговые предприятия не могут на них повлиять [16,с. 257]. Рассмотрим состав и структуру издержек обращения по данным за 2006-2008 гг., которые представлены в таблице 18. В результате проведенного анализа цен выяснилось, что на предприятии не определены ценовые нормы и, соответственно, не увязаны с другими маркетинговыми средствами, характеристика потребителя учтена, дифференциация цен обоснована, не учитывается возможная тенденция изменения цен, установленные цены позволяют участвовать в конкурентной борьбе, при установлении цены учтена гибкость спроса и реакция конкурентов на цену, цены соответствуют имиджу продукции, нормы скидок определены не правильно, не предусматривается дифференциация цен (по регионам, категориям потребителей, временам года). Ценовая и территориальная политика изготовителей машин при поставках запасных частей, а точнее отсутствие политики, подрывает позиции их собственных немногочисленных дилеров и плодит посредников, не имеющих обязательств перед потребителями. В то же время множеству посредников заводы позволяют торговать машинами, не занимаясь запасными частями, не принимая никаких обязательств по ремонту. Основная проблема, которую следует решать в первую очередь, - это правильная постановка работы с запасными частями, этим коварнейшим и сложным товаром. Простои техники в ожидании запасных частей сулят серьезные убытки. Известно, что уже в первый год эксплуатации половина машин требует запасных частей. Поэтому так важно поставлять их на новые рынки одновременно с поставками машин или даже раньше. В некоторых странах этого требуют импортное регулирование и законы о защите прав потребителей. Так обеспечивается готовность сбытовой сети к сервису техники. Таблица 18.Состав издержек обращения ООО «Ремкомплект»
Еще одна характерная черта кризиса на российских предприятиях – ошибки в ценообразовании, например, если объявляется снижение цен на 7%, то такой шаг можно рассматривать как удачное решение менеджмента в условиях кризиса. Отсутствие премий, сокращение зарплат, увольнения персонала в компаниях неизбежно должны привести к снижению покупательной способности потребителей. Как при этом сохранить поток клиентов? Очевидно, один из основных способов – это снижение цен. В итоге, даже с учетом снижения цены, продукция предприятия перестает быть привлекательной для клиентов. Предприятию необходимо решить следующие важнейшие вопросы в области ценообразования: - учет влияния на цены всех возможных последствий процесса интернационализации рынков, имеющего место в Европе и активно проникающего на экономическое пространство Российской Федерации и ближнего зарубежья; - разработка эффективной ценовой стратегии и выбор наиболее целесообразных методов ценообразования в зависимости от избранных организацией целей и реальных кризисных условий. 2.4 Недостатки действующей ценовой стратегии предприятия Приобретая у поставщиков автозапчасти и детали, ООО «Ремкомплект» ориентируется на закупочные цены производителя, строя на этом собственную ценовую политику, стремясь к максимальной выгоде. Чаще такая политика приводит к получению краткосрочной прибыли («снятие сливок»), а затем неизменно следует спад спроса и снижение цены. Предприятие начинает терять в доходах, получает убытки. Требуется более гибкий подход в ценообразовании, чтобы исключить завышение цен на «неходовой» товар и обеспечить их своевременный сбыт. Себестоимость – основа ценообразования, но необходимо учитывать и ценность товара, поведение конкурентов и эластичность спроса. Опираясь на аналитические расчеты по системе ценообразования, действующей на предприятии, рассмотрим наиболее доходные виды продукции и услуг ООО «Ремкомплект» и выявим тенденции в ценообразовании. Исходные данные представлены в таблице 19. Таблица 19Структурный анализ цены по отдельным видам продукции
Торговая наценка определена по всем видам продукции в одинаковом размере (5%) в связи со стабильностью затрат по реализации через торговую сеть ООО «Ремкомплект». Себестоимость продукции включает издержки по закупке товара, его доставке и хранению. Плановая прибыль определена по остаточному методу ориентируясь на среднерыночные сбытовые цены. Соответственно, максимальный доход от реализации товаров заложен по датчикам, закупочная цена которых выгодно отличается от прочих видов запасных частей, а высокий спрос на них позволяет удерживать и максимальную цену на рынке. Вкупе эти факторы обеспечивают самый высокий процент рентабельности (38,3%) при уровне плановых накоплений 33,3%. Подытоживая состояние ценообразования на ООО «Ремкомплект» можно отметить ограниченность подходов к формированию цены; противозатратный механизм не действует, фирма не стремится сэкономить на издержках закупок, не учитывает спрос в полной мере, качество товара, ориентируясь лишь на среднерыночные цены. В условиях высокой конкуренции такой подход в формировании цены не позволяет достичь конкурентных преимуществ, а значит и претендовать на расширение рынка сбыта. Система скидок на ООО «Ремкомплект» используется ограниченно, не учитывается сезонность продаж, преимущественность наличной оплаты услуг, возможность сокращения транспортных издержек и экономии в закупочных ценах по другим поставщикам. Пока это нереализуемые резервы снижения цен на товары и услуги, предлагаемые рынку ООО «Ремкомплект». Учитывая состояние и поведение исследуемого предприятия на внутреннем рынке сделаем выводы по его конкурентоспособности: в ООО «Ремкомплект» в конечном счете, отсутствует четкая методология оценки и управления конкурентоспособностью продукции (услуг), которая должна учитывать как минимум три принципа: - противоположность целей и средств субъектов рынка - учет особенностей различных сегментов рынка - рациональность поведения субъектов рынка. Согласно первому принципу необходимо учитывать двойственность конкурентоспособности как экономической категории: для производителя цена – это прежде всего его затраты, для потребителя – свойство и качество товара. Их оптимальное сочетание и выражается в высокой конкурентоспособности продукции. Второй принцип подразумевает различия в оценке товаров и услуг разными потребителями, отлично друг от друга реагирующими на одни и те же свойства товара, его цену, соизмеряя их со своими потребностями и финансовыми возможностями. Однако совокупный спрос концентрируется вокруг некоторого уровня качества и цены товара, поэтому следует предлагать рынку продукцию, близкую к популярной. Это позволяет даже при относительно небольшом ассортименте удовлетворять существенную часть платежеспособного спроса. Оптимальным принято считать сегмент, к которому относится 20% потребителей продукции данного вида, приобретающих примерно 80% товара. Поиск такого сегмента гарантирует стабильные доходы фирме и конкурентоспособность продукции. Последний принцип рассматривается как рациональность поведения субъектов рынка, подразумевая под этим оптимальный путь к удовлетворению потребностей. Например, производитель – это понимает чаще всего как продажу товара по цене, значительно превышающей себестоимость, в целях укрепления своей рыночной позиции. Потребитель же стремится к максимуму количества и качества продукции по минимальной цене. Разумное соотношение интересов обеих сторон и является разрешением проблемы конкурентоспособности товара или услуги. Предприятию следует пересмотреть фактический уровень своей прибыльности, чтобы понять, сколько реально они зарабатывают на каждой сделке, и соответственно скорректировать ценовую стратегию. На продажу автомобильных запчастей и услуги автосервиса на вторичном рынке кризис не окажет влияние, скорее даже увеличит потребность в них. Многие автовладельцы откажутся от покупки новых машин и предпочтут потратить большие средства на ремонт и покупку запасных частей. ООО «Ремкомплект» следует тщательно анализировать свою ценовую политику, особенно те методы, которые приводят к сокращению выручки, скидки при покупке большого количества или оплате наличными, бонусы, а также затраты на обслуживание, в том числе на послепродажную поддержку и транспортные расходы. Ценообразование в рыночной экономике занимает центральное место в регулировании экономических и общественных отношений. На микроуровне непосредственно сталкиваются производитель и потребитель продукции. Цена на продукцию устанавливается путем взаимного согласования в условиях совершенной конкуренции. Но эта задача усложняется с расширением зоны взаимного влияния потребителей и производителей в условиях несовершенной конкуренции. Использование экономико-математическое моделирование в вопросах ценовой стратегии становится весьма актуальным и приоритетным направлением для предприятий, осуществляющих свою финансово-хозяйственную деятельность в условиях рыночных отношений. Разработка самостоятельной ценовой стратегии - постоянно воспроизводимый процесс. Нельзя создать такую стратегию однажды и потом пользоваться ею безо всяких корректировок многие годы. Стратегия ценообразования должна постоянно проверяться на основе фактически достигнутых результатов и при необходимости корректироваться. А главное, она должна соответствовать именно той общей маркетинговой стратегии, которой в этот момент придерживается предприятие. В третьей главе работы предлагаем рассмотреть несколько тактических приемов, помогающих найти баланс между объемом продаж и уровнем прибыльности в трудных экономических условиях, выбрать действенную ценовую политику для торгового предприятия. 3.1 Предложения по совершенствованию ценовой стратегии ООО «Ремкомплект» 3.2 Использование экономико-математического моделирования в управлении ценовой политикой ООО «Ремкомплект» По результатам предыдущей главы было выявлено, что проблемой данного предприятия в вопросах ценовой политики являются следующие: - ценообразование на предприятии максимально ориентировано на издержки и слабо - на исследование спроса; - цены недостаточно часто адаптируются к меняющимся рыночным условиям и уровню развития предприятия; - цена рассматривается в отрыве от других элементов системы маркетинга. В связи с указанными недостатками в данной работе предлагается разработать мероприятия, которые способствовали бы решению указанных ранее проблем. Как было определено в предыдущей главе, цена производимую и реализованную продукцию предприятия, в большинстве случаев привязана к издержкам. В результате, ориентация на издержки при ценообразовании на предприятии ООО «Ремкомплект» и стремление к максимальному повышению прибыли приводит к тому, что политика цен на исследуемом предприятии не способствует реализации стратегии, направленной на расширение доли рынка, выхода на новые рынки сбыта по основным группам продукции. Следующей проблемой является то, что ценовая политика предприятия не имеет свойства гибкости, адаптивности, не связана со стадией работы предприятия, действиями конкурентов и другими факторами, прямо или косвенно влияющими на деятельность ООО «Ремкомплект». ООО «Ремкомплект» использует для расчета цен достаточно простую и удобную методику, основанную на учете полных издержек, однако метод полных издержек имеет большой недостаток, а именно - при установлении цены не принимаются во внимание имеющийся спрос на товар и конкуренция на рынке. Этот фактор делает предприятие уязвимым в условиях кризиса. Схема основных подходов к ценообразованию представлена в Приложении 6. Определим цели, которых хотим достичь разработкой новой ценовой стратегии. Цель ценообразования ООО «Ремкомплект» - максимизация прибыли и обеспечение доступности предлагаемых компанией товаров для широких слоев населения. Максимизация текущей прибыли обеспечивается путем оперативной и объективной оценки всех тенденций спроса. Конкретно предприятию необходимо: - просчитать на базе экономических ресурсов свои производственные возможности: максимальные объемы производства и продаж по всем видам деятельности; - определить равновесные цены по предлагаемым товарам и услугам, а также «потолки» цен с учетом издержек и желаемых доходов в работе магазина ООО «Ремкомплект»; - рассчитать предельные издержки и предельные доходы в целях определения оптимальной точки объемов производства предприятия; - разработать проект долговременных стратегий, которые бы учитывали меняющиеся условия рынка (стратегическое планирование); - регулярно осуществлять стратегический и оперативный аудит для выявления сильных и слабых сторон предприятия; - разработать стратегию роста для включения в портфель новых товаров или услуг (стратегия завоевания рынка.) Освоение гарантийного обслуживания автомобилей в работе автосервиса ООО «Ремкомплект»; - углубить маркетинговые исследования по измерению спроса, определив и выбрав целевые сегменты рынка с наиболее выгодным позиционированием товаров и услуг ООО «Ремкомплект»; - принять решение о широте товарного ассортимента в связи с определением своей продукции на рынке (исключение неходового товара и заполнение ниши); - выбрать стратегию маркетинга для товаров, пользующихся спросом с разным уровнем жизненного цикла товаров; - расширить методику ценообразования на основе ценности товара и с учетом поведения конкурентов, наиболее гибко реагируя на состояние рынка; - сформировать программу продвижения товара на рынке; - рассмотреть целесообразность дополнительных каналов распространения товаров или услуг (расширение торговой сети на условиях розничной и оптовой продажи). Выше рассмотренные мероприятия будут способствовать оптимизации и стабилизации общего и финансового состояния ООО «Ремкомплект», но потребуют дополнительных затрат на их разработку и внедрение, что должно быть учтено при составлении бюджета. Опираясь на рекомендации по совершенствованию ценовой политики ООО «Ремкомплект», выделим несколько актуальных направлений для углубленного анализа и выработки проектных решений, в частности: 1) Расчет оптимального объема производства (анализ безубыточности); 2) Эффект от снижения издержек при закупке запасных частей у прочих поставщиков; 3) Эффект от снижения цены на ремонт автомобилей; 4) Эффект от пересмотра структуры заявок на отдельные виды продукции; 5) Эффект от дополнительных инвестиций в производство и освоение новых направлений деятельности. Вышеприведенные направления расчетов позволяет определить предельные издержки и доходы фирмы; дополнительные выгоды (прибыль) от снижения закупочных цен; оптимальный вариант цен на ремонт автомобилей и в связи с этим размер дополнительных работ; увеличение выручки за счет пересмотра ассортимента запасных частей. В итоге предложен проект организации сервиса и гарантированному обслуживанию автомобилей на ближайшие четыре года с инвестированием в новое направление деятельности порядка пяти миллионов рублей. 3.2 Использование экономико-математического моделирования в управлении ценовой политикой ООО «Ремкомплект» Построим модель оптимального объема производства, то есть оптимизации безубыточности для предприятия ООО «Ремкомплект». Разработанный алгоритм нахождения данного интервала состоит из двух этапов: на первом — строится аппроксимационная линейная модель зависимости спроса покупателей от цены на товар, опирающаяся на данные за два смежных периода времени; на втором — определяются постоянные и переменные затраты, благодаря которым рассчитывается интервал безубыточности. Обратимся к математической стороне модели, для чего примем, что деятельность фирмы характеризуется следующими показателями (см. табл. 20). Таблица 20Исходные данные для построения модели
Допустим, что физический объем продаж товаров y(x) является линейной функцией от цены товаров x, то есть имеется следующая зависимость спроса от цены: y(x)=kx+b, (11) где y(x) — физический объем продаж товаров, нат. ед.; х — цена товаров, руб/нат. ед.; k и b — коэффициенты, связывающие между собой физический объем продаж и цену.
Рис. Согласно данным таблицы 1, для коэффициентов k и b в этом случае справедливо: Если является верным предположение, что покупательский спрос эластичен, то есть зависит от цены (а он часто именно таковым является), то, при прочих равных условиях, повышение цен приводит к сокращению спроса, а снижение цен, наоборот, к расширению спроса. Это означает, что коэффициент k в выражении (11) будет отрицателен, а коэффициент b, наоборот, положителен (рис. 9). Подбор коэффициентов не представляет трудности, и при наличии фактических данных это можно сделать как с помощью калькулятора, так и программных средств (автор обычно использует Excel, предоставляющий пользователю одновременную возможность построения графика и получения уравнения регрессии).
Рисунок 9. Зависимость объема продаж от цены Опираясь на модель нахождения переменных и постоянных затрат с использованием данных обычных бухгалтерских регистров — объема продаж и себестоимости, представим формулы для отыскания величин переменных и постоянных затрат применительно к обозначениям в таблице 20:
Рис. где FC — постоянные затраты фирмы, руб.; VC — переменные затраты фирмы, руб.; [vc] — удельные переменные затраты товаров, руб./нат. ед. Обычно точка безубыточности находится по следующей общепринятой формуле:
где ymin — безубыточный объем продаж товаров, нат. ед. Но рассматриваемый случай особый, поскольку объем продаж y(x) и цена связаны линейной зависимостью в соответствии с выражением (11). А это значит, что общепринятая формула для нахождения точки безубыточности может быть модифицирована. В частности, цена x может быть представлена в виде обратной функции от объема продаж y(x). С учетом сказанного минимальный объем продаж ymin, при котором прибыль предприятия равна нулю, составит
откуда получаем следующее квадратное уравнение:
Квадратное уравнение (13), решаемое относительно ymin, согласно правилам математики может или не иметь решений, или иметь одно решение, или иметь два решения. Последний случай наиболее интересен, поскольку это означает уже просто не традиционную точку, а интервал безубыточности. Далее, подставив полученные значения ymin в выражение (11), становится возможным отыскать две цены — нижнюю и верхнюю, определяющие соответственно ценовой интервал безубыточности. Как известно, точка безубыточности определяет такой объем производства (продаж), при котором прибыль предприятия равна нулю. Интервал безубыточности не исключение, и что это именно так, показывает зависимость прибыли Р(х) от цены х:
где Р(х) — прибыль от продажи товаров (руб.). На рисунке 10, иллюстрирующем поведение функции Р(х), хорошо видно, в каких точках, то есть при каких ценах х, парабола прибыли Р(х) пересекает ось аргументов, что означает нулевую прибыль.
Рисунок 10. Ценовой интервал безубыточности Но прежде чем перейти к расчетам на нашем предприятии ООО «Ремкомплект», отметим возможные проблемы, которые возникают при применении данного метода, а также его основное достоинство. Прежде всего, сложность применения предлагаемого метода заключается в том, что он наиболее эффективен в случае однопродуктовых предприятий (выпускающих один вид продукта). Разумеется, подобное предприятие в чистом виде абстракция, поэтому на практике можно «разделить» реальное многопродуктовое на несколько условных «однопродуктовых». В деле разделения на помощь приходит или бухгалтерский учет, который при всех его недостатках все же вполне корректно определяет величину себестоимости — если даже не каждого вида продукта (товара) в отдельности, то, по крайней мере, агрегированных по какому-либо признаку групп, — или тот же управленческий учет, в котором себестоимость может быть вычислена и более точно. Далее, поскольку данная математическая модель справедлива в предположении, что сравниваемые между собой периоды времени представляют собой бесконечно малые промежутки времени ( Преимущество модели заключается в том, что она позволяет обойтись минимумом данных (всего шесть величин), при этом на сегодняшний день их легко получить с помощью обычных бухгалтерских регистров: речь идет о выручке, себестоимости и физическом объеме проданных продуктов (товаров). И как показывает опыт автора, несмотря на перечисленные выше сложности, практическое применение разработанной модели на предприятиях, относящихся к самым различным отраслям, оказывается достаточно плодотворным. Она позволяет наглядно демонстрировать руководителям фирм скрытые (а порой уже упущенные) возможности оптимизации ценовой политики. Достаточно часто на практике приходится сталкиваться с ситуацией, которая показывает, как неосторожное повышение цен всего на 5% отпугивает покупателей и приводит к куда более значительному падению физического объема продаж — более чем на 13%, — то есть эластичность спроса показала свой «капризный» характер в полной мере (см. табл. 21). Таблица 21.Фактические данные
Из анализа данных видно, что в 2010 г. по сравнению с предыдущим годом средняя цена товаров возросла с 5,38 руб. до 5,64 руб. за 1 изделие при одновременном значительном сокращении объема продаж (с 8 447 751 изд. до 7 471 472 изд.), то есть явно проявились признаки, что спрос покупателей эластичен (рис.11). Предполагая, что зависимость объема продаж от цены подчиняется выражению (11), находим искомую линейную функцию (она также изображена на рис.11). Кроме того, в 2010 г. снижение объема продаж сопровождется ростом себестоимости 1 изд. реализуемых товаров (с 5,09 до 5,18 руб.). Исходя из этого, находим величины постоянных и удельных переменных затрат: FC = 7 111 579 руб. и [vc] = 4,32 руб. на 1 изд. товаров. у(х) = –3 754 919х + 28 649 215.
Рисунок 11. Зависимость объема продаж товаров от их цены Зная величины постоянных затрат FC и удельных переменных затрат [vc], а также зависимости объема продаж от цены товара x, отыскиваем интервал безубыточности. В частности, в соответствии с выражением (12), минимальный объем продаж ymin, при котором прибыль фирмы была бы равна нулю, находится из уравнения
Решение получающегося квадратного уравнения дает следующие точки безубыточности: 9 665 095 изд. при средней цене 5,06 руб. за 1 изд. товаров и 2 762 870 изд. при средней цене 6,89 руб. за 1 изд. товаров. Как выглядит найденный ценовой интервал безубыточности, показано на рисунке 12. Изображенный на рисунке 12 график зависимости прибыли от цены описывается следующей функцией: Р(х) = –3 754 919х2 + 44 870 465х – 130 876 188.
Рисунок 12. Ценовой интервал безубыточности Если решить данное уравнение, приравняв его к нулю, то можно еще раз убедиться, что нулевая прибыль возникает в найденных ранее точках безубыточности — соответственно при ценах 5,06 руб. и 6,89 руб. за 1 изд. товаров. Очевидно, что в настоящий момент ООО «Ремкомплект» находится примерно посередине между двумя точками безубыточности. Это отрадный момент, тем более видно, что предприятие может еще больше повысить цены, поскольку на рисунке 12 видно, что максимальная прибыль достигается при средних ценах, равных 5,95 руб. за 1 изд. Однако очевидно и другое: при дальнейшем повышении цен объем продаж будет падать — в полном согласии с выражением (11) и рис. 12. Иначе говоря, общий вывод безрадостный: интересы ООО «Ремкомплект» и покупателей противоречат друг другу. При росте цен растет прибыль ООО «Ремкомплект», но падает спрос, то есть страдает покупатель; при снижении же цен спрос растет, то есть покупатель выигрывает, но снижается прибыль ООО «Ремкомплект». Коллизию интересов продавца и покупателя нужно понимать в том смысле, что проводимая организацией в 2008 г. ценовая политика не учитывала платежеспособный спрос и нуждалась в корректировке. Очевидно, что наилучшим шагом со стороны ООО «Ремкомплект» было бы небольшое снижение цен в интересах покупателей, тем более что нижняя граница ценового интервала безубыточности дает ему достаточный простор для маневра. Конечно, это понижение, согласно выполненным расчетам, должно повлечь за собой снижение прибыли. Но, с другой стороны, нельзя забывать и о том, что благодарность покупателей тоже многого стоит, и порой — даже больше прибыли. 3.3 Анализ эффективности предложенных мероприятий 1. Расчет оптимального объема производства по ремонту и техническому обслуживанию автомобилей. Данный расчет производится с целью определения того объема производства, которые обеспечит фирме максимальную прибыль при определенных издержках. Расчет произведем по данным 2008 года, условно рассматривая предприятие в краткосрочном временном периоде, когда появление новых конкурентов на рынке маловероятно. В таком случае определение объема возможно по двум направлениям: сравнение валового дохода при различных объемах с валовыми издержками и выбор варианта, когда разница между ними будет максимальной, то есть будет достигнут максимальный объем прибыли; и второй вариант – сравнение предельных доходов и предельных издержек фирмы, поскольку немаловажно знать, что дает производство еще одной дополнительной единицы продукции. Когда дополнительная продукция будет больше добавлять к издержкам, чем к доходу, увеличение объемов станет нецелесообразно. Точка, в которой будет достигнуто равенство, называется точкой оптимального выпуска. Учитывая, что ООО «Ремкомплект» работает в условиях совершенной конкуренции, ее предельный доход равен цене единицы продукции и предприятию есть смысл наращивать объемы до тех пор, пока предельные издержки не станут, равны предельному доходу (цене). Если цена услуги окажется ниже минимальных средних переменных издержек, предпочтительнее отказаться от данного вида деятельности. Исходными данными для расчетов служат показатели объема ремонтных работ и издержек за 2008 год, представленные в таблице 22. Теперь просчитаем варианты издержек, дохода / выручки и прибыли в зависимости от объема ремонта (см. табл. 23). Таблица 22.Величина издержек и объема выполнения работ по техническому обслуживанию автомобилей ООО «Ремкомплект» в 2008 году
Таблица 23.Динамика издержек и доходов фирмы,тыс.руб.
Учитывая, что предельный доход равен цене продукции (ремонт одного автомобиля 1758 руб.) просчитаем выручку; прибыль рассчитана как разница между выручкой и валовыми издержками. Выравнивая предельный доход и предельные издержки, ООО «Ремкомплект» должно ремонтировать в год 1300-1400 автомобилей, получая при этом максимальный доход 321 тыс. руб. Уточним показатели, применяя формулу пороговой выручки [24, с. 115]:
К – коэффициент покрытия – доля суммы покрытия в выручке от реализации или доля средней величины покрытия в цене товара. Средняя величина покрытия – это разница между ценой товара (услуги) и средними переменными издержками. Сумма покрытия – это разница между выручкой и всей суммой переменных издержек. Она составляет по 2008 году 2954 – 2180=774 тыс. руб. Тогда коэффициент покрытия равен: К=774/2954=0,262 Пороговая выручка составит
Этому размеру выручки соответствует объем ремонта в 1300 единиц автотранспорта. Соответственно, ООО «Ремкомплект» при сложившихся издержках и цене нет смысла увеличивать объем ремонта свыше 1300 автомобилей в год. Это и есть точка оптимального объема ремонта. Минимальные валовые издержки 1570 тыс. руб. соответствуют объему 1000 ремонтов. Если цена одного ремонта выше данного показателя, фирма максимизирует прибыль (1680>1570), в интервале 970-1570 – минимизирует доходы. Другими словами, предприятию невыгодно ремонтировать менее 1000 автомобилей в год, но и тем более 1300. Проиллюстрируем результаты графически (см. Приложение 9, 10). Эффект от снижения издержек при закупке запасных частей у прочих поставщиков ООО «Ремкомплект» производит централизованный закуп запасных частей для ремонта легковых автомобилей у основного производителя – поставщика. Официальные дилеры «АвтоВАЗА» имеются и в Башкирии, например в г. Уфе, что географически предпочтительнее в плане транспортных издержек, временных затрат и безопасности поставок. Поэтому рассмотрим вариант закупок запчастей через посредническую фирму, предлагающую оптовые поставки продукции «АвтоВАЗА» с дилерской наценкой от 1,0 до 3% в зависимости от объема поставок, рассчитаем издержки ООО «Ремкомплект» по приобретению партии запасных частей через поставщика производителя и официального дилера в г. Уфе. Расчетные данные представлены в таблице 24. Таблица 24.Расчет экономического эффекта при оценке издержек приобретения запасных частей через дилерскую сеть
Принцип расчета транспортных издержек: доставка автозапасных частей осуществляется автомобилем марки «КАМАЗ». Расход топлива на 100 км – 35 л. (по максимуму в зимний период). Расстояние от г. Белорецка до г. Тольятти – 300 км., до г. Уфы – 200 км. (округленные данные). Стоимость 1 л. дизтоплива – 8 руб. Соответственно, транспортные издержки до г. Тольятти составят: 300*35/100*8=840 руб. С учетом доставки груза в г. Белорецк – 1680 руб. Количество поездок в год – 100. Транспортные издержки при поездке в г. Уфу (в оба конца) составят: 200*35/100*8*2=1120 руб. Издержки за год (100 поездок) – 112 тыс. руб. Оптовая наценка дилера составляет 3% при закупках до 5000 тыс. руб. 2% - от 5000 до 7000 тыс.руб., 1,5% - от 7000 до 10000 тыс. руб. Распределение транспортных издержек по ассортименту продукции произведено пропорционально объему закупок. Приобретая запчасти в г. Уфе ООО «Ремкомплект» экономит на транспортных издержках за год 56 тыс. руб., но теряет на посреднических процентах 130 тыс. руб., что делает закуп запчастей в г. Уфе отчасти невыгодным. Общий эффект удорожание стоимости запчастей на 74 тыс. руб. Расчет экономического эффекта при оценке издержек приобретения запасных частей через дилерскую сеть. Однако присутствует еще один вид издержек - затраты на вооруженное сопровождение грузов. В рамках местных перевозок (по Башкирии) тариф составляет 1% от объема перевозки в другие регионы – с учетом расстояния и безопасности условий перевозки, расценки в Самарскую область – 2% от объема грузоперевозки. По уфимскому поставщику издержки составят : 8810*0,01=88 тыс.руб. по «АвтоВАЗу»: 8680*0,02=173.6 тыс.руб. и общий эффект составит: +74+(88-173,6)=-11,6 тыс. руб. (Экономия поставщику №2) В итоге отдаем предпочтение Уфимскому дилеру. При отказе от вооруженной охраны груза эффект экономии возрастает до 99,6 тыс. руб. без ущерба безопасности поставок. Тогда реальная стоимость закупок запчастей (на весь объем заявки) составит в г. Тольятти - 9021,6 тыс. руб., в г. Уфе – 8922 тыс. руб., усредненная цена за единицу товара на «АвтоВАЗе» с учетом всех издержек по доставке равна: 9021,6/16000=0,564 тыс. руб. через дилера 8922/1600=0,557 тыс. руб. То есть ниже на 1,3%. Фактически приобретение запасных частей через дилера г. Уфы обходится дешевле, чем у производителя, что подтверждает факт необходимости изыскания резервов не только по прямым материальным издержкам, но и второстепенным затратам на организацию снабженческой торгово – закупочной деятельности. 3. Эффект от снижения цены на ремонт автомобилей Просчитав оптимальные объемы производства, при которых ООО «Ремкомплект» получает максимальные доходы (1300 автомобилей в год), было выявлено, что валовая выручка составит при этом 2285 тыс. руб., то есть средняя цена одного ремонта составляет 1758 руб. В целях обеспечения конкурентоспособности услуг фирма может отказаться от максимальных доходов при цене услуги в 1758 руб. и снизить ее до уровня минимальных предельных издержек, чтобы покрывать расходы по ремонту. Спрос на услуги станции технического обслуживания должен возрасти, что позволит предприятию укрепить свои позиции на рынке и найти гарантированный объем запасных частей. Снижение цены возможно в диапазоне от 1800 до 1570 рублей. Выберем средний вариант и пересчитаем эффект увеличения выручки за счет изменения числа клиентов и реализации соответствующих материалов (масло, тосол и т.д.). Снизим расценки на ремонт автомобилей на 5%. т.е. до уровня 1670 руб. и просчитаем проектную выручку. Расчетные данные представлены в таблице 25. Таблица 25.Расчет экономической эффективности от улучшения ценового планирования
Эффект от снижения цены на 5% возрастает в виде прибыли всего на те же 5%, по сопутствующим продажам – на 10%, при условии, что покупки делает каждый второй клиент, а количество клиентов увеличивается на 170 человек. С увеличением числа ремонтов растут и их издержки, причем прибыль при этом снижается. Это было доказано при расчете оптимального объема производства. Следовательно, выгоднее активизировать сбыт запасных частей и сопутствующих материалов, чем заниматься ремонтом автомобилей. Но следуя тактике расширения рынка сбыта такая политика ценообразования вполне оправдана. 4. Эффект от пересмотра структуры заявок на отдельные виды продукции. Продолжая мысль о целесообразности активизации торгово - посреднической деятельности просчитаем выгоды от продажи наиболее рентабельных видов продукции. Анализ рынка сбыта по ассортименту и доходности отдельных видов продукции ООО «Ремкомплект» продемонстрировал, что самым ходовым или «спрашиваемым» запасными частями являются датчики, тормоза, бамперы и стартеры, приносящие максимальные доходы от их реализации. Рассмотрим эффект от перераспределения заявок в Приложении 11. Увеличив долю поставок, исключили из ассортимента маховики и карбюраторы, запасы которых на складе имеют максимальный прирост. Объем закупок «не ходового» товара перераспределили на конкурентоспособные виды продукции и просчитали дополнительную прибыль от их реализации. Она составила по реализации ходового товара составила 1701 тыс. руб., что на 35% выше доходов при старой структуре заявок. Это наглядно демонстрирует насколько эффективен пересмотр ассортимента реализуемой продукции. 5. Эффект от дополнительных инвестиций в производство и освоения новых направлений деятельности Все предыдущие расчеты подтверждают мысль о необходимости реорганизации существующего производства на ООО «Ремкомплект», освоении новых видов деятельности. Для улучшения конкурентоспособности предлагаемых услуг в области автосервиса предполагается подключится к общеевропейскому проекту международной ассоциации дистрибьюторов «GroupAutoUnion» - «Евро – Гараж», который успешно работает в Италии, Испании, Франции, Великобритании, Австрии, Польше и других европейских странах и объединяет около четырех тысяч станций технического обслуживания. Они представляют собой сеть автосервисов, способных предложить клиенту высокий уровень технического обслуживания, имеющих в наличии большой ассортимент запасных частей ведущих мировых производителей, а также способных составить конкуренцию иным станциям технического обслуживания. Основную идею проекта «Евро – Гараж» в России можно охарактеризовать как повышение конкурентоспособности независимых автосервисов путем: - улучшения технического и информационного обеспечения предприятий технического сервиса; - формирования сети автосервисов, способных предоставить высокий уровень обслуживания; - привлечения конечных потребителей услуг, производителей оборудования для станций техобслуживания, финансовых и лизинговых компаний. С целью обновления материально – технической базы предприятия предполагается приобретения оборудования по лизингу. Для этого будут привлечены заемные средства путем получения долгосрочного кредита в банке на сумму 5 миллионов рублей сроком на 3 года. Помимо приобретения нового оборудования будет проведена реконструкция автосалона и завершено строительство вспомогательных помещений для персонала станции технического обслуживания. внедрена новая технологическая линия по обслуживанию гарантийных автомашин. Предполагаемые затраты подготовительного периода составят 4100 тыс. руб., а на приобретение основных фондов 900 тыс. руб. Согласно сформированному бюджету внеоборотные активы общества составят 5914 тысяч руб. с последующим их увеличением на конец года до 9768 тыс. руб. Произведенным расчетом бюджета предполагается, что выручка от реализации продукции (работ, услуг) за первый год работы предприятия составит 24480 тыс. руб., в том числе: - от услуг автосервиса – 1800 тыс. руб. - от реализации автозапчастей и аксессуаров – 22680 тыс. руб. Затраты на проданную продукцию (работы, услуги) составят 16536,3 тыс. руб. или 68% от выручки за реализованную продукцию (работы, услуги). Таблица 26.Основные средства и расчет амортизации на 1 год.
Предполагаемая валовая прибыль по итогам первого года деятельности предприятия составит 7943,7 тыс. руб. Операционные затраты составят 1212,7 тыс. руб., в том числе: - на маркетинг – 980,4 тыс. руб. - на проведение консалтинга и обеспечение компьютерной сети – 24 тыс. руб. - на содержание административного аппарата 208,3 тыс. руб. Налоговая нагрузка (обязательные платежи в бюджет государственные внебюджетные фонды) составит 1981 тыс. руб. Предполагаемая чистая прибыль предприятия за первый год деятельности составит 3796 тыс. руб. Предполагаемая выручка в последующие три года составит соответственно: 22836 тыс. руб.. 25119,6 тыс. руб., 27631,56 тыс. руб. Таблица 27.Формирование структуры налогов
Планируется, что затраты на закупку запчастей и аксессуаров возрастут за четыре года до 20723,67 тыс. руб. и составит 75% от всех затрат. Затраты на обеспечение производства и зарплата управленческого персонала составит 488,34 тыс. руб. или 2% от всей суммы затрат. Таблица 28.Структура расходов в последующие периоды
Операционные затраты, включающие маркетинговые исследования и заработную плату административного аппарата составят 1212,672 тыс. руб. в год или около 5%. Предполагаемая налоговая нагрузка (исходя из действующей системы налогообложения) составит более 600 тыс. руб. ежегодно или более 2%. Чистая прибыль, остающаяся в распоряжении предприятия, составит в первый год 3796,102 тыс. руб., к концу четвертого года несколько уменьшится в связи с предстоящим расширением производства и выплатой задолженности по кредиту. Предполагается полное погашение займов в течение последующих четырех лет. Амортизационные отчисления составят 262 тыс. руб. или 1%. Заключение Затронувший Россию мировой экономический кризис отрицательно отразился на многих предприятиях. В связи с этим большинство предприятий сейчас сосредоточилось на тактических антикризисных мерах. Но любые кризисы обычно благополучно заканчиваются, а пик напряженности, как правило, не так продолжителен, как может казаться в самом начале кризиса. Кризис не только приносит много проблем, но и дает новые возможности для развития бизнеса – при оперативной адаптации к изменениям на рынке и грамотном анализе ситуации торговое предприятие может не только не потерять, но и усилить свои позиции. Торговому предприятию для того, чтобы грамотно и эффективно противостоять проявлениям кризиса, начинать надо с выбора ценовой стратегии. Для разработки обоснованной ценовой стратегии необходимо правильно определить систему факторов, воздействующих на нее. Эффективность ценообразования, или, иначе говоря, реализация ценовой политики, зависит от подхода к определению цены. Методы ценообразования конкретной компании зависят, прежде всего, от целей, которые она ставит перед собой. Цель ценообразования ООО «Ремкомплект» - максимизация прибыли и обеспечение доступности предлагаемых компанией товаров для широких слоев населения. Максимизация текущей прибыли обеспечивается путем оперативной и объективной оценки всех тенденций спроса и предложения. Цена - один из основных источников формирования прибыли ООО «Ремкомплект». Из чего складывается розничная цена любого товара, в том числе и такого, как запчасти для автомобилей? Розничная цена товара складывается из цены поставщика и торговой наценки, причем доведение покупной цены товара до его розничной цены производится в момент поступления товара в торговую организацию. Из затрат производителя, значительную часть цены составляют налоги и расходы продавца. Также в цену товара включается прибыль производителя и продавца. Большая часть этих расходов не поддается управлению. Но, в настоящее время, все пытаются решить проблему минимизации цены. Это связано с попыткой выживания компаний производителей и продавцов в условиях кризиса. Предприятия должны минимизировать затраты. Лучший способ, позволяющий экономике перейти на новый виток развития, и, переборов кризис, выйти в фазу подъема – использование инноваций. Механизм ценообразования в ООО «Ремкомплект» предполагает затратный метод формирования цены, при котором базой для формирования цены являются совокупные затраты продавца. Если предприятие снизит цену, то для получения такой прибыли ему нужно продать большее количество товара, если повысит - меньше. Однако при более высокой цене рынок, возможно, не захочет купить даже такое количество товара (это зависит от эластичности спроса по цене). В результате проведенного анализа цен выяснилось, что на предприятии не определены ценовые нормы и, соответственно, не увязаны с другими маркетинговыми средствами, характеристика потребителя учтена, дифференциация цен обоснована, не учитывается возможная тенденция изменения цен, установленные цены позволяют участвовать в конкурентной борьбе, при установлении цены учтена гибкость спроса и реакция конкурентов на цену, цены соответствуют имиджу продукции, нормы скидок определены не правильно, не предусматривается дифференциация цен (по регионам, категориям потребителей, временам года). ООО «Ремкомплект» по содержанию своей деятельности не соответствует разработанной им же ценовой стратегии: «Гибкая система ценообразования, обширный ассортимент, комплекс товаров с подкреплением». Из десяти запланированных видов деятельности предприятием освоены только два: техническое обслуживание автомобилей марки «ВАЗ» и торговое посредничество в обеспечении рынка автозапчастями. Спрос на продукцию ООО «Ремкомплект» неэластичный, т. е всегда потребители будут нуждаться в услугах автосервисов, независимо от роста цен. Но у клиента есть право выбора предпочесть фирму с высокими качеством обслуживания, оснащенную современными технологиями и комплексом дополнительных услуг. Ничего подобного ООО «Ремкомплект» предложить своему потребителю не может. цена на услуги данного предприятия на уровне среднерыночных, но анализ ценообразования свидетельствует о возможности их снижения без особого ущерба доходам. Зато повышается спрос на услуги фирмы, создаются конкурентные преимущества, увеличивается доля рынка. И уже за счет ускорения оборачиваемости капитала повышается рентабельность его использования. Еще один негативный момент – в ассортиментной политике предприятия. По отдельным видам заказных частей присутствуют запасы продукции, что повышает риск невостребованного товара, по другим позициям – неудовлетворительность спроса. Поэтому фирме предложено пересмотреть структуру заявок на запасные части и эффект по проекту превышает 1,5 раза только за счет оптимального формирования структуры заявок. Прочие предложения по оптимизации товарной политики ООО «Ремкомплект» имеют более низкие показатели. Система ценообразования, используемая в ООО «Ремкомплект» не предусматривает сезонность спроса, преимущества отдельных форм оплаты, скидки на объем поставок, возможные резервы в снижении себестоимости услуг или продаж. В целом маркетинговая деятельность на предприятии поставлена слабо, планирование и анализ осуществляется по необходимости, контроль за реализацией маркетинговой стратегии практически отсутствует, что исключает оптимальность товарной политики, рациональность ценовой и эффективность сбытовой. Рынку сегодня требуется конкурентоспособный товар с Максимом полезных свойств по справедливой цене, особые претензии – к качеству и гарантиям обслуживания, что подразумевает совершенство и прогрессивность технология, достоверность рекламы, своевременное обновление ассортимента товаров и услуг и комплекс прочих мер, направленных на создание и поддержание имиджа преуспевающей фирмы. В целях реализации этой программы действий ООО «Ремкомплект» можно порекомендовать: 1) Уделить должное внимание стратегическому планированию, объективно оценить свои ресурсные возможности и определить оптимальные объемы производства (соответствующий расчет сделан в проектной части работы); 2) Пересмотреть политику ценообразования предусмотрев возможность снижения цен в целях обеспечения конкурентоспособности фирмы и расширения рынка сбыта своих услуг, дополнить ее системой льготных скидок и зачетов, дифференцировав по категориям покупателей или видам услуг, (расчет приводится в проектной части); 3) Изыскать возможности снижения издержек в целях повышения доходов предприятия (расчет произведен по поставщикам); 4) Пересмотреть ассортимент товаров и услуг с учетом спроса и цен в целях наиболее выгодно позиционирования на рынке; 5) Выявить основных конкурентов и разработать тактику их преодоления (превосходство по издержкам, специализация или конкретизация услуг); 6) Учесть в стратегии маркетинга особенности жизненного цикла товаров и исключить из ассортимента продукцию с высоким риском невостребованности; 7) Сформировать программу продвижения товара на рынке: реклама, личные продажи, прямой маркетинг и т.д.; 8) Рассмотреть целесообразность создания дополнительных каналов сбыта и распространения товаров и услуг – посредничество, франчайзинг, продажи по каталогам, почтовая рассылка, электронный магазин и т.п.; 9) Провести стратегический аудит товарной политики и всей маркетинговой деятельности в целях оптимизации и стабилизации общего и финансового состояния предприятия; 10) Рассмотреть возможность и необходимость организационных преобразований с целью повышения инвестиционной привлекательности фирмы, решив каким образом проблему обновления материально – технической базы и расширения ассортиментного перечня оказываемых услуг (например, гарантийное обслуживание автомобилей. Проект реконструкции прилагается). Благодаря дальнейшему развитию сервисного обслуживания ООО «Ремкомплект» имеет возможность продолжить свою коммерческую деятельность, но в новом качестве и на новом уровне при условии реализации комплекса радикальных мер по оптимизации сложившегося положения. Список использованной литературы 1. Гражданский кодекс Российской Федерации. Часть 1,2. –М.: Юристъ, 2008. 2. Налоговый кодекс Российской Федерации. Часть 1, 2. –М.:Омега-Л, 2009. 3. Федеральный закон «О бухгалтерском учёте» от 21.11.1996г. № 129-ФЗ // (ред. от 03.11.2006 года). 4. Постатейный комментарий к Налоговому кодексу Российской Федерации. Часть вторая: раздел VIII: Главы 25-26/ А.Н.Гуев // М.: Издательство «Экзамен», 2005. – 752 с. 5. Положение по ведению бухгалтерского учёта и бухгалтерской отчётности в Российской Федерации. Утверждено приказом Министерства финансов РФ от 29.07.98г. № 34н // (ред. от 26.03.2007 года). 6. Общероссийский классификатор продукции. Утвержден Постановление Госстандарта России от 30.12.93г. // Справочно-правовая система «Консультант плюс», версия Максимум 28.01.2008г. 7. Методические рекомендации по бухгалтерскому учету затрат, включаемых в издержки обращения и производства, и финансовых результатов на предприятиях торговли и общественного питания. Утверждены приказом Комитета Российской Федерации по торговле от 20.04.2000г. № 94 // Справочно-правовая система «Консультант плюс», версия Максимум 28.01.2008г. 8. Методические рекомендации по формированию и применению свободных цен и тарифов на продукцию, товары и услуги. Утверждены Минэкономики России 06.12.1995г. № СН-484/7-982// Справочно-правовая система «Консультант плюс», версия Максимум 28.01.2008г. 9. Александров Ю.Л. Экономика предприятия торговли: учебное пособие. Красноярск: Красноярский государственный университет, 2007. - 171с. 10. Баканов М.И. Экономический анализ в торговле, М.: Экономика, 2005. – 348 с. 11. Батраева, Э.А. Ценообразование: учебное пособие. - Красноярск - Универс, 2007. - 320с. 12. Валевич Р.П. Экономика торгового предприятия, Минск: Вышейш. шк., 2006. – 367 с. 13. Волков О.И. Экономика предприятия (фирмы)/ 3-е изд., перераб. и доп., М.: ИНФРА-М, 2007. – 601 с. 14. Гребнева А.И. Экономика торгового предприятия. М.: Экономика, 2004. – 238 с. 15. Грибов В.Д. Экономика предприятия: учебное пособие. – М.: Финансы и статистика, 2006. - 336с. 16. Гукасьян Г.М. Экономическая теория: ключевые вопросы: учебное пособие. – 3-е изд., дополн. – М.: ИНФРА-М, 2005. - 199с. 17. Донцова Л.В. Комплексный анализ бухгалтерской отчётности. – М.: ДИС, 2008. – 457 с. 18. Ефимова О.В. Финансовый анализ.– М.: Бухгалтерский учёт, 2005 – 256 с. 19. Кондраков Н.П. Бухгалтерский учет: Учебное пособие.- 2-е изд., перераб. и доп. – М.: ИНФРА-М.- 2005. – 584с. 20. Кравченко Л.И. Анализ хозяйственной деятельности в торговле, Минск: Вышейш. шк., 2006.- 374с. 21. Лозовский Л. / Л. Лозовский, Б. Райзберг. Цена и ценообразование. М.: Ось, 2007. – 194с. 22. Макконелл Кэмпбелл Р. Экономикс: Принципы, проблемы и политика. В 2 т. Т.2:Пер. с англ. 11-го изд. М.: Республика, 2005. – 400 с. 23. Михайлова-Станюта И.А. Оценка финансового состояния предприятия – Минск: Наука и техника, 2006. – 254 с. 24. Панкрухин А.П. Маркетинг. Учебное пособие. – 5-е изд. – М.: Омега-Л, 2007. - 656с. 25. Рао С. Р., Линейные статистические методы и их применения / пер. с англ., М., 2004 – 289с. 26. Раицкий К.А. Экономика организации (предприятия). М.: Дашков и К, 2005. - 1012с. 27. Райзберг Б.А. Курс экономики. – 4-е изд., перераб. и дополн. – М.: ИНФРА-М, 2006. - 672с. 28. Рубинштейн Е.И. Современные проблемы экономического развития и управления: сборник научных трудов экономического факультета / Е.И.Рубинштейн. – Сургут: СурГУ, 2008. - 196с. 29. Сафронов Н.А. Экономика предприятия: учебное пособие. – М.: Юристъ, 2005. - 608с. 30. Соломатина А.Н. Экономика и организация деятельности торгового предприятия: учебное пособие, М.:ИНФРА-М, 2006. – 295 с. 31. Сысоева С.В. Книга директора магазина: практические рекомендации/С.В.Сысоева. - Санкт-Петербург : Питер, 2006. - 384с. 32. Тактарова Г.А. Ценообразование. – М.: Финансы и статистика, 2008. - 176с. 33. Терещенко Н.Н. Планирование деятельности торгового предприятия: учебное пособие Красноярск, 2007 – 112 с. 34. Чечевицина Л.Н. Анализ финансово-хозяйственной деятельности. 2-е изд. М.: Маркетинг, 2007 – 352 с. 35. Шабалин Е.М. Как избежать банкротства. – М.: ИНФРА-М, 2006 – 125 с. 36. Юров В.Ф. Прибыль в розничной экономике: вопросы теории и практики М.: Финансы и статистика, 2007 – 144 с. 37. Берко Н. Налог на прибыль: учет по новому, Экономика и жизнь, 2008.- 38. №12.- 26 с. 39. Коровин А.В. Экспресс анализ финансового состояния предприятия// Аудитор.-2008.- № 3.- с.19-25 |
|||||||||||||||||||||||||||||||||||||||||||||||||||||||||||||||||||||||||||||||||||||||||||||||||||||||||||||||||||||||||||||||||||||||||||||||||||||||||||||||||||||||||||||||||||||||||||||||||||||||||||||||||||||||||||||||||||||||||||||||||||||||||||||||||||||||||||||||||||||||||||||||||||||||||||||||||||||||||||||||||||||||||||||||||||||||||||||||||||||||||||||||||||||||||||||||||||||||||||||||||||||||||||||||||||||||||||||||||||||||||||||||||||||||||||||||||||||||||||||||||||||||||||||||||||||||||||||||||||||||||||||||||||||||||||||||||||||||||||||||||||||||||||||||||||||||||||||||||||||||||||||||||||||||||||||||||||||||||||||||||||||||||||||||||||||||||||||||||||||||||||||||||||||||||||||||||||||||||||||||||||||||||||||||||||||||||||||||||||||||||||||||||||||||||||||||||||||||||||||||||||||||||||||||||||||||||||||||||||||||||||||||||||||||||||||||||||||||||||||||||||||||||||||||||||||||||||||||||||||||||||||||||||||||||||||||||||||||||||||||||||||||||||||||||||||||||||||||||||||||











(12)


