Курсовая работа: Исследование точности численного дифференцирования
|
Название: Исследование точности численного дифференцирования Раздел: Рефераты по информатике, программированию Тип: курсовая работа | ||||||||||||||||||||||||||||||||||||||||||||||||||||||||||||||||||||||||||||||||||||||||||||||||||||||||||||||||||||||||||||||||||||||||||||||||||||||||||||||||||||||||||||||||||||||||||||||||||||||||||||||||||||||||||||||||||||||||||||||||||||||||||||||||||||||||||||||||||||||||||||||||||||||||||||||||||||||||||||||||||||||||||||||||||||||||||||||||||||||||
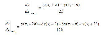
Курсовая работа "Исследование точности численного дифференцирования" Екатеринбург 2009 г. 1. Подробное описание задачи и метод ее решения Исследуйте два метода численного дифференцирования:
где xi – узел равномерной сетки с шагом h . Предполагается, что отрезок дифференцирования [ a , b ] разбит на n равных частей системой точек (сеткой)
Исследование проведите на примерах:
Относительную погрешность определяйте относительно максимального значения функции на интервале, абсолютную погрешность рассчитайте относительно значений аналитически вычисленной производной. Численное дифференцирование применяется, если функцию y(x) трудно или невозможно продифференцировать аналитически – например, если она задана таблицей. Оно нужно также при решении дифференциальных уравнений при помощи разностных методов. При численном дифференцировании функцию y(x) аппроксимируют легко вычисляемой функцией. При этом можно использовать различные способы аппроксимации. Задание требует исследовать 2 метода. Оба метода можно применять для всех функций, приведенных в задании, исходя из области определения этих функций. На самом деле, метод решения данной задачи довольно тривиален, так как все формулы приведены в условии задачи. Входные данные: номер функции, номер метода, точность (шаг), левое значение, правое значение. Для функции у= cos 2 mx нужно выбрать параметр m из предложенных. Выходные данные: аргумент, значение функции при заданном параметре, значение первой производной, абсолютная погрешность, относительная погрешность. 1) y=cos2 mx , для m =1 [0, 3.14] выберем шаг=0,3 и интервал [0,3.14] Метод 1
Метод 2
Графики Для первого графика выберем шаг = 0,05, для большей точности построения численный дифференцирование абсолютный погрешность
Рисунок 1. Значение функции y = cos 2 mx при m =1
Рисунок 2. Значение первой производной функции y=cos2 mx при m=1
Рисунок 3. Абсолютная погрешность функции y = cos 2 mx при m =1
Рисунок 4. Относительная погрешность функции y = cos 2 mx при m =1 2) y=cos2 mx , для m =12 [0, 3.14] выберем шаг=0,3 и интервал [0,3.14] Метод 1
Метод 2
Графики Для первых двух графиков выберем шаг = 0,05
Рисунок 5. Значение функции y=cos2mx при m=12
Рисунок 6. Значение первой производной функции y=cos2mx при m=12
Рисунок 7. Абсолютная погрешность функции y=cos2mx при m=12
Рисунок 8. Относительная погрешность функции y=cos2mx при m=12 3)
y
= выберем шаг=0,05 на интервале [0. 5,1], графики при этих данных наиболее наглядные данные. Метод 1
Метод 2
В конце работы программы получен текстовый файл, содержащий аргумент функции, значение функции, значение первой производной, абсолютную и относительную погрешность. По этим данным построены графики зависимости аргумента от значения функции, производной, абсолютной и относительной погрешности. Каждый график содержит кривые, полученные вычислениями двумя различными методами, графики примерно совпадают, но все же есть некоторые погрешности. Описание примененияТехническое заданиеИсследуйте два метода численного дифференцирования:
где xi – узел равномерной сетки с шагом h . Предполагается, что отрезок дифференцирования [ a , b ] разбит на n равных частей системой точек (сеткой)
Исследование проведите на примерах:
Относительную погрешность определяйте относительно максимального значения функции на интервале, абсолютную погрешность рассчитайте относительно значений аналитически вычисленной производной. Данная программа предназначена для исследования метода численного дифференцирования двумя способами. Программа была отлажена и проверена на вычислительной установке PC c процессором AMD Turion(tm) X2 Dual Core Mobile RM-76 2.30 Гц, работающей под управлением операционной системы Windows 7 Ultimate, ОЗУ 4 Гб. На других вычислительных установках программа не проверялась. Для выполнения программы выбрана вычислительная установка типа PC с процессором Pentium III (или быстрее) и 256 Мбайт оперативной памяти, оснащенной любой из следующих операционных систем: Windows NT и выше. Для компиляции исходного кода в исполняемый файлнеобходим компилятор MSVisualStudio версии 2005 и выше, совместимость с другими компиляторами не гарантируется. Программа derivation предназначена для исследования метода численного дифференцирования двумя способами. Данная программа написана на языке С++, реализована в компиляторе MicrosoftVisualStudio 2005. Для выполнения программы достаточно вычислительной установки типа PC с процессором Pentium III (или быстрее) и 256 Мбайт оперативной памяти, оснащенной любой из следующих операционных систем: Windows NT и выше. Программа derivation предназначена для исследования метода численного дифференцирования двумя способами. Численное дифференцирование применяется, если функцию y(x) трудно или невозможно продифференцировать аналитически – например, если она задана таблицей. Оно нужно также при решении дифференциальных уравнений при помощи разностных методов. Программа состоит из нескольких функций, рассмотрим их подробнее. Описание функции first_function Данная функция вычисляет значение y = cos 2 mx и возвращает. Описание функции first _ derivation _ real Данная функция вычисляет аналитическое значение производной первой функции. Описание функции Rus Данная функция предназначена для русификации программы Описание функции second_function Данная функция вычисляет значение y
= Описание функции second_derivation_real Данная функция вычисляет аналитическое значение производной второй функции. Описание функции first_derivation Данная функция производит дифференцирование первым способом Описание функции second_derivation Данная функция производит дифференцирование вторым способом pFunc func – указатель на функци., которую надо продифферинцировать Описание функции WriteToFile Данная функция записывает полученные значения в файл и вывод в консоли Описание функции compute_derivation Данная функция вычисляет производную Описание функции _finite Данная функция проверяет на конечность число. Описание функции main Данная функция служит для ввода исходных данных, объединения всех предыдущих функций, вычисления абсолютных и относительных погрешностей. Используемые технические средстваДля выполнения программы достаточно вычислительной установки типа PC с процессором Pentium III (или быстрее) и 256 Мбайт оперативной памяти, оснащенной любой из следующих операционных систем: Windows NT и выше. Вызов и загрузкаДля запуска программы derivationнеобходимо открыть директорию, в которой находится программа, и использовать (двойной или одиночный клик, в зависимости от настроек ОС) для запуска файл derivation.exe. После чего должна запуститься данная программа. Текст программы#include«main.h» using namespace std; char bufRus[256]; ofstream *_out; // Переводвюникод char* Rus (const char* text) { CharToOem (text, bufRus); return bufRus; } // параметр m для первой функции int param4func = 1; double first_function (double x) { //cos^2 (m*x) return cos (param4func*x)*cos (param4func*x); } // аналитическое значение производной первой функции double first_derivation_real (double x) { // -2 * sin (m*x) return -2 * sin (param4func*x); } // втораяфункция double second_function (double x) { // 1/x^2 return 1/(x*x); } // аналитическое значение производной второй функции double second_derivation_real (double x) { // -2 * 1/x^3 return -2 * 1/(x*x*x); } |










