Контрольная работа: Теория горения и взрыва
|
Название: Теория горения и взрыва Раздел: Рефераты по безопасности жизнедеятельности Тип: контрольная работа | |||||||||||||||||||||||||||||||||||||||||||||||||||||||||||||||||||||||||||||||||||||||||||||||||||||||||||||||||||||||||||||||||||||||||||||||||||||||||||||||||||||||||||||||||||||||||||||||||||||||||||||||||||||||||||||||||||||||||||||||||||||||||||||
Федеральное агентство по образованию РФ Государственное образовательное учреждение высшего профессионального образования «Уфимский Государственный Нефтяной Технический Университет» Кафедра «Промышленная безопасность и охрана труда» Контрольная работа по предмету: Теория горения и взрыва Уфа - 2010 1. Теоретические вопросы по взрыву В технологических процессах, связанных с добычей, транспортировкой, переработкой, получением, хранением и применением горючих газов (ГГ) и легковоспламеняющихся жидкостей (ЛВЖ), всегда имеется опасность образования взрывоопасных газо- и паровоздушных смесей. Взрывоопасную среду могут образовать смеси веществ (газов, паров, пылей) с воздухом и другими окислителями (кислород, озон. хлор, окислы азота и др.) и вещества, склонные к взрывному превращению (ацетилен, озон, гидразин и др.). Причинами взрывов наиболее часто является нарушение правил безопасной эксплуатации оборудования, утечки газов через неплотности в соединениях, перегрев аппаратов, чрезмерной повышение давления, отсутствие надлежащего контроля за технологическим процессом, разрыв или поломка деталей оборудования и др. Источником инициирования взрыва являются: открытое пламя, горящие и раскаленные тела; электрические разряды; - тепловые проявления химических реакций и механических воздействий; искры от удара и трения: ударные волны; - электромагнитные и другие излучения. Согласно ПБ 09-540-03 Взрыв это: I.Процесс скоротечного высвобождения потенциальной энергии, связанный с внезапным изменением состояния вещества и сопровождающийся скачком давления или ударной волной. 2. Кратковременное высвобождение внутренней энергии, создающее избыточное давление Взрыв может происходить с горением (процессом окисления) или без него. Параметры и свойства, характеризующие взрывоопасность среды: - температура вспышки; - концентрационные и температурные пределы воспламенения; - температура самовоспламенения; - нормальная скорость распространения пламени; - минимальное взрывоопасное содержание кислорода (окислителя); -минимальная энергия зажигания; -чувствительность к механическому воздействию (удару и трению). Опасными и вредными факторами, воздействующими на работающих в результате взрыва, являются: -ударная волна, во фронте которой давление превышает допустимое значение; - пламя; -обрушивающиеся конструкции, оборудование, коммуникации, здания и сооружения и их разлетающиеся части; -образовавшиеся при взрыве и (или) выделившиеся из поврежденного оборудования вредные вещества, содержание которых в воздухе рабочей зоны превышает предельно допустимые концентрации. Основные факторы, характеризующие опасность взрыва: - максимальное давление и температура взрыва; - скорость нарастания давления при взрыве; - давление во фронте ударной волны; - дробящие и фугасные свойства взрывоопасной среды. При взрыве исходная потенциальная энергия вещества превращается, как правило, в энергию нагретых сжатых газов, которая в свою очередь при их расширении переходит в энергию движения, сжатия, разогрева среды. Часть энергии остается в виде внутренней (тепловой) энергии расширившихся газов. Полное количество выделившейся при взрыве энергии определяет общие параметры (объема, площади) разрушений. Концентрация энергии (энергия в единице объема) определяет интенсивность разрушений в очаге взрыва. Эти характеристики в свою очередь зависят от скорости высвобождения энергии взрывоопасной системой, обуславливающей взрывной волны. Взрывы, наиболее часто встречающиеся в практике расследования, можно подразделить на две основные группы: химические и физические взрывы. К химическим взрывам относятся процессы химического превращения вещества, проявляющиеся горением и характеризующиеся выделением тепловой энергии за короткий промежуток времени и в таком объеме, что образуются волны давления, распространяющиеся от источника взрыва. К физическим взрывам относятся процессы, приводящие к взрыву и не связанные с химическими превращениями вещества. Причиной случайных взрывов чаще всего являются процессы горения. Взрывы такого рода чаще всего происходят при хранении, транспортировке и изготовлении взрывчатых веществ (ВВ). Они имеют место: - при обращении с ВВ и взрывоопасными веществами химической и нефтехимической промышленности; - при утечках природного газа в жилых домах; при изготовлении, транспортировке и хранении легколетучих или сжиженных горючих веществ; при промывке резервуаров для хранения жидкого топлива; при изготовлении, хранении и использовании горючих пылевых систем и некоторых самовозгорающихся твердых и жидких веществ. Особенности химического взрыва Существуют два основных типа взрывов: взрыв конденсированного ВВ и объемный взрыв (взрыв паров пылегазовых смесей). Взрывы конденсированных ВВ вызываются всеми твердыми ВВ и относительно незначительным числом жидких ВВ, включая нитроглицерин. Такие ВВ обычно имеют плотность 1300-1800 кг/м3, однако первичные ВВ содержащие свинец или ртуть, имеют намного большие плотности. Реакции разложения: Самый простой случай взрыва - процесс разложения с образованием газообразных продуктов. Например, разложение пероксида водорода с большим тепловым эффектом и образованием водяного пара и кислорода: 2Н2О2 → 2Н2О2 + О2 + 106 кДж/моль Пероксид водорода опасен, начиная с концентрации 60%. Разложение при трении или ударе азида свинца: Pb(N3)2 → Pb -ь 3N2 + 474 кДж/моль. Тринитротолуол (ТНТ) является веществом с «дефицитом кислорода» и поэтому одним из основных продуктов его распада является углерод, что способствует образованию дыма при взрывах ТНТ. Вещества, склонные к взрывчатому разложению, почти всегда содержат одну или несколько характерных химических структур, ответственных за внезапное развитие процесса с выделением большого количества энергии. Эти структуры включают следующие группы: -NO2 и NО3 - в органических и неорганических веществах; -N=N-N - в органических и неорганических азидах; -NX3, где X - галоид, -N=C в фульминатах. На основании законов термохимии представляется возможным выявить соединения, процесс разложения которых может оказаться взрывоопасным. Одним из решающих факторов, определяющих потенциальную опасность системы, является превалирование ее внутренней энергии в начальном состоянии по сравнению с конечным состоянием. Такое условие выполняется при поглощении тепла (эндотермическая реакция) в процессе образования вещества. Примером соответствующего процесса является образование ацетилена из элементов: 2С + Н2 → СН=СН - 242 кДж/моль. К веществам не взрывоопасным, которые теряют тепло в процессе образования (экзотермическая реакция), относятся, например, диоксид углерода С + О2 → СО2 + 394 кДж/моль. Следует учитывать, что применение законов термохимии позволяет лишь выявить возможность взрывного процесса. Осуществление его зависит от скорости реакции и образования летучих продуктов. Так, например, реакция парафина свечи с кислородом, несмотря на высокую экзотермичность, не приводит к взрыву из-за ее низкой скорости. Реакция 2Аl+ 4АС2О2 → Аl2О3 + 2Fе сама по себе, несмотря на высокую экзотермичность, также не приводит к взрыву, так как не образуются газообразные продукты. Окислительно-восстановительные реакции, составляющие основу реакций горения, по указанной причине могут приводив к взрыву только в условиях благоприятствующих достижению высоких скоростей реакции и росту давления. Сгорание сильно диспергированных твердых веществ и жидкостей может привести в условиях закрытого объема к росту избыточного давления вплоть до 8 бар Сравнительно редко, например в системах жидкого воздуха, где аэрозоль представляет собой туман из масляных капель. При реакциях полимеризации, сопровождаемых экзотермическим эффектом, и наличии летучего мономера часто достигается стадия, при которой может произойти опасное повышение давления, для некоторых веществ таких как этиленоксид, полимеризация может начаться при комнатной температуре особенно когда исходные соединения загрязняются веществами, ускоряющими полимеризацию. Этиленоксид может также изомеризоваться в ацетальдегид экзотермическим путем: СН2СН2О — СН3НС = О + 113,46 кДж/моль Реакции конденсации широко применяются в производстве красок, лаков и смол и вследствие экзотермичности процесса и наличия летучих компонентов приводят подчас к взрывам Для выяснения общих условий, благоприятствующих возникновению горения и его переходу во взрыв, рассмотри график (рисунок 1) зависимости температуры, развиваемой в горючей системе, от времени при наличии с ней объемного тепловыделения за счет химической реакции и теплопотерь. Если представить температуру Т1 на графике как критическою точку, при которой возникает горение в системе, становится очевидным, что в условиях, когда имеет место превышение теплопотерь над теплоприходом, такое горение возникнуть не может. Этот процесс начинается лишь при достижении равенства между скоростями тепловыделения и теплопотерь (в точке касания соответствующих кривых) и дальше способен ускоряться с повышением температуры и. тем самым, давления до взрыва. Таким образом, при наличии условий, благоприятствующих теплоизоляции, протекание экзотермической реакции в горючей системе может привести не только к горению, но и к взрыву. Возникающие неконтролируемые реакции, благоприятствующие взрыву, обусловлены тем, что скорость переноса тепла, например, и сосудах является линейной функцией разности температур между реакционной массой и охладителем, тогда как скорость экзотермической реакции и, тем самым, приток тепла от нее растет по степенному, закону с увеличением начальных концентраций реагентов и быстро возрастает при повышении температуры в результате экспоненциальной зависимости скорости химической реакции от температуры (закон Аррениуса). Эти закономерности обуславливают наименьшие скорости горения смеси и температуру на нижнем концентрационном пределе воспламенения. По мере приближения концентрации горючего и окислителя к стехиометрическим скорость горения и температура возрастают до максимальных знамений. Концентрация газа стехиометрического состава - концентрация горючего газа в смеси с окислительной средой, при которой обеспечивается полное без остатка химическое взаимодействие горючего и окислителя смеси. 3. Особенности физического взрываФизические взрывы, как правило, связывают со взрывами сосудов от давления паров и пазов. Причем основной причиной их образования является не химическая реакция, а физический процесс, обусловленный высвобождением внутренний энергии сжатого или сжиженного газа. Сила таких взрывов зависит от внутреннего давления, а разрушения вызываются ударной волной от расширяющегося газа или осколками разорвавшегося сосуда. Физический взрыв может произойти в случае, например, падения переносного баллона с газом под давлением и срыва вентиля, понижающего давление. Давление сжиженного газа редко превышает 40 бар (критическое давление большинства обычных сжиженных газов). К физическим взрывам относятся также явление так называемой физической детонации. Это явление возникает при смешении горячей и холодной жидкостей, когда температура одной из них значительно превышает температуру кипения другой (например, выливание расплавленного металла в воду). В образовавшейся парожидкостной смеси испарение может протекать взрывным образом вследствие развивающихся процессов тонкой флегматизации капель расплава, быстрого теплоотвода от них и перегрева холодной жидкости с сильным ее парообразованием. Физическая детонация сопровождается возникновением ударной волны с избыточным давлением в жидкой фазе, достигающем в ряде случаях более тысячи атмосфер. Многие жидкости хранятся или используются в условиях, когда давление их паров значительно превышает атмосферное. К числу таких жидкостей относятся: сжиженные горючие газы (например, пропан, бутан) сжиженные хладагенты аммиак или фреон, хранимые при комнатной температуре, метан, который должен храниться при пониженной температуре, перегретая вода в паровых котлах. Если емкость с перегретой жидкостью повреждается, то происходит истечение пара в окружающее пространство и быстрое частичное испарение жидкости. При достаточно быстром истечении и расширении пара в окружающей среде генерируются взрывные волны. Причинами взрывов сосудов с газами и парами под давлением являются: - нарушения целостности корпуса из-за поломки какого-либо узла, повреждения или коррозии при неправильной эксплуатации; - перегрев сосуда за счет нарушений в электрообогреве или режиме работы топочного устройства (в этом случае давление внутри сосуда повышается, а прочность корпуса понижается до состояния, при котором происходит ею повреждение); - взрыв сосуда при превышении допустимого давления. Взрывы газовых емкостей с последующим горением в атмосфере в основе своей содержат те же причины, которые описаны выше и характерны для физических взрывов. Основное различие заключается в образовании в данном случае огненного шара, размер которого зависит от количества выброшенного в атмосферу газообразного горючего. Это количество зависит, в свою очередь от физического состояния, в котором находится газ в емкости. При содержании горючего в газообразном состоянии его количество получится намного меньше, чем в случае хранения в той же емкости в жидком виде. Параметры взрыва, обуславливающие его последствия, в основном определяются характером распределения энергии в области взрыва и ее распределением по мере того, как взрывная волна распространяется от источника взрыва. 4. Энергетический потенциалВзрыв обладает большой разрушительной способностью. Важнейшей характеристикой взрыва являемся суммарная энергия вещества. Этот показатель называют энергетическим потенциалом взрывоопасности, он входит во все параметры, характеризующие масштабы и последствия взрыва. Энергетический потенциал взрывоопасности Е (кДж) блока определяется полной энергией сгорания парогазовой фазы, находящейся в блоке, с учетом величины работы ее адиабатического расширения, а также величины энергии полного сгорания испарившейся жидкости с максимально возможной площади ее пролива, при этом считается: -при аварийной разгерметизации аппарата происходит его полное раскрытие (разрушение); -площадь пролива жидкости определяется исходя из конструктивных решений зданий или площадки наружной установки; - время испарения принимается не более 1 часа: Е= ЕII1+ ЕII2+ ЕII1+ ЕII2+ ЕII3+ ЕII4 , взрыв пожарный помещение опасность где ЕI1 - сумма энергий адиабатического расширения и сгорания парогазовой фазы (ПГФХ непосредственно находящейся в блоке, кДж; ЕI2 - энергия сгорания ГПФ, поступившей к разгерметизированному участку от смежных объектов (блоков), кДж; ЕII1- энергия сгорания ГТГФ, образующейся за счет энергии перегретой ЖФ рассматриваемого блока и поступившей от смежных объектов кДж; ЕII2 - энергия сгорания ПГФ, образующейся из жидкой фазы (ЖФ) за счет тепла экзотермических реакций, не прекращающихся при разгерметизации, кДж; ЕII3 - энергия сгорания ПГФ. образующейся из ЖФ за счет теплопритока от внешних теплоносителей, кДж; ЕII4 - энергия сгорания ПГФ, образующейся из пролитой на твердую поверхность (пол, поддон, грунт и т.п.) ЖФ за счет теплоотдачи от окружающей среды (от твердой поверхности и воздуха, к жидкости по ее поверхности), кДж. По значениям общих энергетических потенциалов взрывоопасности и определяются величины приведенной массы и относительного энергетического потенциала, характеризующих взрывоопасность технологических блоков. Приведенная масса - это общая масса горючих паров (газов) взрывоопасного парогазового облака, приведенная к единой удельной энергии сгорания, равной 46000 кДж/кг:
Относительный энергетический потенциал взрывоопасности Qв технологического блока, который характеризует полную энергию сгорания и может находиться расчетным методом по формуле:
где Е - общий энергетический потенциал взрывоопасности технологического блока. По значениям относительных энергетических потенциалов Ов к приведенной массе парогазовой среды т осуществляется категорирование технологических блоков. Показатели категории взрывоопасности технологических блоков приведены в таблице 1. Таблица №
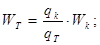
5. Тротиловый эквивалент. Избыточное давление во фронте ударной волны Для оценки уровня воздействия случайных и преднамеренных в срывов широко применяется метод оценки через тротиловый эквивалент. По этому методу степень разрушения характеризуют тротиловым эквивалентом, где определяют массу тротила, которая требуется, чтобы вызвать данный уровень разрушений.Тротиловый эквивалент взрыва парогазовой среды Wτ(кг) определяемый по условиям адекватности характера и степени разрешения при взрывах парогазовых облаков, а также твердых и жидких химически нестабильных соединений, рассчитывается по формулам: 1 Для парогазовых сред
где 0,4 − доля энергии взрыва парогазовой среды, затрачиваемая непосредственно на формирование ударной волны; 0,9 − доля энергии взрыва тринитротолуола (ТНТ), затрачиваемая непосредственно на формирование ударной волны; q/ − удельная теплота сгорания парогазовой среды, кДж кг, qT − удельная энергия взрыва ТНТ кДж/кг. 2 Для твердых и жидких химически нестабильных соединений
где Wk- масса твердых и жидких химически нестабильных соединений; qk− удельная энергия взрыва твердых и жидких химически нестабильных соединений. На производстве при взрыве газовоздушной, паровоздушной смеси или пыли образуется ударная волна. Степень разрешения строительных конструкций, оборудования, машин и коммуникаций, а также поражение людей зависит от избыточного давления во фронте ударной волны ΔРФ (разность между максимальным давлением во фронте ударной волны и нормальным атмосферным давлением перед этим фронтом). Расчеты оценки действия горючих химических газов и жидкостей сводятся к определению избыточного давления в фронте ударной волны (ΔРФ) при взрыве газовоздушной смеси на определенном расстоянии от емкости, в которой хранится определенное количество во взрывоопасной смеси. 6. Расчет по определению избыточного давления взрыва Расчет избыточного давления взрыва для горючих газов, паров легковоспламеняющихся и горючих жидкостей производится по методике, изложенной в НПБ 105-03 «Определение категорий помещений, зданий и наружных установок по взрывопожарной и пожарной опасности». Задание: определить избыточное давление взрыва сероводорода в помещении. Исходные условияСроводород постоянно находится в аппарате объемом 20 м3. Аппарат расположен на полу. Суммарная длина трубопроводов диаметром 50 мм, ограниченная задвижками (ручными), установленными на подводящем и отводящем участках трубопроводов, составляет 15 м. Расход сероводородаа в трубопроводах 4·10-3 м3/с. Размеры помещения − 10x10x4 м. В помещении имеется аварийная вентиляция с кратностью воздухообмена 8 ч-1. Аварийная вентиляция обеспечена резервными вентиляторами, автоматическим пуском при превышении предельно допустимой взрывоопасной концентрации и электроснабжением по первой категории надежности (ПУЭ). Устройства для удаления воздуха из помещения расположены в непосредственной близости от места возможной аварии. Основные строительные конструкции здания железобетон. Обоснование расчетного варианта Согласно НПБ 105-03 в качестве расчетного варианта аварии следует принимать наиболее неблагоприятный вариант аварии, при котором участвует наибольшее количество веществ, наиболее опасных в отношении последствий взрыва. И в качестве расчетного варианта принят вариант разгерметизации емкости с сероводородом и выход из неё и подводящею и отводящего трубопроводов сероводорода в объем помещения. 1) Избыточное давление взрыва
где
За расчетную температуру принимается максимальная абсолютная температура воздуха для г.Уфа равная 39°С (согласно СНиП 23-01-99 «Строительная климатология»). Ниже приведен расчет величин, необходимых для определения избыточного давления взрыва сероводорода в помещении. Плотность сероводорода при расчетной температуре:
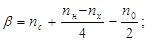
где М − молярная масса сероводорода, 34,08 кг/кмоль; v0 − мольный объем, равный 22,413 м3/кмоль; 0,00367− коэффициент температурного расширения, град -1; tp − расчетная температура, 390С (абсолютная максимальная температура воздуха для г. Уфы). Стехиометрическая концентрация сероводорода рассчитывается по формуле:
где β − стехиометрический коэффициент кислорода в реакции сгорания;
nc, nн, n0, nх, − число атомов С,Н,О и галоидов в молекуле горючего; Для сероводорода (Н2S) nc= 1, nн = 4, n0 = 0, nх = 0, следовательно,
Подставим найденное значение β, получим значение стехиометрической концентрации сероводорода:
Объем сероводорода поступившего при расчетной аварии в помещение, состоит из объема газа, вышедшей из аппарата, и объема газа, вышедшей из трубопровода до закрытия задвижек и после закрытия задвижек:
где Va− объем газа вышедшей из аппарата, м3; V1T− объем газа вышедшей из трубопровода до его отключения, м3; V2T − объем газа вышедшей из трубопровода после его отключения, м3;
где q− расход жидкости, определяемый в соответствии с технологическим регламентом, м3/с; T − продолжительность поступления газа в объем помещения, определяемое по п.38 НПБ 105-03 с;
где в − внутренний диаметр трубопроводов, м; Ln − длина трубопроводов от аварийного аппарата до задвижек, м; Таким образом, объем сероводорода, поступившего в помещение при рассматриваемом варианте аварии:
Масса сероводорода в помещении:
В случае обращения в помещении горючих газов, легковоспламеняющихся или горючих газов, легковоспламеняющихся или горючих жидкостей при определении значения массы При этом массу горючих газов или паров легковоспламеняющихся или горючих жидкостей, нагретых до температуры вспышки и выше, поступивших в объем помещения, следует разделить на коэффициент
где
Масса сероводорода, находящихся в помещении при рассматриваемом варианте аварии:
Результаты расчетов
Таблица. Предельно допустимое избыточное давление при сгорании газо-, паро- или пылевоздушных смесей в помещениях или в открытом пространстве
Исходные и расчетные данные сведены в таблицу 2. Таблица 2 - Исходные и расчетные данные
7. Определение категории помещений и зданий по взрывопожарной и пожарной опасности Согласно НПБ 105-2003 категории помещений по взрывопожарной и пожарной опасности принимаются в соответствии с таблицей 4. Определение категорий помещений следует осуществлять путем последовательной проверки принадлежности помещения к категориям от высшей (А) к низшей (Д). Таблица 4 - Категории помещений по взрывопожарной и пожарной опасности
Вывод: Помещение относится к категории А, так как в нем возможен выход горючего газа (сероводород) в таком количестве, что может образовать взрывоопасные парогазовоздушные смеси, при воспламенении которых развивается расчетное избыточное давление взрыва в помещении, превышающее 5 кПа. 8. Определение значений энергетических показателей взрывоопасности технологического блока при взрыве Энергетический потенциал взрывоопасности Е (кДж) блока определяется полной энергией сгорания парогазовой фазы, находящейся в блоке, с учетом величины работы ее адиабатического расширения, а также величины энергии полного сгорания испарившейся жидкости с максимально возможной площади ее пролива, при этом считается: 1) при аварийной разгерметизации аппарата происходит его полное раскрытие (разрушение); 2) площадь пролива жидкости определяется исходя из конструктивных решений зданий или площадки наружной установки; 3) время испарения принимается не более 1 ч: Е =
q' =23380 кДж/кг - удельная теплота сгорания ПГФ (сероводорода);
Для практического определения энергии адиабатического расширения ПГФ можно воспользоваться формулой A = b1PV; где b1 — может быть принято по табл. 5. При показателе адиабаты k=1,2 и давлении 0,1 МПа, равно 1,40. Таблица 5. Значение коэффициента b1 в зависимости от показателя адиабаты среды и давления в технологическом блоке
Энергетический потенциал взрывоопасности блока равен: Е=628923,51 кДж. По значениям общих энергетических потенциалов взрывоопасности Е определяются величины приведенной массы и относительного энергетического потенциала, характеризующих взрывоопасность технологических блоков. Общая масса горючих паров (газов) взрывоопасного парогазового облака т, приведенная к единой удельной энергии сгорания, равной 46 000 кДж/кг:
Относительный энергетический потенциал взрывоопасности Qв технологического блока находится расчетным методом по формуле
По значениям относительных энергетических потенциалов Qв и приведенной массе парогазовой среды m осуществляется категорирование технологических блоков. Показатели категорий приведены в табл. 5. Таблица 4. Показатели категорий взрывоопасности технологических блоков
Вывод: Помещение относится к III категории взрывоопасности, так как общая масса взрывоопасного парогазового облака сероводородаа приведенная к единой удельной энергии сгорания, равна 16,67 кг, относительный энергетический потенциал взрывоопасности равен 5,18. 9. Расчет взрывоопасной концентрации газовоздушной смеси в помещении. Определение класса помещения по взрывопожароопасности поПУЭ Определим объем взрывоопасной концентрации сероводородаа в помещении:
где т - масса паровоздушной смеси в помещении, кг, НКПВ - нижний концентрационный предел воспламенения, г/м3. Концентрация паровоздушной смеси в помещении составит:
где VCM − объем взрывоопасной концентрации сероводорода в помещении, м3, VC6 − свободный объем помещения, м3. Результаты расчета представлены в таблице 6. Таблица 6. Результаты расчета концентрации газовоздушной смеси
Согласно ПУЭ рассматриваемая помещение относится к классу В-Ia - зоны, расположенные в помещениях, в которых при нормальной эксплуатации взрывоопасные смеси горючих газов (независимо от нижнего предела воспламенения) или паров ЛВЖ с воздухом не образуются, а возможны только в результате аварий и неисправностей. 10. Определение зон разрушения при взрыве. Классификация зон разрушений Радиусы зон разрушений при взрыве газовоздушной смеси определялись согласно методике, изложенной в Приложении 2 ПБ 09-540-03. Масса парогазовых веществ (кг), участвующих во взрыве, определяется произведением
где z − доля приведенной массы сероводорода, участвующих во взрыве (для ГГ равна 0,5), т − масса сероводорода в помещении, кг. Для оценки уровня воздействия взрыва может применяться тротиловый эквивалент. Тротиловый эквивалент взрыва парогазовой среды WT (кг), определяется по условиям адекватности характера и степени разрушения при взрывах парогазовых облаков, а также твердых и жидких химически нестабильных соединений. Для парогазовых сред тротиловый эквивалент взрыва рассчитывается:
где 0,4 − доля энергии взрыва парогазовой среды, затрачиваемая непосредственно на формирование ударной волны; 0,9 − доля энергии взрыва тринитротолуола (ТНТ), затрачиваемая непосредственно на формирование ударной волны; q'−удельная теплота сгорания парогазовой среды, кДж/кг; qT — удельная энергия взрыва ТНТ, кДж/кг. Зоной разрушения считается площадь с границами, определяемыми радиусами R, центром которой является рассматриваемый технологический блок или наиболее вероятное место разгерметизации технологической системы. Границы каждой зоны характеризуются значениями избыточных давлений по фронту ударной волны АР и соответственно безразмерным коэффициентом К. Классификация зон разрушения приводится в таблице 6. Таблица 7. Уровень возможных разрушений при взрывном превращении облаков топливовоздушных смесей
Радиус зоны разрушения (м) в общем виде определяется выражением:
где К — безразмерный коэффициент, характеризующий воздействие взрыва на объект.
Результаты расчета радиусов зон разрушений при взрыве топливно-воздушной смеси в помещении представлены в таблице 7. Таблица 7 - Результаты расчета радиусов зон разрушений
Список использованных источников 1. Бесчастнов М.В. Промышленные взрывы. Оценка и предупреждение. - М. Химия, 1991. 2. Безопасность жизнедеятельности, Безопасность технологических процессов и производств (Охрана труда): Учеб, Пособие для вузов / П.П.Кукин, В.Л. Лапин, Н,Л. Пономарев и др, - М.,: Высш. шк.т 2001, 3. ПБ 09-540-03 «Общие правила взрывобезопасности для взрывопожароопасных химических, нефтехимических и нефтеперерабатывающих производств». 4. ГОСТ 12.1,010-76* Взрывобезопасность 5. НПБ 105-03 «Определение категорий помещений и зданий, наружных установок по взрыволожарной и пожарной опасности». 6. СНиП 23 -01-99 Строительная климатология. 7. Пожаровзрывоопасность веществ и материалов и средства их тушения. Под ред. А„ Н. Баратова и А. Я. Корольченко. М., Химия, 1990. 8. Правила устройства электроустановок. Изд. 7-е. |
|||||||||||||||||||||||||||||||||||||||||||||||||||||||||||||||||||||||||||||||||||||||||||||||||||||||||||||||||||||||||||||||||||||||||||||||||||||||||||||||||||||||||||||||||||||||||||||||||||||||||||||||||||||||||||||||||||||||||||||||||||||||||||||
(1)
.




