Дипломная работа: Нарушение экспрессии D-глюкуронил С5-эпимеразы как возможная причина изменения структуры протеогликанов в опухоли молочной железы человека
|
Название: Нарушение экспрессии D-глюкуронил С5-эпимеразы как возможная причина изменения структуры протеогликанов в опухоли молочной железы человека Раздел: Рефераты по медицине Тип: дипломная работа | |||||||||||||||||||||||||||||||||||||||||||||||||||||||||||||||||||||||||||||||||||||||||||||||||||||||||||||||||||||||||||||||||||||||||||||||||||||||||||||||||||||||||||||||||||||||||||||||||||||||||||||||||||||||||||||||||||||||||||||||||||||||||||||||||||||||||||||||||||||||||||||||||||||||||||||||||||||||||||||||||||||||||||||||||||||||||||||||||||||||||||||||||||||||||||||||||||||||||||||||||||||||||||||||||||||||||||||||||||||||||||||||||||||||||||||||||||||||||||||||||||||||||||||||||||||||||||||||||||||||||||||||||||||||||||||||||
Новосибирский Государственный Университет Факультет Естественных Наук Кафедра Молекулярной Биологии Дипломная работа Нарушение экспрессии D-глюкуронил С5-эпимеразы как возможная причина изменения структуры протеогликанов в опухоли молочной железы человека Бородина Анастасия Вячеславовна Научные руководители: к. б. н. Рыкова В.И., с. н. с. лаборатории Структуры генома ИЦиГ СО РАН. к. б. н. Григорьева Э.В., с. н. с. лаборатории Молекулярных механизмов канцерогенеза Института Молекулярной Биологии и Биофизики СО РАМН. Работа выполнена в лаборатории Структуры генома ИЦиГ СО РАН и лаборатории Молекулярных механизмов канцерогенеза Института Молекулярной Биологии и Биофизики СО РАМН Новосибирск-2009 СодержаниеСодержание Введение 1.1 Протеогликаны 1.2 Отличие протеогликанов от гликопротеинов 1.3 Классификация протеогликанов 1.4 Строение и классификация гликозаминогликанов 1.5 Присоединение цепей ГАГ к коровому белку 1.7 Хондроитинсульфат протеогликаны 1.8 Дерматансульфат протеогликаны 1.9 Гепарансульфат протеогликаны и гепарин 1.10 Кератансульфат протеогликаны 1.11 Биосинтез протеогликанов 1.13 Локализация и функции протеогликанов 1.14 Состав протеогликанов в трансформированных клетках 1.14.1 Декорин 1.14.2 D-глюкуронил С5-эпимераза Глава 2. Материалы и методы 2.1.1 Операционный материал 2.2 Методы 2.2.1 Выделение протеогликанов 2.2.2 Очистка препаратов протеогликанов от примесей нуклеиновых кислот 2.2.3 Идентификация протеогликанов 2.2.4 Аналитические методы 2.2.6 Электрофорез Глава 3. Результаты и обсуждение 3.1 Выделение протеогликанов 3.2 Отработка условий проведения электрофореза протеогликанов в агарозном геле 3.3 Очистка препаратов протеогликанов от примесей нуклеиновых кислот 3.3.1 Обработка препаратов протеогликанов щелочью 3.3.2 Обработка препаратов протеогликанов нуклеазами 3.4 Сравнение состава протеогликанов в контрольной и опухолевой ткани молочной железы человека 3.5 Количественная оценка протеогликанов 3.6 Идентификация фракций протеогликанов 3.6.1 Обработка препаратов протеогликанов специфическими ферментами 3.6.2 Обработка препаратов протеогликанов азотистой кислотой 3.7 Определение экспрессии декорина в контрольной и опухолевой ткани молочной железы человека Заключение Список сокращенийАТ - антитела ВКМ - внеклеточный матрикс ГАГ - гликозаминогликаны ГС - гепарансульфат Ге - гепарин ГК - гиалуроновая кислота ДС - дерматансульфат КС - кератансульфат НК - нуклеиновые кислоты ПААГ - полиакриламидный гель ПГ - протеогликаны ПЦР - полимеразная цепная реакция ХС - хондроитинсульфат Эпимераза - D-глюкуронил С5-эпимераза Ac - ацетил Gal - галактоза GalN - галактозамин GlcN - глюкозамин GlcUA - глюкуроновая кислота IdoUA - идуроновая кислота Fuc - фукоза Man - манноза SA - сиаловая кислота Xyl - ксилоза ВведениеПроблема регуляции клеточной пролиферации является одной из ключевых проблем биологии. Нарушения в регуляции деления клеток приводят к изменению их митотической активности, что влечет за собой возникновение различных патологических состояний, в том числе злокачественную трансформацию. В регуляции клеточного деления принимают участие различные биологические молекулы, в том числе и сложные белково-углеводные молекулы - протеогликаны. Известно, что определенные представители протеогликанов обладают антимитотической активностью. В нашей группе было показано, что состав и количество протеогликанов в трансформированных клетках меняется. В опухолевых тканях, наряду с общим увеличением количества протеогликанов, снижается содержание дерматансульфат протеогликанов, характерных для покоящихся клеток, и возрастает содержание хондроитинсульфат протеогликанов, характерных для эмбриональных и активно пролиферирующих тканей. Были получены данные, что протеогликаны являются тканеспецифичными, но не видоспецифичными ингибиторами деления клеток и привлекают внимание как регуляторы клеточной пролиферации, в том числе как перспективные ингибиторы роста злокачественных опухолей. Для некоторых протеогликанов, в частности, для декорина (дерматансульфат протеогликана), показан механизм антипролиферативного действия (через усиление экспрессии р21-белка и подавление активности циклин-зависимых киназ). Было показано, что в опухолевых клетках содержание декорина уменьшается. Добавление экзогенного декорина или генноинженерных конструкций, содержащих ген декорина, в культуру опухолевых клеток приводило к возвращению опухолевых клеток к нормальному фенотипу. Однако вопрос о причинах уменьшения содержания декорина в опухолевых клетках до сих пор не поднимался. Нашей группой было выдвинуто предположение, что возможно, в опухолевых клетках происходят изменения в процессе биосинтеза протеогликанов. Известно, что ключевым ферментом биосинтеза дерматансульфат протеогликанов является D-глюкуронил С5-эпимераза - фермент, осуществляющий модификацию углеводной цепи хондроитинсульфата в дерматансульфат. Нарушение экспрессии или изменение активности фермента D-глюкуронил С5-эпимеразы может служить причиной изменения соотношения хондроитинсульфатов и дерматансульфатов в тканях - уменьшению количества зрелого дерматансульфата (в том числе и декорина). Для проверки этой гипотезы требуется провести параллельное определение состава протеогликанов и уровня экспрессии/активности D-глюкуронил С5-эпимеразы в одних и тех же образцах нормальной и опухолевой ткани. В качестве объекта исследования нами выбрана нормальная и опухолевая ткань молочной железы человека. Данная дипломная работа посвящена определению состава протеогликанов и экспрессии белковой молекулы D-глюкуронил С5-эпимеразы в нормальной и опухолевой ткани молочной железы человека. Глава 1. Обзор литературы1.1 ПротеогликаныПротеогликаны (ПГ) - это семейство сложных макромолекулярных соединений, состоящих из белкового кора и ковалентно присоединенных к нему углеводных цепей - гликозаминогликанов (ГАГ) (рис.1).
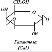
Рис.1. Структура протеогликана аггрекана 1.2 Отличие протеогликанов от гликопротеиновЕще недавно бытовало общепринятое разделение: гликопротеин - гликозилированный белок, протеогликан - углеводная молекула с небольшой белковой частью. Это разделение слишком неопределенное. Существуют более четкие отличительные параметры, позволяющие выделить портеогликаны в обособленный класс белково-углеводных молекул. Протеогликан - это гликопротеин, к которому присоединены углеводные цепи ГАГ. Гликозаминогликаны являются регулярными (повторяющиеся дисахаридные единицы), неразветвленными , высокозаряженными полимерами. Они присоединяются к коровому белку через кислород остатков серина (за некоторым исключением) - О -гликозилирование. В то время как гликопротеины, к которым относится большинство белков, модифицированы углеводными цепями, не имеющими регулярного строения, эти цепи зачастую не являются линейными (имеют ветвления) и либо состоят из нейтральных моносахаров, либо несут незначительный заряд . Олиго - или полисахаридные цепи в гликопротеинах присоединяются к полипептидным цепям через кислород остатков серина или (чаще) азот остатков аспарагина (О - или N -гликозилирование). К тому же цепи ГАГ значительно превосходят по длине углеводные цепи гликопротеинов. Например, цепь ГАГ с молекулярным весом 20 кДа содержит около 50 остатков сахаров, в то время как типичный N-гликан содержит 10-12 остатков. Протеогликаны могут нести на своем коровом белке помимо ГАГ-цепей также короткие нерегулярные олигосахариды. При этом свойства сложной молекулы определяются в основном типом ГАГ-цепи, хотя олигосахариды могут также влиять на биологическую активность. Если к гликопротеину присоединена хотя бы одна цепь ГАГ, он является протеогликаном. 1.3 Классификация протеогликановКлассифицируют протеогликаны по типу доминантных цепей ГАГ, присоедненных к коровому белку. 1.4 Строение и классификация гликозаминогликановГликозаминогликаны представляют собой линейные гетерополисахариды, составленные из повторяющихся дисахаридных единиц, каждая из которых состоит из гексозамина ( D-глюкозамина - GlcN или D-галактозамина - GalN), соединенного с гексуроновой кислотой (D-глюкуроновой - GlcUA, или L-идуроновой - IdоUA), присутствующей во всех ГАГ, за исключением кератансульфата, где она замещена остатками галактозы (Gal).
Дисахаридные единицы могут быть N - и O-сульфатированы и/или ацетилированы. Степень сульфатирования ГАГ намного выше, чем других макромолекул и достигает 3-4 сульфатных групп на дисахарид. Благодаря сульфатным и карбоксильным группам ГАГ имеют очень высокую плотность отрицательного заряда, что во многом определяет их биологические свойства и регулирует их взаимодействие с другими молекулами. В зависимости от структуры дисахарида, а также степени сульфатирования, все ГАГ разделяют на несколько классов: гиалуроновая кислота (ГК), хондроитинсульфаты (ХС), дерматансульфаты (ДС), гепарансульфаты (ГС), гепарин (Ге), кератансульфаты (КС) (таблица 1 и рис.2). Зачастую на одном белковом коре находятся разные типы ГАГ-цепей. Таблица 1. Классы гликозаминогликанов (ГАГ)
Рис.2. Структура дисахаридов, образующих цепи ГАГ различных классов 1.5 Присоединение цепей ГАГ к коровому белкуЦепи большинства ГАГ присоединяются к остатку серина корового белка через тетрасахаридный линкер: - Xyl-Gal-Gal-GlcUA-, далее следуют соответствующие чередующиеся дисахаридные единицы (рис.3). ГАГ-цепи присоединяются к остаткам серина определенных ГАГ-акцепторных сайтов на коровом белке: "-A-Ser-Gly-X-Gly-", где А - кислая аминокислота, а Х - точно не определена [1]. Дипептид Ser-Gly в последовательности акцепторного сайта белка является основным требованием для узнавания ферментом ксилозилтрансферазой, переносящим остаток ксилозы на серин [2].
Рис.3. Структура линкерного района протеогликанов У кератансульфат протеогликанов линкерный район имеет разветвленное строение. Цепи ГАГ присоединяются к коровому белку либо через остаток аспарагина (N-гликозилирование) - КС I (рис.4), либо через остаток серина/треонина (О-гликозилирование) – КС II.
Рис.4. Структура линкерного района кератансульфат протеогликанов 1.6 Гиалуроновая кислотаПовторяющаяся дисахаридная единица гиалуроновой кислоты - GlcNAc-GlcUA. ГК широко распространена в природе, от капсул Streptococcus дотканей беспозвоночных и позвоночных организмов [3]. У млекопитающих ГК присутствует в коже, скелетной ткани, стекловидном теле глаза, пупочном канатике и синовиальной жидкости [4]. Типичный полимер может содержать 104 дисахаридных единиц (от 105 до107 Да) [5]. В растворе ГК имеет вытянутую структуру - будучи растянутым, полимер 106 Да имеет длину около 2 мкм. Благодаря своей длине, молекулы ГК стремятся образовать запутанную ситоподобную структуру. При концентрации 10 мг/мл вязкость (η) ГК составляет 5000 (т.е. в 5000 раз превышает вязкость воды), что придает упругость тканям, в которых гиалуроновая кислота присутствует в высокой концентрации (гребень петуха, стекловидное тело и др.). ГК является биологическим любрикантом - уменьшает трение при движении и обеспечивает упругость в статических условиях, участвует в поддержании гомеостаза воды, является своего рода фильтром и регулирует распределение белков плазмы [3]. Поскольку ГК имеет однородную структуру, может показаться, что она не принимает участия в специфических взаимодействиях. Однако это не так: обнаружена группа белков (гиаладгеринов), специфично узнающих структуру ГК. Такого типа взаимодействия связывают ГК с протеогликанами, стабилизируя структуру внеклеточного матрикса, и с клеточными поверхностями, изменяя поведение клеток [3]. Биосинтез ГК представляет собой кополимеризацию GlcNAcи GlcUA, донорами которых выступают высокоэнергетические нуклеотидные предшественники: UDP-GlcNAcи UDP-GlcUA, соответственно. В отличие от остальных гликозаминогликанов, ГК никогда ковалентно не присоединяется к белку. Биосинтез ГК происходит в плазматической мембране, что является исключением из правила, гласящего, что гликозилирование осуществляется в аппарате Гольджи [5, 6]. Катаболизируется ГК в лизосомах после рецептор-опосредованного эндоцитоза, на месте или же (после транспорта с током лимфы) в лимфатических узлах, где деградируется основная доля ГК [3]. 1.7 Хондроитинсульфат протеогликаныХондроитинсульфаты представляют собой линейные полимеры, состоящие из повторяющихся дисахаридных единицGalNAc-GlcUA. В составе ДС-цепей присутствуют также остатки IdoUA (вместо GlcUA) в различных пропорциях. Количество дисахаридов в составе ХС-цепи варьирует от 40 до 100 и более штук. Выделяют 6 классов ХС, в соответствии со структурой дисахаридных единиц: ХС А, ХС В (ДС), ХС С, ХС D, ХС Е и ХС iE (i-идуроновая кислота) (рис.5).
Рис.5. Шесть типичных дисахаридных единиц, обнаруженных в ХС и ДС Огромное структурное разнообразие ХС и ДС, сравнимое с таковым у гепарансульфатов, обеспечивается включением в состав ГАГ-цепей дисахаридных единиц различной структуры и сульфатированных по различным положениям. Такое структурное разнообразие лежит в основе широкого круга функций. ХС и ДС принимают участие в регуляции таких фундаментальных процессов, как рост, развитие, клеточная пролиферация, модулируя активность факторов роста. ХС и ДС специфично взаимодействуют с гепарин-связывающими белками. Взаимодействия ДС-цепей с факторами роста фибробластов (FGF-2 и FGF-7) регулируют клеточную пролиферацию и заживление ран, а взаимодействия ДС с фактором роста гепатоцитов (HGF/SF) активируют HGF/SF-сигнальный путь через рецептор этого фактора роста (c-met-протоонкоген). ХС/ДС-протеогликан эндокан, секретируемый эндотелиальными клетками, стимулирует HGF/SF-индуцированную клеточную пролиферацию. Поскольку HGF/SFиграет важную роль в процессах морфогенеза, органогенеза, дифференцировки и ангиогенеза во многих типах клеток, то нарушения во взаимодействиях HGF/SFс его рецептором или же с предполагаемым корецептором ДС может привести к образованию опухоли и ее метастазированию. ХС-цепи сходным образом взаимодействуют и с другими гепарин-связывающими белками. ХС/ДС-цепи протеогликана версикана, который экспрессируется в почках, коже, аорте, мозге, связываются, наряду с хемокинами, с адгезивными молекулами L - и P-селектинами. Все три типа молекул вовлечены в регуляцию движения лимфоцитов и резвитие воспалительных процессов [7]. Основные представители ХСПГ приведены в таблице 2. Таблица 2. Примеры хондроитинсульфат протеогликанов
1.8 Дерматансульфат протеогликаныДС, также называемые хондроитинсульфатами В ( ХСВ), состоят из дисахаридных единиц D-GlcUA (L-IdоUA) - D-GalNАс. ДС относят к хондроитинсульфатам благодаря присутствиюв нихGalNAc, но из-за присутствия IdоUA их выделяют в отдельный класс ХС. Дерматансульфат может быть рассмотрен как изомер ХС, в котором D-глюкуроновая кислота превращена в L-идуроновую. Однако полной эпимеризации всех остатков GlcUA, как правило, не происходит. Таким образом, цепи ДС являются гибридными молекулами с разными последовательностями. Формирование L-IdoUAпроисходит путем С5-эпимеризации GlcUA, уже вошедшей в растущий полимер. Количество L-IdoUAв цепи варьирует в широких пределах - от нескольких процентов до 90% всей идуроновой кислоты. Среднее количество сульфатных групп на дисахарид в ДС выше, чем в ХС, что связано с наличием двух сульфатных групп у некоторых остатков L-IdoUA. IdоUAиграет ключевую роль в формировании на ГАГ сайтов посадки различных ГАГ-связывающих белков. Подтверждением этого служит тот факт, что ГАГ-цепи, содержащие значительные количества остатков IdоUA, ингибируют пролиферацию нормальных фибробластов, в отличие от ГАГ с высоким содержанием остатковGlcUA. Дерматансульфаты изучены значительно хуже других типов гликозаминогликанов. Впервые ДС были выделены из дермы, что и обусловило их название. ДС обнаружены и во многих других тканях. В высоких концентрациях они присутствуют в волокнистой соединительной ткани (в коже, сухожилиях, стенке кровеносных сосудов). ДС преобладают в коже и выделяются в высоких концентрациях в процессе заживления ран. протеогликан белковая молекула опухоль ДС выполняют множество функций, обеспечивая гибкое регулирование нормальных и патологических процессов, таких как развитие, рост, заживление ран, инфекция и опухолевый рост. Различия в длине ГАГ-цепи ДС, различное положение остатков IdоUA, вариации в сульфатировании и существование множества альтернативных форм коровых белков обеспечивают огромное разнообразие и сложность ДС и ДСПГ. Существует множество доказательств того, что различия в длине ГАГ-цепей, составе дисахаридов и сульфатировании определяют силу связывания различных факторов и регулируют функциональные взаимодействия ДС с потенциальными белковыми лигандами. ДС модифицируются путем сульфатирования по С4 - и С6 - атомам гексозамина (как и ХС А и ХС С) и эпимеризации С2-атома уроновой кислоты (как ГС и Ге). Оба процесса контролируются регулируемыми ферментативными системами так, что в итоге в структуре ГАГ оказывается закодированной функциональная информация. Таким образом, для ДС информационная последовательность состоит из трех вариаций структуры уроновой кислоты ( GlcUA, IdoUAили 2-O-сульфатированная IdoUA) и четырех вариаций структуры гексозамина (GalNAc, 4-O-сульфатированный GalNAc, 6-O-сульфатированный GalNAс, 4-O - и 6-O-дисульфатированный GalNAc). Также в дальнейшем (при образовании протеогликана) на информационную последовательность ДС оказвает влияние тип корового белка, специфичного к данной стадии развития и к данным физиологическим условиям. Два наиболее изученных дерматансульфат протеогликана - маленькие лейцин-богатые ПГ декорин и бигликан. Оба протеогликана содержат маленький белковый кор, оба являются секретируемыми матриксными белками. Декорин и бигликан несут 1 и 1-2 ДС-цепи, соответственно. ДСПГ взаимодействуют со множеством молекул, таких как молекулы внеклеточного матрикса, факторы роста, ингибиторы протеаз, цитокины, хемокины, факторы вирулентности патогенов и др. Некоторые из этих молекул приведены в таблице 3. Tаблица 3. Связывание ДС и ДСПГ с различными молекулами
- нет данных. Подробно функции ДСПГ описаны в обзоре [8]. 1.9 Гепарансульфат протеогликаны и гепаринГС и Ге - структурно родственные ГАГ с повторяющимися дисахаридными единицами GlcNAcα1-4GlcAβ1-4. Однако между ними существуют значительные различия, важнейшие из которых приведены в таблице 4. Таблица 4. Основные различия между гепарансульфатами и гепарином
Гепарин синтезируется в тучных клетках и запасается в цитоплазматических гранулах. Он продается фармацевтическими компаниями как антикоагулянт. ГС, синтезирующиеся практически всеми типами клеток, также обладают антикоагуляционной активностью, однако в значительно меньшей степени, чем гепарин. В процессе биосинтеза гепарин значительно сильнее сульфатируется, в итоге более 85% остатков GlcNAcоказываются N-деацетилироваными и N-сульфатированными. И более 70 % остатков уроновой кислоты в гепарине претерпевает эпимеризацию [9]. Гепарин имеет самую высокую плотность отрицательного заряда среди известных биологических макромолекул. Это дает ему возможность осуществления ионных взаимодействий со множеством белков, таких как ферменты, ингибиторы ферментов, белки внеклеточного матрикса, различные цитокины и др. Такого рода взаимодействия используются при очистке гепарин-связывающих белков, которые сорбируются на иммобилизованном гепарине при низкой ионной силе, а затем элюируются солевым раствором. Гепарин выделяют на коммерческой основе из тканей животных (из слизистой кишечника свиней, легкого коров). Он используется в клинике как антитромболитическое лекарство. Гепарансульфаты широко распространены на поверхности всех типов клеток, а также во внеклеточном матриксе. ГС взаимодействуют с различными белками, тем самым участвуя в широком спектре физиологических процессов, таких как клеточная адгезия, ферментативная регуляция, действие цитокинов и др. [10] Примеры гепарансульфат протеогликанов приведены в таблице 5. Таблица 5. Примеры гепарансульфат протеогликанов
1.10 Кератансульфат протеогликаныПовторяющаяся дисахаридная единица КС - Gal-GlcNAc. По способу присоединения ГАГ-цепи к коровому белку кератансульфаты делят на два типа (см. п.1.5.). Кератансульфаты первого типа представлены в роговице, второго типа - в скелетной ткани. Примеры кератансульфат протеогликанов приведены в таблице 6. Таблица 6. Примеры кератансульфат протеогликанов
В роговице КСПГ выполняют чрезвычайно важную функцию - поддерживают одинаковое расстояние между фибриллами коллагена Iтипа, позволяя, таким образом, свету проходить, не рассеиваясь. Дефекты в сульфатировании (макулярная роговичная дистрофия) или формировании КС-цепи (кератоконус) влекут за собой изменения в организации фибрилл, что в свою очередь приводит к непрозрачности роговицы [11, 12]. Цепь КС Iможет быть довольно протяженной (~50 дисахаридных единиц, 20-25 кДа) и содержит смесь несульфатированных, моносульфатированных (Gal-GlcNAc6S) и дисульфатированных дисахаридов (Gal6S-GlcNAc6S). По крайней мере, две сульфотрансферазы - GlcNAc6-O-STи Gal6-O-ST - катализируют реакции сульфатирования КС [12, 13]. Сульфатные группы КС важны для биологической функции данных молекул. Это подтверждается данными о том, что степень сульфатирования КС увеличивается во время развития роговицы в эмбриогенезе, а синтез несульфатированных КС приводит к макулярной роговичной дистрофии [12]. Катаболизм КС. Бактериальные кератаназы расщепляют цепь КС по определенным позициям (таблица 7). Таблица 7. Кератаназы
У животных КС расщепляются в лизосомах путем последовательного действия экзогликозидаз (β-галактозидаз и β-гексозаминидаз) после удаления сульфатных групп с концевого остатка сульфатазами [14]. 1.11 Биосинтез протеогликановБиосинтез и распад гликозаминогликанов осуществляется при участии высокоспецифичных ферментов - гликозилтрансфераз, гликозидаз и сульфатаз в эндоплазматическом ретикулуме (ЭПР) и аппарате Гольджи. Биосинтез ГАГ начинается с синтеза тетрасахаридного линкера, затем происходит полимеризация ГАГ-цепи. Основные ферменты, участвующие в синтезе тетрасахаридного линкерного района, указаны в таблице 8. Таблица 8. Основные ферменты синтеза тетрасахаридного линкера протеогликанов
Синтез тетрасахаридного линкерного района начинается в ЭПР с переноса ферментом О-ксилозилтрансферазой (XylT) остатка ксилозы от UDP-ксилозы на остаток серина корового белка [15]. Последующее добавление двух остатков галактозы, производимое двумя различными галактозилтрансферазами (GalТ-Iи GalТ-II), происходит в начальных/cредних отделах аппарата Гольджи. Донором остатков галактозы выступает UDP-галактоза. Одна гликозилтрансфераза образует β-1,3-, а другая - β-1,4-гликозидную связь [16]. Затем фермент глюкуронилтрансфераза-1 (GlcAT-I) завершает синтез линкерного участка, присоединяя глюкуроновую кислоту [16]. Сразу же после синтеза тетрасахаридный район может быть модифицирован: фосфорилирован по С-2 ксилозы и сульфатирован по остаткам галактозы [2]. Дальнейший синтез заключается в последовательном присоединении гексуроновой кислоты и гексозамина [17]. По завершении синтеза линкерного района путь биосинтеза протеогликанов разветвляется. Возможно 3 альтернативных типа реакций: присоединение β-GalNAc (инициация синтеза ХС), присоединение α-GlcNAc (инициация синтеза ГС) или присоединение α-GalNAc. Эти реакции осуществляются тремя различными трансферазами. Реакция присоединения α-GalNAcк линкерному тетрасахариду нетипична для клетки и приводит к образованию пента - или гептасахарида содержащего один дисахарид ХС, который не встречается в природных протеогликанах. Вышеупомянутые трансферазы являются важными точками контроля в биосинтезе ПГ, так как они в конечном итоге определяют тип формирующейся ГАГ-цепи [2]. Биосинтез ХС и ДС. ХС состоят из повторяющихся дисахаридных единиц GalNAc-GlcUA, полимеризованных в длинные цепи со средним размером 40 дисахаридов (~20 кДа). На основании такой структуры ХС можно предсказать, по крайней мере, 5 ферментативных активностей, включая 3 трансферазы (инициаторную GalNAcтрансферазу и полимеризующие GalNAcи GlcUAтрансферазы) и 2 сульфотрансферазы (GalNAc4-сульфотрансферазу и GalNAc6-сульфотрансферазу). Дополнительные ферменты осуществляют эпимеризацию GlcUAв IdoUAв ДС, сульфатирование С-2 уроновой кислоты и сульфатирование по другим (редко встречающимся) позициям ХС [18, 19]. После завершения синтеза углеводной цепи ХС происходит ее модификация - эпимеризация D-глюкуроновой кислоты в L-идуроновую, проводимая ферментом D-глюкуронил С5-эпимеразой (С5-EPI) и деацетилирование/сульфатирование, осуществляемое ферментом N-деацетилазой/N-сульфотрансферазой. Эпимеризация одного или нескольких остатков GlcUAв IdoUAприводит к преобразованию ХС в ДС (рис.6).
Рис.6. Реакция эпимеризации GlcUAв IdoUA Затем сульфотрансферазы проводят сульфатирование по различным положениям (таблица 9), используя в качестве высокоэнергетического донора сульфатов PAPS (3′-фосфоаденил-5′-фосфосульфат) [20]. Таблица 9. Основные ферменты биосинтеза ХС и ДС
Деградация ХС и ДС в клетках животных происходит в лизосомах, где содержится несколько экзогликолитических активностей (рис.7). Для аналитических целей широко используются бактериальные ферменты деградации ХС и ДС: хондроитиназа АС (хондроитин АС лиаза), ЕС 4.2.2.5, из Flavobacteriumheparinum, хондроитиназа АВС (хондроитин АВС лиаза), ЕС 4.2.2.4, из Proteusvulgaris. Бактериальные хондроитиназы расщепляют цепи ХС и ДС на дисахаридные единицы. Биосинтез ГС и Ге. Углеводные цепигепарина и гепарансульфатов состоят из повторяющихся дисахаридных единицGlcNAcα1-4GlcUAβ1-4. После завершения полимеризации ГАГ-цепи ГС и Ге подвергаются серии реакций модификации, катализируемых, по крайней мере, четырьмя семействами сульфотрансфераз и одной эпимеразой [21]. Фермент GlcNAcN-деацетилаза/N-сульфотрансфераза отщепляет ацетильную группу от остатков GlcNAcи тут же присоединяет взамен ушедшей группы сульфатную, после чего образуетсяGlcNSO3 . Однако некоторые деацетилированные остатки GlcNостаются несульфатированными. Затем эпимераза, схожая с аналогичным ферментом, участвующим в биосинтезе ДС, модифицирует остатки GlcUA, непосредствннно прилежащие к GlcNSO3 . После этого происходит 2-O-сульфатирование образовавшейся IdoUA. Далее сульфотрансферазы добавляют сульфатные группы на 6-ОН остатков GlcN, прилежащих к уроновой кислоте. Наконец, сульфатированные остатки сахаров и эпимеры уроновой кислоты подвергаются действию 3-О-сульфотрансферазы. Перечисленные модификации происходят лишь в определенных кластерах ГАГ-цепи. Таким образом, часть дисахаридных единиц преобразованиям не подвергается. Обычно реакции модификации идут в описанном выше порядке, однако полностью все этапа преобразований происходят не всегда. Это ведет к формированию огромной химической гетерогенности внутри модифицируемых регионов [10, 21]. Определенное расположение сульфатированных остатков и эпимеров уроновой кислоты в ГС и Ге формирует последовательности, с которыми связываются лиганды [10]. Основной вопрос, возникающий в данном случае, - каким образом регулируются ферменты и пути биосинтеза ГС/Ге, приводящие к формированию тканеспецифичных лиганд-связывающих последовательностей. На данный момент выделены и клонированы практически все ферменты биосинтеза ГС. Обнаружено несколько важных особенностей, которые могут пролить свет на процесс возникновения лиганд-связывающих последовательностей [22]. · Некоторые ферменты имеют по 2 каталитических активности, заключенных в одном белке. Например, белок, несущий 2 каталитических домена, осуществляющих N-деацетилирование остатков GlcNAcи последующее N-сульфатирование. То же верно и для кополимеразы, переносящей GlcNAcи GlcUAс соответствующих UDP - сахаров на растущую цепь полимера. В противоположность этому, эпимераза, 2-О-сульфотрансфераза и 6-О - сульфотрансфераза (зы) являются уникальными активностями независимых белков. · В ряде случаев существуют множественные изоферменты, катализирующие одну или пару реакций. К примеру, описаночетыре N-деацетилазы/N-сульфотрансферазы, три 6-О-сульфотрансферазы. Их распределение в тканях различается. Это может служить причиной различий паттернов сульфатирования. Хотя наблюдается и определенное перекрывание, то есть индивидуальные изоферменты могут работать на различных последовательностях в пределах одной цепи. · Реакции модификации полимерной цепи, вероятно, колокализуются в определенных участках аппарата Гольджи. Ферменты могут формировать супрамолекулярные комплексы, координирующие реакции модификации. Структура этих комплексов может играть роль в регуляции тонкой структуры цепи. · Структура ГС более значительно различается между разными типами клеток, чем между коровыми белками, экспрессируемыми в одной клетке. Этот факт свидетельствует о том, что каждый тип клеток может экспрессировать уникальный набор ферментов и регуляторных факторов [10, 22]. Подробно биосинтез ГС и Ге описан вобзоре [10]. Деградация ГС происходит в лизосомах и состоит из нескольких этапов (см. рис.7). 1.12 Обмен протеогликановКлетки секретируют протеогликаны в межклнеточное пространство, также часть мембранных ПГ отщепляется от клеточной поверхности протеазами, которые расщепляют коровый белок по опрелеленным сайтам. В то же время значительные количества ПГ поглощаются клетками путем эндоцитоза (рис.7).
Рис.7. Обмен протеогликанов [23]. После эндоцитоза происходит постепенная деградация ПГ в лизосомах. Поглощенные клеткой ПГ сначала подвергаются действию гепараназ, хондроитиназ, кератназ или гиалуронидаз, расщепляющих ГАГ-цепи по ограниченному числу сайтов. Затем набор экзогликозидаз и сульфатаз завершает деградацию полученных на первой стадии фрагментов [23]. 1.13 Локализация и функции протеогликановПротеогликаны представляют собой гетерогенный класс макромолекул, отличающихся друг от друга по молекулярному весу, составу, тонкой структуре ГАГ и функциям. Существующее огромное структурное разнообразие ПГ объясняется несколькими факторами. Во-первых, коровый белок обычно несет несколько ГАГ-акцепторных сайтов, не все из которых одинаково используются. Во-вторых, может варьировать длина ГАГ-цепей. Цепи ГАГ могут также различаться по распределению сульфатированных остатков сахаров [21, 24]. Благодаря высокому отрицательному заряду, наличию сульфатных и ацетильных групп на ГАГ-цепях, реакционных групп коровых белков, ПГ вступают во взаимодействие с различными молекулами (таблица 10). Таблица 10. Примеры белков, взаимодействующих с ГАГ
Большинство белков связывается с ГС, которые являются наиболее химически гетерогенным классом ГАГ. ГС взаимодействуют с белками специфическими участками ГАГ с определенным паттерном сульфатирования остатков сахаров [21]. Эти взаимодействия имеют глубокий физиологический эффект. Примером может служить введение в кровяное русло гепарина, приводящее к быстрому антикоагуляционному эффекту, благодаря связыванию и активации антитромбина. Связывание ГАГ с лигандами может приводить к (1) иммобилизации белков в месте их продукции, (2) регулированию ферментативной активности, (3) присоединению к сигнальному рецептору, (4) защите лиганда от деградации, (5) резервированию лигандов [25, 26]. Протеогликаны найдены во всех исследованных тканях многоклеточных беспозвоночных и позвоночных животных. Протеогликаны известны в основном как компоненты внеклеточного матрикса, включая хрящ, базальную мембрану и соединительную ткань. Они также широко представлены на клеточной поверхности (мембранные ПГ). А также ПГ могут запасаться внутри клетки в секреторных гранулах. Протеогликаны внеклеточного матрикса в основном содержат ДС/ХС цепи ГАГ [27], тогда как ПГ на поверхности клеток в основном представлены ГСПГ [28]. Все эпителиальные ткани экспрессируют протеогликаны клеточной поверхности, преимущественно глипиканы (ГС) и синдеканы (ГС/ХС) [29]. По локализации протеогликаны клеточной поверхности могут быть трансмембранными белками (синдеканы), могут быть связаны с липидами плазматической мембраны через фосфатидилинозитол (глипиканы) или секретироваться в базальную мембрану (перлекан, агрин). Коровый белок синдекана имеет протяженный трансмембранный домен и короткий (34-38 аминокислотных остатков) С-концевой цитоплазматический домен. Коровый белок глипикана имеет глобулярную структуру, стабилизированную дисульфидными связями, и заякорен в плазматической мембране через фосфатидилинозитол. Доказательства, что мембранные ПГ могут ферментативно высвобождаться из мембран, пока нет. Однако есть предположение, что такое высвобождение имеет место in vivo и осуществляется фосфоинозитол-специфичной фосфолипазой С. Базальные мембраны тканей млекопитающих содержат перлекан и агрин. Перлекан присутствует в большинстве базальных мембран, а также в хряще, в то время как агрин является компонентом базальных мембран в мышцах, нервномышечных соединениях, центральной нервной системе, легких и почках. Оба протеогликана являются крупными мультидоменными молекулами, несущими цепи гепарансульфатов ближе к N-концу корового белка [30]. Протеогликаны обнаружены также в ядрах, где, как установлено в ряде случаев, связаны с транскрипционно активной частью хроматина [31, 32]. Протеогликаны внеклеточного матрикса формируют его структуру за счет взаимодействий с различными внеклеточными макромолекулами. Во внеклеточном матриксе ПГ взаимодействуют с ламинином, фибронектином [33], коллагеном I [34]. Известно, что декорин связывается с коллагеном I, II [35], IX [36], причем как в эмбриональных тканях, так и в тканях взрослого человека [36]. Фибромодулин, так же как и декорин, связывается с коллагеном Iи IIи влияет на фибриллогенез коллагена [25, 37], тогда как бигликан коллаген не связывает, но его большое количество было обнаружено во внеклеточном матриксе мезенхимных эмбриональных клеток [36]. Показано, что аггрекан в суставных хондроцитах быка образует комплекс с гиалуроновой кислотой и связующим белком (рис.1) [38], кроме того, подобный комплекс может образовывать и другой ПГ - версикан [39]. Показано, что молекула версикана из культуры клеток ACHNвзаимодействует с хемокинами [40], L - селектином [41], Р-селектином, рецептором CD44, играющим важную роль в процессах воспаления, аутоиммунном ответе, прогрессии опухолей. Связь образуется посредством взаимодействия ХС-цепи версикана с углеводсодержащим доменом L-, P-селектина, CD44 [42]. Протеогликаны поверхности клеток представляют собой рецепторы для различных компонентов внеклеточного матрикса, регуляторных макромолекул, факторов роста и играют ключевую роль в информационной связи между клеткой и внеклеточным матриксом. На поверхности кератиноцитов обнаружен и идентифицирован эпикан - гепарансульфат протеогликан [43]; после секвенирования последовательности его корового белка было обнаружено, что он является протеогликановой (ХС) формой рецептора CD44 [44]. Показано, что это альтернативно сплайсированная форма CD44, содержащая дополнительный экзон [45]. Клетки с запасными гранулами накапливают протеогликаны наряду с другими секреторными продуктами. Эти ПГ обычно содержат высоко сульфатированные формы ХС. Исключением являются тучные клетки соединительной ткани, содержащие в секреторных гранулах преимущественно гепарин. Предполагается, что протеогликаны в секреторных гранулах способствуют удалению веществ из последних и регулируют доступность положительно заряженных компонентов, таких как протеазы и биогенные амины [46]. Показано, что протеогликаны могут связывать факторы роста и модулировать их активность [1]. Декорин, относящийся к классу дерматансульфат протеогликанов, взаимодействует с рецептором эпидермального фактора роста и запускает сигнальный каскад реакций, который приводит к торможению деления клеток [47]. Бетагликан - протеогликан, содержащий цепи ХС и ГС, - взаимодействует с трансформирующим фактором роста TGF-b [48]. Гепарансульфат протеогликаны (например, синдекан) связывают различные факторы роста, включая фактор роста фибробластов - FGF-a, FGF-b (рис.8), гранулоцитомакрофаг колониестимулирующий фактор - GM-CSF, взаимодействуют с интерлейкином - 3 и интерфероном-g [1, 27], усиливают рост и дифференцировку клетки, взаимодействуя с FGF-b [49], показан предположительный механизм связывания рецептора FGF-bс ГС [50].
Рис.8. Взаимодействие протеогликанов с факторами роста Таким образом, протеогликаны, помимо выполнения структурной функции, участвуют в регуляции таких фундаментальных клеточных процессов, как морфогенез, дифференцировка и клеточная пролиферация. 1.14 Состав протеогликанов в трансформированных клеткахНаличие множества связующих доменов в сложной структуре протеогликанов дает им возможность специфично взаимодействовать со множеством разнообразных регуляторных молекул. Протеогликаны связывают в единую структуру различные компоненты внеклеточного матрикса, такие как гиалуроновая кислота, коллаген, ламинин, фибронектин; опосредуют связывание клеток с ВКМ; накапливают на своей поверхности (резервируют) факторы роста; презентируют факторы роста клеточным рецепторам; могут выступать в роли факторов клеточной адгезии, стимулируя организацию актиновых филаментов цитоскелета [51]. Из всего вышеперечисленного можно сделать вывод, что протеогликаны играют важную роль в регуляции процесса клеточной пролиферации, и нарушения в экспрессии и/или посттрансляционной модификации этих молекул могут служить одной из причин злокачественного перерождения тканей. Показано, что в окружающей опухоль строме происходят значительные изменения в содержании протеогликанов. Предполагается, что эти изменения могут поддерживать рост опухоли, ее прогрессию и инвазию. Уровень содержания декорина, лейцин-богатого протеогликана, участвующего в регуляции пролиферации клеток и сборки внеклеточного матрикса, значительно повышен в опухолевой строме. В то же время в опухолевых клетках экспрессия декорина значительно снижена или вообще не детектируется (см. п.1.14.1.). При малигнизации наблюдается уменьшение уровня сульфатирования гепарансульфатов и увеличение экспрессии гиалуроновой кислоты. На поздних стадиях развития опухоли высокий уровень этого анионного полимера способствует разрыхлению окружающего матрикса, тем самым облегчая инвазию опухолевых клеток [52]. CD44 - основной рецептор для гиалуроновой кислоты на клеточной поверхности, и сам относится к классу ХСПГ. На гиалуронат-связывающую активность CD44 оказывают влияние N - и O-гликозилирование данного белка, присоединение к нему ГАГ-цепи, а также экспрессия различных изоформ CD44. Изменения в экспрессии CD44 (в том числе изменения гликоформ и изоформ) наблюдаются во многих видах злокачественных опухолей. В некоторых случаях данные изменения прямым образом коррелируют с метастатическим потенциалом [53]. Опухолевые клетки могут выделять полипептидные факторы, которые изменяют тип протеогликанов, продуцируемых хозяйской мезенхимой. Так, нормальные фибробласты, будучи помещенными в культуральную среду, на которой ранее культивировались клетки рака прямой кишки человека, начинают продуцировать необычно большое количество хондроитинсульфатов. Изменение метаболизма протеогликанов в нормальных мезенхимных клетках может являться одним из механизмов, с помощью кторого опухолевые клетки меняют окружающую их среду [54]. В опухолевых клетках изменяется количественный и качественный состав протеогликанов. Показано, что в клетках практически всех исследованных опухолевых тканей происходит увеличение содержания протеогликанов по сравнению с нормальной тканью: в опухолевых клетках карциномы желудка происходит увеличение содержания ПГ по сравнению с нормальной тканью в два раза [55], в карциноме поджелудочной железы в 4 раза [56], в карциноме прямой кишки - в 2 раза [57]. В опухолевых клетках происходит снижение сульфатирования ГАГ: в клетках карциномы желудка в 10 раз увеличивается содержание несульфатированных дисахаридных единиц, однако происходит увеличение сульфатирования ХС и ДС цепей по 6-положению в 4 раза [55]. В клетках аденокарциномы кишечника увеличивается число несульфатированных единиц в 3 раза, в 3 раза уменьшается количество 4-сульфатированных единиц, увеличивается в 5 раз количество дисахаридных единиц, сульфатированных по 6-положению [58]. Для многих опухолей показано изменение соотношения ДС и ХС. В карциноме желудка увеличивается содержание ХС по сравнению с нормой в 4 раза [55], в карциноме поджелудочной железы содержание ХС увеличивается в 22 раза [56], в клетках карциномы гортани - в 5 раз [59], в аденокарциноме кишечника - в 11 раз [58]. Для опухоли прямой кишки показано, что содержание хондроитинсульфатов увеличивается с 27% до 70% [57], в карциноме молочной железы содержание ХС увеличивается на 32,2 % [60]. Наряду с увеличением содержания хондроитинсульфатов происходит снижение содержания дерматансульфатов, характерных для покоящихся тканей. Для опухоли прямой кишки показано, что содержание дерматансульфатов падает с 73% до 30% [57], в карциноме молочной железы содержание ДС снижается на 18,5 % [60]. Показано, что изменяется структура ПГ в опухолевых клетках - в лейомиоме количество остатков L-идуроновой кислоты уменьшается по сравнению с нормой с 55% до 45% [61]. 1.14.1 ДекоринДекорин относится к классу дерматансульфат протеогликанов и является членом семейства маленьких лейцин-богатых протеогликанов. К коровому белку декорина ковалентно присединена одна цепь ДС или ХС. Декорин известен как секретируемый протеогликан, экспрессируемый широким кругом тканей мезенхимального происхождения, включая опухолевую строму, но не трансформированными клетками. Декорин участвует в регуляции таких клеточных функций, как пролиферация, адгезия и миграция. Декорин способен связываться с компонентами внеклеточного матрикса - фибронектином, тромбоспондином и несколькими типами коллагена, регулируя фибриллогенез последнего. Коровый белок декорина взаимодействует с TGF- и является ингибитором этого цитокина. Декорин также может напрямую тормозить клеточную пролиферацию [62]. Показано, что декорин участвует в целом ряде механизмов, регулирующих пролиферацию клеток: · взаимодействует с рецептором эпидермального фактора роста [63] (EGFR) и запускает сигнальный каскад, приводящий к увеличению экспрессии белка р21, что приводит к супрессии циклина, подавлению активности циклин-зависимых киназ [64] и торможению клеточного деления [65]; · ингибирует биологическую активность фактора роста TGF- [66]. TGF- может влиять на рост опухоли, опосредовать устойчивость к лекарствам, усиливать ангиогенез в опухоли [67]. Декорин присоединяется к связывающему домену TGF-, предотвращая его связывание с рецептором, что приводит к торможению клеточного деления [68]; · подавляет экспрессию и биосинтез эндотелиального фактора роста сосудов (VEGF), что приводит к супрессии ангиогенеза в опухолевой ткани [69]; · вызывает функциональную инактивацию онкогенного белка ErbB2, ингибируя тем самым рост клеток и стимулируя их дифференцировку [68]; · влияет на жизнеспособность клеток через Akt/протеинкиназа В-зависимый и - независимый механизмы, снижая апоптоз эндотелиальных клеток [70]. Для декорина доказана антимитотическая активность: добавление рекомбинантного декорина в культуру опухолевых клеток ингибировало их рост in vitro [71], экспрессия декорина de novo в культуре опухолевых клеток приводила к их возвращению к нормальному фенотипу [72]. Аденовирусная доставка декорина в растущую экспериментальную опухоль приводила к значительному ингибированию роста опухоли [73]. Целью описанных выше экспериментов являлось введение в опухолевую ткань недостающего декорина в той или иной форме (рекомбинантного белка либо генноинженерных конструкций). Однако вопрос о причине снижения содержания декорина в трансформированных клетках до сих пор не поднимался. 1.14.2 D-глюкуронил С5-эпимеразаИзвестно, что ключевым ферментом биосинтеза дерматансульфат протеогликанов (в том числе и декорина) является фермент D-глюкуронил С5-эпимераза [74]. Этот фермент проводит эпимеризацию глюкуроновой кислоты в идуроновую (рис.6) с образованием функционально активного декорина. Причем в экспериментах in vitro было показано, что этот процесс может быть обратимым [75], однако, после полной модификации ГАГ цепи обратная реакция невозможна [76]. Показана субстратная специфичность для D-глюкуронил С5-эпимеразы, выделенной из культуры клеток фибробластов - дерматан и хондроитин являются хорошими субстратами для этого фермента, тогда как их О-сульфатированные формы практически не подвергаются модификации [77]. Вероятно, эпимеризация уроновой кислоты в идуроновую происходит до О-сульфатирования ГАГ, и О-сульфатированные ГАГ не являются субстратом для D-глюкуронил С5-эпимеразы [78]. Известно, что для работы D-глюкуронил С5-эпимеразы мыши необходимы N-ацетильные группы на глюкозамине и определенное расположение N-сульфатных групп. Кроме того, существует прямая зависимость работы фермента от размера субстрата [79]. Процесс эпимеризации остатков глюкуроновой кислоты в идуроновую кислоту зависит от структуры корового белка [80]. Биосинтез протеогликанов изучен достаточно хорошо, большинство ферментов их биосинтеза клонированы. D-глюкуронил С5-эпимераза является единственным ферментом биосинтеза протеогликанов человека, который до сих пор не клонирован [17]. В настоящее время клонированы и охарактеризованы гены D-глюкуронил С5-эпимеразы быка [81] и мыши [82] - единственный ген D-глюкуронил С5-эпимеразы мыши находится в 9 хромосоме. Показано, что мышиная D-глюкуронил С5-эпимераза приблизительно одинаково экспрессируется в различных тканях: сердце, мозге, легких, печени, мышцах, почках. Исключением является селезенка, в которой экспрессия D-глюкуронил С5-эпимеразы понижена [82]. Показано, что разрушение гена, кодирующего D-глюкуронил С5-эпимеразу у мыши, приводило к гибели эмбриона (гетерозиготы погибали в течение года, гомозиготы по мутантному генотипу погибали сразу после рождения). У эмбрионов были обнаружены дефекты развития почек, легких, неправильное формирование скелета. В других жизненно важных органах и системах (мозге, печени, желудочно-кишечном тракте, коже) изменений обнаружено не было. Оказалось, что присутствие идуроновой кислоты необходимо для нормального развития почек, легких, скелета [83]. Также показано, что наличие ГС, содержащих остатки идуроновой кислоты необходимо для нормального развития различных типов нейронов [84]. Отсутствие публикаций по данным вопросам не позволяет сказать, есть ли какая-либо ткане - или видоспецифичность в экспрессии D-глюкуронил С5-эпимеразы у человека и одинаковы ли экспрессия/активность этого фермента в нормальных и опухолевых тканях, существует ли связь между изменением состава ПГ и изменением экспрессии/активности D-глюкуронил С5-эпимеразы. Регуляторная роль протеогликанов изучалась в лаборатории Структуры генома ИЦиГ СО РАН в течение ряда лет. Исследовались протеогликаны из различных типов клеток, был охарактеризован их состав и структурные особенности. В работах В.И. Рыковой и Г.М. Роничевской с соавторами была показана антимитотическая активность ПГ, выделенных из препаратов суммарной клеточной РНК [85] и их влияние на синтез ДНК в клетке [31]. Изучался также состав протеогликанов в ядрах нормальных и трансформированных клеток [32]. Было показано, что при злокачественной трансформации в клетках снижается содержание дерматансульфат протеогликанов и возрастает содержание хондроитинсульфат протеогликанов - не полностью модифицированных предшественников ДСПГ [32]. Данные эксперименты велись на животных. Поскольку ключевым ферментом биосинтеза дерматансульфатов в клетке является в - глюкуронил С5-эпимераза [74], то нашей группой было выдвинуто предположение, что причиной недостаточного синтеза дерматансульфат протеогликанов в клетках является пониженная экспрессия/активность фермента D-глюкуронил С5-эпимеразы. В настоящее время в лаборатории Молекулярных механизмов канцерогенеза Института Молекулярной Биологии и Биофизики СО РАМН совместно с лабораторией Структуры генома ИЦиГ СОРАН ведется изучение взаимосвязи между уровнем экспрессии/активности D-глюкуронил С5-эпимеразы и составом протеогликанов в нормальной и опухолевой ткани молочной железы человека. В рамках данного исследования в лаборатории Молекулярных механизмов канцерогенеза ведется работа по определению уровня экспрессии гена D-глюкуронил С5-эпимеразы в нормальной и опухолевой ткани молочной железы человека методами мультиплексной ПЦР и ПЦР в реальном времени. Целью данной дипломной работы является изучение взаимосвязи состава протеогликанов в нормальной и опухолевой ткани молочной железы человека с экспрессией белковой молекулы D-глюкуронил С5-эпимеразы. В соответствии с этой целью нами были поставлены следующие задачи : 1. Сравнить состав протеогликанов в контрольной и опухолевой ткани молочной железы человека; 2. Провести количественную оценку суммарных протеогликанов в контрольной и опухолевой ткани молочной железы человека; 3. Определить экспрессию дерматансульфат протеогликана декорина в контрольной опухолевой ткани молочной железы человека; 4. Определить экспрессию белковой молекулы D-глюкуронил С5-эпимеразы в тех же клинических образцах. Глава 2. Материалы и методы2.1 МатериалыВ работе использовались следующие материалы и реактивы: трис, агароза - “ICN” (США); хлорид магния, ацетат натрия - “Merck” (Германия); персульфат аммония, SDS, акриламид, реактив Брэдфорда QuickStartBradfordDyeReagent, набор стандартных концентраций бычьего сывороточного альбумина QuickStartBovineSerumAlbuminStandardSet, маркер “Калейдоскоп” - “BioRad" (США); набор ECL Western Blotting Analysis System - “Amersham Biosciences" (Великобритания); ингибиторный коктейль Protease Inhibitor Coctail Tablets - “Roche Diagnostics" (Германия); ЭДТА, бромфеноловый синий, кумасси G250, рибонуклеаза А (РНКаза А), N,N’ -метиленбисакриламид - “Serva” (Германия); набор реактивов Рентген-2: проявитель рентгеновских материалов типа РМ-1 и РФ-3, фиксаж нейтральный - химзавод им.Л.Я. Карпова (Менделеевск, Татарстан); глицин, твин-20, PBSTablets - “Helicon” (Россия, Москва); N-лаурилсаркозин (натриевая соль), IGEPALCA-630 - “SIGMA” (США); алциановый голубой - “Loba-Chemie” (Австрия); альбумин лиофилизированный из человеческой сыворотки, TEMED - “ Reanal” (Венгрия); буфер для нанесения проб NuPageSDSSampleBuffer (x4) - “Invitrogen" (CША). Специфические ферменты деградации ГАГ: хондроитиназа АС (хондроитин АС лиаза), ЕС 4.2.2.5, из Flavobacteriumheparinum, хондроитиназа АВС (хондроитин АВС лиаза), ЕС 4.2.2.4, из Proteusvulgaris - “SIGMA” (США). Стандарты ГАГ: гепарин - “Richter” (Венгрия); хондроитинсульфат А (натриевая соль) из хряща кита, хондроитинсульфат В (натриевая соль) из кожи свиньи, хондроитинсульфат С (натриевая соль) из хряща акулы - “SIGMA” (США). Антитела: D-глюкуронил С5-эпимераза человека: кроличья поликлональная сыворотка - “GenScriptCorp” (США); коровый белок декорина человека: мышиные моноклональные антитела IgG1 - “R&DSystems”; вторичные антитела, меченые пероксидазой хрена - “AmershamBiosciences" (Великобритания). Этиловый спирт, ацетат калия, ацетат бария, нитрит натрия, фенол, хлороформ, хлорид натрия, уксусная, серная, соляная, хлорная, фосфорная кислоты, глицерин, бутанол-1, диметилсульфоксид - отечественного производства категории ХЧ или ОСЧ. диализные трубки Servapor, диаметр 7 мм - “Serva” (Германия); рентгеновская плнека CL-XPosureFilm - “Perbio”; ацетатная пленка (ацетатцеллюлоза) - отечественного производства; нитроцеллюлозная мембрана - “Schleicher&Schuell" (Германия). Приборы: источник питания постоянного тока Б5-50; спектрофотометры SPEKOL21 и EppendorfBioPhotometer; центрифуги EppendorfCentrifuge5414 и 5415С; качающаяся платформа MiniRockerMR-1, центрифуга Фуга/Вортекс микро-спин FV-2400 - “BioSan" (Латвия); электроприбор контактный сварочный бытовой “Молния-3”; микротермостат модель 205 (Кольцово); трансблоттер Semi-driTransferUnit, TE70 - “AmershamBiosciences" (США). 2.1.1 Операционный материалВ работе использовали опухолевую и окружающую нормальную ткань молочной железы человека, удаленную в ходе хирургического вмешательства. Операционный материал получали в 1 Городской клинической больнице, забор образцов проводили под контролем главного онколога г. Новосибирска д. м. н., проф. Сидорова С. В. Экспериментальный материал состоял из 2 образцов: опухолевая ткань и нормальная ткань молочной железы человека. 2.1.2 АнтителаВ работе использовали фирменные антитела: к D-глюкуронил С5-эпимеразе человека - поликлональная кроличья сыворотка (антигенная последовательность pos602-615: VKRWKSYLKGSRAKC - С-конец белка); к коровому белку декорина человека - моноклональные мышиные антитела класса IgG1 , клон 115402 (500 мкг/мл). 2.2 Методы2.2.1 Выделение протеогликановПротеогликаны выделяли методом, разработанным в лаборатории структуры генома к. б. н. Рыковой В.И. Замороженный кусочек ткани (100 - 1000 мг) растирали в жидком азоте. Затем добавляли буфер (10 мMТрис-HCl, 5 мMЭДТА, pH8), из расчета 1 мл буфера на 100 мг ткани. Буфер приливали порциями по 1-2 мл прямо в жидкий азот. Ледяной порошок тщательно растирали. Полученный гомогенат переносили в стеклянную пробирку. К гомогенату ткани добавляли 35% N-лаурилсаркозин, из расчета 10 мкл 35% N-лаурилсаркозина на 100 мг ткани. Инкубировали 1 час при комнатной температуре для растворения клеточных мембран. Гомогенат разносили по 1 мл в пробирки Eppendorf (1.5 мл) и добавляли по 0.5 мл фенола (насыщенного водой) в каждую пробирку, тщательно встряхивали. Центрифугировали 10 мин. при 10 тыс. об. /мин. Получалось 3 фракции: верхняя - водная (нуклеиновые кислоты, ПГ и нейтральные сахара), средняя (интерфаза) - плотный слой белка, нижняя - фенольная. Отбирали верхнюю водную фракцию и переносили ее в чистые пробирки. Повторяли депротеинизацию: добавляли к водной фракции по 0.25 мл фенола и хлороформа. Центрифугировали 10 мин. при 10 тыс. об. /мин. Отбирали верхнюю водную фракцию, добавляли к ней концентрированную хлорную кислоту до 0.5 М конечной концентрации кислоты (для осаждения нуклеиновых кислот). Инкубировали на холоду 20 мин. (погружали пробирки в лед). Осадок отделяли центрифугированием (5 мин. при 10 тыс. об. /мин.). Кислый супернатант отделяли от осадка (в супернатанте - ПГ). Избавлялись от хлорной кислоты диализом: сначала против воды (2 ч.), затем против 50 мMацетата натрия (40 мин.). Концентрировали раствор ПГ бутанолом-1 до объема 50-100 мкл: приливали максимально возможное количество бутанола в пробирку, встряхивали, центрифугировали (1 мин. при 10 тыс. об. /мин.). Бутанол отнимает 10% воды (от своего объема). Сливали бутанол. Повторяли процедуру несколько раз - до тех пор, пока не получали требуемый объем раствора. В сконцентрированный раствор добавляли 2-3 объема 96% этилового спирта (перегнанного) для осаждения ПГ. Пробирки тщательно встряхивали и оставляли на ночь в морозильной камере (-20о С). Центрифугировали (10 мин. при 10 тыс. об. /мин.). Сливали спирт, осадок еще раз промывали этанолом (200-400 мкл). Центрифугировали 5 мин. при 10 тыс. об. /мин. Спирт сливали, осадок высушивали на воздухе. Осадок растворяли в 20-40 мкл буфера (10 мMТрис-HCl, 5 мMЭДТА, pH8) или воды. Это готовый рабочий раствор ПГ. 2.2.2 Очистка препаратов протеогликанов от примесей нуклеиновых кислот2.2.2.1 Обработка препаратов протеогликанов щелочью Пробы ПГ (из контрольной и опухолевой ткани) инкубировали с 0.5 Nгидроксидом натрия в соотношении 1: 1 при 37о С в течение 1 ч. По окончании реакции пробы нейтрализовали 0.5 Nуксусной кислотой. 2.2.2.2 Обработка препаратов протеогликанов нуклеазами К 10 мкл раствора ПГ добавляли 1 мкл ДНКазы (1 е. а. /мкл), 2 мкл 10х буфера для ДНКазы и 2 мкл РНКазы (0.6 е. а. /мкл). Инкубировали при 37о С в течение 3 ч. 2.2.3 Идентификация протеогликанов2.2.3.1 Обработка препаратов протеогликанов специфическими ферментами Пробы ПГ обрабатывали хондроитиназой АС (0.1 е. а. /мкл) и хондроитиназой АВС (0.1 е. а. /мкл), гидролизующими соответственно хондроитинсульфаты А и С и хондроитинсульфаты А, С и В (дерматансульфаты). Ферменты добавляли к пробам в соотношении 1: 1. Инкубацию проводили в течение 17-20 ч. при 37о С. Результаты обработки ферментами анализировали с помощью гель - электрофореза (см. п.2.2.6.1.). В качестве контроля использовали необработанные пробы ПГ. 2.2.3.2 Обработка препаратов протеогликанов азотистой кислотой Азотистая кислота избирательно расщепляет углеводные цепи гепарансульфата, не затрагивая гликозаминогликаны других типов, что позволяет обнаружить его присутствие в препарате. Азотистую кислоту получали в реакционной смеси: 5% NaNO2 + 33% СH3 СООН = HNO2 Пробы ПГ инкубировали с 5% нитритом натрия и 33% уксусной кислотой в соотношении 1: 1: 1 при комнатной температуре в течение 40 мин., затем результаты анализировали с помощью гель - электрофореза (см. п.2.2.6.1.). Контролем служили соответствующие необработанные пробы ПГ и гепарин (10 мкг/мкл), обработанный азотистой кислотой (1: 2: 2). 2.2.4 Аналитические методы2.2.4.1 Количественный анализ гликозаминогликанов с алциановым голубым Содержание ГАГ в препаратах определяли на полосках ацетатцеллюлозной пленки (L. J. Hronowski, T. P. Anastassiades // Anal. Bioch. 1988.174. № 2, 501-511). Пленку предварительно вымачивали в буфере 0.1М ацетат бария, рН 3, удаляли излишки буфера с помощью фильтровальной бумаги и подсушивали на воздухе. На подготовленную пленку наносили пробы (по 2 мкл) и опускали на 30 мин. в краситель - 0.2% алциановый голубой (АlBl8GS), 30 мМ хлорид магния, 0.1% уксусная кислота, 10% этанол, рН 3. После окрашивания полоски промывали аналогичным раствором, не содержащим АlBl8GS, переносили на фильтровальную бумагу и высушивали на воздухе. Окрашенные пятна гликозаминогликанов и неокрашенные участки пленки такого же размера (для контроля) вырезали и помещали в пробирки. В каждую пробирку добавляли по 2 мл диметилсульфоксида, содержащего 0.5% (V/V) концентрированную серную кислоту и инкубировали в течение 30 мин. при 37о С. Затем измеряли оптическое поглощение растворов при 677 нм против раствора диметилсульфоксида, содержащего 0.5% серную кислоту. Вычитали показания контроля. Содержание гликозаминогликанов определяли по калибровочной кривой, построенной при измерении Д677 растворов ГАГ известной концентрации. Измерения проводили на спектрофотометре SPECOL21. 2.2.4.2 Определение концентрации белка по Брэдфорду Определяли концентрацию суммарного белка в гомогенате ткани по Брэдфорду (Скоупс Р. Методы очистки белков. М.: Мир, 1985, стр.342). Готовили краситель: 10 мг кумасси ярко синего G250 растворяли при энергичном перемешивании в 5 мл 95% этилового спирта и смешивали этот раствор с 10 мл 85% фосфорной кислоты. Смесь разбавляли водой до 100 мл и фильтровали для удаления нерастворившегося красителя (раствор устойчив 1-2 недели). На реакцию брали пробу и краситель в соотношении 1: 1, инкубировали 20 мин. при комнатной температуре. Затем измеряли оптическое поглощение растворов при 595 нм против раствора краситель + вода (1: 1). Содержание белка определяли по калибровочной кривой, построенной при измерении Д595 растворов альбумина известной концентрации. Позднее в работе стали использовать фирменный реактив Брэдфорда QuickStartBradfordDyeReagentи набор стандартных концентраций бычьего сывороточного альбумина QuickStartBovineSerumAlbuminStandardSet (BioRad). Измерения проводили на спектрофотометре SPECOL21. 2.2.4.3 Определение концентрации нуклеиновых кислот Осажденные хлорной кислотой нуклеиновые кислоты (см. п.2.2.1.) гидролизовали щелочью: к осадкам приливали по 50 мкл 0.5 Nгидроксид натрия и инкубировали при комнатной температуре в течение 17-20 ч. По окончании реакции пробы нейтрализовали 0.5 Nуксусной кислотой. Содержание нуклеиновых кислот определяли по поглощению раствора при 260 нм против раствора 0.5 Nацетата натрия. Измерения проводили на спектрофотометре EppendorfBioPhotometer. 2.2.5 Вестерн-блотГотовили гомогенат ткани: контрольную и опухолевую ткань молочной железы человека растирали в ступке с жидким азотом в буфере 50 мМ Трис-НСl, рН 7.5; 150 мМ NaCl; 1% IGEPAL; 1 таблетка ингибиторного коктейля ProteaseInhibitorCoctailTablets (RocheDiagnostics) на 10 мл буфера. Буфер добавляли из расчета 0.5 мл буфера на 100 мг ткани. Проводили электрофоретическое разделение белков методом 2.2.6.2. После проведения электрофореза гель вынимали, срезали концентрирующий гель, другие ненужные участки и левый верхний угол геля. Затем гель на 5 мин. заливали буфером для переноса (47.9 мМ Трис, 38.6 мМ глицин, 0.0385% SDS, 20% этанол). Вырезали нитроцеллюлозную мембрану (на 4-6 мм шире и длиннее геля) и 8 таких же по размеру листков фильтровальной бумаги. У мембраны также срезали левый верхний угол. Мембрану и фильтровальную бумагу тщательно смачивали буфером для переноса. Готовили сэндвич в последовательности: 4 листка фильтровальной бумаги, мембрана, гель, 4 листка фильтровальной бумаги. Закладывая сэндвич, следили, чтобы не образовывалось воздушных пузырей между его слоями. Сэндвич помещали между электродами трансблоттера. Перенос вели при токе 2 мА/см2 геля в течение 1 часа. После переноса мембрану помещали (вверх стороной, на которую шел перенос) в ванночку с буфером для блокировки (5 % сухое обезжиренное молоко в PBS, 0.1 % твин-20). Качали 1 час на качающейся платформе. Запаивали мембрану в пленку с 7 мл раствора первичных антител (моноклональных АТ или поликлональной сыворотки) в буфере для блокировки. Первичные антитела разводили в соотношении 1: 1000. Качали 2 часа. Затем отмывали мембрану, качая в течение 5 мин. в ванночке с буфером для отмывки (PBS, 0.1 % твин-20). Процедуру повторяли трижды, каждый раз заливали свежий отмывочный раствор. Запаивали мембрану с 7 мл раствора соответствующих вторичных антител (меченных пероксидазой хрена) в буфере для блокировки. Вторичные антитела разводили в соотношении 1: 1000. Качали 1 час. Отмывали мембрану так же, как после гибридизации с первичными АТ. Для проявления вестерна использовали набор реактивов ECLWesternBlottingAnalysisSystem (AmershamBiosciences). Все нижеперечисленные действия выполняли в темной комнате. Мембрану вынимали из отмывочного раствора и помещали (вверх стороной, на которую шел перенос) на пленку SaranWrap. Смешивали по 1 мл растворов 1 и 2 из ECL-набора. Смесью равномерно заливали мембрану и выдерживали 1 мин. Быстро сливали проявочный раствор, мембрану заворачивали в пленку SaranWrap, помещали в кассету и сверху накладывали рентгеновскую пленку, экспонировали 1мин. и 3 мин. Затем рентгеновскую пленку погружали в раствор проявителя на 3 мин., промывали водой и погружали в раствор закрепителя на 3 мин. Пленку снова промывали водой и высушивали. 2.2.6 Электрофорез2.2.6.1 Горизонтальный электрофорез в агарозном геле Фракционирование ПГ проводили методом горизонтального гель-электрофореза в пластинах 1% агарозного геля толщиной 1 мм, 9х5см. Электрофорез вели в различных буферных системах (с целью выбрать, в каком буфере происходит наилучшее разделение ПГ на фракции): 50 мМ ацетат бария, рН 5 (электрофорез вели в течение 40 мин.); ТАЕ, рН 8 (7 мин.); 50 мМ ацетат бария, рН 8 (50 мин.) при напряжении 2.2 В/см2 . Электрофорез проводили на холоду (камеру для электрофореза ставили в емкость со льдом). Перед нанесением на гель пробы смешивали в соотношении 10: 1 с 50% глицерином, содержащим 0.1 % бромфеноловый синий (буфер для нанесения). В качестве стандарта использовали смесь ГАГ: гепарин (1 мкг/мкл) + хондроитинсульфат В (1 мкг/мкл) + хондроитинсульфаты А и С (1 мкг/мкл). После электрофореза гель окрашивали 0.1% толуидиновым синим в 1% уксусной кислоте (для одновременной визуализации ПГ и нуклеиновых кислот: ПГ окрашиваются в фиолетовый цвет, нуклеиновые кислоты - в синий). Гель отмывали от избытка красителя в 1% уксусной кислоте до прозрачного фона и высушивали на лавсановой пленке или предметном стекле. 2.2.6.2 Вертикальный электрофорез белков в полиакриламидном геле по Лэммли Разделение белков, для последующего проведения вестерн-блота проводили методом ступенчатого электрофореза (по Лэммли). Концентрирующий гель: 4% SDS-ПААГ. Гель полимеризовали в буфере 0.0625 М Трис-НСl, рН 6.8. Разделяющий гель: 8% SDS-ПААГ. Гель полимеризовали в буфере 0.375 М Трис-НСl, рН 8.9. Пробы перед нанесением кипятили в течение 5 мин. при 95о С в фирменном буфере для нанесения NuPageSDSSampleBuffer (Invitrogen). В карман наносили по 20 мкг белка. Концентрацию белка в гомогенате определяли по Брэдфорду (см. п.2.2.4.2.) Электрофорез проводили в буфере 0.025 М Трис, 0.192 М глицин, 0.04 М SDS, рН 8.3 при напряжении 2 В/см2 в течении 4 - 4.5 часов. Глава 3. Результаты и обсуждение3.1 Выделение протеогликановНашей первой задачей была отработка метода выделения протеогликанов из микроколичеств (100-1000 мг) клинического материала. Объектом исследования являлась опухолевая и окружающая нормальная ткань молочной железы человека. Окружающая опухоль ткань в нашем исследовании являлась контрольной. Однако не исключено, что она могла подвергнуться предопухолевым изменениям (воспаление, мастопатия). В процессе работы в методику выделения ПГ (см. п.2.2.1.), разработанную в нашей лаборатории, нами были внесены некоторые изменения. От диализа растворов ПГ против воды отказались, как от излишней процедуры, когда было замечено, что при концентрировании проб бутанолом кислота уходит во фракцию бутанола, и pHраствора ПГ при этом становится нейтральным. Диализ растворов против 50 мMацетата натрия заменили добавлением ацетата натрия до конечной 50 мMконцентрации в рабочий раствор ПГ. Данные изменения позволили значительно упростить и ускорить процедуру выделения ПГ. Мы выяснили, что данным методом из имеющихся у нас образцов ткани выделяется достаточное для визуализации гель-электрофорезом количество ПГ (рис.9).
Рис.9. Электрофореграмма протеогликанов 1 - стандартная смесь ГАГ 2 - пациент № 70, контрольная ткань 3 - пациент № 70, опухолевая ткань 4 - пациент № 72, контрольная ткань 5 - пациент № 72, опухолевая ткань В различных буферных системах качество и четкость разделения ПГ на фракции может варьировать. Нам необходимо было подобрать буферную систему, в которой происходит наилучшее разделение фракций ПГ. 3.2 Отработка условий проведения электрофореза протеогликанов в агарозном гелеВыделенные образцы протеогликанов разделяли электрофорезом в различных буферных системах и сравнивали по подвижности со стандартами ГАГ (рис.10). В буфере ТАЕ электрофорез проходит очень быстро (7 мин.), стандарты и пробы не успевают разделиться. Наилучшее разделение ПГ на фракции происходило в буфере 50 мM ацетат бария, pH 5. В последующих экспериментах мы будем использовать именно этот буфер. Таким образом, нами была отработана методика проведения гель-электрофореза протеогликанов, подобран оптимальный буфер для электрофореза.
А. электрофорез проводили в буфере 50 м Mацетат бария , pH8 , 40мин.
В. электрофорез проводили в буфере TAE, pH8 , 7мин.
С. электрофорез проводили в буфере 50 м Mацетат бария, pH5 , 50мин. Рис.10. Электрофореграмма ПГ, в различныхбуферных системах 1 - пациент № 40, лимфоузел 2 - пациент № 41, доброкачественная опухоль молочной железы 3 - стандартная смесь ГАГ 3.3 Очистка препаратов протеогликанов от примесей нуклеиновых кислотИзвестно, что в выделяемых препаратах ПГ часто присутствуют примеси нуклеиновых кислот (преимущественно РНК), которые мешают идентификации ПГ (окрашиваются теми же красителями, обладают сходной с ПГ подвижностью). Примесь нуклеиновых кислот удаляли обработкой растворов протеогликанов щелочью или нуклеазами. 3.3.1 Обработка препаратов протеогликанов щелочьюПри щелочной обработке препаратов протеогликанов (см. п.2.2.2.1.) происходит не только удаление примесей РНК, но и отделение ГАГ-цепей от белкового кора ПГ, и в этом случае с помощью гель-электрофореза (рис.11) мы анализируем только состав ГАГ в препарате.
Рис.11. Препараты протеогликанов до и после обработки щелочью 1 - пациент № 45, контрольная ткань 2 - пациент № 45, контрольная ткань + NaOH 3 - пациент № 45, опухолевая ткань 4 - пациент № 45, опухолевая ткань + NaOH 5 - пациент № 40, ткань лимфоузла 6 - пациент № 40, ткань лимфоузла + NaOH После обработки препаратов ПГ щелочью стало ясно, что в них присутствовала значительная примесь нуклеиновых кислот, и дополнительная очистка препаратов необходима. Однако после щелочной обработки происходит нарушение целостности молекул протеогликанов. 3.3.2 Обработка препаратов протеогликанов нуклеазамиОчистка препаратов протеогликанов от примесей нуклеиновых кислот с помощью ДНКазы и РНКазы имеет значительное преимущество перед щелочным гидролизом проб, так как при этом не затрагивается структура протеогликанов. Препараты протеогликанов, выделенных из нормальной и опухолевой ткани молочной железы человека, обрабатывали нуклеазами (см. п.2.2.2.2.). Результаты обработки анализировали с помощью гель-электрофореза (рис.12).
А. 1 - стандартная смесь ГАГ, 2 - контрольная ткань, 3 - опухолевая ткань
В. 1 - стандартная смесь ГАГ, 2 - контрольная ткань, 3 - опухолевая ткань, 4 - РНК из печени крысы Рис.12. Препараты протеогликанов до (А) и после (В) обработки нуклеазами Из приведенных на рис.12 электрофореграмм видно, что после обработки проб ПГ нуклеазами, удаляется значительная примесь нуклеиновых кислот, присутствовавшая в неочищенных препаратах. Таким образом, нами подобран метод очистки ПГ от примесей нуклеиновых кислот, состоящий в обработке препаратов ПГ нуклеазами. 3.4 Сравнение состава протеогликанов в контрольной и опухолевой ткани молочной железы человекаПротеогликаны, выделенные из контрольной и опухолевой ткани молочной железы, разделяли методом электрофореза и сравнивали по электрофоретической подвижности со стандартами ГАГ (рис.13).
Рис.13. Протеогликаны контрольной и опухолевой ткани молочной железы человека 1 - стандартная смесь ГАГ 2 - пациент № 53, контрольная ткань 3 - пациент № 58, контрольная ткань 4 - пациент № 58, опухолевая ткань 5 - пациент № 59, контрольная ткань 6 - пациент № 59, опухолевая ткань Как видно из рисунка 13, в опухолевой ткани происходит увеличение содержания суммарных протеогликанов, а также появляется значительная фракция ПГ, соответствующая по электрофоретической подвижности хондроитинсульфатам А и С, отсутствующим в контрольной ткани. В опухолевой ткани пациентов, прошедших предоперационное лечение, такой тенденции не наблюдалось (рис.14). Возможно, в результате лечения содержание ПГ в опухолевой ткани меняется и становится более близким к норме. Однако данный факт требует дополнительного изучения.
Рис.14. Протеогликаны из ткани пациента, прошедшего предоперационное лечение Пациент № 67 1 - контрольная ткань 2 - опухолевая ткань 3 - стандартная смесь ГАГ Таким образом, можно сделать вывод, что в опухолевой ткани происходит увеличение содержания суммарных протеогликанов, и появляется значительная фракция ПГ, соответствующая по электрофоретической подвижности хондроитинсульфатам А и С, отсутствующим в контрольной ткани. У пациентов, прошедших предоперационное лечение, такой тенденции не наблюдается. Чтобы подтвердить факт увеличения содержания суммарных протеогликанов в опухолевой ткани молочной железы человека по сравнению с контрольной тканью, необходимо провести количественную оценку ПГ. 3.5 Количественная оценка протеогликановКоличественный анализ ГАГ в пробах проводили по методу 2.2.4.1 Каждое измерение выполняли в трех повторах, полученные результаты усредняли. Нормировали количество гликозаминогликанов на грамм взятой на исследование ткани (таблица 11). Таблица 11. Оценка содержания гликозаминогликанов в клинических образцах в пересчете на массу ткани
Таким образом, в опухолевой ткани молочной железы человека происходит увеличение содержания ГАГ по сравнению с контрольной тканью. Однако пересчет количества ГАГ на массу ткани в данном случае может оказаться не точным из-за разного содержания жира в контрольной и опухолевой ткани. Поэтому мы также нормировали количество ГАГ на другой параметр: на содержание нуклеиновых кислот или белка в пробе. Концентрацию нуклеиновых кислот в пробах определяли по методике 2.2.4.3. Параллельно определяли содержание ГАГ в тех же образцах (таблица 12). Таблица 12. Оценка содержания гликозаминогликанов в клинических образцах в пересчете на количество суммарных нуклеиновых кислот
Из данных, приведенных в таблице 12, видно, что при пересчете количества ГАГ в пробе на количество суммарных нуклеиновых кислот в ней также происходит увеличение содержания ГАГ в опухолевой ткани по сравнению с контрольной. Однако это увеличение не столь значительное, как при нормировании содержания ГАГ в пробах на массу ткани. Возможно, причина этого состоит в том, что в опухолевой ткани происходит увеличение содержания нуклеиновых кислот. Поэтому мы дополнительно нормировали количество ГАГ в ткани на количество белка в ней (таблица 13). Концентрацию белка в ткани определяли по Брэдфорду (см. п.2.2.4.2.) Таблица 13. Оценка содержания гликозаминогликанов в клинических образцах в пересчете на количество суммарного белка
Согласно полученным данным, у пациентов 63 и 112 происходит снижение содержания ГАГ в опухолевой ткани молочной железы по сравнению с контрольной тканью. В то же время у пациенов 115 и 116 содержание ГАГ в опухолевой ткани повышено (в 4.1 и 1.3 раза, соответственно). Возможно, такие различия связаны с индивидуальными особенностями пациентов, их клиническими диагнозами. Данный факт требует дальнейшего изучения. Таким образом, полученные нами данные подтверждают факт увеличения содержания ГАГ (и протеогликанов) в опухолевой ткани молочной железы человека по сравнению с контрольной тканью (в пересчете на массу ткани - в среднем в 4.3 раза, в пересчете на количество суммарных нуклеиновых кислот в пробе - в среднем в 2 раза). Для того чтобы определить, за счет каких именно классов протеогликанов происходит данное увеличение, нами была проведена идентификация фракций протеогликанов, выделенных из нормальной и опухолевой ткани молочной железы человека. 3.6 Идентификация фракций протеогликановИдентификацию фракций протеогликанов проводили с помощью специфических ферментов деградации ГАГ, а также с помощью азотистой кислоты. 3.6.1 Обработка препаратов протеогликанов специфическими ферментамиПробы ПГ обрабатывали специфическими ферментами деградации ГАГ (см. п.2.2.3.1.): хондроитиназой АС, которая гидролизует хондроитинсульфаты А и С, и хондроитиназой АВС, гидролизующей хондроитинсульфаты А, В (ДС) и С (рис.15).
Рис.15. Препараты протеогликанов до и после обработки специфическими ферментами А. Пациент № 58 1 - контрольная ткань 2 - контрольная ткань + хондроитиназа АС 3 - опухолевая ткань 4 - опухолевая ткань + хондроитиназа АС 5 - стандартная смесь ГАГ
В. Пациент № 54 1 - контрольная ткань 2 - опухолевая ткань 3 - контрольная ткань + хондроитиназа АС 4 - контрольная ткань + хондроитиназа АВС 5 - опухолевая ткань + хондроитиназа АС 6 - опухолевая ткань + хондроитиназа АВС 7 - стандартная смесь ГАГ Обработка хондроитиназой АС удаляла основную массу ГАГ из препарата ПГ опухолевой ткани, что позволяет сделать вывод о появлении в опухолевой ткани хондроитинсульфатов А и С. Также после обработки проб протеогликанов опухолевой ткани хондроитиназой АС значительно уменьшалась и фракция, соответствующая по электрофоретической подвижности дерматансульфатам. Этот факт может говорить о том, что фракция дерматансульфатов в опухолевой ткани претерпевает изменения, которые, однако, не сказываются на ее электрофоретической подвижности. Возможно, в ней снижается степень модификации D-глюкуроновой кислоты в L-идуроновую. 3.6.2 Обработка препаратов протеогликанов азотистой кислотойДля того чтобы идентифицировать присутствие гепарансульфатов, пробы ПГ обрабатывали азотистой кислотой (см. п.2.2.3.2.), результаты обработки анализировали с помощью гель-электрофореза (рис.16).
Рис.16. Препараты протеогликанов до и после обработки азотистой кислотой А. Пациент № 51 1 - стандартная смесь ГАГ 2 - контрольная ткань 3 - контрольная ткань + HNO2 4 - опухолевая ткань 5 - опухолевая ткань + HNO2
В. Пациент № 45 1 - контрольная ткань 2 - опухолевая ткань 3 - контрольная ткань + HNO2 4 - опухолевая ткань + HNO2 5 - гепарин + HNO2 6 - стандартная смесь ГАГ Обработка препаратов протеогликанов азотистой кислотой, избирательно разрушающей гепарансульфаты, не приводила к исчезновению нижней фракции, появляющейся в образцах ПГ, выделенных из опухолевой ткани, что позволяет дополнительно подтвердить, что она представляет собой хондроитинсульфат. После обработки азотистой кислотой препарата ПГ контрольной ткани в нем исчезала верхняя фракция, что подтверждает ее принадлежность к гепарансульфатам. Таким образом, нами была проведена идентификация фракций протеогликанов, выделенных из контрольной и опухолевой ткани молочной железы человека. Было показано, что увеличение содержания протеогликанов в опухолевой ткани происходит за счет появления в ней значительного количества хондроитинсульфатов А и С, отсутствующих в контрольной ткани. Согласно предварительным данным, полученным после ферментативной обработки проб ПГ, в опухолевой ткани изменениям подвергается также фракция дерматансульфат протеогликанов (поскольку фермент хондроитиназа АС начинает деградировать данную фракцию). Для проверки данного факта нами была поставлена задача, определить экспрессию декорина (как основного представителя дерматансульфат протеогликанов в тканях млекопитающих) в контрольной и опухолевой ткани молочной железы человека. 3.7 Определение экспрессии декорина в контрольной и опухолевой ткани молочной железы человекаНаличие декорина в образцах ткани определяли методом вестерн-блота (см. п.2.2.5.) с использованием моноклональных мышиных антител к коровому белку данного протеогликана. Проявление вестерна осуществляли с помощью ECL-набора (рис.17).
Рис.17. Вестерн-блот с антителами к коровому белку декорина 1, 2 - пациент №111, контроль, опухоль 3, 4 - пациент №112, контроль, опухоль 5, 6 - пациент №117, контроль, опухоль 7, 8 - пациент №124, контроль, опухоль Данная картина вестерна типична для протеогликанов. Хотя антителами окрашивается коровый белок, но он движется в составе единой массивной молекулы протеогликана (с углеводными цепями ГАГ). Вследствие этого четкого деления полос не происходит. Такое деление возможно лишь после удаления углеводной части протеогликана. Согласно полученным данным, декорин присутствует как в контрольной, так и в опухолевой ткани молочной железы человека. Однако электрофоретическая подвижность декорина в опухолевой ткани значительно изменена. Это может быть обусловлено изменением структуры или количества углеводных цепей ДС, присутствующих на коровом белке декорина. Поскольку ранее мы показали, что в опухолевой ткани молочной железы человека фракция, соответствующая по электрофоретической подвижности дерматансульфатам, деградируется ферментом хондроитиназой АС, то возможно, изменение углеводной части декорина связано с замещением ДС-цепей на ХС-цепи. Известно, что в ходе биосинтеза дерматансульфат протеогликанов (и декорина, в частности) на коровом белке вначале синтезируются цепи хондроитинсульфатов, которые затем превращаются в дерматансульфаты под действием фермента D-глюкуронил С5-эпимеразы. Возможно, в опухолевой ткани происходит нарушение или потеря активности данного фермента, в результате чего на коровом белке декорина и других ДСПГ присутствуют незрелые цепи ХС. Для изучения данного вопроса требуется определение уровня экспрессии D-глюкуронил С5-эпимеразы в контрольной и опухолевой ткани молочной железы человека. 3.8 Определение экспрессии белковой молекулы D-глюкуронил С5-эпимеразы в контрольной и опухолевой ткани молочной железы человекаРанее нашей группой методами мультиплексной ПЦР и ПЦР в реальном времени было показано, что в опухолевой ткани молочной железы человека происходит снижение экспрессии D-глюкуронил С5-эпимеразы по сравнению с контрольной тканью и нарушение структуры мРНК-транскрипта. Нашей задачей было определение наличия белковой молекулы эпимеразы в тех же клинических образцах. Присутствие молекулы D-глюкуронил С5 - эпимеразы в ткани определяли методом вестерн-блота с использованием поликлональной кроличьей сыворотки. Проявление вестерна осуществляли с помощью ECL-набора (рис.18).
Рис.18. Вестерн-блот с антителами к D-глюкуронил С5-эпимеразе 1 - маркер “Калейдоскоп” 2, 3 - пациент №111 контроль, опухоль 4, 5 - пациент №112 контроль, опухоль 6, 7 - пациент №113 контроль, опухоль 8, 9 - пациент №114 контроль, опухоль 10, 11 - пациент №117 контроль, опухоль Нами были исследованы образцы ткани 20 пациентов, и было показано, что в опухолевой ткани молочной железы человека происходят изменения в структуре D-глюкуронил С5-эпимеразы. У части пациентов в опухолевой ткани данный белок не детектировался, а в контрольной ткани присутствовали дополнительных укороченные фрагменты эпимеразы (100, 75, 40 кДа). У других пациентов экспрессия эпимеразы детектировалась как в контрольной, так и в опухолевой ткани, однако в опухолевой ткани также присутствовали укороченные фрагменты белка. Возможно, такие различия связаны с клиническими диагнозами пациентов. Таким образом, в опухолевой ткани молочной железы человека происходят изменения в экспрессии белковой молекулы D-глюкуронил С5-эпимеразы, что подтверждает наше предположение о возможном участии данного фермента в изменении структуры цепей ГАГ при опухолевом перерождении. ЗаключениеТаким образом, в ходе проделанной работы нами был отработан метод выделения протеогликанов из микроколичеств клинического материала контрольной и опухолевой ткани молочной железы человека и проведен сравнительный анализ содержания ГАГ в нормальной и опухолевой ткани. Данный анализ показал, что в опухолевой ткани молочной железы человека происходит увеличение содержания суммарных протеоглликанов в среднем в 4.3 раза, при пересчете на массу ткани, и в среднем в 2 раза, при пересчете на количество нуклеиновых кислот в ткани, по сравнению с контрольной тканью. Был подобран оптимальный буфер для проведения электрофоретического разделения ПГ. Проведена очистка препаратов протеогликанов от примесей нуклеиновых кислот. Была проведена идентификация фракций протеогликанов, выделенных из контрольной и опухолевой ткани молочной железы 26 пациентов. Было обнаружено, что увеличение содержания ПГ в опухолевой ткани происходит за счет появления в ней значительной фракции хондроитинсульфатов А и С, отсутствующих в контрольной ткани. Также в опухолевой ткани изменена фракция дерматансульфатов, поскольку она частично деградируется ферментом хондроитиназой АС. Факт изменения структуры углеводных частей ДСПГ в опухолевой ткани молочной железы человека был дополнительно подтвержден после определения экспрессии декорина (как наиболее характерного представителя дерматансульфат протеогликанов в тканях млекопитающих) в клинических образцах методом вестерн-блота. Данным методом было показано, что в опухолевой ткани молочной железы человека меняется электрофореточеская подвижность декорина, что может свидетельствовать о нарушении структуры его ГАГ-цепей. Параллельное определение экспрессии D-глюкуронил С5-эпимеразы (фермента, ответственного за созревание ДС-цепей) методом вестерн-блота в тех же образцах ткани показало, что в опухолевой ткани молочной железы человека изменена структура данного фермента, или же его экспрессия не детектируется. Полученные данные служат подтверждением выдвинутой нами гепотезы о возможной роли D-глюкуронил С5-эпимеразы в изменении состава протеогликанов в опухолевой ткани молочной железы человека. Задачей следующих экспериментов является продолжение набора данных по экспрессии декорина, а также другого представителя ДСПГ - бигликана, и D-глюкуронил С5-эпимеразы в контрольной и опухолевой ткани молочной железы человека методом вестерн-блота. Также планируется провести определение содержания и локализации данных протеогликанов и D-глюкуронил С5-эпимеразы в тех же образцах ткани методом иммуногистохимии. ВЫВОДЫ: 1. В опухолевой ткани молочной железы человека происходит увеличение содержания суммарных протеогликанов по сравнению с контрольной тканью в среднем в 4.3 раза, при пересчете на массу ткани, или в среднем в 2 раза при пересчете на количество нуклеиновых кислот в ткани. 2. Увеличение содержания протеогликанов в опухолевой ткани молочной железы человека происходит за счет появления хондроитинсульфат протеогликанов А и С, отсутствующих в контрольной ткани. 3. В опухолевой ткани молочной железы человека изменена структура ГАГ-цепей дерматансульфат протеогликанов. Данная фракция чувствительна к ферменту хондроитиназе АС. Также в опухолевой ткани изменена электрофоретическая подвижность дерматансульфат протеогликана декорина по сравнению с контрольной тканью. 4. В опухолевой ткани молочной железы человека происходит нарушение структуры белковой молекулы D-глюкуронил С5-эпимеразы или полное исчезновение экспрессии данного фермента. Список литературы1. Selleck S. B. Overgrowth syndromes and the regulation of signaling complexes by proteoglycans // Am. J. Hum. Genet. 1999. V 64. P.372-377. 2. Rodén L., Koerner T., Olson C. and Schwartz N. B. Mechanisms of chain initiation in the biosynthesis of connective tissue polysaccharides // Fed. Proc. 1985. V.44. P.373-380. 3. Fraser J. R. E., Laurent T. C. and Laurent U. B. G. Hyaluronan: Its nature, distribution, functions and turnover // J. Intern. Med. 1997. V.242. P.27-33. 4. Fraser J. R. and Laurent T. C. Turnover and metabolism of hyaluronan // Ciba Found. Symp. 19 89. V.143. P.41-53. 5. DeAngelis P. L. and Achyuthan A. M. Yeast-derived recombinant DG42 protein of Xenopus can synthesize hyaluronan in vitro // J. Biol. Chem. 1996. V.271. P.23657-23660. 6. DeAngelis P. L., Papaconstantinou J. and Weigel P. H. Molecular cloning, identification, and sequence of the hyaluronan synthase gene from group A Streptococcus pyrogenes // J. Biol. Chem. 1993. V.268. P. 19181-19184. 7. Kazuyuki Sugahara, Tadahisa Mikami, Toru Uyama, Souhei Mizuguchiz, Kazuya Nomura and Hiroshi Kitagawa. Recent advances in the structural biology of chondroitin sulfate and dermatan sulfate // Current Opinion in Structural Biology. 2003. V.13. P.612-620. 8. Trowbridge J. M. and Gallo R. L. Dermatan sulfate: new functions from an old glycosaminoglycan // Glycobiology. 2002. V.12. No.9. P.117R-125R. 9. Conrad H. E . Heparin-binding proteins. Academic Press, San Diego. 1998. 10. Salmivirta M., Lidholt K. and Lindahl U. Heparan sulfate: A piece of information // FASEB J. 1996. V.10. P.1270-1279. 11. Tai G. H., Huckerby T. N. and Nieduszynski I. A. Multiple non-reducing chain termini isolated from bovine corneal keratan sulfates // J. Biol. Chem. 1996. V.271. P.23535-23546. 12. Fukuta M., Inazawa J., Torii T., Tsuzuki K., Shimada E. and Habuchi O. Molecular cloning and characterization of human keratan sulfate Gal-6-sulfotransferase // J. Biol. Chem. 1997. V.272. P.32321-32328. 13. Degroote S., Lo-Guidice J. M., Strecker G., Ducourouble M. P., Roussel P. and Lamblin G. Characterization of an N- acetylglucosamine-6-O- sulfotransferase from human respiratory mucosa active on mucin carbohydrate chains // J. Biol. Chem. 19 97. V.272. P.29493-29501. 14. Brown G. M., Huckerby T. N., Morris H. G., Abram B. L. and Nieduszynski I. A. Oligosaccharides derived from bovine articular cartilage keratan sulfates after keratanase II digestion: Implications for keratan sulfate structural fingerprinting // Biochemistry 1994. V.33. P.4836-4846. 15. Wilson I. B. The never-ending story of peptide O-xylosyltransferase // Cell. Mol. Life Sci. 2004. V.61. P.794-809. 16. Prydz K., Dalen K. T. Synthesis and sorting of proteoglycans // Journal of Cell Science 2000. V.113. P. 193-205. 17. Silbert J. E., Sugumaran G. Biosynthesis of chondroitin/dermatan sulfate // IUBMB Life. Oct. 2002. V.54 (4). P.177-186. 18. Silbert J. E. and Sugumaran G. Intracellular membranes in the synthesis, transport, and metabolism of proteoglycans // Biochim. Biophys. Acta. 1995. V.1241. P.371-384. 19. Silbert J. E.org anization of glycosaminoglycan sulfation in the biosynthesis of proteochondroitin sulfate and proteodermatan sulfate // Glycoconjugate J. 1996. V.13. P.907-912. 20. Fransson L. A., Belting M., Jonsson M., et al. Biosynthesis of decorin and glypican // Matrix Biol. 2000. V. 19. P.367-376. 21. Maccarana M., Sakura Y., Tawada A., Yoshida K. and Lindahl U. Domain structure of heparan sulfates from bovine organs // J. Biol. Chem. 1996. V.271. P.17804-17810. 22. Rosenberg R. D., Shworak N. W., Liu J., Schwartz J. J. and Zhang L. J. Heparan sulfate proteoglycans of the cardiovascular system. Specific structures emerge but how is synthesis regulated // J. Clin. Invest. 1997. V.99. P. 2062-2070. 23. Yanagishita M. and Hascall V. Cell surface heparan sulfate proteoglycans // J. Biol. Chem. 1992. V.267. P.9451-9454. 24. Lyon M., Deakin J. A. and Gallagher J. T. Liver heparan sulfate structure. A novel molecular design // J. Biol. Chem. 1994. V.269. P.11208-11215. 25. Iozzo R. V. Matrix proteoglycans: from molecular design to cellular function // Annu. Rev. Biochem. 1998. V.67. P.609-52. 26. Jackson R. L., Busch S. J. and Cardin A. D. Glycosaminoglycans: Molecular properties, protein interactions, and role in physiological processes // Physiol. Rev. 1991. V.71. P.481-539. 27. Hardingham T. E., Fosang A. J. Proteoglycans: many forms and many functions // The FASEB Journal. 1992. V.6. P.861-870. 28. Tumova S., Woods A., Couchman J. R. Heparan sulfate proteoglycans on cell surface: versatile coordinators of cellular functions // Int J Biochem Cell Biol. 2000. V.32. P.269-288. 29. Selleck S. B. Proteoglycans and pattern formation // TIG. May 2000. V.16. № 5. 30. Perrimor N., Bernfield M. Specificities of heparan sulfate proteoglycans in developmental processes // Nature.13 April2000. V.404. 31. Зимина Н.П., Рыкова В.И. Протеогликаны животных тканей и их влияние на синтез ДНК // Биохимия. 1986. Т.51. Вып.9. С.1555-1561. 32. Рыкова В.И., Григорьева Э.В. Состав протеогликанов в ядрах клеток гепатомы мышей // Биохимия. 1998. Т.63. Вып.11. С.1496-1502. 33. Schamhart D. H., Kurth K. H. Role of proteoglycans in cell adhesion of prostate cancer cells: from review to experiment // Urol Res. 1997. V.25. P.89-96. 34. Schonherr E., Witsch-Prehm P., Harrach B., et al. Interaction of biglycan with type I collagen // J Biol Chem. 1995. V.270. P.2776-2783. 35. Bianco P., Fisher L. W., Young M. F., et al. Expression and localization of the two small proteoglycans biglycan and decorin in developing human skeletal and non-skeletal tissues // J Histochem Citochem. 1990. V.38. P.1549-1563. 36. Fleischmajer R., Fisher L. W., MacDonald E. D., et al. Decorin interacts with fibrillar collagen of embryonic and adult human skin // J Struct Biol. 1991. V.1. P.82-90. 37. Oldberg A., Antonsson P., Lindblom K., et al. A collagen-binding 59-kd protein (fibromodulin) is structurally related to the small interstitial proteoglycans PG-S1 and PG-S2 (decorin) // EMBO J. 1989. V.8. P.2601-2604. 38. Embry J. J., Knudson W. G1 domain of aggrecan cointernalizes with hyaluronan via a CD44-mediated mechanism in bovine articular chondrocytes // Arthritis Rheum. 2003. V.12. P.3431-3441. 39. Matsumoto K., Shionyu M., Go M., et al. Distinct interaction of versican/PG-M with hyaluronan and link protein // J Biol Chem. 2003. V.42. P.41205-41212. 40. Hirose J., Kawashima H., Yoshie O., et al. Versican interacts with chemokines and modulates cellular response // J Biol Chem. 2001. V.276. P.5228-5234. 41. Kawashima H., Li Y. F., Watanabe N., Hirose J., et al. Identification and characterization of ligands for L-selectin in the kidney.I. Versican, a large chondroitin sulfate proteoglycan, is a ligand for L - selectin // Int Immunol. 1999. V.3. P.393-405. 42. Kawashima H., Hirose M., Hirose J., et al. Binding of large chondroitin sulfate/dermatan sulfate proteoglycan, versican, to L-selectin, P-selectin and CD 44 // J Biol Chem. 2000. V.275. P.35448-35456. 43. Haggerty J. G., Bretton R. H., Milstone L. M. Identification and characterization of cell surface proteoglycan on keratinocytes // J Invest Dermatol. 1992. V.4. P.374-380. 44. Kugelman L. C., Ganguly S., Haggerty J. G., et al. The core protein of epican, a heparan sulfate proteoglycan on keratinocytes, is an alternative form of CD 44 // J Invest Dermatol. 1992. V.6. P.866-891. 45. Brown T. A., Bouchard T., St John T., et al. Human keratinocytes express a new CD 44 core protein (CD 44) as a heparin-sulfate intrinsic membrane proteoglycan with additional exon // J Cell Biol. 1991. V.1. P. 207-221. 46. Kolset S. O. and Gallagher J. T. Proteoglycans in haemopoietic cells // Biochim. Biophys. Acta. 1990. V.1032. P. 191-211. 47. Santra M., Reed C. C., Iozzo R. V. Decorin binds to a narrow region of the epidermal growth factor (EGF) receptor, partially overlapping but distinct from the EGF-binding epitope // J Biol Chem. 2002. V.38. P.35671-35681. 48. Eickelberg O., Cerntrella M., Reiss M., et al. Betaglycan inhibits TGF-beta signaling by preventing type I-type II receptor complex formation. Glycosaminoglycan modifications alter betaglycan function // J Biol Chem. 2002. V.277. P.823-829. 49. Ostrovsky O., Berman B., Gallagher J., et al. Differential effects of heparin saccharides on the formation of specific fibroblast growth factor (FGF) and FGF receptor complexes // J Biol Chem. 2002. V.4. P.2444-2453. 50. Wu Z. L., Zhang L., Yabe T., et al. The involvement of HS in FGF1/HS/FGFR1 signaling complex // J Biol Chem. 2003. V. 19. P.17121-17129. 51. Rouslahti E. Proteoglycans in cell regulation // J Biol Chem. 1989. Aug 15. V.264 (23). P.13369-72. 52. Iozzo R. V., Cohen I. Altered proteoglycan gene expression and the tumor stroma // Experientia. 1993. V.49. P.447-455. 53. Lesley J., Hyman R., English N., Catterall J. B., Turner G. A. CD44 in inflammation and metastasis // Glycoconj. J. 1997. V.14. P.611-622. 54. Jozzo R. V. Neoplastic modulation of extracellular matrix. Colon carcinoma cells release polypeptides that alter proteoglycan metabolism in colon fibroblasts // J Biol Chem. 1985 Jun 25. V.260 (12). P.7464-73. 55. Theocharis A. D., Vynios D. H., Papageorgacopoulou N., et al. Altered content, composition and structure of glycosaminoglycans and proteoglycans in gastric carcinoma // Int J Biochem Cell Biol. 2003. V.35 (3). P.376-390. 56. Theocharis A. D., Tsara M. E., Papageorgacopoulou N., et al. Pancreatic carcinoma is characterized by elevated content of hyaluronan fnd chondroitin sulfate with altered disaccharide composition // Biochem Biophys Acta. 2000. V.2. P. 201-206. 57. Tsara M. E., Theocharis A. D., Theocharis D. A.com positional and structural alterations of proteoglycans in human rectum carcinoma with special reference to versican and decorin // Anticancer Res. 2002. V.22. P.2893-2898. 58. Achilleas D, Theocharis. Human colon adenocarcinoma is associated with specific post-translational modifications of versican and decorin // Biochem Biophys Acta. 2002. V.1588. P.165-172. 59. Papadas T. A., Stylianou M., Mastronikolis N. S., et al. Alterations in the content and composition of glycosaminoglycans in human laryngeal carcinoma // Acta Otolaryngol. 2002. V.122. P.330-337. 60. Vijayagopal P., Figueroa J. E., Levine E. A., et al. Altered composition and increased endothelial cell proliferative activity of proteoglycans isolated from breast carcinoma // J Surg Oncol. 1998. V.4. P.250-254. 61. Alessandra G. A., Berto A., Lucia O., et al. A comparative analysis of structure and spatial distribution of decorin in human leiomyoma and normal myometrium // Biochem Biophys Acta. 2003. V.1619. P.98-112. 62. Ladanyi A., Gallai M., Paku S., Nagu J., O., Dudas J., Timar J., Kovalszky I. Expression of a decorin-like moleculein human melanoma // Pathol Oncol Res. 2001. V.7 (4). P.260-6. 63. Santra M., Reed C. C., Iozzo R. V. Decorin binds to a narrow region of the epidermal growth factor (EGF) receptor, partially overlapping but distinct from the EGF-binding epitope // J. Biol. Chem. 2002. V.38. P.35671-3581. 64. De Luca A. Santra, M. Baldi A., et al. Decorin-induced growth suppression is associated with up-regulation of p21, an inhibitor of cyclin-dependent kinases // J. Biol. Chem. 1996. V.271. P.18961-18965. 65. Csordas G., Santra M., Reed C. C. et al. Sustained down-regulation of the epidermal growth factor receptor by decorin. A mechanism for controlling tumor growth in vivo // J. Biol. Chem. 2000. V.42. P.32879-32887. 66. Stander M., Naumann U., Wick W., et al. Transforming growth factor-beta and p-21: multiple molecular targets of decorin-mediated suppression of neoplastic growth // Cell Tissue Res. 1999. V.296. P.221-227. 67. Clouthier D. E., Comerford S. A., Hammer R. E. Hepatic fibrosis, glomerulosclerosis, and a lipodystrophy-like syndrome in PEPK-TGF-beta 1 transgenic mice // J. Clin. Invest. 1998. V.100. P.2697-26713. 68. Santra M., Eichstetter I., Iozzo R. V. An anti-oncogenic role for decorin. Down-regulation of ErbB2 leads to growth suppression and cytodifferentiation of mammary carcinoma cells // J. Biol. Chem. 2000. V.45. P.35153-35161. 69. Grant D. S., Yenisey C., Rose R. W. et al. Decorin suppresses tumorcell-mediated angiogenesis // Oncogene. 2002. V.31. P.4765-4777. 70. Schonherr E., Levkau B., Schaefer L. et al. Decorin affects endothelial cells by Akt-dependent and - independent pathways // Ann. N. Y. Acad. Sci. 2002. V.973. P.149-152. 71. Nash M. A., Loercher A. E., Freedman R. S. In vitro growth inhibition of ovarian cancer cells by decorin: synergism of action between decorin and carboplatin // Cancer Res. 1999. V.59. P.6192-6199. 72. Santra, M., Skorski, T., Calabretta, B., et al. De novo decorin gene expression suppresses the malignant phenotype in human colon cancer cells // Proc. Natl. Acad. Sci. - 1995. - V.92. - P.7016-7020. 73. Reed C. C., Gauldie J., Iozzo R. V. Suppression of tumorigenicity by adenovirus-mediated gene transfer of decorin // Oncogene. - 2002. V.23. P.3688-95. 74. Tiedemann K., Larsson T., Heinegard D., et al. The glucuronyl C5-epimerase activity is the limiting factor in the dermatan sulfate biosynthesis // Arch. Biochem. Biophys. 2001. V.391. P.65-71. 75. Hagner-Mc Whirter A., Li J. Irreversible Glucuronyl C5-epimerization in the Biosynthesis of Heparan Sulfate // J. Biol. Chem. 2004. V.279. P.14631-14638. 76. Hagner -McWhirter A., Li J. P., Oscarson S., et al. Irreversible glucuronyl C5-epimerization in the biosynthesis of heparan sulfate // J. Biol. Chem. 2004. V.279. P.14631-14638. 77. Malmstrom A. Biosynthesis of dermatan sulfate. Substrate specifity of the C-5 uronosyl epimerse // J. Biol. Chem. 1984. V.10. P.161-165. 78. Hagner-McWhirter A ., Hannesson H. H., Campbell P. et al. Biosynthesis of heparin/heparan sulfate: kinetic studies of the glucuronyl C5-epimerase with N-sulfated derivatives of the Escherichia coli K5 capsular polysaccharide as substrates // Glycobiology. 2000. V.10. P.159-171. 79. Jaccobson I., Lindal U., Jensen J. W. et al. Biosynthesis of heparin. Substrate specifity of the C-5 uronosyl epimerse // J. Biol. Chem. 1982. V.259. P.1056-1063. 80. Seidler D. G., Breuer E., Grande-Allen K. J., Hascall V. C., Kresse H. Core protein dependence of epimerization of glucuronosyl residues in galactosaminoglycans. // J Biol Chem. 2002 Nov 1. V.277 (44). P.42409-42416. 81. Li J., Hagner -McWhirter A., Kjellen L., et al. Biosynthesis of heparin/heparan sulfate. cDNA cloning and expression of D-glucuronyl C5-epimerase from bovine lung // J. Biol. Chem. 1997. V.44. P.28158-28163. 82. Li J. P., Gong F., El Darwish K., et al. Characterization of the D-glucuronyl C5-epimerase inVved in the biosynthesis of heparin and heparan sulfate // J. Biol. Chem. 2001. V.23. P. 20069-20077. 83. Li J., Gong F., Hagner -McWhirter A., et al. Targeted Disruption of a Murine Glucuronyl C5-epimerase Gene Results in Heparan Sulfate Lacking L-Iduronic Acid and in Neonatal Lethality // J. Biol. Chem. 2003. V.278. P.28363-28366. 84. Bulow, H . E., Hobert , O. Differential sulfations and epimerization define heparan sulfate specificity in nervous system development // Neuron. 2004. V.41. P.723-736. 85. Роничевская Г.М., Черниченко Л.Н., Рыкова В.И., Мартынова Р.П. Влияние препаратов РНК разной степени очистки и выделенной из них примеси на спонтанную аденокарциному молочной железы мышей линии С3Н // Изв. СО АН СССР, сер. Биологич. 1973. Т.2. С.138-143. |
|||||||||||||||||||||||||||||||||||||||||||||||||||||||||||||||||||||||||||||||||||||||||||||||||||||||||||||||||||||||||||||||||||||||||||||||||||||||||||||||||||||||||||||||||||||||||||||||||||||||||||||||||||||||||||||||||||||||||||||||||||||||||||||||||||||||||||||||||||||||||||||||||||||||||||||||||||||||||||||||||||||||||||||||||||||||||||||||||||||||||||||||||||||||||||||||||||||||||||||||||||||||||||||||||||||||||||||||||||||||||||||||||||||||||||||||||||||||||||||||||||||||||||||||||||||||||||||||||||||||||||||||||||||||||||||||||



























