Реферат: Фармацевтический анализ производных фенотиазина
|
Название: Фармацевтический анализ производных фенотиазина Раздел: Рефераты по химии Тип: реферат | |
Курсовая работа "Фармацевтический анализ производных фенотиазина" Введение Фенотиазины - исторически первый класс антипсихотических средств - по своей химической структуре представляют собой трициклические молекулы. Все фенотиазины подразделяются на три основных подтипа: 1. алифатические, 2. пиперидиновые, 3. пиперазиновые производные. Фенотиазины с алифатическими боковыми цепями (например, хлорпромазин) в основном являются низкопотентными соединениями (то есть для достижения терапевтического эффекта необходимо использовать более высокие дозы препарата). Пиперидиновые производные обладают антихолинергическими свойствами и в меньшей степени способны вызывать развитие экстрапирамидных расстройств (например, тиоридазин, мезоридазин). Пиперазиновые фенотиазины (например, перфеназин, трифлюоперазин, флуфеназин) являются наиболее мощными антипсихотическими соединениями. Связь «структура-действие» В основе химической структуры данной группы препаратов лежит гетероциклическая система, состоящая из шестичленного гетероцикла тиазина, конденсированного с двумя ядрами бензола (рис. 1).
Препараты, производные фенотиазина, представляют собой сходные по химической структуре соединения, отличающиеся только заместителями в положении 2 и 10 фенотиазинового кольца, причем между структурой заместителей и фармакологическим действием проявляется четкая зависимость: если в 10 положении находится липофильная группировка, содержащая третичный азот во 2’ или 3’ положении, то препарат оказывает нейролептическое, седативное и противоаллергическое действие. Если же эта группировка гидрофильная (карбоксильная группа), то препарат оказывает коронарорасширяющее и антиаритмическое действие. Фармацевический анализ фенотиазина Фенотиазин
Получение Фенотиазин получают нагреванием дифениламина с S при 180-250 0 C в высококипящих растворителях в присутствии I2 или AlCl3 . Общий метод получения фенотиазина и его производных - циклизация 2'-замещенных производных 2-аминодифенил-сульфида в присутствии сильных оснований:
1. Описание. Представляет собой желтые кристаллы. 2. Растворимость. Хорошо растворим при нагревании в этаноле, уксусной кислоте, плохо - в диэтиловом эфире и бензоле. В холодной серной кислоте растворим с выделением SO2 . 3. Качественный анализ. 3.1. Химические свойства. Имеет похожие свойства ароматических соединений. Является хорошим донором электронов и с различными акцепторами образует комплексы с переносом заряда. Легко вступает в электрофильное замещение, которое направляется в первую очередь в положения 3 и 7 и часто сопровождается окислением. 3.2. Реакционная способность
Бромирование фенотиазина в нитробензоле протекает с образованием 1,2,3,7,8,9-гексабромпроизводного, аналогичное хлорирование - с образованием продукта глубокого (до 11 атомов Cl) хлорирования и потерей ароматичности одного из колец. Окисление фенотиазина действием H2 O2 или KMnO4 приводит к фенотиазин-5-оксиду или фенотиазин-5,5-диоксиду. Реакции протекают в виде последовательных стадий с промежуточным образованием катиона, в котором положение 3 чувствительно к атаке нуклеофильных реагентов, например:
4. Примеси. 5. Количественный анализ. Хранение. Хранить их следует в банках из оранжевого стекла, плотно закрытых пробками, залитыми парафином, в сухом месте (это связано с легкоокисляемостью, и высокой гигроскопичностью). Применение Фенотиазин используется в качестве инсектицида, антигельминта, антиоксиданта смазочных масел. Фармацевтический анализ производных фенотиазина 1. Аминазин 2. Трифтазин 3. Дипразин 1. Описание. По внешнему виду все эти препараты сходны между собой. Это в большинстве своем белые или белые с кремоватым оттенком кристаллические порошки, некоторые имеют зеленовато-желтоватый цвет (трифтазин, мепазин). Гораздо большее значение имеют производные фенотиазина, имеющие заместителя (R) в положениях 2 и 10 цикла. Чаще R10 представляет собой остаток 3-диалкиламинопропанола
2. Растворимость. Очень легко растворимы в воде, легко - в 95% спирте, хлороформе; практически нерастворимы в эфире и бензоле. 3. Качественный анализ. 3.1. Химические свойства. Из химических свойств производных фенотиазина наиболее характерным является способность их к окислению. В зависимости от характера окислителя (бромная вода, азотная и серная кислоты, хлорид окисного железа и др.) образуются различного цвета продукты окисления. Поэтому эти реакции используются для идентификации препаратов фенотиазинового ряда. 3.2. Реакционная способность. Местом наибольшей реакционной способности в молекуле фенотиазина и его производных является атом серы, которая может окисляться до S4+ и S6+ . Окисление фенотиазина или его производных бромом в уксусной кислоте или другим окислителем, например перекисью водорода, приводит к образованию S-оксида (I) и диоксида-сульфона (II).
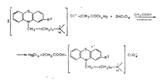
За счет третичного азота в молекуле производные феноти-азина могут вступать в реакции с общеалкалоидными реактивами (см. «Алкалоиды»). Все препараты фенотиазинового ряда применяются в виде гидрохлоридов, поэтому после выделения основания щелочью в фильтрате обнаруживается хлор-ион с раствором нитрата серебра. 4. Примеси. Из возможных примесей в препаратах ГФ X допускает сульфаты, тяжелые металлы и фенотиазин в пределах эталонов. Определяется также предел кислотности. 5. Количественное определение. Методы количественного определения препаратов фенотиазинового ряда разнообразны и базируются на свойствах соединений. Фармакопейным методом является метод кислотно-основного титрования в неводных средах. Препарат растворяют в ледяной уксусной кислоте или ацетоне, добавляют ацетат окисной ртути и титруют хлорной кислотой по индикатору кристаллический фиолетовый или метиловый оранжевый.
Фармакопейным методом является и обычный метод нейтра: лизации с дифференцирующими растворителями. Этот метод ГФ X рекомендует для раствора и таблеток дипразина. Определение азота по методу Кьельдаля ГФХ рекомендует для количественного определения аминазина в растворе. Хранение. Хранить их следует в банках из оранжевого стекла, плотно закрытых пробками, залитыми парафином, в сухом месте, так как производные фенотиазина темнеют на свету (это связано с их способностью легко окисляться, а еще они гигроскопичны). Меры предосторожности. При работе с производными фенотиазина нужно исключить возможность попадания порошка и растворов на кожу и слизистые оболочки, так как они вызывают сильное раздражение, отечность кожи век, понижение артериального давления. Использованные литературные источники фенотиазин химический фармацевтический производный 1. Гетероциклические соединения, под ред. P. Эльдерфидда, пер. с англ., т. 6, M., 1960, с. 568-91; 2. Общая органическая химия, пер. с англ., т. 9, M., 1985, с. 627-35. Г.А. Швехгеймер, В.И. Келарев; 3. http://ru.wikipedia.org 4. Мелентьева |







