Курсовая работа: Учет амортизации основных средств
|
Название: Учет амортизации основных средств Раздел: Рефераты по экономике Тип: курсовая работа | |||||||||||||||||||||||||||||||||||||||||||||||||||||||||||||||||||||||||||||||||||||||||||||||||||||||||||||||||||||||||||||||||||||||||||||||||||||||||||||||||||||||||||||||||||||||||||||||||||||||||||||||||||||||||||||||||||||||||||||||||||||||||||||||||||||||||||||||||||||||||||||||||||||||||||||||||||||||||||||||||||||||||||||||||||||||||||||||||||||||||||||||||||||||||||||||||||||||||||||||||||||||||||||||||||||||||||||||||||||||||||||||||||||||||||||||||||||||||||||||||||||||||||||||||||||||||||||||||||||||||||||||||||||||||||||||||||||||||||||||||||||||||||||||||||||||||||||||||||||||||||||||||||||||||||||||||||||||||||||||||||||||||||||||||||||||||||||||||||||||||||||||||||||||||||||||||||||||||||||||||||||||||||||||||||||||||||||||||||||||||||||||||||||||||||||||||||||||||||||||||||||||||||||||||||||||||||||||||||||||||||||||||||||||||||||||||||||||||||||||||||||||||||||||||||||||||||||||||||||||||||||||||||||||||||||||||||||||||||||||||||||||||||||||||||||||||||||||||||||||
|
Санкт-Петербург 2009 г Введение Для функционирования любого предприятия необходимо наличие совокупности материально-вещественных ценностей. Эффективное использование этих ценностей прямо влияет на конечные результаты хозяйственной деятельности предприятий. Экономический потенциал предприятий составляют основные и оборотные средства. Основные средства — это средства труда долговременного использования, которые, многократно участвуя в производственном процессе, переносят свою стоимость по мере износа на себестоимость готовой продукции, не изменяя при этом своей натуральной формы. Основные средства принадлежат предприятию на правах собственности и могут находиться в эксплуатации, запасе, на консервации или сдаваться в аренду (кроме долгосрочно арендуемых). Порядок отнесения объектов к основным средствам и их состав регулируются законодательством и нормативными документами. Более полное и рациональное использование основных средств предприятия способствует улучшению всех его технико-экономических показателей: росту производительности труда, повышению фондоотдачи, увеличению выпуска продукции, снижению ее себестоимости, экономии капитальных вложений. Проводя анализ состояния и эффективности использования основных средств, выявляются задачи. Это: установление обеспеченности предприятия и его структурных подразделений основными средствами, состава и технического уровня средств, потребности в них; выяснение выполнения плана их роста, обновления и выбытия; изучение технического состояния основных средств, особенно наиболее активной их части – машин и оборудования; определение степени использования основных средств и факторов, на нее повлиявших; установление полноты применения парка оборудования и его комплектности; выяснение эффективности использования оборудования во времени и по мощности; определение влияния использования основных средств на объем продукции; выявление резервов роста фондоотдачи, увеличения объема продукции и прибыли за счет улучшения использования основных фондов. В процессе использования и под воздействием сил природы основные средства постепенно утрачивают свои потребительские свойства, т.е. снашиваются. По мере снашивания они передают свою стоимость на готовую продукцию, вырабатываемую с их использованием. По мере снашивания основных средств стоимость их включается в издержки производства (амортизация). Амортизационные отчисления образуют фонд средств для возмещения объектов, выбывших в связи с их износом. Учет амортизации основных средств является важной составной частью учета основных средств. Поэтому знание экономического содержания, назначения и способов (методов начисления) амортизации является необходимым как для работников бухгалтерии, руководителей предприятий, так и для работников финансовых, экономических отделов предприятий. Глава 1. Основные средства 1.1 Нормативно – правовая база учёта основных средств Основными нормативными документами, регулирующими порядок ведения бухгалтерского учета по основным средствам, являются: Положение по бухгалтерскому учету «Учет основных средств» ПБУ 6/01, утвержденное Приказом Минфина РФ от 30.03.2001г. №26н, Положение по ведению бухгалтерского учета и бухгалтерской отчетности в Российской Федерации, утвержденное Приказом Минфина РФ от 29.07.1998г. №34н (в редакции от 24.03.2000г. [1] ), План счетов бухгалтерского учета финансово-хозяйственной деятельности организаций и Инструкция по применению плана счетов бухгалтерского учета финансово-хозяйственной деятельности организаций, утвержденные Приказом Минфина РФ от 31.10.2000г. №94н, Следует иметь в виду, что в ПБУ 6/01 «Учет основных средств» (и ПБУ5/01 «Учет материально-производственных запасов», утвержденным Приказом Минфина РФ от 09.06.2001г. №44н). Установлены критерии отнесения имущества к основным средствам (и материально-производственным запасам), отличные от критериев, установленных вышеуказанным Положением по ведению бухгалтерского учета и бухгалтерской отчетности в Российской Федерации. Поскольку указанные ПБУ являются документами той же юридической силы, изданными в более поздний период, то Положение по ведению бухгалтерского учета и бухгалтерской отчетности в Российской Федерации следует считать действующим в части, не противоречащей этим ПБУ. Бухгалтерский учет отдельных операций с основными средствами регламентируется: - Письмом Минфина РФ от 30.12.1993г. №160 «Положение по бухгалтерскому учету долгосрочных инвестиций». - Положением по бухгалтерскому учету «Учет договоров (контрактов) на капитальное строительство» ПБУ 2/94, утвержденным Приказом Минфина от 20.12.1994г. №167. Где описаны особенности порядка формирования первоначальной стоимости основных средств, создаваемых в результате капитального строительства (при этом Типовые методические рекомендации по планированию и учету себестоимости строительных работ, утвержденные Минстроем РФ 04.12.1995г. №БЕ-11-260/7 утратили силу с 01.01.2002г.). - Положением по бухгалтерскому учету «Учет займов и кредитов и затрат по их обслуживанию» ПБУ 15/01, утвержденным Приказом Минфина РФ от 02.08.2001г. №60н, где установлен порядок учета процентов по займам, используемым на приобретение или строительство инвестиционных активов, - Положением по бухгалтерскому учету «Доходы организации» ПБУ 9/99, утвержденным Приказом Минфина РФ от 06.05.1999г. №32н (в ред. от 30.03.2001г.). Положением по бухгалтерскому учету «Расходы организации» ПБУ 10/99, утвержденным Приказом Минфина РФ от 06.05.1999г. №33н (в ред. от 30.03.2001г.), где описан порядок отражения в учете и отчетности ряда операций, связанных с выбытием, переоценкой и арендой основных средств, - Положением по бухгалтерскому учету «Учет материально-производственных запасов» ПБУ 5/01, утвержденным Приказом Минфина РФ от 09.06.2001г. №44н, где конкретизирован порядок оценки материально-производственных запасов, поступающих в результате выбытия основных средств. Кроме того, бухгалтерский учет основных средств регламентируется: - Едиными нормами амортизационных отчислений на полное восстановление основных фондов народного хозяйства СССР, утвержденными Постановлением Совмина СССР от 22.04.1990г. №1072, - Положением о порядке начисления амортизационных отчислений по основным фондам в народном хозяйстве, утвержденным Госпланом СССР, Минфином СССР, Госбанком СССР, Госкомцен СССР, Госкомстатом СССР и Госстроем СССР 29.12.1990г. №ВГ-21-Д/144/17-24/4-73. - Приказом Минфина РФ от 17.02.1997г. №15 «Об отражении в бухгалтерском учете операций по договору лизинга» (в редакции от 23.01.2001г.), - Методическими указаниями по бухгалтерскому учету основных средств, утвержденными приказом Минфина РФ от 20.07.1998г. №33н (в редакции от 28.03.2000 г.), Эти документы следует признавать действующими лишь в части, не противоречащей вышеуказанным основным и другим более поздно принятым нормативным документам. Унифицированные формы первичной учетной документации по учету основных средств утверждены: - Постановлением Госкомстата РФ от 30.10.1997г. №71а «Об утверждении унифицированных форм первичной учетной документации по учету труда и его оплаты, основных средств и нематериальных активов, материалов, малоценных и быстроизнашивающихся предметов, работ в капитальном строительстве» (в редакции от 06.04.2001г.), - Постановлением Госкомстата РФ от 18.08.1998г. №88 «Об утверждении унифицированных форм первичной учетной документации по учету кассовых операций, по учету результатов инвентаризации» (в редакции от 03.05.2000г.). Порядок составления и заполнения статистической отчетности по основным средствам установлен: - Постановлением Госкомстата РФ от 07.02.2001г. №13 «Об утверждении инструкций по заполнению форм федерального государственного статистического наблюдения за наличием и движением основных фондов» (в редакции от 27.12.2001г.), - Постановлением Госкомстата РФ от 29.06.2001г. №48 «Об утверждении форм федерального государственного статистического наблюдения для организации статистического наблюдения за основными фондами и строительством на 2002 год» - Постановлением Госкомстата РФ от 11.02.1999г. №13 «Об утверждении инструкций по заполнению форм федерального государственного статистического наблюдения за наличием и движением основных фондов» (в редакции от 07.02. 2001г., в части статистической отчетности по основным средствам субъектов малого предпринимательства), - Постановлением Госкомстата РФ от 21.07.1998г. №73 «Об утверждении форм федерального государственного статистического наблюдения за основными фондами и строительством на 1999 год» (в редакции от 29.06.2001г., в части формы статистической отчетности по основным средствам субъектов малого предпринимательства). Порядок налогообложения операций с основными средствами регламентируется: - Налоговым Кодексом РФ (часть первая от 31.07.1998г. №146-ФЗ, в редакции от 29.12.2001г., и часть вторая от 05.08.2000г. №117-ФЗ, в редакции от 31.12.2001г.), - Законом РФ «О налоге на имущество предприятий» от 13.12.1991г. №2030-1 (в редакции от 04.05.1999г.) и соответствующей Инструкцией ГНС РФ от 08.06.1995г. №33 (в редакции от 20.08.2001г.), - Законом «О дорожных фондах в Российской Федерации» от 18.10.1991г. №1759-1 (в редакции от 27.12.2000г.) и соответствующей Инструкцией МНС РФ от 04.04.2000г. №59 (в редакции от 20.10.2000г.). Приведенный перечень нормативных документов, регулирующих порядок отражения в учете и порядок налогообложения основных средств нельзя считать полным. Поскольку решения о порядке учета любых операций должны приниматься с учетом требований всех действующих нормативных документов. По конкретному вопросу (положений Гражданского Кодекса РФ, Федерального Закона о лизинге, региональных и местных нормативных актов по налогообложению, международных соглашений во избежание двойного налогообложения доходов и имущества, соглашений о разделе продукции и соответствующего Федерального Закона и т.д.). 1.2 Понятие, классификация и оценка основных средств Материальную базу предприятия образуют средства труда и предметы труда, которые объединяются в средства производства. Средства труда учитываются в форме основных фондов. Основные фонды в стоимостном выражении представляют собой основные средства, учитываемые в системе бухгалтерской отчетности. При анализе основных средств, прежде всего надо отметить, что они являются активным элементом производства и при правильном их использовании не только обеспечивают создание товаров, но и способствуют улучшению условий труда работников. Основные средства – это такие товарно-материальные ценности, которые в течение длительного периода времени сохраняют свою вещественно-натуральную форму, изнашиваются постепенно и переносят свою стоимость на готовую продукцию или услуги по частям. Сущность основных средств можно охарактеризовать следующим образом: они вещественно воплощены в средствах труда; их стоимость по частям переносится на продукцию; они сохраняют натуральную форму длительное время по мере износа; возмещаются на основе амортизационных отчислений по истечении срока службы. Существует несколько классификаций основных средств. По назначению и сфере применения основные средства подразделяются на: основные производственные средства основной деятельности, которые функционируют в процессе производства, постоянно участвуют в нем, изнашиваются постепенно, перенося свою стоимость на готовый продукт. Пополняются они за счет капитальных вложений, основные непроизводственные средства — это объекты предприятия, к которым относятся такие объекты непроизводственного назначения (жилые дома, детские сады и ясли, школы, больницы и другие объекты здравоохранения и культурно-бытового назначе ния), которые находятся в ведении промышленных предприятий (они не непосредственно, а косвенно влияют на процесс производства) Несмотря на то, что непроизводственные основные средства не оказывают какого - либо непосредственного влияния на объем производства, рост производительности труда, постоянное увеличение этих средств связано с улучшением благосостояния работников предприятия, повышением материального и культурного уровня их жизни, что, в конечном счете, сказывается на результате деятельности предприятия. Основные средства — важнейшая и преобладающая часть всех фондов в промышленности (имеются в виду основные и оборотные фонды, а также фонды обращения). Они определяют производственную мощь предприятий, характеризуют их техническую оснащенность, непосредственно связаны с производительностью труда, механизацией, автоматизацией производства, себестоимостью продукции, прибылью и уровнем рентабельности. Согласно типовой классификации основных фондов в настоящее время имеются разные группы (см. Приложение стр. 53). 1.3 Основные средства, как объект бухгалтерского учёта Все хозяйственные операции с основными средствами оформляются с применением унифицированных форм первичной учетной документации, утвержденных Госкомстатом РФ. А в случае отсутствия необходимой формы среди форм, утвержденных ГКС, - с применением форм, разработанных в организации и имеющих установленные в Законе «О бухгалтерском учете» обязательные реквизиты наименование документа. Дату его составления, наименование составившей документ организации, содержание хозяйственной операции, измерители операции в денежном и натуральном выражении, наименования должностей лиц, ответственных за совершение операции и правильность ее оформления, и личные подписи этих лиц. В соответствии с Законом «О бухгалтерском учете» перечень лиц, имеющих право подписи первичных учетных документов, утверждает руководитель организации по согласованию с главным бухгалтером. Каждому инвентарному объекту основных средств присваивается инвентарный номер, который наносится на данный инвентарный объект при принятии его на учет и сохраняется за ним в течение всего периода его нахождения в данной организации. После выбытия инвентарного объекта его инвентарный номер не присваивается другим основным средствам в течение пяти лет. На каждый инвентарный объект заводится инвентарная карточка унифицированной типовой формы ОС-6, либо, при небольшом количестве объектов основных средств, осуществляется запись в инвентарной книге. Инвентарные карточки или инвентарная книга заполняются на основании актов (накладных) приемки-передачи основных средств типовой формы ОС-1, а также на основании данных технических паспортов, иных документов на приобретение, сооружение, дооборудование, перемещение и списание объектов основных средств, и должны содержать основные сведения о каждом инвентарном объекте. Аналогичные инвентарные карточки или инвентарная книга могут заводиться на арендованные основные средства, учитываемые организацией на балансовых счетах. Поскольку основные средства приносят организации экономические выгоды в течение длительного периода времени их использования для производства продукции, выполнения работ, оказания услуг либо для управленческих нужд, то их стоимость включается в издержки производства и обращения не единовременно, а в течение срока их полезного использования путем начисления амортизации.[2] С целью проверки полноты и достоверности бухгалтерских данных по основным средствам, соответствия записей бухгалтерского учета реальному положению дел регулярно (но не реже одного раза в три года) производится инвентаризация основных средств, в ходе которой производится их физический пересчет (проверка их наличия и состояния). Данные инвентарных карточек или записи в инвентарной книге суммарно сверяются с данными синтетического учета. Проверяются учетные записи по движению основных средств и начислению по ним амортизации. Проверяется соответствие учетной оценки объектов требованиям нормативных документов по бухгалтерскому учету и внутренних нормативных документов организации, анализируются события в жизни организации для выявления объектов основных средств, подлежащих отражению в бухгалтерском учете и финансовой отчетности, либо подлежащие списанию с бухгалтерского учета. ГЛАВА 2. Особенности бухгалтерского учёта основных средств 2.1 Документальное оформление основных средств В соответствии с Планом счетов основные средства учитываются на счете 01 «Основные средства». Принятие основных средств к учету осуществляется по дебету счета 01 и кредиту счета 08 «Вложения во внеоборотные активы». На котором предварительно накапливаются соответствующие затраты организации в корреспонденции со счетами 60 «Расчеты с поставщиками и подрядчиками», 07 «Оборудование к установке», 10 «Материалы», 70 «Расчеты с персоналом по оплате труда» и т.п. Основные средства принимаются к бухгалтерскому учету по их первоначальной стоимости, причем согласно п.14 ПБУ 6/01 стоимость основных средств, в которой они приняты к бухгалтерскому учету, не подлежит изменению, кроме случаев, установленных законодательством Российской Федерации и самим ПБУ 6/01. О случаях, когда изменение первоначальной стоимости основных средств допускается, будет сказано ниже в соответствующих параграфах настоящей работы. Первоначальная стоимость основных средств включает в себя все затраты организации на приобретение, сооружение, изготовление основных средств (за исключением НДС и иных возмещаемых налогов, кроме случаев, предусмотренных законодательством). Т.е. в первоначальную стоимость основных средств включаются суммы, подлежащие: - уплате (уплаченные) поставщику при покупке, или подрядчику при строительстве основных средств - затраты на доставку объектов и доведение их до состояния, в котором они пригодны для использования, - затраты на информационные, консультационные, посреднические услуги, таможенные пошлины, регистрационные сборы, госпошлины - прочие затраты, связанные с приобретением, сооружением, изготовлением основного средства[3] . При этом общехозяйственные и иные непрямые расходы, непосредственно не связанные с приобретением или сооружением основных средств, на первоначальную стоимость приобретаемых и создаваемых основных средств не распределяются. Если в соответствии с договорами стоимость основных средств или связанных с их покупкой или строительством ценностей/работ/услуг выражаются в условных денежных единицах. А оплата производится в рублях, то фактические затраты на приобретение или сооружение основных средств определяются с учетом соответствующей суммовой разницы (т.е. по фактически произведенным расходам, фактически уплаченным суммам). Таким образом, если оплата основного средства, стоимость которого согласно договору выражена в условных денежных единицах, производится после ввода этого основного средства в эксплуатацию, то после осуществления оплаты первоначальная стоимость основного средства и все связанные с ней показатели (например, амортизация) должны быть скорректированы[4] . Если же основные средства или связанные с их покупкой. Или созданием ценности/работы/услуги приобретаются за иностранную валюту, то первоначальная стоимость основных средств определяется исходя из валютной оценки этих основных средств или ценностей/работ/услуг и курса Центрального Банка РФ на дату их принятия к учету (курсовые разницы в общеустановленном порядке относятся на внереализационные доходы или расходы). При внесении основного средства в качестве вклада в уставный капитал организации его оприходование производится в оценке, согласованной участниками (акционерами) организации. Затраты по доведению такого основного средства до состояния, в котором они пригодны к использованию, будут увеличивать эту оценку в общем порядке[5] . Безвозмездно полученные основные средства оцениваются по рыночной стоимости на дату принятия их к бухгалтерскому учету. Причем в соответствии с Планом счетов рыночная стоимость основного средства, отраженная при их оприходовании по кредиту счета 98 “Доходы будущих периодов”, списывается в кредит счета 91 “Прочие доходы и расходы” по мере начисления амортизации по данному основному средству. Если основные средства (или соответствующие ценности/работы/услуги, формирующие их первоначальную стоимость), в соответствии с договором оплачиваются не денежными средствами, а иными активами/работами/услугами, то цена, фактически указанная в договоре, не является основой для определения первоначальной стоимости соответствующего основного средства. Первоначальная стоимость таких основных средств определяется исходя из обычной цены переданных в их оплату активов/работ/услуг (т.е. цены этих активов/работ/услуг, которая была бы установлена организацией в сравнимых обстоятельствах при их реализации в обмен на денежные средства). Если же такую обычную цену определить невозможно, то основные средства оцениваются исходя из их собственной обычной стоимости, по которой они в сравнимых обстоятельствах могли бы быть приобретены. Капитальные вложения в многолетние насаждения, на коренное улучшение земель включаются в состав основных средств ежегодно в сумме затрат, относящихся к принятым в эксплуатацию в течение этого года площадям, независимо от даты окончания всего комплекса работ. Основные средства принимаются к учету в сумме фактических затрат, связанных с их приобретением. Отдельным пунктом рассмотрим учет поступления основных средств, полученные безвозмездно. В учете организаций безвозмездное получение основных средств отражается проводками: Дебет счета 08 “Вложения во внеоборотные активы” Кредит счета 98 “Доходы будущих периодов” (субсчет “Безвозмездные поступления”) – отражена рыночная стоимость безвозмездно полученного основного средства; Дебет счета 08 “Вложения во внеоборотные активы” Кредит счетов 60, 70, 69 - отражены расходы по доставке и монтажу основного средства; Дебет счета 01 «Основные средства» Кредит счета 08 «Вложения во внеоборотные активы» - введено в эксплуатацию полученное основное средство. В коммерческих организациях по мере использования безвозмездно полученного имущества в хозяйственной деятельности в отчетном периоде (при начислении амортизации по необоротным активам) его стоимость признается нереализационными доходами. Это означает, что при начислении амортизации по безвозмездно полученным основным средствам организация осуществляет следующие записи в бухгалтерском учете: Дебет счетов 20, 23, 25, 26, 44 Кредит счета 02 «Амортизация основных средств» - отражено начисление амортизации по безвозмездно полученным основным средствам; Дебет счета 98 «Доходы будущих периодов» (субсчет «Безвозмездные поступления») Кредит счета 91 «Прочие доходы и расходы» (субсчет «Прочие доходы») - включена в состав внереализационных доходов часть рыночной стоимости безвозмездно полученных основных средств. Таким образом, в соответствии с новым Планом счетов счет 98-2 «Безвозмездные поступления» используется для учета стоимости безвозмездно полученных активов до момента признания их в качестве доходов организации. Стоимость безвозмездно полученных основных средств будет включаться в состав прибыли организации постепенно в течение срока эксплуатации. 2.2 Синтетический и аналитический учёт основных средств Синтетический учет Синтетический учёт наличия и движения основных средств, принадлежащих предприятию на правах собственности, осуществляется на следующих счетах: 01 «Основные средства» (активный); 02 «Амортизация основных средств» (пассивный); 91 «Прочие доходы и расходы» (активно-пассивный). Счёт 01 «Основные средства» предназначен для получения информации о наличии и движении основных фондов организации, находящихся в эксплуатации, запасе, на консервации или сданных в текущую аренду. Поступили на предприятие основные средства Д 08 К 60 (70, 76) Принимаются к учету основные средства Д 01 К 08 Оприходование основных средств, внесённых, учредителями в счёт их вкладов в уставной капитал отражается следующим образом: Дебет счёта 75 «Расчёты с учредителями» Кредит счёта 80 «Уставной капитал». Стоимость основных средств, поступивших в качестве вклада в уставной капитал, оформляют бухгалтерскими записями: Дебет счёта 08 «Вложение во внеоборотные активы» Кредит счёта 75 «Расчёты с учредителями» Основные средства, приобретённые за плату у других организаций и лиц, а также созданные в самой организации, отражают: Дебет счёта 01 «Основные средства» Кредит счёта 08 «Вложение в нематериальные активы» Основные средства, поступившие от других организаций и лиц безвозмездно, а также в качестве субсидий правительственного органа в соответствии с новым Планом счетов приходуют по: Дебет счётов 08 «Вложения во внеоборотные активы» Кредит счёта 98 «Доходы будущих периодов» (субсчёт 98-2 «Безвозмездные поступления») при этом стоимость безвозмездно принятых основных средств можно отражать на финансовых результатах двумя способами: - в момент принятия основных средств к учёту в первоначальной стоимости; - по мере начисления амортизации по принятым основным средствам. Следовательно, по безвозмездно принятым основным средствам составляются следующие бухгалтерские записи: На первоначальную стоимость Дебет счёта 08 «Вложения во внеоборотные активы» Кредит счёта 98 «Доходы будущих периодов» Дебет счёта 01 «Основные средства» Кредит счёта 08 «Вложения во внеоборотные активы» Ежемесячно на сумму амортизации Дебет счетов учёта затрат (25, 26) Кредит счёта 02 «Амортизация основных средств» Дебет счёта «Доходы будущих периодов» Кредит счёта 91 «Прочие доходы и расходы» При выбытии основных средств вследствие продажи, по причине ветхости, морального износа, безвозмездной передачи остаточная стоимость объекта списывается со счёта 01 «Основные средства» в дебет счёта 91 «Прочие доходы и расходы». Кроме того, по дебету счёта 91 отражают все расходы, связанные с выбытием основных средств, а по кредиту – все поступления, связанные с выбытием основных средств (выручка от продажи объектов, стоимость материалов, лома, утиля, полученных при ликвидации объекта). Таким образом, на счёте 91 «Прочие доходы и расходы» формируется финансовый результат от выбытия основных средств. По окончанию отчётного периода определяют разность между дебетовыми и кредитовыми оборота и по каждому субсчёту счёта 91 и списывают её на счёт 99 «Прибыли и убытки». Превышение дебетового оборота над кредитовым отражают по дебету счёта 99 и кредиту счёта 91, а превышение кредитового оборота над дебетовым – по дебету счёта 91 и кредиту счёта 99. При выбытии основных фондов накопленная амортизация по объекту списывается в уменьшение его первоначальной стоимости. При этом дебетуют счёт 02 «Амортизация основных средств» и кредитуют счёт 01 «основные средства». На сумму амортизации объекта Дебет счёта 02 «Амортизация основных средств» Кредит счёта 01 «Основные средства» На остаточную стоимость объекта Дебет счёта 91 «Прочие доходы и расходы» Кредит счёта 01 «Основные средства» На стоимость полученных от списания объектов материалов Дебет счёта 10 «Материалы» Кредит счёта 91 «Прочие доходы и расходы» Неучтённые объекты основных средств, выявленные при инвентаризации, приходуются по рыночной стоимости бухгалтерской записью: Дебет счёта 01 «Основные средства» Кредит счёта 91 «Прочие доходы и расходы» Внутреннее перемещение основных средств отражается только в аналитическом учете, делать записи об этом перемещении в синтетическом учете нет необходимости. Аналитический учет Учет основных средств организуется централизованно в бухгалтерии предприятия по классификационным группам в разрезе инвентарных объектов. Под инвентарным объектом понимается законченное устройство, предмет или комплекс предметов со всеми приспособлениями, относящимся к данному объекту. Инвентарный номер является единицей учета основных средств. Обязательные реквизиты инвентарных карточек - наименование объекта, его инвентарный номер, завод-изготовитель, номер акта и дата приема, первоначальная стоимость, источник приобретения, краткая характеристика и др. Для организации учета и обеспечения контроля над сохранностью основных средств каждому объекту присваивается инвентарный номер при принятии его к учету, который наносится на объект, и сохраняется на весь период нахождения объекта на данном предприятии. В случае выбытия объекта его инвентарный номер не присваивается вновь поступившим объектам. Аналитический учет основных средств ведется в бухгалтерии на карточках инвентарного учета основных средств (ОС-6). Они открываются в бухгалтерии на основании формы ОС-1 на каждый объект. Акт составляется на каждый объект, к нему прилагается техническая документация на данный объект, которая после открытия бухгалтерией инвентарной карточки передается в соответствующий отдел, цех предприятия по месту эксплуатации. Форма ОС-1 составляется двумя сторонами - принимающей объект и передающей, с указанием времени вступления в эксплуатацию, даты изготовления, первоначальной стоимости и суммы износа в части полного восстановления. Бухгалтерия оформляет его бухгалтерской записью, т. е. Указывает корреспонденцию счетов на первоначальную стоимость и на сумму износа. Учет основных средств организуют так, чтобы можно было установить их наличие по каждой классификационной группе и отдельно по каждому объекту, местам нахождения и источникам их приобретения. Это обеспечивается аналитическим учетом основных средств на карточках, открываемых для каждого инвентарного объекта, и синтетическим учетом в целом по счету 01 «Основные средства». В организациях, имеющих небольшое число объектов основных средств, разрешается вести учет в инвентарной книге с указанием необходимых сведений об объекте. За каждым объектом закрепляется ответственное лицо. Инвентарные карточки и инвентарные книги заполняются на основе первичных документов, технических паспортов. Затем инвентарные карточки регистрируются в специальных описях, записи в которые производятся по классификационным группам основных средств. В описи для каждого вида основных средств отведен раздел, определенный серией инвентарных номеров. Зарегистрированные в описи карточки помещают в картотеку основных средств, где их группируют по отраслевым классификационным группам, а внутри групп - по местам нахождения, эксплуатации и видам. Карточки недействующих основных средств группируют отдельно. Выбытие основных средств оформляют актом и отражают в инвентарной карточке, а затем ее изымают из картотеки. Инвентарные карточки на поступившие, выбывшие и перемещенные внутри предприятия основные средства после соответствующих записей до конца месяца не раскладывают, а хранят отдельно. Это необходимо для того, чтобы на основе этих карточек можно было составить расчеты амортизации. По окончании месяца карточки с записями за данный месяц группируют по классификационным видам. Обороты по поступлению и выбытию по каждому виду суммируются и записываются в карточку учета движения основных средств. Карточки открывают в начале января на текущий год. Сначала в них указывают их наличие на 1 января. Затем ежемесячно после записи оборотов за месяц определяют и записывают наличие основных средств на первое число следующего месяца. По данным карточек составляют оборотную ведомость движения основных средств, итоги которой сверяют с итогами Главной книги и на их основании составляют отчетность о наличии и движении основных средств. Передачу основных средств другим предприятиям оформляют формой ОС-1. На ее основании осуществляют запись о выбытии в инвентарной карточке переданного объекта и отметку в описи инвентарных карт. В случае получения объекта от других подразделений своего предприятия карточка инвентарного учета перемещается в картотеке в ячейку, где размещены карточки цеха-получателя. Причинами выбытия основных средств могут быть: ликвидация инвентарного объекта полностью при разборке или демонтаже в силу ветхости и износа, а также уничтожения при стихийных бедствиях; ликвидация части инвентарного объекта в связи с модернизацией; передача другим предприятиям; недостача основных средств. Ликвидацию объектов (слом, разборку, демонтаж) постоянно действующая комиссия оформляет актом о ликвидации. На основании акта, утвержденного руководителем предприятия, бухгалтерия отмечает в инвентарной карточке и в описи инвентарных карточек дату выбытия объекта и номер акта о его ликвидации. Затраты по ликвидации объекта (разборка, снос, перевозка) также указываются в акте. Бухгалтерия обрабатывает этот акт с выявлением результатов от ликвидации объекта. Операции по списанию всех основных средств, кроме автотранспортных, оформляют актом на списание основных средств (форма ОС-4), а списание грузового или легкового автомобиля, прицепа или полуприцепа – актом на списание автотранспортных средств (форма ОС-4а). В актах на списание указывают техническое состояние и причину списания объекта, первоначальную стоимость, сумму амортизации, затраты на списание, стоимость материальных ценностей (запасных частей и т.п.), полученных от ликвидации объекта, результат от списания. Бухгалтерия заполняет карточку движения основных средств по их видам и группам на основе инвентарных карточек на поступившие и выбывшие объекты. Линейная методика Линейный метод амортизации, изложенный в новой статье 259.1 «Порядок расчета сумм амортизации при применении линейного метода начисления амортизации», привнесенной в Налоговый кодекс Законом от 22 июля 2008 г. № 158-ФЗ (далее - Закон № 158-ФЗ), не изменился. По-прежнему будет действовать следующий способ расчета. Начисление амортизации производится по каждому объекту основных средств. При этом исчисления осуществляются по следующей формуле: К = 1/n × 100%, где К - норма амортизации в процентах к первоначальной стоимости объекта основных средств; n - срок полезного использования данного объекта основных средств, в месяцах. Пример 1 Организация приобрела компьютер. Данный актив относится ко второй амортизационной группе со сроком полезного использования свыше 2 лет до 3 лет включительно. Компания установила минимальный для данной группы срок полезного использования - 25 месяцев. Норма амортизации составит: К = 1/25 × 100% = 4% в месяц. Данный метод прост и никаких проблем у бухгалтеров вызывать не должен. Нелинейные начисления Что касается нелинейного метода, то и до 2009 года он был более сложным. В связи с этим данный способ применялся крайне редко, хотя давал (особенно в первой половине срока полезного использования) ощутимый эффект. Как показывает практика, этот способ начисления амортизации был более эффективен в течение первых 40 процентов срока полезного использования, а в течение оставшихся 60 процентов амортизация при нелинейном методе была меньше, чем при линейном. Иными словами, если срок полезного использования был установлен как 10 лет (120 месяцев), то амортизация при нелинейном методе была выше (особенно в первые годы) в течение первых четырех лет и меньше на протяжении оставшихся шести лет в сравнении с линейным методом. Но, как указывалось выше, практически все организации в своей учетной политике прописывали: «Будет использоваться линейный метод амортизации», хотя в пункте 2 статьи 259 Налогового кодекса, действовавшей до конца 2008 года, сказано: «Амортизация начисляется отдельно по каждому объекту амортизируемого имущества». С 2009 года порядок амортизации резко изменился. Во-первых, ко всему амортизируемому имуществу применяется либо линейный, либо нелинейный метод амортизации. Свой выбор налогоплательщик должен закрепить в учетной политике на 2009 год (п. 3 ст. 259 НК в редакции Закона от 26 ноября 2008 г. № 224-ФЗ). Исключением являются здания, сооружения, входящие в восьмую-десятую амортизационные группы, то есть основные средства со сроком полезного использования более 20 лет. По действующему до 2009 года порядку метод амортизации менять было нельзя. Правила, вступившие в действие с нового года, более либеральны: с нелинейного метода на линейный переходить можно, хоть и не чаще одного раза в пять лет (п. 1 ст. 259 НК). А вот для перехода с линейного метода на нелинейный ограничений нет, кроме того, что таковой возможен лишь с начала налогового периода, которым является календарный год. Порядок применения нелинейного метода изложен в новой статье 259.2 Налогового кодекса. Его главное отличие от прежнего нелинейного метода заключается в том, что амортизацию надо начислять не по каждому отдельному объекту основных средств, а по амортизационным группам. Так, если учетной политикой организации закреплено применение нелинейного метода, то на начало 2009 года для каждой амортизационной группы (кроме восьмой-десятой) определяется суммарный баланс, который представляет собой суммарную остаточную стоимость всех объектов амортизируемого имущества, относящихся к данной амортизационной группе. В дальнейшем суммарный баланс той или иной амортизационной группы определяется на 1-е число каждого месяца. При этом сумма начисленной амортизации рассчитывается ежемесячно. Согласно пункту 4 статьи 259.2 Налогового кодекса сумма амортизации по группе за месяц производится по формуле: А = В × К/100, где А - сумма начисленной амортизации за данный месяц для соответствующей амортизационной группы; В - суммарный баланс соответствующей амортизационной группы; К - норма амортизации для соответствующей амортизационной группы. При этом нормы определяются пунктом 5 статьи 259.2 Кодекса (см. таблицу).
Законодатель зачем-то определил для нелинейного метода нормы и для восьмой-десятой групп, хотя (как указывалось выше) для них применяется исключительно линейный метод. Когда речь заходит о реконструкции, модернизации, дооборудовании основного средства, то стоимость данных усовершенствований необходимо учесть, что в свою очередь приведет к увеличению суммарного баланса группы. Если приобретается (или появляется на предприятии в качестве вклада в его уставную деятельность) имущество, эксплуатированное прежде, то оно включается в ту амортизационную группу, в которой числилось у прежнего собственника (п. 12 ст. 258 НК). Таким образом, за каждый месяц суммарный баланс увеличивается на сумму вводимых в эксплуатацию основных средств и уменьшается на сумму амортизации. Остаточная стоимость Поскольку при использовании нелинейного метода остаточная стоимость определяется не по каждому основному средству, а в целом по группе, то в некоторых случаях возникает необходимость исчисления остаточной стоимости по отдельным объектам ОС. В частности, таким образом ситуация обстоит при реализации основного средства, ведь исходя из цены продажи данного актива можно будет делать вывод о налогообложении данной операции в соответствии со статьей 268 Кодекса. Согласно пункту 1 статьи 257 Налогового кодекса в действующей с начала этого года редакции определение остаточной стоимости объектов амортизируемого нелинейным методом имущества осуществляется по формуле: Sn = S × (1 - 0, 01 × k)n, где Sn - остаточная стоимость указанных объектов по истечении n месяцев после их включения в соответствующую амортизационную группу; S - первоначальная (восстановительная) стоимость указанных объектов; n - число полных месяцев, прошедших со дня включения указанных объектов в соответствующую амортизационную группу до дня их исключения из состава этой группы; k - норма амортизации (в том числе с учетом повышающего (понижающего) коэффициента), применяемая в отношении соответствующей амортизационной группы. Глава 3. Амортизация основных средств 3.1 Способы амортизации основных фондов Положением по “Учету основных средств” (ПБУ 6/97), утвержденным приказом Минфина России от 03.09.97 № 65н, начиная с 1 января 1998 года предприятиям разрешено осуществлять амортизацию основных фондов не только единственным методом линейной амортизации по централизованно установленным нормам, как существовало до этого. Поскольку амортизационные отчисления являются одним из собственных источников инвестиций для производственных предприятий (а в условиях существенного снижения доходности бизнеса и значительного сжатия возможностей долгосрочного кредитования - чуть ли не основным источником инвестиций), логично было бы оценить, как законодательно разрешенные способы амортизации могли бы помочь предприятиям рационализировать их денежные потоки и увеличить их инвестиционные возможности. При этом в качестве основного фактора, влияющего на привлекательность того или иного способа амортизации, следует рассматривать фактор времени, который, как известно, имеет свою цену. Амортизация основных средств согласно Положению по “Учету основных средств” может производиться одним из следующих способов: линейный способ; способ уменьшаемого остатка; способ списания стоимости по сумме чисел лет срока полезного использования (срок полезного использования - период, в течение которого использование объекта основных средств призвано приносить доход организации или служить для выполнения целей ее деятельности); способ списания стоимости пропорционально объему продукции (услуг); ускоренный метод амортизации (не может превышать 3-х кратного увеличения размера отчислений по линейному способу). Годовая сумма начисления амортизационных отчислений определяется: при линейном способе - исходя из первоначальной стоимости объекта основных средств и нормы амортизации, исчисленной исходя из срока полезного использования этого объекта; при способе уменьшаемого остатка - исходя из остаточной стоимости объекта основных средств на начало отчетного года и нормы амортизации, исчисленной исходя из срока полезного использования этого объекта; применение этого способа связано с ускоренными методами начисления амортизационных отчислений в первые годы эксплуатации. при способе списания стоимости по сумме чисел лет срока полезного использования - исходя из первоначальной стоимости объекта основных средств и годового соотношения, где в числителе число лет, остающихся до конца срока службы объекта, а в знаменателе - сумма чисел лет срока службы объекта; при способе списания стоимости пропорционально объему продукции - исходя из натурального показателя объема продукции (работ) в отчетном периоде и соотношения первоначальной стоимости объекта основных средств и предполагаемого объема продукции (работ) за весь срок полезного использования объекта основных средств. Применяется для активов, у которых определяющим фактором износа является периодичность их использования. Классификация основных средств, включаемых в амортизационные группы Классификация основных средств, включаемых в амортизационные группы (Утверждена Постановлением Правительства РФ от 01 января 2002г. №1 в ред. от 18.11.2006).
3.2 Сравнительный анализ способов начисления амортизации на предприятии связи. Что представляет собой технология DSL? хDSL представляет собой семейство технологий, позволяющих значительно расширить пропускную способность абонентской линии местной телефонной сети путём использования эффективных линейных кодов и адаптивных методов коррекции искажений линии на основе современных достижений микроэлектроники и методов цифровой обработки сигнала. В аббревиатуре xDSL символ "х" используется для обозначения первого символа в названии конкретной технологии, а DSL обозначает цифровую абонентскую линию DSL (Digital Subscriber Line). Технологии хDSL позволяет передавать данные со скоростями, значительно превышающими те скорости, которые доступны даже самым лучшим аналоговым и цифровым модемам. Эти технологии поддерживают передачу голоса, высокоскоростную передачу данных и видеосигналов, создавая при этом значительные преимущества, как для абонентов, так и для провайдеров. Более того, многие технологии хDSL позволяют совмещать высокоскоростную передачу данных и передачу голоса по одной и той же медной паре. Существующие типы технологий хDSL, различаются в основном по используемой форме модуляции и скорости передачи данных. Технологии хDSL являются наиболее практичным решением, направленным на максимальное увеличение объема данных, передаваемых по существующим телефонным линиям. Применение технологий хDSL для высокоскоростного доступа к услугам сети особенно примечательно тем, что эти технологии используют в качестве среды передачи существующую кабельную инфраструктуру местных телефонных сетей. Это позволяет провайдерам услуг экономить значительные средства и более быстро (и по разумной цене) создавать для своих абонентов большое количество новых служб передачи данных. Поскольку технологии хDSL работают по стандартным АЛ, то данная система имеет решающее значение для расширения пропускной способности в самом "узком" месте - "последней миле" существующей телефонной сети. Рассмотрим на одном примере все четыре метода начисления амортизационных отчислений, проиллюстрировав его графически (см. табл. 1 и рис. 1, 2). Возьмем оборудование организации ассиметричных цифровых абонентских линий (ADSL), которое стоит 3 800 000 руб. и эксплуатируется пятнадцать лет, годовая норма амортизации составляет 6, 7 %. (1/15*100=6, 7%). 1). Линейный способ (линейное списание) Линейный способ - это списание равными частями. Делим стоимость оборудования на срок полезного использования: 3 800 000: 15 = 253 333 - получаем ежегодную сумму списания. Остаточная стоимость оборудования каждый год уменьшается на сумму списания. По истечении срока эксплуатации остаток равен нулю, оборудование «списано». Основное преимущество этого способа - его простота. Однако он обладает рядом недостатков. Основной из них тот, что амортизационные отчисления в первые годы точно такие же, как и в последние, когда объекты менее эффективны и требуют больше затрат на ремонт и обслуживание. 2). Способ уменьшаемого остатка (геометрически - дигрессивное списание) Годовая норма амортизации составляет 13, 4 % (норма амортизации, исчисленная исходя из срока полезного использования, составляющая 6, 7 %, увеличивается на коэффициент ускорения 2. Для первого года сумма списания составит 509 200 руб. (13, 4 % от 3 800 000 руб.). Остается остаток 3 290 800 руб. От этой суммы снова берется 13, 4 % - сумма списания за второй год (440 967 руб.). Остается остаток 2 849 833 руб. и от него находят 13, 4 %, чтобы получить сумму списания для третьего года (381 878 руб.). И так далее. Оставшаяся сумма списывается в конце последнего года полезного использования. На практике, в первые годы приблизительное значение соответствующей нормы амортизации по данному способу - это удвоенная норма при линейном способе списания. При использовании данного способа ежегодная сумма списания уменьшается в течение срока полезного использования. Преимущества способа такие: с годами эффективность и амортизируемая стоимость объектов уменьшаются, и более низкие суммы списания будут компенсировать уменьшающуюся выручку и эффективность. Кроме того, в первые годы амортизационные отчисления должны быть больше, чтобы компенсировать увеличивающуюся неопределенность относительно устаревания в будущем и возникающие из-за устаревания оборудования более высокие затраты на ремонт и обслуживание. 3). Способ списания стоимости по сумме чисел лет срока полезного использования (арифметически - дигрессивное списание) При данном способе годовая сумма списания вычисляется исходя из стоимости оборудования (3 800 000 руб.) и годового соотношения, где в числителе число лет, остающихся до конца срока службы объекта, а в знаменателе - сумма чисел лет срока службы объекта (1+2+3+4+5+6+7+8+9+10+11+12+13+14+15=120). В первый год эксплуатации указанного объекта может быть начислена амортизация в размере 15/120 от стоимости оборудования, что составит 475 000 руб., во второй год - 14/120 от стоимости оборудования, что составит 443 333 руб., в третий год - 13/120 от стоимости оборудования, что составит 411 667 руб. и т.д. Данный способ, как и предыдущий, является модификацией метода ускоренной амортизации, но обладает более простым расчетом сумм списания. 4). Способ списания пропорционально объему продукции (работ) (списание производительности) При данном способе годовая сумма списания определяется пропорционально фактически произведенному объему продукции. Предполагаю, что наше предприятие будет экономически выгодным, и, соответственно, выручка будет расти из года в год (для примера на 5 %). Поэтому годовая сумма списания также будет расти.
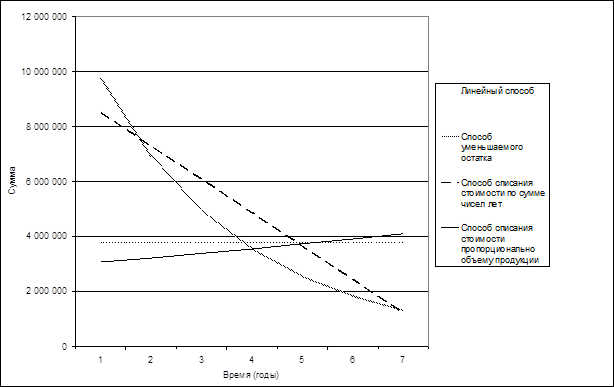
Рис. 1 Сравнительный анализ остаточной стоимости в зависимости от способов начисления амортизации.
Рис. 2 Сравнительный анализ годовых сумм начисления амортизации. Как видно из графиков (рис. 1, 2), способ уменьшаемого остатка и способ списания по сумме чисел лет срока полезного использования на начальной стадии эксплуатации оборудования в какой-то степени сравнимы с методом ускоренной амортизации. Затем идет постепенное снижение суммы списания за каждый год. Данные методы списания выгодны для предприятий со сравнительно стабильным финансовым положением, чья продукция пользуется спросом. Любой из способов применяется к группе однородных объектов основных средств и не может быть изменен в течение всего срока их полезного использования. При этом внутри каждой группы должен применяться только один вариант. В настоящий момент не установлена степень необходимой детализации при классификации по группам (см. ОКОФ и ЕНАО). Внесенные в 1998 году Минфином РФ изменения в порядок начисления износа по основным средствам выражаются в декларировании расширения возможностей предприятия по определению сроков функционирования объектов и выбору способа начисления амортизации. Внимательное прочтение п.4.4 ПБУ-6/97 приводит к выводу, что срок полезного использования объекта может устанавливаться предприятием исходя их своих интересов (ожидаемого срока полезного использования, срока аренды, интенсивности эксплуатации и пр.) только в том случае, если он отсутствует в технических условиях или срок эксплуатации объекта не установлен в централизованном порядке. И поскольку указание такого срока в документах на оборудование встречается крайне редко, то до отмены Постановления № 1072 (ЕНАО) следует признать, что установленные в централизованном порядке сроки эксплуатации основных средств существуют, и именно исходя из них в указанном Постановлении № 1072 исчислены нормы амортизации. В случае отсутствия установленной нормы амортизации (для новых видов оборудования) в условиях уставленного в 1998г. порядка Минфин РФ считает возможным, чтобы организации определяли такие нормы, самостоятельно исходя из сроков эксплуатации объекта (письмо Минфина от 29.09.98. № 04-03-11). Все новые нормативные документы, регулирующие ведение бухгалтерского учета, разрабатываются во исполнение программы реформирования бухгалтерского учета в соответствии с международными стандартами бухгалтерской отчетности, утвержденной Постановлением РФ от 6 марта 1998 г. № 293. При рыночной экономике грамотный хозяин должен сопоставить выигрыш, который он получит в результате правильного отражения остаточной стоимости основных средств в бухгалтерской отчетности. Любой грамотный бухгалтер знает, что изменение остаточной стоимости основных средств приводит к изменению не только налога на имущество, но и собственных оборотных средств, налога на прибыль, себестоимости продукции, то есть амортизация основных средств затрагивает весь комплекс финансовых взаимосвязей предприятия, в том числе и с налоговыми органами. Если предприятие находится в сложном финансовом положении, ежедневно решает вопросы, как жить дальше, то для него основная цель при начислении амортизации - это уменьшение стоимости основных средств и, тем самым, уменьшение налога на имущество. Предприятие, крепко стоящее на ногах на данном этапе развития экономики, когда остро ощущается нехватка оборотного капитала, а со стороны государства - значительное налоговое давление, должно быть заинтересовано в увеличении амортизационных отчислений основных средств, так как амортизационные отчисления, относимые на себестоимость продукции и услуг, уменьшают прибыль - соответственно налог на прибыль, и, оставаясь на предприятии, амортизационные отчисления часто служат не только для целей обновления основных средств, но и для пополнения собственных оборотных средств. 3.3 Сравнительный анализ способов начисления амортизации на предприятии. Далее в работе будет рассмотрено начисление амортизации основных средств в …….. Основные средства …….. на 01.01.08 г. показаны в таблице 2. Таблица 2 - Основные средства …… (тыс. руб.)
Из таблицы 2 видно, что оборудование уже устарело, и требует обновления, так например передаточные устройства, машины и оборудование. Из рисунков 3 - 5 мы можем видеть, что данные группы составляют примерно 70 % по всем показателям. Данное оборудование находится в эксплуатации, но его высокий процент износа должен инициировать руководителя предприятия на принятие экстренных мер по его обновлению.
Рис. 3 Количественные соотношения ОС ……
Рис. 4 Соотношения первоначальной стоимости ОС ….
Рис. 5 Соотношения остаточной стоимости ОС ……..
Рис. 6 Соотношения количества и остаточной стоимости ОС ……. Рассмотрим порядок начисления амортизации. В настоящий момент на предприятии амортизация начисляется линейным способом. Исходные данные для расчетов показаны в таблице 3. Таблица 3 - Движение и начисление амортизации основных средств ………. в 2008 году.
Определим по каждой группе основных средств некую среднюю норму амортизации и в соответствии с этим будем считать, что оборудование каждой группы приобреталось в одно время. Полученные результаты отражены в таблице 4. Таблица 4 - Среднее начисление амортизации основных средств ……………….в 2008 году.
Расчеты, в которых отражены данные по начислению амортизации различными способами, представлены в таблицах 5 - 10 и на рисунках 7 - 18. Алгоритм данных расчетов такой же, как и при расчете оборудования приведенного в параграфе 3.2. Таблица 5 - Сравнительный анализ способов начисления амортизации группы основных средств «Здания».
Рис. 7 Сравнительный анализ остаточной стоимости группы ОС «Здания» в зависимости от способов начисления амортизации.
Рис. 8 Сравнительный анализ годовых сумм начисления амортизации группы ОС «Здания». Таблица 6 - Сравнительный анализ способов начисления амортизации группы основных средств «Сооружения».
Рис. 9 Сравнительный анализ остаточной стоимости группы ОС «Сооружения» в зависимости от способов начисления амортизации.
Рис. 10 Сравнительный анализ годовых сумм начисления амортизации группы ОС «Сооружения». Таблица 7 - Сравнительный анализ способов начисления амортизации группы основных средств «Передаточные устройства».
Рис. 11 Сравнительный анализ остаточной стоимости группы ОС «Передаточные устройства» в зависимости от начисления способов амортизации.
Рис. 12 Сравнительный анализ годовых сумм начисления амортизации группы ОС «Передаточные устройства». Таблица 8 - Сравнительный анализ способов начисления амортизации группы основных средств «Машины и оборудование».
Рис. 13 Сравнительный анализ остаточной стоимости группы ОС «Машины и оборудование» в зависимости от способов начисления амортизации.
Рис. 14 Сравнительный анализ годовых сумм начисления амортизации ОС «Машины и оборудование». Таблица 9 - Сравнительный анализ способов начисления амортизации группы основных средств «Транспортные средства».
Рис. 15 Сравнительный анализ остаточной стоимости группы ОС «Транспортные средства» в зависимости от способов начисления амортизации.
Рис. 16 Сравнительный анализ годовых сумм начисления амортизации группы ОС «Транспортные средства». Таблица 10 - Сравнительный анализ способов начисления амортизации группы основных средств «Прочие основные средства».
Рис. 17 Сравнительный анализ остаточной стоимости группы «Прочие основные средства» в зависимости от способов начисления амортизации.
Рис. 18 Сравнительный анализ годовых сумм начисления амортизации группы «Прочие основные средства». Итоговые данные состояния основных средств на 01.01.2008г. в соответствии с различными способами амортизации приведены в таблице 11 и отражены на рисунках 19, 20. Таблица 11 - Сравнительный анализ способов начисления амортизации на 01.01.2008г.
Рис. 19 Сравнительный анализ остаточных стоимостей в зависимости от способов начисления амортизации на 01.01.2008г.
Рис. 20 Сравнительный анализ сумм начисления амортизации на 01.01.2008г. Заключение Для осуществления своей производственно-хозяйственной деятельности предприятия должны иметь необходимые средства труда и материальные условия. Они являются важнейшим элементом производительных сил и определяют их развитие. В бухгалтерском учете средства труда выделены в отдельный объект учета, который называется основные средства. Отличительной особенностью основных средств является их многократное использование в процессе производства, сохранение первоначального внешнего вида (формы) в течение длительного периода. Под воздействием производственного процесса и внешней среды они снашиваются постепенно и переносят свою стоимость на создаваемую продукцию частями. Основные средства играют огромную роль в процессе труда, в своей совокупности они образуют производственно-техническую базу и определяют производственную мощность предприятия. На протяжении длительного периода использования основные средства поступают на предприятие и передаются в эксплуатацию; изнашиваются; подвергаются ремонту, при помощи которого восстанавливаются их физические свойства; перемещаются внутри предприятия; выбывают с предприятия вследствие ветхости или нецелесообразности дальнейшего использования. Формирование рыночных отношений в стране заставляет по-новому подойти к постановке учета на отдельных участках финансово-хозяйственной деятельности предприятий и организаций, в том числе учета основных средств и их налогообложения. В условиях ограниченности финансовых ресурсов в современных условиях развития экономики, высокой степени изношенности основных средств большое значение приобретает выбор учетной политики на предприятиях по привлечению инвестиций и обновлению основного капитала. Основные средства предприятия разнообразны по своему составу и назначению. Для ведения учета необходима классификация основных средств по видам, назначению или характеру участия в процессе производства, отраслям хозяйства, степени использования, принадлежности. В системе рыночных отношений задачами бухгалтерского учета являются правильное и своевременное отражение поступления, выбытия и перемещения основных средств. Контроль за их наличием и сохранностью в местах эксплуатации; своевременное и точное исчисление износа основных средств и правильное его отражение в учете; определение затрат по ремонту и контроль за рациональным использованием средств, выделенных для этой цели; своевременное проведение инвентаризации и переоценки. Также одной из важных задач является поиск путей совершенствования бухгалтерского учета основных средств. В настоящей работе были рассмотрены основные правила и особенности бухгалтерского учета основных средств и расчета налоговых последствий соответствующих операций. Безусловно, не все утверждения, приведенные в настоящей работе, можно признать бесспорными, что естественно при очевидной неоднозначности многих положений бухгалтерских и налоговых нормативных документов. Список литературы Федеральный Закон «О бухгалтерском учете» от 21.11.1996г. №129-ФЗ (в редакции от 23.07.1998г.). Налоговый Кодекс Российской Федерации: часть первая – Федеральный Закон от 31.07.1998г. №146-ФЗ (в редакции от 29.12.2001г.), часть вторая – Федеральный Закон от 05.08.2000г. №117-ФЗ (в редакции от 31.12.2001г.). Федеральный Закон «О лизинге» 164-ФЗ от 29.10.1998г. (в редакции от 29.01.2002г.). Решение Верховного Суда РФ от 24.07.2001г. №ГКПИ 2001-916, Постановление Правительства РФ от 01.01.2002 №1 «О классификации основных средств, включаемых в амортизационные группы». Временное положение о лизинге, утвержденное Постановлением Правительства РФ от 29.06.1995г. №633 «О развитии лизинга в инвестиционной деятельности» (утратило силу). Постановление Правительства РФ от 19.08.1994г. №967 «Об использовании механизма ускоренной амортизации и переоценке основных фондов» (в ред. от 24.06.1998г., утратило силу). Единые нормы амортизационных отчислений на полное восстановление основных фондов народного хозяйства СССР, утвержденные Постановлением Совмина СССР от 22.04.1990г. №1072. Положение по ведению бухгалтерского учета и бухгалтерской отчетности в Российской Федерации, утвержденное Приказом Минфина РФ от 29.07.1998г. №34н (в редакции от 24.03.2000г.), План счетов бухгалтерского учета финансово-хозяйственной деятельности организаций и Инструкция по применению плана счетов бухгалтерского учета финансово-хозяйственной деятельности организаций, утвержденные Приказом Минфина РФ от 31.10.2000г. №94н, Положение по бухгалтерскому учету «Учетная политика организации» ПБУ 1/98, утвержденное Приказом Минфина РФ от 09.12.1998г. №60н (в редакции от 30.12.1999г.). Положение по бухгалтерскому учету «Бухгалтерская отчетность организации» ПБУ 4/99, утвержденное Приказом Минфина РФ от 06.07.1999г. №43н (в редакции от 30.12.1999г.). Положение по бухгалтерскому учету «Учет материально-производственных запасов» ПБУ 5/01, утвержденное Приказом Минфина РФ от 09.06.2001г. №44н. Положение по бухгалтерскому учету «Учет основных средств» ПБУ 6/01, утвержденное Приказом Минфина РФ от 30.03.2001г. №26н. Положение по бухгалтерскому учету «Учет займов и кредитов и затрат по их обслуживанию» ПБУ 15/01, утвержденное Приказом Минфина РФ от 02.08.2001г. №60н. Письмо Минфина РФ от 30.12.1993г. №160 «Положение по бухгалтерскому учету долгосрочных инвестиций». Приказ Минфина РФ от 17.02.1997г. №15 «Об отражении в бухгалтерском учете операций по договору лизинга» (в редакции от 23.01.2001г.). Методические указания по бухгалтерскому учету основных средств, утвержденные приказом Минфина РФ от 20.07.1998г. №33н (в редакции от 28.03.2000г.), Методические указания по инвентаризации имущества и финансовых обязательств, утвержденные Приказом Минфина РФ от 13.06.1995г. №49. Постановление Госкомстата РФ от 18.08.1998г. №88 «Об утверждении унифицированных форм первичной учетной документации по учету кассовых операций, по учету результатов инвентаризации». Общероссийский классификатор основных фондов (ОК 013-94), утвержденный постановлением Госстандарта РФ от 26 декабря 1994г. №359 (в редакции изменений 1/98 от 14.04.1998г.). Письмо МНС РФ от 17.04.2000г. №ВГ-6-02/288 «О проведении переоценки основных средств» Письмо Минэкономики РФ от 17.01.2000г. №МВ-32/6-51 «О применении механизма ускоренной амортизации на персональные компьютеры». Астахов В.П.Бухгалтерский (финансовый) учет: Учебное пособие. -Ростов-на-Дону, Март, 2002. Бухгалтерский учет: Учебник для вузов. / Под ред. Ю.А. Бабаева.- М.: ЮНИТИ, 2002. Нормативная база бухгалтерского учета: Сборник официальных документов.- М., 2002. Кондраков Н.П. Бухгалтерский учет: учебное пособие. – М.: ИНФРА-М, 2001. План счетов бухгалтерского учета и инструкции по его применению. /Под ред. А.С. Бакаева.- М., 2001. Приложение Типовая классификация основных средств. 11 0000000 - ЗДАНИЯ (КРОМЕ ЖИЛЫХ) К этой группе относятся здания основ н ых, вспомогательных и обслуживающих цехов, а также административные з дания предприятий. 12 0000000 - СООРУЖЕНИЯ Сюда входят подземные и открытые горные выработки, нефтяные и газовые скважины, гидротехнические и другие сооружения. 13 0000000 - ЖИЛИЩА В этой группе находятся здания, предназначенные для не временного проживания. Группа включает в себя также передвижные щитовые домики, плавучие дома, а также исторические памятники, идентифицированные в основном как жилые дома. 14 0000000 - МАШИНЫ И ОБОРУДОВАНИЕ Это устройства, с помощью которых происходит передача, например, электрической или другой энергии к местам ее потребления. 15 0000000 - СРЕДСТВА ТРАНСПОРТНЫЕ - В их состав входят все виды транспортных средств, в том числе: внутри цеховой , межцеховой и межзаводской транспорт, речной и морской флот рыбной промышленности, трубопроводный магистральный транспорт и т. д. 16 0000000 - ИНВЕНТАРЬ ПРОИЗВОДСТВЕННЫЙ И ХОЗЯЙСТВЕННЫЙ Сюда относятся инструменты режущие, давящие, ударные и др.; и нвентарь производственного и хозяйственного назначения, способствующий облегчению и созданию нормальных условий труда (оборудование контор, верстаки, контей неры, инвентарная тара, предметы противопожарного назначения и др.) 17 0000000 - СКОТ РАБОЧИЙ, ПРОДУКТИВНЫЙ И ПЛЕМЕННОЙ К группе «Скот рабочий, продуктивный и племенной (кроме молодняка и скота для убоя) относятся: лошади, волы, верблюды, ослы и прочие рабочие животные (включая транспортных лошадей); коровы, овцы, а также другие животные, которые неоднократно или постоянно используются для получения продуктов, таких как молоко, шерсть, и других. 18 0000000 - НАСАЖДЕНИЯ МНОГОЛЕТНИЕ К этой группе относятся все виды искусственных многолетних насаждений независимо от их возраста, включая: плодово-ягодные насаждения всех видов (деревья и кустарники); озеленительные и декоративные насаждения на улицах, площадях, в парках, садах, скверах, на территории предприятий, во дворах жилых домов; живые изгороди, снего - и полезащитные полосы, насаждения, предназначенные для укрепления песков и берегов рек и т.п.; искусственные насаждения ботанических садов, других научно-исследовательских учреждений и учебных заведений для научно - исследовательских целей. 19 0000000 - МАТЕРИАЛЬНЫЕ ОСНОВНЫЕ ФОНДЫ, НЕ ВКЛЮЧЕННЫЕ В ДРУГИЕ ГРУППИРОВКИ 20 0000000 - НЕМАТЕРИАЛЬНЫЕ ОСНОВНЫЕ ФОНДЫ Эта группа включает в себя геологические изыскания и разведку недр. Информация, полученная предприятием в результате выполнения этих работ, оказывает влияние на производственную деятельность этих предприятий в течение ряда лет. Раздел также включает в себя компьютерное программное обеспечение и базы данных, которые предприятие предполагает использовать в производстве более одного года, независимо от того, куплены они на рынке или произведены для собственного использования. 21 0000000 - ГЕОЛОГИЧЕСКИЕ РАБОТЫ 22 0000000 - КОМПЬЮТЕРНОЕ ПРОГРАММНОЕ ОБЕСПЕЧЕНИЕ 23 0000000 - ОРИГИНАЛЬНЫЕ ПРОИЗВЕДЕНИЯ РАЗВЛЕКАТЕЛЬНОГО ЖАНРА, ЛИТЕРАТУРЫ ИЛИ ИСКУССТВА 24 0000000 - НАУКОЕМКИЕ ПРОМЫШЛЕННЫЕ ТЕХНОЛОНИИ 25 0000000 - НЕМАТЕРИАЛЬНЫЕ ОСНОВНЫЕ ФОНДЫ ПРОЧИЕ [1] Положение п.48 о не начислении амортизации по основным средствам некоммерческих организаций признано недействительным Решением Верховного Суда РФ от 23.08.2000г. №ГКПИ 00-645. [2] Бухгалтерский учет: Учебник для вузов /Под. ред. Ю.А. Бабаева. - М.: ЮНИТИ,2002 [3] Письмо Минфина РФ от 30.12.1993г. №160 “Положение по бухгалтерскому учету долгосрочных инвестиций” [4] Поскольку уменьшение или увеличение фактических затрат на приобретение и сооружение основных средств на суммовые разницы явно предусмотрено п.8 ПБУ 6/01, то такие корректировки следует считать допускаемыми пунктом 14 того же ПБУ. [5] Астахов В.П. Бухгалтерский (финансовый) учет: Учебное пособие.- Ростов-на-Дону, МарТ,2002. |
|||||||||||||||||||||||||||||||||||||||||||||||||||||||||||||||||||||||||||||||||||||||||||||||||||||||||||||||||||||||||||||||||||||||||||||||||||||||||||||||||||||||||||||||||||||||||||||||||||||||||||||||||||||||||||||||||||||||||||||||||||||||||||||||||||||||||||||||||||||||||||||||||||||||||||||||||||||||||||||||||||||||||||||||||||||||||||||||||||||||||||||||||||||||||||||||||||||||||||||||||||||||||||||||||||||||||||||||||||||||||||||||||||||||||||||||||||||||||||||||||||||||||||||||||||||||||||||||||||||||||||||||||||||||||||||||||||||||||||||||||||||||||||||||||||||||||||||||||||||||||||||||||||||||||||||||||||||||||||||||||||||||||||||||||||||||||||||||||||||||||||||||||||||||||||||||||||||||||||||||||||||||||||||||||||||||||||||||||||||||||||||||||||||||||||||||||||||||||||||||||||||||||||||||||||||||||||||||||||||||||||||||||||||||||||||||||||||||||||||||||||||||||||||||||||||||||||||||||||||||||||||||||||||||||||||||||||||||||||||||||||||||||||||||||||||||||||||||||||||||



















