Контрольная работа: Показатели использования основных и оборотных фондов
|
Название: Показатели использования основных и оборотных фондов Раздел: Рефераты по экономике Тип: контрольная работа | ||||||||||||||||||||||||||||||||||||||||||||||||||||||||||||||||||||||||||||||||||||||||||||||||||||||||||||||||||||||||||||||||||||||||||||||||||||||||||||||||||||||||||||||||||||||||||||||||||||||||||||||||||||||||||||||||
Контрольная работа №2 по общей теории статистики Вариант №1 Имеются следующие данные (д.е.)
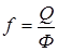
1. Обобщающим показателем использования основных производственных фондов (ОПФ) является фондоотдача (f).
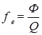
где Q – стоимость произведенной (реализованной) за год продукции; Ф– среднегодовая стоимость основных производственных фондов (ОПФ). По экономическому содержанию фондоотдача показывает, сколько продукции произведено в данном периоде на 1 руб. стоимости основных фондов. Чем выше показатель фондоотдачи, тем эффективнее используются основные средства на предприятии. Наряду с фондоотдачей статистика исчисляет и обратную ей величину – фондоемкость (fe ). Она характеризует стоимость основных фондов, приходящихся на 1 руб. произведенной продукции. Её снижение означает высвобождение (экономию) основных фондов.
2. Объем произведенной продукции можно представить следующим выражением
Как видим, на величину абсолютного изменения объема продукции оказали влияние два фактора – изменение фондоотдачи (f) и изменение объема основных фондов (Ф). Влияние изменения данных факторов на изменение общей величины определяем по следующим формулам: а) влияние изменения фондоотдачи
б) изменения объема основных производственных фондов:
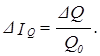
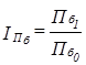
При этом Относительное изменение объема реализованной продукции (IQ ) будет равно
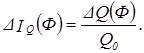
В том числе а) за счет изменения фондоотдачи:
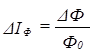
б) за счет изменения основных производственных фондов:
Проверка правильности вычислений:
3. Доля изменения объема продукции (∆Q) будет равна
где
Проверка правильности решения:
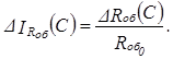
4. Абсолютное высвобождение (перерасход) основных производственных фондов в отчетном периоде по сравнению с базисным можно вычислить по формуле
в том числе а) за счет изменения фондоёмкости продукции
б) за счет изменения объема выпуска продукции
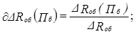
Относительное высвобождение (перерасход) основных производственных фондов в отчетном периоде по сравнению с базисным равно
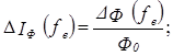
в том числе а) за счет изменения фондоемкости продукции
б) за счет изменения объема выпуска продукции
Проверка правильности вычислений:
5. Доля изменения объема основных фондов за счет изменения: а) фондоемкости б) за счет изменения объема продукции
Проверка правильности вычислений:
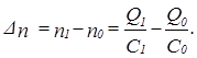
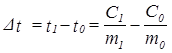
6. Показателями использования оборотных средств (С) является коэффициент оборачиваемости (n), характеризующий число оборотов оборотных средств за период и показатель продолжительности одного оборота в днях (t).
где Д – число дней в периоде; Существует и несколько иной способ определения продолжительности одного оборота оборотных средств. Для её определения необходимо найти отношение средних остатков оборотных средств предприятия к однодневному обороту ОС:
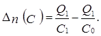
где m – однодневный оборот. Абсолютное изменение оборачиваемости оборотных средств:а) по числу оборотов:
Влияние отдельных факторов на изменение числа оборотов оборотных средств определим по формулам: · · При этом б) по продолжительности одного оборота (t):
в том числе · · · Проверка правильности решения:
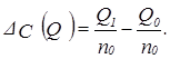
7. Абсолютное изменение объема оборотных средств
в том числе за счет изменения: а) скорости оборота оборотных средств
При этом б) за счет изменения объема выпуска продукции
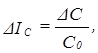
Относительное изменение объема оборотных средств
в том числе а) за счет изменения скорости оборота оборотных средств:
б) за счет изменения объема выпуска продукции:
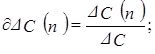
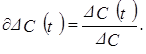
8. Доля изменения оборотных средств за счет изменения: а) оборачиваемости оборотных средств · ·
б) Доля изменения оборотных средств за счет изменения объема производства продукции:
Проверка правильности решения:
9. Прибыль является главным показателем эффективности работы предприятия, источником его жизнедеятельности. Конечный финансовый результат деятельности предприятия – это балансовая прибыль (Пб ). Она исчисляется как сумма прибыли от реализации продукции (Прп ), прибыли от реализации материальных ценностей (Пмц ) и доходов от внереализационных операций (Двн ):
Абсолютное изменение балансовой прибыли (∆Пб ) равно:
Индекс роста (относительное изменение) балансовой прибыли в отчетном периоде по сравнению с базисным:
10. Прибыль от реализации продукции (работ, услуг) определяется как разность между выручкой от реализации продукции и её полной себестоимостью. Если себестоимость продукции превышает её стоимость в оптовых ценах, то результатом производственной деятельности предприятия будет убыток. Расчет прибыли от реализации продукции может быть представлен в виде формулы:
где pq – выручка от реализации продукции; zq – затраты на её производство. Прибыль от реализации продукции в базисном периоде:
Прибыль в отчетном периоде:
Абсолютное изменение прибыли от реализации продукции:
Относительное изменение прибыли от реализации продукции:
11. Влияние отдельных факторов на абсолютное изменение прибыли от реализации продукции определим по следующим формулам. Изменение прибыли за счет изменения: а) цен на продукцию
б) себестоимости продукции
в) фактического объема продукции
Проверка правильности вычислений:
Относительное изменение прибыли от реализации продукции
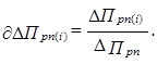
Относительное изменение прибыли от реализации продукции за счет изменения i-того фактора определяем по формуле
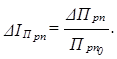
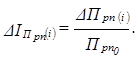
Проверка 12. Доля изменения прибыли за счет изменения i-того фактора определяется по формуле
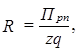
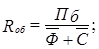
Проверка 13. Наряду с абсолютным показателем (прибыль) в статистике широко применяется относительный показатель результатов деятельности предприятия – рентабельность. Рассчитываются показатели: а) общей рентабельности (Rоб )
б) рентабельность продукции (R):
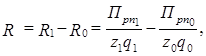
Общая рентабельность отражает эффективность авансированных затрат, а рентабельность продукции – эффективность текущих затрат. Абсолютное изменение рентабельности продукции ∆R определяем:
в том числе за счет изменения: а) прибыли от реализации продукции
б) себестоимости продукции
в) объема реализованной продукции
Проверка правильности решения:
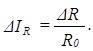
Относительное изменение рентабельности продукции
Влияние i-того фактора на изменение индекса рентабельности продукции определяем по формуле
Проверка 14. Доля изменения рентабельности продукции (R) за счет изменения i-того фактора равна
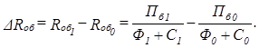
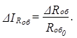
15. Абсолютное изменение общей рентабельности
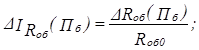
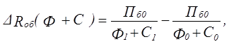
Влияние на абсолютное изменение общей рентабельности отдельных факторов определяем по следующим формулам: а) изменения прибыли
б) объема производственных фондов
в том числе за счет изменения · объема ОПФ
· объема оборотных средств
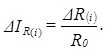
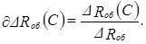
Относительное изменение общей рентабельности
Влияние признаков – факторов на относительное изменение общей рентабельности соответственно равно: а) б) из них · ·
16. Доля изменения общей рентабельности за счет изменения: а) балансовой прибыли предприятия
б) объема основных производственных фондов
в) объема оборотных средств предприятия
основные оборотные средства прибыль рентабельность Список использованной литературы 1. Голуб, Л.А. Социально-экономическая статистика: Учебное пособие для студентов высших учебных заведений / Л.А. Голуб. – М.: Гуманит изд. центр ВЛАДОС, 2001.- 272 с. 2. Громыко, Г.Л. Социально – экономическая статистика/ Г.Л. Громыко. – М.: Изд. МШ, - 1989. – 398 с. 3. Ефремова, М.Р. Общая теория статистики: Учебник/ М.Р. Ефремова, Е.В. Петрова, В.Н. Румянцев. – М.: ИНФРА – М, 1998. – 416 с. 4. Иванов, Ю.Н. Анализ деятельности предприятия: Учебник/ Ю.Н. Иванов. – М.: ИНФРА, 1995. – 653 с. 5. Курс социально-экономической статистики: Учебник для вузов/ Под ред. М.Г. Назарова. – М.: Финстатинформ, ЮНИТИ-ДАНА, 2000. – 771 с. 6. Практикум по статистике: Учебное пособие для вузов/ Под ред. В.М. Симчары/ ВЗФЭИ.- М.: ЗАО Финстатинформ, 1999. – 259 с. 7. Раицкий, Р.А. Экономика предприятий: Учебник для вузов по специальности «Экономика и управление на предприятиях», «Менеджмент», «Мировая экономика»/ Р.А. Раицкий. – 2-е изд. – М.: Маркетинг, 2000. – 692 с. 8. Савицкая, Г.В. Анализ хозяйственной деятельности предприятия/ Г.В. Савицкая. - Минск: ООО «Новое знание», 1999. – 688 с. 9. Савицкая, Г.В. Анализ хозяйственной деятельности предприятия/ Г.В. Савицкая. – М.: ИНФРА-М, 2002. – 336 с. 10. Салин, В.Н. Социально – экономическая статистика/ В.Н. Салин, Е.П. Шпаковская. - М.: ЮРИСТЪ, - 2001. – 461 с. 11. Статистика финансов: Учебник/ Под ред. В.А. Салина. – М.: Финансы и статистика, 2000. – 816 с. 12. Теория статистики: Учебник/ Под ред. Р.А. Шмойловой. – 3-е изд., - перераб. и доп. – М.: Финансы и статистика, 1999. – 560 с. 13. Теслюк, И.Е. Статистика финансов/ И.Е. Теслюк. – М.: Высшая школа, - 1994. – 224 с. 14. Экономическая статистика: Учебник/ Под ред. Ю.Н. Иванова. – М.: ИНФРА, - 1998. – 480 с. |
||||||||||||||||||||||||||||||||||||||||||||||||||||||||||||||||||||||||||||||||||||||||||||||||||||||||||||||||||||||||||||||||||||||||||||||||||||||||||||||||||||||||||||||||||||||||||||||||||||||||||||||||||||||||||||||||
.



- доля изменения объема продукции за счет изменения объема основных производственных фондов;
- доля изменения объема продукции за счет изменения уровня фондоотдачи
, 








, 


или 







.















,






