Контрольная работа: Интегрирование и производная функций
|
Название: Интегрирование и производная функций Раздел: Рефераты по математике Тип: контрольная работа | |||||||||||||||||||||||||||||||||||||||||||||||||||||||||||||||||||||||||||||||||||||||||||||||||||||||||||||||||||||||||||||||||||||||||||||||||||||||||||||||||||||||||||||||||||||||||||||||||||||||||||||||||||||
Задание 1 Осуществить интерполяцию с помощью полинома Ньютона исходных данных из табл. 1 вычислить значение интерполяционного полинома в точке Таблица 1
интерполяция погрешность производная
Решение Интерполяционный многочлен Ньютона для равноотстоящих узлов записывается в виде
Таблица конечных разностей для экспериментальных данных:
Задание 2 Уточнить значение корня на заданном интервале тремя итерациями и найти погрешность вычисления.
Решение Вычислим первую и вторую производную функции
Итерационное уравнение запишется так:
В качестве начального приближения возьмем правый конец отрезка Проверяем условие сходимости:
Условие сходимости метода Ньютона выполнено. Таблица значений корня уравнения:
Уточненное значение корня В качестве оценки абсолютной погрешности полученного результата можно использовать величину
Задание 3 Методами треугольников, трапеций и Симпсона вычислить определенный интеграл.
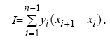
Решение Метод прямоугольников Значение интеграла на интервале определяется следующей формулой:
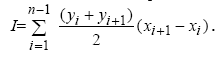
Значение интеграла: Метод трапеций Площадь трапеции равняется полусумме оснований, умноженной на высоту, которая равна расстоянию между точками по оси х. интеграл равен сумме площадей всех трапеций.
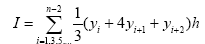
Значение интеграла: Метод Симпсона
Значение интеграла: Задание 4 Проинтегрировать уравнение методом Эйлера на интервале [0.2, 1.2] . Начальное условие у(0,2)=0,25.
Решение
Все вычисления удобно представить в виде таблицы:
Таким образом, задача решена. Задание 5 Задача 1. Вычислить сумму и разность комплексных чисел, заданных в показательной форме. Переведя их в алгебраическую форму. Построить операнды и результаты на комплексной плоскости.
Задача 2. Вычислить произведение и частное комплексных чисел. Операнды и результаты изобразить на комплексной плоскости.
Решение Задача 1.
Задача 2.
Задание 6 Вычислить производную функции f(z) в точке
Решение Так как для аналитических функций справедливы все формулы и правила дифференцирования действительного аргумента, то
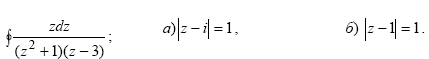
Задание 7 Вычислить интеграл по замкнутым контурам а) и б), считая обход контура в положительном направлении. Нарисовать область интегрирования, указать на рисунке особые точки.
Решение а)
Подынтегральная функция имеет особые точки:
б)
Подынтегральная функция имеет особые точки:
|
|||||||||||||||||||||||||||||||||||||||||||||||||||||||||||||||||||||||||||||||||||||||||||||||||||||||||||||||||||||||||||||||||||||||||||||||||||||||||||||||||||||||||||||||||||||||||||||||||||||||||||||||||||||








