Дипломная работа: Оценка рыночной стоимости 100% акций ЗАО "АЛИКОМ"
|
Название: Оценка рыночной стоимости 100% акций ЗАО "АЛИКОМ" Раздел: Рефераты по финансовым наукам Тип: дипломная работа | |||||||||||||||||||||||||||||||||||||||||||||||||||||||||||||||||||||||||||||||||||||||||||||||||||||||||||||||||||||||||||||||||||||||||||||||||||||||||||||||||||||||||||||||||||||||||||||||||||||||||||||||||||||||||||||||||||||||||||||||||||||||||||||||||||||||||||||||||||||||||||||||||||||||||||||||||||||||||||||||||||||||||||||||||||||||||||||||||||||||||||||||||||||||||||||||||||||||||||||||||||||||||||||||||||||||||||||||||||||||||||||||||||||||||||||||||||||||||||||||||||||||||||||||||||||||||||||||||||||||||||||||||||||||||||||||||||||||||||||||||||||||||||||||||||||||||||||||||||||||||||||||||||||||||||||||||||||||||||||||||||||||||||||||||||||||||||||||||||||||||||||||||||||||||||||||||||||||||||||||||||||||||||||||||||||||||||||||||||||||||||||||||||||||||||||||||||||||||||||||||||||||||||||||||||||||||||||||||||||||||||||||||||||||||||||||||||||||||||||||||||||||||||||||||||||||||||||||||||||||||||||||||||||||||||||||||||||||||||||||||||||||||||||||||||||||||||||||||||||||
Наименование направления профессиональной переподготовки «Финансы и кредит» Наименование программы (специализации) Оценка стоимости предприятия (бизнеса) Аттестационная работана тему: Оценка рыночной стоимости 100% акций ЗАО «АЛИКОМ» Выполнил: слушатель программы профессиональной переподготовки «Оценка стоимости предприятия (бизнеса)» 2011 г. Раздел 1. Общие сведенияОценка предприятий (бизнеса) в современных условиях развития рыночных отношений становится все более необходимым и часто применяемым инструментом регулирования рынка. Оценка предприятий позволяет не просто определить соответствующую стоимость предприятия, но может стать предпосылкой его трансформации, подготовке к инвестициям и выживанию на конкурентном рынке. Кроме того, оценка предприятия позволит улучшить управление им, так как она является основой для выработки стратегии развития предприятия. Одной из причин, вызывающих необходимость оценки, является то, что предприятие (или его часть) становится товаром и подлежит купле-продаже на рынке, а причина расширения сферы оценки - развитие залогового кредитования и арендных отношений. В силу того, что обычно стоимость активов по бухгалтерской отчетности резко отличается от их фактической стоимости, требуется их оценка по рыночной стоимости, от чего, в свою очередь, зависит и размер предоставления кредитов, и размер арендной платы. Повышение риска характерное для кризисного периода, ведет к дальнейшему развитию страхования, в процессе которого возникает необходимость определения стоимости активов из-за возможных потерь. Потребность в оценке возникает и при выборе инвестиционных решений. Для того чтобы ответить на вопрос: инвестиции в какую отрасль принесут наибольшую отдачу? - нужно в первую очередь оценить активы предприятий и будущие доходы от предпринимательской деятельности. Поэтому выбранная для аттестационной работы тема - оценка рыночной стоимости действующего предприятия - является интересной и актуальной. В зависимости от цели оценки определяется вид стоимости, и выбираются методы оценки стоимости предприятия. Существует несколько десятков методик, методов и способов оценки стоимости предприятий. Они обычно классифицируются (группируются) специалистами в три подхода: сравнительный, затратный и доходный. 1.1 Заключение об оценкеНа основании договора № ххх от хххх 2008 г. специалистом Общества с ограниченной ответственностью "ХХХХХХХХ» (далее - "Оценщик") по заказу ХХХХХ … (далее - "Заказчик") оказаны услуги по оценке 100% пакета акций ЗАО "АЛИКОМ», составлен в письменной форме отчёт об оценке Объекта (далее - "Отчёт"). Полученные в ходе проведения оценки результаты, позволяют сделать вывод о том, что на дату определения стоимости объекта оценки 1 января 2008 г. рыночная стоимость 100% пакета акций составляет: 8 155 000 (восемь миллионов сто пятьдесят пять тысяч) рублей. 1.2Задание на оценку
1.3 Сведения об оценщике и исполнителе
1.4 Список использованных законодательных актов и нормативных документов- Федеральный стандарт оценки «Общие понятия оценки, подходы к оценке и требования к проведению оценки (ФСО №1)», - Федеральный стандарт оценки «Цель оценки и виды стоимости (ФСО №2)», - Федеральный стандарт оценки «Требования к отчету об оценке (ФСО № 3)». Утверждены Приказами Минэкономразвития России от 20 июля 2007г. №№ 254, 255, 256. Являются обязательными к применению при осуществлении оценочной деятельности. - Законодательство РФ, законодательство Самарской области (справочные информационные системы). - Правоустанавливающая документация (Предоставлена Заказчиком). - Технический паспорт, справка БТИ (Предоставлен Заказчиком). - Материалы кадастрового учета, межевого дела (Предоставлены Заказчиком). - Бухгалтерский баланс (Форма № 1). - Отчет о прибылях и убытках (Форма № 2). - Приложение к бухгалтерскому балансу (Форма № 5). - Укрупненные показатели стоимости строительства («Центр ценообразования в строительстве»). - База данных по недвижимости (электронная база данных Информационной системы "Центр", www.iscentre-samara.ru). - Бюллетень объектов недвижимости (сайт «Новости рынка недвижимости», www.nrn.ru). 1.5 Термины и определенияОценочная деятельность - профессиональная деятельность субъектов оценочной деятельности, направленная на установление в отношении объектов оценки рыночной или иной стоимости. Объект оценки - отдельные материальные объекты (вещи); совокупность вещей, составляющих имущество лица, в том числе имущество определенного вида (движимое или недвижимое, в том числе предприятия); право собственности и иные вещные права на имущество или отдельные вещи из состава имущества; права требования, обязательства (долги); работы, услуги, информация; иные объекты гражданских прав, в отношении которых законодательством Российской Федерации установлена возможность их участия в гражданском обороте. Принцип оценки имущества - основные экономические факторы, определяющие стоимость имущества. Примечание. В практике оценки имущества используют следующие принципы - спроса и предложения, изменения, конкуренции, соответствия, предельной продуктивности, замещения, ожидания, наилучшего и наиболее эффективного использования и другие. Рыночная стоимость объекта оценки - наиболее вероятная цена, по которой данный объект оценки может быть отчужден на открытом рынке в условиях конкуренции, когда стороны сделки действуют разумно, располагая всей необходимой информацией, а на величине цены сделки не отражаются какие-либо чрезвычайные обстоятельства, то есть когда: - одна из сторон сделки не обязана отчуждать объект оценки, а другая сторона не обязана принимать исполнение; - стороны сделки хорошо осведомлены о предмете сделки и действуют в своих интересах; - объект оценки представлен на открытом рынке посредством публичной оферты, типичной для аналогичных объектов оценки; - цена сделки представляет собой разумное вознаграждение за объект оценки и принуждения к совершению сделки в отношении сторон сделки с чьей-либо стороны не было; - платеж за объект оценки выражен в денежной форме. Цена объекта оценки - денежная сумма, предлагаемая, запрашиваемая или уплаченная за объект оценки участниками совершенной или планируемой сделки. Итоговая стоимость объекта оценки - определяется путем расчета стоимости объекта оценки при использовании подходов к оценке и обоснованного оценщиком согласования (обобщения) результатов, полученных в рамках применения различных подходов к оценке. Дата оценки (дата проведения оценки, дата определения стоимости) - дата, по состоянию на которую определяется стоимость объекта оценки Подход к оценке - совокупность методов оценки, объединенных общей методологией. Затратный подход - совокупность методов оценки стоимости объекта оценки, основанных на определении затрат, необходимых для воспроизводства либо замещения объекта оценки с учетом износа и устареваний. Затратами на воспроизводство объекта оценки являются затраты, необходимые для создания точной копии объекта оценки с использованием применявшихся при создании объекта оценки материалов и технологий. Затратами на замещение объекта оценки являются затраты, необходимые для создания аналогичного объекта с использованием материалов и технологий, применяющихся на дату оценки. Сравнительный подход - совокупность методов оценки стоимости объекта оценки, основанных на сравнении объекта оценки с объектами - аналогами объекта оценки, в отношении которых имеется информация о ценах. Объектом - аналогом объекта оценки для целей оценки признается объект, сходный объекту оценки по основным экономическим, материальным, техническим и другим характеристикам, определяющим его стоимость. Доходный подход - совокупность методов оценки стоимости объекта оценки, основанных на определении ожидаемых доходов от использования объекта оценки. Метод оценки - последовательность процедур, позволяющая на основе существенной для данного метода информации определить стоимость объекта оценки в рамках одного из подходов к оценке. Срок экспозиции объекта оценки - рассчитывается с даты представления на открытый рынок (публичная оферта) объекта оценки до даты совершения сделки с ним. Износ имущества - снижение стоимости объекта под действием различных причин. Бизнес - это предпринимательская деятельность, направленная на производство и реализацию товаров и услуг, ценных бумаг, денег с целью получения прибыли. Для достижения такой цели должно быть создано предприятие. Предприятие - это производственно-экономический и имущественный комплекс, используемый для осуществления предпринимательской деятельности. При осуществлении оценочной деятельности предприятие рассматривается как единое целое (товар), в состав которого входят все виды имущества и права на это имущество. Акция - эмиссионная ценная бумага, закрепляющая права ее владельца (акционера) на получение части прибыли акционерного общества в виде дивидендов, на участие в управлении акционерным обществом и на часть имущества, остающегося после его ликвидации. Действующее предприятие (бизнес) - предприятие, в отношении которого отсутствует информация о вероятном прекращении его деятельности в прогнозируемый период времени. Деловая репутация организации - нематериальный (юридически неидентифицируемый) актив, возникающий благодаря фирменному наименованию, репутации, наличию постоянной клиентуры, местоположению и аналогичным факторам, стоимость которых нельзя выделить и оценить по отдельности, но которые обусловливают дополнительные доходы или иные экономические выгоды. Контроль от владения акциями, долями (вкладами) в уставных капиталах -получаемая участником хозяйственного общества или товарищества за счет владения акциями, долями (вкладами) в уставных капиталах, возможность влиять на принятие решений, отнесенных к компетенции высшего органа управления хозяйственного общества или товарищества, влияя, таким образом, на принятие наиболее важных управленческих решений, отнесенных к компетенции других органов управления хозяйственного общества или товарищества. Контрольное участие - участие в уставном капитале, размер которого обеспечивает владельцу контроль за деятельностью организации. Контрольный (мажоритарный) пакет акций - пакет акций, размер которого обеспечивает его владельцу контроль за деятельностью акционерного общества. Неконтрольное участие - участие в уставном капитале, размер которого недостаточен для признания его контрольным. Неконтрольный (миноритарный) пакет акций - пакет акций, размер которого недостаточен для признания его контрольным. Премия за контрольное участие - денежное (абсолютное или относительное) выражение преимущества, обусловленного владением контрольным участием по сравнению с владением неконтрольным участием. Скидка за контрольное участие - абсолютная или относительная величина, на которую уменьшается пропорциональная оцениваемому размеру участия его стоимость в стоимости стопроцентного участия, чтобы отразить отсутствие всех или некоторых полномочий контроля. Скидка за недостаточную ликвидность - абсолютная или относительная величина, на которую уменьшается стоимость объекта оценки, чтобы отразить его недостаточную ликвидность. Дисконтирование денежного потока - преобразование будущих денежных потоков (доходов), ожидаемых от объекта оценки, в его стоимость на дату оценки с использованием соответствующей ставки дисконтирования. Ставка дисконтирования - процентная ставка отдачи (доходности), используемая при дисконтировании с учетом рисков, с которыми связано получение денежных потоков (доходов). Чистый денежный поток - величина денежных средств, полученных за определенный период времени и остающихся в распоряжении предприятия (бизнеса), которые могут быть распределены без ущерба для дальнейшего его функционирования и экономического роста. 1.6 Процедуры и этапы исследованийОценка рыночной стоимости бизнеса включает в себя следующие этапы: а) заключение договора на проведение оценки, включающего задание на оценку б) сбор и анализ информации, необходимой для проведения оценки в) применение подходов к оценке, включая выбор методов оценки и осуществление необходимых расчетов г) согласование (обобщение) результатов применения подходов к оценке и определение итоговой величины стоимости объекта оценки д) составление отчета об оценке Оценщик осуществляет сбор и анализ информации, необходимой для проведения оценки объекта оценки. Оценщик изучает количественные и качественные характеристики объекта оценки, собирает информацию, существенную для определения стоимости объекта оценки теми подходами и методами, которые на основании суждения оценщика должны быть применены при проведении оценки, в том числе: а) информацию о политических, экономических, социальных и экологических и прочих факторах, оказывающих влияние на стоимость объекта оценки б) информацию о спросе и предложении на рынке, к которому относится объект оценки, включая информацию о факторах, влияющих на спрос и предложение, количественных и качественных характеристиках данных факторов в) информацию об объекте оценки, включая правоустанавливающие документы, сведения об обременениях, связанных с объектом оценки, информацию о физических свойствах объекта оценки, его технических и эксплуатационных характеристиках, износе и устареваниях, прошлых и ожидаемых доходах и затратах, данные бухгалтерского учета и отчетности, относящиеся к объекту оценки, а также иную информацию, существенную для определения стоимости объекта оценки Оценщик при проведении оценки обязан использовать затратный, сравнительный и доходный подходы к оценке или обосновать отказ от использования того или иного подхода. Оценщик вправе самостоятельно определять конкретные методы оценки в рамках применения каждого из подходов. Оценщик для получения итоговой стоимости объекта оценки осуществляет согласование (обобщение) результатов расчета стоимости объекта оценки при использовании различных подходов к оценке и методов оценки. Если в рамках применения какого-либо подхода оценщиком использовано более одного метода оценки, результаты применения методов оценки должны быть согласованы с целью определения стоимости объекта оценки, установленной в результате применения подхода. При согласовании результатов расчета стоимости объекта оценки должны учитываться вид стоимости, установленный в задании на оценку, а также суждения оценщика о качестве результатов, полученных в рамках примененных подходов. По итогам проведения оценки составляется отчет об оценке Раздел 2. Анализ рынка и позиционирование объекта оценки2.1 Анализ социально-экономических показателей развития Самарской областиСамарская область находится на юго-востоке европейской территории России, большая ее часть расположена на левом берегу Волги. Площадь области – 53,6 тыс. кв. км (0,3% территории РФ), важнейшие полезные ископаемые – нефть и попутный газ. Численность населения составляет около 3,195 млн человек (12-е место среди регионов России), при этом на долю городского населения приходится более 80%. Крупнейшие города – Самара (свыше 1,1 млн жителей), Тольятти (705 тыс.), Сызрань (184 тыс.), Новокуйбышевск (112 тыс.). По индексу благосостояния[1] область занимает шестое место в России, среднемесячные потребительские расходы в расчете на одного жителя приближаются сегодня к 6,5 тыс. руб. Самарская область является одним из наиболее экономически развитых субъектов Федерации. Однако, по оценке компании Standard & Poors, в 2005 году рост ее реального ВВП составил всего 1,5% (после высокого роста на 8,1% в 2004 году), что обусловлено спадом в важной для области нефтедобывающей отрасли. По прогнозу областной администрации, в 2006–2008 годах ВРП будет активно расти на 5–7% ежегодно в основном за счет сектора услуг и строительства. Промышленность по-прежнему обеспечивает почти половину ВРП, но постепенно ее удельный вес будет снижаться и, по прогнозам, к 2008 году достигнет отметки в 40–42% ВРП. В прошедшем году тенденция экономического роста в Самарской области, начавшаяся в 1999 году, укрепилась, так как ускорился темп роста основных индикаторов социально-экономического развития области - валового регионального продукта – его объем достиг 570 млрд.рублей, покупательной способности денежных доходов населения и, особенно значительно, инвестиций в основной капитал. Положительная динамика роста достигнута в большинстве видов экономической деятельности. Опережающими темпами развивались обрабатывающие производства. Более важно то, что в области улучшилась демографическая ситуация, возросла численность занятых. По объему промышленного производства и денежным доходам населения область вплотную приблизилась к уровню 1990 года. Тем не менее, по-прежнему сохраняется проблема отставания Самарской области в темпах экономического развития от федерации в целом и многих активно развивающихся регионов России. Темп прироста экономики области за период с 2000 по 2007 годы меньше российского на четверть (54,9% против 68,8%). В результате годовой прирост налоговых и неналоговых доходов консолидированного бюджета Самарской области, как правило, ниже среднероссийского показателя. Среднедушевой объем инвестиций области по сравнению со среднероссийским уровнем меньше на 15%. Среди регионов РФ по объему промышленного производства Самарская область с 3 места в 2001 году опустилась до 8 места в 2007 году. Критическое состояние основных фондов, и особенно в обрабатывающем секторе промышленности. Здесь почти самая высокая в РФ степень износа основных фондов и самый большой удельный вес полностью изношенных фондов. Фактически многие предприятия работают на грани своих технологических возможностей. При сохранении такого тренда развития регион потеряет экономическое лидерство, как в округе, так и в России в целом, что нельзя допустить. Ключевая задача - многократный рост производительности труда и эффективности производства на основе масштабной модернизации существующих предприятий и активной инновационной политики. Инновационный вектор в развитии экономики – главный долгосрочный приоритет Правительства Самарской области, и он обеспечивается соответствующей нормативной, институциональной и финансовой базой. Сегодня мы имеем возможность использовать для реализации наших проектов мощнейшие институты развития, созданные на федеральном уровне. Государство готово выступать в качестве крупнейшего инвестора. Самым значимым результатом развития области в 2007 году в экономической сфере, бесспорно, является достижение наиболее высокого темпа роста инвестиций с 2000 года – почти 30% прироста за год. Всего в развитие экономики и социальной сферы Самарской области в 2007 году вложено 126,7 млрд. рублей - это третий показатель в ПФО, а по инвестициям на душу населения – 2 место. Доля инвестиций в ВРП достигла 22% - это на 2,6 п.п. превышает показатель по России в целом. Важным итогом является и то, что значительные объемы и темпы роста капиталовложений в целом по области связаны с абсолютным большинством видов экономической деятельности. Особо хотелось бы отметить пятикратный рост инвестиций в металлургическое производство, резкий рост инвестиционной активности в сельском хозяйстве и стройиндустрии, что является прямым следствием реализации национальных проектов в АПК и в жилищном строительстве. Абсолютно лучшим за все прошедшие годы был и результат по привлечению иностранных инвестиций в Самарскую область – 2 млрд. 367 млн. долларов США- также больше на треть, чем в 2006 году. Однако, это всего лишь результат заимствований предприятий за рубежом, но не прямых иностранных инвестиций. Сегодня как никогда должна быть консолидирована и улучшена система привлечения инвестиций в экономику области. Серьезным препятствием для инвесторов, принимающих решение о размещении своего бизнеса на территории региона, являются административные барьеры. Это касается отведения земельных участков, получения технических условий на подключение к инженерным сетям и коммуникациям, разрешений на строительство, доступа к свободным производственным площадкам. Совершенствование регионального инвестиционного законодательства также является важным направлением институциональной модернизации. За последние десять лет в этой сфере сделано не мало, что позволило в среднем на 1 рубль инвестиционных субсидий привлекать 65 рублей частных инвестиций. В 2007 году в экспортной политике сменились страновые приоритеты - экспорт в страны СНГ вырос на 33%, а экспорт в страны дальнего зарубежья упал на 20%. Впервые в распределении внешнеторгового оборота области страны Европейского союза уступили свое место странам Азиатско-тихоокеанского экономического сотрудничества. Беспрецедентно высоким в 2007 году стал рост импорта – более 47%. Это и оборудование, и потребительские товары. Безусловно, это свидетельствует о значительном росте платежеспособного спроса населения и предприятий и недостаточно растущем предложении и низкой конкурентоспособности отечественных товаров. В 2007 году наблюдается замедление темпов роста показателей финансовой деятельности организаций области. Темпы роста прибыли прибыльных организаций в 2 раза ниже уровня 2006 года (117,1%). Рентабельность продукции в целом по экономике области (12,4%) ниже, чем в среднем по Российской Федерации (14%). Прирост капитала и резервов, оборотных и внеоборотных активов по нашей оценке недостаточен для нормального функционирования экономики. Организации области по-прежнему испытывают дефицит собственного оборотного капитала и очень активно осуществляют заимствования (63,3% в структуре пассива баланса приходится на долю привлеченных средств). Зависимость предприятий от кредиторов усиливается (коэффициент автономии, равный 36,7%, при норме 50 и более процентов). Предприятиям и организациям области следует более взвешенно принимать управленческие решения в сфере осуществления заимствований. В результате введения с 2006 года федеральными органами власти и Правительством Самарской области предельных индексов роста тарифов прирост тарифов на жилищно-коммунальные услуги в 2007 году несколько снизился. В 2008 году при установлении размеров платы за жилищно-коммунальные услуги уже установлены факты завышения предельных индексов роста этих услуг в некоторых муниципальных образованиях. Это города – Тольятти и Сызрань, а также Безенчукский, Б-Глушицкий, Борский, Волжский, Кинельский и Кинель-Черкасский районы. Эти нарушения следует устранить в течение 45 дней и произвести перерасчеты с населением. По итогам года прирост среднего тарифа на электрическую энергию для всех групп потребителей региона составил 9%, в том числе для населения - 13%. Средний тариф на тепловую энергию с учетом транспортирующих организаций и организаций коммунального комплекса увеличился для всех групп потребителей Самарской области на 13,4%, в том числе для бюджетных потребителей – на 13,8%, что соответствует показателям прогноза. Определенное, порой неоднозначное влияние на ценовую ситуацию оказывают значительные законодательные изменения в сфере потребительского рынка . Основные итоги развития социальной сферы области в целом весьма позитивны. Мероприятия приоритетных национальных проектов «Образование» и «Здоровье» выполнены в полном объеме. Основными задачами социального развития в 2008 году являются: В сфере образования: - реализация эксперимента по апробации новой системы оплаты труда работников дошкольных образовательных учреждений; - решение вопросов обеспеченности детей местами в дошкольных учреждениях; - укрепление физического здоровья школьников за счет повышения эффективности и безопасности системы школьного питания; - совершенствование начального и среднего профессионального образования посредством внедрения инновационных образовательных программ; - продолжение работы по совершенствованию нормативно-правовой базы в рамках формирования эффективной системы подготовки кадров. В сфере здравоохранения: - обеспечение населения доступной медицинской помощью высокого качества на всех этапах её оказания; - профилактика заболеваний, прежде всего, сердечно-сосудистых, онкологических; - улучшение здоровья населения, особенно детей; - развитие высокотехнологичной медицинской помощи, внедрение новых видов её оказания; - укрепление материальной базы лечебно-профилактических учреждений, фельдшерско-акушерских пунктов в муниципальных районах; - создание и развитие системы непрерывного медицинского образования. В сфере культуры и молодежной политики: - разработка проекта Концепции государственной охраны, сохранения, использования и популяризации объектов культурного наследия, расположенных на территории Самарской области; - модернизация библиотек, в том числе с использованием новых информационных технологий; - создание Молодежного Правительства. В сфере семейной политики: - реализация Плана мероприятий по проведению Года семьи; - повышение государственной поддержки семей с детьми. В сфере физической культуры и спорта: -создание условий всем категориям населения для занятий физической культурой и спортом, развитие материально-технической базы. В сфере развития туристической деятельности: - разработка областной целевой программы «Создание туристско-рекреационного комплекса «Жигулевская жемчужина» и программы развития туристско-рекреационного кластера на 2009-2011 годы. Традиционно уделяется большое внимание развитию материально-технической базы социальных отраслей. Инвестиции в человеческое развитие – приоритетное направление государственной политики. По итогам 2007 года капитальные вложения областной адресной инвестиционной программы составили 15,9 % расходной части областного бюджета. Объем средств по этой программе составил более 11,3 млрд. рублей. В 2007 году с опережением среднеобластной динамики развивалась промышленность в шести городских округах - Кинеле, Отрадном, Чапаевске, Жигулевске, Октябрьске и Самаре. Лишь в Похвистнево снизился объем промышленного производства. Бесспорными лидерами развития Самарской области, являются крупнейшие индустриальные центры - Самара и Тольятти, являющиеся «ядрами» Самарско-Тольяттинской агломерации. 2.2 Краткое описание оцениваемого предприятияЗАО «Аликом» является одним из крупнейших производителей изделий из полиэтилена Самарской области. Уже семь лет фирма успешно действует в отрасли экономики "Тара и Упаковка", как в Самарской области, так и в Поволжском регионе. Продукцию можно увидеть в таких городах как Пенза, Уфа, Оренбург, Саратов и др. Высокотехнологичное оборудование и высококачественное сырье, квалифицированный персонал позволяют производить пленки и пакеты высокого качества. Объемы выпуска каждого наименования, цветовая гамма продукции оперативно корректируются под запросы заказчика. История развития, общие положения и юридический адрес. ЗАО «АЛИКОМ» ведет свою историю с марта 2000 года. Руководителями предприятия являются высококвалифицированный управленческий персонал, имеющих большой опыт руководства и более десяти лет опыта работы в производственно-коммерческих фирмах. Учредитель – физическое лицо – генеральный директор, имеющий 100% акций компании. Полное фирменное наименование объекта оценки. Закрытое акционерное общество "АЛИКОМ" Сокращенное наименование. ЗАО "АЛИКОМ" Место нахождения: Российская Федерация Почтовый адрес: 443030, Россия, г. Самара, ул. Мечникова , ххх Тел/Факс: (846) ххх; Адрес электронной почты: ххх@ххх.ru Основная хозяйственная деятельность объекта оценки. Основная хозяйственная деятельность – производство полиэтиленовой пленки методом экструзии, которая применяется во многих отраслях народного хозяйства в качестве упаковки продукции, укрывного материала. Проведенные лабораторные испытания полиэтиленовой пленки подтвердили ее полное соответствие требованиям ГОСТ 10354-82 и ГОСТ 25951-83, а по некоторым параметрам, в частности по растяжению, превысили установленные нормы. Пленка изготавливается в виде рукава, полурукава, полотна, с фальцовкой до 600мм. Возможно окрашивание пленки в цвет, заявленный заказчиком, а также нанесение печати. А также Термоусадочные парниковые молочные технические (однослойные и многослойные) Пленка с печатью. Пакеты ПВД, ПНД Фасовочные любого размера с прорубной усиленной ручкой типа «Маечка»,пакеты для упаковки полуфабрикатов. Пакеты мусорные различных размеров с ручками и без Пакеты любого размера на заказ с логотипом заказчика, фирменной символикой Рынки сбыта продукции (работ, услуг) объекта оценки Фирма работает с такими крупными компаниями, как «ЕВРОСЕТЬ», «ДЕЛЬТА С», «Первый объединенный банк», ТЦ «Фрегат», Банк РБР, «Захар–фото», Нефтеперерабатывающий завод, завод по производству аккумуляторов «Аком» , издательская компания «Из рук в руки», «Коммерсант-Курьер», «Империя сумок», «Самарские сладости», мед.компания ИДК, «Октопус», также со многими предприятиями, хлебозаводами, магазинами и торговыми центрами. Размер и структура капитала и оборотных средств объекта оценки Размер уставного капитала объекта оценки (руб.): 150 000 рублей Сведения о структуре и компетенции органов управления объекта оценки. Органами управления общества являются: - общее собрание; - совет директоров; - генеральный директор (управляющая компания); Высшим органом управления Общества является общее собрание акционеров. Компетенция общего собрания акционеров (участников) объекта оценки в соответствии с его уставом (учредительными документами): К компетенции Общего собрания акционеров относятся: - определение предельного размера объявленных акций; - внесение изменений и дополнений в устав общества или утверждение новой редакции устава; - определение количественного состава совета директоров, избрание его членов и досрочное прекращение его полномочий, установление размеров вознаграждений и компенсаций, выплачиваемых членам совета директоров, утверждение положения о совете директоров; - утверждение годовых отчетов, бухгалтерских балансов, счетов прибылей и убытков общества и распределение его прибылей и убытков Общества; - реорганизация общества; - принятие решения о ликвидации общества, назначение ликвидационной комиссии и утверждение промежуточного и окончательного ликвидационных балансов; - уменьшение уставного капитала общества путем уменьшения номинальной стоимости акций, погашения приобретенных, выкупленных Обществом или не полностью оплаченных акционерами акций в порядке, предусмотренном Федеральным законом "Об акционерных обществах"; - избрание ревизионной комиссии Общества и досрочное прекращение его полномочий; - утверждение аудитора Общества; - порядок ведения общего собрания акционеров; - образование счетной комиссии; - определение формы сообщения Обществом материалов (информации) акционеров; - решение о дроблении и консолидации акций общества; - совершение крупных сделок, связанных с приобретением и отчуждением обществом имущества, в случае, предусмотренном статей 79 Федерального закона "Об акционерных обществах"; - возмещение расходов по подготовке и проведению собрания акционеров за счет средств Общества в случае, если совет директоров в установленные сроки не принял решения о созыве данного внеочередного собрания акционеров или принял решение об отказе от его созыва; - заключение сделок, в совершении которых существует заинтересованность, в случаях, предусмотренных Федеральным законом "Об акционерных обществах"; - принятие решения о размере и форме выплаты годового дивиденда; - принятие решения о передаче полномочий исполнительного органа Общества по договору коммерческой организации (управляющей организации). Условия заключения договора утверждаются советом директоров Общества; - решение иных вопросов, предусмотренных Федеральным законом "Об акционерных обществах" и настоящим Уставом. Компетенция совета директоров (наблюдательного совета) объекта оценки в соответствии с его уставом (учредительными документами): Совет директоров осуществляет общее руководство деятельностью Общества, за исключением вопросов, являющихся компетенцией общего собрания акционеров. Совет директоров действует на основании Устава и положения о совете директоров. К исключительной компетенции совета директоров относится: 1) определение приоритетных направлений деятельности Общества; 2) созыв годового и внеочередного собраний акционеров Общества; 3) утверждение повестки дня собрания акционеров; 4) определение даты, места и времени проведения собрания акционеров, порядка сообщения акционерам информации о его проведении, перечня представляемых акционерам материалов (информации) при подготовки к собранию акционеров, даты составления списка акционеров, имеющих право на участие в собрании акционеров и получение дивидендов, формы и текста бюллетеня для голосования; 5) решение о выплате дивиденда по акциям и порядке выплаты; 6) не позднее, чем за 30 дней до даты проведения годового общего собрания акционеров утверждение проекта годового отчета Общества; 7) рекомендации собранию акционеров по размеру выплачиваемых ревизионной комиссии Общества вознаграждения и компенсаций и определение размера оплаты услуг аудитора; 8) определение рыночной стоимости имущества в случаях и порядке, предусмотренных Федеральным законом "Об акционерных обществах" и другими правовыми актами; 9) принятие решения о совершении любой сделки с недвижимым имуществом независимо от суммы сделки; 10) принятие решения о совершении крупной сделки, предметом которой является имущество, стоимость которого составляет от 25 до 50 процентов балансовой стоимости активов Общества на дату принятия решения о совершении такой сделки, а в случае не достижения единогласия членов совета директоров по этому вопросу - вынесение этого решения на собрание акционеров; 11) назначение генерального директора Общества и досрочное расторжение заключенного с ним договора; 12) размещение обществом облигаций и иных ценных бумаг, если иное не предусмотрено уставом общества; 13) утверждение внутренних документов Общества, определяющих порядок деятельности органов управления и подразделений, входящих в структуру Общества; 14) использование резервного и иных фондов Общества; 15) создание филиалов и открытие представительств Общества, утверждение положений о них; 16) принятие решения об участии Общества в других коммерческих и некоммерческих организациях, участие в холдинговых компаниях, финансово-промышленных группах и иных объединениях коммерческих организаций; в том числе принятие решения о выдвижении от имени Общества, выступающего в качестве собственника определенного количества паев, акций, долей в уставном капитале хозяйственных обществ, кандидатов в советы директоров (наблюдательные советы) и/или коллегиальные и единоличные исполнительные органы и/или ревизионные органы указанных обществ; 17) увеличение уставного капитала Общества путем увеличения номинальной стоимости или путем размещения Обществом дополнительных акций в пределах количества и категорий (типа) объявленных акций и внесение соответствующих изменений в Устав; 18) приобретение Обществом собственных акций или их выкуп по требованию акционеров в случаях, предусмотренных Федеральным законом "Об акционерных обществах"; 19) по решению собрания акционеров заключать договор с управляющей компанией и расторгать его по решению совета директоров; 20) иные вопросы, предусмотренные Федеральным законом "Об акционерных обществах" и Уставом. Совет директоров вправе принять к своему рассмотрению любой вопрос, отнесенный Уставом к компетенции исполнительного органа. Компетенция единоличного и коллегиального исполнительных органов объекта оценки в соответствии с его уставом (учредительными документами): Руководство текущей деятельностью Общества осуществляет директор на основании доверенности, выданной управляющей организацией. Единоличный исполнительный орган: Единоличный исполнительный орган: 1) организует выполнение решений собрания акционеров и совета директоров; 2) без доверенности действует от имени Общества; 3) совершает сделки от имени Общества, решение о совершении которых не отнесено к компетенции иного органа управления Общества. Сделки, не входящие в компетенцию единоличного исполнительного органа согласно положения настоящего Устава, совершаются им только на основании решения компетентного органа управления-общего собрания акционеров или совета директоров соответственно; 4) утверждает штаты, издает приказы, распоряжения и в пределах своей компетенции дает указания, обязательные для исполнения всеми работниками Общества; 5) подписывает документы от имени Общества; определяет структуру Общества, за исключением рабочих органов совета директоров; 6) определяет условия приема и увольнения, оплаты труда работников Общества, его представительств и филиалов, осуществляет прием и увольнение работников Общества, а также назначает и освобождает от должности руководителей структурных подразделений Общества, филиалов, представительств; 7) направляет уведомления кредиторам Общества в случае реорганизации или ликвидации Общества, предстоящего уменьшения уставного капитала Общества и в иных определенных законом случаях; 8) выдает доверенности от имени Общества; 9) исполняет другие функции, возложенные на него собранием акционеров и советом директоров в пределах их полномочий, а также настоящим Уставом. Сведения об основных средствах.
2.3 Анализ рынка отрасли полиэтиленовой продукцииХарактерной особенностью российского рынка полиэтиленовой пленки в течение довольно длительного времени является превышение предложения в данной товарной группе над платежеспособным спросом, особенно в периоды так называемого «межсезонья». Именно этот фактор является наиболее важным в вопросе формирования цен на полиэтиленовую пленку. В течение года существуют два периода повышения спроса на сельскохозяйственную пленку: с середины марта по май и с октября по ноябрь. По данным трейдеров, ситуация с ценой на полиэтиленовую пленку остается стабильной уже в течение 2,5–3 лет. В зависимости от сезонного спроса, колебания цен на полиэтиленовую пленку уже в течение 3 лет остаются в пределах 8,5–9 % для оптовых цен и 8–8,5 % для розничных цен. Реальная оптовая цена (без учета транспортных затрат) на полиэтиленовую пленку сельскохозяйственного, строительного или общетехнического назначения в период сезонного повышения спроса составляет 25 тыс. руб./т; при отсутствии массовых закупок пленки сельскохозяйственными организациями и строителями оптовая цена снижается до 23 тыс. руб./т. Розничная цена на полиэтиленовую пленку (также без учета затрат на транспортировку) в период повышения сезонного спроса — 27 тыс. руб./т, в периоды межсезонья цена на пленку снижается до 25 тыс. руб./т. Если сезон на покупку пленки оказался более коротким, например, по причине неожиданных колебаний температуры воздуха или режима выпадения осадков, и розничная торговля вынуждена снижать цену на пленку до 25 тыс. руб./т ранее намеченного срока, фактически розничная торговля оказывается на грани убыточности, в лучшем случае — практически нулевой прибыли. Зачастую единственным способом поддержания прибыли в розничной торговле полиэтиленовой пленкой является маневрирование между оптовой продажей пленки на вес (в тоннах) и розничной продажей погонными метрами. Соответствующим образом осуществляется пересчет цены на пленку в зависимости от ширины, количества сложений и толщины пленки. При этом если ширину пленки можно легко замерить, то толщину пленки, заявляемой розничным торговцем, проверить в условиях строительного или сельскохозяйственного рынка довольно затруднительно. Именно розничная торговля полиэтиленовой пленкой несет наибольшие убытки как от качества самой пленки, так и от качества ее намотки. В случае наличия дефектов намотки, например, «зажеванности», неравномерности намотки, продавец вынужден бракованные участки пленки сбывать по более низкой цене (что удается далеко не всегда) или списывать на убытки (что обычно и происходит). Именно постоянная опасность обнаружения дефектов в рулоне пленки и заставляет розничную торговлю удерживать цены на уровне на 1,5–2 % выше, чем это могло бы быть в случае стабильного поступления на рынок пленки высокого качества. Загрузка машин Как показывает анализ использования оборудования для производства полиэтиленовой пленки, средний коэффициент загрузки технологических линий не превышает 45 %. Безусловно, существуют предприятия, главным образом в Центральном регионе, на которых эксплуатируемое оборудование используется с более высокой загрузкой — до 80 %. Вместе с тем, большое количество предприятий эксплуатируют линии менее чем на 10 %. Нельзя не принимать во внимание, что ежегодно в Россию ввозится несколько десятков экструдеров различной модификации и полнокомплектных технологических линий по выпуску полиэтиленовой пленки различных видов. Постоянно увеличивающийся парк оборудования приводит к снижению его удельной нагрузки и одновременно увеличивает долю затрат на оборудование в себестоимости пленки. В результате сформировавшаяся в современных условиях рынка цена на полиэтиленовую пленку становится все менее эффективной и не может быть снижена. Однако в ряде случаев существенные скидки помогли бы реализовать скопившиеся у производителей запасы пленки в межсезонье и дать стимул к увеличению производства. Повышение сезонного спроса на полиэтиленовую пленку не всегда приводит к активному росту производства. Зачастую в период сезонного спроса происходит увеличение объемов продажи за счет реализации складских запасов, скопившихся в предыдущий период. Формирование цен В вопросе формирования цены на полиэтиленовую пленку, как и в формировании цен на многие другие товарные группы, существенную роль стали играть так называемые «картельные соглашения». Практически в каждом регионе существуют своего рода неофициальные клубы или ассоциации трейдеров, занимающих ведущую роль на региональном рынке пленки. С одной стороны, существующий уровень цен ограничивает прибыль трейдеров. С другой стороны, избыточное предложение пленки практически вынуждает снижать цену с целью увеличения ее сбыта. Демпинговые цены, по которым иногда готовы торговать производители или мелкие реализаторы, представляют угрозу сложившимся соотношениям цен. Негласные соглашения крупных региональных трейдеров позволяют уже в течение нескольких лет удерживать сложившуюся ситуацию с ценами. 2.4 Анализ самарского рынка полиэтиленовой продукцииПроизводство упаковочных изделий из полиэтилена в Самаре и области началось с 1998 года. В настоящее время на Самарском рынке известны 11 фирм-производителей упаковки из полиэтилена. Данные производители выпускают следующие виды продукции: Таблица 1
Таблица 2. Список производителей упаковки из полиэтилена и объемы производства
Географически сложилось, что Самара находится на пересечении транспортных потоков Европа-Азия, Юг-Север и является «прослойкой» перед Москвой. В связи с этим, оптовики соседних регионов (Ульяновская, Пензенская, Саратовская, Оренбургская области, республики Башкортостан и Татарстан), где слабо развито производство изделий из полиэтилена, приезжают за упаковкой в Самару. Исходя из реализации на оптовых Самарских рынках нами посчитано, что для Самарского регионального рынка потребности в упаковочной продукции в 2-3 раза выше, чем по г.Самара. Исходя из данных приведенных в таблице на рынке производителей фасовочных пакетов видно, что в настоящее время уже переизбыток пакетов фасовочных и пакетов типа «маечка». Такая ситуация сложилась из-за того , что - за последний год открылось еще 3 фирмы – производителя в г.Самаре (а по РФ еще больше, как говорят «только ленивый не занимается пакетами») - за последние 1,5 года увеличилась тенденция к расфасовке продукции в полипропиленовую упаковку с печатью (крупы, макаронные изделия, пельмени и вареники и.т.д.) увеличилась тенденция в упаковке продукции в термоусадочную пленку Таблица 3. Производство полиэтиленовых пленок в г.Самара
Анализ конкуренции Основными конкурентами по производству изделий из полиэтилена в г.Самара являются: Таблица 4
Лидирующее положение по выпуску фасовки занимает Фабрика «Восход», которая продукция среднего качеств. Цена на изделия одинакового типа с нашими – ниже. Большие партии фасовки отправляют в Москву. ООО «Технопак» и ООО «Полипак» почти уровнялись с нами по многим позициям и начинают теснить нас на внутреннем рынке, предлагая однотипную продукцию, но по цене ниже нашей (порядка на 0,5 коп). За последние 1,5 года появились 3 новых производителя упаковочных изделий из полиэтилена –ООО «Агроупак», ООО «Сирокко», ООО «Вымпел-пак». В настоящее время на рынке пакетов фасовочных и пакетов типа «маечка» в г.Самаре переизбыток, а следовательно жесткая конкуренция, выживут те кто длительное время 0,5-1 год сможет вести гибкую ценовую политику, продавая продукцию чуть выше себестоимости и немаловажным фактором остается деловая репутация фирмы. У ЗАО «АЛИКОМ» хорошая репутация, заработанная за годы работы, как по качеству продукции, так и деловым партнерским отношениям. Шопинг-пакеты производит в г.Самара пока единственная фирма ООО Технопак. Объем производства 1,5 млн.шт. пакетов , что составляет 38 % объема рынка г.Самары, при имеющейся свободной доли рынка в 62%, ЗАО «АЛИКОМ» планирует занять свободную долю в 38 %. Основными производителями термоусадочной пленки являются ООО «Полимер», ООО «Югал», ООО «Лагуна».От общего объема рынка г.Самары по термоусадочным пленкам они занимают около 60 %, свободная доля рынка составляет 40 % . На рынке г.Самары трехслойную пленку пока не производит никто. При 100 % свободном рынке производителей ЗАО «АЛИКОМ» планирует занять долю в 55% рынка г.Самары. Раздел 3. Анализ наилучшего и наиболее эффективного использованияНаилучшее и наиболее эффективное использование является основополагающей предпосылкой стоимости. Заключение о наилучшем использовании отражает мнение оценщика в отношении наилучшего использования собственности, исходя из анализа состояния рынка. Понятие "Наилучшее и наиболее эффективное использование", применяемое в аттестационной работе, подразумевает такое использование, которое из всех разумно возможных, физически осуществимых, финансово-приемлемых, должным образом обеспеченных и юридически допустимых видов использования имеет своим результатом максимально высокую текущую стоимость земли. Наиболее эффективное использование может не совпадать с текущим использованием земельного участка. Анализ наилучшего и наиболее эффективного использования выполняется путем проверки соответствия рассматриваемых вариантов использования следующим критериям. Законодательная разрешенность: рассмотрение тех способов использования, которые разрешены распоряжениями о зонообразовании, ограничениями на частную инициативу, положениями об исторических зонах и экологическим законодательством. Результаты анализа нормативно – правовой базы выявили отсутствие, каких – либо правовых ограничений на использование объекта оценки с существующим целевым назначением. Физическая осуществимость: рассмотрение физически реальных в данной местности способов использования. Анализ физических характеристик объекта оценки позволяет сделать вывод о возможности использования его с существующим целевым назначением. Максимальная эффективность: рассмотрение того, какое из финансово осуществимых вариантов использования будет приносить максимальный чистый доход или максимальную текущую стоимость. Финансовая осуществимость: рассмотрение того, какое физически осуществимое и разрешенное законом использование будет давать приемлемый доход владельцу объекта. ЗАО «АЛИКОМ» владеет специфическим оборудованием, применяемым при производстве полиэтиленовой пленки, и занимает устойчивую позицию на рынке в г. Самара. Изменение профиля предприятия потребует капитальных вложений несоизмеримых с возможной прибылью. Таким образом, как наилучшее и наиболее эффективное использование в рамках данной оценки, нами рассматривается текущее Раздел 4. Анализ финансово-экономического состояния предприятияАнализ финансового состояния компании играет важную роль в процессе оценки бизнеса. Цель проведения анализа - выявление тенденции развития компании в прошлом, оценка ее сегодняшнего положения, обоснование ее развития в будущем, определение степени ее деловых и финансовых рисков. Определение финансового состояния компании на конкретную дату позволяет выявить, насколько правильно компания управляла финансовыми ресурсами в течение периода, предшествовавшего этой дате; как она использовала имущество, какова структура этого имущества; насколько рационально она сочетала собственные и заемные источники; насколько эффективно использовала собственный капитал; какова отдача производственного потенциала; нормальны ли отношения с дебиторами, кредиторами, бюджетом, акционерами и т.д. Выводы финансового анализа используются во всех подходах к оценке бизнеса. Анализ финансового состояния компании включает в себя анализ бухгалтерских балансов и отчетов о финансовых результатах оцениваемой компании за прошедшие периоды в целях выявления тенденций ее деятельности и определения основных финансовых показателей. Финансовый анализ также служит основой понимания истинного положения предприятия и степени финансовых рисков. Результаты финансового анализа непосредственно влияют на прогнозирование доходов и расходов предприятия; на определение ставки дисконта, применяемой в методе дисконтированного денежного потока, на величину мультипликаторов, используемых в сравнительном подходе к оценке. Финансовый анализ представляет собой анализ следующих характеристик: · Ликвидность; · Финансовая устойчивость; · Деловая активность; · Рентабельность. Исходной информацией для анализа финансового состояния предприятия являются его бухгалтерские балансы (форма №1) и отчеты о прибылях и убытках (форма №2) за предшествующие дате оценки периоды в целях выявления тенденций в деятельности и определение основных финансовых показателей. Ликвидность и финансовая устойчивость анализируются на основе только баланса. Для анализа деловой активности и рентабельности потребуются баланс и отчёт о прибылях и убытках. Анализ финансового состояния ЗАО «АЛИКОМ» проведен на основании бухгалтерского баланса и отчета о прибылях и убытках, за 2005 - 2007 гг. 4.1 Анализ финансово состояния организации
Чистая выручка Предприятия за анализируемый период увеличилась на 22 693 тыс. руб. или 42,49% (с 53 402 до 76 095 тыс. руб.). Основная деятельность, ради осуществления которой было создано Предприятие, за анализируемый период была прибыльной. Себестоимость реализованной продукции Предприятия за анализируемый период увеличилась на 22 046 тыс. руб. или 43,31% (с 50 902 до 72 948 тыс. руб.). Как следствие этого, эффективность основной деятельности Предприятия снизилась, так как темп изменения выручки отставал от темпа изменения себестоимости реализованной продукции. Валовая прибыль Предприятия за анализируемый период увеличилась на 647 тыс. руб. или 25,88% (с 2 500 до 3 147 тыс. руб.). В конце периода в структуре совокупных доходов, полученных от осуществления всех видов деятельности Предприятия, наибольший удельный вес приходился на доходы от основной деятельности.Однако, доля доходов от внереализационной и операционной деятельности была достаточно высокой и занимала 36,17%. Следует отметить, что расходы по внереализационной и операционной деятельности Предприятия растут медленнее, чем доходы по этим видам деятельности. В начале анализируемого периода Предприятие имело прибыль от основной деятельности в размере 2 500 тыс. руб. Результат от внереализационной и операционной деятельности при этом составил -628 тыс. руб. В конце анализируемого периода Предприятие имело прибыль от основной деятельности в размере 3 147 тыс. руб. Результат от внереализационной и операционной деятельности при этом составил 3 730 тыс. руб. От осуществления всех видов деятельности в конце анализируемого периода Предприятие получило прибыль в размере 6 877 тыс. руб., что на 267,36% больше прибыли в начале периода, составившей 1 872 тыс. руб. Наличие в анализируемом периоде у Предприятия чистой прибыли свидетельствует об имеющемся источнике пополнения оборотных средств.
Активы Предприятия за анализируемый период возросли на 162 814 тыс. руб. (c 103 077 до 265 891 тыс. руб.), или 157,95%. Увеличение активов произошло за счет роста внеоборотных активов на 43 530 тыс. руб. или на 48,58 %, оборотных активов на 119 284 тыс. руб. или на 885,75 %. В целом, рост имущества Предприятия является положительным фактом. Однако данный рост имущества обеспечивался преимущественно за счет наращивания финансовых обязательств. Основную часть в структуре имущества занимали внеоборотные активы. Опережение темпов роста оборотных активов над внеоборотными активами может свидетельствовать о расширении основной (производственной) деятельности Предприятия. Чистые активы (в соответствии с "Порядком оценки стоимости чистых активов акционерных обществ" (утв. приказом Минфина РФ и ФКЦБ №№ 10н, 03-6/пз)) на начало анализируемого периода составили 1 529 тыс. руб., а в конце периода были равны 593 тыс. руб. Доля основных средств в имуществе на конец анализируемого периода составила 6,11%. Таким образом, Предприятие имеет "легкую" структуру имущества, что отражает мобильность его активов. Как правило, это свидетельствует о незначительных накладных расходах и низкой чувствительности прибыли Предприятия к изменениям выручки. Для оценки уровня производственного рычага необходимо дополнительно проанализировать переменные и постоянные затраты. В конце анализируемого периода структура имущества характеризуется относительно высокой долей внеоборотных активов, которая снизилась с 86,94% до 50,07%. Внеоборотные активы Предприятия за анализируемый период увеличились с 89 610 до 133 140 тыс. руб. Прирост внеоборотных активов произошел за счет увеличения следующих составляющих: - основных средств на 14 599 тыс. руб. (с 1 647 до 16 246 тыс. руб.) или 886,40%; - вложений во внеоборотные активы на 28 931 тыс. руб. (с 87 963 до 116 894 тыс. руб.) или 32,89%, что может негативно сказаться на результатах финансово-хозяйственной деятельности Предприятия (необходимо дополнительно проанализировать целесообразность и эффективность вложений) . Структура внеоборотных активов за анализируемый период существенно изменилась. В то же время, в анализируемом периоде основная часть внеоборотных активов неизменно приходилась на вложения во внеоборотные активы (87,80 %). За анализируемый период в структуре внеоборотных активов доля основных средств имела тенденцию к росту (с 1,84% до 12,20%), доля вложений во внеоборотные активы имела тенденцию к снижению (с 98,16% до 87,80%). В анализируемом периоде Предприятие не использовало в своей финансово-хозяйственной деятельности нематериальные активы, долгосрочные финансовые вложения, прочие внеоборотные активы. На конец анализируемого периода структура имущества характеризуется относительно невысокой долей оборотных активов, которая увеличилась с 13,06% до 49,93%. Оборотные активы Предприятия за анализируемый период увеличились с 13 467 до 132 751 тыс. руб. Прирост оборотных активов произошел за счет увеличения следующих составляющих: дебиторской задолженности; краткосрочных финансовых вложений; денежных средств; прочих оборотных активов при одновременном снижении: запасов. Рост оборотных средств (то есть запасов, краткосрочной и долгосрочной дебиторской задолженности) и замедление их оборачиваемости свидетельствуют о нерационально выбранной хозяйственной стратегии, вследствие которой значительная часть текущих активов иммобилизована, что в конечном итоге может привести к росту кредиторской задолженности и ухудшению финансового состояния предприятия. Структура оборотных активов за анализируемый период существенно изменилась. В то же время, в анализируемом периоде основная часть оборотных активов неизменно приходилась на дебиторскую задолженность (90,58 %). Такая структура с высокой долей задолженности и низким уровнем денежных средств может свидетельствовать о неблагополучном состоянии расчетов Предприятия с потребителями. Удельный вес запасов в оборотных активах снизился с 38,26% до 2,48%. Стоимость запасов за анализируемый период уменьшилась на 1 867 тыс. руб. (с 5 153 до 3 286). Такое резкое уменьшение запасов может быть вызвано сокращением объемов деятельности Предприятия. В составе запасов на конец анализируемого периода преобладают производственные запасы (2 489 тыс. руб.), доля которых увеличилась с 55,17% до 75,75%. Второе место в структуре запасов занимают затраты в незавершенном производстве (661 тыс. руб.), доля которых увеличилась с 11,74% до 20,12%. Доля дебиторской задолженности (краткосрочной и долгосрочной) в оборотных активах выросла с 43,69% до 90,58%. За анализируемый период объемы дебиторской задолженности выросли на 114 363 тыс. руб. (с 5 884 до 120 247), что является негативным изменением и может быть вызвано проблемами, связанными с оплатой продукции Предприятия, либо активным предоставлением потребительского кредита покупателям, т.е. отвлечением части текущих активов и иммобилизации части оборотных средств из основной деятельности. Выручка от реализации продукции при этом выросла в меньшей степени, что свидетельствует о росте неплатежей со стороны потребителей. Такое резкое увеличение дебиторской задолженности (на 1 943,63%) делает необходимым дальнейший углубленный анализ ее состава и структуры по данным аналитического учета. На конец анализируемого периода в составе дебиторской задолженности находилась только задолженность краткосрочных (со сроком погашения в течение 12 месяцев) дебиторов. Так, за анализируемый период краткосрочная дебиторская задолженность выросла на 114 363 тыс. руб. и составила 120 247 тыс. руб., а её доля в оборотных активах увеличилась с 43,69% до 90,58%. Отрицательным моментом является увеличение длительности оборота краткосрочной дебиторской задолженности на 366 дн. по сравнению с началом периода. Кроме того, темпы роста краткосрочной дебиторской задолженности за анализируемый период значительно опережали темпы роста выручки от реализации продукции (2 043,63% против 142,49%). Сопоставление сумм краткосрочной дебиторской и кредиторской задолженностей показывает, что Предприятие на начало анализируемого периода имело пассивное сальдо задолженности, то есть кредиторская превышала дебиторскую на 6 155 тыс. руб. Таким образом, Предприятие финансировало отсрочки платежей своих должников за счет неплатежей кредиторам (то есть бюджету, внебюджетным фондам и др.). На конец анализируемого периода Предприятие имело активное сальдо задолженности, то есть дебиторская стала превышать кредиторскую на 103 582 тыс. руб. Таким образом, Предприятие стало предоставлять своим покупателям бесплатный коммерческий кредит в размере, превышающем средства, полученные в виде отсрочек платежей кредиторам. Величина чистого оборотного капитала (то есть разницы между запасами, краткосрочной дебиторской задолженностью, денежными средствами, краткосрочными финансовыми вложениями и всеми краткосрочными обязательствами (кредиторской и финансовой задолженностью) показывает, что на начало анализируемого периода у Предприятия отсутствовали собственные оборотные средства . На конец анализируемого периода у Предприятия имелись собственные оборотные средства . Сумма денежных средств в анализируемом периоде имела тенденцию к росту с 37 тыс. руб. до 249 тыс. руб.. В анализируемом периоде Предприятие стало использовать в своей финансово-хозяйственной деятельности краткосрочные финансовые вложения.
Основным источником формирования имущества Предприятия в анализируемом периоде являются заемные средства, доля которых в балансе увеличилась с 98,52% до 99,78%. Собственный капитал (фактический, за вычетом убытков и задолженностей учредителей) на начало анализируемого периода составил 1 529 тыс. руб., а на конец периода был равен 593 тыс. руб. За анализируемый период величина собственного капитала (фактического) уменьшилась на 936 тыс. руб. при одновременном увеличении соотношения заемного и собственного капитала на 380,97. Таким образом, финансовая устойчивость Предприятия снизилась . Собственный капитал Предприятия за анализируемый период уменьшился. Снижение собственного капитала произошло за счет уменьшения резервов, фондов и нераспределенной прибыли (фактических) на 936 тыс. руб. (с 1 379 до 443 тыс. руб.) или 67,88 % . В анализируемом периоде остались на прежнем уровне следующие показатели: уставный капитал (150 тыс. руб.). В целом, сокращение резервов, фондов и нераспределенной прибыли (фактич.) свидетельствует о падении деловой активности Предприятия (в том случае, если оно не использовало собственные средства для финансирования). Необходимо дополнительно проанализировать направления расходования собственных средств Предприятия. За анализируемый период в структуре собственного капитала доля резервов, фондов и нераспределенной прибыли имела тенденцию к снижению (с 90,19% до 74,70%). Предприятие на протяжении анализируемого периода убытков по балансу не имело. В структуре заемного капитала долгосрочные обязательства за анализируемый период выросли на 64 124 тыс. руб., а их доля изменилась с 83,22% до 56,02%. Долгосрочные кредиты и займы (финансовые обязательства) в анализируемом периоде отсутствовали. К концу анализируемого периода долгосрочные обязательства были представлены только коммерческими обязательствами. Краткосрочные обязательства за анализируемый период выросли на 99 626 тыс. руб. Их доля в структуре заемного капитала увеличилась с 16,78% до 43,98%. К концу анализируемого периода краткосрочные обязательства были представлены на 85,72% финансовыми и на 14,28% коммерческими обязательствами. Краткосрочные кредиты и займы (финансовые обязательства) за анализируемый период увеличились с 5 000 тыс. руб. до 100 000 тыс. руб. или на 1 900%. Наращивание краткосрочной финансовой задолженности является негативным моментом в деятельности Предприятия. Кредиторская задолженность за анализируемый период возросла на 4 626 тыс. руб. (с 12 039 до 16 665 тыс. руб.). В структуре кредиторской задолженности на конец анализируемого периода преобладают обязательства перед поставщиками и подрядчиками (8 003 тыс. руб.), составляющие 48,02%. Вторыми по величине являются обязательства перед прочими кредиторами (7 404 тыс. руб.), составляющие 44,43%. В анализируемом периоде у Предприятия отсутствовала задолженность по векселям к уплате, перед дочерними и зависимыми обществами, по авансам полученным. За анализируемый период краткосрочные обязательства изменились следующим образом: перед бюджетом практически не изменились, составив на конец периода 582 тыс. руб., перед поставщиками и подрядчиками снизились на 2 229 тыс. руб. (с 10 232 до 8 003 тыс. руб.), перед персоналом организации снизились на 32 тыс. руб. (с 377 до 345 тыс. руб.), перед гос. внебюджетными фондами возросли на 304 тыс. руб. (с 27 до 331 тыс. руб.), перед прочими кредиторами возросли на 6 592 тыс. руб. (с 812 до 7 404 тыс. руб.). В анализируемом периоде наибольшими темпами роста характеризуются задолженность перед гос. внебюджетными фондами, перед прочими кредиторами, перед бюджетом. Эффективность деятельности
Рентабельность собственного капитала (фактического) Предприятия (определяющая эффективность вложений средств собственников) на протяжении всего анализируемого периода была положительной и резко изменялась, увеличившись c 122,430% до 525,560%, что свидетельствует о возможности привлечения инвестиционных вложений в Предприятие. Необходимым уточнением к анализу соотношения чистой прибыли и собственного капитала является оценка соотношения чистой прибыли и общей стоимости активов, то есть рентабельности активов. За анализируемый период рентабельность активов по чистой прибыли, которая отражает способность Предприятия извлекать прибыль, исходя из имеющегося в его распоряжении имущества, в целом была низкой и варьировалась от 1,820% до 3,190%. Значение рентабельности активов по чистой прибыли на конец анализируемого периода свидетельствует о весьма низкой эффективности использования имущества. Уровень рентабельности активов по чистой прибыли в размере 3,190% на конец анализируемого периода обеспечивается низкой оборачиваемостью активов, составившей на конец периода 0,552 оборота за год , при высокой (5,770%) доходности всех операций (по чистой прибыли). В целом, динамика оборачиваемости активов, которая показывает, с какой скоростью совершается полный цикл производства и обращения, а также отражает уровень деловой активности Предприятия, положительна (за анализируемый период отмечается увеличение значения показателя с 0,525 до 0,552 оборота за год ). Сопоставление динамики рентабельности всех операций (по чистой прибыли) и оборачиваемости активов показывает снижение этих показателей за анализируемый период, что свидетельствует о негативных изменениях в финансовом состоянии Предприятия. Оценку эффективности управления основной деятельностью Предприятия с точки зрения извлечения прибыли дает показатель рентабельности, рассчитываемый по результатам от основной деятельности. Рентабельность производственных активов (показывающая, какую прибыль приносит каждый рубль, вложенный в производственные активы Предприятия) в начале анализируемого периода равнялась 2,430%, а на конец периода составляла 1,470%. Данная величина показателя рентабельности складывается из рентабельности продаж (основной деятельности), которая в конце анализируемого периода составила 4,140%, и оборачиваемости производственных активов, равной 0,355 оборота за год . Одновременное снижение показателей рентабельности продаж и оборачиваемости производственных активов является "диагнозом" наличия проблем, связанных с реализацией продукции и работой отдела маркетинга. Рентабельность всех операций (по прибыли до налогообложения) Предприятия в конце анализируемого периода составила 5,770% и была на 1,630 пунктов выше показателя рентабельности продаж (основной деятельности). Таким образом, прочая деятельность Предприятия является более эффективной, чем основная. Соотношение чистой прибыли и выручки от продаж, то есть показатель рентабельности продаж по чистой прибыли, отражает ту часть поступлений, которая остается в распоряжении Предприятия с каждого рубля реализованной продукции. Значение показателя в анализируемом периоде увеличилось с 3,51% до 9,04%. Таким образом, у Предприятия расширяются возможности самостоятельно финансировать свой оборотный капитал, не привлекая для этих целей внешние источники. Данный коэффициент рассматривают в сочетании с такими показателями, как объем продаж и чистая прибыль в расчете на одного работника, объем продаж в расчете на единицу площади и т.п. Для этого необходимо дополнительно проанализировать калькуляцию затрат Предприятия. Длительность оборота запасов и прочих оборотных активов на конец периода составляет 34 дн., краткосрочной дебиторской задолженности 406 дн., а кредиторской задолженности 767 дн. Таким образом, длительность оборота чистого производственного оборотного капитала (длительность оборота запасов плюс длительность оборота краткосрочной дебиторской задолженности минус длительность оборота кредиторской задолженности) составляет -327 дн. и -560 дн. в начале анализируемого периода. Следует обратить внимание на то, что средняя за анализируемый период величина длительности оборота чистого производственного оборотного капитала отрицательна, что отражает отсутствие у Предприятия собственных производственных оборотных средств. Показатель длительности оборота краткосрочной задолженности по денежным платежам (163 дн.), рассматриваемый как индикатор платежеспособности в краткосрочном периоде, не превышал 180 дней. Таким образом, можно предположить, что сроки выполнения обязательств Предприятия еще не истекли или у Предприятия хватит ресурсов, чтобы расплатиться с кредиторами . Финансовая устойчивость
Анализ финансовой устойчивости Предприятия позволяет говорить о незначительном запасе прочности, обусловленном низким уровнем собственного капитала (фактического), который на конец анализируемого периода составил 0,002 (при рекомендуемом значении не менее 0,600). Таким образом, к концу анализируемого периода у Предприятия имелись ограниченные возможности привлечения дополнительных заемных средств без риска потери финансовой устойчивости. Уменьшение уровня собственного капитала (фактического) за анализируемый период способствовало снижению финансовой устойчивости Предприятия. Коэффициент покрытия внеоборотных активов собственным капиталом (фактическим) на конец периода составил 0,004 (на начало 0,017) (при рекомендуемом для соблюдения требования финансовой устойчивости значении не менее 1). При этом коэффициент покрытия внеоборотных активов не только собственным, но и долгосрочным заемным капиталом на конец периода был равен 1,121 (на начало 0,960). Следовательно, на конец анализируемого периода все долгосрочные активы финансируются за счет долгосрочных источников, что может обеспечить относительно высокий уровень платежеспособности Предприятия в долгосрочном периоде. При этом динамика данного показателя может быть оценена как позитивная. Коэффициент обеспеченности собственными средствами составил на конец периода -0,999, что хуже установленного нормативного значения (0,10). Соотношение заемного и собственного капитала (фактического) на начало анализируемого периода равнялось 66,415, на конец периода 447,383 (при рекомендуемом значении менее 0,700). Коэффициент срочной ликвидности (отражающий долю текущих обязательств, покрываемых за счет денежных средств и реализации краткосрочных ценных бумаг) на конец периода составил 0,025, что на 0,023 пунктов выше его значения на начало периода (0,002) при рекомендуемом значении от 0,20 до 0,40. Промежуточный коэффициент покрытия (отражающий долю текущих обязательств, покрываемых оборотными активами за вычетом запасов) на конец периода составил 1,056, что на 0,709 пунктов выше его значения на начало периода (0,347) при рекомендуемом значении от 0,50 до 0,80. Коэффициент покрытия краткосрочной задолженности оборотными активами на конец периода составил 1,138, что на 0,347 пунктов выше его значения на начало периода (0,790) при рекомендуемом значении от 1,00 до 2,00. Таким образом, за анализируемый период Предприятие стало способным погасить текущие обязательства за счет производственных запасов, готовой продукции, денежных средств, дебиторской задолженности и прочих оборотных активов. Коэффициент Бивера, равный отношению притока денежных средств к общей сумме задолженности, на конец анализируемого периода составил 0,032, на начало 0,018. По международным стандартам рекомендуемое значение данного показателя находится в интервале 0,170 - 0,400. Полученное значение показателя позволяет отнести Предприятие к высокой группе "риска потери платежеспособности", т.е. уровень покрытия задолженности суммой чистой прибыли и амортизации у Предприятия низкий. Интервал самофинансирования (или платежеспособности) Предприятия на конец периода составил 431 дн. (на начало периода 42 дн.), что свидетельствует о высоком уровне резервов у Предприятия для финансирования своих затрат (без амортизации) в составе себестоимости и прочих издержек за счет имеющихся денежных средств, краткосрочных финансовых вложений и поступлений от дебиторов. В международной практике считается нормальным, если данный показатель превышает 360 дней. Комплексная оценка финансового состояния на 01.01.2008 г.
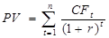
Предприятие относится к третьей [2] группе инвестиционной привлекательности Предприятие финансово неустойчиво, оно имеет низкую рентабельность для поддержания платежеспособности на приемлемом уровне. Как правило, такое Предприятие имеет просроченную задолженность. Для выведения Предприятия из кризиса следует предпринять значительные изменения в его финансово-хозяйственной деятельности. Инвестиции в Предприятие связаны с повышенным риском. Раздел 5. Выбор подходов и методов оценки5.1 Классификация подходов и методов оценки бизнесаПри оценке рыночной стоимости имущества в соответствии со стандартами, обязательными к применению субъектами оценочной деятельности, Оценщик обязан применять три стандартных подхода. * затратный подход; * сравнительный подход; * доходный подход. Затратный подход – совокупность методов оценки стоимости объекта оценки, основанных на определении затрат, необходимых для восстановления или замещения объекта оценки, с учетом износа. Сравнительный подход - совокупность методов оценки стоимости объекта оценки,основанных на сравнении объекта оценки с аналогичными объектами, в отношении которых имеется информация о ценах сделок с ними. Доходный подход – совокупность методов оценки стоимостиобъекта оценки, основанных на определении ожидаемых доходов от объекта оценки. Метод оценки - способ расчета стоимости объекта оценки в рамах одного из подходов к оценке. Однако в существующем разделении оценочной методологии нужно видеть не более чем диалектику стоимости: 3атратный подход – это история возникновения стоимости с точки зрения технологии создания объекта оценки; Сравнительный подход – современный взгляд на стоимость объекта оценки, определяемую через процедуры сравнения продаж, происходящих в соответствующем секторе рынка; Доходный подход – взгляд на стоимость объекта с точки зрения будущих выгод, ожидаемых к получению его владельцем. Фундаментальное уравнение оценки (1) отражает жизненный цикл стоимости оцениваемой собственности.
Затратный Сравнительный Доходный где i k – индекс цен в к-том году; Ck– затраты на создание в к-том году; FD – физический износ; FO – функциональное устаревание; EO – экономическое устаревание; FMT – фактическая рыночная стоимость; CF t – поток прибыли в t году; r – ставка дисконтирования; m – время создания объекта оценки; n – время будущей жизни объекта оценки. Классификация методов оценки бизнеса в рамках каждого из подходов отражена в следующей таблице. Классификация подходов и методов оценки бизнеса
В оценочной практике сложились определенные предпочтения к последовательности применения вышеуказанных подходов. При оценке бизнеса затратный подход применим ко всем предприятиям, его используют для расчета в первую очередь, доходный подход – во вторую очередь, сравнительный подход – слабо применим в силу закрытого характера информации о сделках с акциями (долями) большинства предприятий. Дальнейший расчет стоимости действующего предприятия (бизнеса) будет выполнен в указанной последовательности. 5.2 Выбор методов оценкиЗатратный подход к оценке бизнеса рассматривает стоимость предприятия с точки зрения понесенных издержек. Балансовая оценка стоимости активов и обязательств предприятия вследствие изменений конъюнктуры рынка, используемых методов учета, как правило, не соответствует рыночной стоимости. Данный подход при оценке стоимости бизнеса представлен двумя основными методами: - метод стоимости чистых активов; - метод ликвидационной стоимости. Все методики затратного подхода базируются на одной информационной базе – балансе предприятия и позволяют рассчитать различные виды стоимости предприятия: метод чистых активов – рыночную стоимость предприятия; метод ликвидационной стоимости – ликвидационную стоимость предприятия. 5.2.1 Методы затратного подходаМетод чистых активов. Метод стоимости чистых активов основан на анализе активов предприятия. Формирование стоимости предприятия происходит на основе уже достигнутых финансовых и стоимостных показателей (в отличие от доходного подхода, где рассматриваются перспективы развития предприятия). Использование данного метода дает лучшие результаты при оценке действующего предприятия, обладающего значительными материальными и финансовыми активами. В соответствии с Порядком оценки стоимости чистых активов акционерных обществ, утвержденных Приказом Минфина РФ и ФКЦБ РФ от 29.01.03г. № 10н/03-6/пз, под стоимостью чистых активов акционерного общества понимается величина, определяемая путем вычитания из суммы активов акционерного общества, принимаемых к расчету, суммы его пассивов, принимаемых к расчету. Очевидно, что указанная формулировка будет справедлива не только для акционерных обществ, но и для предприятий с другой организационно-правовой формой собственности, при условии наличия у предприятия активов и обязательств (пассивов принимаемых к расчету). Оценка стоимости бизнеса методом чистых активов предполагает наличие следующих основных процедур: · анализ бухгалтерского баланса на дату оценки; · сбор информации о рыночной стоимости активов и пассивов предприятия; бизнес оценка экономический финансовый · определение рыночной стоимости активов предприятия; В состав активов, принимаемых к расчету, включаются: - внеоборотные активы, отражаемые в первом разделе бухгалтерского баланса (нематериальные активы, основные средства, незавершенное строительство, доходные вложения в материальные ценности, долгосрочные финансовые вложения, прочие внеоборотные активы); - оборотные активы, отражаемые во втором разделе бухгалтерского баланса (запасы, налог на добавленную стоимость по приобретенным ценностям, дебиторская задолженность, краткосрочные финансовые вложения, денежные средства, прочие оборотные активы), за исключением стоимости в сумме фактических затрат на выкуп собственных акций, выкупленных акционерным обществом у акционеров для их последующей перепродажи или аннулирования, и задолженности участников (учредителей) по взносам в уставный капитал. · определение рыночной стоимости пассивов предприятия; В состав пассивов, принимаемых к расчету, включаются: - долгосрочные обязательства по займам и кредитам и прочие долгосрочные обязательства; - краткосрочные обязательства по займам и кредитам; -задолженность участникам (учредителям) по выплате доходов; - резервы предстоящих расходов; - прочие краткосрочные обязательства. · определение стоимости бизнеса как разницы между суммарными стоимостями его активов принимаемых к расчету и пассивов принимаемых к расчету. Базой для определения стоимости чистых активов является рыночная стоимость активов и обязательств (пассивов, принимаемых к расчету). Срок экспозиции объекта на рынке должен быть нормальным. Метод ликвидационной стоимости. Применение метода ликвидационной стоимости предполагает ту же последовательность расчётов, что и в методе чистых активов, но при определении рыночной стоимости активов учитываются все возможные издержки на ликвидацию активов (затраты на складирование и хранение материальных ценностей, выведенных из технологического цикла; оплата коммунальных платежей, возникающих на этапе ликвидации предприятия; содержание штата сотрудников, организующих процесс ликвидации, а также услуги посреднических организаций, специализирующихся на продаже отдельных видов имущества и т.д.). Базой для определения ликвидационной стоимости предприятия является Рыночная стоимость активов и обязательств. Срок экспозиции объекта на рынке ограничен. Выбор метода. Метод чистых активов применяется в случае, если у Оценщика имеется обоснованная уверенность относительно функционирования предприятия в будущем, срок экспозиции объекта на рынке нормальный. Метод ликвидационной стоимости чаще всего применяется для ликвидируемых предприятий, либо тогда когда прогнозируемые денежные потоки от производственной деятельности предприятия не велики по сравнению со стоимостью его чистых активов (доход на активы низкий или отрицательный), а так же тогда когда стоимость предприятия при ликвидации может быть выше, чем при продолжении его деятельности. Учитывая тот факт, что на предприятии не введена процедура банкротства, Оценщик считает необходимым производить расчет стоимости бизнеса ЗАО «АЛИКОМ» методом чистых активов. 5.2.2 Методы сравнительного подходаМетодики сравнительного подхода базируются на сопоставлении стоимости оцениваемого предприятия со стоимостями сопоставимых предприятий. Сравнительный подход включает в себя метод рынка капитала (метод компании аналога), метод сделок (или метод сравнительного анализа продаж), метод отраслевых коэффициентов. Метод рынка капитала. Метод основан на использовании цен, сформированных открытым рынком. Действуя по принципу замещения, инвестор может инвестировать либо в аналогичное предприятие, либо в оцениваемое предприятие. Преимущество данной методики заключается в использовании фактической информации, а не прогнозных данных. Для реализации этой методики необходима достоверная и детальная финансовая и рыночная информация по группе сопоставимых предприятий. В рамках этой методики рассчитывается различные мультипликаторы, выражаемые из соотношения к цене балансовой прибыли, чистой прибыли, текущего денежного потока, чистого денежного потока и прочих. Основной недостаток методики – она основана на прошлых событиях и не принимает в расчет будущие условия хозяйствования предприятия. Базой для сравнения служит цена на единичную акцию акционерных обществ открытого типа. Следовательно, в чистом виде данный метод используется для оценки миноритарного пакета акций. Метод сделок (метод сравнительного анализа продаж). Метод сделок – частный случай методики рынка капитала и основан на анализе рынка цен приобретения контрольных пакетов акций сопоставимых предприятий или на анализе цен приобретения предприятий целиком. Главным отличием метода сделок от методики рынка капитала является то, что первый определяет уровень стоимости контрольного пакета акций, тогда как вторая методика определяет стоимость предприятий на уровне неконтрольного пакета акций. Метод отраслевых коэффициентов. Метод основан на использовании рекомендуемых соотношений между ценой и определенными финансовыми параметрами. Отраслевые коэффициенты рассчитаны на основе длительности статистических наблюдений специальными исследовательскими институтами за ценой продажи предприятия и его важнейшими производственно-финансовыми характеристиками. Метод отраслевых коэффициентов пока не получил достаточного распространения в отечественной практике в связи с отсутствием необходимой информации, требующей длительного периода наблюдения. Выбор метода. Рынок производства полиэтиленовой продукции еще молодой и недостаточно развит. Оценщик не обладает достоверной и детальной финансовой и рыночной информацией по группе сопоставимых предприятий. В связи с этим, принял решение в рамках данной работы отказаться от сравнительного подхода 5.2.3 Методы ДОХОДного подходаДоходный подход предполагает определение стоимости предприятия исходя из принципа ожидания инвестором будущих выгод в виде прибыли от хозяйственной деятельности предприятия и доли в собственности после предполагаемой продажи предприятия в конце периода владения. В рамках доходного подхода при оценке бизнеса обычно применяют два метода – это метод прямой капитализации доходов и метод дисконтирования денежных потоков. Эти методы выделены по характеру пересчета будущих денежных потоков в текущую стоимость. Метод прямой капитализации. Общий алгоритм расчета стоимости бизнеса методом прямой капитализации дохода заключается в делении фактического или планируемого ежегодного дохода (чистой прибыли после уплаты налогов), получаемого от всех видов деятельности предприятия, на коэффициент капитализации по формуле:
где PV – текущая стоимость объекта оценки; CF – денежный поток среднегодового дохода; K – коэффициент капитализации. При этом коэффициент капитализации является отраслевым мультипликатором и наиболее точно может быть определен в результате анализа продаж пакетов акций (рыночной капитализации) предприятий отрасли и показателей их дохода (чистой прибыли). В этом смысле данный метод сходен (аналогичен) с методом отраслевых коэффициентов сравнительного подхода. Метод прямой капитализации применим, когда размеры ежегодных денежных потоков равномерны и поступают в течение неограниченного периода времени, денежный поток достаточно значительная положительная величина, а также когда имеется достаточно информации для расчета отраслевых мультипликаторов. В современной Российской действительности данный метод практически не применим. Метод дисконтирования денежных потоков (DCF). В этой группе объединены методы, в основу математического аппарата которых заложены принципы учета изменения денег во времени при расчетах по сложному проценту. Они, как правило, дают наиболее точные результаты расчетов стоимости бизнеса. Текущую рыночную стоимость объекта оценки по методу дисконтирования денежных потоков рассчитывают суммированием ежегодных будущих денежных потоков прибыли, деленных на соответствующую ставку дисконта по формуле:
CF t – поток прибыли в t году; r – ставка дисконтирования; n – время прогнозного периода (будущей жизни объекта оценки). Методы дисконтирования применимы в случаях, когда денежные потоки от деятельности предприятия не равны по величине и поступают неравномерно. Методы дисконтирования предусматривает расчет в следующей последовательности: · выбор длительности прогнозного периода; · анализ и прогнозирование денежных потоков (валовых доходов, расходов, инвестиций); · расчет денежных потоков в прогнозный и постпрогнозный период (реверсии); · расчет ставки дисконта; · расчет стоимости бизнеса как суммы текущих стоимостей будущих денежных потоков в прогнозный и постпрогнозный периоды. Метод дисконтирования чистых денежных потоков Наиболее распространенным является метод дисконтирования денежных потоков. Этап выбора длительности прогнозного периода. Высокий уровень риска, характеризующий российский рынок инвестиций, делает неоправданным рассмотрение длительного периода в качестве прогнозного, так как суммы прироста стоимости с течением времени стремятся к нулю. С другой стороны, прогнозный период должен продолжаться пока темпы роста предприятия не стабилизируются. Как правило, в российской практике прогнозный период не превышает 3-5 лет. Кроме того, точность прогноза напрямую зависит от числа прошедших анализируемых периодов. Вероятность ошибки будет тем больше, чем меньше по продолжительности будет прогнозируемый период, по сравнению с анализируемым. Этап анализа и прогнозирования денежных потоков. Расчет стоимости предприятия можно выполнить на основе двух видов денежных потоков: для собственного и инвестированного (бездолгового) капитала. В случае расчета денежного потока для собственного капитала принимается во внимание ценность полученной информации для управляющего компанией, т.к. учитывается потребность предприятия в дополнительном привлечении финансовых средств. Бездолговой денежный поток на практике используется инвесторами в целях финансирования сделки слиянии, поглощения или покупки компании с помощью привлечения заемных денежных средств. Денежный поток для собственного капитала рассчитывается так: Чистая прибыль за период n + Износ (амортизационные отчисления за период n) – Капиталовложения за период n + (-) изменение долгосрочной задолженности за период n (прирост или уменьшение) - прирост собственных оборотных средств. Бездолговой денежный поток оценивается по аналогичной формуле, но в ней будут отсутствовать прирост и уменьшение долгосрочной задолженности, причем, величина бездолгового денежного потока увеличивается на величину процентных выплат, скорректированных на ставку налогообложения. Как для собственного, так и для заемного капитала денежный поток может быть номинальным (в ценах текущего периода) или реальным (цены корректируются с учетом инфляции). Этап расчета денежных потоков в прогнозный и постпрогнозный период (реверсии) При проведении процедуры дисконтирования необходимо учитывать, как денежные потоки поступают во времени (в начале каждого периода, в конце каждого периода, равномерно в течение года). Дисконтирование денежных потоков прогнозного периода осуществляется на конец, и на середину года, необходимо отметить, что предпочтительнее использовать дисконтирование на середину года для получения более точных результатов.
РV - текущая стоимость будущих доходов; r - ставка дисконта; n - число периодов. После дисконтирования полученных денежных потоков необходимо определить величину дохода от бизнеса в постпрогнозный период. При расчете необходимо учитывать, что остаточная стоимость представляет собой текущую стоимость денежного потока, получаемого после дискретного прогнозного периода и включает в себя стоимость всех денежных потоков для всех периодов, которые остаются за рамками последнего прогнозного года. Для расчета остаточной стоимости (реверсии) применяют три метода. · Метод оценки по стоимости чистых активов · Метод оценки по ликвидационной · Специалисты склоняются к расчету остаточной стоимости с помощью модели Гордона. Модель Гордона предполагает что: в остаточный период величина износа равна величине капитальных вложений, темпы роста в остаточный период стабильны. Расчет осуществляется путем деления денежного потока в остаточный (постпрогнозный) период на разность между ставкой дисконта и долгосрочными темпами роста или путем деления денежного потока последнего прогнозного периода, умноженного на темпы роста, увеличенные на единицу, на разность между ставкой дисконта и долгосрочными темпами роста.
где V - величина дохода в постпрогнозный период; D - денежный поток, который может быть получен в четвертом (постпрогнозном) году; r - ставка дисконтирования для собственного капитала; R - ожидаемые долгосрочные темпы роста денежного потока. Этап расчета ставки дисконта. Ставка дисконта - это ожидаемая ставка дохода на вложенный капитал в сопоставимые по уровню риска объекты инвестирования или, другими словами, ожидаемая ставка дохода по имеющимся альтернативным вариантам инвестиций с сопоставимым уровнем риска на дату оценки. При определении ставки дисконта следует учитывать, то что она рассматривается как нижний предельный уровень доходности вложений, при котором инвестор допускает возможность вложения своих средств в данную компанию, учитывая, что имеются альтернативные вложения, предполагающие получение дохода с той или иной степенью риска. При расчете номинальной безрисковой ставки можно пользоваться как средне европейскими показателями по безрисковым операциям, так и российским. Для повышения точности расчета, безрисковую составляющую ставки дисконта можно определять, исходя из котировок отечественных государственных ценных бумаг и исходя из среднеевропейских данных. В данном случае под риском понимается вероятность несоответствия ожидаемых результатов от вложений фактически полученным результатам, а так же вероятность потери собственности вследствие банкротства предприятия, политических и других чрезвычайных событий. Соответственно, чем выше риск, тем выше ставка доходности. Таким образом, ставка дисконта используется для определения суммы, которую заплатил бы инвестор сегодня (текущая стоимость) за право получения ожидаемых в будущем поступлений. Для расчета ставки дисконта используется несколько методик, наиболее предпочтительными из которых являются: - Модель оценки капитальных активов САМР; - Модель кумулятивного построения (суммирования); - Модель средневзвешенной стоимости капитал (для бездолгового денежного потока). Модель САМР основана на том, что инвестору необходим дополнительный доход, превышающий возможный доход от полностью застрахованных от риска ценных бумаг, таких как правительственные облигации. Дополнительный доход является компенсацией инвестору за инвестиции в рисковые активы. Модель служит для определения необходимой нормы дохода на основании трех компонентов: номинальной безрисковой ставки, средней доходности не ссудных операций в экономике и b –(коэффициент, измеряющий систематические риски (примерами систематических рисков могут служить появление излишнего числа конкурирующих объектов, введение и действие каких либо ограничений и т.п.)). Модель кумулятивного построения (суммирования) предполагает корректировку нормы дохода безрисковой ценной бумаги на премию за риск для данной компании. Премия за риск прибавляется к очищенной от риска норме доходности и рассчитывается на основе рисков, учитывающих размер и финансовую структуру компании, диверсификацию производства и клиентуры, качество управления и прочие риски. Модель средневзвешенной стоимости капитала предполагает расчет ставки дисконта на основании доли собственного капитала в финансировании (пассивах) предприятия, индивидуальная ставки дисконта, определенная по методу цены капитальных активов (по модели оценки капитальных активов) или по методу кумулятивного построения ставки дисконта, доли заемных средств, ставки дисконта на заемные средства (кредитная ставки по обязательствам компании), ставки налога на прибыль. Этап расчета стоимости бизнеса. После суммирования значений текущей стоимости будущих денежных потоков и остаточной стоимости получаем величину, представляющую собой величину стоимости предприятия, не включающую в себя стоимости избыточных активов, не принимающих участия в формировании денежного потока. Данные активы подлежат отдельной оценке, результат которой затем прибавляется к величине стоимости предприятия. Оцениваемая компания может иметь дефицит собственного оборотного капитала и обязательств, в этом случае так же необходимо произвести корректировку полученного результата. Метод дисконтирования денежных потоков может быть использован для оценки практически любого действующего предприятия, за исключением тех, которые находятся на стадии банкротства. Применение данного метода наиболее обосновано для оценки предприятий, имеющих определенную историю хозяйственной деятельности (желательно, прибыльной) и находящихся на стадии роста или стабильного экономического развития. Данный метод в меньшей степени применим к оценке предприятий, терпящих систематические убытки (хотя и отрицательная величина стоимости бизнеса может быть фактом для принятия управленческих решений). Метод Ольсона. Модель Ольсона (модель часто называют EBO – Edwards-Bell-Ohlson), представляет собой одну из наиболее перспективных современных разработок в теории оценки стоимости компании. Модель EBO позволяет выражать стоимость акционерного капитала через данные бухгалтерской отчетности, с учетом вносимых в нее корректировок, связанных с неадекватным отражением стоимости имущества предприятия. Согласно данной модели, стоимость компании выражается через текущую стоимость ее чистых активов и дисконтированный поток «сверхдоходов» (отклонений прибыли от «нормальной», т.е. средней по отрасли величины). Модель EBO, удачно интегрируя в себе преимущества затратного и доходного подходов, учитывает и стоимость зданий, машин и оборудования, оставшихся на предприятиях с советских времен (естественно, при условии определения их рыночной цены на момент оценки), и текущую стоимость «сверхприбылей» (убытков), тем самым, принимая во внимание те свойства, которые есть у предприятия как у системы, и отсутствуют у отдельных его составляющих. Выбор метода. При оценке стоимости предприятия доходным подходом применялся метод дисконтированных денежных потоков как наиболее точный метод. 5.2.4 внесение итоговых корректировокСледует отметить, что полученная в результате применения трех подходов стоимость бизнеса, выраженная через стоимость пакета акций (долей), дают оценку стоимости капитала на уровне контрольного пакета акций. В случае определения стоимости миноритарного пакета (неконтрольной доли) вычитается скидка на неконтрольный характер; для закрытого акционерного общества, общества с ограниченной ответственностью необходимо сделать скидку на недостаточную ликвидность. К итоговой величине стоимости предприятия, полученной в результате согласования, можно применять следующие корректировки: - размер оцениваемого пакета (доли) (мажоритарный или миноритарный), т.е. степень контроля (контрольный или неконтрольный пакет); - ликвидность Коэффициент контроля отражает степень влияния акционера на принятие открытым акционерным обществом решений в зависимости от доли принадлежащих ему акций этого акционерного общества. Степень контроля - одна из наиболее важных переменных, влияющих на величину стоимости акций. В большинстве случаев сумма стоимостей отдельных пакетов меньше стоимости всего предприятия. Компания, оцениваемая как единое целое, имеет иную стоимость, поскольку последняя сопряжена с иными правами и интересами, чем сумма всех интересов, взятых на миноритарной основе. Степень контроля учитывается введением скидок к полученной выше стоимости, которые зависят от величины оцениваемого пакета и от величины существующих консолидированных пакетов других акционеров. Скидка за неконтрольный характер пакета является производной от премии за контроль. Эта тенденция основана на эмпирических данных. Скидка (в %) за неконтрольный характер определяется следующим образом:
К настоящему времени проведены и опубликованы обширные исследования премий за обладание контрольным пакетом и соответственно скидок за отсутствие контрольных функций. Данные исследования проводятся в странах с развитой экономикой, поэтому опубликованные параметры нуждаются в уточнении при использовании их в расчётах по отечественным пакетам акций. В литературе встречаются ссылки на то, что премия за контроль может колебаться в очень широком диапазоне (20-50 %) (см, например, Фишмен Джейн, Пратт Шеннон, Гриффит Клиффорд, Уилсон Кейт. Руководство по оценке стоимости бизнеса. М: ЗАО «КВИНТО-КОНСАЛТИНГ», 2000, с. 281). В книге Шеннон П. Пратт «Оценка бизнеса» собраны данные по 30 фактическим продажам неконтрольных пакетов. Только 20% всех продаж были проведены со скидками меньшими 20%. Чуть больше половины продаж (53,3%) состоялось со скидками от 22% до 48% и 23,3% продаж – со скидками от 54,4 до 78%. В монографии «Оценка бизнеса» под редакцией Грязновой А.Г рекомендуются средние премии за контроль в пределах 30-40%, что соответствует значениям скидок от 20 до 30%. Как отмечалось выше, эти данные (включая отечественные публикации) основаны на исследованиях западного рынка, где права инвесторов распределяются пропорционально доле имеющихся у них во владении пакетов. Российская же практика показывает, что владелец контрольного пакета акций обладает преимуществом перед другими акционерами в значительно большей мере, чем в странах с развитой экономикой. Это объясняется рядом причин, среди которых можно назвать несовершенство бухгалтерского учёта, высокие налоги, вынуждающие предприятия занижать прибыль и отказываться от начислений дивидендов, недостаточная правовая защищённость акционеров и т.д. Также на рыночную стоимость пакета акций влияет его ликвидность. Ликвидность – это способность ценной бумаги быть быстро проданной и превращенной в денежные средства без существенных потерь для держателей. Исходя из этого, скидка за недостаточную ликвидность определяется как величина в процентах, на которую уменьшается стоимость оцениваемого пакета для отражения недостаточной ликвидности. Скидка за недостаточную ликвидность - абсолютная или относительная величина, на которую уменьшается стоимость объекта оценки, чтобы отразить его недостаточную ликвидность. Степень ликвидности акций тесно связана с организационно – правовой формой предприятия (ОАО, ЗАО). К открытым, с точки зрения оценки, предприятиям относятся акционерные общества открытого типа. Их в России большинство. Данная организационно-правовая форма принята в законодательном порядке в процессе приватизации государственных и муниципальных предприятий (для средних и крупных предприятий). Рекомендуемые в литературе значения скидок также варьируются в широких пределах. В исследовании Фишмена Д. отмечается, «что скидки на недостаточную ликвидность для акций закрытой компании сравнительно с их аналогами, торгуемыми на открытом рынке, должны быть в среднем 35-50%». Среднее значение скидки на ликвидность, приводимые в книге Шеннон П. Пратт составляют 42-60% (за период 1981-1993гг.). В книге Фрэнка Ч.Эванса и Дэвида М.Бишома «Оценка компаний при слияниях и поглощениях: создание стоимости в частных компания» - 5-15%. Для вычисления скидки на неликвидность анализируются такие характеристики оцениваемых акций как тип компании, наличие официальных котировок ценных бумаг, тип пакета акций, дивиденды по акциям, рентабельность предприятия. Важным также представляется определение величины, с которой делаются скидки. Скидка, связанная с неконтрольным пакетом акций, отражает отсутствие контроля за предприятием, и поэтому она делается (вычитается) из доли предприятия, пропорциональной оцениваемому пакету акций. Причем доля предприятия, из которой делается скидка, включает все права контроля. Скидка на неликвидность оцениваемого пакета отражает трудности его быстрой продажи. Базой, с которой вычитается эта скидка, является стоимость предприятия (или долевого участия, пропорционального оцениваемому пакету акций), обладающего высокой степенью ликвидности. Например, если неконтрольный пакет акций закрытого акционерного общества оценивается исходя из цен неконтрольного пакета акций открытого акционерного общества, акций которого продаются на фондовом рынке, то на стоимость акций закрытого общества делается скидка на неликвидность по сравнению с акциями открытого общества. Если неконтрольный пакет акций закрытого общества оценивается методом капитализации прибыли, скорректированной балансовой стоимости активов и другими методами (без сопоставления акций открытых акционерных обществ, акций которых продаются на фондовых биржах), и если коэффициенты капитализации (или мультипликаторы) при этом берутся применительно к контрольным пакетам открытых обществ, то скидки производятся как на неконтрольный пакет, так и на относительную неликвидность акций. И наоборот, если контрольный пакет закрытого общества оценивается исходя из ежедневных цен продаж акций открытых обществ, входящих в неконтрольные пакеты, то к расчетной стоимости оцениваемых акций прибавляется премия за контроль. Раздел 6. Определение рыночной стоимости объекта оценки6.1 Расчет стоимости затратным подходомРасчет стоимости бизнеса ЗАО «АЛИКОМ» по затратному подходу выполнен по методу чистых активов. При определении рыночной стоимости активов предприятия проводится стоимостный анализ всех статей баланса, имеющих ненулевой остаток на дату оценки. Дальнейшие расчеты выполнены в последовательности расположения разделов баланса. 6.1.1 КОРРЕКТИРОВКА СТАТьи «основныЕ средствА»На 31.12.07г. статья бухгалтерского баланса «Основные средства» имеет остаток 16 246 тыс. руб. Основные средства представлены: Таблица 12
Так как работа выполняется в учебных целях, далее приведен расчет части основныхсредств. Описание недвижимого имущества
Таблица 13
Описание строения
Определение стоимости земельного участкаСогласно Методическим рекомендациям Минимущества РФ, при оценке стоимости земельного участка используются следующие методы: метод сравнения продаж, метод выделения, метод распределения, метод остатка, метод капитализации земельной ренты, метод предполагаемого использования. На сравнительном подходе основаны метод сравнения продаж, метод выделения, метод распределения. На доходном подходе основаны метод капитализации земельной ренты, метод остатка, метод предполагаемого использования. Элементы затратного подхода в части расчета стоимости воспроизводства или замещения улучшений земельного участка используются в методе остатка и методе выделения. Для оценки земельных участков были использованы приведенные ниже подходы и методы. Метод выделения . Метод применяется для оценки застроенных земельных участков. Условия применения метода: - наличие информации о ценах сделок с едиными объектами недвижимости, аналогичными единому объекту недвижимости, включающему в себя оцениваемый земельный участок. При отсутствии информации о ценах сделок допускается использование цен предложения (спроса); - соответствие улучшений земельного участка его наиболее эффективному использованию. Метод предполагает следующую последовательность действий: - определение элементов, по которым осуществляется сравнение единого объекта недвижимости, включающего в себя оцениваемый земельный участок, с объектами - аналогами; - определение по каждому из элементов сравнения характера и степени отличий каждого аналога от единого объекта недвижимости, включающего в себя оцениваемый земельный участок; - определение по каждому из элементов сравнения корректировок цен аналогов, соответствующих характеру и степени отличий каждого аналога от единого объекта недвижимости, включающего в себя оцениваемый земельный участок; - корректировка по каждому из элементов сравнения цен каждого аналога, сглаживающая их отличия от единого объекта недвижимости, включающего в себя оцениваемый земельный участок; - расчет рыночной стоимости единого объекта недвижимости, включающего в себя оцениваемый земельный участок, путем обоснованного обобщения скорректированных цен аналогов; - расчет стоимости замещения или стоимости воспроизводства улучшений оцениваемого земельного участка; - расчет рыночной стоимости оцениваемого земельного участка путем вычитания из рыночной стоимости единого объекта недвижимости, включающего в себя оцениваемый земельный участок, стоимости замещения или стоимости воспроизводства улучшений земельного участка. Сумма затрат на создание улучшений земельного участка может определяться с использованием укрупненных и (или) элементных стоимостных показателей. Для расчета стоимости земельного участка методом выделения были подобраны объекты – производственные здания, расположенные в Железнодорожном районе г.Самары в одной ценовой зоне в непоосредственной близости с объектом оценки. В результате расчетов стоимость земельного участка площадью 4550 кв.м, определенного методом выделения, составляет: 12 535 027 рублей Определение стоимости улучшенийОпределение стоимости улучшений производится по следующему алгоритму:
где: - Стул.. – стоимость объекта; - ПВС – стоимость строительства объекта в текущих ценах на СМР и строительные материалы; - Изфиз. – физический износ объекта; - Изфунк . – функциональный (моральный) износ объекта; - Извэв – снижение стоимости под действием внешнего экономического влияния. Определение суммы затрат на создание улучшений земельного участка практически реализуется в следующих методиках: - метод сравнительной стоимости единицы имущества - оценка на основе использования единичных скорректированных укрупненных показателей затрат на создание аналогичного имущества; - метод стоимости укрупненных элементов - оценка имущества на основе суммы стоимости создания его основных элементов; - метод количественного анализа - оценка имущества на основе полной сметы затрат на его воспроизводство. К укрупненным стоимостным показателям относятся как показатели, характеризующие параметры объекта в целом – квадратный, кубический, погонный метр, так и показатели по комплексам и видам работ. Проанализировав исходные данные по строительным расценкам на СМР, необходимую точность результата оценки и предполагаемый вклад затратного подхода в стоимость исследуемого объекта, Оценщики приняли решение применить при расчете полной восстановительной стоимости метод стоимости укрупненных элементов. При определении стоимости строительства необходимо учесть конструктивные особенности объекта (отсутствие, наличие дополнительных элементов, улучшенное выполнение некоторых элементов и т.д.), а также косвенные затраты на строительно-монтажные работы и на устройство внешних коммуникаций. Все указанные затраты рассчитываются согласно правилам, действующим при составлении сводного сметного расчета. При определении суммы затрат на создание строений следует учитывать прибыль инвестора - величину наиболее вероятного вознаграждения за инвестирование капитала в создание улучшений земельного участка. Прибыль инвестора может быть рассчитана как отдача на капитал при его наиболее вероятном аналогичном по уровню рисков инвестировании. Для определения стоимости воспроизводства улучшений, находящихся на земельном участке, использовался сборник укрупненных показателей восстановительной стоимости (УПВС № 6, таблица 50) в ценах 1969 г с последующим применением коэффициента перехода в ц.1984 г.(К=1,17), с пересчетом в базовые цены 1991г. по Письму Госстроя РСФСР от 24.09.90г. № 15-148/6 и № 15-149/6 (К= 1,57) и проиндексированной на дату оценки с использованием индекса, рассчитанного Центром ценообразования в строительстве на ноябрь 2007 года (49,559). Прибыль предпринимателя составляет 12,66%. Все ценовые показатели в сводном сметном расчете приведены в рублях на 1 м2 общей площади основного строения. Износ . Следующей процедурой затратного подхода является определение накопленного износа. Износ определяется, как снижение стоимости объекта вследствие воздействия различных факторов, полученное объектом на дату оценки. Имущество подвержено влиянию трех основных видов износа: физическому, функциональному (моральному) и экономическому износу (влиянию внешних экономических воздействий). Накопленный износ улучшений определяется в долевом или в денежном выражении как сумма физического, функционального и части экономического износа, относящегося к улучшениям. Износ может быть устранимым и неустранимым. Износ является устранимым, если затраты на его устранение меньше, чем увеличение стоимости объекта недвижимости в результате его устранения. Физический износ – потеря стоимости улучшений, обусловленная ухудшением их физических свойств. Является результатом нормального временного износа в процессе эксплуатации, разрушения или конструктивных дефектов элементов конструкции и систем объекта. Данный износ может быть устранимым и неустранимым. Общий физический износ объекта рассчитывается как сумма устранимого и неустранимого износов. Расчет физического износа выполнен методом разбивки (поэлементно). Устранимый физический износ (отложенный ремонт) по оцениваемому объекту определяется в соответствии с Правилами оценки физического износа зданий ВСН 53-86. Неустранимый физический износ определяется отдельно для короткоживущих и долгоживущих элементов. Для короткоживущих элементов величина износа рассчитана исходя из нормативных сроков эксплуатации каждого элемента и его фактического срока службы, который может не совпадать со фактическим сроком службы оцениваемого объекта, так как короткоживущие элементы могут неоднократно обновляться в течение срока жизни объекта недвижимости. Для комплекса долгоживущих элементов износ определяется соотношением фактического срока службы всего объекта к нормативному. Базой для расчета этого вида износа является полная восстановительная стоимость объекта за вычетом устранимого физического износа. В случае, если фактический возраст превышает нормативный срок службы, определяется (экспертно) предполагаемый срок оставшейся жизни объекта, и износ объекта определяется следующей зависимостью:
где: Тф - фактический срок эксплуатации объекта; То – оставшийся срок эксплуатации объекта. Функциональный износ. В специальной литературе определяется, также, как моральный износ. Является потерей в стоимости, обусловленной несоответствием объемно-планировочного решения, строительных материалов и инженерного оборудования улучшений, качества произведенных строительных работ или других характеристик улучшений современным рыночным требованиям, предъявляемым к данному типу улучшений. Функциональный износ также подразделяется на устранимый и неустранимый, в зависимости от того, как сумма затрат на его устранение соотносится с ожидаемыми от этого выгодами. Устранимый функциональный износ объекта можно определить, как сумму затрат, необходимых для модернизации тех или иных систем и элементов объекта, и оценивается по трем группам факторов, обусловленных: - недостаточностью отдельных элементов здания или их качественных характеристик; - потребностями в замене или модернизации элементов; - переизбытком отдельных элементов, так называемых «сверхулучшений». Во всех случаях устранимый функциональный износ оценивается по стоимости его ликвидации. Неустранимый функциональный износ рассчитывается исходя из анализа наличия недостатков проектирования конструкции и морального устаревания элементов и систем, приводящих к потере чистого дохода от эксплуатации объекта, и измеряется величиной капитализированной стоимости этих потерь. Величина потерь чистого дохода, на практике, устанавливается из рыночных сравнений арендной платы за объекты, имеющие соответствующие элементы улучшений и не обладающие ими. Экономическим износом является потеря стоимости единого объекта недвижимости, обусловленная отрицательным воздействием внешних по отношению к нему факторов. Экономическое устаревание может быть вызвано как макроэкономическими, так и внутриотраслевыми изменениями, в том числе изменениями социальных стандартов общества, законодательных и финансовых условий, демографической ситуации, градостроительных решений, экологической обстановки и других качественных параметров. Численно величина износа внешнего воздействия рассчитывается двумя способами: как капитализированные потери доходов из-за внешнего воздействия, или как потери в стоимости объекта в результате конкретных воздействий, рассчитанные на основании анализа реальных рыночных данных по сделкам. В результате расчетов (Приложение 1) стоимость воспроизводства объекта (с учетом износов) составляет: 12 60 8 227 рублей Расчет итогового значения стоимости недвижимости. Стоимость недвижимого имущества, полученная затратным подходом, определяется путем суммирования стоимости здания и стоимости местоположения. Таким образом, стоимость объекта недвижимости, рассчитанная затратным подходом с учетом стоимости земельного участка, составляет: Таблица 14
Определение стоимости недвижимого имущества сравнительным подходомОценка стоимости объекта оценки с применением методов сравнительного подхода проводится путем сравнения (сопоставления) объекта оценки с аналогичными объектами, в отношении которых имеется информация о ценах сделок с ними (или публичных оферт). Проводимое оценщиком сравнение должно быть обоснованным, в том числе должно обеспечивать достоверность выводов, основанных на результатах сравнения. Поскольку объективно не существует двух абсолютно одинаковых объектов собственности по всем рассматриваемым параметрам (экономическим, физическим, правовым и т. д.), то возникает необходимость соответствующей корректировки цен продажи сравнимых объектов, которая может давать как положительную, так и отрицательную динамику. Корректировки должны быть проведены по всем элементам сравнения, различия по которым существуют между оцениваемым объектом и объектом сравнения: - права собственности на объекты; - условия финансирования сделок; - условия и время продажи аналогов; - местоположение объектов; - физические и технико-экономические характеристики объектов. В общем виде модель расчетной рыночной стоимости оцениваемого объекта собственности Ср принимает следующую форму: Ср =Ц i + Ki , где: Ц i , — цена продажи i-го сравнимого объекта; К i , величина корректировки цены продажи i-го сравнимого объекта. Практическое применение метода сравнения продаж возможно при наличии развитого рассматриваемого рынка собственности, и, наоборот, при отсутствии такого рынка либо его недостаточной развитости, а также, если оцениваемый объект является специализированным либо обладает исключительными экономическими выгодами и обременениями, не отражающими общее состояние рынка, применение этого метода нецелесообразно. Реализация метода сравнения продаж предполагает такую последовательность этапов: • анализ рыночной ситуации по объектам имущества рассматриваемого и выбор информационного массива для реализации последующих этапов; • определение единиц сравнения и показателей (элементов сравнения), существенно влияющих на стоимость рассматриваемого объекта оценки; • разработка модели, которая связывает единицы сравнения с показателями (элементами) сравнения; • применение модели к объектам сравнения для расчета скорректированных цен продаж объектов сравнения; • анализ скорректированных цен продаж объектов сравнения для определения стоимости оцениваемого объекта. На основании имеющихся данных необходимо выбрать метод корректировки показателей. Различают две группы методов расчета корректировок: - количественные - качественные. Отличаются эти группы соотношением количества ценообразующих факторов и количества аналогов, используемых для оценки. Если количество аналогов k больше или равно количеству ценообразующих факторов n, увеличенному на единицу (k ³ n + 1), то для оценки используются методы первой группы: - парных продаж (независимый метод парных сравнений, кумулятивный метод парных сравнений); - статистический анализ. Если количество аналогов k меньше количества ценообразующих факторов n, увеличенного на единицу (k < n + 1), то для оценки используются методы второй группы: - относительный сравнительный анализ; - экспертные оценки (метод нормировки, метод иерархий). Для расчетов стоимости объекта сравнительным подходом были использованы метод иерархий. Метод иерархий. Структурирование проблемы согласования результатов в виде иерархии.
где, • верхний уровень - цель (например, определение рыночной стоимости); • промежуточный уровень - критерии согласования: Например, для оценки результатов, полученных различными методами оценки рыночной стоимости, возможно применение следующих критериев: А) возможность отразить действительные намерения потенциального инвестора и продавца; Б) тип, качество, обширность, данных, на основе которых проводится анализ; В) способность параметров используемых методов учитывать конъюнктурные колебания; Г) способность учитывать специфические особенности объекта, влияющие на его стоимость (местонахождение, размер, потенциальная доходность). • нижний уровень - набор альтернатив (например, результаты, полученные различными методами оценки). Строится матрица сравнения и рассчитываются значения весов критериев. Попарно сравниваются критерии по отношению к их воздействию на общую для них цель. Система парных сравнений приводит к результату, который может быть представлен в виде обратно симметричной матрицы. Элементом матрицы а (1, j) является интенсивность проявления элемента иерархии 1 относительно элемента иерархии j, оцениваемая по шкале интенсивности от 1 до 9, где балльные оценки имеют следующий смысл: 1 - равная важность; 3 - умеренное превосходство одного над другим; 5 - существенное превосходство; 7 - значительное превосходство; 9 - очень сильное превосходство; 2, 4, 6, 8 - промежуточные значения. Если при сравнении одного фактора 1 с другим j получено а (j, 1) = Ь, то при сравнении второго фактора с первым получаем а (j, 1) = 1/Ь. Локальные приоритеты перемножаются на приоритет соответствующего критерия на вышестоящем уровне (иными словами, определяется среднее геометрическое) и суммируются по каждому элементу в соответствии с критериями, на которые воздействует элемент. Итоговый результат по каждому аналогу равен сумме произведений весов альтернатив на соответствующие величины альтернатив. Для определения стоимости объекта необходимо провести определение стоимости единицы весового коэффициента аналога путем деления стоимости аналога на его вес, затем вычисляется среднее значение стоимости единиц весов аналогов, и данная величина умножается на весовой коэффициент объекта. Для расчета объектов оценки сравнительным подходом были подобраны объекты – аналоги, наиболее подходящие по своему назначению, местоположению и состоянию к объекту оценки: Стоимость объекта оценки, полученная в рамках сравнительного подхода, составляет: 26 819 174 рубля Определение стоимости недвижимого имущества доходным подходомДоходный подход к оценке отражает мотивацию типичного инвестора приносящего прибыль имущества: ожидания будущих доходов с требуемыми характеристиками. Учитывая, что существует непосредственная связь между размером инвестиций и выгодами от коммерческой эксплуатации объекта инвестиций, стоимость имущества определяется как стоимость прав на получение приносимых им доходов. Эта стоимость трактуется как текущая стоимость будущих доходов, генерируемых оцениваемым активом. При реализации доходного подхода к оценке имущества применяются два базовых метода: метод прямой капитализации и метод дисконтирования денежных потоков. На основе анализа имеющихся данных о доходности объекта оценки, было принято решение о применении в рамках доходного подхода метода капитализации дохода и метод дисконтирования денежных потоков. Метод прямой капитализации - способ оценки имущества при сохранении стабильных условий использования имущества, постоянной или равномерно растущей величине дохода, отсутствии первоначальных инвестиций и одновременном учете возврата капитала и дохода на капитал. Коэффициент капитализации определяется из данных рынка путем выявления взаимосвязи между чистым годовым операционным доходом от эксплуатации объектов и их рыночной стоимостью. В основе метода анализа дохода лежит финансовая формула, приводящая доходы по оцениваемому объекту к их текущей стоимости.
где: - PV - текущая стоимость объекта; - I - чистый операционный доход от эксплуатации объекта; - R - коэффициент капитализации; Коэффициент капитализации может рассчитываться по аналогичным проектам исходя из рыночных данных, при этом он является по своей сути мультипликатором, определяющим отношение чистого операционного дохода от эксплуатации объекта к его рыночной стоимости, либо методом наращивания на основании безрисковой ставки и премии за риск в инвестирование аналогичных объектов. Для расчета коэффициента капитализации была подобрана информация о предложении аренды и продажи аналогичных объектов недвижимости, наиболее подходящие по своему назначению, местоположению и состоянию к объектам оценки. (Расчеты приведены в Приложении 1) Стоимость, полученная методом прямой капитализации составляет: 26 785 836 руб. Метод дисконтирования денежных потоков - способ оценки имущества при произвольно изменяющихся и неравномерно поступающих денежных потоках с учетом различной степени риска, связанного с использованием имущества. В качестве базы для расчета прогнозируемого дохода принимается рентный доход, получаемый не от прямых финансовых операций, проводимых владельцами имущественного комплекса и зависящих не от класса объекта, но от квалификации руководства организации - владельца, а от гипотетической сдачи в аренду данного объекта по реальной рыночной ставке, являющейся наиболее точным отражением влияния рыночных факторов на стоимость данного объекта. Основная расчетная формула метода имеет следующий вид:
где: - PV – текущая стоимость объекта; - С k – денежный поток периода k (поток последнего периода включает реверсию); - ij – норма дисконтирования денежного потока периода j. Ставка дисконта — это ожидаемая ставка дохода на вложенный капитал в сопоставимые по уровню риска объекты инвестирования на дату оценки. В теории инвестиционного анализа предполагается, что ставка дисконтирования включает в себя минимально гарантированный уровень доходности (не зависящий от вида инвестиционных вложений), темпы инфляции и коэффициент, учитывающий степень риска и другие специфические особенности конкретного инвестирования (риск данного вида инвестирования, риск неадекватного управления инвестициями, риск неликвидности данного инвестирования). В настоящем отчете ставки дисконтирования принята ставке внутренней доходности от вложения средств в коммерческую недвижимость офисного назначения. Для определения ставки доходности, Оценщиком были проанализированы величины стоимости продажи и аренды 1 кв.м. недвижимости офисного назначения, расположенной в Самарском районе за период с 2003 года по 2007 год. По ретроспективным данным был построен прогноз измененеия стоимости аренды и продажи 1 кв.м. недвижимости офисного назначения в прогнозируемых периодах. Затем с использованием функции Excel(MS) ВСД (внутренняя ставка доходности) была получена ставка дисконтирования. 1. Динамика изменения величины стоимости 1 кв.м. (продажа и аренда) по ретроспективным данным: Таблица 15
График динамики стоимости продажи и аренды
Наиболее высокий коэффициент детерминации, как показатель статистической достоверности модели, был получен для полиномиальнойй функции. По полученным уравнениям регрессии рассчитаем прогнозируемую стоимость продажи и аренды 1 кв.м. недвижимости производственно-складского назначения. Таблица 16
Величина ставки дисконта была определена с использованием метода анализа рисков исоставила 20,94%.(расчет ставки дисконтирования приведен в Приложении 1) . Для расчета стоимости реверсии используется метод прямой капитализации. Рассчитаем по прогнозным данным величины стоимости продажи и аренды недвижимости производственно-складского назначения с учетом коэффициента капитализации для определения величины реверсии в постпрогнозном периоде. Таблица 17
Доходы в прогнозируемый период . Величина среднерыночной арендной платы на начало 2008 года будет составлять в среднем для офисных помещений – 732 рубля за 1 кв.м.. В следующие прогнозные периоды ожидается повышение арендной ставки, в соответствии с изменениями на рынке недвижимости аналогичного назначения. Таким образом, Оценщиком для расчета величины будущих денежных потоков принята начальная стоимость арендных платежей в месяц на 2008 год, в следующие прогнозные периоды ставка будет увеличиваться в соответствии с темпом роста недвижимости рассматриваемого сегмента рынка коммерческой недвижимости, рассчитанным выше. Расходы в прогнозируемый период. Расходы в следующие прогнозируемые периоды будут составлять текущие постоянные и переменные затраты, приходящиеся на долю Собственника при сдаче помещений в аренду. По данным статьям так же был составлен прогноз. Таблица 18
Стоимость, полученная методом дисконтирования денежных потоков, составляет: 24 605 905 руб. Согласование результатов расчетов доходным подходом
Таким образом, стоимость объекта оценки в доходном подходе, составляет 25 477 877 руб. Согласование результатов расчета стоимости недвижимого имущества
Таким образом, рыночная стоимость объекта недвижимости, по состоянию на дату оценки, составляет, округленно: 25 899 000рублей Без НДС – 21 237 000 рублей Описание оборудования
Оборудование китайского производства поставлено в Россию и введено в эксплуатацию в 2004, 2005, 2006 и 2007 годах, предназначено для производства полиэтиленовой пленки (ПВД и ПНД), а также для производства пакетов фасовочных, типа «майка» и с прорубной ручкой с рисунком и без. В результате проведенного осмотра установлено, что представленное к оценке оборудование находится в хорошем работоспособном состоянии и используется по назначению. Определение стоимости оборудования затратным подходомОпределяем рыночную стоимость экструдера для производства полиэтиленовой пленки, и вывести коэффициент соотношения рыночной стоимости и имеющейся балансовой, который будет использован для расчета рыночной стоимости остальных составляющих оцениваемого оборудования. Общая модель затратного подхода при оценке оборудования выглядит следующим образом: РС = (ПВC + ДЗ) * (1 – ИФИЗ ) (1 – ИФУН ) (1 – ИЭ ) , где: - РС – рыночная стоимость оборудования согласно затратному подходу; - ПВС – полная восстановительная стоимость оборудования; - ИФИЗ – физический износ; - ИФУН – функциональный износ; - ИЭ – экономический (внешний) износ. - ДЗ – дополнительные затраты, такие как устройство фундаментов под оборудованием, монтаж, наладка и т.д. Расчет полной восстановительной стоимости . Для расчета на дату оценки к их первоначальной (балансовой) стоимости применялся коэффициент удорожания. Восстановительная стоимость вычислялась путем умножения первоначальной (балансовой) стоимости на данный индекс в текущие цены, с корректировкой на сумму НДС (18%). Коэффициент удорожания – коэффициент, показывающий величину изменения уровня цен, произошедшую со дня приобретения оборудования на дату оценки. Коэффициент удорожания рассчитывался с использованием информации об индексах цен, опубликованных в межрегиональном информационно-аналитическом бюллетене «Индексы цен в строительстве» (Ко-Инвест) за 2002-2006 годы, с последующим их прогнозом на дату оценки и постпрогнозный период. Расчет коэффициента удорожания представлен ниже: Таблица 21
График 1. Прогноз изменения индекса цен на дату оценки Коэффициент удорожания рассчитывается как отношение полученного значения индекса цен на «дата оценки» на полученное значение индекса цен на «дата договора»: Таблица 22
Заказчиком предоставлен контракт на поставку выдувного экструдера № Т-30861/3 от 20.10.2003 г. Стоимость оборудования по контракту составила 2 433 871 руб., условия поставки: оборудование поставляется из-за границы в московскую фирму «ХХХ», далее - до г.Самара. Цена, указанная в коммерческом предложении, включает стоимость таможенных услуг и монтажа, не учитывает доставку, НДС. Поскольку эти условия отсутствуют, проводилась корректировка на доставку и сумму НДС – 18%. Таблица 23
Таким образом, полная восстановительная стоимость однослойного выдувного экструдера Cheer Young HPE-65 (Китай) составляет 3 890 191 руб. Износ . Следующей процедурой затратного подхода является определение накопленного износа. Износ определяется, как снижение стоимости объекта вследствие воздействия различных факторов, полученное объектом на дату оценки. Имущество подвержено влиянию трех основных видов износа: физическому, функциональному (моральному) и экономическому износу (влиянию внешних экономических воздействий): * физический износ - обусловлен частичной или полной потерей работоспособного состояния оборудования вследствие его эксплуатации или длительного хранения; * функциональное устаревание - является влиянием технического или технологического прогресса, вследствие чего могут возрасти капитальные или эксплуатационные затраты, ухудшиться технические характеристики, устареть технологии и материалы. Все это снижает привлекательность старой техники и приводит к ее обесцениванию; * экономическое устаревание - появляется из-за внешних по отношению к объекту оценки причин и приводит к снижению уровня доходов, приносимых оборудованием владельцу. Износ может быть устранимым и неустранимым. Износ является устранимым, если затраты на его устранение меньше, чем увеличение стоимости объекта недвижимости в результате его устранения. Физический износ. Физическим износом машин и оборудования называется изменение размеров, формы или состояния поверхностей, физико-механических, химических, электротехнических свойств материалов в процессе эксплуатации, аварии или длительного хранения. Физический износ вызывает частичную или полную потерю работоспособности объекта или его привлекательности и, как следствие, означает частичную или полную потерю стоимости объекта. Для определения величины физического износа пользуются следующими методами: · Метод эффективного возраста; · Метод экспертизы состояния; · Метод снижения доходности; · Метод стадии ремонтного цикла; · Метод поэлементного расчета; · Прямой метод. В соответствии имеющимися в распоряжении оценщика сведениями об объекте оценки, были применены следующие методы расчета физического износа. 1 . Метод нормативного срока службы Величина износа приравнивается к величине амортизационных отчислений, умноженной на срок эксплуатации: С = ПВС*(1-НАО/100*Дэ), где: С – величина стоимости; ПВС - восстановительная стоимость аналога; НАО * - норма амортизационных отчислений, %; Дэ - длительность эксплуатации, лет. Стоимость оборудования методом нормативного срока службы составляет 2 706 571 руб. 2. Метод экспертного анализа физического состояния Для расчета износа применяются следующие показатели: состояние, внешний товарный вид. Состояние, в зависимости от категории, дает следующие проценты износа: С = ПВС*(1-ЭО/100), где: С – величина стоимости; ПВС - восстановительная стоимость аналога; ЭО – экспертная оценка Шкала экспертных оценок определения коэффициента износа
В нашем случае, в результате осмотра и консультаций со специалистами Заказчика, физический износ объекта оценки принимается в размере 30%. Стоимость оборудования методом экспертного анализа физического состояния составляет 2 723 134 руб. Функциональный износ. В специальной литературе определяется, также как моральный износ. Является потерей в стоимости, вызванной появлением новых технологий, материалов, конструкций и эксплуатационных характеристик объектов. Функциональный износ также подразделяется на устранимый и неустранимый в зависимости от того, как сумма затрат на его устранение соотносится с ожидаемыми от этого выгодами. Обычно рассматриваются две стороны возможного отличия новой техники от старой или две категории функционального устаревания: избыток капитальных затрат и избыток производственных затрат. Функциональное устаревание, обусловленное избытком капитальных затрат, представляет собой результат технологических изменений при производстве, или удорожание производимого объекта вследствие несбалансированности производственного процесса. Такой вид функционального устаревания определяется как технологический. Другая сторона функционального устаревания связана с различием в эксплуатационных расходах и часто называется операционным устареванием. В результате вышеизложенного, любое отличие нового объекта от старого, вызывающее уменьшение привлекательности старого объекта, приводит к его обесценению и, следовательно, к функциональному устареванию объекта. После тщательного анализа всех имеющихся сведений и данных, не удалось обнаружить факторов, позволяющих корректно рассчитать величину функционального износа оцениваемого объекта. В связи с этим, делается заключение, что величина функционального износа у оцениваемого объекта предполагается равной нулю. Износ внешнего экономического воздействия. Это потеря стоимости, обусловленная влиянием внешних факторов. Экономическое устаревание может быть вызвано как макроэкономическими, так и внутриотраслевыми изменениями, в том числе изменениями социальных стандартов общества, законодательных и финансовых условий, демографической ситуации, экологической обстановки и других качественных параметров. Оценщиками не было выявлено факторов, позволяющих корректно рассчитать величину внешнего износа объекта. Поэтому предполагается, что величина внешнего экономического износа оцениваемого имущественного комплекса равна нулю. Величина стоимости по затратному подходу находилась путем взвешивания результатов, полученных двумя методами. 1-й метод является ретроспективным, который основан на применении единых норм амортизационных отчислений, дает результат расчетный, получаемый при снижении восстановительной стоимости по линейному закону. При этом метод не учитывает детально техническое состояние объектов оценки и период их фактического (наиболее интенсивного) использования, период консервации. Как показывает практика, не редко уже с амортизированное оборудование находится еще долгое время в работоспособном состоянии. В этом случае фактический срок эксплуатации превышает нормативный, и расчет износа этого оборудования данным методом будет не корректным. Возможен также обратный случай, когда срок реального использования оборудования значительно меньше нормативного, но в результате неправильной эксплуатации или по каким либо другим причинам оборудование находится в неисправном состоянии. В таком случае рассматриваемый метод также даст не корректный результат, но уже в сторону неоправданного уменьшения износа. Поэтому, методу присвоен весовой коэффициент 0,5. Методу по экспертной оценке придается весовой коэффициент – 0,5 , так как он достаточно хорошо отражает полученную стоимость в результате расчетов, в связи с тем, что этот метод не зависит от срока и интенсивности эксплуатации оборудования, а напрямую учитывает текущее техническое состояние представленного к оценке имущества. Согласование результатов расчетов затратным подходом
Основываясь на проведенной технической экспертизе оцениваемого объекта и в результате расчетов, проведенных с учетом анализа восстановительной стоимости и всех видов накопленного износа, рыночная стоимость оцениваемого оборудования по затратному подходу составляет на дату оценки : 2 714 852 руб. Определение стоимости оборудования сравнительным подходомПрактическое применение метода сравнения продаж возможно при наличии развитого рассматриваемого рынка собственности, и, наоборот, при отсутствии такого рынка либо его недостаточной развитости, а также, если оцениваемый объект является специализированным либо обладает исключительными экономическими выгодами и обременениями, не отражающими общее состояние рынка, применение этого метода нецелесообразно. Тем не менее, в результате анализа вторичного рынка оценщику удалось обнаружить несколько аналогов оцениваемого оборудования. Оценщиком было принято решение в рамках сравнительного подхода воспользоваться правилом золотого сечения, при котором определяется пропорция между стоимостью объекта и потребительскими характеристиками. Условия применения данного метода: нахождение аналогов, близких к объекту оценки, для которых известна полная восстановительная стоимость. Для расчетов мы вводим коэффициент остаточной стоимости Кост , который выражается отношением стоимости аналога , бывшего в употреблении) к ПВС: К ост = С/ПВС Суть правила золотого сечения – найти зависимость коэффициента остаточной стоимости от ценообразующих факторов. В большинстве случаев в качестве параметра используется год выпуска или срок эксплуатации: К ост = F (Т эк) где: Кост , — коэффициент остаточной стоимости; F – функция Стоимость объекта оценки определяется по формуле: С = ПВС* К ост При расчете рыночной стоимости оборудования сравнительным подходом применен статистический метод, основанный на количественной оценке каждого параметра, существенно влияющего на стоимость объекта. При однофакторном регрессионном анализе рассматривается зависимость переменной – стоимости единицы сравнения – от одной независимой (контролируемой) переменной. Значения остальных независимых переменных считаются фиксированными. Однофакторный регрессионный анализ по четырем моделям: линейной, степенной, логарифмической, экспоненциальной или полиномиальной может быть реализован в различных моделях финансовых калькуляторов и компьютерных электронных таблицах (например, MS “Excel”). В качестве независимой переменной X обычно используется показатель «год выпуска», за зависимую переменную Y принимается показатель «стоимость объекта». Показателем достоверности аппроксимации является квадрат коэффициента корреляции Пирсона – безразмерный индекс в интервале от 0 до 1,0 включительно, который отражает степень зависимости между двумя множествами данных и определяется по формуле:
Результатом статистического анализа является зависимость величины мультипликатора стоимости от срока эксплуатации оборудования
Произведенный регрессионный анализ показал, что наиболее точно можно описать зависимость величины мультипликатора стоимости от срока эксплуатации оборудования с помощью экспоненциальной модели. Используя полученную зависимость, можно получить рыночную стоимость представленного к оценке оборудования. Для этого достаточно умножить восстановительную стоимость оцениваемого оборудования на значение мультипликатора стоимости (значение функции), соответствующее году выпуска представленного к оценке имущества. Информация по аналогам получена по сети Интернет на период соответствующий дате оценки и находится. Таким образом, стоимость однослойного выдувного экструдера Cheer Young HPE-65, полученная в рамках сравнительного подхода, составляет 2 807 647 руб. Определение стоиомости оборудования доходным подходомДоходный подход к оценке отражает мотивацию типичного инвестора приносящего прибыль имущества: ожидания будущих доходов с требуемыми характеристиками. Учитывая, что существует непосредственная связь между размером инвестиций и выгодами от коммерческой эксплуатации объекта инвестиций, стоимость имущества определяется как стоимость прав на получение приносимых им доходов. Эта стоимость трактуется как текущая стоимость будущих доходов, генерируемых оцениваемым активом. Оценщики приняли решение об отказе от применения доходного подхода исходя из следущего: 1. Оценщики не располагали на дату оценки информацией об арендных ставках или фактах сдачи в аренду аналогичного имущества. 2. Доход, приходящийся на оцениваемое имущество, в значительной мере зависит от квалификации персонала, менеджмента, от месторасположения предприятия и т.д., то есть от ряда внешних факторов, а не от характеристик самого имущества. Согласование результатов расчета стоимости оборудования
Стоимость экструдера составляет 2 766 000 рублей Основываясь на проведенной финансово-технической экспертизе всего оцениваемого оборудования полиэтиленового цеха и в результате расчетов, проведенных с учетом анализа восстановительной стоимости и всех видов накопленного износа имущества, рынка продаж объектов данного класса, экономической эффективности эксплуатации оцениваемого имущества и применив коэффициент пересчета балансовой стоимости в рыночную., Оценщики пришли к заключению, что рыночная стоимость представленного к оценке оборудования по состоянию на дату оценки, составляет: 11 145 000 рублей Таблица 27
Описание автотранспорта
Определение стоимости автотранспорта затратным подходомЗатратный подход реализован в двух методиках, рекомендуемых к использованию. 1) Методическое руководство «РД37.00.9.015-98» с приложениями 1-3 2) Методика Государственного научно исследовательского института автомобильного транспорта Р-03112194-0376-98. Согласно методическим материалам «Методическое руководство по определению стоимости автотранспортных средств с учетом естественного износа и технического состояния на момент предъявления» РД 37.009.015-98 с изменениями №1, №2, №3, рекомендуется придерживаться следующей технологической последовательности: 1) рассчитывается цена нового транспортного средства с учетом фактической комплектации (Цр) 2) рассчитывается процент износа транспортного средства, исходя из фактического срока службы и пробега фактического на день осмотра ( Итр) по формуле: Итр = Дф* Нам где: Пф – пробег автомобиля фактический на дату оценки Дф - фактический срок эксплуатации Нам – нормы амортизационных отчислений. 3) рассчитывается стоимость транспортного средства с учетом утраченной стоимости вследствие естественного износа (Сиз): Сиз = Цр*(1-Итр/100) 4) полученная стоимость корректируется при наличии эксплуатационных дефектов (на величину сметной стоимости устранения дефектов). Разработка Государственного научно исследовательского института автомобильного транспорта Р-03112194-0376-98 предусматривает расчёт стоимости автомобиля с применением закона экспоненциального уменьшения стоимости в зависимости от длительности эксплуатации и фактического пробега: Итр = 100*(1-е^-(Дэ*X+Пр/1000*Y)). Итоговой процедурой является согласование результатов расчетов, полученных по различным методикам затратного подхода. Исходя из имеющейся в распоряжении оценщика ценовой информации расчет полной стоимости воспроизводства проводился методом подбора полного аналога, т.е. в качестве полной стоимости воспроизводства была принята цена на объект, полностью идентичный объекту оценки. Таблица 29
У оценщика нет оснований считать, что какой-то из методов дает более достоверный результат, потому он присвоил обоим методам одинаковый вес. Согласование результатов расчета затратным подходом
Стоимость автомобиля, полученная в затратном подходе, составляет 206 503 рубля Определение стоимости автотранспорта сравнительным подходомИсходя из сложившейся ситуации на вторичном рынке, где в достаточном количестве представлены аналоги объекта оценки со схожей комплектацией и техническим состоянием, оценщик принял решение использовать метод статистического анализа: Для расчета стоимости автомобиля в рамках метода статистического анализа использован двухфакторный регрессионный анализ сравнения продаж, который представляет собой метод статистической обработки данных по стоимостям автомобилей в зависимости от их года выпуска и фактического пробега. Основной задачей регрессионного анализа является отыскание коэффициентов функции (параметров модели), которые определяют значимость (вес) каждого фактора при расчете значения зависимой переменной. При однофакторном регрессионном анализе рассматривается зависимость переменной – стоимости единицы сравнения – от независимой переменной. Значения остальных независимых переменных считаются фиксированными. Однофакторный регрессионный анализ реализован в компьютерных электронных таблицах (например, MS “Excel”). В качестве независимых переменных X обычно используется показатель «год выпуска», за зависимую переменную Y принимается показатель «стоимость объекта». В регрессионном анализе вычисляется логарифмическая кривая, Уравнение кривой имеет вид: y = 0,95e-0,0598x
Таблица 31
Стоимость автомобиля, полученная в рамках сравнительного подхода, составляет: 244 583 рубля Определение стоимости автотранспорта доходным подходомОценщики приняли решение об отказе от применения доходного подхода исходя из следущего: Оценщики не располагали на дату оценки информацией об арендных ставках или фактах сдачи в аренду аналогичного имущества. Доход, приходящийся на оцениваемое имущество, в значительной мере зависит от квалификации персонала, менеджмента, от месторасположения предприятия и т.д., то есть от ряда внешних факторов, а не от характеристик самого имущества. Заказчиком не представлены данные об экономической эффективности использования в хозяйственной деятельности представленного к оценке имущества. Выделить доход, приходящийся на оцениваемое имущество, не представляется возможным ввиду отсутствия данных по остальному, не представленному к оценке, имуществу, входящему в состав всего производственного комплекса Заказчика. Согласование результатов расчета стоимости автотранспорта
Таким образом, основываясь на результатах проведенного анализа и расчетов, проведенных в соответствии с действующим законодательством, с учетом состояния объекта оценки, Оценщики пришли к заключению, что итоговая величина стоимости автомобилей по состоянию на дату оценки округленно составляет: 226 000 рублей Без НДС – 185 320 рублей Итого, рыночная стоимость основных средств на дату оценки представлена в таблице: Таблица 33
Корректировка строки основные средства
Определение стоимости оборотных АКТИВОВКорректировка статьи «запасы»Остаточная стоимость запасов общества по балансу на 01.01.2008 г. Составляет 3 286 тыс. руб. Запасы оцениваются по текущим ценам. При проведении корректировки запасов, их балансовая стоимость уменьшается на величину устаревших, залежалых и неликвидных запасов, данные о наличии которых приводит бухгалтерия оцениваемой компании. Согласно Справке, предоставленной руководством ЗАО «АЛИКОМ», нет неликвидных запасов. В связи с этим статья «Запасы» не корректировалась. Таблица 35
Корректировка статьи «незавершенное строительство»Фирмой ведется строительство здания. Дата окончания строительства нет. Документов, подтверждающих право собственности на незавершенное строительство нет. В связи с этим не представляется возможным определить рыночную стоимость. Статья «Незавершенное строительство» не подлежит корректировке и принимается по абсолютной величине. Таблица 36
Корректировка статьи «налог на добавленную стоимость по приобретенным ценностям»Статья «Налог на добавленную стоимость по приобретенным ценностям» не подлежит корректировке и принимается по абсолютной величине. Таблица 37
Корректировка статЬИ «краткосрочная Дебиторская задолженность»На 31.12.2007г. у предприятия общая сумма дебиторской задолженности составила 120 247 тыс. руб. Статья «Дебиторская задолженность» корректировалась с учетом графика погашения дебиторской задолженности, представленного заказчиком.. Расчет корректировки по статье «Дебиторская задолженность» представлен в следующей таблице. Таблица 38
Таблица 39
Корректировка статьи «краткосрочные финансовые вложения»На 31.12.2007г. у предприятия сумма по данной статье составила 2 716 тыс. руб. Краткосрочные финансовые вложения являются абсолютно ликвидными. Данная статья не корректируется и принимается по абсолютному значению. Таблица 40
Корректировка статЬИ «денежные средства»На 31.12.2007г. у предприятия сумма по данной статье составила 249 тыс. руб. Данная статья не корректируется и принимается по абсолютному значению. Корректировка статьи «прочие оборотные активы»На 31.12.2007г. у предприятия сумма по данной статье составила 6 251 тыс. руб. Данная статья не корректируется и принимается по абсолютному значению. На основании проведённых расчётов рыночная стоимость активов ЗАО «АЛИКОМ» на 01.01.2008г. составила: 273 723 тыс. рублей. Обязательства предприятияСтатьи по долгосрочным и краткосрочным обязательствам не подлежат корректировке и принимается по абсолютной величине. Таким образом, стоимость обязательств на 01.01.08г. составила 265 298 тыс рублей Расчет стоимости предприятия методом чистых активовМетодология расчета стоимости бизнеса методом чистых активов подробно изложена в общей части отчета. Расчет стоимости предприятия методом чистых активов представлен в следующей таблице. Таблица 43
Стоимость 100% пакета акций ЗАО «АЛИКОМ», определенная на 01.01.2008 года затратным подходом, составляет: 8 425 000 рублей. 6.2 Расчет стоимости предприятия сравнительным подходомСравнительный подход используется в случае, когда имеется ценовая информация о близком аналоге или нескольких аналогах. Цена объекта-аналога анализируется, корректируется, очищается от влияния нехарактерных обстоятельств купли-продажи и приводится к дате оценки с учетом динамики цен в соответствующем секторе рынка автотранспорта. Принцип сравнительного подхода заключается в том, что ни один покупатель (инвестор) руководствуясь экономической целесообразностью и имея полную осведомленность, не заплатит за объект больше, чем минимальная стоимость аналогичных объектов, предлагаемых к продаже на рынке. Этапы оценки при использовании сравнительного подхода: 1.Сбор информации о ценах спроса/предложения; 2.Обработка информации с целью уточнения достоверности; 3.Отбор аналогов. 4. Расчет стоимости объекта оценки методами сравнительного подхода. Сравнительный подход включает в себя методы оценки, основанные на анализе рыночных сравнений. К ним относятся: сравнение продаж (первичный/вторичный рынки); правило «золотого сечения» (rule of thumb); анализ спроса/предложений; метод мультипликаторов; статистические методы. Оценщик не обладает данными о продаже акций компаний, занимающихся производством полиэтиленовой пленки, поэтому в данной оценке сравнительный подход не применялся. 6.3 Расчет стоимости предприятия доходным подходомРасчет стоимости бизнеса ЗАО «АЛИКОМ» по доходному подходу выполнен методом дисконтирования денежных потоков. Подробное описание методологии расчета приведено в разделе 4. 6.3.1 Выбор длительности прогнозного периодаКак правило, в российской практике прогнозный период не превышает 3-5 лет. По окончании этого срока предприятие должно выйти на стабильные темпы роста. Для проведения расчетов необходимо учесть ожидаемый темп инфляции. Кроме того, точность прогноза напрямую зависит от числа прошедших анализируемых периодов. Вероятность ошибки будет тем больше, чем меньше по продолжительности будет прогнозируемый период, по сравнению с анализируемым. Определение длительности прогнозного периода основано на условии, что предприятием возврат заемных средств и процентов по кредитным обязательства будет осуществляться с 2008 по 2011 годы. Таким образом, можно сделать вывод, что, данное предприятие достигнет стабильных темпов развития к 2012 году, а период с 2008 по 2011 года можно считать прогнозным. 6.3.2 Методика расчета денежных потоковПрямой метод расчета денежного потока предполагает использование данных о физическом объеме производства по всей номенклатуре выпускаемой продукции с разбивкой по рассматриваемым периодам, а также полный свод затрат на производство и реализацию продукции. Косвенный метод расчета денежного потока состоит из восстановления значений денежного потока из финансовой отчетности предприятия за прошедшие отчетные периоды, анализа полученных данных с целью определения тенденции и последующего прогнозирования денежного потока на будущие периоды на основе выявленной таким образом тенденции. В рамках настоящего отчета для оценки стоимости пакета акций использовался косвенный метод расчета денежного потока. Основой прогнозирования дохода предприятия на 2008-2011 гг. являются имеющиеся договора. Для расчета чистых денежных потоков составлялся прогноз следующих показателей: · Выручка; · Себестоимость; · Коммерческие и управленческие расходы; · Прочие операционные доходы и расходы; · Внереализационные доходы и расходы; · Запасы; · Дебиторская задолженность; · Кредиторская задолженность. Величины анализируемых показателей в ретроспективном периоде находятся в разном временном измерении, что обуславливает их несопоставимость в силу действующих инфляционных процессов. Существует два варианта расчета денежных потоков: с учетом фактора инфляции и без его учета. Прогноз денежных потоков в данном случае несет в себе эту составляющую. 6.3.3 Расчет ставки дисконтаРасчет ставки дисконта был произведен методом анализа рисков. В настоящий момент, несмотря на недостаточную надежность российского государства российского как заемщика, единственно приемлемым финансовым инструментом, доходность по которому можно рассматривать как безрисковую (в рамках российской экономики), представляются еврооблигации. Среди всех аналогов они обладают максимальным объемом выпуска, наличием большого количества разнообразных траншей и легкостью получения необходимой информации об их доходности (ее ежедневно публикуют средства массовой информации, например газеты "Коммерсантъ" и "Ведомости"). С другой стороны, более правильным было бы проводить расчеты в национальной валюте. Поэтому большими перспективами здесь обладают ОФЗ (при условии появления достаточно длинных траншей). Текущая доходность ОФЗ представлена в таблице.
Таблица 44
Таким образом, ставка дисконта составляет 23,41% 6.3.4 Расчет стоимости предприятия методом дисконтирования денежных потоков (ДДП)В соответствии с заданием на оценку, в настоящем отчете оценивается 100 % пакет акций ЗАО АЛИКОМ». Следовательно, для расчета стоимости ЗАО «АЛИКОМ» следует применить денежный поток для собственного капитала. Методология расчета денежного потока для собственного капитала подробно описана ранее. Расчетные таблицы и описание доходного подхода приведены далее. Определение выручки. Выручка рассчитана для прогнозного и постпрогнозного периодов по формуле Выручка n = Цена n × Производительность n Заказчиком были предоставлены сведения по производительности за период 2005-2007 годы. На этих данных был построен тренд и выявлено уравнения y=7813x2-31335591x+31419456856,0002, которое позволило спрогнозировать производительность в прогнозный и постпрогнозный периоды. Стоимость за продукцию была спрогнозирована с учетом инфляции[3] («Время новостей» № 74 от 29 апреля2008 года http://www.vremya.ru/2008/74/8/202852.html). Цена n = Цена n -1 × % Инфляции n + Цена n -1 Выяснив производительность и цену рассчитаем выручку: Таблица 45
Определение расходов предприятия: расходы по заработной плате, Численность сотрудников на 01.01.2008г.составляет 86 человек. Предполагается, что количественный состав останется неизменным: Расчет доходов после периода прогнозирования (реверсии) по модели Гордона. Остаточная стоимость в пост прогнозном периоде рассчитана по модели Гордона (формула оценки стоимости объекта в послепрогнозный период, построенная на капитализации годового дохода послепрогнозного периода при помощи коэффициента, рассчитанного как разница между ставкой дисконтирования и долгосрочными темпами роста доходов. При этом модель Гордона используется, когда планируется получения стабильных доходов в остаточный период и предполагает, что величины износа и капиталовложений равны) Метод капитализации годового дохода постпрогнозного периода.
ГдеCFt +1 – денежный поток постпрогнозного периода r- ставка дисконтирования g- показатель инфляции постпрогнозного периода t- последний прогнозный период 4 Текущ. стоимость реверсии = 16 718 874/((23,41%-5%)*(1+23,41) = 398 162 076 Расчет текущей стоимости бизнеса. Текущая стоимость бизнеса, рассчитана как сумма всех дисконтированных денежных потоков прогнозного периода и текущей реверсии: Таблица 58
Стоимость 100% пакета акций ЗАО «АЛИКОМ», определенная на 01.01.2008 года доходным подходом, составляет: 7 884 633 рублей. 6.4 Согласование результатов оценки и определение итоговой величины стоимостиПосле анализа результатов, полученных разными подходами, окончательная оценка стоимости устанавливается путем согласования результатов, исходя из того, какой подход в большей, а какой в меньшей степени отражает реальную рыночную стоимость оцениваемого объекта. Целью сведения результатов всех используемых методов является определение наиболее вероятной стоимости прав собственности на оцениваемый объект на дату оценки через взвешивание преимуществ и недостатков каждого из них. Эти преимущества и недостатки оцениваются по следующим критериям: 1. Достоверность, адекватность, обширность и достаточность информации, на основе которой проводится анализ; 2. Способность отразить действительные намерения типичного покупателя и/или продавца, прочие реалии спроса/предложения; 3. Действенность метода в отношении учета конъюнктуры и динамики рынка финансов и инвестиций (включая риски); 4. Способность метода учитывать структуру и иерархию ценообразующих факторов, специфичных для объекта, таких как местоположение, размер, потенциальная доходность и т.д. 5. Ограничительные условия, накладываемые на каждый из применяемых методов оценки. В рассматриваемом случае, согласованию подлежат результаты расчетов методом чистых активов затратного подхода и методам дисконтирования денежных потоков доходного подхода. При определении весовых коэффициентов были учтены следующие достоинства и недостатки подходов в оценке. Достоинства и недостатки доходного подхода. Преимущество доходного подхода в том, что в нем учитываются будущие условия деятельности предприятия. Главный недостаток – умозрительный характер, поскольку при прогнозных расчетах денежных потоков или ставок дисконта приходится прибегать к предположениям и ограничениям, носящим условный характер. Вес подхода – 0,5. Достоинства и недостатки затратного подхода. Основное преимущество затратного подхода в том, что основывается в большей части на достоверной информации о состоянии имущественного комплекса предприятия и поэтому менее умозрителен. Основной недостаток в том, что подход не учитывает будущие возможности предприятия в получении дохода. Вес подхода –0,5 Сравнительный подход не применялся. Согласование результатов
Оцениваемый пакет акций мажоритарный, поэтому скидку на неконтрольный характер пакета не требуется Таким образом, стоимость 100% пакета акций ЗАО «АЛИКОМ» по состоянию на 01.01.2008 года округленно составляет 8 155 000 рублей (Восемь миллионов сто пятьдесят пять тысяч) рублей ЗаключениеЦелью данной аттестационной работы было определение рыночной стоимости 100-процентного пакета акций ЗАО «АЛИКОМ» В Разделе 1 были рассмотрены основные методические подходы при оценке бизнеса и при оценке различных видов имущества: это понятие рыночной стоимости, принципы оценки, подходы и методы оценки, а так же рассмотрены объемы и этапы исследования. Основное содержание раздела - подходы и методы оценки - рассмотрены сначала в общетеоретическом плане, затем исследована их специфика для оценки бизнеса. Раздел 2 – анализ отрасли, к которой относится оцениваемое предприятие. Раздел 3 - анализ наилучшего и наиболее эффективного использования предприятия. Раздел 4 представляет собой финансовый анализ предприятия. Анализ финансового состояния включал в себя расчет показателей рыночной устойчивости, показателей ликвидности, деловой активности, рентабельности. В Разделе 5 производится расчет стоимости предприятия. Доходный подход к оценке предприятия представлен методом дисконтирования денежных потоков. Он включает в себя следующие процедуры: · Выбор длительности прогнозного периода. · Расчет денежных потоков. · Расчет ставки дисконта. · Определение текущей стоимости будущих денежных потоков и стоимости последующей продажи. Затратный подход представлен методом чистых активов, в рамках которого произведена корректировка всех статей баланса. По рыночной стоимости переоценивались следующие активы: недвижимость, транспорт, оборудование. Скорректированы стоимости следующих статей баланса: основные средства, дебиторская задолженность. Рыночный подход для оценки данного предприятия не применялся Результаты всех трех подходов к оценке бизнеса взвешивались для получения единой стоимости. Для взвешивания результатам подходов были присвоены весовые коэффициенты, пропорциональные достоверности исходной информации и точности применяемых методов, далее применена скидка на неликвидность оцениваемой доли. Предложения: в результате проведенного финансового анализа предприятия у оценщика есть предложения для руководителя: 1. Необходимо изменить политику предприятия в оношении дебиторской задолженности. Требовать с покупателей продукции своевременной оплаты. Это приведет к снижению дебиторской задолженности и поведет за собой снижение и кредиторской задолженности, так как вовремя полученные деньги с продукции подзволят вовремя платить за сырье поставщикам. 2. Сделать упор на маркетиг, работать и «наращивать» клиентскую базу, тем самым, увеличив производительность, занять большую долю рынка полиэтиленовой продукции в Самаре и близ лежайших областей. 3. Свободную часть денег отдавать на погашение процентов по кредиту и долгосрочных и краткосрочных обязательст тем самым быстрее закрыть свою кредиторскую задолженность. Вывод: поставленная во Введении цель работы достигнута, задачи, необходимые для этого, решены. Рассчитана рыночная стоимость 100-процентного пакета акций ЗАО «АЛИКОМ». Список литературы1. Бирман Г., Шмидт С. Экономический анализ инвестиционных проектов. - М.: ЮНИТИ, 1997. 2. Бочаров В.В. Финансовый анализ: Учеб.пособие. - Санкт-Петербург: ПИТЕР, 2001. 3. Булычева Г.В. Практические аспекты применения доходного подхода к оценке российских предприятий: Учеб.пособие. - М.: Институт профессиональной оценки, 1999. 4. Валдайцев В.С. Оценка бизнеса. Управление стоимостью предприятия. - М.: ЮНИТИ, 2001. 5. Воронцовский А.В. Методы обоснования инвестиционных проектов в условиях определенности. - Санкт-Петербург : СПбГУЭФ, 1999. 6. Грибовский С.В. Оценка доходной недвижимости. Учеб.пособие. - Санкт-Петербург: ПИТЕР, 2001. 7. Григорьев В.В. Оценка предприятий: доходный подход. - М.: Федеративное изд-во, 1998. 8. Григорьев В.В., Островкин И.М. Оценка предприятий: имущественный подход. - М.: Дело, 1998. 9. Дегтяренко В.Н. Оценка эффективности инвестиционных проектов. - М.: Эксперт. Бюро-М, 1997. 10. Десмонд Г.М., Келли Р.Э. Руководство по оценке бизнеса. - М.: РОО, 1996. П.Ковалёв А.П. Оценка стоимости активной части основных фондов. - М.: Финстатинформ, 1997. 12. Козырев А.Н. Оценка интеллектуальной собственности. - М.: Экспертное бюро, 1997. 13. Комов Ю. Рыночная стоимость товарного знака. - Экономика и жизнь, 1995 №18. 14. Методические рекомендации по оценке инвестиционных проектов: Официальное издание. - М.: Экономика, 2000. 15. Модильяни Ф., Миллер М. Сколько стоит фирма? Теорема ММ. - М.: Дело, 1999. 16. Оценка земли/ Под ред. В.П.Антонова. - Владимир: из-во "Посад", 1997. 17. Оценка бизнеса/ Под ред. А.Г.Грязновой и М.А.Федотовой - М.: Финансы и статистика, 2000. 18. Переверзева Л.В. Оценка финансового состояния предприятия по критериям банкротства (несостоятельности): Учеб.пособие. - Санкт-Петербург: Изд-во СПбГУЭФ, 1997. 19. Родионова В.М., Федотова М.А. Финансовая устойчивость предприятия в условиях инфляции. - М.: Перспектива, 1996. 20. Тарасевич Е.И. Оценка недвижимости: Энциклопедия Оценки. - Санкт-Петербург: Изд-во СПбГТУ, 1997. 21. Федотова М.А. Сколько стоит бизнес? - М.: Перспектива, 1996. 22. Фридмин Дж., Ордуэй Н. Анализ и оценка приносящей доход недвижимости: Пер. с англ. - М.: Дело Лтд, 2001. 23. Хелферт Э. Техника финансового анализа. - М.: Аудит, 1996. 24. Черняк В.З. Оценка бизнеса. - М.: Финансы и статистика, 1996. 25. Экономический анализ. Под ред. М.И.Баканова и А.Д.Шеремета. - М.: Финансы и статистика, 2001. [1] По данным Федеральной службы государственной статистики РФ, Территориального органа Федеральной службы государственной статистики по Самарской области, Банка России, агентства недвижимости «МИАН» и журнала «Финансовый директор» [2] Справочно: Первая группа - Предприятие имеет высокую рентабельность и оно финансово устойчиво. Платежеспособность Предприятия не вызывает сомнений. Качество финансового и производственного менеджмента высокое. Предприятие имеет отличные шансы для дальнейшего развития. Вторая группа - Платежеспособность и финансовая устойчивость Предприятия находятся, в целом, на приемлемом уровне. Предприятие имеет удовлетворительный уровень доходности, хотя отдельные показатели находятся ниже рекомендуемых значений. Следует отметить, что данное Предприятие недостаточно устойчиво к колебаниям рыночного спроса на продукцию (услуги) и другим факторам финансово-хозяйственной деятельности. Работа с Предприятием требует взвешенного подхода. Третья группа - Предприятие финансово неустойчиво, оно имеет низкую рентабельность для поддержания платежеспособности на приемлемом уровне. Как правило, такое Предприятие имеет просроченную задолженность. Для выведения Предприятия из кризиса следует предпринять значительные изменения в его финансово-хозяйственной деятельности. Инвестиции в Предприятие связаны с повышенным риском. Четвертая группа - Предприятие находится в глубоком финансовом кризисе. Размер кредиторской задолженности велик, оно не в состоянии расплатиться по своим обязательствам. Финансовая устойчивость Предприятия практически полностью утеряна. Значение показателя рентабельность собственного капитала не позволяет надеяться на улучшение. Степень кризиса Предприятия столь глубока, что вероятность улучшения ситуации, даже в случае коренного изменения финансово-хозяйственной деятельности, невысока. * Норма амортизационных отчислений определяется в зависимости от группы и вида основных фондов, к которому они относятся.(Постановление СМ СССР от 22 октября 1990 г. N 1072 "О единых нормах амортизационных отчислений на полное восстановление основных фондов народного хозяйства СССР"). [3] http://www.vremya.ru/2008/74/8/202852.html |
|||||||||||||||||||||||||||||||||||||||||||||||||||||||||||||||||||||||||||||||||||||||||||||||||||||||||||||||||||||||||||||||||||||||||||||||||||||||||||||||||||||||||||||||||||||||||||||||||||||||||||||||||||||||||||||||||||||||||||||||||||||||||||||||||||||||||||||||||||||||||||||||||||||||||||||||||||||||||||||||||||||||||||||||||||||||||||||||||||||||||||||||||||||||||||||||||||||||||||||||||||||||||||||||||||||||||||||||||||||||||||||||||||||||||||||||||||||||||||||||||||||||||||||||||||||||||||||||||||||||||||||||||||||||||||||||||||||||||||||||||||||||||||||||||||||||||||||||||||||||||||||||||||||||||||||||||||||||||||||||||||||||||||||||||||||||||||||||||||||||||||||||||||||||||||||||||||||||||||||||||||||||||||||||||||||||||||||||||||||||||||||||||||||||||||||||||||||||||||||||||||||||||||||||||||||||||||||||||||||||||||||||||||||||||||||||||||||||||||||||||||||||||||||||||||||||||||||||||||||||||||||||||||||||||||||||||||||||||||||||||||||||||||||||||||||||||||||||||||||||
,
, где 








