Курсовая работа: Стратегия и тактика финансового менеджмента на предприятии
|
Название: Стратегия и тактика финансового менеджмента на предприятии Раздел: Рефераты по финансовым наукам Тип: курсовая работа | ||||||||||||||||||||||||||||||||||||||||||||||||||||||||||||||||||||||||||||||||||||||||||||||||||||||||||||||||||||||||||||||||||||||||||||||||||||||||||||||||||||||||||||||||||||||||||||||||||||||||||||||||||||||||||||||||||||||||||||||||||||||||||||||||||||||||||||||||||||||||||||||||||||||||||||||||||||||||||||||||||||||||||||||||||||||||||||||||||||||||||||||||||||||||||||||||||||||||||||||||||||||||||||||||||||||||||||||||||||||||||||||||||||||||||||||||||||||||||||||||||||||||||||||||||||||||||||||||||||||||||||||||||||||||||||||||||||||||||||||||||||||||||||||||||||||||||||||||||||||||||||||||||||||||||||||||||||||||||||||||||||||||||||||||||||||||||||||||||||||||||||||||||||||||||||||||||||||||||||
СОДЕРЖАНИЕ ВВЕДЕНИЕ I. ТЕОРЕТИЧЕСКИЕ ОСНОВЫ ФИНАНСОВ И УПРАВЛЕНИЕ ИМИ В МАСШТАБАХ ПРЕДПРИЯТИЯ 1.1 Финансовый менеджмент как система и механизм управления финансами 1.2 Цели, принципы организации финансового менеджмента 1.3 Научный инструментарий финансового менеджмента II. Анализ стратегии и тактики финансового менеджмента в управлении финансовыми ресурсами ТОО «Рейз Строй»2.1 Анализ финансового состояния ТОО «Рейз Строй»2.2 Управление оборотными активами и текущими пассивами ТОО «Рейз Строй»2.3 Управление долгосрочными инвестициями ТОО «Рейз Строй» III. Проблемы и пути оптимизации стратегии финансового менеджмента на предприятиях в Республике Казахстан 3.1 Проблемы управления финансами в Республике Казахстан 3.2 Оптимизация структуры капитала и эффективности вложений ЗАКЛЮЧЕНИЕ СПИСОК ИСПОЛЬЗОВАННЫХ ИСТОЧНИКОВ ВВЕДЕНИЕ Система управления обеспечивает необходимое воздействие на управляемый объект. Управленческая деятельность обычно разделяется между должностными лицами или специализированными подразделениями организации. Звенья системы управления могут быть линейными, функциональными, линейно-функциональными, функционально-линейными в различных комбинациях. При двойной, но разделяемой подчиненности звена системы управления оно является матричным. Управление финансами (или финансовый менеджмент) означает управление денежными средствами, финансовыми ресурсами в процессе их формирования и движения, распределения и перераспределения, а также использования; это - сознательное и целенаправленное воздействие на экономические отношения, обусловленные взаимными расчетами между хозяйственными субъектами, движением денежных средств, денежным обращением, использованием денег с целью направить и их для получения оптимального конечного результата хозяйствования, что и является актуальностью данной темы. Самая большая ошибка многих казахстанских предпринимателей заключается в недооценке ими финансового менеджмента (управления финансовыми потоками). Некоторые предприниматели объясняют это особой сложностью финансовых проблем, а потому делегируют свои полномочия подчиненным. Такая позиция ошибочна: никоим образом нельзя ни направлять, ни контролировать самостоятельно денежные потоки как поступающие, так и исходящие. Именно в движении этих потоков и концентрируется реальный результат предпринимательской активности и скрыты те возможности повышения результативности бизнеса, поиск которых ведет предприниматель. Поэтому отечественному предпринимателю прежде всего необходимо освоить все основные принципы и подходы управления финансами, хорошо в них разбираться, иначе он обречен на неуспех. Таким образом, проблема овладения всем потенциалом финансового менеджмента, всеми его секретами это - вопрос жизни и смерти бизнеса, особенно в специфических условиях казахстанского рынка. Происходящие в нашей стране рыночные изменения делают насущной необходимостью приобретать и эффективно применять опыт хозяйствования в новой обстановке. Условия и принципы функционирования предприятий, результаты деятельности теперь прямо зависят от конкурентоспособности их продукции на рынке. В приспособлении к требованиям конкретных рынков очень важным является предвидение, оценка уровня качества технико-экономических параметров продукции, ее цены, сроков поставки. Причем это необходимо делать заранее, еще на стадии разработки новой продукции, модернизации, усовершенствования выпускаемых изделий, до начала производственного цикла. Очень важно иметь всю необходимую деловую информацию и для разработки сбытовой политики. Рыночная экономика в Республике Казахстан набирает все большую силу. Вместе с ней набирает силу и конкуренция как основной механизм регулирования хозяйственного процесса. А потому, конкурентоспособность хозяйствующему субъекту может обеспечить только правильное управление движением финансовых ресурсов и капитала, находящихся в его распоряжении. Процесс функционирования любого предприятия носит циклический характер. В пределах одного цикла осуществляются: привлечение необходимых ресурсов, соединение их в производственном процессе, реализация произведенной продукции и получение конечных финансовых результатов. В условиях рыночной экономики происходит смещение приоритетов в объектах и целевых установках системы управления хозяйствующим субъектом. Как известно, укрупненными и относительно самостоятельными экономическими объектами, составляющими сферу приложения общих функций управления, являются денежные средства (точнее финансовые ресурсы), трудовые ресурсы, средства и предметы труда. В централизованно планируемой экономике приоритеты в управлении этими объектами, как правило, не расставлялись. Присущие этому типу экономики тотальное планирование, централизация, а также лимитированность ресурсов предусматривали введение жесткого их фондирования. Свобода в манипулировании ресурсами, их взаимозамещении была весьма ограниченной. Кроме того, предприятия были поставлены в жесткие финансовые рамки и не могли выбирать наиболее рациональную (на их взгляд) структуру всех используемых ресурсов. В условиях рыночной экономики эти ограничения в значительной степени снимаются (отменяются лимиты, снижается роль централизованного снабжения и др.), а эффективное управление предполагает оптимизацию ресурсного потенциала предприятия. В этой ситуации резко повышается значимость эффективного управления финансовыми ресурсами. От того, насколько эффективно и целесообразно они трансформируются в основные и оборотные средства, а также в средства стимулирования рабочей силы, зависит финансовое благополучие предприятия в целом, его владельцев и работников. Финансовые ресурсы в этих условиях приобретают первостепенное значение, поскольку это - единственный вид ресурсов предприятия, трансформируемый непосредственно и с минимальным временным лагом в любой другой вид ресурсов. В той или иной степени роль финансовых ресурсов важна на всех уровнях управления (стратегический, тактический, оперативный), однако особое значение она приобретает в плане стратегии развития предприятия. Таким образом, управление финансами (финансовый менеджмент) как одна из основных функций аппарата управления приобретает ключевую роль в условиях рыночной экономики. Система управления обеспечивает необходимое воздействие на управляемый объект. Управленческая деятельность обычно разделяется между должностными лицами или специализированными подразделениями организации. Звенья системы управления могут быть линейными, функциональными, линейно-функциональными, функционально-линейными в различных комбинациях. При двойной, но разделяемой подчиненности звена системы управления оно является матричным. Управление финансами (или финансовый менеджмент) означает управление денежными средствами, финансовыми ресурсами в процессе их формирования и движения, распределения и перераспределения, а также использования; это — сознательное и целенаправленное воздействие на экономические отношения, обусловленные взаимными расчетами между хозяйственными субъектами, движением денежных средств, денежным обращением, использованием денег с целью направить и их для получения оптимального конечного результата хозяйствования, что и является актуальностью данной темы. Самая большая ошибка многих казахстанских предпринимателей заключается в недооценке ими финансового менеджмента (управления финансовыми потоками). Некоторые предприниматели объясняют это особой сложностью финансовых проблем, а потому делегируют свои полномочия подчиненным. Такая позиция ошибочна: никоим образом нельзя ни направлять, ни контролировать самостоятельно денежные потоки как поступающие, так и исходящие. Именно в движении этих потоков и концентрируется реальный результат предпринимательской активности и скрыты те возможности повышения результативности бизнеса, поиск которых ведет предприниматель. Поэтому отечественному предпринимателю прежде всего необходимо освоить все основные принципы и подходы управления финансами, хорошо в них разбираться, иначе он обречен на неуспех. Таким образом, проблема овладения всем потенциалом финансового менеджмента, всеми его секретами это — вопрос жизни и смерти бизнеса, особенно в специфических условиях казахстанского рынка. Происходящие в нашей стране рыночные изменения делают насущной необходимостью приобретать и эффективно применять опыт хозяйствования в новой обстановке. Условия и принципы функционирования предприятий, результаты деятельности теперь прямо зависят от конкурентоспособности их продукции на рынке. В приспособлении к требованиям конкретных рынков очень важным является предвидение, оценка уровня качества технико-экономических параметров продукции, ее цены, сроков поставки. Причем это необходимо делать заранее, еще на стадии разработки новой продукции, модернизации, усовершенствования выпускаемых изделий, до начала производственного цикла. Очень важно иметь всю необходимую деловую информацию и для разработки сбытовой политики I. ТЕОРЕТИЧЕСКИЕ ОСНОВЫ ФИНАНСОВ И УПРАВЛЕНИЕ ИМИ В МАСШТАБАХ ПРЕДПРИЯТИЯ 1.1 Финансовый менеджмент как система и механизм управления финансами Понятие "менеджмент" можно рассматривать с трех сторон: как систему экономического управления, как орган управления (аппарат управления), как форму предпринимательской деятельности. Менеджмент (англ, management - управление) в общем виде можно определить как систему экономического управления производством, которая включает совокупность принципов, методов, форм и приемов управления. Собственно к менеджменту относятся теория управления и практические образцы эффективного руководства, под которыми понимается искусство управления. Обе части имеют дело с управлением как комплексным и конкретным явлением. Управление -это процесс выработки и осуществления управляющих воздействий. Управляющее воздействие - это воздействие на объект управления, предназначенное для достижения цели управления. Выработка управляющих воздействий включает сбор, передачу и обработку необходимой информации, принятие решений. Осуществление управляющих воздействий охватывает передачу управляющих воздействий и при необходимости преобразование их в форму, непосредственно воспринимаемую объектом управления. Менеджмент во всех своих решениях руководствуется экономическими соображениями. Поэтому любое действие менеджмента - это мероприятие экономического характера. Финансовый менеджмент направлен, прежде всего, на управление денежным потоком и оборотными средствами. Поэтому сводить финансовый менеджмент только к инвестиционным решениям и рассматривать его только с позиции науки о принятии инвестиционного решения неправомерно. Финансовый менеджмент - это специфическая система управления денежными потоками, движением финансовых ресурсов и соответствующей организацией финансовых отношений. Финансовый менеджмент надо рассматривать как интегральное явление, имеющее разные формы проявления. Так, с функциональной точки зрения финансовый менеджмент представляет собой систему экономического управления и часть финансового механизма. С институционной точки зрения финансовый менеджмент есть орган управления. С организационно-правовой точки зрения финансовый менеджмент - это вид предпринимательской деятельности. Финансовый менеджмент направлен на управление движением финансовых ресурсов и финансовых отношений, возникающих между хозяйствующими субъектами в процессе движения финансовых ресурсов. Ответ на вопрос, как искусно руководить этим движением и отношениями, составляет содержайие финансового менеджмента. Финансовый менеджмент представляет собой процесс выработки цели управления финансами и осуществление воздействия на них с помощью методов и рычагов финансового механизма. Таким образом, финансовый менеджмент включает в себя стратегию и тактику управления. Под стратегией в данном случае понимаются общее направление и способ использования средств для достижения поставленной цели. Этому способу соответствует определенный набор правил и ограничений для принятия решения. Стратегия позволяет сконцентрировать усилия на вариантах решения, не противоречащих принятой стратегии, отбросив все другие варианты После достижения поставленной цели стратегия как направление и средство ее достижения прекращает свое существование. Новые цели ставят задачу разработки новой стратегии. Тактика - это конкретные методы и приемы для достижения поставленной цели в конкретных условиях. Задачей тактики управления является выбор наиболее оптимального решения и наиболее приемлемых в данной хозяйственной ситуации методов и приемов управления Финансовый менеджмент как система управления состоит из двух подсистем: управляемой подсистемы, или объекта управления, и управляющей подсистемы или субъекта управления. Схематично это можно представить следующим образом Любой бизнес начинается с постановки и ответа на следующие три ключевые вопроса: 1) каковы должны быть величина и оптимальный состав активов предприятия, позволяющие достичь поставленные перед предприятием цели и задачи?; 2) где найти источники финансирования и каков должен быть их оптимальный состав?; 3) как организовать текущее и перспективное управление финансовой деятельностью, обеспечивающее платежеспособность и финансовую устойчивость предприятию? Решаются эти вопросы в рамках финансового менеджмента, являющегося одной из ключевых подсистем общей системы управления предприятием. Логика ее функционирования представлена на рис.1.1
На небольших предприятиях роль финансового директора обычно выполняет главный бухгалтер. Работа финансового менеджера либо составляет часть работы высшего звена управления фирмы, либо связана с предоставлением ему аналитической информации, необходимой и полезной для принятия управленческих решений финансового характера. Финансовый менеджер постоянно сталкивается с проблемой выбора источников финансирования. Особенность ее состоит еще и в том, что обслуживание того или иного источника обходится предприятию неодинаково. Каждый источник финансирования имеет свою цену, причем эта цена может иметь и стохастическую природу. Решения финансового характера точны настолько, насколько хороша и объективна информационная база. Уровень объективности зависит от того, в какой степени рынок капиталов соответствует эффективному рынку. Тем самым подчеркивается исключительная важность функций, выполняемых финансовым менеджером (в журнале “Fortune” в 1976 г. отмечалось, что 25,3% высшего персонала крупнейших американских корпораций начинали свою деятельность в области финансов). Вне зависимости от организационной структуры фирмы финансовый менеджер отвечает за анализ финансовый проблем, принятие в некоторых случаях решений или выработку рекомендаций высшему руководству. Выделенные направления деятельности одновременно определяют и основные задачи, стоящие перед менеджером. Состав этих задач может быть детализирован следующим образом. В рамках первого направления осуществляется общая оценка: - активов предприятия и источников их формирования; - величины и состава ресурсов, необходимых для поддержания достигнутого экономического потенциала предприятия и расширения его деятельности; - источников дополнительного финансирования; - системы контроля за состоянием и эффективностью использования финансовых ресурсов. Структура и процесс функционирования системы финансового управления на предприятии.
Логика выделения областей деятельности финансового менеджера тесно связана со структурой баланса, как основной отчетной формой, отражающей имущественное и финансовое состояние предприятия (рис.1.2). Ключевые области деятельности финансового менеджера
Рисунок 1.2 Второе направление предполагает детальную оценку: - объема требуемых финансовых ресурсов; - формы их представления (долгосрочный или краткосрочный кредит, денежная наличность); - степени доступности и времени представления (доступность финансовых ресурсов может определяться условиями договора; финансы должны быть доступны в нужном объеме и в нужное время); - стоимости обладания данным видом ресурсов (процентные ставки, прочие формальные и неформальные условия предоставления данного источника средств); - риска, связанного с данным источником средств. Третье направление предусматривает анализ и оценку долгосрочных и краткосрочных решений инвестиционного характера: - оптимальность трансформации финансовых ресурсов в другие виды ресурсов (материальные, трудовые, денежные); - целесообразность и эффективность вложений в основные фонды, их состав и структура; - оптимальность оборотных средств; - эффективность финансовых вложений. Принятие решений с использованием приведенных оценок выполняется в результате анализа альтернативных решений, учитывающих компромисс между требованиями ликвидности, финансовой устойчивости и рентабельности. Выделение основных задач финансового менеджмента также в значительной степени определяется содержанием бухгалтерской отчетности. Сформулируем систему целей, определяющих признаки успешного финансового управления: - выживание фирмы в условиях конкурентной борьбы; Структуризация содержания финансового управления на предприятии. - избежание банкротства и крупных финансовых неудач; - максимизация “цены” фирмы; - приемлемые темпы роста экономического потенциала фирмы; - рост объемов производства и реализации; - максимизация прибыли; - минимизация расходов. Приоритетность той или иной цели определяется самим предприятием исходя из складывающейся ситуации. Цели реализуются путем применения различных финансовых инструментов. Существуют различные подходы к трактовке понятия “финансовый инструмент”. В наиболее общем виде под финансовым инструментом понимается любой контракт, по которому происходит одновременное увеличение финансовых активов одного предприятия и финансовых обязательств другого предприятия. Финансовые инструменты подразделяются на первичные (денежные средства, ценные бумаги, кредиторская и дебиторская задолженность по текущим операциям) и вторичные, или производные (финансовые опционы, фьючерсы, форвардные контракты). Существует и более упрощенная трактовка понятия “финансовый инструмент”. В соответствии с ней выделяют три основные категории финансовых инструментов: денежные средства (средства в кассе и на расчетном счете, валюта), кредитные инструменты (облигации, фьючерсы, опционы и др.) и способы участия в уставном капитале (акции и паи). Методы финансового управления многообразны. Основными из них являются: прогнозирование, планирование, налогообложение, страхование, самофинансирование, кредитование, система расчетов, система финансовой помощи, система финансовых санкций, система амортизационных отчислений, система стимулирования, принципы ценообразования, залоговые операции, трансфертные операции, факторинг, аренда, лизинг. Составным элементом приведенных методов являются специальные приемы финансового управления: кредиты, займы, процентные ставки, дивиденды, котировка валютных курсов, акциз, дисконт и др. Основу информационного обеспечения системы финансового управления составляет любая информация финансового характера: - бухгалтерская отчетность; - сообщения финансовых органов; - информация органов банковской системы; - информация товарных, фондовых и валютных бирж; - прочая информация. Техническое обеспечение системы финансового управления является самостоятельным и весьма важным ее элементом. Многие современные системы, основанные на безбумажной технологии (межбанковские расчеты, взаимозачеты, расчеты с помощью кредитных карточек и др.), невозможны без применения сетей ЭВМ, персональных компьютеров, функциональных пакетов прикладных программ. Функционирование любой системы финансового управления осуществляется в рамках действующего правового и нормативного обеспечения. Сюда относятся: законы, указы Президента РК, постановления Правительства РК, приказы и распоряжения министерств и ведомств, лицензии, уставные документы, нормы, инструкции, методические указания и др. 1.2 Цели, принципы организации финансового менеджмента Изложенное выше является той базой, на основе которой становится реальной разработка и реализация на практике в специфических условиях Казахстана огромного потенциала современного финансового менеджмента. Обычно финансовое управление начинается с бюджетирования. Опыт показывает, что из-за отсутствия точного и систематического знания о своих финансах казахстанские компании теряют до пятой части доходов. Например, генеральный директор одного льнокомбината среди прочих проблем называл вопрос наилучшего использования имеющихся запасов сырья. Консультанты, обследовавшие комбинат, рекомендовали директору срочно и любой ценой избавиться от остатков, скопившихся на складе. Но ему казалось немыслимым расстаться с "живым" товаром. Однако жизнь заставила вести борьбу с остатками на комбинате повседневно. Ведь то, что лежит на складе, не приносит прибыли и лишь увеличивает расходы. И директору пришлось учиться управлять деньгами. Оказалось, что нужно, например, точно знать, какой вид деятельности обеспечивает оптимальный денежный поток, где деньги уходят сквозь пальцы или лежат под ногами, не участвуя в обеспечении жизнедеятельности фирмы. Руководитель всегда должен быть в состоянии ответить на вопрос, сколько денег у него будет завтра, через месяц, через полгода. "Нам стало ясно, когда мы умрем", — так сформулировали результат составления своего реального бюджета в одной Казахстанской компании — и именно это стало первым фактором ее выживания. Отсутствие точного и систематического знания о своих финансах оборачивается для многих казахстанских компаний большими потерями. Для хозяйственного управления важно знать не только основные хозяйственные и финансовые результаты, но и отдельно анализировать движение денежных средств, определять изменение основных источников получения денежных средств и направлений их использования. Различие показателей прибыли и денежного потока обусловлено тем, что в бухгалтерском учете некоторые хозяйственные операции отражаются не в момент поступления или перечисления (выплаты) денежных средств, а в момент их совершения (зависит от учетной политики фирмы). В таком случае для анализа движения денежных потоков необходимо составить аналитическую ведомость, сгруппировав данные о притоке и оттоке денежных средств по следующим направлениям: - производственно-хозяйственная деятельность; - инвестиционная деятельность; - финансовая деятельность. Подобная группировка позволит проанализировать текущие потоки денежных средств, оценить способность фирмы погасить свою задолженность и выплатить дивиденды, оценить необходимость привлечения дополнительных финансовых ресурсов. Наиболее благоприятным результатом, при прочих равных условиях, будет тот, при котором главным источником поступления денежных средств является основная деятельность фирмы. Как практически используется потенциал финансового менеджмента для обеспечения стабильного хозяйственного положения фирмы? Абсолютное большинство казахстанских предприятий, включая средние и многие крупные, стремятся, естественно, сохранить свои позиции на рынке. Для этого используются самые разные подходы. Практикуется, например, стратегия пассивного выживания. В ее рамках: - уменьшение затрат путем "сброса" объемов производства и снижения его технологического уровня; - сокращение занятости и заработной платы; - стремление добиться государственных субсидий; - использование чужих средств путем неплатежей (поставщикам, бюджету). Более эффективным оказывается использование стратегии активного выживания, включающей: - поиск новых рыночных ниш, обновление продукции, ориентация на маркетинг; - снижение первичных издержек (потребления энергии, воды и др.) посредством совершенствования технологий, изменения режима загрузки агрегатов, отказа от неприбыльных или убыточных производств; - ограничение неплатежей и усиление зависимости предпринимательской деятельности от обеспеченности собственными средствами и условий рыночного кредитования; - поиск новых организационных структур (например, внутренний холдинг в сочетании с сохранением технологического и организационного ядра). Этой стратегии обычно присуща стабилизация или незначительный рост выпуска продукции. Но самое рациональное — придерживаться стратегии развития (прогрессивное изменение не только количественных, но и качественных параметров бизнеса), опирающейся на: - устойчивый рост производства, наращивание активов фирмы за счет повышения уровня загрузки мощностей и инвестирования в основной капитал; - диверсификацию деятельности, в том числе и со сменой профиля производства; - переход к новой структуре внутрифирменного управления и межфирменного партнерства. Между пассивной и активной стратегиями нет "китайской стены". Ряд заводов, находящихся на грани банкротства и компенсирующих дефицит средств неплатежами, приступает к обновлению продукции и даже к разработке новых перспективных моделей. Практически все предприятия в 2000 г. сократили занятость (включая и принудительное увольнение). Основными препятствиями на пути к применению активной модели выживания являются дефицит собственных оборотных средств, невозможность его покрытия банковским кредитом и практически полное отсутствие средств для долгосрочного инвестирования. Здесь надо в полной мере использовать финансовый менеджмент. Для предприятия, которое не смогло избежать финансовых неприятностей, обычные способы управления уже неприемлемы. В целях решения сложнейшей задачи вывода из кризиса неплатежеспособного предприятия нужны неординарные решительные меры. Обычно все начинается со смены менеджмента. Если сравнивать ситуацию неплатежеспособности предприятия с болезнью (а это именно болезнь, но еще не смерть), то первейшей проблемой на пути выработки способа выхода из кризиса является постановка правильного диагноза. Для этого необходимо провести тщательнейший анализ технической и финансовой документации, провести переговоры со всеми заинтересованными лицами, охватив таким образом проблему в целом. Главной причиной неплатежеспособности предприятия в той или иной форме является нехватка денежных средств. Главный, хотя и не единственный источник денежных средств предприятия — это выручка от реализации продукции, товаров или услуг, в зависимости от профиля предприятия. Для любого предприятия, за исключением специально дотируемого, объем поступающей выручки должен быть по крайней мере достаточным для покрытия всех издержек по производству, хранению и сбыту продукции. В случае недостаточности денежного потока происходит резкое или постепенное истощение оборотных средств, что приводит к неспособности предприятия продолжать производство, и процесс останавливается. Недостаточным объем выручки может быть, если продукция продается по цене ниже себестоимости. Происходит это по двум основным причинам: неумение правильно рассчитывать цену в рыночных условиях или сознательное занижение цены с целью перевода части расчетов в так называемый "черный нал" для ухода от налогообложения. Эти два варианта нередко можно наблюдать в сочетании. Стало типичным, когда директор крупного государственного предприятия создает собственное дочернее предприятие по сбыту продукции этого предприятия, чтобы продавать продукцию дочернего предприятия по минимальным ценам. Тогда максимальная прибыль перейдет в руки дочернего предприятия. Часто при этом жадность не знает границ. Директор волевым решением занижает цену готовой продукции, с одной стороны, для получения в свой карман максимума прибыли, с другой — для информации коллектива и общества о том, что государственное предприятие в кризисе и ему необходима поддержка. В таком случае главной задачей менеджера является тщательный анализ денежных потоков и маркетинговое исследование рынка с целью выяснения истинной ситуации. Решение этой задачи часто затрагивает крупные денежные интересы, поэтому необходимо заранее побеспокоиться о собственной безопасности. Вторая причина невозможности для предприятия реализовать продукцию по ценам выше себестоимости предопределяется отсутствием спроса. Решение этой проблемы затрагивает большой круг вопросов, связанных не только с политикой сбыта, но и производства и снабжения. Иным случаем является недостаточный объем продаж. В этих условиях цены рассчитаны грамотно, однако размеры реализации недостаточны для покрытия расходов. Здесь важно разобраться в причинах. Если данный продукт не нужен на рынке в объемах, производимых предприятием, то необходимо, с одной стороны, изучать возможности сбыта на других рынках, а с другой — решать вопрос о целесообразности сокращения производства. Кроме этого могут быть случаи задержки поступления выручки от покупателей за отгруженный товар. Здесь предстоит внимательно разобраться в причинах. Если причиной является неплатежеспособность заказчиков по независящим от них причинам (долги государства), необходимо составить прогноз возможностей восстановления платежеспособности в будущем. Если причины в самих предприятиях, вновь встает вопрос о целесообразности производства вообще или по данной технологии в частности. Помимо вышеперечисленных проблем у предприятия могут существовать чисто организационные проблемы сбыта. Скажем, неудовлетворительная собственная работа на рынке. В таких случаях необходимо срочно осуществить серьезное маркетинговое исследование с целью получения информации о спросе на данный товар и доведения информации о себе до потенциальных потребителей с последующим формированием собственной ниши на рынке и дальнейшим ее расширением. Важное значение имеет вопрос рекламы. В кризисных условиях предприятие не может позволить себе дорогую имиджевую рекламу. Реклама должна быть максимально целенаправленной и строго рассчитанной с целью нанесения мощных, но строго направленных точечных ударов. Подобная тактика позволит увеличить объем продаж и уменьшить издержки. Что касается непосредственно предприятия, то главной задачей является исследование всего процесса его функционирования. Вопросы, необходимые для изучения, можно разделить на две группы: вопросы, относящиеся непосредственно к организации производства продукции (услуг), торговли и т. д. в зависимости от профиля, и проблемы внепроизводственных расходов. При анализе первой группы вопросов менеджер изучает прежде всего состояние оборудования, его происхождения, уровень технологии, характер износа, качество обслуживания, потенциальные возможности. На этом этапе менеджер определяет, насколько имеющееся оборудование предоставляет возможность вывести предприятие из кризиса. Затем можно перейти к анализу вопросов, непосредственно связанных с использованием оборудования. Это — виды применяемого сырья, состояние складского хозяйства, недвижимости, учета и отчетности, организации управления, работы службы безопасности и т. д. Одним из главнейших на сегодняшний день вопросов является также кадровый. После изучения вопросов, касающихся непосредственно производства, следует перейти к околопроизводственным вопросам. Известно, что в экономике Казахстана часто наблюдаются явления нерационального использования предприятиями своей собственности. Многие предприятия имеют колоссальные территории, занятые под свалки, большие, нерационально используемые производственные помещения, неоправданно расширенный штат работников, не связанных с производством, проявления кумовства. Значительные средства предприятий обычно отвлекаются на содержание так называемой социальной сферы. Помимо того наблюдаются, часто нерациональные, слияния различных предприятий. После анализа внутренних проблем финансовому менеджеру можно перейти к следующему блоку проблем — вопросам обеспечения бизнеса. Прежде всего целесообразно провести работу по изучению поставщиков сырья для основного производства. Важно внимательно изучить цены на необходимые виды сырья и оборудование, возможности их бесперебойной поставки, отсрочек по платежам, готовности поставщиков работать с вами и в дальнейшем. Кроме того, исследуются вопросы снабжения электроэнергией, теплом, водой. Практика подсказывает необходимость устранения возможности перебоев. Главнейшим является изучение работы по привлечению и подбору кадров. Порой реальна полная замена аппарата. 1.3 Научный инструментарий финансового менеджмента Рыночная экономика в Казахстане набирает силу. Вместе с ней усиливается и конкуренция как основной механизм регулирования хозяйственного процесса. Конкурентоспособность любому предприятию может обеспечить только рациональное управление движением финансовых ресурсов и капитала, находящегося в его распоряжении. Любые ресурсы ограничены, и добиться максимального эффекта можно не только за счет регулирования их объема, но прежде всего путем оптимального соотнесения различных видов ресурсов. Менеджмент представляет собой систему экономического управления производством, которую можно рассматривать с различных точек зрения: - как систему экономического управления, включающую совокупность принципов, методов, форм и приемов управления; - как аппарат управления; - как форму предпринимательской деятельности; - как науку об управлении. Управление — это процесс выработки и реализации различных воздействий на объект управления, предназначенных для достижения выбранной цели. Менеджмент во всех своих решениях руководствуется экономическими соображениями и всегда опирается на информационные потоки, осуществляя принятие решений на основе полученной совокупности информации. Менеджмент имеет много аспектов, в том числе: экономический, политический, социальный, финансовый, философский, психологический, технический, организационный. Каждый из них основан на относительно самостоятельных концепциях, и на практике ими занимаются разные специалисты. Когда речь идет о бизнесе, менеджмент можно рассматривать как форму управления социально-экономическими процессами посредством и в рамках предпринимательской деятельности предприятий и коммерческих организаций. Как орган управления менеджмент — это менеджеры, которые представляют собой наделенный исполнительной властью руководящий состав компаний, банков, финансовых учреждений. Менеджер — это субъект управления, который посредством управленческих воздействий осуществляет целенаправленное функционирование объекта. Для менеджмента традиционным является выделение следующих функций: планирование, организация, мотивация и контроль. Функция планирования предполагает формулирование целей и выбор путей их достижения на основании разграничения обязанностей в рамках организационных структур управления. К функции планирования обычно относят и распределение ограниченного объема ресурсов во временном аспекте исходя из приоритетов и целей развития. Функция организации предполагает необходимость структурирования объектов управления для разграничения полномочий, определения прав и обязанностей, функциональных разделений. С этой функцией связан процесс департаментализации, организационного построения внутренней системы управления и контроля. Функция мотивации основывается на деятельности, направленной на практическое воплощение намеченного в жизнь. Реализации функции содействует процесс стимулирования деловой активности, производительности и качества труда. Содержание функции мотивации базируется на потребностях людей и факторах, определяющих их поведение. Функция контроля представляет собой сравнение достижений с поставленными целями и установленными критериями. Финансовый менеджмент, как важнейшая часть менеджмента, представляет собой форму управления процессами финансирования предпринимательской деятельности. Финансовый менеджмент — наука управления финансами предприятия, направленного на достижение стратегических и тактических целей хозяйствующего субъекта. Это управление финансами фирмы, направленное на максимизацию курса акций, чистой прибыли на акцию, уровня дивидендов, имущества акционеров, чистых активов в расчете на акцию, прибыли. Финансовый менеджмент — управляемая система, имеющая определенные закономерности и особенности. С другой стороны, это — управляющая система, часть общей системы управления предприятием. Будучи управляемой системой, финансовый менеджмент является объектом управления, испытывающим воздействие потока управленческих решений и в значительной мере подвержен регулированию через налоги, цены, заработную плату, т. е. не обособлен рамками предприятия, а постоянно взаимодействует с бюджетом, внебюджетными фондами, банками и другими кредиторами, финансово-кредитными и страховыми организациями, институциональными инвесторами. Финансовый менеджмент подчиняется общим принципам организации управления, включая планирование, согласованность отдельных элементов, вариативность, целевую ориентированность. Как вид деятельности финансовый менеджмент включает: - разработку и реализацию финансовой политики фирмы с использованием различных финансовых инструментов; - принятие решений по финансовым вопросам, их конкретизация и выработка методов реализации; - составление и анализ финансовой отчетности фирмы; - оценку инвестиционных проектов и формирование портфеля инвестиций, оценку затрат на капитал; - финансовое планирование и контроль; - организацию аппарата управления финансово-хозяйственной деятельностью фирмы. Своевременный финансовый менеджмент включает изучение действий, связанных с приобретением, слиянием, финансированием, управлением активами. Основные функции финансового менеджмента сводятся к принятию решений в трех направлениях: инвестиции, финансовые решения и решения, связанные с управлением активами. Таким образом, в его рамках осуществляется поиск ответов на вопросы: какой должна быть структура активов, как должны соотноситься денежные ресурсы и товарно-материальные ценности и как они должны распределяться между подразделениями фирмы, а также какова должна быть дивидендная политика, как обеспечивается формирование специфических методов работы с оборотными средствами и денежными активами. Финансовый менеджмент реализует сложную систему управления совокупной стоимостной оценкой средств, участвующих в воспроизводственных процессах, и денежным капиталом, обеспечивающим финансирование предпринимательской деятельности. В условиях рыночной экономики любой компании любому предпринимателю необходимо правильно оценить риск и выгодность того или иного способа вложения денег и принять решение по обеспечению наиболее эффективного способа движения финансовых ресурсов между компанией и источниками ее финансирования. Для организации такого управления финансовому менеджеру необходимо хорошо знать методологию и методику финансового менеджмента и на основе теории, на практике вырабатывать интуицию и чутье рынка. Профессиональный финансист становится ключевой фигурой бизнеса. Финансовый менеджер уделяет значительную часть своего времени проблемам управления денежными средствами и рыночными ценными бумагами. Решение связанных с этим вопросов является каждодневным, непрерывным процессом. В число факторов, оказывающих влияние на ликвидность активов компании, т. е. на ее способность оплатить свои денежные обязательства, входит в том числе и управление денежными средствами и рыночными ценными бумагами. Важную роль в этом играют финансовые рынки и, в частности, денежный рынок, а также финансовые институты, обеспечивающие максимальную ликвидность для всех участников. Целью финансового менеджмента является выработка и применение методов, средств и инструментов для достижения целей деятельности фирмы в целом и отдельных ее производственно-хозяйственных звеньев. Он ориентирован на повышение доходов вкладчиков (акционеров), владельцев (собственников капитала) фирмы. Цель финансового менеджмента — нахождение оптимального соотношения между краткосрочными и долгосрочными целями развития фирмы и принимаемыми решениями в текущем и перспективном финансовом управлении. Главное в финансовом менеджменте — это постановка целей, отвечающая финансовым интересам объекта управления. Эффективность его функционирования во многом зависит от быстроты реакции на изменение условий финансового рынка, финансовой ситуации и финансового состояния объекта управления. Задачей финансового менеджмента является принятие решения по обеспечению наиболее эффективного движения финансовых ресурсов между фирмой и источниками ее финансирования, как внешними, так и внутренними. Поэтому управление потоком финансовых ресурсов, выраженных в денежных средствах, является центральным вопросом в финансовом менеджменте. Эффективное управление движением капитала в рамках фирмы предполагает наличие определения ключевых ориентиров ее развития, что дает возможность оценить эффективность того или иного решения. К задачам финансового менеджмента непосредственно относятся следующие вопросы: - защита интересов потребителя; - выплата заработной платы работникам; - обеспечение справедливых условий найма и безопасных условий труда; - поддержка образовательных программ; - участие в решении проблем охраны окружающей среды. Экономические методы финансового менеджмента можно подразделить на блок по управлению внешними финансами и блок по внутрифирменному учету и финансовому контролю. Управление внешними финансами предполагает реализацию отношений фирмы с юридически и хозяйственно самостоятельными субъектами рынка, включая заимодателей, поставщиков и покупателей, а также с акционерами, финансовыми рынками и включает в себя: - управление оборотными активами фирмы — движением денежных средств, расчетами с клиентами, управлением материально-производственными запасами; - привлечение краткосрочных и долгосрочных внешних источников финансирования. Внутрифирменный финансовый учет и контроль включают: - контроль за ведением производственного учета; - составление сметы затрат, контроль за выплатой заработной платы и налогов; - сбор и обработку данных бухгалтерского учета для внутреннего управления финансами и для предоставления данных внешним пользователям; - составление и контроль за правильностью финансовой отчетности; - анализ финансовой отчетности и использование результатов этого анализа для внутреннего и внешнего аудита; - оценку финансового состояния фирмы на текущий период и ее использование для принятия оперативных управленческих решений и в целях планирования. Система финансового менеджмента выгодно отличается от часто применяемой в казахстанском предпринимательстве практики, когда решения принимаются, исходя из того, имеются на счете деньги или нет. В эффективном финансовом менеджменте главное — уметь оценить перспективные денежные потоки на основе возможностей использования средств на расчетном счете, и найти оптимальный в конкретных условиях вариант. II. Анализ стратегии и тактики финансового менеджмента в управлении финансовыми ресурсами ТОО «Рейз Строй»2.1 Анализ финансового состояния ТОО «Рейз Строй»Переход к рыночной экономике, организация производства с различными формами собственности и хозяйствования потребовали более тщательного и системного (комплексного) подхода к анализу финансового состояния предприятия. Финансовый анализ предприятия включает анализ: 1 предварительный; 2 финансовой устойчивости; 3 ликвидности баланса; 4 финансовых коэффициентов; 5 финансовых результатов; 6 коэффициентов рентабельности и деловой активности. Анализ проводится на основе ряда экономических показателей. Набор экономических показателей, характеризующих финансовое положение предприятия и активность компании, зависит от глубины исследования; однако большинство методик анализа финансового положения предполагает расчет следующих групп индикаторов: финансовой устойчивости, платежеспособности, деловой активности, рентабельностиРезультатом предварительного анализа является общая оценка финансового состояния, а также определение платежеспособности и удовлетворительной структуры баланса предприятия. Для выявления причин сложившейся финансовой ситуации, перспектив и конкретных путей выхода из нее проводится детальный, углубленный и комплексный анализ деятельности предприятия. Анализируются динамика валюты баланса, структура пассивов, источники формирования оборотных средств и их структура, основные средства и прочие внеоборотные активы, результаты финансовой деятельности предприятия. При анализе структуры пассивов реализуются следующие цели: а) определяется соотношение между заемными и собственными источниками средств предприятия; б) выявляется обеспеченность запасов и затрат предприятия собственными источниками, а также с учетом долгосрочного, а затем и краткосрочного кредитов; этот анализ дает наиболее полное представление об обеспеченности запасов и затрат собственными источниками финансирования; в) рассматриваются причины образования кредиторской задолженности (зависящие и независящие от предприятия), ее удельный вес в обязательствах предприятия, динамика, структура, доля просроченной задолженности. Анализ структуры пассивов проводится во взаимосвязи с анализом источников формирования оборотных средств. При проведении анализа долгосрочный кредит может быть приравнен к собственным источникам предприятия, так как он используется, в основном, для формирования основных фондов. Кроме того, прочие источники формирования оборотных средств (доходы будущих периодов, резервы предстоящих расходов и платежей, резервы по сомнительным долгам) при определенных условиях следует также учитывать в составе собственных источников. По типу финансовой устойчивости и его изменению можно судить о надежности предприятия с точки зрения платежеспособности. Анализ финансовой устойчивости начинается с показателей, отражающих сущность устойчивости финансового состояния. Учитывая, что долгосрочные и среднесрочные кредиты и заемные средства преимущественно направляют на приобретение основных средств и капитальные вложения, для выполнения условия платежеспособности необходимо ограничить запасы и затраты величиной собственных оборотных средств. В соответствии с показателем обеспеченности запасов и затрат собственными и заемными источниками выделяют следующие типы финансовой устойчивости: 1) абсолютная устойчивость финансового состояния - собственные оборотные средства полностью обеспечивают запасы и затраты; встречается крайне редко; 2) нормально устойчивое финансовое состояние - запасы и затраты обеспечиваются суммой собственных оборотных средств и краткосрочными заемными источниками; 3) неустойчивое финансовое состояние - запасы и затраты обеспечиваются за счет собственных оборотных средств, долгосрочных заемных источников и краткосрочных кредитов и займов, то есть за счет всех основных источников формирования запасов и затрат; 4) кризисное финансовое состояние - запасы и затраты не обеспечиваются источниками их формирования; предприятие находится на грани банкротства. Анализ ликвидности баланса позволяет оценить кредитоспособность предприятия, то есть способность рассчитаться по своим обязательствам. Ликвидность определяется покрытием обязательств предприятия его активами, срок превращения которых в деньги соответствует сроку погашения обязательств. Наиболее ликвидные активы (денежные средства и ценные бумаги предприятия) должны быть больше или равны наиболее срочным обязательствам (кредиторской задолженности); быстро реализуемые активы (дебиторская задолженность и прочие активы) - больше или равны краткосрочным пассивам; медленно реализуемые активы (запасы и затраты за исключением расходов будущих периодов) - больше или равны долгосрочным пассивам; трудно реализуемые активы (нематериальные активы, основные средства, незавершенные капитальные вложения и оборудование к установке) - меньше или равны постоянным пассивам (источникам собственных средств). При выполнении этих условий баланс считается абсолютно ликвидным. В случае, если хоть одно из условий не выполнятся, ликвидность баланса в большей или меньшей степени отличается от абсолютной. При этом недостаток средств по одной группе активов компенсируется их избытком в другой группе по стоимостной величине. Следует иметь в виду, что в реальной ситуации менее ликвидные активы не могут заместить более ликвидные. Для комплексной оценки ликвидности баланса (оценки финансовой ситуации с точки зрения ликвидности, выбора наиболее надежного партнера) рассчитывается общий показатель ликвидности (fл):
где НЛА - наиболее ликвидные активы; БРА - быстро реализуемые активы; МРА - медленно реализуемые активы; НСО - наиболее срочные обязательства; КСП - краткосрочные пассивы; ДСП - долгосрочные пассивы. Для исследования изменений устойчивости предприятия или проведения сравнительного анализа нескольких конкурирующих фирм используют финансовые коэффициенты; основные из них приведены в табл.1.1 Таблица 1.1 Финансовые коэффициенты
где ИБ - сальдо баланса; ОС - основные средства; ПЗ - производственные запасы; НП - незавершенное производство; А1 - итог раздела I актива баланса; А2 - итог раздела II актива баланса; П4 - итог раздела IV пассива баланса; П5 - итог раздела V пассива баланса; П6 - итог раздела VI пассива баланса; Первоочередными задачами анализа финансовых результатов деятельности предприятия являются оценки: - динамики показателей прибыли (обоснованности образования и распределения ее фактической величины, выявление и измерение действия различных факторов на прибыль, оценка возможных резервов дальнейшего роста прибыли); - деловой активности и рентабельности предприятия, которые характеризуются следующими показателями (табл. 1.2). Таблица 1.2 Коэффициенты рентабельности и деловой активности предприятия
где Пр. - прибыль; В - выручка от реализации продукции (работ, услуг); ГП - остатки готовой продукции; ДЗ - дебиторская задолженность; КЗ - кредиторская задолженность; А - стоимость активов предприятия; ПФ - среднегодовая стоимость производственных фондов. Для оценки удовлетворительности структуры баланса и степени платежеспособности предприятия можно использовать систему критериев, по которой рассчитываются на последнюю отчетную дату три показателя: 1) коэффициент текущей ликвидности (КТЛ):
Итог VI раздела пассива - суммы по строкам № 640, 650, 660 Минимальное нормативное значение КТЛ = 2 2) коэффициент обеспеченности собственными средствами (КОСС):
Итог II раздела актива Минимальное нормативное значение КОСС = 0,1 3) а) если в ходе анализа получено неудовлетворительное значение хотя бы одного из названных коэффициентов, то рассчитывается третий коэффициент - восстановления платежеспособности (КВП):
Если значение этого коэффициента не достигает единицы, то у предприятия отсутствует реальная возможность в ближайшие полгода восстановить свою платежеспособность; б) если по КТЛ и КОСС получены положительные значения, то рассчитывается коэффициент возможной утраты платежеспособности в ближайшие три месяца (КУП):
2 Если этот коэффициент меньше единицы, то возможна утрата платежеспособности в ближайший квартал. Таким образом, схематично анализ финансового состояния предприятия можно представить следующим образом (рис.1.5). Схема анализа финансового состояния предприятия
Анализ финансового состояния проводится с помощью следующих основных приемов: сравнения и группировки, цепных подстановок, разниц. В отдельных случаях могут быть использованы методы экономико-математического моделирования (регрессионный анализ, корреляционный анализ). Прием сравнения заключается в сопоставлении финансовых показателей отчетного периода с их плановыми значениями и с показателями предшествующего периода. Для того чтобы результаты сравнения дали правильные выводы анализа, необходимо обеспечить сопоставимость сравниваемых показателей, то есть их однородность. Прием сводки и группировки заключается в объединении информационных материалов в аналитические таблицы. Это дает возможность сделать необходимые сопоставления и выводы. Аналитические группировки позволяют в процессе анализа выявить взаимосвязь различных экономических явлений и показателей; определить влияние наиболее существенных факторов и обнаружить те или иные закономерности и тенденции в развитии финансовых процессов. Прием цепных подстановок применяется для расчетов величины влияния отдельных факторов в общем комплексе их воздействия на уровень совокупного финансового показателя. Этот прием используется в тех случаях, когда связь между показателями можно выразить математически в форме функциональной зависимости. Сущность приема цепных подстановок состоит в том, что, последовательно заменяя каждый отчетный показатель базисным, все остальные показатели рассматриваются при этом как неизменные. Такая замена позволяет определить степень влияния каждого фактора на совокупный финансовый показатель. Применение приема цепных подстановок требует строгой последовательности определения влияния отдельных факторов. Эта последовательность заключается в том, что в первую очередь определяется степень влияния количественных показателей. Прием разниц состоит в том, что предварительно определяется абсолютная или относительная разница (отклонение от базисного показателя) по изучаемым факторам и совокупному финансовому показателю. Затем это отклонение (разница) по каждому фактору умножается на абсолютное значение других взаимосвязанных факторов. Прием разниц и прием цепных подстановок являются разновидностью приема, получившего название “элиминирование”. Элиминирование - логический прием, используемый при изучении функциональной связи, при котором последовательно выделяется влияние одного фактора и исключается влияние всех остальных. Таким образом, на основе вышеизложенного можно сказать, что финансовый анализ представляет собой метод оценки и прогнозирования финансового состояния предприятия на основе его бухгалтерской отчетности. Финансовое состояние, в свою очередь, являясь комплексным понятием, зависит от многих факторов и характеризуется системой показателей, отражающих наличие и размещение средств, реальные и потенциальные финансовые возможности. Поэтому при анализе финансового состояния используются специфические методы. Они отличаются большим разнообразием, но обладают следующими общими чертами: а) оценка деятельности предприятия с позиции роста эффективности производства; б) определение влияния отдельных факторов на конечные результаты деятельности предприятия. В ходе проведения финансового анализа дается оценка реального финансового положения предприятия, выявляются возможные резервы его улучшения, разрабатываются мероприятия по использованию этих резервов. Все это еще раз указывает на то, что финансовый анализ на предприятии должен носить не эпизодический, а систематический характер.Анализ имущества ТОО «Рейз Строй». Информация об имуществе предприятия нужна, прежде всего, руководителю самого предприятия для планирования деятельности при составлении Бизнес-плана и для принятия правильных управленческих решений по итогам года, а также коммерческим банкам, кредитующим предприятие, партнёрам. Для решения этого вопроса составим таблицы.В экономике темп прироста рассчитывается по формуле 1: где А - изучаемый показатель;
Таблица 2.1 Состав, структура и динамика имущества предприятия
Изучаемый показатель - имущество предприятия. Темп прироста составил 11,61 % (102 436 : 882 000 ´ 100). В составе этого имущества к началу отчётного периода оборотные средства («мобильные») составляли 0,6 % в имуществе предприятия. За отчётный год они увеличились на 102 436 тыс. тенге и также составляют 0,2 % в имуществе предприятия. Чем выше удельный вес оборотных активов в стоимости имущества, тем у предприятия больше возможностей маневрировать свою работу, увеличить товарооборот. Оборотные активы значительно быстрее, чем внеоборотные, или, иммобилизованные активы (основные средства и другие долгосрочные вложения) превращаются из иных форм в денежную. Кроме того, например, основные средства кроме физического снашивания подвержены моральному износу, что значительно понижает их ликвидность. На практике считается, что если удельный вес оборотных активов в имуществе превышает 60 %, то предприятие может быть отнесено к разряду потенциально способных приспособиться к рыночным отношениям. Необходимо обратить внимание на рост денежных средств, который составил 221 168 тыс. тенге, хотя удельный вес в составе имущества предприятия увеличился на 0, 1 %. Также на 0,19 % увеличился удельный вес оправданной дебиторской задолженности. Увеличение удельного веса в составе имущества предприятия денежных средств и оправданной дебиторской задолженности можно объяснить увеличением материальных оборотных активов на 296 434 218 тыс. тенге по сравнению с началом года увеличением удельного веса в общем объёме имущества на 0,3 %. Оборотные средства увеличились в целом на 102 436 тыс. тенге, а темп их прироста составил 11,61 % (102 436 : 882 000 ´ 100). Финансовый результат, полученный предприятием, благосостояние его персонала, приобретение и создание имущества исследуемого предприятия осуществляется за счёт собственных и заёмных средств, характеристика соотношения которых во многом раскрывает сущность его финансового состояния. Оценка структуры и динамики собственных и заёмных средств, вложенных в имущество предприятия, дана в следующей таблице. Таблица 2.2 Оценка структуры и динамики собственных и заёмных средств, вложенных в имущество предприятия
Рассматривая данные, приведённые в таблице 2.2, можно заметить, что стоимость имущества предприятия, выросшая за анализируемый период на 102 436 тыс. тенге, уменьшилась на 109 292 717 тыс. тенге или на -30,32% (-109 292 717 : +360 403 967 ´ 100), за счёт собственного капитала, а за счёт заёмного капитала - на +469 696 684 тыс. тенге, или на 458 526 % (469 696 684 : 102 436 ´ 100). За этот период значительно выросла стоимость собственного оборотного капитала, величина же его в структуре собственного капитала осталась прежней. Отметим, что уровень последнего показателя всегда должен превышать 60 %, в противном случае предприятие теряет свою финансовую независимость и становится в значительной степени зависимо от заёмных источников. 2.2 Управление оборотными активами и текущими пассивами ТОО «Рейз Строй»Финансовая устойчивость предприятия в отечественной практике определяется «Уровнем финансовой независимости» и «Уровнем платёжеспособности и ликвидности предприятия». Уровень финансовой независимости характеризуется рядом показателей. Основополагающей характеристикой уровня финансовой независимости предприятия является уровень общей финансовой независимости, который определяется как частное от деления собственного капитала на имущество предприятия (общую величину капитала предприятия). Обычно он рассчитывается в процентах. Если его величина больше 50 %, то предприятие независимо от заёмных источников, если менее 50 %, то предприятие зависимо от заёмных источников. Данный коэффициент был нами рассчитан в таблице 2.2., стр. 4: на начало периода он составил -654,3 %, на отчётную дату его величина снизилась на -11 034 % и составила -11 693,5 %. Тенденция неблагоприятная, тем более что сам показатель менее 50 % как на начало, так и на конец года. В дополнение к указанному показателю рассчитывают: Уровень финансовой независимости в формировании оборотных активов (К незав. об. акт.). он определяется по формуле:
(2) 2)Уровень финансовой независимости в формировании запасов и затрат (К незав. запасов.). Его рассчитывают по формуле:
На начало отчётного периода К незав. об. акт. = -5 771 : 155 990 ´100 = -3,7 % , на отчётную дату он равен -22,3 % (-115 064 : 516 394 ´ 100), т. е. увеличился на 18,6 %, что влечёт за собой большую зависимость при формировании оборотных активов от привлечённых заёмных источников. Отметим, что данная величина должна превышать 60 %, в нашем примере она намного ниже. К незав. запасов на начало года равен -4,5 % (-5 771 : 128 055 ´ 100), на отчётную дату он составил -27,1 % (-115 064 : 424 489 ´ 100). Значение этого показателя должно превышать 60 - 80 %, что также характеризует ухудшение финансовой независимости предприятия. Другой, не менее важной характеристикой финансовой независимости предприятия является коэффициент привлечения (К пр.), который представляет собой частное от деления всей суммы обязательств по привлечённым заёмным средствам к сумме собственных средств. Рассчитывается по данным таблицы 2.2. Он указывает, сколько заёмных средств привлекло предприятие на одну тенге вложенных в активы собственных средств (собственного капитала). На начало отчётного периода К пр. равен 2 802 % (161 761 : -5 771 ´ 100), на отчётную дату он составил 548 % (631 458 : -115 064 ´ 100). Значение этого показателя не должно превышать 100 %, что говорит об очень большой зависимости предприятия от привлечения заёмного капитала. В целом, на основании проведённых выше расчётов можно отметить, что ТОО «Рейз Строй» финансово зависимо от привлеченного заёмного капитала. Это может объясняться спецификой работы ТОО «Рейз Строй», т. к. в большинстве случаев предприятие работает по предоплате. Оценка платёжеспособности и ликвидности ТОО«Рейз Строй».Для характеристики финансовой устойчивости недостаточно рассчитать показатели финансовой независимости предприятия. Поэтому следующей задачей анализа является оценка платёжеспособности этого предприятия. Под платёжеспособностью понимается способность предприятия к погашению своих краткосрочных долговых обязательств, иными словами сумма текущих активов А т (запасов, денежных средств, дебиторской задолженности и других активов) больше или равна его внешней задолженности З внеш. (по обязательствам), т. е.
Текущие активы А = З + Д, (5) где З - запасы и затраты; Д - денежные средства, расчёты и прочие активы З внеш. = ДФО + РПП, (6) где ДФО - долгосрочные долговые обязательства; РПП - расчёты прочие пассивы (в том числе краткосрочные кредиты банка и кредиторская задолженность). Используя данные баланса, необходимо установить на начало и конец года по предприятию динамику текущих активов и внешней задолженности, а также определить платёжеспособность предприятия на начало и на конец года. Таблица 2.3 Оценка платежеспособности ТОО «Рейз Строй»
Сравнивая строки 3 и 6 таблицы 2.3, определяем: 128 338 > 65 941, следовательно, предприятие в состоянии ответить по краткосрочным обязательствам, т. е. является платёжеспособным. 424 993 > 208 092, следовательно, на конец года ТОО «Рейз Строй» также является платёжеспособным. Но указанная оценка платёжеспособности не очень точна. В отечественной практике состояние платёжеспособности оценивается посредством сравнения ликвидных ресурсов с краткосрочными долговыми обязательствами, для чего необходима предварительная группировка позиций актива баланса по уровню из ликвидности. По уровню ликвидности имущество предприятия, представленное в активе баланса, выделяют в четыре группы. Первая группа - немедленно реализуемые активы, то есть денежные средства и краткосрочные финансовые вложения. Вторая группа, которую обычно называют «быстро реализуемые активы», это дебиторская задолженность в оправданной её части. К третьей группе, к имуществу средней реализуемости, принято относить материальные оборотные активы, из которых следует исключить неходовые, залежалые, т. е. неликвидные и труднореализуемые ТМЦ. К четвёртой группе, которая чаще всего называется «труднореализуемое и неликвидное имущество», относят всё то имущество, которое мы исключили из первых трёх групп, плюс основные средства и прочие внеоборотные активы. В соответствии с предложенной классификацией активов баланса по уровню их ликвидности рассчитывают коэффициенты: 1) Абсолютной ликвидности, денежной ликвидности, абсолютной платёжеспособности (в разряде публикаций этот коэффициент носит разные названия, хотя сущность его от этого не меняется). Назовём его «коэффициент абсолютной ликвидности» (К абс. ликв.). Это дробь, в числителе которой показывается стоимость немедленно реализуемых активов, т. е. первой группы активов, а в знаменателе - краткосрочные долговые обязательства предприятия. В западной практике значения этого коэффициента признаются теоретически достаточными, если они превышают 0,25 - 0,30 единиц, то есть считается вполне достаточным иметь 25 - 30 процентов реальных денег по отношению к краткосрочным долговым обязательствам, чтобы быть признанным платёжеспособным. В отечественной практике, в условиях кризиса неплатежей значение коэффициента абсолютной ликвидности должно быть не менее 0,5 единиц. Превышение значения такого коэффициента над единицей означает безукоризненную денежную ликвидность, но с точки зрения эффективности финансово-коммерческой деятельности предприятия это неравенство говорит о нерациональном использовании свободных денежных средств. Деньги должны ”работать“ и приносить дополнительную прибыль (доход). 2) Коэффициент промежуточного покрытия или срочной ликвидности (К пп). В системе этого коэффициента показывается сумма денежных средств, краткосрочных финансовых вложений, реальных к получению в отчётном периоде, и дебиторской задолженности в оправданной её части, т. е. сумма статей актива баланса, отнесённых к первой и второй классификационным группам по уровню их ликвидности. Знаменатель коэффициента тот же, что и у показателя ликвидности - краткосрочные долговые обязательства. Его рассчитывают для того, чтобы знать, какими финансовыми ресурсами располагает предприятие, не прибегая к реализации материальных оборотных активов, для погашения своих долговых обязательств. Теоретически оправданная величина этого показателя в отечественной практике лежит в диапазоне 0,7 - 0,8 единицы. 3) Коэффициент текущей ликвидности или общего покрытия (К тек. ликв.), в числителе которого берётся сумма всех денежных средств, краткосрочных денежных вложений, реальных к получению, дебиторской задолженности в оправданной её части и материальных оборотных средств без учёта неликвидов, то есть в числителе должна быть сумма первых трёх квалификационных групп по уровню их ликвидности, знаменатель дроби - краткосрочные долговые обязательства. Этот показатель отражает способность предприятия погасить за счёт мобилизации всех ликвидных оборотных активов свои долговые обязательства. Значение этого коэффициента считается достаточным для нормального функционирования предприятия, если оно колеблется в интервале 2,0 - 2,5 единицы. Если его величина меньше единицы, то это свидетельствует о недостаточности объёма ликвидных оборотных активов, необходимых для погашения краткосрочных долговых обязательств. В связи с этим возникает необходимость для погашения последних использовать в качестве ликвидных ресурсов основные средства и другие долгосрочные вложения, что грозит банкротством предприятия. Классифицируем оборотные активы ТОО «Рейз Строй» по уровню их ликвидности и обобщим результаты в таблице 2.4 Таблица 2.4 Группировка активов предприятия по уровню их ликвидности
Теперь составим таблицу, обобщающую данные о долговых обязательствах предприятия. Таблица 2.5 Краткосрочные долговые обязательства предприятия
Зная и используя данные таблиц 2.4 и 2.5 рассчитаем, коэффициенты ликвидности, результаты сведём в таблицу 2.6. Таблицу 2.6 Коэффициенты ликвидности (платёжеспособности).
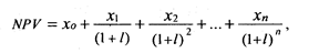
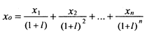
За отчётный период значение коэффициента абсолютной ликвидности значительно уменьшилось (на 0,002 единицы) и на отчётную дату составило 0,001 единицы. Это не очень хорошая тенденция, в целом ухудшающая платёжеспособность предприятия, тем более что данный коэффициент хотя и не на много, но ниже теоретически допустимого уровня в условиях кризиса неплатежей (на начало года этот показатель был хорошим). Теперь вместо 0,2 % предприятие может немедленно погасить только 0,1 % своих краткосрочных заёмных обязательств, то есть значение показателя уменьшилось на 0,1 %. Коэффициент промежуточного покрытия на начало года значительно превышал теоретически возможный показатель, но на конец отчётного года коэффициент уменьшился на 10,6 %. Если предприятие использует свою дебиторскую задолженность для покрытия краткосрочных долговых обязательств, то в отчётном периоде оно сможет покрыть 14 % платёжного дефицита. Значение коэффициента текущей ликвидности незначительно уменьшилось с 0,246 единиц до 0,140 единиц. Несмотря на то, что теоретически определённый показатель выше, всё-таки показатель предприятия не вышел за критическую отметку равную единице. 2.3 Управление долгосрочными инвестициями ТОО «Рейз Строй» Таким образом, ТОО «Рейз Строй» пока ещё платёжеспособно, хотя за анализируемый период возникли негативные тенденции, особенно в плане финансовой независимости. Переоценка долгосрочных инвестиций. Для переоценки долгосрочных финансовых инвестиций необходимо определить периодичность переоценки; одновременно следует переоценивать долгосрочные -инвестиции одного вида. Сумма до оценки долгосрочных финансовых инвестиций относится на увеличение собственного капитала. При снижении стоимости инвестиции уменьшение производится за счет суммы до оценки той же инвестиции. При отсутствии (недостаточности) суммы до оценки одной и той же инвестиции, снижение ее стоимости относится на убыток. Сумма до оценки инвестиции, стоимость которой ранее была снижена, относится на увеличение собственного капитала после погашения убытка от той же инвестиции. Процесс принятия решений о долгосрочных финансовых инвестициях является одним из самых трудных и противоречивых финансовых вопросов. Когда инвестор вкладывает средства в долгосрочные инвестиции, то он отказывается от денежных средств сегодня, в пользу до-. хода в будущем. Инвестиционный проект оценивается в соответствии с I тем, даст он прибыль равную или большую, чем необходимо инвесторам. Изначально существует такой коэффициент окупаемости, который 1 позволит рыночной цене инвестиции остаться неизменной. Но на практике принятие управленческих решений, зачастую влечет за собой изменение коэффициента окупаемости и, как следствие, оценки долгосрочных финансовых инвестиций. Если Учетной политикой хозяйствующего субъекта предусмотрен ; порядок переоценки долгосрочных финансовых инвестиций в зависимости от изменения показателей эффективности в определенный период времени, то логично пересчитывать изменение именно тех показателей, которые использовались при предварительной оценке инвестиционных проектов. В практике существует четыре наиболее распространенных метода анализа эффективности долгосрочных инвестиций: - средней нормы дохода на инвестиции; - окупаемости; - внутренней нормы дохода; - чистой текущей стоимости. При использовании в анализе оценки долгосрочных финансовых инвестиций метода средней нормы дохода на инвестиции рассчитывается отклонение среднегодового дохода после налогообложения в определенный период времени того предприятия, в которое осуществлены, финансовые инвестиции и средней величины инвестиций в проект. Изменение средней нормы дохода на инвестиции приводит к увеличению, либо к уменьшению стоимости долгосрочных финансовых инвестиций, ТО есть к необходимости их переоценки. Например, предприятие осуществило финансовые инвестиции в одну из компаний со средней нормой дохода на момент инвестирования 9,3%. Учетной политикой предприятия предусмотрена переоценка финансовых инвестиций один раз в год по справедливой стоимости. По истечении года, следующего за годом осуществления инвестиций, среднегодовой балансовый доход за 3 года составляет 21 тыс. тенге, а чистые инвестиции 180 тыс.тенге. Соответственно средняя норма дохода составляет (21:180)* 100%= 11,67%. Увеличение средней нормы дохода, влечет за собой до оценку финансовых инвестиций на величину пропорциональную величине увеличения среднегодового дохода предприятия. То есть, если величина первоначальных инвестиций составила 180 тыс.тенге, в результате изменения средней нормы дохода на 5,3 тыс.тенге, она увеличится на 45 тыс.тенге (5,3:21*180). Если при первоначальной оценке финансовых инвестиций использовался метод окупаемости и эффективность инвестиционного проекта определилась из числа лет, необходимых для возмещения стартовых инвестиционных расходов, долгосрочные финансовые инвестиции переоцениваются при изменении периода окупаемости. Использование методов внутренней, нормы дохода чистой текущей стоимости основывается на концепции стоимости денег во времени: предпочтительно иметь деньги сегодня, чем завтра. Для того, чтобы определить сколько сегодня будут стоить деньги, полученные в будущем применяются определенные средства идентификации денежных потоков. К числу этих средств относится ставка дисконтирования -процентная ставка, используемая для определения текущей стоимости будущих денежных потоков. Внутренняя норма дохода для инвестиционного проекта - есть ставка дисконтирования, благодаря которой уравниваются текущая стоимость ожидаемых денежных оттоков и текущая стоимость ожидаемых денежных притоков. Если стартовые затраты приходятся на время О, то внутренняя норма дохода может быть представлена величиной /, которая определяется из следующей формулы:
Таким образом, / - это ставка дисконтирования величины будущих денежных потоков - от Х1 до Хп, чтобы можно было приравнять их к Текущей стоимости стартовых затрат во время 0=Хо. При осуществлении инвестиционных вложений инвестором обычно просчитывается необходимая норма внутреннего дохода. Если в период владения инвестициями внутренняя норма дохода превысила необходимую, то это должно привести к переоценке долгосрочных финансовых инвестиций, поскольку проект становится более рентабельным. И наоборот, если проект становится менее рентабельным. Как и метод внутренней нормы дохода, метод текущей стоимости - это метод дисконтирования денежных потоков с целью определения эффективности долгосрочных инвестиций. Чистая текущая стоимость равна текущей стоимости притоков денежных средств минус текущая стоимость оттоков денежных средств. Чистая текущая стоимость инвестиционного проекта равна:
где l - необходимая норма дохода. Если необходимая норма дохода равна величине дохода, который инвесторы ожидают получить от инвестиционного проекта, и предприятие принимает этот проект с чистой реальной стоимостью, отличной от нуля, стоимость долгосрочных финансовых инвестиций будет увеличиваться, то есть до оцениваться. Например, предположим, что необходимая норма дохода равна 12% после налогообложения, величина инвестиций составляет 180 тыс.тенге и ежегодные выплаты в течении пяти лет 57 тыс.тенге, текущая стоимость будет равна:
При изменении необходимой нормы дохода до 14%, текущая стоимость изменится на 10 тыс.тенге в сторону уменьшения.
и соответственно должна быть произведена уценка финансовых инвестиций на 70,5 тыс.тенге (180-180*15,5/25,5). Однако на практике, под влиянием изменения скорости оборота оборотных активов, изменения конъюнктуры, отраслевых особенностей предприятия, уровня инфляции вполне удовлетворительными могут оказаться результаты деятельности и при значительно меньшем значении показателей платёжеспособности, и наоборот. Поэтому кроме перечисленных выше характеристик необходимо определить скорость и время оборота оборотных активов в динамике, изменение которых оказывает существенное влияние на финансовое состояние предприятия. Показатели деловой активности ТОО «Рейз Строй».В обобщённом виде формула для расчёта показателей оценки деловой активности предприятия выглядит как отношение выручки от реализации к средней за период величине средств или их источников. Коэффициенты деловой активности отражают скорость оборота средств, которая непосредственно влияет на платёжеспособность. Анализ показателей деловой активности предприятия позволяет выявить следующие неблагоприятные тенденции: замедление кругооборота средств, увеличение производственных запасов, снижение спроса на товары и т. п. Коэффициент оборачиваемости всех активов определяется как отношение выручки от реализации ко всей сумме активов. финансовый менеджмент управление актив Оа = В/SА (7) Чем выше объём реализации, тем эффективнее используются активы и быстрее оборачиваются. Сумма всех активов включает долгосрочные активы, в том числе основные средства и текущие активы - оборотные средства, поэтому может быть рассчитана оборачиваемость основных фондов и оборотных средств в отдельности. На ТОО «Рейз Строй» основные фонды отсутствуют, поэтому оборачиваемость всех активов будет совпадать с оборачиваемостью текущих активов. Коэффициент оборачиваемости запасов и затрат (материальных оборотных активов): Озз = В/З (8) Коэффициент оборачиваемости средств в расчётах или дебиторской задолженности: Одз = В/Зд (9) Среднегодовые остатки оборотных активов мы рассчитали по средней арифметической. Сумма активов на начало, и конец года делится на два. Такой расчёт производится на начало отчётного периода и на отчётную дату. Среднегодовые остатки материальных оборотных активов и дебиторской задолженности рассчитываются по тому же принципу. Коэффициент оборачиваемости собственного капитала: Окс = В/КС (10) Кроме показателей оборачиваемости оборотных активов и собственного капитала определяется также и время оборота в днях. tа = Ат ´ Д : В, (11) где Д - число календарных дней в отчётном периоде; В - выручка от реализации; Ат - сумма текущих активов (или материальных активов, или дебиторской задолженности). В таблице 2.7 приведена форма расчёта и анализа динамики показателей, оценивающих деловую активность предприятий. Таблица 2.7 Расчёт показателей оценки деловой активности ТОО «Рейз Строй».
За отчётный период скорость оборота всех оборотных активов спала на 177 % (1,77´ 100), продолжительность одного оборота спала на 203 дня. Скорость оборота материальных оборотных активов уменьшилась в отчётном периоде на 215 % (2,15 ´ 100), а продолжительность одного оборота возросла на 167 дня. Таблица 2.8 Показатель оборачиваемости собственного капитала.
Также произошло уменьшение скорости оборота и средств в расчётах (дебиторской задолженности) на 104,3 % (10,43 ´ 100) и продолжительность оборота возросла на 34,5 дня. Как видим, показатели оценки деловой активности ТОО «Рейз Строй» не очень хорошие, кроме того очевидна тенденция улучшения этих показателей. Результаты расчётов, приведённых в таблицах 2.1 - 2.8, сведены в таблицу 2.9. Оценка прибыльности предприятия.Деятельность предприятия зависит от его способности приносить достаточный уровень дохода (прибыли), которая влияет и на платёжеспособность. Наиболее важные и обобщённые показатели оценки прибыльности предприятия, которые характеризуют отдачу капитала, относятся: - Общая рентабельность; - Рентабельность собственного капитала; - Рентабельность производственных фондов. Общую рентабельность можно определить из соотношения: Rо = (Пб/SА) ´ 100 , (12), где Пб - балансовая прибыль отчётного года SА - сумма всех активов Предприятие должно интересовать, какую прибыль оно получает на каждый тенге активов. Для оценки деятельности предприятия важное значение имеет ещё один показатель рентабельности, который определяется как отношение чистой прибыли (Пч) к сумме активов (всем или текущим): Rча = (Пч/SА) ´ 100 ; или RчАт = (Пч/Ат) ´ 100 (13) Чистая прибыль - это разница между балансовой прибылью и обязательными платежами: Пч = Пб - Плоб Если прибыль, полученная с 1 тенге активов, меньше, чем процентная ставка на заёмные средства, то финансовая устойчивость предприятия нарушается, финансовое положение неблагополучно. Рентабельность собственного капитала представляет собой отношение чистой прибыли к величине собственного капитала. Rск = (Пч/КС) ´ 100 (14) Таблица 2.9 Показатели финансовой устойчивости ТОО «Рейз Строй»
Величина этого показателя даёт представление о том, как работает собственный капитал. Представляет интерес сопоставление двух показателей Rо и Rск, т. е. дохода на 1 тенге активов и собственного капитала. Разница в этих показателях объясняется использованием привлечённого капитала. Рентабельность производственных фондов определяется как отношение балансовой прибыли к среднегодовой величине основных производственных фондов (ОПФ) и материальных оборотных активов (Ам). С помощью этого показателя устанавливается, какая прибыль получается с каждого вложенного тенге в основные средства и материальные активы. Rпф = [Пб/(ОПФ + Ам)] ´ 100. (15) По данным таблицы 2.10 можно рассчитать и проанализировать динамику показателей прибыльности хозяйственной деятельности. Таблица 2.10 Расчёт показателей прибыльности хозяйственной деятельности.
Как видно из таблицы 2.10 показатели оценки прибыльности хозяйственной деятельности ТОО «Рейз Строй» как на начало, так и на конец года достаточно низкая. Причём общая рентабельность увеличилась на отчётную дату на 17,5 %. Чистая рентабельность увеличилась на отчётную дату на 17,5 %. Рентабельность собственного капитала уменьшилась на 1,679 %. Рентабельность производственных фондов повысилась на отчётную дату на 21,11 %, но сам показатель на отчётную дату остаётся достаточно высоким. Это связано с тем, что на протяжении двух лет (2005-2006г.г.) ТОО «Рейз Строй» строит 9-ти этажный жилой элитный дом, а ввод его в эксплуатацию и получение прибыли планируется в 2007 году. В составе показателей, характеризующих хозяйственную деятельность предприятия, можно выделить рентабельность реализованной продукции, определяемую как отношение чистой прибыли (Пч) к выручке от реализации (Вр). Rрп = (Пч/Вр) ´ 100. (16) Снижение этого показателя может означать падение спроса на продукцию и товары. Расчёт и анализ динамики показателя рентабельности реализованной продукции приведён в таблице 2.11 Таблица 2.11 Расчёт рентабельности реализованной продукции.
III. Проблемы и пути оптимизации стратегии финансового менеджмента на предприятиях в Республике Казахстан 3.1 Проблемы управления финансами в Республике Казахстан Согласно установленных Правительством Республики Казахстан сроков Министерство финансов республики Казахстан представляет в Правительство Республики Казахстан основные направления бюджетной политики на предстоящий финансовый год. И проект консолидированного финансового баланса государства, разработанные на основе ежегодного послания Президента Республики Казахстан к народу Казахстан, индикативного плана социально - экономического роста страны, оценки текущего исполнения бюджета, динамики макроэкономических показателей и основных направлений денежно - кредитной политики. Правительство Республики Казахстан после одобрения основных направлений бюджетной политики на предстоящий год и проекта консолидированного финансового баланса государства принимает постановление, которым устанавливает порядок и сроки формирования проекта бюджета центральными государственными органами, организациями, содержащиеся за счет бюджетных средств, и предоставления его в Министерство финансов Республики Казахстан. Порядок составления, рассмотрения, утверждения республиканского и местного бюджетов определяется на основе действующего законодательства. Правила составления и исполнения республиканского и местного бюджетов разрабатывается Министерством финансов Республики Казахстан. Размещение заказов на выполнение работ и оказания услуг по программам за счет средств государственного бюджета производится, как правило, на конкурсной основе. Правительство Республики Казахстан и местные исполнительные власти публикуют отчеты об исполнении соответствующего республиканского и местного бюджетов. В установленные Правительством сроки Республики Казахстан Министерство Финансов Республики Казахстан представляет в Правительство Республики Казахстан основные направления бюджетной политики на предстоящий финансовый год. Правительство Республики Казахстан после одобрения основных направлений бюджетной политики на предстоящий год проекта консолидированного финансового баланса принимает постановление, которым указывает порядок, сроки формирования проекта бюджета центральными государственными органами, организациями, содержащимися на государственном бюджете. После чего данный проект предоставляется в Министерство Финансов Республики Казахстан. Порядок составления, рассмотрения, утверждения республиканских и местных бюджетов определяется на основании действующего законодательства. Одобренный Правительством Республики Казахстан проект консолидированного финансового баланса служит основанием для разработки Министерством финансов Республики Казахстан республиканского бюджета и определения укрупненных параметров местных бюджетов на предстоящий финансовый год, принимаемый за основу при определении величины нормативов отчислений от общегосударственных налогов и сборов в местные и другие предполагаемые взаимоотношения с республиканским бюджетом. Проект республиканского бюджета разрабатывается в соответствии с бюджетной классификацией, утверждаемой Министерством Финансов Республики Казахстан. В проекте о республиканском бюджете указывается сумма всех поступлений, нормативы распределения регулирующих общегосударственных налогов, а также предельные размеры расходов по функциональным группам, функциям, подфункциям и учреждениям бюджетной классификации, с указанием размера дефицита бюджета, источников его покрытия, а также проектируемые размеры официальных трансфертов.22 Разработанный Правительством Республики Казахстан проект закона о республиканском бюджете со всеми приложениями не позднее 15 сентября года, предшествующего планируемому, предоставляется на обсуждение Парламента Республики Казахстан. Утверждение республиканского бюджета и внесение изменений производится на совместном заседании палат после их последовательного обсуждения вначале в Мажилисе, затем в Сенате. Обсуждение начинается с доклада министра Финансов Республики Казахстан, председателя Национального Банка Республики Казахстан, а также палат Парламента Республики Казахстан с заключение по рассматриваемому вопросу. Республиканский бюджет на предстоящий финансовый год утверждается на совместном заседании палат Парламента Республики Казахстан не позднее 15 декабря отчетного года. В случае, если Парламент Республики Казахстан в срок до 15 декабря не примет закон о республиканском бюджете на очередной финансовый год, Президент Республики Казахстан издает Указ «О республиканском финансовом плане на первый квартал предстоящего финансового года», который действует до утверждения Парламентом республиканского бюджета. Исполнение финансового плана осуществляется в порядке, установленном для республиканского бюджета. Уточнение республиканского бюджета в ходе его исполнения осуществляется на основании предложений Правительства Республики Казахстан или других законодательных инициатив согласно действующего законодательства, в порядке и на условиях настоящего Закона. Министерство Финансов Республики Казахстан в недельный срок, но не позднее 15 августа, после одобрения Правительством Республики Казахстан прогнозного проекта государственного бюджета Республики Казахстан и в составе его укрупненного счета проектируемого объема государственного бюджета на следующий финансовый год сообщает по поручению Правительства Республики Казахстан акимам областей, городов республиканского значения проектируемые размеры отчислений от государственных налогов и сборов, сумму предполагаемого выделения средств из государственного бюджета на финансирование общегосударственных программ (с указанием каких конкретно) и ориентировочную сумму кредита (ссуды), на которую могут рассчитывать исполнительные органы, а также предельные лимиты расходов на содержание аппарата управления местных представительных и исполнительных органов. На основе сообщенных Министерством Финансов Республики Казахстан показателей своих прогнозов по основным параметрам бюджетов областей и городов республиканского значения местные исполнительные власти самостоятельно определяют прогнозные объемы своих бюджетов. Составление, утверждение и исполнение местных бюджетов осуществляется согласно бюджетной классификации, утверждаемой Министерством Финансов Республики Казахстан. Распределение общегосударственных налогов и доходов между бюджетами городов областного значения и бюджетами районов производится на основании их решения об областном, городском бюджете на финансовый год. Местные представительные власти, исполнительные власти несут ответственность за сбалансированность доходов и расходов соответствующих местных бюджетов. Вмешательство вышестоящих исполнительных органов и местных государственных органов в процесс составления, утверждения и исполнения низовых бюджетов не допускается. Объем официальных трансфертов, предоставляемых в порядке исключения в виде субвенции из республиканского бюджета нижестоящим органам для реализации конкретных программ по функциональным группам, определяется законом о государственном бюджете. В местных бюджетах образуется оборотный резерв наличности за счет остатка местных бюджетов на начало планируемого года, который используется местными исполнительными органами для управления ликвидностью в течение финансового года. Размер оборотного резерва наличности определяется при утверждении соответствующих местных бюджетов. Акимы областей, городов республиканского значения не позднее двух недельного срока, после вступления в силу закона республиканском бюджете на очередной финансовый год, уточняют ранее составленные прогнозные объемы бюджета и вносят на рассмотрение соответствующих маслихатов доработанный вариант областного, городского бюджетов, который в течение двух недель принимает решение по его утверждению. До утверждения местного бюджета на предстоящий финансовый год исполнение бюджета производится в размере ј годового проектируемого бюджета на предстоящий финансовый год. Министерство Финансов Республики Казахстан могут предоставлять от имени Правительства Республики Казахстан государственные кредиты в пределах сумм и на цели, предусмотренные в республиканском бюджете, как правило через государственные банки. Порядок и условия предоставления кредитов определяется Правительством Республики Казахстан. Для покрытия временного кассового разрыва Министерство Финансов Республики Казахстан по ходатайству акимов областей и городов республиканского значения могут выдавать бюджетные кредиты (ссуды) из республиканского бюджета местным бюджетам. На эти цели вышестоящие органы могут выдавать нижестоящим бюджетные кредиты (ссуды) под гарантию соответствующих бюджетов. Порядок и условия определяются в Правилах составления и исполнения республиканского и местного бюджетов, утверждаемых Министерством Финансов Республики Казахстан. Правительство Республики Казахстан имеет право заимствовать у юридических и физических лиц, иностранных государств и международных организаций для финансирования дефицита республиканского бюджета. Государственное заимствование средств осуществляется в форме договоров займа или выпуска ценных бумаг. В республиканском бюджете утверждаются предельные суммы заимствования Правительством Республики Казахстан в текущем финансовом году (лимит государственного долга), а также предусматриваются средства для обслуживания и погашения основного долга. Правительство Республики Казахстан вправе выдавать государственные гарантии. Предельный размер государственных гарантий утверждается в законе о республиканском бюджете на соответствующий год. В республиканском бюджете предусматриваются средства для покрытия риска по выплатам, вытекающих из гарантий Правительства Республики. 3.2 Оптимизация структуры капитала и эффективности вложений Благополучие фирмы в области финансов обеспечивается за счет действия как внешних, так и внутренних факторов, причем для предпринимателя особое значение приобретают прежде всего внешние обстоятельства, которые он изменить не может и вынужден к ним приспосабливаться. Внутренние возможности фирмы используются таким образом, чтобы эффективно задействовать внешние факторы. Анализ внешней среды служит инструментом, при помощи которого менеджеры контролируют внешние по отношению к организации факторы с целью предвидеть потенциальные опасности и вовремя задействовать вновь открывающиеся возможности. Изучение внешней среды позволяет фирме своевременно спрогнозировать появление рыночных опасностей, подготовить ситуационные планы на случай возникновения непредвиденных обстоятельств, разработать стратегию, которая позволит компании достигнуть поставленных целей и превратить потенциальные угрозы в выгодные возможности. Внешняя среда - это все те внешние факторы, которые влияют на деятельность фирмы и, в свою очередь, испытывают на себе ее воздействие. К ним относятся географические, международные, национальные, политические, правовые, экономические, социальные и другие факторы. Перечислим основные факторы, оказывающие определяющее влияние на формирующуюся в Казахстане рыночную экономику, на функционирующие в ней предпринимательские структуры: природные ресурсы Казахстана, трудовые ресурсы Казахстана (количество, демографическая ситуация, уровень образования, квалификация, культура), территория страны (размеры, региональные и национальные особенности), национальный менталитет (образ жизни, деятельности, психология, традиции, привычки населения), международные отношения (международное положение страны, интерес различных стран мира к ресурсам и экономике Казахстана), государственно-политическое устройство Казахстана (отношение органов государственной власти и управления к предпринимательству), состояние правопорядка в стране, отношения собственности (защищенность, гарантии), степень монополизации экономики, состояние развития конкуренции (внутренней и внешней), развитие инфраструктуры (информации, транспорта, связи, банковской системы, товароснабжения, маркетинга, рекламы, страхового дела, аудита), уровень экономического развития страны (объемы и динамика производства, производительность труда), инфляция (уровень и динамика), налогообложение (уровень и динамика), уровень, состояние социальной защищенности населения (системы трудоустройства, подготовки и переподготовки кадров, уровень минимальной зарплаты, пенсий, пособий, стипендий), конвертируемость тенге (параллельное обращение национальной валюты), технические и технологические факторы. Различные опасности могут проявляться в разных областях внешнего окружения. Исследование этих сфер позволяет получить полное представление о складывающихся тенденциях развития внешней среды организации. При анализе экономических факторов, характерных для Казахстана, обычно рассматривают темпы инфляции, налоги, характер и уровень занятости населения, платежеспособность предприятий-партнеров, состояние денежных расчетов и т. д. При анализе политических факторов рассматривают состояние и динамику изменений законодательства, нормативных актов местных органов власти и центрального правительства, уровень развития правового регулирования экономики, в частности, антимонопольного законодательства, кредитную политику, ограничения на получение кредитов и наем рабочей силы и др. Рыночные факторы оказывают непосредственное влияние на эффективность работы компании. Их изучение позволяет руководству фирмы уточнить стратегию и укрепить ее позиции на рынке. Здесь исследуют изменение демографических условий, уровень конкуренции в отрасли, долю рынка, защищенность его правительством и пр. Руководство фирмы призвано постоянно следить и за технологической внешней средой, чтобы не упустить момент появления в ней изменений, которые могли бы представить осложнения для существования организации.15 Анализ факторов конкуренции предполагает постоянный контроль со стороны руководства фирмы за действиями соперников. В этой сфере выделяют четыре диагностические зоны: анализ будущих целей конкурентов, оценка их текущей стратегии, оценка реальных возможностей конкурентов, изучение сильных и слабых сторон конкурентов. Учет социальных факторов внешней среды связан с изменяющимися общественными ценностями, отношениями, ожиданиями и нравами. В условиях экологической нестабильности именно в социальной среде зарождаются многие проблемы, представляющие большую угрозу для фирмы. Чтобы эффективно справиться с этими проблемами, она как социальная система сама должна меняться, приспосабливаясь к внешней среде. Наконец, рассмотрение международных факторов приобрело особо важное значение для отечественных организаций после отмены государственной монополии на внешнюю торговлю. Многие крупные и средние компании активно действуют на международном рынке. Руководство фирм призвано следить за ситуацией, которая складывается в этом сегменте. Анализ внешней сферы, исследование рассмотренных выше ее сфер облегчает руководству фирмы подготовку ответов на следующие вопросы: Какие изменения во внешнем окружении воздействуют на стратегию фирмы? Какие факторы представляют особую угрозу для текущей стратегии организации? Какие возможности представляют интерес для достижения общефирменных целей? За системным -рассмотрением в динамике важнейших аспектов внешней обстановки фирмы следует анализ ее собственных потенциалов, ее сильных и слабых сторон. Здесь важно оценить: обладает ли фирма такими внутренними силами, чтобы эффективно воспользоваться возникающими возможностями, какие ее слабости, затруднения могут осложнить решение проблем, связанных с внешними опасностями. Метод, который используют для диагностики внутренних проблем, называется управленческим обследованием. Оно основано на комплексном исследовании различных функциональных зон организации и в зависимости от поставленной задачи может быть простым или более сложным. В обследование обычно входит изучение пяти функциональных зон: маркетинг, финансы и учет, производство-персонал, а также организационная культура и имидж организации. При анализе системы маркетинга фирмы, как правило, выделяют семь важнейших сегментов исследования. Первый - доля рынка и конкурентоспособность. Доля рынка в процентах к его общей емкости является одним из важнейших показателей, характеризующих уровень деятельности организации, поскольку имеется определенная зависимость между долей рынка фирмы и эффективностью ее работы (прибыльностью). Особое значение имеют разнообразие и качество ассортимента, которые во многом определяют устойчивость организации. Здесь возможны различные подходы. Одна фирма ориентируется на ограниченный ассортимент, оценивая свой главный успех в обеспечении качества продукции. Другая фирма ежегодно осваивает десятки и сотни новых изделий. Трудно переоценить значение рыночной демографии. Исследование изменений такого рода на рынке и в структуре клиентов - весьма трудная задача для фирмы. Ее осложняет социальное расслоение общества, изменение уровня доходов основной массы населения, трансформация общественных ценностей. Очень важны рыночные исследования и разработки. Для поддержания постоянной конкурентоспособности фирме необходимо вести широкие конъюнктурные исследования, осуществлять разработки новых товаров и услуг, поиск новых рынков. Все более важную роль играет предпродажное и послепродажное обслуживание клиентов. Эффективное и добротное послепродажное обслуживание способствует увеличению объема продаж, оно формирует и укрепляет лояльность покупателей к фирме, позволяет устанавливать повышенные продажные цены. В последнее время все более важное значение приобретают сбыт, реклама, продвижение товара. Эти показатели занимают одно из центральных мест в анализе. Фирма может рассчитывать на успех на рынке только в том случае, если она имеет активных и компетентных реализаторов ее товаров и услуг, агрессивную, творчески разработанную рекламу, целостную систему продвижения товаров и услуг к покупателю. Но, конечно, самое главное - это анализ прибыльности. Прибыль - обобщающий показатель эффективности деятельности любой коммерческой организации. Поэтому постоянный контроль за прибылью от всех направлений деятельности, разных товаров и услуг является важной функцией управления. Финансовое состояние организации во многом определяет, какую тактику и стратегию выберет руководство на рынке. Детальный анализ финансового состояния помогает выявить уже имеющиеся и потенциальные резервы организации в этой области. Анализ финансового состояния обычно проводится методами финансовой ревизии. Методика анализа производственного потенциала фирмы существенно отличается от обычной методики оценки организационно-технического уровня производства. Это объясняется в первую очередь направленностью на стратегическое управление, на развивающиеся рыночные отношения. Постоянное изучение производства имеет очень большое значение для своевременной адаптации внутренней структуры фирмы к изменениям во внешнем окружении и ее выживания в конкретной среде. Если учесть, что менеджмент нередко трактуют как умение делать большие деньги с помощью подчиненных, то решение многих проблем современной компании в огромной степени зависит от обеспеченности и производства и управления квалифицированными и энергичными специалистами. Сбалансированная команда на рынке способна на очень многое при хорошем руководстве. Отдельно нужно остановиться на организационной культуре и имидже фирмы. Социальная среда состоит из людей: руководителей, подчиненных. Организационная культура складывается из поведения людей в организационной сфере. Вообще, культура не является изначально заданной, предопределенной. Она - результат взаимодействия в обществе, передается и поддерживается главным образом через общение и обучение. Культура в рамках фирмы проявляется через поведение членов ее коллектива. Имидж организации как внутри, так и вне ее определяется тем впечатлением, которое создается с помощью сотрудников, клиентов и общественным мнением в целом. Доброе имя в глазах общественности помогает фирме длительное время сохранять партнеров, расширять клиентуру. Финансовые результаты фирмы во многом зависят от общей культуры ее среды. Для того, чтобы выжить предприятию в сегодняшней ситуации в Казахстане, необходимо просчитывать на рынке каждый шаг, постоянно вводить инновации в управление кадрами и предприятием. Необходимо уметь разумно рисковать и находить оптимальные выходы из самых сложных ситуаций. Потому столь важна работа квалифицированного менеджера фирмы и всей его команды. Эффективное управление и высокое качество команды всегда может вывести предприятие из кризиса. Весь механизм управления фирмой должен быть лаконичным и в то же время всеохватывающим; в него обязана входить и система управления ассортиментом продукции, и система управления издержками предприятия, и система финансового и налогового планирования, маркетинговая система и многое другое. Чем больше предприятие использует столь эффективные рычаги управления, тем жизнеспособнее оно окажется в нынешних нелегких условиях, тем больше у него шансов на успех. В первую очередь следует остановиться на технологии финансовых успехов фирмы. Социальная и материальная защищенность каждого ее работника зависит от финансовой устойчивости компании, в которой он работает. Поэтому вопрос, за счет чего можно улучшить финансово-экономическое состояние фирмы, волнует не только руководителей и акционеров, но и всех сотрудников. Большинство казахстанских предприятий не являются сегодня инвестиционно привлекательными (около 40% из них - убыточны, и примерно столько же находятся в весьма неустойчивом финансовом состоянии). Условия, которые выдвигают инвесторы, часто оказываются просто невыгодными предприятию. По этим причинам финансовая поддержка несостоятельных предприятий практически отсутствует. Вероятно, в ближайшем будущем несостоятельность будет основной причиной продажи предприятий-должников. Поэтому необходим коллективный поиск возможностей внутреннего реформирования и преобразования деятельности предприятий, что означает активизацию использования и развития собственных потенциалов и, в первую очередь - благодаря совершенствованию системы управления. Можно выделить следующие направления повышения финансовой эффективности предприятия: Использование быстро реализуемых резервов за счет рациональных управленческих решений (прежде всего - "наведение порядка" и переход на технологию управления по результатам). Подобные изменения реализуются обычно всего за 2-4 месяца и способны дать до 20% прироста эффективности. Структурные изменения за счет коренного усовершенствования ассортиментной политики (снижение доли низкорентабельной продукции) и технической политики (уменьшение удельного веса применения неэффективной техники и технологии). Реализуются эти меры за 5-8 месяцев и могут дать до 40% повышения эффективности.19 Формирование инновационных процессов, включая создание и внедрение новых эффективных услуг, продуктов, технологий (в том числе технологий и систем стратегического управления изменениями), экономических механизмов и т. д. Реализация этих изменений требует до года - полутора. Через год они могут дать примерно 10-20% прироста эффективности, через 2 года - до 60-70%. В дальнейшем - до 30% ежегодно в течение 2-3 лет. Последний, инновационный путь развития - единственный, который не является одноразовым мероприятием, а способен обеспечить постоянный прирост экономических результатов и соответственно поддерживать конкурентоспособность фирмы. В реформировании предприятий с целью существенного повышения хозяйственных показателей заинтересованы: - сами компании, поскольку улучшается их финансово-экономическое положение; - государственные власти (обеспечение прироста доходной части бюджета, повышение уровня жизни населения); - территориальные агентства государственного управления по делам о несостоятельности и банкротстве; - банки, инвестиционные фонды и другие инвесторы, поскольку снижается риск невозврата кредитов. Финансовый успех фирмы во многом зависит от слаженной работы руководителя, главного бухгалтера и юриста. Данные бухгалтерского учета очень важны для принятия конструктивных управленческих решений. Одна из серьезных проблем руководителя фирмы сегодня - то, что на основании имеющейся бухгалтерской информации невозможно принятие оптимальных управленческих решений. Бухгалтерский учет выступает ныне регистратором произведенных затрат по факту в соответствии с действующими положениями и инструкциями, в том числе и установленными налоговыми службами. Отсюда основная цель казахстанского бухгалтера - защитить предприятие от штрафов или, по крайней мере, минимизировать их. Чтобы решить эту и другие проблемы, понадобился механизм управления затратами. Необходим адекватный учет затрат в себестоимости продукции. Чтобы создать логичную систему расчета себестоимости, нужно прежде всего тщательно квалифицировать весь ассортимент, выпускаемый фирмой. Это особенно актуально для предприятий с расширенным ассортиментом, когда количество разновидностей составляет сотни или даже тысячи наименований. Цель квалификации - обеспечить возможность управления ассортиментом. Затем необходимо создать аналогичное "дерево" затрат. Если разновидностей видов затрат на одном уровне окажется слишком много и они по абсолютным величинам между собой различаются в десятки раз, то учет затрат будет неэффективным. Поэтому их необходимо классифицировать так, как это удобно менеджеру или финансовому директору фирмы. Почему это столь важно для менеджера? Он обязан изучить внешнюю ситуацию на рынке аналогичных товаров. Такие обстоятельства как мода, технический и научный прогресс требуют постоянного обновления предложения товаров и услуг. Правильно оценивая перспективы на рынке, то, что выпускает предприятие, какие затраты несет фирма при производстве того или иного товара, менеджер способен принимать решения, стоит ли ввести в производство новинку или модернизировать прежний продукт или же вовсе от него отказаться в силу несостоятельности или неконкурентоспособности. Чтобы выжить в конкурентной борьбе, предприятие вынуждено изменить механизм ценообразования, который строится на затратной основе (когда себестоимость служит основой для цены). Цена призвана определяться рынком на основе маркетинговой информации. Психология производства изменяется, когда отпускная цена и качество заданы извне, а не изнутри. Отсюда необходим переход от принципа минимизации издержек к принципу оптимизации затрат по всем производственным и коммерческим процессам при соблюдении заданной цены и качества. Динамический метод учета затрат дает объективную методику оценки деятельности подразделений предприятия, открывает менеджеру возможность руководить экономикой и финансами предприятия, а не наблюдать за ними. Поэтому вполне оправданно создание на предприятии службы контроллинга, которая не только будет вести управленческий учет, но и выполнять ревизионные функции. Важно создать полноценную экономическую службу. Для этого целесообразно: - сформировать специальное подразделение, которое будет разрабатывать и применять систему управленческого учета и динамического метода расчета себестоимости; - обеспечить классификацию ассортимента и затрат в соответствии с основополагающими принципами, которые менеджер положил в основу своей работы; - внедрить инспектирование всех производственных подразделений для определения структуры и механизма формирования затрат, а также оценки их целесообразности и обоснованности; - создавать учетную аналитическую базу данных, в которой бы применялись отмеченные выше принципы, гарантировать ежемесячную информацию об эффективности работы подразделений и структуре себестоимости по ассортименту. В Казахстане многое не так, как у других. Даже если товар произведен, а маркетинговые исследования показывают благоприятный прогноз для его продажи, места спокойствию нет. Одной из наиважнейших проблем современного казахстанского бизнеса являются неплатежи. Предприятия не могут получить деньги за отгруженный товар или за оказанные услуги. Встает вопрос: откуда будет финансироваться заработная плата работников, из каких средств платить налоги в бюджет и внебюджетные фонды? Неплатежи - палка о двух концах. Государство повышает налоги, чтобы залатать дыры в бюджете, но собираемость налогов низкая, и подобными действиями государство продолжает ее снижать. Именно налоговая система в ее нынешнем виде и выступает главным препятствием на пути экономического роста. Налоги, которые платит честный бизнесмен, часто являются причиной нехватки собственных средств для расчетов с поставщиками и кредиторами. Государство, недобирая налоги в свой бюджет, наращивает внешний долг, само выступает "злостным" неплательщиком перед населением, предприятиями, работающими по государственному заказу. Сейчас в Казахстане методами проб и ошибок идут к определенному решению этой проблемы, хотя дорога к нему может тянуться не один год. Налоговые системы других стран складывались десятилетиями и даже веками. Они соответствуют историческому развитию своих государств. В Казахстан фискальные службы выполняют задачу тоталитарного государства - контролируют общество, тогда как в действительно демократической стране характерен действенный контроль общества за государством. Проблемы сбора доходов стали основной причиной бюджетного кризиса. Сейчас налоги для непривилегированного и законопослушного налогоплательщика-бизнесмена составляют основную часть его дохода. Реально же во все виды бюджетов и во все внебюджетные фонды попадает гораздо меньше. Разница - это цена законодательных льгот по уплате налогов, отсрочек и индивидуальных привилегий, легальных и нелегальных уклонений от уплаты налогов. Высокий налоговый пресс стал движущей силой роста теневого оборота. Хотя этот теневой бизнес во многом представляет собой обычный мелкий бизнес: мелкая лоточная торговля, бытовые услуги, кустарное производство. Трудно сказать, насколько увеличит государство свой бюджет за счет сбора налогов, но это безусловно приведет к увеличению числа предприятий, которые будут всячески скрывать свои доходы, что еще более снизит поступление налогов в бюджет. Руководству Казахстанской фирмы приходится искать пути решения этой проблемы. Материальное положение работников фирмы играет немаловажную роль в выживании и в успешной деятельности предприятия. Если менеджер не пойдет на сокрытие части доходов, то он может потерять работников (скорее всего, лучших, которые уйдут в другую фирму, где заработная плата будет идти от теневой деятельности). Получается, что государственные законы, указы, положения и инструкции вынуждают предприятия их нарушать и укрываться от налогов. Вероятно, резко увеличится количество обанкротившихся предприятий или попавших в кризисное положение. Но лучшие выживут и будут развиваться. Их проблемы будут решать менеджер и весь коллектив фирмы7 . ЗАКЛЮЧЕНИЕ Выполнив все цели, поставленные перед проектом, можно сделать небольшие выводы по каждой из глав. Современный менеджмент - это тысячи возможных вариантов и нюансов управленческих решений, в том числе в финансовой области. Это ни в коем случае не догматическое, а очень динамичное многоплановое явление, проявление которого постоянно корректируется в соответствии с конкретными условиями. Как только менеджмент отстает от реальных потребностей рыночной обстановки, он перестает отвечать предъявляемым требованиям. Управленческие решения, разработанные одним предприятием и хорошо себя у него зарекомендовавшие, могут оказаться не только бесполезными, но даже очень опасными для другого. Многовариантность решений и ходов менеджмента, гибкость и неординарность хозяйственных комбинаций, уникальный характер каждого управленческого решения в конкретной специфической ситуации составляют основу управления. Поэтому в деятельности менеджеров упор приходится делать не на стандартные решения, а на способность быстро и правильно оценить хозяйственную ситуацию и найти тот единственно возможный в данном положении подход, который и является в конкретных условиях оптимальным. Для современного менеджмента характерны: - стабильное стремление к повышению эффективности производства и бизнеса в целом; - широкая хозяйственная самостоятельность, обеспечивающая свободу принятия решения тем, кто несет ответственность за конечные результаты функционирования на рынке предприятия в целом или его подразделений; - постоянная корректировка целей и программ в зависимости от состояния рынка, изменений внешней среды; - ориентация на достижение запланированного конечного результата деятельности организации; - использование современной информационной базы для многовариантных расчетов при принятии управленческих решений; - изменение функции планирования от текущего - к перспективному; - выход финансового менеджмента на передний план во всей системе управления предприятия; - упор на все основные факторы улучшения деятельности фирмы; - оценка управления в целом только на основе реально достигнутых конечных результатов; - максимальное применение математических методов и достижений информатики на базе ЭВМ; - привлечение всех сотрудников фирмы к управлению ею; - осуществление управления на основе предвидения изменений, гибких решений; - опора на инновации в каждом сегменте работы организации, нестандартные решения; - проведение глубокого экономического анализа каждого управленческого решения; - способность разумно рисковать и управлять риском; - возрастание роли маркетинга в бизнесе до ключевой. Хозяйственные условия в Казахстане сегодня настолько отличаются от государств с развитой рыночной экономикой, что использование приемов и методов современного менеджмента в нашей стране не может не носить творческий, пионерский, новаторский характер при максимальном учете особенностей, традиций, специфики всей страны в целом, каждого региона, трудового коллектива. Ныне менеджмент выступает как система программно-целевого управления, текущего и перспективного планирования, прогнозирования научных разработок, организации производства, реализации продукции и услуг на основе постоянных нововведений с целью повышения эффективности хозяйствования, удовлетворения потребностей рынка и общества в целом, увеличения прибыли. По первой главе понятно, что в каждой стране существует своё собственное понятие малого бизнеса. В основном оно определяется исходя из численности работников, занятых на производстве, и из размера годового оборота. Ну, а роль малых предприятий действительно велика: обеспечение работой незанятые трудовые ресурсы, создание атмосферы конкуренции на рынке, быстрое перепрофилирование области деятельности, беспрерывный процесс внедрения новых технологий; и в общем, малое предпринимательство ведет к оздоровлению экономики в целом. По правовым основам деятельности малых предприятий можно выделить следующие аспекты: нормативной базой для создания и ликвидации МП является закон "О предприятиях и предпринимательской деятельности". Учредительными документами служат устав предприятия и договор учредителей. Осуществляет руководство директор, директором может быть назначен один из учредителей. Учитывая содержание третьей главы о проблемах и перспективах развития малого бизнеса в Казахстане, можно сделать вывод о том, что в нашем государстве правительством сделано очень много для развития и закрепления этого рода деятельности. Это и различные государственные программы по поддержке малого бизнеса, и специальные фонды, созданные государством. И конечно же, важным условием для развития малого предпринимательства служит грамотная налоговая политика государства, что в Казахстане в последнее время стало заметно. Налогообложение субъектов малого предпринимательства в Республике Казахстан осуществляется на основе трёх систем: общеустановленная система налогообложения, упрощенная система налогообложения, учёта и отчётности для субъектов малого предпринимательства и система налогообложения по принципу вменённого дохода, предприниматель может сам выбрать то, что ему действительно будет выгодно. И в окончании, хочется добавить, что малое предпринимательство - это существенная составляющая цивилизованного рыночного хозяйства, неотъемлемый элемент присущего ему конкурентного механизма. Этот предпринимательский уклад придает рыночной экономике должную гибкость, мобилизует крупные финансовые и производственные ресурсы населения, несет в себе мощный антимонопольный потенциал, служит серьезным фактором структурной перестройки и обеспечения прорывов по ряду направлений научно-технического прогресса, во многом решает проблему занятости и другие социальные проблемы рыночного хозяйства. Вот почему становление и развитие малого предпринимательства представляет собой стратегическую задачу реформационной экономической политики. СПИСОК ИСПОЛЬЗОВАННОЙ ЛИТЕРАТУРЫ1. Бригхэм Юджин, Гапенски, Луис Финансовый менеджмент: Полный курс. В 2-х томах. Т.2. - 2001. 2. Дюсембаев К.Ш. Аудит и Анализ финансовой отчетности Алматы. «Каржи - Каражат» 2001. 3. Томпсон А.А., А.Дж. Стрикленд Стратегический менеджмент М.: «Банки и биржи», 2001. 4. Стратегический менеджмент. Учебник. / Под ред. Уткина Э.А. - М.: Ассоциация авторов и издателей «ТАНДЕМ». Изд-во ЭКМОС, 2001. 5. Финансовый менеджмент: теория и практика. Учебник / Под ред. Е.С. Стояновой - М.: Перспектива, 2002. 6. Крейнина М. Финансовый менеджмент. Учебное пособие М.: Изд-во «Дело», 2001. 7. Мельников В.Д., Ли В.Д. Общий курс финансов. Алматы: «Институт развития Казахстана», 2005 г. 8. Радостовец В. К. Финансовый и управленческий учет в условиях рынка Алматы.:НАК «Центраудит», 2000 г. С 362 9. Дюсембаев К.Ш. "Анализ финансового состояния предприятия". Алматы, 2001 г. 10. Пономарев А.Я.. Введение в административный и экономический менеджмент. Санкт-Петербург. 2001. 11. Е.П. Копылов. Менеджмент (методические указания для студентов заочной формы обучения. Ярославль. 2002. 12. Виханский О.С., Наумов А.И. Менеджмент: человек, стратегия, организация, процесс; М.: Издательство МГУ, 2001 13. Коротков Э.М. Концепция менеджмента; М.: Издательство-Консалтинговая Компания «ДеКА», 2000. 14. Форд Генри. Сегодня и завтра/Пер, с англ. - М.: Финансы и статистика, 1992. 15. Пономарев А.Я.. Введение в административный и экономический менеджмент. Санкт-Петербург. 2001. 16. Балабанов И.Т. Основы финансового менеджмента. Как управлять экономикой. М., "Финансы и статистика", 2002. 17. Павлова Л. Н. Финансовый менеджмент. Управление денежным оборотом предприятия. М., "Банки и биржи", 2001. 18. Дж. К. Шим, Дж. Г. Сигел. Финансовый менеджмент. М., "Филинъ", 2002. 19. Финансовый менеджмент (под ред. Е. С. Стояновой). М., "Перспектива", 2000. 20. Рындин А.В., Шамаев Г.А. Организация финансового менеджмента на предприятии. М., РДЛ, 2000. 21. Ковалев В. В. Финансовый анализ. М., "Финансы и статистика", 2002. 22. Крейнина М. Н. Финансовое состояние предприятия. Методы оценки. М.,ДиС, 2000. 23. Мерсер Д. ИБМ. Управление в самой преуспевающей корпорации / Пер, с англ. — М.: Прогресс, 1991. 24. Морита Акио. Сделано в Японии. История фирмы "Сони"/Пер. с англ. - М.: Прогресс, 1990. 25. Зябин В. К. ,Степанов В. И. "Учет и анализ сверхнормативных запасов в промышленном производстве ". - М. : "Финансы и статистика", 1991 г. 26. Джеймс К., Хорн, Джон М, Вахович, Основы финансового менеджмента. Киев, Перевод с английского, 2005г. 27. Грачев А.В., Анализ и управление финансовой устойчивостью предприятия. Москва, Изд. Финпресс, 2005 г. 28. Ефимова О.В., Финансовый анализ. Москва. Изд.Бухучет, 2005г. 29. Ковалев В.В., Финансовый анализ, методы и процедуры. Москва, Финансы и статистика 2004 г. 30. Майданчик Б.И., Грязнова А. Г. "Методы экономического анализа и обоснования хозяйственных решений". - М.: "Финансы и статистика", 1991 г. 31. "Методика экономического анализа деятельности производственного объединения". Под редакцией Бружинского А. И., Шеремета А. Д. - М.: "Финансы и статистика", 1982 г. 32. Савицкая Г. В. "Анализ хозяйственной деятельности промышленного предприятия". Минск: ИСЗ, 2002 г. 33. Шеремет А. Д., Баканов М. И. "Курс экономического анализа хозяйственной деятельности предприятий". Учебник. - М.: "Финансы и статистика", 1994 г. 22 Майданчик Б.И., Грязнова А. Г. "Методы экономического анализа и обоснования хозяйственных решений". - М.: "Финансы и статистика", 1991 г. 15 Мерсер Д. ИБМ. Управление в самой преуспевающей корпорации / Пер, с англ. - М.: Прогресс, 1991. 19 Ãðà÷åâ À.Â., Àíàëèç è óïðàâëåíèå ôèíàíñîâîé óñòîé÷èâîñòüþ ïðåäïðèÿòèÿ. Ìîñêâà, Èçä. Ôèíïðåññ, 2005 ã. 7 Мельников В.Д., Ли В.Д. Общий курс финансов. Алматы: «Институт развития Казахстана», 2005 г. |
||||||||||||||||||||||||||||||||||||||||||||||||||||||||||||||||||||||||||||||||||||||||||||||||||||||||||||||||||||||||||||||||||||||||||||||||||||||||||||||||||||||||||||||||||||||||||||||||||||||||||||||||||||||||||||||||||||||||||||||||||||||||||||||||||||||||||||||||||||||||||||||||||||||||||||||||||||||||||||||||||||||||||||||||||||||||||||||||||||||||||||||||||||||||||||||||||||||||||||||||||||||||||||||||||||||||||||||||||||||||||||||||||||||||||||||||||||||||||||||||||||||||||||||||||||||||||||||||||||||||||||||||||||||||||||||||||||||||||||||||||||||||||||||||||||||||||||||||||||||||||||||||||||||||||||||||||||||||||||||||||||||||||||||||||||||||||||||||||||||||||||||||||||||||||||||||||||||||||||







