Статья: Количественная модель распространения Интернета в России
|
Название: Количественная модель распространения Интернета в России Раздел: Рефераты по рекламе Тип: статья |
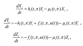
Делицын Леонид, МГУКИ Исследователи мнений и поведения жителей стран с высоким уровнем развития Интернета получают в распоряжение инновационный инструмент, расширяющий спектр их возможностей при одновременном снижении издержек. Так называемый цифровой разрыв, проявляющийся в углублении пропасти в использовании информационно-телекоммуникационных технологий между богатыми и бедными странами и регионами, создает очевидные конкурентные преимущества исследовательским организациям развитых стран. Определенный урон от цифрового разрыва получают и заказчики онлайн исследований, поскольку продавец последних, как правило, не делает акцента на значительном смещении используемой выборки. В частности, при помощи доступных статистических показателей (таких как количество дней месяца, в каждый из которых пользователь обнаруживал себя в Сети) несложно продемонстрировать, что популярные сегодня в России онлайн панели, измеряющие численность и состав пользователей крупных интернет-ресурсов, не репрезентируют даже среднего пользователя Интернета, а представляют лишь наиболее активных пользователей, не отличаясь в этом отношении от тривиальных онлайн опросов. Иными словами, даже если средний член такой панели похож на среднего интернетчика по полу, возрасту, доходу и некоторым другим характеристикам, он отличается уже тем, что пользуется Сетью почти каждый день, то есть заметно чаще, чем средний пользователь. Сказанное делает актуальной проблему прогнозирования распространения Интернета в России, поскольку лишь при достижении российскими показателями проникновения «европейского» (или «московского») уровня удастся создать соответствие между выборками, используемыми при онлайн исследованиях, и совокупностями, которые такие выборки должны репрезентировать. В период начинающейся рецессии, которая может оказаться затяжной, оказываются бесполезными прогнозы распространения Интернета в России, основанные на аналогии с европейскими странами, где основная фаза процесса пришлась на период интернет-бума и экономической стабильности. В то время как распространяющаяся крупная инновация, какой является Интернет, сравнительно малочувствительна к экономическим циклам (многие полагают, что, напротив, крупные инновации и лежат в основе экономических циклов), в России потенциал распространения этого нововведения, сравнительно дорогого для массового потребителя, по-видимому, ограничен численностью среднего класса. В период роста благосостояния населения рос и потенциал распространения Интернета, однако в период рецессии рост потенциала прекращается, причем не на уровне 80–90% населения. Последний существенно зависит от возраста, дохода и места проживания граждан, что в итоге приводит к стагнации проникновения Сети на уровне 30–35%, как это наблюдалось в латиноамериканских странах в начале XXI века. В таком случае Интернет на несколько лет остается своего рода кварталом для молодых и обеспеченных горожан, а старшему поколению, в особенности бедным и одиноким сельским жителям, остается ждать следующей технологической революции. Бесполезными оказываются и прогнозы распространения Интернета, построенные на основе классических трехпараметрических логистических моделей [1; 2], поскольку они основаны на модели полностью однородного и связного общества («клики»). Такое приближение является слишком грубым для длительных процессов, протекающих в существенно дифференцированном обществе. Простое обновление параметров моделей распространения нововведений по мере поступления новых данных не всегда приводит к корректным результатам. В частности, данные опросов фонда «Общественное мнение» (ФОМ) об использовании россиянами Интернета в 2002–2007 гг. точнее всего описывает трехпараметрическая логистическая модель с весьма низким потенциалом распространения среди взрослых россиян — 34% [2]. Однако уже в 2006 г. более 50% россиян в возрасте 18–24 лет пользовались Интернетом. Таким образом, предсказанный моделью однородного общества потенциал распространения в 34% подразумевает, что значительная часть россиян, взрослея, полностью отказывается от использования Интернета. Такой вывод не подтверждается наблюдениями. В настоящей работе предложена количественная модель распространения Интернета в России, параметры которых идентифицируются при помощи данных социологических опросов ФОМ и ВЦИОМ, что позволяет построить среднесрочный прогноз динамики показателей исследуемого процесса. Отметим, что, по данным опросов ВЦИОМ, проведенных в сентябре и ноябре 2008 г, доля пользователей Интернета среди взрослых россиян (в возрасте 18 лет и старше) составила от 31 до 35%. По данным ФОМ, собранным осенью 2008 г, полная взрослая аудитория также достигла уровня 30% [3]. В частности, для возрастной группы от 18 до 24 лет проникновение Интернета, по данным как ВЦИОМ, так и ФОМ, составило 63%. Важным фактором будущего роста распространения Интернета стало подключение в 2006–2008 гг. всех российских школ к Сети в рамках национального проекта «Образование». В случае продолжения действия этой программы в ближайшие годы российские выпускники будут вступать во взрослую жизнь, обладая навыками использования Интернета. В благоприятных экономических условиях от применения этого нововведения молодые россияне уже вряд ли откажутся. При построении прогнозов распространения Интернета в России учитываются историческая динамика этого процесса, возрастная структура общества, рождаемость и смертность. Уравнения одностадийного процесса распространения нововведений с учетом взросления, рождаемости и смертности, которые можно рассматривать как частный случай общих уравнений социальной динамики, приводятся нами в работе [4]. Пусть непрерывная переменная π соответствует дате рождения индивидуума. Совокупность индивидуумов, рожденных в момент π будем называть поколением. Кроме того, разделим общество на два однородных непересекающихся сегмента по полу (мужчины и женщины). Специфика одностадийных моделей распространения нововведений, выделяющая их среди общих моделей социальной динамики, проявляется в том, что в каждый момент времени t каждый i-й сегмент каждого поколения π разбивается на три непересекающихся подмножества в зависимости от использования нововведения. Численности этих подмножеств удовлетворяют уравнению:
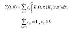
где Xi(t, π), Yi(t, π), Zi(t, π) — численности существующих пользователей, потенциальных пользователей и представителей «недоступного» подмножества — тех, кто никогда не станет использовать нововведение. Многостадийные модели распространения требуют выделения большего числа подмножеств. Как правило, при исследованиях диффузии нововведений численность подмножеств не оценивают заранее, а вычисляют в ходе оценивания параметров модели. Иногда к их оценке можно привлечь дополнительную информацию или экспертные оценки. (В частности, по данным ФОМ [3], осенью 2008 года 33% населения России в возрасте от 12 лет и старше заявили, что не намерены пользоваться Интернетом — таким образом, можно предположить, что недоступное подмножество не является пустым.) В простейших моделях распространения инноваций численность недоступного сегмента постоянна, а в более сложных (в том числе и в нашей работе) — убывает со временем Изменение численности выделенных подмножеств во времени удовлетворяет уравнениям баланса:
с так называемыми нелокальными граничными условиями
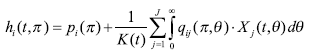
где Bi(t, π) — рождаемость в поколении π сегмента j в момент времени t, μi(t, π) — интенсивность смертности, hi(t, π) — функция риска, т.е. вероятность того, что потенциальный пользователь станет пользователем, fi(t, π, u(t)) — число переходов из «недоступного» подмножества в подмножество потенциальных пользователей в единицу времени, u(t) — «траектория» управляющих параметров (например, цен) во времени, коэффициенты ci(i, j) определяют доли сегментов (в частности, мальчиков и девочек) среди новорожденных. Наша модель является одностадийной, поэтому слагаемое, описывающее численность перешедших из сегмента потенциальных пользователей в сегмент реальных пользователей, имеет вид произведения: hi(t, π)Yi(t, π) и не включает каких-либо лагов. Таким образом, за малый промежуток времени Δt некоторое число потенциальных пользователей, доля которых составляет h, (t, π)Δt, начинают использовать нововведение. При этом игнорируется история ознакомления индивидуумов с инновацией, возникновения интереса к ней, желания ее приобрести, а также задержка, необходимая для накопления средств на покупку товара или оплату услуги. Рождаемость и интенсивность смертности одинаковы для пользователей, потенциальных пользователей и недоступного сегмента. Все новорожденные считаются потенциальными пользователями. Для каждого нововведения следует определить конкретный вид функции риска hi(t, π), характеризующей условную вероятность начала использования нововведения потенциальным пользователем. В этой работе мы предполагаем, что влияние различных групп при межличностном общении аддитивно, поэтому используемая нами функция риска суммирует не доли пользователей инновации, а их абсолютные величины:
Такая форма функции риска распространяет наиболее популярную в литературе, посвященной диффузии нововведений, модель Ф. Басса [5] на случай зависимости влияния пользователей на потенциальных пользователей от возраста участников коммуникации. Полученные уравнения (в дискретной форме) были применены нами для моделирования данных ФОМ И ВЦИОМ о распространении Интернета в различных возрастных группах, отдельно для мужчин и женщин. Отметим, что в работе [6] к данным ФОМ о распространении Интернета в возрастных группах была применена логистическая модель Ферхюльста — Перла. При решении задачи мы предположили, что структура общения однородна и отличаются только потенциалы распространения Интернета в различных возрастных когортах. Эти потенциалы, а также начальный уровень распространения хi(0) и параметры qij, характеризующие влияние межличностных коммуникаций, были определены в ходе решения обратной задачи. После идентификации параметров модели у нас появляется возможность построения прогнозов показателей распространения Интернета в России. Cценарий 1 Первый из опубликованных нами прогнозов (см. рисунок 1) учитывал интернетизацию школ, но предполагал сохранение текущей стоимости доступа к Интернету для частных лиц. Для упрощения расчетов предполагалось, что с осени 2007 г. все подростки в возрасте от 12 до 18 лет начали использовать Интернет и более того — позитивно влиять на взрослых, побуждая их подключиться к Сети. Это предположение оказалось слишком смелым. По данным опросов, проведенных ФОМ летом 2008 года, лишь 75, 5% подростков в возрасте от 14 до 17 лет используют Интернет хотя бы раз в полгода — дома или в школе. В Москве этот показатель возрастает до 97, 4% и убывает с размерами населенного пункта, снижаясь до 59, 9% в селах. Около трети (32%) учащихся старше 12 лет заявили, что не имеют возможности пользоваться Интернетом в учебном заведении, и лишь 30% сообщили, что могут выйти в Интернет не только на специальных занятиях, но и по необходимости [3]. Тем не менее проникновение Интернета среди подростков уже существенно превосходит уровень 30%, характеризующий проникновение Сети среди взрослых, поэтому сказанное не отразилось существенно на наших расчетах, тем более что, к сожалению, сами подростки сравнительно малочисленны (так что рост их числа является предметом другой национальной программы).
Рисунок 1. Модели распространения Интернета в различных возрастных группах с учетом интернетизации школ. Данные опросов ФОМ и ВЦИОМ При таком сценарии уровень распространения Интернета в возрастной категории 18–24 года достигнет 100% уже в 2014 г. Однако на средний уровень распространения Интернета среди взрослой части населения это почти не влияет. Таким образом, школьный Интернет — необходимое, но не достаточное условие движения страны к информационному обществу. Cценарий 2 Несомненно, рост благосостояния в последнее десятилетие сделал Интернет доступнее для россиян. Однако уповать на то, что в ближайшие годы темпы этого роста сохранятся, более не приходится. При постоянном или снижающемся уровне благосостояния существенно повысить уровень проникновения Интернета в России могли бы относительное снижение цен на доступ в Интернет либо существенный рост полезности Интернета для жителей российских регионов. Как показывает история развития технологий, в некоторых случаях при снижении скорости распространения услуг операторы ищут пути их удешевления для конечных потребителей, чтобы увеличить потенциал рынка и сохранить темп прироста числа пользователей. Например, в 1999 г, когда мобильной связью в России пользовались в основном обеспеченные слои населения, крупные операторы сотовой связи, ощутив замедление роста своих абонентских баз, приняли решение о выводе услуги мобильной связи на массовый рынок и радикально снизили стоимость минуты разговора. В результате рост числа пользователей возобновился, их доля в 2000 г. достигла 2%, а сейчас личными сотовыми телефонами владеют более 70% взрослых россиян. То же произошло с широкополосным доступом (ШПД) к Интернету в мегаполисах в 2005–2006 гг.: волна снижения цен на ШПД прошла в Москве, а начиная с 2007 г. распространилась и на другие города-миллионники.
Рисунок 2. Модели распространения Интернета в различных возрастных группах с учетом интернетизации школ и снижения стоимости доступа При снижении стоимости доступа в Интернет рост численности его пользователей мог бы заметно ускориться (рисунок 2). По нашим расчетам, если бы начиная с весны 2008 г. доступ дешевел на 5% в квартал, то половина взрослых россиян начали бы пользоваться Интернетом уже к концу 2011 г. При этом требуется снижение стоимости доступа не только в городах-миллионниках (где проживают только 27, но не все 142 миллиона россиян), а повсеместно. Отметим, однако, что апробированных моделей ценовой эластичности потенциала рынка для интернет-индустрии нет, поэтому полученную оценку нельзя считать вполне надежной. Cценарий 3
Рисунок 3. Модели распространения Интернета в различных возрастных группах в условиях замораживания регионального развития Как свидетельствуют публикуемые деловой прессой заявления компаний, в 2009 году повсеместное снижение цен не планируется [7]. Кроме того, в настоящее время некоторые крупные российские провайдеры уже объявили о замораживании инвестиций в строительство широкополосного доступа к Интернету в регионах, в том числе и в крупнейших городах-миллионниках. Те компании, которые не объявили об этом прямо, сообщают о «пересмотре временных рамок». В то время как московские провайдеры выражают осторожную надежду, что жители столицы не откажутся от Интернета, многие аналитики обосновывают сворачивание строительство ШПД в регионах неизбежным падением спроса. В таких условиях вероятнее сценарий развития Интернета, изображенный на рисунке 3. Более того, в условиях рецессии растет вероятность возвращения к старому сценарию стагнации российского Интернета [4], которая неизбежна без интернетизации школ. Такой сценарий еще год назад казался невозможным, однако сейчас представляется вполне вероятным, поскольку региональные власти могут и не найти миллиард рублей для инвестиций в отдаленное будущее. Как свидетельствует опыт латиноамериканских стран, близких к РФ по среднедушевому ВВП, сворачивание инвестиций и отсутствие крупных конкурентов ведет к замораживанию стоимости доступа. По окончании рецессии по мере роста доступности кредитов и смягчения инвестиционного климата транснациональные телекоммуникационные компании (Telefonica, TelMex) отваживаются инвестировать в развитие региональных рынков. Обострение конкуренции в латиноамериканских странах (как правило, в форме дуополии) в 2003–2004 гг. привело к существенному снижению стоимости доступа, достаточному, чтобы привлечь на рынок массового потребителя.
Рисунок 4. Динамика распространения мобильной связи и Интернета в четырех странах Латинской Америки На рисунке 4 можно наблюдать, как после окончания рецессии в 2003–2004 гг. приток инвестиций и обострение конкуренции привели не только к быстрому росту количества абонентов мобильной связи, но и заметному оживлению распространения Интернета в трех наиболее благополучных латиноамериканских странах (Чили, Аргентина, Уругвай), хотя снижение цен могло быть недостаточным для жителей наиболее бедных стран (Сальвадор). Мы заключаем, что, для того чтобы не допустить продолжительной стагнации в использовании Интернета в России, необходимо обеспечить бесперебойное финансирование доступа российских школ к Интернету. Только при обеспечении обучения школьников использованию Интернета (и предполагаемом возобновлении инвестиций в региональный Интернет к 2011 году) можно надеяться на преодоление 50%-ной планки проникновения Интернета в России к 2014 году, ко времени встречи гостей зимней Олимпиады. В противном случае достижение этого уровня будет отложено до 2023 года. Список литературы 1. Делицын А.А, Засурский И.И. Состояние российского Интернета на сегодняшний день // Маркетинг в России и за рубежом. — 2003. — №2. — С. 80–86. 2. Галицкий Е.Б. Не исключено, что нас ждет пессимистический сценарий развития Интернета // Интернет-маркетинг. — 2007. — №1(37). — C. 10–25. 3. Ослон А.А. Российский Интернет: реалии и возможности// Доклад на круглом столе Института современного развития. — 18.02.2009. — Электронный ресурс. Режим доступа: http://bd.fbm.ru/pdf/int0209.pdf 4. Юрина Э.А., Делицын Л.Л. «Эпидемиологические» модели распространения мобильной связи и Интернета в России/Интернет-маркетинг. — 2008. — №1 (43). — С.2–15. В соавт. с Э.А. Юриной. 5. Bass F. M. A new product growth for model consumer durables. Management Science. — 1969. — Vol. 15, p. 215–227. 6. Левин М.И., Галицкий И.Б., Ковалева В.Ю., Щепина И.Н. Модели развития Интернета в России// Интернет-маркетинг. — 2006. — №4. 7. Операторы предполагают снижать объемы строительства сетей ШПЛ / Современные телекоммуникации России. — 2008. — 2 декабря. — Электронный ресурс. Режим доступа: http://www.telecomru.ru/article/?id=5090 |






