Курсовая работа: Реконструкция линии связи с заменой аналоговой системы передачи К-60П на цифровую систему передачи
|
Название: Реконструкция линии связи с заменой аналоговой системы передачи К-60П на цифровую систему передачи Раздел: Рефераты по коммуникации и связи Тип: курсовая работа | |||||||||||||||||||||||||||||||||||||||||||||||||||||||||||||||||||||||||||||||||||
РЕКОНСТРУКЦИЯ ЛИНИИ СВЯЗИ С ЗАМЕНОЙ АНАЛОГОВОЙ СИСТЕМЫ ПЕРЕДАЧИ К-60П НА ЦИФРОВУЮ СИСТЕМУ ПЕРЕДАЧИ ИКМ-120-4 Курсовой проект по дисциплине «Проектирование, строительство и эксплуатация оптических сетей ГТС» Чита 2009 Содержание Введение 1. Исходные данные 2. Расчет характеристик линии связи 2.1 Определение числа каналов на магистрали 2.2 Выбор системы передачи и типа кабеля 2.3 Определение длины регенерационного (усилительного) участка и построение схемы размещения ОРП и НРП на магистрали 2.4 Модернизация существующей сети 3. Расчет ожидаемой защищенности цифрового сигнала от собственной помехи 4. Расчет переходных влияний ЦСП на АСП 5. Расчет переходных влияний ЦСП на ЦСП 6. Построение временных диаграмм цифровых сигналов 7. Расчет цепей дистанционного питания Заключение Список литературы Введение Средства общения между людьми (средства связи) непрерывно совершенствуются в соответствии с изменениями условий жизни, развитием культуры и техники. Сегодня средства связи стали неотъемлемой частью производственного процесса и нашего быта. Современные системы связи должны не только гарантировать быструю обработку и надежность передачи информации, но и обеспечивать выполнение этих условий наиболее экономичным способом. Аналоговые системы передачи (АСП) не удовлетворяют потребностям электросвязи с точки зрения сопряжения с цифровыми системами коммутации (ЦСП), универсальности сигналов, возможности использования больших цифровых интегральных схем и цифровой обработки сигналов. По этим и некоторым причинам ведущей тенденцией в развитии первичной сети является ее цифровизация. Этот процесс развивается за счет нового строительства волоконно-оптических линий связи, а также за счет модернизации, состоящей в замене устаревших АСП более совершенными ЦСП. В этой курсовой работе рассмотрен ряд вопросов касающихся замены АСП К-60 на ЦСП ИКМ-120-4. Приведены подробные расчеты и схемы размещения промежуточных станций, схема организации связи, расчет ожидаемой защищенности цифрового сигнала от собственной помехи, расчет переходных влияний ЦСП на АСП, временные диаграммы цифровых сигналов, а также расчет цепей дистанционного питания. 1. Исходные данные
ЦСП ИКМ-120-4. Марка кабеля: МКСА 4х4х1,2. Перепад температур, С Последовательность кодовых символов для построения временных диаграмм: 10000100000100001111. Основные характеристики кабелей связи
Основные характеристики ЦСП ИКМ-120-4
Некоторые характеристики АСП К-60П
2. Расчет характеристик линии связи 2.1 Определение числа каналов на магистрали Число каналов, связывающих заданные оконечные пункты, зависит от численности населения в этих пунктах и от степени заинтересованности отдельных групп населения во взаимосвязи. На 2008 год в городе А 8,3 тысяч жителей. На 2008 год в городе Б 305,7 тысяч жителей. Численность населения в заданном пункте и его подчиненных окрестностях с учетом среднего прироста населения определяется как:
Где Ho - народонаселение в 2008 г., чел; P - средний прирост населения в данной местности, % (принимается 2-3%). t - период, определяемый как разность между назначенным годом перспективного проектирования и годом переписи населения. Год перспективного проектирования принимается на 5, 10 или 15 лет вперед по сравнению с текущим годом. В курсовой работе примем год перспективного проектирования на 5 лет вперед. Следовательно,
Где 5 – перспективный период (лет);
Поскольку tm=2009, то
Населения города А в перспективе составит:
Населения города Б в перспективе составит:
Количество абонентов зависит от численности населения и от уровня телефонизации в данной местности. Принимая, что средний коэффициент оснащенности населения телефонными аппаратами равен 0,3 (30 телефонов на 100 человек), включая телефоны находящиеся в организациях, государственных и промышленных предприятий, вычислим количество абонентов, обслуживаемых в зоне действия АТС:
Количество абонентов в зоне действия АТС в городе А:
Количество абонентов в зоне действия АТС в городе Б:
Степень заинтересованности отдельных групп населения во взаимосвязи зависит от политических, экономических, культурных и социально-бытовых отношений между группами населения, районами и областями. Взаимосвязь между заданными оконечными и промежуточными пунктами определяется на основании статистических данных, полученных предприятием связи за предшествующие проектированию годы. Практически, эти взаимосвязи выражают через коэффициент тяготения f1, который как показывают исследования, колеблется в широких пределах (от 0,1 до 12 %). В курсовой работе примем f1=12 %. Учитывая это, а также и то обстоятельство, что телефонные каналы в междугородней связи имеют преобладающее значение, необходимо определить сначала количество телефонных каналов между заданными пунктами. Для расчета телефонных каналов можно воспользоваться приближенной формулой:
где a1 и b1 - постоянные коэффициенты, соответствующие фиксированной доступности и заданным потерям. Обычно потери задаются в размере 5%, тогда a1=1,3 и b1=5,6; f1 - коэффициент тяготения; y - удельная нагрузка, т. е. средняя нагрузка, создаваемая одним абонентом, y=0,1 Эрл. Таким образом, число каналов для телефонной связи между городом А и городом Б равно:
Однако по кабельной магистрали организуются каналы и других видов связи, к которым относятся: каналы для телеграфной связи; каналы для передачи проводного вещания; каналы для передачи данных; каналы для факсимильной связи (для передачи газет); каналы транзитной связи. Каналы для организации связи различного назначения эквивалентны определенному числу телефонных каналов. Для курсовой работы каналы для организации связи различного назначения не учитываются. Nоб =2*48=96 канала (1.5) 120-96=24 канала Незадействованные 24 канала остаются в резерве. 2.2 Выбор системы передачи и типа кабеля Выбор системы передачи и типа кабеля производится в соответствии с рассчитанным общим числом каналов и исходя из технико-экономических соображений. На внутризоновых кабельных линиях связи используется, как правило, двухпроводная схема организации связи, при которой различные направления передачи осуществляются по разным двухпроводным цепям в одном и том же спектре частот. При этом способ организации связи по коаксиальному кабелю - однокабельный, т. е. цепи приема и передачи расположены в одном кабеле, а по симметричному кабелю - двухкабельный, при котором цепи каждого направления передачи расположены в отдельном кабеле. Поскольку рассчитанное число каналов Nоб=96 канала, то выберем цифровые системы передачи (ЦСП) с временным разделением каналов типа ИКМ-120-4 и кабель типа МКСА-4х4х1,2. Всего будет организовано 120 каналов, 24 каналов будут резервными. Скорость передачи для ЦСП ИКМ-120-4 составляет 8448 Кбит/сек. Затухание участка регенерации – 6..36 дБ. Расстояние между ОП L=l1+l2+l3+l4=18,1+20,2+17,8+19,3=75,4 км 2.3 Определение длины регенерационного (усилительного) участка и построение схемы размещения ОРП и НРП на магистрали Линейный тракт ЦСП содержит передающее и приемное оборудование линейного тракта, регенерационные участки линии и регенерационные пункты, предназначенные для восстановления первоначальной формы, амплитуды и временных положений импульсов. Большинство промежуточных регенерационных пунктов являются необслуживаемыми (НРП) и только часть этих пунктов является обслуживаемыми (ОРП). Необслуживаемые пункты питаются по тем же цепям, по которым передаются линейные сигналы. Размещение ОРП осуществляется по возможности в крупных населенных пунктах, где они могут быть обеспечены электроэнергией, водой, топливом, условиями для обслуживающего персонала. НРП размещаются на трассе через участки с примерно равным затуханием с таким расчетом, чтобы в любой точке тракта передачи разность между уровнем сигнала и помех не превышала допустимого значения. При реконструкции существующей КЛС целесообразно использовать имеющиеся капитальные сооружения. Разумеется, ОП ЦСП размещают в ОП АСП, а часть НРП – в помещениях НУП АСП. Остальные НРП строят заново. До реконструкции имеется два ОП и три НУП. (рис.1)
Рис.1. Схема размещения НУП и ОП на магистрали Длины усилительных участков, выраженные в километрах, заданны в таблице 1. Длина участка: L=l1+l2+l3+l4=18,1+20,2+17,8+19,3=75,4 км Длина полусекции: L Считается, что применена двухкабельная схема и все пары обоих кабелей используются для организации аналоговых линейных трактов, а реконструкция проводится в два этапа: - на первом этапе замене подлежит половина систем К-60П, - на втором этапе – все остальные. Таким образом, в течение первого этапа реконструкции в одном кабеле одновременно работают и аналоговые и цифровые системы. Для уменьшения влияний ЦСП на АСП их линейные тракты разносят по разным четверкам, причем четверки, принадлежащие АСП и ЦСП, в сердечнике кабеля не должны чередоваться. НРП стараются разместить таким образом, чтобы расстояния между ними были примерно одинаковыми. Исключение составляет участок, прилегающий к ОП, который рекомендуется выполнять несколько укороченным, поскольку ОП может являться источником довольно сильных помех. Номинальная длина или номинальное затухание участка регенерации, а также допустимые отклонения в обе стороны приведены в технических данных аппаратуры. (табл. 2) Эти величины зависят от усиления регенератора и пределов действия АРУ и ни в коем случае не должны выходить из допустимых границ. Для проверки правильности размещения НРП рассчитывают затухание участка регенерации минимальной длины при минимальной температуре грунта и затухание участка регенерации максимальной длины при максимальной температуре на полутактовой частоте, вводят запас
Где
Рассчитаем коэффициент затухания кабельной цепи а
Рассчитаем коэффициент затухания кабельной цепи а
При работе ЦСП максимум энергии в линии сконцентрирован в области частот, прилегающих к полутактовой частоте цифрового сигнала, поэтому расчет длины регенерационного участка ЦСП производится по формуле, в км
Где S - усилительная способность промежуточного корректирующего усилителя регенератора, численно равная затуханию регенерационного участка, atп - коэффициент затухания на полутактовой частоте (f=0,5fт) при среднегодовой температуре на глубине прокладки кабеля; Среднегодовая температура рассчитывается по формуле:
Рассчитаем коэффициент затухания кабельной цепи а
Рассчитаем длину регенерационного участка ЦСП:
Рассчитаем количество участков регенерации: N=L/lр=75,4/2,68=28 Рассчитаем количество НРП: К=N-1=28-1=27
Участки, прилегающие к ОП и ОРП обязательно делаются укороченными. Длина укороченных участков рассчитывается по формуле:
Рассчитаем затухание на регенерационном участке:
Рассчитаем затухание на укороченном участке:
Построим схему размещения РП на магистрали с нумерацией всех РП.
Рис.2 Схема системы передачи Составление схемы организации связи На основе технических данных ЦСП, полученных значений и расчета цепи ДП осуществляется размещение НРП и ОРП на каждом из проектируемых участков сети. 2.4 Модернизация существующей сети Модернизация существующей сети осуществляется в два этапа: на первом этапе замене подлежит половина систем К-60П, на втором все остальные. На рисунке 3. представлена схема существующей сети. На первом этапе вновь вводимая первая цифровая АТС должна быть связана со всеми существующими аналоговыми станциями цифровыми каналами. При этом оборудование АЦП (системы передачи ИКМ-120У) устанавливается на стороне электромеханической станции.
Рис.3 Первый этап преобразования аналоговой районированной ГТС в цифровую районированную ГТС На втором этапе вводится вторая цифровая АТС. При этом организуются прямые пучки СЛ между цифровыми АТС по полносвязной схеме. На рисунке 4 представлена схема второго этапа цифровизации.
Рис.4. Второй этап преобразования аналоговой районированной ГТС в цифровую районированную ГТС 3. Расчет ожидаемой защищенности цифрового сигнала от собственной помехи Защищенность определяют на входе решающего устройства регенератора. Причиной возникновения ошибок при передаче цифрового сигнала являются помехи, если их мгновенные значения в момент принятия решения при восстановлении (регенерации) сигнала превышают допустимые приделы. Согласно рекомендациям МККТТ для цифрового линейного тракта, соединяющего двух абонентов разных национальных сетей связи, допустимая вероятность ошибок должна составлять:
Для первичной национальной сети это норма делится поровну между тремя основными составляющими первичной сети: магистральной (МПС), внутризоновой (ВЗПС) и местной (сельской (СПС) и городской (ГПС)) таким образом, что на каждую из них приходится одинаковая величина
Тогда допустимый километрический коэффициент ошибок для рассчитываемого ЦЛТ длинной
Для ЦЛТ(цифровой линейный тракт) длиной
Допустимый коэффициент ошибок на входе регенератора
Для регенерационного участка номинальной длины:
Для укороченных участков, прилегающих к оконечным пунктам:
Найдём требуемое значение защищенности, при котором обеспечивается допустимый коэффициент ошибки регенерации линейного тракта. При передаче кода МЧПИ оно может быть рассчитано по следующей приближенной формуле:
Где Рассчитаем
для укороченных участков, прилегающих к оконечным пунктам:
Значение ожидаемой величины защищенности сигнала от собственной помехи рассчитывается по формуле:
Где
Абсолютный уровень пиковой мощности импульса на входе регенератора рассчитывается по формуле:
Где
Уровень теплового шума линии рассчитывается по формуле:
Где
Уровень шума при максимальной температуре грунта
Найдем величину затухания на участке регенерации номинальной длины
Где Найдем величину затухания на укороченном участке регенерации по формуле:
Рассчитаем ожидаемую защищенность сигнала от собственной помехи на участке регенерации номинальной длины:
на укороченном участке, прилегающем к оконечному пункту:
Сравним полученные значения. Для регенерационного участка номинальной длины:
Для укороченного регенерационного участка:
Из сравнения видно, что имеется большой запас по помехозащищённости при заданных протяжённостях участка регенерации, следовательно, эти участки выбраны верно. 4. Расчет переходных влияний ЦСП на АСП Линейный тракт АСП К-60 построен по двухкабельной схеме. После реконструкции двухкабельный режим работы сохраняется. В этом случае является переходная помеха, связанная с наличием переходного влияния на дальнем конце (ПВДК). Схематически влияние одной ЦСП на АСП показано на рис.5. Видно, что на участке АСП имеется несколько источников помехи (регенераторов), поскольку длина усилительного участка АСП К-60 значительно превосходит длину участка регенерации ЦСП ИКМ-120-4.
Рис. 5 Влияние ЦСП на АСП Однако, вклады регенераторов в суммарную помеху неодинаковы: последний на усилительном участке регенератор вносит существенно большую помеху, чем все остальные вмести взятые, так как уровень сигнала на входе линейного усилителя АСП весьма мал. Учитывая ПВДК, обусловленное только этим регенератором, приходим к частотной модели влияния ЦСП на АСП на одном усилительном участке, показанной на рис 6.
Рис.6 Частотная модель влияния ЦСП на АСП Защищенность АСП от ЦСП можно рассчитать, как разность между уровнем полезного сигнала в канале тональной частоты, который передается в линейном спектре на частоте f
, и уровнем переходной помехи, попавшей в полосу частот
где
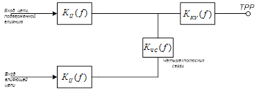
Обычно ожидаемую защищенность АСП от переходной помехи от ЦСП рассчитывают в верхнем канале тональной частоты ( 5. Расчет переходных влияний ЦСП на ЦСП При совместной работе АСП и ЦСП в одном кабеле, возникают переходные влияния через третьи (спрямленные) цепи (ПВТЦ). Оно проявляется в виде перехода энергии с выходов на входы регенераторов через цепи, на которых организованы линейные тракты АСП (рис.7). ПВТЦ является разновидностью влияния на ближнем конце.
Рис.7 Переходное влияние через третьи цепи при совместной работе АСП и ЦСП Величина переходных затуханий Аоз между точкой подключения входа регенератора к данной паре и точками подключения выходов всех регенераторов, размещенных в НРП.Частотная модель влияния одной (влияющей) цепи на цепь, подверженную влиянию, показана на рис 8.
Рис.8 Частотная модель влияния ЦСП на ЦСП Четырехполюсник связи (ЧС), включенный между концом влияющей цепи и концом цепи, подверженной влиянию, учитывает наличие ПВТЦ. Минимально допустимая защищенность от ПП в линии для одночетверочного кабеля составляет:
Среднее значение защищенности сигнала от переходной помехи ПВТЦ в линии ПВТЦ, на полутактовой частоте, определим по формуле:
где:
Условие Минимальное значение защищенности сигнала от ПВТЦ определим по формуле:
где: где: На втором этапе реконструкции все пары используются для организации цифровых линейных трактов, при этом возникают заметные влияния между ЦСП, работающими по параллельным парам. При двухкабельном способе организации линейного тракта наиболее существенны влияния на дальнем конце. При двухкабельной схеме организации линейного тракта несколько однотипных ЦСП работают на совпадающих направлениях. Для оценки переходных влияний при таком режиме работы необходимо учитывать как переходые влияния на ближнем конце, так и на дальнем. Защищенность от переходных помех одной однотипной ЦСП можно рассчитать по формуле:
где
Для внутричетверочных влияний:
Для межчетверочных влияний:
Учитывая, что мощности помех от отдельных влияющих ЦСП складываются, можно получить защищенность цепи от всех влияющих ЦСП совпадающего направления.
При полном использовании четверок кабеля величина защищенности составит:
6. Построение временных диаграмм цифровых сигналов В рамках этого задания необходимо построить 6 временных диаграмм сигналов в четырех различных точках цифрового линейного тракта: на входе участка регенерации; на выходе корректирующего усилителя регенератора (тракта “кабель+корректор”) для двух значений длительности откорректированного отклика; на выходе выделителя тактовых импульсов; на выходе регенератора. Последовательность кодовых символов: 10000100000100001111 На первой диаграмме изображают сигнал КВП-3 (МЧПИ,HDB-3) соответствующей заданной двоичной последовательности кодовых импульсов. Скважность сигнала полагают =2. КВП-3 (код высокой плотности следования единиц n=3) МЧПИ (модифицированный код с чередующейся последовательностью импульсов). Код с чередующейся полярностью импульсов (ЧПИ). Этот код получил в настоящее время широкое распространение. Алгоритм перехода от двоичного сигнала к коду ЧПИ (рис.9 ) состоит в том, что символу 0 в обоих случаях соответствует пауза. а символу 1 в коде ЧПИ соответствуют импульсы положительной или отрицательной полярности. Строгое чередование полярности импульсов позволяет резко уменьшить линейные искажения второго рода и частично ослабить линейные искажения первого рода.
Рис.9 Код ЧПИ Модифицированный код ЧПИ (МЧПИ).Существенным недостатком кода ЧПИ является трудность реализации УВТЧ. Как видно из рис.10 , на входе УВТЧ действует импульсный цифровой сигнал, или в рассматриваемом случае —код ЧПИ.
Рис.10. Схема регенератора Если в двоичном сигнале появляется подряд множество символов 0, то на входе УВТЧ будет действовать длительная пауза, что может привести к срыву его работы. Суть модификации кода ЧПИ состоит в том, что в паузу, длина которой превышает n нулей, помещают балластные сигналы. Они препятствуют ухудшению работы УВТЧ, но в то же время легко могут быть обнаружены и изъяты на приеме. В качестве примера рассмотрим получивший широкое распространение код высокой плотности следования единиц (КВП-3), у которого n=3. В качестве балластных используются два типа сигналов (рис. ), имеющих условное обозначение O00V и BO0V.
Рис.11 Балластные сигналы в коде МЧПИ. При выборе конкретного вида балластного сигнала исходят из следующих условий: полярность импульса В всегда противоположна полярности предшествующего импульса, полярность импульса V всегда совпадает с полярностью предшествующего импульса; если между двумя соседними паузами в двоичном сигнале с числом нулей n1 если число единиц между двумя вышеупомянутыми паузами нечетное, то заполнение второй паузы начинается с балластного сигнала 000V. На второй диаграмме изображают форму сигнала на выходе корректирующего усилителя регенератора для случая, когда длительность отклика тракта “кабель+корректор” на одиночный импульс составляет два тактовых интервала по его основанию. В процессе построения пунктиром изображают отклики на каждый импульс сигнала КВП-3, а затем сплошной линией – результат суперпозиций откликов. На диаграмме указывают положение порогов решения. С увеличением длины линии уменьшается высота импульса и возрастает его длительность. Такие искажения формы импульсов называются линейными искажениями первого рода. Так как затухание линии возрастает с увеличением частоты, можно считать, что линейные искажения первого рода связаны с подавлением высокочастотных компонент импульсных сигналов. Характерная особенность искажения формы импульса состоит в том, что возникает длительное последействие, причем длительность входного сигнало много меньше постоянной времени. Такие искажения носят название линейных искажений второго рода. Они связаны с подавлением низкочастотных компонент импульсного сигнала. Рассмотрим принцип работы регенератора.
Рис.12 Возникновение ошибок в работе регенератора из-за линейных искажений первого рода На временных диаграммах (рис.12 6 и в) показаны идеальный и искаженный двоичные сигналы, причем последний действует на входе регенератора. С помощью корректирующего усилителя (КУС) происходят усиление и частичное восстановление формы импульсного сигнала. Устройство выделения тактовой частоты (УВТЧ) вырабатывает последовательность стробируюших импульсов, следующих с частотой fт =1/T (рис. г).
Рис.13 К анализу работы регенератора В моменты действия этих импульсов замыкается ключ (Кл) и отсчеты сигнала U 1, U 2, U 3,… проходят в решающее устройство (РУ). Здесь происходит сравнение напряжений Ui с пороговым напряжением U п . Если Ui >> U п , то на выходе РУ появляется стандартный импульс, в противном случае на выходе РУ формируется пауза (рис.13 д). Таким образом , регенератор восстанавливает форму исходного цифрового импульсного сигнала. (отличие заключается в небольшом временном запаздывании, что несущественно.)
Рис.14 К анализу влияния линейных искажений на код ЧПИ На рис.14 ,6 изображен код ЧПИ, искаженный за счет линейных искажений второго рода. Видно, что длительные переходные процессы, связанные с искажениями этого типа, взаимно компенсируются и расположение импульсов относительно оси абсцисс не изменяется. На рис. в изображен код ЧПИ, подверженный влиянию линейных искажений первого рода. Около паузы, действующей на любых тактовых интервалах, всегда располагаются импульсы разной полярности (например, на рис.,9 пауза имеет место на третьем тактовом интервале). В результате происходит взаимная компенсация фронта и спада этих импульсов, там что в коде ЧПИ паузу легче обнаружить, чем в двоичном сигнале. Работа РУ регенератора кода ЧПИ состоит в сравнении напряжений U 1, U 2, U 3,… с двумя пороговыми напряжениями ± Un , после чего вырабатываются импульсы соответствующей полярности или паузы в зависимости от результата сравнения величин Ui с пороговыми значениями. На третьей диаграмме изображают форму сигнала в той же точке при длительности отклика три тактовых интервала. Форма откликов, которые рекомендуется использовать при построении временных диаграмм показана на рисунке, а их значения для некоторых моментов времени приведены в таблице.
На четвертой диаграмме изображают тактовый синхросигнал, представляющий собой короткий по сравнению с периодом их следования и соответствующим образом сфазированные импульсы. На пятой и шестой диаграммах изображают сигналы на выходе регенератора, которые должны соответствовать сигналам на диаграммах 2,3 и 4. После построения всех диаграмм делают выводы о возможности правильной регенерации сигналов при наличии межсимвольных искажений.
Рис.15. Структурная схема регенератора МЧПИ. На схеме (рис.15) УР (устройство разделения) разделяет положительные и отрицательные компоненты. В моменты стробирования в устройствах РУ1 и РУ2 компоненты входных сигналов сравниваются с пороговым уровнем, и в зависимости от результата РУ вырабатывают сигналы управления ключами Кл1 и Кл2. С помощью вычитающего устройства формируется регенерированный сигнал МЧПИ.
Рис. 16 . Временные диаграммы цифровых сигналов. На первой диаграмме изображен сигнал 1000V1000V0V000V1111 кода КВП-3 (с добавлением балластного сигнала). На второй диаграмме изображен сигнал на выходе корректирующего усилителя регенератора для случая, когда длительность отклика тракта «кабель + корректор» на одиночный импульс составляет два тактовых интервала по его основанию. На третьей диаграмме изображен сигнал на выходе корректирующего усилителя регенератора для случая, когда длительность отклика тракта «кабель + корректор» на одиночный импульс составляет три тактовых интервала по его основанию. На четвертой диаграмме изображен тактовый синхросигнал, стробирующие импульсы с выхода выделителя тактовой частоты (ВТЧ). На пятой и шестой диаграммах изображены сигналы на выходе регенератора, которые представляют собой сравнение сигнала на выходе корректирующего регенератора и синхросигнала с выхода ВТЧ. Из диаграммы пять следует, что сигнал с длительностью отклика тракта «кабель + корректор» равной два тактовых интервала на входе формирователя выходных импульсов будет распознан без ошибок, т.к. происходит совпадение символов «1» на выходе РУ со стробирующими импульсами ВТЧ. Из диаграммы шесть следует, что сигнал с длительностью отклика тракта «кабель + корректор» равной три тактовых интервала на входе формирователя выходных импульсов будет распознан с ошибками, т.к. не происходит совпадение символов «1» на выходе РУ со стробирующими импульсами ВТЧ. Вывод: Из построенных диаграмм видно, что в случае, когда длительность отклика составляет два такта интервала, регенерация сигнала происходит без ошибок, а в случае, когда длительность отклика составляет три такта интервала, регенерация сигнала происходит с появлением ошибок. Это связано с увеличением межсимвольной помехи. 7. Расчет цепей дистанционного питания Дистанционное питание (ДП) НРП осуществляется стабилизированным током по искусственным цепям, организованным при помощи линейных трансформаторов на парах прямого и обратного направлений передачи по принципу “провод-провод”. Цепи питания отдельных НРП включаются в цепь ДП последовательно.(НРП включаются в цепь ДП последовательно.) Питание может быть организованно как с одной из оконечных станций, так и с обеих одновременно (по полусекциям). Дистанционное питание подается в линию от блоков ДП, устанавливаемых либо на стойках ДП, либо на стойках оборудования линейного тракта, которые размещаются на оконечных (ОП) и промежуточных обслуживаемых регенерационных (ОРП) пунктах. При этом на секции ОРП-ОРП (или ОП-ОРП), называемой секцией дистанционного питания, организуется два участка дистанционного питания: половина НРП обеспечивается питанием от одного ОРП, а вторая половина – от другого ОРП (с организацией шлейфа по ДП на смежном для двух участков НРП). При расчете напряжения на выходе блока ДП следует учитывать падение напряжения на участках кабеля и на НРП. Расчет напряжения ДП выполняют для секции или полусекции по формуле:
Где
п
Расчет километрического сопротивления жилы при заданной температуре аналогичен расчету коэффициенту затухания цепи:
Где
Рассчитаем километрическое сопротивление жилы при температуре 18
Рассчитаем километрическое сопротивление жилы при температуре -1
Рассчитаем километрическое сопротивление жилы при температуре 8,5
Всю систему передачи мы раздели на 2 половины, первые 14 НРП будут напитываться из города А, другие 13 НРП из ОРП. На первом участке 14 НРП, следовательно Uдп1 = (100+5)*10-3 *15,12*(18,1+(20,2-2,52))+14*13=238 В На втором участке 13 НРП, следовательно Uдп2 = (100+5)*10-3 *15,12*(19,3+17,8+2,52)+13*13=232В Как видим, полученные значения укладываются в допустимые значения максимального напряжения дистанционного питания для ИКМ-120-4 = 240, но для этого нам было необходимо установить ОРП.
Рис.17. Схема дистанционного питания, шлейфовый метод. условие где Рассчитанное напряжение не должно превышать максимального выходного напряжения источника ДП. Диаграмма затухания в линейном тракте
Т.к. регенерационные участки одинаковы, поэтому на диаграмме изображаются первые и последние участки. Также на диаграмме изображены укороченные регенерационные участки. Заключение В курсовом проекте рассмотрен вопрос замены аналоговой системы передачи К-60П на цифровую систему передачи ИКМ-120-4. Произведен расчет параметров количества абонентов населенных пунктов А-Б, где планируется замена АСП на ЦСП. Для данных пунктов рассчитано: количество каналов телефонной связи, значение коэффициента затухания участка кабельной линии, длина регенерационного участка. Защищенность цифрового сигнала от собственной помехи, расчет влияний ЦСП на АСП, а также расчет переходных влияний через третьи цепи ЦСП на ЦСП, Показана надежность передачи сигнала и необходимость замены всех существующих аналоговых систем передачи. Построены временные диаграммы отражающие качество передачи сигнала по ЦСП. Произведен расчет цепи дистанционного питания, из которого видно, что полученные значения укладываются в допустимое значение напряжения дистанционного питания для ИКМ-120-4, но с использованием одного обслуживаемого регенерационного пункта. В результате выполнения курсового проекта были получены навыки по выполнению инженерных расчетов, изучены характеристики и особенности ЦСП. Список литературы 1. Иванов В.И.: «Цифровые и аналоговые системы передачи: Учебник для вузов»/ В.И.Иванов, В.Н. Гордиенко, Г.Н. Попов и др.; Под ред. В.И. Иванова. – 2-е изд. – М.: Горячая линия – Телеком, 2003. 2. Кириллов В.И.: «Многоканальные системы передачи: Учебник». – М.: Новое знание, 2002. 3. Крухмалев В.В., Гордиенко В.Н. Основы построения телекоммуникационных систем и сетей: Учебник для вузов/ В.В.Крухмалев, В.Н. Гордиенко, А.Д. Моченов и др.; Под ред. В.Н. Гордиенко, В.В. Крухмалева. – М.: Горячая линия – Телеком, 2004. – 510 с.: ил. 4. Попов Г.Н. Нормирование качества телекоммуникационных услуг: Учебное пособие. Под ред. профессора В.П. Шувалова. – М.: Горячая линия – Телеком, 2004. – 312 с.: ил. 5. Тепляков И.М. Основы построения телекоммуникационных систем и сетей: Учеб. пособие. – М.: Радио и связь, 2004. – 328 с.: ил. |

















