Комитет Российской Федерациипо рыболовству
Мурманский Государственный ТехническийУниверситет
Кафедра радиотехникии телекоммуникационных систем
Курсовой проект
по предмету "Прием и обработка сигналов"
"Проектирование радиовещательного приемника длинноволнового диапазона"
Выполнил: студент гр. Р-593
Кужильный А.Е.
Проверил: профессор кафедры РТКС
Пятси А.Х.
Мурманск
2009
Задание
Спроектировать портативный радиовещательный приёмник длинноволнового диапазона со следующими параметрами:
– рабочий диапазон частот: 150 кГц - 420 кГц;
сигналы: амплитудная многотональная модуляция. Для обеспечения эстетического восприятия в радиовещании необходимо передавать полосу частот 100...6300 Гц при допустимой неравномерности около +(0,7...1,5) дБ.
– требование к избирательности:
ослабление соседнего канала приёма – не менее 60дБ;
ослабление по побочным каналам приёма – не менее 50дБ;
– чувствительность, при отношении сигнал/шум не менее 26 дБ не
хуже 5мкВ;
– антенна- магнитная;
– напряжение питания: Еп=9В.
– требование к АРУ:при изменении уровня входного сигнала на 60 дБ изменение уровня выходного сигнала должно составлять не более 6 дБ
Разработка функциональной блок-схемы приёмника
Поскольку в задании предъявлены довольно высокие требования к показателям РПУ, то это предопределяет построение приемника по супергетеродинной схеме. Для повышения чувствительности приемника необходимо применение усилителя сигнальной частоты (УСЧ) в преселекторе. С целью улучшения избирательности приемника УСЧ необходимо сделать резонансным. В качестве усилительных элементов в УСЧ и УПЧ применим полевые транзисторы, т.к. при этом реализуются их преимущества: малый коэффициент шума, большое входное сопротивление и высокая линейность усиления.
Входная цепь (ВЦ) должна обеспечивать возможность настройки на любую частоту заданного диапазона приемника. Плавно настраивать контуры в заданном диапазоне частот можно, изменяя индуктивность или емкость, либо одновременно и то и другое. При настройке контура ВЦ с помощью индуктивности его показатели (конструктивное затухание, полоса пропускания, резонансная эквивалентная проводимость контура) по диапазону резко изменяются, что нежелательно. Настройка ВЦ ёмкостью сопровождается менее резкими изменениями параметров контуров. Осуществить перестройку ёмкости контура возможно при помощи блоков конденсаторов переменной ёмкости (КПЕ). Однако применение КПЕ нецелесообразно вследствие их больших размеров и сложности точного сопряжения. Поэтому в качестве переменной ёмкости контура применяем варикапы. Главное преимущество варикапов – малые размеры, механическая надежность, простота автоматического и дистанционного управления настройкой. Недостатком варикапов в сравнении с КПЕ является нелинейность при больших уровнях сигналов и помех. Ослабить нелинейные эффекты можно применением балансных (двухтактных) схем. В данном случае такой схемой является встречно-последовательное включение двух варикапов.
В качестве преобразователя частоты применяем кольцевой диодный преобразователь, имеющий следующие достоинства: меньшее содержание гармоник входных сигналов и комбинационных частот в выходном спектре, широкий динамический диапазон входных сигналов, большая максимально допустимая мощность, широкая полоса пропускания.
Для обеспечения высокой избирательности приёмника по побочным каналам приема необходимо выбрать высокую промежуточную частоту. Современная элементная база позволяет обрабатывать сигналы с частотами более 1 ГГц. Однако в длинноволновом диапазоне частот весьма высокую избирательность обеспечит преселектор при выборе промежуточной частоты равной fпр
=10,7 МГц.
Основное усиление и обработка сигнала производиться в тракте промежуточной частоты. Для обеспечения высокой избирательности РПУ по соседним каналам приема необходимо применение фильтра сосредоточенной избирательности (ФСИ). В качестве ФСИ выбираем пьезокерамический фильтр, обладающий близкой к идеальной характеристикой односигнальной избирательности, хорошими массогабаритными показателями. Применение ФСИ позволяет делать каскады УПЧ апериодическими. Для обеспечения высокого качества детектирования на вход последовательного диодного детектора необходимо подавать напряжение с амплитудой не менее 1В. Данное условие определяет требование к коэффициенту усиления всего приёмника.
В качестве системы АРУ выбираем АРУ с задержкой. В задержанной АРУ регулирующее напряжение создается и действует лишь в том случае, если входной сигнал превышает определенное значение (оно обычно выбирается равным чувствительности приемника и называется порогом срабатывания АРУ). Задержанная АРУ по своим характеристикам уступает только усиленной АРУ с задержкой, но последнее требует применения дополнительного усилителя постоянного тока, что вызывает существенное усложнение схемы приемника. Наиболее просто управлять усилением каскадов УПЧ при помощи АРУ можно применяя в УПЧ полевые транзисторы с двумя затворами. В этом случае управляющее напряжение системы АРУ прикладывается ко второму затвору транзистора, уменьшая его крутизну.
Так как требуется спроектировать портативный радиоприёмник, то возникают ограничения на габариты антенны. Поэтому в данном случае целесообразно применить магнитную антенну, которая обладает малыми размерами и низким коэффициентом направленного действия, что позволяет приёмнику принимать сигналы практически со всех направлений.
Применение детектирования колебаний в цепи АРУ с задержкой имеет ещё и то дополнительное преимущество, что при слабых сигналах, когда детектор АРУ заперт, не уменьшается крутизна характеристики усилительных приборов и поэтому не возрастают собственные шумы радиочастотного блока. Последнее обстоятельство объясняется тем, что шумовое сопротивление транзистора обратно пропорционально крутизне S(y21). Следовательно, если АРУ при малых сигналах не работает, то в радиочастотном блоке при этом не уменьшается отношение сигнал-шум за счёт действия АРУ. Сказанное относится, в первую очередь к входным каскадам радиочастотного блока на достаточно высоких частотах, когда их шумы могут быть соизмеримы по интенсивности с внешними помехами воздействующими на вход приёмника.
Расчёт входной цепи
При расчёте входной цепи (ВЦ) принимаем паразитную ёмкость катушки СLA
=2пФ, монтажную ёмкость равной См
=10пФ, максимальную добротность контура равной Qk
=80.
Определяем коэффициент перекрытия диапазона

В качестве варикапа для ВЦ выбираем варикап КВ135А, имеющий следующие параметры:
Св
max
=800пФ (при Uобр
=1В), Св
min
=20пФ (при Uобр
=7В).
Так как во ВЦ применяется встречно - последовательное соединение варикапов, то эквивалентная максимальная и минимальная ёмкости такого соединения соответственно равны0

Средняя ёмкость подстроечного конденсатора должна удовлетворять условию С19>
(0,3…0,5)Ск
min
, где Ск
min
- минимальная ёмкость контура;
Ск
min
=С/
в
min
+CLA
+Cм
+С11
VT
,
где С11
VT
– входная ёмкость транзистора УСЧ. В качестве транзистора УСЧ выбираем транзистор 2П302А (характеристики прибора приведены в приложении) с
С11
VT
=6пФ.
Ск
min
=10+2+10+6=28пФ.
С19>
(8,4…14)пФ
Принимаем С19=10пФ.
Находим ёмкость дополнительного конденсатора
С18=С/
2
-CLA
-C19- C11
VT
-Cм
=47-2-10-6-10=19пФ.
Выбираем конденсатор по ряду Е24
С18=20 пФ
Вычислим ёмкость разделительного конденсатора
,
где Rвх
– входное сопротивление УСЧ. Поскольку Rвх
=375кОм (расчёт Rвх
приведён ниже), то
1/(2pfcmax
*C17)>0.1*375000
C17>
1/(2pfcmax
0.1*375000)= 1/(2p420000*0.1*375000)=10пФ
Выбираем конденсатор по ряду
Е24: С17=10 пФ
Вычислим необходимую индуктивность катушки контура
.
Рассчитываем ферритовую антенну


Наилучшие характеристики ферритовая антенна имеет при отношениях а/lc
=0,3; lc
lk
/lc
=0,2. Зададимся значением dk
/dc
=1,13; lc
/dc
=20; lk
/dk
=3,5; dc
=0,8см.
По рисунку 3 находим эффективную магнитную проницаемость сердечника mэ
=130Г/м. По графику на рисунке 4 для lk
/dk
=3,5 находим коэффициент а равный а=2,4.
Теперь можно определить число витков в контурной катушке



Вычисляем действующую высоту (частота в МГц)

Определим входную проводимость УСЧ. Входное сопротивление УСЧ определяется параллельным включением сопротивлений делителя в цепи затвора

Транзистор УСЧ работает с нулевым напряжением на затворе, значит сопротивления R16 и R17 должны быть выбраны такими чтобы падение напряжения на сопротивлении R17 равнялось падению напряжения на истоковом резисторе. Оптимальный режим транзистора обеспечивается при Uси
=5В и Iс
=3мА. Задаёмся падением напряжения на истоковом резисторе равном UR
18
=0,2Еп
=0,2*9»2В (при этом обеспечивается удовлетворительная температурная стабилизация режима по постоянному току). Следовательно падение напряжения на резисторе R17 также должно равняться 2В.
Задаёмся сопротивлением R17 равное 500 кОм.
Выбираем резистор по ряду
Е24: R17=510 кОм.

Задаваясь падением напряжения на резисторе развязывающего фильтра равным 1В получаем , что на делителе падение напряжения составляет
UR
д
=Еп
- UR
ф
=9-1=8В. Так на UR
17
=2В, UR
16
= UR
д
- UR
17
=8-2=6В.
Тогда
R16=6*500000/2=1500000 Ом=1,5 Мом
Выбираем резистор по ряду
Е24: R16=1,5 МОм.
Следовательно
.
Отсюда входная проводимость УСЧ равна
Gвх
=1/Rвх
=1/375000=2,6 мкСм
Определяем эквивалентные затухания ВЦ на частотах побочных каналов приёма
r=2pfcmax
Lk
– характеристическое сопротивление контура ВЦ
r=2p420000*0,005=13194 Ом
Эквивалентная активная входная проводимость контура ВЦ равна
Gэ
=Gк
+Gвх
Gк
=1/(rQk
)=1/(13194*80)=0,94 мкСм
Gэ
=0,94+2,6=3,55 мкСм
dэ
=rGэ
=13194*3,55*10-6
=0,0468
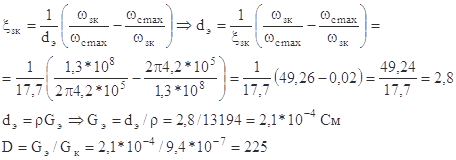
Определяем обобщённую расстройку для зеркального канала

Определяем обобщённую расстройку для промежуточной частоты
.
Вычисляем ослабление зеркального канала приёма
.
Вычисляем ослабление канала промежуточной частоты
.
Полоса пропускания ВЦ
П0,7
=fcmax
dэ
=420000*0,0468=19656 Гц.
Расчёт цепи настройки варикапов
Чтобы R8,R15,R39,R40 не шунтировали контур ВЦ и контур УСЧ, их сопротивление должно во много раз превышать характеристическое сопротивление этих контуров на максимальной частоте рабочего диапазона. Поскольку rmax
=13194 выбираем сопротивления резисторов R8,R15,R39,R40 равными 100 кОм.
Так как в цепи настройки варикапов ток появляется только во время переходных процессов необходимо чтобы постоянная времени цепи R2С6 и R9С11 не превышала 0,01сек:
t£0,01c
t=R2C6
Зададимся ёмкостью конденсатора С6 равной 20мкФ, тогда
.
Аналогично
.
Выбираем сопротивления резисторов R2 и R9 по ряду Е24 равными 470 Ом.
От номинала сопротивления R1 зависит ток потребления схемы, поэтому желательно выбирать это сопротивление по возможности наибольшим. Следовательно выбираем это сопротивление не менее номинала резистора R8.
В качестве резистора R1 выбираем резистор СП2-2а с максимальным сопротивлением 100 кОм.
Зададимся падением напряжения на фильтре R41С37 равном
UR
42
=2 В.
.
Выбираем резистор по ряду Е24:
R41=27 кОм
Для обеспечения нормальной работы развязывающего фильтра сопротивление конденсатора С37 на рабочей частоте должно быть по меньшей мере в 100 раз меньше чем сопротивление резисторR41

Выбираем конденсатор по ряду
Е24: С37=6,8 нФ
Между катушкой индуктивности контура и варикапами необходимо включить разделительные конденсаторы С35 и С36, ёмкостью в сто раз большей ёмкости варикапов и служащих для отделения цепи питания варикапов от катушки индуктивности:
С35=С36>
100СBmax
=100*800*10–12
=80 нФ
Выбираем конденсатор по ряду
Е24: С35=С36=91 нФ.
Расчёт УСЧ
Номиналы всех элементов колебательного контура УСЧ выбираем такими же как и во ВЦ для обеспечения точного сопряжения настройки.
Сопротивление развязывающего фильтра равно R3=DЕф
/Ic
0
, где DЕф
– падение напряжения на R3. Выбираем DЕс
»0,1Еп
, DЕф
=1В. Ic
0
=3мА - ток стока в рабочей точке транзистора. Значит
R3=1/0,001=333 Ом
Выбираем резистор по ряду
Е24: R3=330 Ом
Сопротивление резистора в цепи истока определяем по формуле
R18=UR
18
/ Ic
0
=2/0,003=666 Ом
Выбираем резистор по ряду
Е24: R18=680 Ом
(UR18
выбирается равным UR18
=0,2Еп
для достижения удовлетворительной температурной стабилизации режима транзистора по постоянному току).
Для того чтобы ёмкость истокового конденсатора не вносила заметных частотных искажений её сопротивление даже на самой низшей частоте должно быть меньше сопротивления R18
.
Выбираем конденсатор по ряду
Е24: С20=33 нФ
Для обеспечения нормальной работы развязывающего фильтра сопротивление конденсатора С1 на рабочей частоте должно быть по меньшей мере в 100 раз меньше, чем сопротивление резистора R3
С1>
100/(wс
min
R3)=100/(2p1,5*105
*333)=0,3 мкФ
Выбираем конденсатор по ряду
Е24: С1=0,33 мкФ
Нагрузкой для колебательного контура в цепи УСЧ является активное сопротивление двух открытых диодов включённых последовательно. В качестве диодов в смесителе выбраны диоды 2А108А (характеристики прибора приведены в приложении), которые в открытом состоянии имеют сопротивление 70 Ом. Следовательно два включённых последовательно открытых диода имеют сопротивление 140 Ом.
Rн
=140 Ом ÞGн
=7,14 мСм
Зададимся ослаблением зеркального канала приёма равным


Определим коэффициенты включения в контур транзистора и нагрузки (m и n соответственно). Исходя из условия получения максимального коэффициента усиления каскада УСЧ:

,
где k – коэффициент связи зависящий от конструктивного расположения катушек.
Зададимся k=0,7

Рассчитаем коэффициент усиления каскада

Проверяем устойчивость каскада
Зададимся коэффициентом устойчивости равным Ку
=0,85

Кu
<К0уст
следовательно каскад будет работать устойчиво.
Коэффициент усиления каскада по мощности

Требуемый коэффициент усиления УРЧ по мощности должен удовлетворять двум условиям :
С одной стороны
,
где и коэффициенты передачи по мощности смесителя и фильтра ФСС соответственно.
С другой стороны сигнал на выходе УРЧ должен быть таким, чтобы смеситель оставался линейным устройством (чтобы не возникало интермодуляционных помех). Для линейности смесителя к гетеродину предъявляются следующие требования (амплитуда напряжения гетеродина
Uг
=2В, Rн
=RвхСМ
=140 ОмÞ Рг
=U2
г
/Rн
=4/140=28,6 мВт).
,
где коэффициент передачи смесителя (так как смеситель выполнен по кольцевой схеме ), – входное сопротивление смесителя.
– сопротивление нагрузки смесителя, при согласовании с ФСС
, .
Тогда 
=
{При согласовании }=
В качестве ФСС выбираем пьезокерамический фильтр FPA1-10,7-6 со следующими параметрами:
Число звеньев-4
Средняя частота f0
=10,7 МГц;
Полоса пропускания Пф
=7…9,5 кГц;
Ослабление при растройке +
10 кГц
от средней частоты d, дБ – 46 дБ;
коэффициент передачи по напряжению на средней частоте: 0,97
номинальная входная проводимость Gвх
=0,835 мСм
номинальная выходная проводимость Gвых
=0,417 мСм
Тогда


Так как КрУРЧ
=125, то условие выполняется.
Для согласования входного сопротивления пьезокерамического фильтра с выходным сопротивлением смесителя необходим трансформатор с коэффициентом трансформации

,
где k - коэффициент связи, зависящий от конструктивного расположения катушек, зададимся k=0,9.
Для того, чтобы трансформатор L14L15 можно было бы считать идеальным, реактивное сопротивление его первичной обмотки на рабочей (промежуточной) частоте должно хотя бы на порядок превышать сопротивление вносимое в первичную обмотку.
Таким образом

Тогда 
Для обеспечения баланса схемы кольцевого смесителя коэффициент включения катушки L3 в трансформаторе L2L3 должен составлять 0,5 (отвод от средней точки катушки L3).
Для согласования выходного сопротивления первой ячейки фильтра со входным сопротивлением первого каскада УПЧ необходим трансформатор с коэффициентом трансформации

Определяем входное сопротивление первого каскада тракта УПЧ.
Входное сопротивление первого каскада определяется параллельным включением сопротивлений делителя напряжения в цепи первого затвора.

Транзистор данного каскада работает с нулевым напряжением на затворе, значит сопротивление R10 и R19 должны быть выбраны такими, чтобы падение напряжения на сопротивлении R19 равнялось падению напряжения на истоковом резисторе. Оптимальный режим транзистора обеспечивается при
Uc
и0
=4В и Iс0
=8мА
Так как в стоковой цепи транзистора включена первичная обмотка трансформатора, то по постоянному току падение напряжения на этой обмотке равно нулю. Поэтому всё напряжение питания перераспределяется между развязывающим фильтром R4С2, участок сток-исток транзистора Т2 и истоковым резистором R20. Задаёмся падением напряжения на резисторе развязывающего фильтра R4 равном 1В, UR
ф
=1В. тогда падение напряжения на истоковом резисторе R20 равно
UR
20
=Еп
- UR
ф
- Uси0
=9-1-4=4В.
При этом
,
что обеспечивает хорошую температурную стабилизацию по постоянному току.
Задаёмся сопротивлением R19 равном 500 кОм
Выбираем резистор по ряд
Е24: R19=510 кОм.
.
Падение напряжения на делителе R10R19 составляет
UR
10
R
19
=Еп
-UR
ф
=9-1=8В.
Так как UR
19
= UR
20
, то UR
10
= UR
10
R
19
- UR
20
=8-4=4В.
Тогда R10=4*500000/4=500 кОм.
Выбираем резистор по ряду
Е24: R10=510 кОм
Следовательно

Таким образом требуемый коэффициент трансформации равняется

,
где k - коэффициент связи, зависящий от конструктивного расположения катушек, зададимся k=0,9.
Для того, чтобы трансформатор L16L19 можно было бы считать идеальным, реактивное сопротивление его первичной обмотки на рабочей (промежуточной) частоте должно хотя бы на порядок превышать сопротивление вносимое в первичную обмотку.
Таким образом

Тогда 
Расчёт первого каскада УПЧ
Сопротивление развязывающего фильтра равно R4=DЕф
/Iс0
,где DЕф
– падение напряжения на R4.
Выбираем
DЕф
=0,1Еп
, DЕф
=1В;
Iс0
- ток стока в рабочей точке транзистора Iс0
=8мА.
Значит
R4=1/0,008=125 Ом.
Выбираем резистор по ряду
Е24: R4=120 Ом.
Сопротивление резистора в цепи истока определяем по формуле
.
Выбираем резистор по ряду
Е24: R20=510 Ом
Для того чтобы ёмкость истокового конденсатора С21 не вносила заметных частотных искажений её сопротивление на рабочей (промежуточной) частоте должно быть меньше сопротивления R20
.
Выбираем конденсатор по ряду
Е24: С21=620 пФ
Для обеспечения нормальной работы развязывающего фильтра сопротивление конденсатора С2 на рабочей частоте должно быть по меньшей мере в 100 раз меньше, чем сопротивление резистора R4
С2>
100/(wс
min
R4)=100/(2p10,7*106
*125)=11 нФ
Выбираем конденсатор по ряду
Е24: С2=12 нФ
Нагрузкой для первого каскада является сопротивление вносимое в первичную обмотку трансформатора со стороны входного сопротивления ФСС. Для согласования входного сопротивления фильтра с выходным сопротивлением первого каскада УПЧ необходим трансформатор с коэффициентом трансформации

Выходное сопротивление каскада согласно паспортным данным транзистора равно 1500 Ом.

,
где k - коэффициент связи, зависящий от конструктивного расположения катушек, зададимся k=0,9.
Для того, чтобы трансформатор L4L17 можно было бы считать идеальным, реактивное сопротивление его первичной обмотки на рабочей (промежуточной) частоте должно хотя бы на порядок превышать сопротивление вносимое в первичную обмотку.
Таким образом

Тогда 
Трансформатор L18L5 аналогичен трансформатору L16L19.
L18=L16=360 мкГн,
L5=L19=30 мГн.
Коэффициент ослабления соседнего канала приёма (расстройка 10 кГц) составляет

Коэффициент ослабления зеркального канала приёма

Нагрузкой для второго каскада является сопротивление вносимое в первичную обмотку трансформатора со стороны третьего каскада. Для согласования входного сопротивления третьего каскада с выходным сопротивлением второго каскада УПЧ необходим трансформатор с коэффициентом трансформации

Выходное сопротивление каскада согласно паспортным данным транзистора равно 1500 Ом. Последующий каскад УПЧ работает в таком же режиме, что и предыдущий, поэтому его входное сопротивление равно


,
где k - коэффициент связи, зависящий от конструктивного расположения катушек, зададимся k=0,9.
Для того, чтобы трансформатор L6L7 можно было бы считать идеальным, реактивное сопротивление его первичной обмотки на рабочей (промежуточной) частоте должно хотя бы на порядок превышать сопротивление вносимое в первичную обмотку.
Таким образом

Тогда 
Вычисляем ёмкость разделительного конденсатора
ХС12
<0,1RвхУПЧ
,
где RвхУПЧ
– входное сопротивление каскада УПЧ.
Поскольку
RвхУПЧ
=250 кОм, то 1/(wпр
С12)<0,1*250000, 1/(wпр
С12)<25000,
1/(2p10,7*106
*С12)<25000, С12>1/(2p10,7*106
*25000)=0,595 пФ
Выбираем конденсатор по ряду
Е24: С12=6,8 пФ
Рассчитаем коэффициент усиления каскада

Проверяем устойчивость каскада
Зададимся коэффициентом устойчивости равным Ку
=0,85

Поскольку амплитуда напряжения на входе детектора должна быть не менее 1В (для того чтобы исключить появление нелинейных искажений продетектированного напряжения), что значительно меньше максимально допустимого напряжения затвор- исток данного транзистора, то в последующих каскадах УПЧ можно использовать тот же режим работы, что и в данном каскаде, поэтому номиналы навесных элементов транзисторов будут такими же:
R10=R11=R12=R13=510 кОм,
R19=R21=R23=R25=510 кОм,
R20=R22=R24=R26=510 Ом,
R4=R5=R6=R7=120 Ом
L4=L6=L8=L10=0,223 мГн
L7=L9=30,5 мГн
C12=C13=C14=C15=6,8 пФ
C21=C22=C23=C24=620 пФ
C2=C3=C4=C5=12 пФ.
Рассчитаем число каскадов тракта УПЧ, необходимое для обеспечения требуемой чувствительности:
N=logKu
KУПЧ
, где N – необходимое число каскадов УПЧ, Кu
– коэффициент усиления по напряжению одного каскада УПЧ, KУПЧ
- коэффициент усиления по напряжению всего тракта УПЧ,
KУПЧ
=Uвхд
/ЕА0
,
где Uвхд
– амплитуда напряжения на входе детектора
(Uвхд
=1В), ЕА0
–
необходимая чувствительность приёмного устройства,
KУПЧ
=1/5*10-6
=2*105
Значит
N=log27
2*105
=3,7,
т.е. требуемое число каскадов равняется N=4.
Тогда общий коэффициент усиления по напряжению тракта ПЧ составляет
KУПЧ
=КN
u
=274
=5,31*105
Определим номиналы катушек индуктивности ВЦ последнего каскада УПЧ: Для этого необходимо рассчитать Rвх
детектора сигнала и детектора АРУ
RвхАД
»R14/2
Для исключения возможности возникновения нелинейных искажений в цепи детектора за счёт инерционности его нагрузки должно выполнятся следующее условие:
, где t=R14C10
– постоянная времени нагрузки детектора, m – коэффициент модуляции (в радиовещании m=0,8), Wmax
– высшая модулирующая частота(Wmax
=6,3 кГц).
Для увеличения коэффициента передачи детектора следует выбирать по возможности большее сопротивление R14, однако с увеличением R14 необходимо уменьшать ёмкость С10. При этом нужно помнить, что последняя не должна быть соизмеримой с ёмкостью диода, так как при этом коэффициент передачи детектора уменьшается.
.
Из всего детектируемого сигнала имеющегося на колебательном контуре, к диоду прикладывается та его часть, которая падает на плече Сак
ёмкостного делителя Сак
С10 (см. рисунок 5). Чем меньше ёмкость С10, тем меньшая часть сигнала прикладывается к диоду и тем большая к нагрузке. Поэтому следует брать С10>20Сак
. Меньшая ёмкость приводит к снижению внутреннего коэффициента усиления детектора.

Рис. 5
В качестве диода детектора выбираем диод Д9 (характеристики прибора приведены в приложении) со следующими параметрами
Сак
=1 пФ; S=10 мСм; Sобр
=2,5*10-8 См.
Тогда С10>20*1*10-12
=20*10-12
Ф.
Выбираем конденсатор по ряду
Е24: С10=1,1 нФ.
Следовательно
R14=t/С10=0,5*10-4
/1,1*10-9
=45455 Ом.
Выбираем резистор по ряду
Е24: R14=47 кОм.
Тогда RвхАД
=R14/2=47*103
/2=23,5*103
Ом
Определяем входное сопротивление детектора АРУ:
Назначением фильтра в цепи АРУ является выделение из продетектированного сигнала постоянной составляющей напряжения, пропорциональной амплитуде колебаний несущей частоты. Фильтр АРУ должен удовлетворять следующим требованиям:
1. Осуществлять достаточное подавление низшей модулирующей частоты Wmin
=50Гц в десятки и более раз. Это необходимо для устранения явления демодуляции и искажения в электронных регуляторах. Данное требование определяет минимальное значение постоянной времени фильтра.
2. Регулирующее напряжение на выходе фильтра должно успевать следить за наиболее быстрыми изменениями уровня сигнала на входе приёмника, обусловленными например явлением замирания (обычно с периодом не менее одной секунды). Это требование определяет максимально допустимое значение постоянной времени фильтра.
3. Фазовый сдвиг по НЧ в фильтре должен быть минимальным, что необходимо для обеспечения устойчивой работы замкнутой цепи АРУ. Для улучшения взаимной развязки между отдельными звеньями электронных регуляторов приходится включать дополнительные RC звенья в цепи подачи напряжения на каждое звено электронных регуляторов. Это увеличивает общий фазовый сдвиг в цепи АРУ. Однако, если постоянную времени дополнительных звеньев выбрать много меньше постоянной времени основного фильтра (в 10 и более раз), то дополнительный фазовый сдвиг окажется незначительным.
В качестве диода для системы АРУ выбираем тот же диод Д9.
Постоянную времени нагрузки детектора АРУ выбираем равной постоянной времени детектора сигнала:
tАРУ
=t=0,5*10-4
с
tАРУ
=R37C31
C31>20CAK
,C31>20пФ
Выбираем конденсатор С31 по ряду
Е24:С31=4,7нФ.
Тогда
R37= tАРУ
/C31=0.5*10-4
/(4.7*10-9
)RвхДАРУ
10638 Ом.
Выбираем резистор
R37 по ряду Е24:R37=11 кОм.
Тогда
RвхДАРУ
R37/3=11*103
/3 3.67*103
Ом.
Определим результирующее входное сопротивление детектора сигнала и детектора АРУ:
Оно определяется параллельным соединением этих детекторов, т.е.
Rвх
S
=RвхАД
* RвхДАРУ
/( RвхАД
+RвхДАРУ
)
Rвх
S
=23,5*103
*3,67*103
/(23,5*103
+3,67*103
)=3 кОм.
Определим постоянную времени фильтра АРУ:
tфАРУ
=R29C29
10/Wmin
<R29C29<1 10/50< R29C29<1 0,2< R29C29<1
Пусть R29C29=0,3с
Пусть C29=13*10-6
Ф. Тогда R29=tфАРУ
/C29=0,3/13*10-6
23*103
Ом.
Выбираем резистор R29 по ряду
Е24:R29=22 кОм
Падение напряжения на резисторе R36 должно равняться напряжению задержки т.е. UR
36
=1В. При этом при отсутствии регулирующего напряжения на выходе фильтра АРУ транзисторы каскадов УПЧ должны работать в режиме максимального усиления, т.е. обладать максимальной крутизной. Максимальная крутизна транзистора обеспечивается при UЗ24
=0В. UЗ24
=UP
-UR
и
. Следовательно, UЗ24
=0В при UP
=UR
и
. т.к. UR
и
=4В, то в отсутствие действия системы АРУ напряжение на выходе фильтра АРУ должно равняться UР0
=4В. Поэтому зависимость UЗ24
(Uвх
) должна иметь следующий вид:

Для реализации этих условий в схеме предусмотрен делитель напряжения R35-R36-R38.
Поскольку от величин R35,R36,R38 зависит токопотребление схемы приёмника желательно выбрать эти сопротивления такими, чтобы величина тока проходящего через делитель напряжения не превышала 5…10% от токопотребления остальной части схемы ( , где - запас по току,
; примем =15 мА,
тогда ). .
Принимаем .

Пусть Rg
=R35+R36+R38=10кОм (При этом Ig
=0,9 мА).

(Eп
-Uр0
)(R36+R38)= Uр0
*Rд
- Uр0
(R36+R38)
(Eп
-Uр0
+ Uр0
)(R36+R38)= Uр0
*Rд
Eп
(R36+R38)= Uр0
*Rд
R36+R38=
R35= Rд
-(R36+R38)=104
-4,44*103
=5560 Ом.
Выбираем резистор R35 по ряду Е24:R35=5,6 кОм
UR
35
=Iд
R35=0,9*10-3
*5,6*103
=5,04B
Тогда R36+R38=104
-5,6*103
=4400 Ом;

Выбираем резистор по ряду Е24:
R38=3,3 кОм
Ёмкость конденсаторов С30 иС32 должны намного превышать ёмкость нагрузочного конденсатора С31=4,7 нФ.
Выбираем конденсаторы по ряду Е24:
С30=С32=110 нФ
Теперь можно определить необходимый коэффициент трансформации между катушками L10 и L11

,
где k - коэффициент связи, зависящий от конструктивного расположения катушек, зададимся k=0,9.
Для того, чтобы трансформатор L10L11 можно было бы считать идеальным, реактивное сопротивление его первичной обмотки на рабочей (промежуточной) частоте должно хотя бы на порядок превышать сопротивление вносимое в первичную обмотку.
Таким образом

Тогда 
Постоянную времени цепочек R34C28,R33C27,R32C26,R31C25, выбираем в 100 раз меньше, чем постоянную времени цепи R37C31, т.е.
t/
= R34C28=0,003 с
Пусть C28=0,33 мкФ, тогда
R34=t/
/C28=0,003/0,33*10-6
=9090 Ом
Выбираем резистор по ряду Е24:
R34=9,1 кОм
Следовательно R34=R33=R32=R31= 9,1 кОм,
C28=C27=C26=C25=0,33 мкФ
Определить ёмкость конденсатора С9:
Совместно с катушкой L11 этот конденсатор должен образовывать колебательный контур с резонансной частотой равной промежуточной частоте.
.
Выбираем конденсатор по ряду Е24:
С9=0,62 пФ
Определяем эффективность действия АРУ:
Согласно техническому заданию изменение входного напряжения на 60 дБ должно вызывать изменение выходного напряжения не более чем на 6 дБ.
При изменении напряжения на входе на 60 дБ уровень напряжения во ВЦ составит:
Uвх
=ЕА0
*1000=5*10-6
*1000=0,005 В.
При этом напряжение на выходе УПЧ не должно превышать
Uвых
=Uз
*2=*2=2 В.
Следовательно, действие системы АРУ должно снизить коэффициент усиления тракта УПЧ до значения
К/
u
=Uвых
/Uвх
=2/0,005=400
Таким образом, регулировочная характеристика системы АРУ должна иметь следующий вид

Рис. 6. Характеристика системы АРУ
Согласно паспортным данным транзистора 3П328А-2 крутизна прибора при Uз2и
=2В ничтожна мала, следовательно требуемые характеристики системы АРУ выполняются.
Для обеспечения большей стабильности цепей питания, параллельно источнику питания включаем два конденсатора с емкостями:
C33=1,1 мкФ
С34=1,1 нФ

Список использованной литературы
1.Кучинский Г.С. Расчет приемных радиоприемников: справочник. – М.: Энергоатомиздат, 2007. – 471 с.
2. Шило В.Л. Приемные устройства: справочник. – М.: Радио и связь, 1997. – 342 с.
3. Резисторы: (справочник)\ Ю. Н. Андреев, А. И. Антонян, Д. М. Иванов и др.: под ред. И. И. Четверткова – М.: Энергоатомиздат, 2001. – 312 с., ил.
|