Курсовая работа: Основные теории судна ОТС
|
Название: Основные теории судна ОТС Раздел: Рефераты по транспорту Тип: курсовая работа | |||||||||||||||||||||||||||||||||||||||||||||||||||||||||||||||||||||||||||||||||||||||||||||||||||||||||||||||||||||||||||||||||||||||||||||||||||||||||||||||||||||||||||||||||||||||||||||||||||||||||||||||||||||||||||||||||||||||||||||||||||||||||||||||||||||||||||||||||||||||||||||||||||||||||||||||||||||||||||||||||||||||||||||||||||||||||||||||||||||||||||||||||||||||||||||||||||||||||||||||||||||||||||||||||||||||||||||||||||||||||||||||||||||||||||||||||||||||||||||||||||||||||||||||||||||||||||||||||||||||||||||||||||||||||||||||||||||||||||||||||||||||||||||||||||||||||||||||
| Содержание. 1. Технико-эксплуатационные характеристики судна. Класс Регистра судоходства России, присвоенный судну 2. Определение водоизмещения и координат центра тяжести судна. Контроль плавучести и остойчивости 3. Расчёт и построение диаграмм статической и динамической остойчивости 4. Определение посадки и остойчивости судна в эксплуатационных условиях 5. Определение резонансных зон бортовой, килевой и вертикальной качки по диаграмме Ю. В. Ремеза Список использованной литературы Часть 1. Технико-эксплуатационные характеристики судна. Класс Регистра судоходства России, присвоенный судну. 1.1 Технико-эксплуатационные характеристики судна «АМУР-2526». Тип судна – стальное, однопалубное, двухвинтовое грузовое судно, без оседловатости, с двойным дном, с двойными бортами, восемью поперечными переборками, с баком и ютом, машинным отделением, надстройками и рубками, расположенными в корме, с тремя грузовыми трюмами. Назначение судна – перевозка генеральных и насыпных грузов, включая зерно, уголь и контейнеры. Максимальное количество контейнеров 102 TEU. Страна приписки – Россия. Порт приписки – Архангельск. Судовладелец – АО «Северное речное судоходство». Построен в августе 1988г. в Чехословакии. Класс – КМ ê ЛЗ III СП Дедвейт – 3148 т. включая 157 т. топлива и 1905 т. водяного балласта. Скорость судна в полном грузу – 10,0 узлов. Наибольшая длина – 116,03 м. Длина между перпендикулярами – 111,2 м. Ширина – 13,43 м. Высота борта – 6 м. Осадка по ЛГВЛ – 4 м. Водоизмещение по ЛГВЛ – 5025 т. Класс регистра судоходства, присвоенный судну: КМ ê ЛЗ III СП КМ ê - основной символ класса судна, построено под надзором другого, признанного Морским регистром судоходства, классификационного органа, по правилам классификации, а затем судну присвоен класс Морского регистра судоходства. К - корпус построен по правилам и под надзором Морского Регистра Судоходства М – механические установки судна построены по правилам и под надзором Морского Регистра Судоходства Л3 – знак категории ледового усиления. Означает что судну разрешено самостоятельное плавание по мелко битому льду или же под проводкой ледокола в круглогодично замерзающих морях, в легких ледовых условиях. III СП – знак ограничения района плавания. СП - смешанное плавание (река-море). Разрешено плавание в морских районах с максимально допустимой высотой волны 3-х процентной обеспеченности 3,5 м, с учетом конкретных ограничений по району плавания, обусловленными ветроволновыми режимами бассейнов с установлением при этом максимально допустимого удаления от места убежища, которое не должно превышать 50 миль.
Рисунок 1.1 – Схематический продольный разрез и вид на верхнюю палубу судна Часть 2. ОПРЕДЕЛЕНИЕ ВОДОИЗМЕЩЕНИЯ И КООРДИНАТ ЦЕНТРА ТЯЖЕСТИ СУДНА. КОНТРОЛЬ ПЛАВУЧЕСТИ И ОСТОЙЧИВОСТИ. 2.1 Исходные данные: Характеристики судна порожнем: М0 =1873,1 т. (М0 – водоизмещение судна) ХG 0 = -9,34 м. (ХG 0 – абсцисса центра тяжести) ZG 0 =5,14 м. (ZG 0 – аппликата центра тяжести) m =0,8 м3 /т 2.2 Определение массы груза в трюмах: Количество груза в каждом трюме судна определяется по формуле:
где uтр i - объем i-го трюма, м3 m - удельный погрузочный объем груза, м3 /т m = 0,80 м³/т - удельный погрузочный объем перевозимого в трюмах груза.
Таблица 2.1 - Характеристики грузовых трюмов судна.
Т. к удельный погрузочный объем груза мал, то вычисляем по следующей формуле:
где mтр1 = 899 т mтр2,3 = 1587,2 т Таблица 2.2 - Расчет водоизмещения и координат центра тяжести судна в эксплуатационном случае нагрузки.
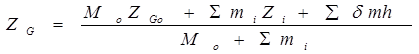
δmh –поправка на свободную поверхность жидкости в цистерне; учитывается только для цистерн, в которых свободная поверхность распространяется на всю площадь цистерны, т.е. заполненных более чем на одну треть. Если уровень остатков в цистернах составляет 10 см и менее, то поправочные моменты, как правило, могут не вводится, рассчитывается по формуле: δmh = Ix *ρ, тм где Ix – момент инерции поверхности, м4 ρ – плотность необходимой жидкости, т/м3 (пресная вода -1 т/м3 , забортная вода, балласт, подсланевые воды, мытьевые воды, фекальные воды – 1,03 т/м3 , масло – 0,9 т/м3 , дизельное топливо – 0,85 т/м3 ) Водоизмещение, абсцисса и аппликата центра тяжести судна порожнём определяются по формулам: М = Мо + Smi (2.1) М = 6294,08 т
Плавучесть считается обеспеченной, если М
2.3 Разгрузка трюмов пропорционально их вместимости. Т. к полученное водоизмещение слишком велико, то производим разгрузку трюмов:M –Mг.м =X, где М - полученное водоизмещение судна; Mг.м - водоизмещение по грузовую марку 6294,08-5025= 1269,08 т (Т. к m1=m2, то при расчетах берем 2m2) m1+2m2= 1269,08 m1/V1=m2/V2 m1=1269.08-2m2 (1269.08-2m2)/V1=m2/V2 Взяв данные из таблицы а подставляем V1 и V2: 874m2=1595*1269.08-1595*2m2 874m2=2024182.6-3190m2 m2=2024182.6/4064 m2=498 (т) m1/874=498/1595 => m1=272.8 (т) Полученные массы разгрузки вычитаем из массы трюмов: 899-272,8=626,2 (т) – загрузка 1 трюма 1587,2-498=1089,2 (т) – загрузка 2,3 трюма
Используя полученные данные и формулы 2.2 и 2.3 перерасчетаем водоизмещение, абсциссу и аппликату центра тяжести судна порожнём: М = Мо + Smi (2.1) М = 5024,88 (т)
2.4 Нахождение поперечной метацентрической высоты для данного случая нагрузки. Метацентрическая высота вычисляется по формуле:
где Из таблицы следует, что Подставляем значение в формулу 2.5: Исходя из полученного результата и данных в приложении Г, можно судить, что остойчивость судна считается обеспеченной, т. к hрасч. >hmin =0,80 м Часть 3. РАСЧЕТ И ПОСТРОЕНИЕ ДИАГРАММ СТАТИЧЕСКОЙ И ДИНАМИЧЕСКОЙ ОСТОЙЧИВОСТИ.
Рисунок 3.1 - Пантокарены. Плечи статической остойчивости Таблица 3.1 - Расчёт плеч диаграмм статической и динамической остойчивости
После расчета данных, занесенных в таблицу, составляем график статической и динамической остойчивости:
3.2. Проверка параметров диаграммы статической остойчивости на соответствие нормам остойчивости Регистра судоходства России. По диаграмме статической остойчивости (Рисунок 3.2) определяем максимальное плечо статической остойчивости lmax , соответствующий ему угол крена q max и угол заката диаграммы q зак и сравниваем их с требуемыми Регистром. Регистр требует, чтобы lmax было не менее 0,20 м для судов, длина которых не менее 105 м при угле крена q max ³300 . Угол заката диаграммы должен быть не менее 600 . Из Рисунка 3.2 видно, что lmax =0,78 м, q max =400 , q зак =750 , значит параметры диаграммы статической остойчивости соответствуют нормам остойчивости Регистра судоходства России. По диаграмме статической остойчивости (Рисунок 3.2) определяем графическим способом начальную метацентрическую высоту (проводим касательную к графику и восстанавливаем перпендикуляр из точки q =1 рад), которую сравниваем со значением, рассчитанным во 2 части. L Q ( q =1 рад=57,3 ° )=1,4= h =1,4 м. 4. ОПРЕДЕЛЕНИЕ ПОСАДКИ И ОСТОЙЧИВОСТИ СУДНА В ЭКСПЛУАТАЦИОННЫХ УСЛОВИЯХ. 4.1 Определение посадки и выполнение контроля остойчивости судна после приёма в промежуточном порту палубного груза. Груз размещается на люковых крышках. Высота штабеля равна 2,8 м, ширина равна ширине крышки люка. Принимаем палубный груз. Так как на судно грузится груз с малым удельным погрузочным объемом (m=0,8 м3 /т) и грузоподъемность использована полностью, то условно считаем, что с судна выгружено в промежуточном порту 100 т груза таким образом, что его центр тяжести не изменился, и принят палубный груз в количестве 100 т. В нашем случае масса палубного груза: mгр = 100 т Аппликата центра тяжести принимаемого на палубу груза вычисляется по формуле: Zгр = H+hk ом +1,4 (4.1) где Н - высота борта судна, H=6 м (см. Часть 1); hk ом - высота комингса люка, определяем по схематическому чертежу судна (Рисунок 1.1) с учетом масштаба по высоте hk =1,3 м , тогда Zгр =6+1,3+1,4=8,7 м Абсциссу центра тяжести палубного груза xгр определим из условия, что абсцисса центра тяжести судна не изменилась. Для этого вычтем в формуле (2.7) в числителе момент 100*Xi , а в знаменателе mгр =100 т, т.е. разгрузим судно (где Xi – это абсцисса центра тяжести 2-го трюма - см. таблицу 1.1).
Xгр =13,5 м Длину груза определим, учитывая допустимое давление на крышки люков (таблица 2.1). Площадь груза определяется по формулам:
где S гр , l гр , b гр – соответственно площадь, длина и ширина палубного груза, м; q доп – допустимое давление на крышки люков (таблица 2.1). Получаем:
Так как принимаемый палубный груз малый используем формулу для приёма и снятия малого груза:
где q - число тонн, изменяющих осадку на 1 см, q=13,77 т/см (определяется по Приложению Г[1]); М =5024,88 т, h=1,40 м (см. Часть 2) d=4 м (см.Часть 1) dd= 100/13,77=7,26 см = 0,0726 м, тогда dh=100/(4924,88+100)*(4+0,0726/2-8,7-1,4)= -0,12 м, тогда метацентрическая высота судна с палубным грузом будет вычисляться по формуле: h1 = h + dh (4.7) где h - метацентрическая высота (см. Часть 2) h1 =1,40+(-0,12)=1,28 м Изменения осадок носом и кормой при приёме груза находят по формулам: ddн =tн* mгр /10 (4.8) ddк =tk * mгр /10 Значения tн и tk определяются с помощью таблицы изменений осадки от приёма 10 т груза (Рисунок 4.1). Из таблицы Рисунка 4.1 для осадки в = 4 м получаем значения tн и tk : tн = 1,2 см и tk = 0,29 см, тогда d d н = 1,2*100/10=12 см d d к = 0,29*100/10 =2,9 см 4.2. Определение угла крена судна от неудачно размещённого груза массой mгр =100т с координатой у=-0,50 м. Если груз размещён неравномерно по ширине, то судно получит статический крен, который определяется формулой:
где m = 100 т - масса неудачно размещённого груза; у = - 0,50 м - координата неудачно размещённого груза;
h = 1,40 м - метацентрическая высота (см. Часть 2)
Рисунок 4.1 – Изменение осадки от принятия/снятия 10 тонн груза
Получаем: Q = -0,410 . Угол крена в формуле (4.9) получился отрицательным, это значит, что судно имеет крен на левый борт. 4.3. Определение статических и динамических углов крена от шквала, создающего кренящий момент Мкр дин = 500 тм, при бортовой качке с амплитудой Q т = ±15° Углы крена определяется с помощью диаграмм статической и динамической остойчивости (Рисунки 4.2 - 4.7) Плечо кренящего момента находят по формуле:
Рисунок 4.2 - Диаграмма статической остойчивости при отсутствии крена
Рисунок 4.3 - Диаграмма динамической остойчивости при отсутствии крена
Рис.3 Рисунок 4.4 - Диаграмма статической остойчивости при крене на наветренный борт
Рисунок 4.6 - Диаграмма статической остойчивости при крене на подветренный борт.
Рисунок 4.7 - Диаграмма динамической остойчивости при крене на подветренный борт. На диаграмме статической остойчивости динамический угол крена определяют из условия равенства работы восстанавливающего и кренящего моментов. Работа восстанавливающего момента равна площади, ограниченной графиком диаграммы статической остойчивости, осью абсцисс и перпендикуляром к ней, восстановленном из точки Q д . Работа кренящего момента равна площади, ограниченной графиком кренящего момента до угла крена Q д осью абсцисс. Положение перпендикуляра при Q д подбирается таким образом, чтобы площади под диаграммой статической остойчивости и графиком кренящего момента были равны. По диаграмме динамической остойчивости задача решается следующим образом. На оси абсцисс диаграммы откладывается угол, равный 1 радиану (57,3°), и из полученной точки восстанавливается перпендикуляр. На перпендикуляре откладывается плечо кренящего момента 1дин кр , конец этого отрезка соединяется с началом координат. Абсцисса точки пересечения этой прямой с диаграммой динамической остойчивости соответствует углу динамического крена судна от шквала. Снимая на диаграммах статической и динамической остойчивости значения статического и динамического углов крена, получаем: При наличии у судна крена на тихой воде по диаграмме статической остойчивости (Рисунок 4.2) Q ст = 3,50 , Q д = 70 и по диаграмме динамической остойчивости (Рисунок 4.3) Q д = 70 . При крене судна на наветренный борт по диаграмме статической остойчивости (Рисунок 4.4) Q ст = 40 , Q д = 230 и по диаграмме динамической остойчивости (Рисунок 4.5) Q д = 230 . При крене судна на подветренный борт по диаграмме статической остойчивости (Рисунок 4.6) Q ст = 3,70 , Q д = -9,40 и по диаграмме динамической остойчивости (Рисунок 4.7) Q д = -9,40 . Таким образом, можем сделать вывод, что во время шквального ветра динамические углы будут больше в том случае, когда на волнении судно накреняется на наветренный борт. Эта ситуация принимается за расчётную при нормировании их остойчивости. 4.4. Проверка удовлетворения требований остойчивости судна в соответствии с Правилами Регистра судоходства в случае смещений груза зерна во всех трюмах одновременно. а) Рассмотрим первый случай, когда трюма заполнены «под крышки», т.е. высота пустоты в соответствии с Правилами Регистра для данного судна должна приниматься равной 100 мм. В случае полного заполнения трюмов (Рисунок 4.8) условный расчётный угол смещения поверхности зерна принимается равным 150 . b
Рисунок 4.8 - Схема перемещения зерна в случае полного заполнения трюма Расчётный объёмный кренящий момент от поперечного смещения зерна, отнесённый к единице длины грузового помещения, в соответствии с М L y = S пуст . y пуст (4.11) где S пуст - площадь перемещающейся пустоты, м2 ; y пуст - поперечное перемещение пустот, м. Для вычисления S пуст воспользуемся формулой:
S пуст1 = (b2 * tg150 )/2 (4.12) S пуст2 = Bтр . 0,1 (4.13) где S пуст1 - начальная площадь пустоты, м2 ; S пуст2 - площадь пустоты после смещения, м2 ; b - ширина пустоты по крышке люка; Bтр - ширина трюма, Bтр = 9,9 м (определяется по рисунку 1.1 с учетом масштаба по ширине);
S пуст2 = 9,9* 0,1 = 0,99 м2 S пуст2 = S пуст1 0,99 = b2 /2 * tg150 = b2 /2*0,27 b2 = 1,01/0,134 = 7,54 м2 b = 2,7 м Поперечное смещение пустоты упуст вычисляется по формуле (из Рисунка 4.8): y пуст = Bтр - Bтр /2 - b/3 y пуст = 9,9-9,9/2-2,7/3 = 4,05 м Используя формулу (4.11), найдём расчётный кренящий момент ML y : ML y = 0,99*4,05= 4,01 м3 Плечо расчётного кренящего момента
где М - водоизмещение судна, т (см. Часть 2)
m зерн - удельный погрузочный объём зернового груза, м3 /т; k =1,06 для полностью загруженного трюма, k =1,12 для частично загруженного трюма Удельный погрузочный объём m кукурузы равен 1,4 м3 /т Из формулы (4.12) получаем:
Для проверки остойчивости после смещения зерна в обоих случаях на график статической остойчивости (Рисунки 4.9, 4.11) наносят график кренящего момента. График кренящего момента в соответствии с Правилами Регистра судоходства представляется прямой линией, проведенной через точки с координатами Q
=00
; Остаточная площадь диаграммы после смещения зерна S ост вычисляется по диаграмме статической остойчивости численными методами.
Рисунок 4.9 - Диаграмма статической остойчивости в случае полного заполнения трюмов.
б) Рассмотрим второй случай, когда предусматривается частичное заполнение трюмов. В случае частичной загрузки трюмов (Рисунок 4.10) условный расчётный угол смещения поверхности зерна принимается равным 250 . Расчётный объёмный кренящий момент от поперечного смещения зерна, отнесённый к единице длины грузового помещения, в соответствии с Правилами Регистра, определяется по формуле (4.11) Для вычисления S пуст воспользуемся формулой:
S пуст = (B2 тр *tg250 )/8 (4.15) где S пуст - площадь пустоты после смещения, м2 Bтр - ширина трюма, Bтр = 9,9 м S пуст =9,92 /8*0,466 = 5,71 м2 .
Рисунок 4.10 - Схема перемещения зерна в случае частичного заполнения трюма. Поперечное смещение пустоты упуст вычисляется по формуле (из Рисунка 4.10): упуст = Bтр - Bтр /6- Bтр /6 упуст = 9,9-9,9/6-9,9/6 = 6,6 м Используя формулу (4.9), найдём расчётный кренящий момент ML y : ML y = 5,71*6,6=37,69 м3 Плечо расчётного кренящего момента определяется по формуле (4.14)
Рисунок 4.11 - Диаграмма статической остойчивости в случае частичного заполнения трюмовОстаточную площадь диаграммы определим из заштрихованного прямоугольного треугольника:
Проверка требований остойчивости судна в соответствии с Правилами Регистра судоходства: Согласно «Международного зернового кодекса» и отечественным правилам перевозки зерна характеристики остойчивости судна, после смещения зерна, должны удовлетворять следующим требованиям: · угол статического крена судна q д от смещения зерна не должен превышать 12° или угла входа палубы в воду q d , если он меньше 12°. · остаточная площадь S ост диаграммы статической остойчивости между кривыми восстанавливающих и кренящих плеч до угла крена, соответствующего максимальной разности между ординатами двух кривых q max или 40°, или угла заливания q зал в зависимости от того, какой из них меньше, при всех условиях загрузки должна быть не менее 0,075 м. рад. У судов типа «Амур» угол заливания равен q зал = 29,12о . В случае полного заполнения трюмов угол статического крена судна Q ст равен 1,20 , а это меньше 120 . Остаточная площадь диаграммы статической остойчивости приблизительно равна 0,19 рад.м., что больше 0,075 рад.м. Следовательно, можно сделать вывод, что в случае полного заполнения трюмов характеристики остойчивости судна после смещения зерна удовлетворяют всем требованиям. В случае частичной загрузки трюмов угол статического крена судна Q д равен 12,70 , а это больше 120 . Остаточная площадь диаграммы статической остойчивости приблизительно равна 0,051 м.рад, что меньше 0,075 м.рад. Тогда, делаем вывод, что в случае частичного заполнения трюмов характеристики остойчивости судна после смещения зерна не удовлетворяют всем требованиям. 5. ОПРЕДЕЛЕНИЕ РЕЗОНАНСНЫХ ЗОН БОРТОВОЙ, КИЛЕВОЙ И ВЕРТИКАЛЬНОЙ КАЧКИ С ПОМОЩЬЮ УНИВЕРСАЛЬНОЙ ДИАГРАММЫ Ю.В. РЕМЕЗА. 5.1 Определение периодов собственных бортовых, килевых и вертикальных колебаний судна в заданном случае нагрузки. Значительное возрастание амплитуд бортовых и килевых колебаний судна наблюдается на нерегулярном волнении при совпадении среднего кажущегося периода волн и периода бортовой, килевой или вертикальной качки. Собственные периоды различных видов качки определяются по формулам
где Тq , Тy , Тz - периоды бортовой, килевой и вертикальной качки соответственно, с; В - ширина судна; В = 13,43 м (см. Часть 1); d - осадка судна; в = 4 м (см. Часть 1); с - инерционный коэффициент судна; с = 0,8 с/м1/2 h - метацентрическая высота судна; h = 1,40 м (см. Часть 2) Тогда, используя формулу (5.1), найдём период бортовой качки:
Используя формулу (5.2), найдём период килевой и вертикальной качки: Тy = Тz = 2,4. 41/2 = 4,8 с 5.2. Определение резонансных сочетаний курсовых углов и скоростей судна для бортовой и килевой качки при волнении с интенсивностью 4 и 6 баллов. Найдём расчётную длину волны по формуле:
где t о - средний период нерегулярных волн, c; k l - коэффициент, учитывающий степень нерегулярности волнения; k l принимается kl = 0,78. Период t о может быть вычислен по следующей формуле: где h 3% - определяется по шкале Бофорта. Расчет производится для волн, высота которых соответствует 4 и 6балльному волнению. При 4-х балльном волнении высота волны h 3% =1,625 м При 6-ти балльном волнении высота волны h 3% =4,75 м Тогда по формуле (5.4) t о = 3,1 . 1,6251/2 = 3,95 с t о = 3,10 . 4,751/2 = 6,75 с Подставляя в формулу (5.3), полученные значения tо , найдём расчётную длину волны l = 1,56. 0,78. 3,952 = 18,98 м - при 4-х балльном волнении l = 1,56. 0,78. 6,752 = 55,44 м - при 6-ти балльном волнении Резонансные зоны для каждого вида качки определяются по диаграмме Ю.В.Ремеза (Рисунки 5.1-5.4) в следующей последовательности. Откладываем расчетную длины волны на оси ординат и через нее проводим горизонталь до пересечения с границами интервалов. Тq 1 =0,7 Тq ; Tq 2 =1,3 Tq Тy 1 =0,7 Тy ; Ty 2 =1,3 Ty Таким образом: Для бортовой качки граница определяется Тq 1 = 0,7 . 9,08 = 6,36 с Тq 2 = 1,3 . 9,08 = 11,8 с Для килевой качки граница определяется Тy 1 = 0,7 . 4,8=3,76 с Тy 2 = 1,3 . 4,8=6,24 с Из точек пересечения проводят вертикальные линии до границы, соответствующей максимальной скорости судка в нижней части диаграммы (10 узлов). Зона, ограниченная вертикальными линиями и полукруглой частью диаграммы, представляет область сочетаний скоростей и курсовых углов судна, неблагоприятных в отношении указанных видов качки. При анализе и использовании этих расчетов следует помнить, что при курсовых углах (0° < q <12° (встречное волнение) и 168°< q < 180° (попутное волнение) даже в условиях резонанса амплитуды бортовой качки будут незначительны. Поэтому эти диапазоны курсовых углов можно не относить к опасным. Аналогичным образом из резонансной зоны для килевой качки можно исключить курсовые углы 78° < q < 102°. 6. Литература. 1. Гуральник Б.С., Мейлер Л.Е. «Оценка посадки, остойчивости и поведения судна в процессе эксплуатации». Методические указания по выполнению курсовой работы по дисциплине «Основы теории судна» для курсантов дневной и заочной формы обучения по специальности 240100 “Организация перевозок и управление на транспорте”. – Калининград, БГА РФ, 2003 г. – 28 с. 2. Кулагин В.Д. Теория и устройство промысловых судов: Учебник 3. Правила классификации и постройки морских судов: В 2-х т.- СПб.: Морской Регистр судоходства, 1995 г. 4. Б.М. Яворский, Ю.А. Селезнев «Справочное руководство по физике». – М.: Наука, 1982. – 620 с. |
|||||||||||||||||||||||||||||||||||||||||||||||||||||||||||||||||||||||||||||||||||||||||||||||||||||||||||||||||||||||||||||||||||||||||||||||||||||||||||||||||||||||||||||||||||||||||||||||||||||||||||||||||||||||||||||||||||||||||||||||||||||||||||||||||||||||||||||||||||||||||||||||||||||||||||||||||||||||||||||||||||||||||||||||||||||||||||||||||||||||||||||||||||||||||||||||||||||||||||||||||||||||||||||||||||||||||||||||||||||||||||||||||||||||||||||||||||||||||||||||||||||||||||||||||||||||||||||||||||||||||||||||||||||||||||||||||||||||||||||||||||||||||||||||||||||||||||||||

(2.4)
(2.5)
(2.2)
(2.3)
м
(2.2)
(2.3)
м

Рисунок 3.2 - Диаграмма статической остойчивости.
Рисунок 3.3 - Диаграмма динамической остойчивости.
(4.2)
(4.5 –4.6)

М = 5024,88 т - водоизмещение судна,

(4.14)

