Реферат: Расчет затвердевания плоской отливки
|
Название: Расчет затвердевания плоской отливки Раздел: Промышленность, производство Тип: реферат | ||
Министерство образования Российской Федерации Сибирский государственный индустриальный университет Кафедра литейного производства Расчет затвердевания плоской отливки в массивной форме Выполнили: ст. гр. МЛА-97 Злобина С. А. Карпинский А. В. Кирина Л. В. Тимаревский А. В. Токар А. Н. Проверил: доцент, к.т.н. Передернин Л.В. Новокузнецк 2001 1.Графическое представление. 4 2.Математическая формулировка задачи. 5 Сравнение с инженерными методами расчета. 20 Отливка в виде бесконечной плиты толщиной 2Lo =30 мм Сплав: Латунь (10% Zn). Форма: Песчано-глинистая объемная сырая (ПГФ). Индексы: 1-Метв , 2- Меж , 4-форма. а1 =3,6×10-5 м2 /с а2 =2,1×10-5 м2 /с l1 =195 Вт/м×К l2 =101 Вт/м×К r1 =8600 кг/м3 r2 =8000 кг/м3 L=221000 Дж/кг b4 =1300 Вт×с1/2 /(м2 ×К) Tф =293 К Ts =1312,5 К Tн =1345 К N=100 et =0,01 c eТ =0,01 o C 1.
Графическое представление Принимаем следующие условия: Отливка в виде бесконечной плиты толщиной 2Lo затвердевает в объемной массивной песчано-глинистой форме. Принимаем, что теплофизические характеристики формы и металла постоянны и одинаковы по всему объему, системы сосредоточенные, геометрическая ось совпадает тепловой и поэтому можно рассматривать только половину отливки. Lo<<Lф - форма массивная, т.е. форма за все время охлаждения не прогревается до конца, Тпов =Тнач ; такая форма называется бесконечной Вектор плотности теплового потока (удельный тепловой поток) имеет направление перпендикулярное к поверхности раздела отливка-форма в любой момент времени tk ; Нестационарное температурное поле – одномерное, Тj(х, tk ), j=1,2,4; Температура затвердевания принимается постоянной, равной Ts; Теплофизические характеристики сред, aj =lj /cj rj , j=1,2,4; Теплоаккумулирующую способность формы примем постоянной, bф
= C,l,r - теплофизические характеристики формы; Переохлаждение не учитываем; Удельная теплота кристаллизации L(Дж/кг) выделяется только на фронте затвердевания (nf) - условие Стефана; Не учитывается диффузия химических элементов – квазиравновесное условие; Перенос тепла за счет теплопроводности и конвекции учитывается введением коэффициента эффективной электропроводности: для жидкой среды l2 =n*l0 , где l0 – теплопроводность неподвижного жидкого металла; n=10; Не учитывается усадка металла при переходе из жидкого состояния в твердое; Передача тепла в жидком и твердом металле происходит за счет теплопроводности и описывается законом Фурье: q = - lj
gradT, плотность теплового потока, Отливка и форма имеют плотный контакт в период всего процесса затвердевания (что реально для ПГФ); теплоотдача на границе отливка – форма подчиняется закону Ньютона(-Рихтмона): q1
(tk
)=a(T1
к
- Tф
) – для каждого момента времени tк
, где a - коэффициент теплоотдачи, для установившегося режима (автомодельного) a= Полученная таким образом содержательная модель и ее графическая интерпретация затвердевания плоской отливки в объемной массивной форме, упрощает формулировку математической модели и достаточно хорошо отражает затвердевание на тепловом уровне, т.е. позволяет получить закон T=f(x;t). 2. Математическая формулировка задачиМатематическая модель формулируется в виде краевой задачи, которая включает следующие положения: а) Математическое выражение уравнения распределения теплоты в изучаемых средах. Дифференциальное уравнение теплопроводности Фурье, которое имеет смысл связи, между временным изменением температуры и ее пространственным распределением:
Или в соответствии с условием 5 запишем:
б) Условия однозначности: 1. Теплофизические характеристики сред rj , lj , cj , bj , aj , TL , TS 2. Начальные условия 2.1 Считаем, что заливка происходит мгновенно и мгновенно же образуется тончайшая корка твердого металла. T1 н (x, tн )= TS ( E) (2) 2.2 Положение фронта затвердевания t=tн задан. ,x=0, y(tн )=0 (3) 2.3 Температура металла в отливке Tj,i н =Tн ; j=2, iÌ(2,n) (4) 2.4 Температура на внешней поверхности формы (контакт форма - атмосфера) и температура формы. T4 н =Tф (5) 3. Граничные условия 3.1 Условия сопряжения на фронте затвердевания (условия Стефана) i=nf
3.2 Температура на фронте затвердевания
3.3 Условие теплоотдачи на границе отливка-форма
- граничное условие третьего рода 3.4 Условие на оси симметрии
Задача, сформулированная в выражениях (1-9) есть краевая задача, которая решается численным методом. Аппроксимировав на сетке методом конечных разностей (МКР), получим дискретное сеточное решение. Ti =f(xi ;tk ). Будем использовать МКР – метод конечных разностей. Сформулированную краевую задачу дискретизируем на сетке.
Для аппроксимации задачи на выбранной сетке можно использовать разные методы – шаблоны. Наиболее известные из них для данного типа задач четырех точечный конечно разностный шаблон явный и неявный. Явный четырех точечный шаблон Неявный четырех точечный шаблон
Использование явного шаблона для каждого временного шага получаем n+1 уравнение с n неизвестными и система решается методом Гауса, но сходимость решения только при очень малых шагах. Использование неявного шаблона обеспечивает абсолютную сходимость, но каждое из уравнений имеет 3 неизвестных, обычным методом их решить невозможно. По явному:
По неявному:
Сходимость обеспечивается при:
Аппроксимируем задачу 1-9 на четырех точечном неявном шаблоне Начальные условия:
Граничные условия:
Условие идеального контакта на границе отливка форма
Расчет временного шага Величина Расчет ведут итерационными (пошаговыми) методами Строим процедуру расчета следующим образом: Вычисляем нулевое приближенное За шаг итерации примем S, Нулевое приближение S=0.
Уточняем шаг: S+1
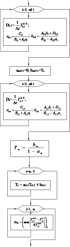
d – параметр итерации от 0 до 1 для расчета возьмем d=0. Число S итераций определяется заданной точностью: Временного шага И по температуре et и eT – заданные точности по времени и температуре et =0,01c, eT =0,1 ° C D tI =0,01 c – время за которое образовалась корочка. Описанный итерационный процесс называют ''Ловлей фазового фронта в узел''. Можно задать Dх, DtK =const, тогда неизвестно будет положение фронта, при помощи линейной интерполяции. Расчет температурных полей: Метод «прогонки»: Считается наиболее эффективным для неявно заданных конечно-разностных задач. Суть метода: Запишем в общем виде неявно заданное конечноразностное уравнение второго порядка (14) в общем виде: Ai Ti-1 – Bi Ti + Ci Ti+1 + Di = 0 ; i = 2, 3, 4, …n-1 (27) действительно для всех j и k. и краевые условия для него: T1 = p2 T2 + q2 (28 а) Tn = pn Tm-1 + qn (28 б) Ti = f(Ai ; Xi ; tk ) - сеточное решение. Ai , Bi , Ci , Di – известные коэффициенты, определенные их условий однозначности и дискретизации задачи. Решение уравнения (27) – ищем в том же виде, в котором задано краевое условие (28 а) Ti = аi+1 Ti+1 + bi+1 ; i = 2, 3, 4, …n-1(29) Ai +1 , bi +1 – пока не определенные «прогоночные» коэффициенты (или коэффициенты разностной факторизации) Запишем уравнение (29) с шагом назад: Ti-1 = аi Ti + bi (30) Подставим уравнение (30) в уравнение (27): Ai (ai Ti + bi ) – Bi Ti + Ci Ti+1 + Di = 0 Решение нужно получить в виде (29):
Найдем метод расчета прогоночныхкоэффициентов. Сравним уравнение (29) и (31):
(32),(33)– рекуррентные прогоночные отношения позволяющие вычислить прогоночные коэффициенты точке (i+1) если известны их значения в точке i. Процедура определения коэффициентов аi+1 и bi +1 называется прямой прогонкой или прогонкой вперед. Зная коэффициенты конечных точек и температуру в конечной точке Тi+1 можно вычислить все Тi . Процедура расчета температур называется обратной прогонкой. То есть, чтобы вычислить все Т поля для любого tk нужно вычислить процедуры прямой и обратной прогонки. Чтобы определить начальные а2 и b2 , сравним уравнение (29) и уравнение (28 а): a2 = p2 ; b2 = q2 Запишем уравнение 29 с шагом назад:
Tn-1 = qn Tn + bn
Новая задача определить pn , qn Вывод расчетных формул: Преобразуем конечноразностное уравнение (14) в виде (27)
относиться к моменту времени k Из (35) => Ai
=Ci
= Определим значения коэффициентов для граничных условий: на границе раздела отливка-форма
приведем это выражение к виду (28 а)
b2
=q2
= на границе раздела Meтв - Меж из (29), Tnf =Tn => anf+1 =0, bnf+1 =Ts (40) условие на оси симметрии Tn -1 =Tn в соответствии с (21) pn =1, qn =0 (41) подставив (41) в (34) получим
1) Определить теплофизические характеристики сред, участвующих в тепловом взаимодействии λ1 , λ2 , ρ1 , ρ2 , L, а1 , а2 , Тs , Тн , Тф . 2) Определить размеры отливки, параметры дискретизации и точность расчета 2l0 =30 мм, l0 =R=15 мм=0,015 м n=100, первый шаг по времени: Δt1 =0,01 с, t=t+Δt еt =0,01 с, et =0,1 о C 3) Принять, что на первом временном шаге к=1, t1 =Δt1 , nf=1, Т1 =Т3 , Тi =Тн , , i=2,…,n, Т4 =Тф 4) Величина плотности теплового потока на границе раздела отливка – форма
к=2, 5) Найти нулевое приближение Δtк, 0 на к-том шаге переход nf → i → i+1 по формуле (23)
6) Найти коэффициенты Ai , Сi , Вi , Di по соответствующим формулам для сред Метв. и Меж. В нулевом приближении при s=0 7) Рассчитать прогоночные коэффициенты ai+1 , bi +1 для Метв. и Меж. , s=0 с учетом что Тnf =Тз. Т1 =р2 Т2 +g2 Тi =а2 Т2 +в2 Найти а2 и в2 : а2
=1,
8) Рассчитать температуру на оси симметрии
9) Рассчитать температурное поле жидкого и твердого металла
10) Пересчитать значения ∆tк по итерационному процессу (24)
d – параметр итерации (d=0…1) проверяем точность; 11) Скорость охлаждения в каждом узле i рассчитать по формуле:
12) Скорость затвердевания на каждом временном шаге:
13) Средняя скорость охлаждения на оси отливки:
14) Положение фронта затвердевания по отношению к поверхности отливки
15) Полное время затвердевания
16) Средняя скорость затвердевания отливки
- [Вводим исходные данные - [Вычисляем шаг по пространству - [Вычисляем коэффициенты Аj , Сj для подстановки в (32), (33) и задаем температуру в первой точке
- [Вычисляем плотность теплового потока - [Шаг по времени в нулевом приближении - [Начальные прогоночные коэффициенты - [Шаг по итерации - [Вычисляем коэффициенты Bj для подстановки в (32), (33)
- [Вычисляем прогоночные коэффициенты по твердому металлу - [Прогоночные коэффициенты для фронта - [Вычисляем прогоночные коэффициенты по жидкому металлу - [Температура на оси симметрии - [Расчет температурного поля - [Ищем максимальный температурный шаг
- [Уточняем Dt - [Точность временного шага - [Проверка точности - [Расчет времени - [Скорость охлаждения в каждом узле - [Скорость затвердевания и положение фронта - [Вывод результатов - [Проверка достижения фронтом центра отливки - [Расчет полного времени, ср. скорости затвердевания ср. скорости охлаждения на оси отливки Вывод результатов - [Конец. CLEAR , , 2000 DIM T(1000), T1(1000), AP(1000), BP(1000), Vox(1000), N$(50) 2 CLS N = 100: KV = 50: N9 = 5: L = .015 TM = 293: TI = 1345: TS = 1312.5 BM = 1300: a1 = .000036: a2 = .000021 TA0 = .01: ETA = .01: E = .01 l1 = 195: l2 = 101 R0 = 8600: LS = 221000 AF = 0: Pi = 3.14159265359# 3 PRINT "Числошагов N, штук"; N PRINT "Длина отливки L, м"; L PRINT "Температура формы Tf, К"; TM PRINT "Начальная температура сплава Tн, К"; TI PRINT "Температура затвердевания Tz, К"; TS PRINT "Bф "; BM PRINT "Первый шаг по времени, Tk0 "; TA0 PRINT "Точность по времени, Еt "; ETA PRINT "Точность по температуре, ЕТ "; E PRINT "Температуропроводность Ме твердого, а1 "; a1 PRINT "Температуропроводность Ме жидкого, а2 "; a2 PRINT "LS= "; LS PRINT "Коэф. теплопроводности, l1 "; l1 PRINT "Коэф. теплопроводности, l2"; l2 PRINT "Плотность Ме твердого, р1 "; R0 INPUT "Изменить данные <y/n>"; QV$ IF QV$ = "Y" THEN GOSUB 222 48 N1 = N - 1 DX = L / (N - 1) A = a1 / DX ^ 2 B1 = 2 * A RL = R0 * LS * DX NF = 1 B2 = l1 / DX KV1 = 1 AL = a2 / DX ^ 2 BL1 = 2 * AL BL2 = l2 / DX T(1) = TS T1(1) = TS FOR i = 2 TO N T(i) = TI T1(i) = TI NEXT i TA = TA0 K = 1 dta = .01 GOTO 103 101 K = K + 1 NF = NF + 1 B3 = SQR(Pi * TA) q = BM * (T(1) - TM) / B3 dta = RL / (AF + q) B5 = BM * TM / B3 B3 = BM / B3 B4 = B2 + B3 AP(1) = B2 / B4 BP(1) = B5 / B4 T(NF) = TS NF1 = NF - 1 NF2 = NF + 1 K1 = 0 102 K1 = K1 + 1 Et = 0 B3 = SQR(Pi * (TA + dta)) q = BM * (T(1) - TM) / B3 B5 = BM * TM / B3 B3 = BM / B3 B4 = B2 + B3 AP(1) = B2 / B4 BP(1) = B5 / B4 DTA1 = 1 / dta IF NF1 = 1 THEN GOTO 23 FOR i = 2 TO NF1 B = B1 + DTA1 f = DTA1 * T1(i) B4 = B - A * AP(i - 1) AP(i) = A / B4 BP(i) = (A * BP(i - 1) + f) / B4 NEXT i 23 FOR i = NF1 TO 1 STEP -1 TC = AP(i) * T(i + 1) + BP(i) B = ABS(TC - T(i)) / TC IF B > Et THEN Et = B T(i) = TC NEXT i AP(NF) = 0 BP(NF) = TS B = BL1 + DTA1 FOR i = NF2 TO N f = DTA1 * T1(i) B4 = B - AL * AP(i - 1) AP(i) = AL / B4 BP(i) = (AL * BP(i - 1) + f) / B4 NEXT i IF NF = N THEN GOTO 34 TC = BP(N) / (1 - AP(N)) B = ABS(TC - T(N)) / TC T(N) = TC IF B > Et THEN Et = B IF NF >= N1 THEN GOTO 34 FOR i = N1 TO NF2 STEP -1 TC = AP(i) * T(i + 1) + BP(i) B = ABS(TC - T(i)) / TC IF B > Et THEN Et = B T(i) = TC NEXT i 34 P = AF + q P1 = 1 / P TM2 = BL2 * (T(NF2) - TS) IF NF = N THEN GOTO 80 TM1 = B2 * (TS - T(NF1)) DTF = P1 * (RL + dta * (TM2 - TM1 + P)) P3 = ABS(DTF - dta) / DTF dta = DTF IF (P3 > ETA) OR (Et > E) THEN GOTO 102 80 TA = TA + dta IF NF = 1 THEN dta = TA0 Vox = (T1(NF) - TS) / dta FOR i = 1 TO N Vox(i) = (T1(i) - T(i)) / dta T1(i) = T(i) NEXT i VS = DX / dta Xf = (K - 1) * DX IF K <> KV1 + 1 THEN GOTO 33 KV1 = KV1 + KV GOSUB 777 33 GOTO 105 103 PRINT "РЕЗУЛЬТАТЫРАСЧЕТА": CLS : GOSUB 777 105 IF K < N THEN GOTO 101 GOSUB 777 Vz = 1000 * L / TA Voxl = (TI - TS) / TA PRINT "Полное время затв. отл. TA="; TA; "с." PRINT "Ср. скорость охл. на оси отл. Voxl="; Voxl; " K/с" PRINT "Ср. скорость затв. отл. Vz="; Vz; " мм/с" END 777 PRINT "К="; K; " DTA="; dta; "VS="; VS * 1000; " мм/с XF="; Xf; " мм" PRINT "T="; T(1); : FOR i = 1 TO 10: PRINT T(i * 10); : NEXT i: PRINT "K" PRINT "Vox="; Vox(1); : FOR i = 1 TO 10: PRINT Vox(i * 10); : NEXT i: PRINT "K/c" RETURN 222 CLS INPUT "Числошагов N, штук"; N INPUT "Длина отливки L, м"; L INPUT "Температура формы Tf, К"; TM INPUT "Начальная температура сплава Tн, К"; TI INPUT "Температура затвердевания Tz, К"; TS INPUT "Bф "; BM INPUT "Первый шаг по времени, Tk0 "; TA0 INPUT "Точность по времени, Еt "; ETA INPUT "Точность по температуре, ЕТ "; E INPUT "Температуропроводность Ме твердого, а1 "; a1 INPUT "Температуропроводность Ме жидкого, а2 "; a2 INPUT "LS= "; LS INPUT "Коэф. теплопроводности, l1 "; l1 INPUT "Коэф. теплопроводности, l2"; l2 INPUT "Плотность Ме твердого, р1 "; R0 CLS GOTO 3 RETURN Сравнение с инженерными методами расчета Г. Ф. Баландин для расчета продолжительности затвердевания отливки эвтектического сплава предложил следующие выражения:
Принимаем Tзал =TL +70, Тн =1/2(Tзал +ТL ) Расчет:
Скорость затвердевания во времени характеризуется следующим выражением:
К= 1 DTA= 0 VS= 0 мм/с XF= 0 мм К= 2 DTA= 5.293057 VS= 2.862526E-02 мм/с XF= .1515152 мм К= 3 DTA= 2.12601 VS= 7.126739E-02 мм/с XF= .3030303 мм К= 4 DTA= 1.877406 VS= 8.070453E-02 мм/с XF= .4545455 мм К= 5 DTA= 1.782276 VS= 8.501218E-02 мм/с XF= .6060606 мм К= 6 DTA= 1.751907 VS= 8.648586E-02 мм/с XF= .7575758 мм К= 7 DTA= 1.744036 VS= 8.687617E-02 мм/с XF= .9090909 мм К= 8 DTA= 1.781516 VS= 8.504844E-02 мм/с XF= 1.060606 мм К= 9 DTA= 1.785084 VS= 8.487842E-02 мм/с XF= 1.212121 мм К= 10 DTA= 1.842864 VS= 8.221721E-02 мм/с XF= 1.363636 мм К= 11 DTA= 1.90608 VS= 7.949042E-02 мм/с XF= 1.515152 мм К= 12 DTA= 1.943668 VS= 7.795321E-02 мм/с XF= 1.666667 мм К= 13 DTA= 1.992883 VS= .0760281 мм/с XF= 1.818182 мм К= 14 DTA= 2.077702 VS= 7.292438E-02 мм/с XF= 1.969697 мм К= 15 DTA= 2.122164 VS= 7.139654E-02 мм/с XF= 2.121212 мм К= 16 DTA= 2.2275 VS= 6.802025E-02 мм/с XF= 2.272727 мм К= 17 DTA= 2.298877 VS= 6.590833E-02 мм/с XF= 2.424242 мм К= 18 DTA= 2.341448 VS= 6.471001E-02 мм/с XF= 2.575758 мм К= 19 DTA= 2.423752 VS= 6.251264E-02 мм/с XF= 2.727273 мм К= 20 DTA= 2.485048 VS= 6.097072E-02 мм/с XF= 2.878788 мм К= 21 DTA= 2.587401 VS= 5.855883E-02 мм/с XF= 3.030303 мм К= 22 DTA= 2.708696 VS= 5.593657E-02 мм/с XF= 3.181818 мм К= 23 DTA= 2.666805 VS= 5.681523E-02 мм/с XF= 3.333333 мм К= 24 DTA= 2.704505 VS= 5.602324E-02 мм/с XF= 3.484848 мм К= 25 DTA= 2.863065 VS= 5.292061E-02 мм/с XF= 3.636364 мм К= 26 DTA= 2.975841 VS= 5.091507E-02 мм/с XF= 3.787879 мм К= 27 DTA= 3.114344 VS= 4.865074E-02 мм/с XF= 3.939394 мм К= 28 DTA= 3.144243 VS= 4.818812E-02 мм/с XF= 4.090909 мм К= 29 DTA= 3.190864 VS= 4.748405E-02 мм/с XF= 4.242424 мм К= 30 DTA= 3.175513 VS= .0477136 мм/с XF= 4.393939 мм К= 31 DTA= 3.389869 VS= 4.469646E-02 мм/с XF= 4.545455 мм К= 32 DTA= 3.432597 VS= 4.414009E-02 мм/с XF= 4.69697 мм К= 33 DTA= 3.494103 VS= .0433631 мм/с XF= 4.848485 мм К= 34 DTA= 3.509593 VS= 4.317171E-02 мм/с XF= 5 мм К= 35 DTA= 3.836676 VS= 3.949126E-02 мм/с XF= 5.151515 мм К= 36 DTA= 3.635523 VS= 4.167631E-02 мм/с XF= 5.30303 мм К= 37 DTA= 3.73634 VS= 4.055175E-02 мм/с XF= 5.454545 мм К= 38 DTA= 3.738327 VS= .0405302 мм/с XF= 5.606061 мм К= 39 DTA= 3.985773 VS= 3.801399E-02 мм/с XF= 5.757576 мм К= 40 DTA= 3.940797 VS= 3.844784E-02 мм/с XF= 5.909091 мм К= 41 DTA= 3.992233 VS= 3.795248E-02 мм/с XF= 6.060606 мм К= 42 DTA= 4.489356 VS= 3.374986E-02 мм/с XF= 6.212121 мм К= 43 DTA= 4.140764 VS= 3.659111E-02 мм/с XF= 6.363636 мм К= 44 DTA= 4.25704 VS= 3.559167E-02 мм/с XF= 6.515152 мм К= 45 DTA= 4.390319 VS= 3.451119E-02 мм/с XF= 6.666667 мм К= 46 DTA= 4.416203 VS= 3.430892E-02 мм/с XF= 6.818182 мм К= 47 DTA= 4.198481 VS= 3.608809E-02 мм/с XF= 6.969697 мм К= 48 DTA= 4.386362 VS= 3.454233E-02 мм/с XF= 7.121212 мм К= 49 DTA= 4.594102 VS= 3.298036E-02 мм/с XF= 7.272727 мм К= 50 DTA= 5.105144 VS= 2.967892E-02 мм/с XF= 7.424242 мм К= 51 DTA= 4.779973 VS= 3.169791E-02 мм/с XF= 7.575758 мм К= 52 DTA= 5.038644 VS= 3.007062E-02 мм/с XF= 7.727273 мм К= 53 DTA= 5.035177 VS= 3.009133E-02 мм/с XF= 7.878788 мм К= 54 DTA= 4.718354 VS= 3.211187E-02 мм/с XF= 8.030303 мм К= 55 DTA= 5.019757 VS= 3.018376E-02 мм/с XF= 8.181818 мм К= 56 DTA= 4.759093 VS= 3.183698E-02 мм/с XF= 8.333333 мм К= 57 DTA= 5.686769 VS= 2.664345E-02 мм/с XF= 8.484849 мм К= 58 DTA= 5.281692 VS= 2.868686E-02 мм/с XF= 8.636364 мм К= 59 DTA= 5.195514 VS= 2.916269E-02 мм/с XF= 8.787879 мм К= 60 DTA= 5.730412 VS= 2.644053E-02 мм/с XF= 8.939394 мм К= 61 DTA= 5.444514 VS= 2.782896E-02 мм/с XF= 9.090909 мм К= 62 DTA= 6.055304 VS= 2.502189E-02 мм/с XF= 9.242424 мм К= 63 DTA= 5.745428 VS= 2.637143E-02 мм/с XF= 9.393939 мм К= 64 DTA= 6.167727 VS= .0245658 мм/с XF= 9.545455 мм К= 65 DTA= 6.239411 VS= 2.428357E-02 мм/с XF= 9.69697 мм К= 66 DTA= 6.51199 VS= 2.326711E-02 мм/с XF= 9.848485 мм К= 67 DTA= 6.397292 VS= 2.368427E-02 мм/с XF= 10 мм К= 68 DTA= 6.57639 VS= 2.303926E-02 мм/с XF= 10.15152 мм К= 69 DTA= 6.007806 VS= 2.521971E-02 мм/с XF= 10.30303 мм К= 70 DTA= 5.742147 VS= .0263865 мм/с XF= 10.45455 мм К= 71 DTA= 6.647415 VS= 2.279309E-02 мм/с XF= 10.60606 мм К= 72 DTA= 7.110333 VS= 2.130915E-02 мм/с XF= 10.75758 мм К= 73 DTA= 7.32001 VS= 2.069876E-02 мм/с XF= 10.90909 мм К= 74 DTA= 7.206269 VS= 2.102547E-02 мм/с XF= 11.06061 мм К= 75 DTA= 6.652145 VS= 2.277688E-02 мм/с XF= 11.21212 мм К= 76 DTA= 6.866203 VS= .0220668 мм/с XF= 11.36364 мм К= 77 DTA= 6.80113 VS= 2.227794E-02 мм/с XF= 11.51515 мм К= 78 DTA= 6.100481 VS= 2.483659E-02 мм/с XF= 11.66667 мм К= 79 DTA= 6.114481 VS= 2.477972E-02 мм/с XF= 11.81818 мм К= 80 DTA= 6.5455 VS= 2.314799E-02 мм/с XF= 11.9697 мм К= 81 DTA= 7.995783 VS= 1.894938E-02 мм/с XF= 12.12121 мм К= 82 DTA= 6.699785 VS= 2.261493E-02 мм/с XF= 12.27273 мм К= 83 DTA= 8.772509 VS= 1.727159E-02 мм/с XF= 12.42424 мм К= 84 DTA= 6.788969 VS= 2.231785E-02 мм/с XF= 12.57576 мм К= 85 DTA= 8.536396 VS= 1.774931E-02 мм/с XF= 12.72727 мм К= 86 DTA= 8.794793 VS= 1.722782E-02 мм/с XF= 12.87879 мм К= 87 DTA= 8.84897 VS= 1.712235E-02 мм/с XF= 13.0303 мм К= 88 DTA= 7.511879 VS= 2.017007E-02 мм/с XF= 13.18182 мм К= 89 DTA= 9.843055 VS= .0153931 мм/с XF= 13.33333 мм К= 90 DTA= 9.162516 VS= 1.653641E-02 мм/с XF= 13.48485 мм К= 91 DTA= 7.599952 VS= 1.993633E-02 мм/с XF= 13.63636 мм К= 92 DTA= 6.998695 VS= 2.164906E-02 мм/с XF= 13.78788 мм К= 93 DTA= 8.27722 VS= 1.830508E-02 мм/с XF= 13.93939 мм К= 94 DTA= 9.549227 VS= 1.586675E-02 мм/с XF= 14.09091 мм К= 95 DTA= 7.63567 VS= 1.984307E-02 мм/с XF= 14.24242 мм К= 96 DTA= 9.736031 VS= 1.556231E-02 мм/с XF= 14.39394 мм К= 97 DTA= 7.966977 VS= .0190179 мм/с XF= 14.54545 мм К= 98 DTA= 7.350914 VS= 2.061174E-02 мм/с XF= 14.69697 мм К= 99 DTA= 9.471897 VS= 1.599628E-02 мм/с XF= 14.84848 мм К= 100 DTA= 8.533805 VS= .0177547 мм/с XF= 15 мм Полное время затв. отл. TA= 497.1866 с. Ср. скорость охл. на оси отл. Voxl= 6.536781E-02 K/с Ср. скорость затв. отл. Vz= 3.016976E-02 мм/с K=1 T( 10 )= 1345 Vox= 0 T( 20 )= 1345 Vox= 0 T( 30 )= 1345 Vox= 0 T( 40 )= 1345 Vox= 0 T( 50 )= 1345 Vox= 0 T( 60 )= 1345 Vox= 0 T( 70 )= 1345 Vox= 0 T( 80 )= 1345 Vox= 0 T( 90 )= 1345 Vox= 0 T( 100 )= 1345 Vox= 0 K= 10 T( 10 )= 1312.5 K Vox= 1.132695E-02 K/c T( 20 )= 1312.652 K Vox= 4.159837E-02 K/c T( 30 )= 1312.797 K Vox= 7.286339E-02 K/c T( 40 )= 1312.933 K Vox= .1022737 K/c T( 50 )= 1313.054 K Vox= .1295644 K/c T( 60 )= 1313.159 K Vox= .1536093 K/c T( 70 )= 1313.242 K Vox= .1736798 K/c T( 80 )= 1313.303 K Vox= .1881863 K/c T( 90 )= 1313.341 K Vox= .1965987 K/c T( 100 )= 1313.354 K Vox= .1992483 K/c K= 20 T( 10 )= 1311.603 K Vox= 2.421711E-02 K/c T( 20 )= 1312.5 K Vox= 6.38585E-04 K/c T( 30 )= 1312.495 K Vox= 7.859508E-03 K/c T( 40 )= 1312.492 K Vox= 1.291907E-02 K/c T( 50 )= 1312.489 K Vox= 1.630848E-02 K/c T( 60 )= 1312.487 K Vox= 1.817511E-02 K/c T( 70 )= 1312.485 K Vox= 1.945228E-02 K/c T( 80 )= 1312.484 K Vox= 1.979613E-02 K/c T( 90 )= 1312.483 K Vox= 1.925579E-02 K/c T( 100 )= 1312.483 K Vox= 1.886282E-02 K/c K= 30 T( 10 )= 1311.093 K Vox= 2.279559E-02 K/c T( 20 )= 1311.792 K Vox= 2.387194E-02 K/c T( 30 )= 1312.5 K Vox= 1.153234E-04 K/c T( 40 )= 1312.513 K Vox=-2.806202E-03 K/c T( 50 )= 1312.521 K Vox=-4.612935E-03 K/c T( 60 )= 1312.528 K Vox=-5.996816E-03 K/c T( 70 )= 1312.531 K Vox=-6.842521E-03 K/c T( 80 )= 1312.534 K Vox=-7.342256E-03 K/c T( 90 )= 1312.536 K Vox=-7.611343E-03 K/c T( 100 )= 1312.537 K Vox=-7.726667E-03 K/c K= 40 T( 10 )= 1310.788 K Vox= 2.487376E-02 K/c T( 20 )= 1311.353 K Vox= 2.419229E-02 K/c T( 30 )= 1311.923 K Vox= 2.053712E-02 K/c T( 40 )= 1312.5 K Vox=-6.504969E-04 K/c T( 50 )= 1312.517 K Vox=-1.050088E-02 K/c T( 60 )= 1312.529 K Vox=-.0177183 K/c T( 70 )= 1312.538 K Vox=-2.298423E-02 K/c T( 80 )= 1312.543 K Vox=-2.679428E-02 K/c T( 90 )= 1312.547 K Vox=-2.921041E-02 K/c T( 100 )= 1312.548 K Vox=-3.004676E-02 K/c K= 50 T( 10 )= 1310.654 K Vox=-1.673787E-02 K/c T( 20 )= 1311.12 K Vox=-.0125534 K/c T( 30 )= 1311.584 K Vox=-6.719058E-03 K/c T( 40 )= 1312.044 K Vox= 6.456035E-04 K/c T( 50 )= 1312.5 K Vox= 6.934259E-04 K/c T( 60 )= 1312.529 K Vox= 9.325384E-04 K/c T( 70 )= 1312.552 K Vox= 1.315118E-03 K/c T( 80 )= 1312.568 K Vox= 1.769432E-03 K/c T( 90 )= 1312.577 K Vox= 2.152011E-03 K/c T( 100 )= 1312.58 K Vox= 2.295479E-03 K/c K= 60 T( 10 )= 1310.483 K Vox=-7.690089E-03 K/c T( 20 )= 1310.888 K Vox=-5.794195E-03 K/c T( 30 )= 1311.294 K Vox=-3.621372E-03 K/c T( 40 )= 1311.698 K Vox=-7.455765E-04 K/c T( 50 )= 1312.1 K Vox= 3.067515E-03 K/c T( 60 )= 1312.5 K Vox=-1.917197E-04 K/c T( 70 )= 1312.512 K Vox=-4.111322E-03 K/c T( 80 )= 1312.52 K Vox=-6.752793E-03 K/c T( 90 )= 1312.524 K Vox=-8.329155E-03 K/c T( 100 )= 1312.526 K Vox=-8.819105E-03 K/c K= 70 T( 10 )= 1310.231 K Vox= 1.985558E-02 K/c T( 20 )= 1310.595 K Vox= .0195367 K/c T( 30 )= 1310.965 K Vox= 1.845251E-02 K/c T( 40 )= 1311.339 K Vox= 1.677308E-02 K/c T( 50 )= 1311.72 K Vox= .0142433 K/c T( 60 )= 1312.106 K Vox= 1.096946E-02 K/c T( 70 )= 1312.5 K Vox=-1.700692E-04 K/c T( 80 )= 1312.511 K Vox=-3.571454E-03 K/c T( 90 )= 1312.517 K Vox=-5.591026E-03 K/c T( 100 )= 1312.52 K Vox=-6.483889E-03 K/c K= 80 T( 10 )= 1310.199 K Vox=-1.605722E-02 K/c T( 20 )= 1310.521 K Vox=-1.469581E-02 K/c T( 30 )= 1310.844 K Vox=-1.286816E-02 K/c T( 40 )= 1311.171 K Vox=-1.066751E-02 K/c T( 50 )= 1311.499 K Vox=-7.664945E-03 K/c T( 60 )= 1311.829 K Vox=-3.74855E-03 K/c T( 70 )= 1312.163 K Vox= 7.08681E-04 K/c T( 80 )= 1312.5 K Vox= 1.86495E-04 K/c T( 90 )= 1312.496 K Vox= 2.275239E-03 K/c T( 100 )= 1312.495 K Vox= 3.058518E-03 K/c K= 90 T( 10 )= 1310.395 K Vox= 9.206051E-03 K/c T( 20 )= 1310.673 K Vox= 9.379247E-03 K/c T( 30 )= 1310.946 K Vox= 9.39257E-03 K/c T( 40 )= 1311.216 K Vox= 9.072823E-03 K/c T( 50 )= 1311.48 K Vox= 8.593203E-03 K/c T( 60 )= 1311.741 K Vox= 7.727221E-03 K/c T( 70 )= 1311.999 K Vox= 6.328328E-03 K/c T( 80 )= 1312.251 K Vox= 4.649655E-03 K/c T( 90 )= 1312.5 K Vox=-5.329118E-05 K/c T( 100 )= 1312.503 K Vox=-6.528169E-04 K/c K= 100 T( 10 )= 1310.187 K Vox= 9.684027E-03 K/c T( 20 )= 1310.446 K Vox= 9.884289E-03 K/c T( 30 )= 1310.703 K Vox= 1.009885E-02 K/c T( 40 )= 1310.96 K Vox= 9.869983E-03 K/c T( 50 )= 1311.217 K Vox= 9.211984E-03 K/c T( 60 )= 1311.474 K Vox= 8.425247E-03 K/c T( 70 )= 1311.731 K Vox= 7.495466E-03 K/c T( 80 )= 1311.988 K Vox= 6.293903E-03 K/c T( 90 )= 1312.244 K Vox= 4.734731E-03 K/c T( 100 )= 1312.5 K Vox= 1.430432E-05 K/c |

(1)
(13)
(24)
(25)
(26)
(31)
, j=1,2 (35)
(43)


-время заливки
-время снятия перегрева
-время затвердевания
с
с
c