Книга: Холодильное и вентиляционное оборудование
|
Название: Холодильное и вентиляционное оборудование Раздел: Промышленность, производство Тип: книга | |||||||||||||||||||||||||||||||||||||||||||||||||||||||||||||||||||||||||||||||||||||||||||||||||||||||||||||||||||||||||||||||||||||||||||||||||||||||||||||||||||||||||||||||||||||||||||||||||||||||||||||||||||||||||||||||||||||||||||||||||||||||||||||||||||||||||||||||||||||||||||||||||||||||||||||||||||||||||||||||||||||||||||||||||||||||||||||||||||||||||||||||||||||||||||||||||||||||||||||||||||||||||||||||||||||||||||||||||||||||||||||||||||||||||||||||||||||||||||||||||||||||||||||||||||||||||||||||||||||||||||||||||||||||||||||||||||||||||||||||||||||||||||||||||||||||||||||||||||||||||||||||||||||||||||||||||||||||||||||||||||||||||||||||||||||||||||||||||||||||||||||||||||||||||||||||||||||||||||||||||||||||||||||||||||||||||||||||||||||||||||||||||||||||||||||||||||||||||||||||||||||||||||||||||||||||||||||||||||||||||||||||||||||||||||||||||||||||||||||||||||||||||||||||||||||||||||||||||||||||||||||||||||||||||||||||||||||||||||||||||||||||||||||||||||||||||||||||||||||||
БРЯНСКАЯ ГОСУДАРСТВЕННАЯ СЕЛЬСКОХОЗЯЙСТВЕННАЯ АКАДЕМИЯ КАФЕДРА Технологического оборудования в животноводстве и перерабатывающих производств Учебное пособие для выполнения практических и самостоятельных работ для студентов очного и заочного обучения по специальности 311500 – «Механизация переработки сельскохозяйственной продукции» Холодильное и вентиляционное оборудование Клячев В.М. БРЯНСК 2005 УДК 621.56/59:628.83 (075) ББК 31.392 К 52 Холодильное и вентиляционное оборудование. Клячев В.М. Учебное пособие для выполнения практических и самостоятельных работ. Брянск: Издательство Брянской ГСХА, 2005. - 52 с. Рецензент: к.т.н., доцент кафедры ТОЖПП В.И. Чащинов. Изложены цель и задачи дисциплины, перечень вопросов для самостоятельного изучения, варианты заданий. Приведена методика и примеры решения задач по дисциплине. Рекомендовано к изданию методической комиссией факультета инженеров АПК и природообустройства от 18 апреля 2005 г. протокол №10. © Брянскакя ГСХА, 2005 © Клячев В.М., 2005 Введение Цель дисциплины – изучение устройств, работы и основ проектирования, а также расчета и подбора холодильного и вентиляционного оборудования для перерабатывающих цехов и предприятий агропромышленного комплекса. В процессе изучения данной дисциплины студент должен познать : - основные свойства воздуха; - основы технологии холодильной обработки продукции сельского хозяйства; - теплотехнические основы хранения продукции сельского хозяйства; - основы теплофизики термической обработки продукции сельского хозяйства (охлаждения тел различной формы и конфигурации); - способы и системы охлаждения; - устройства холодильников, организацию охлаждения в них; - термодинамические основы и циклы холодильных машин; - устройство компрессоров холодильных машин; - хладагенты и их выбор; - теплообменные аппараты холодильных установок; - основы автоматизации холодильных установок; - основы эксплуатации холодильных установок; - системы смазки компрессоров, смазочные масла; - вспомогательное оборудование холодильных установок; - основы вентиляции и кондиционирования воздуха на предприятиях по переработке продукции животноводства; - устройство кондиционеров; - отображение работы кондиционеров в i – в – диаграмме; - холодильное оборудование в сельском хозяйстве. Научиться: - правильно выбрать температуру охлаждения, подмораживания и замораживания; температуру, относительную влажность и скорость движения воздуха в холодильной камере; параметры воздуха в кондиционируемых помещениях предприятий по переработке продукции животноводства; - правильно выбрать схему охлаждения продукции, вид холодильника, схему кондиционирования воздуха; - читать схемы холодильных установок и установок кондиционирования воздуха, отображать процессы кондиционирования на i – в – диаграмме, а процессы охлаждения и замораживания – на диаграммах sT и i lg P; - рассчитывать холодильники, подбирать оборудование холодильных установок, производить необходимые расчеты, связанные с охлаждением продукции; - определять наиболее выгодные решения по холодильникам и вентустановкам; - обеспечивать оптимальные требования по эксплуатации холодильных и вентиляционных установок; - разбираться в инструкциях компрессоров, испарителей и другого оборудования холодильных установок; - производить расчет и выбор калориферов для кондиционеров; - получить представление о монтаже, ремонте и сервисном обслуживании оборудования холодильных и вентиляционных установок; - изучить вопросы охраны труда, технике безопасности и экологии при эксплуатации холодильного и вентиляционного оборудования и быть готовым ответить на вопросы. Вопросы контрольной работы 1. Основные процессы холодильной технологии и их краткая характеристика. 2. Классификация холодильных установок. Достоинства и недостатки различных видов холодильников. 3. Абсорбционные холодильные установки. Достоинства и недостатки. Область рационального использования. Используемые хладагенты. 4. Автоматизация работы холодильной установки. Устройство и принцип работы терморегулирующего вентиля (ТРВ). 5. Теплонасосные установки. 6. Ледяное и льдосоляное охлаждение. Системы льдосоляного охлаждения. 7. Холодильные установки в сельском хозяйстве. 8. Вспомогательное оборудование холодильной установки. Конструктивные схемы оборудования. Область использования. 9. Требования к хладагентам и хладоносителям. 10.Характеристика аммиака как хладагента. 11.Характеристики хладонов R12 и R22 как хладагентов. Обозначение хладагентов согласно ИСО. 12. Характеристика используемых хладоносителей. 13. Смазочные масла для холодильных установок. Взаимодействие масел с хладагентами. 14. Техника безопасности при работе холодильных установок на различных хладагентах. 15. Взаимодействие хладагентов с влагой. Нормы содержания влаги в хладагентах. Негативная роль влаги в работе холодильных установок. 16. Рабочий цикл одноступенчатого поршневого компрессора в Р-V, sТ и i lg Р - диаграммах. 17. Объемный коэффициент, коэффициент дросселирования, индикаторный коэффициент, коэффициент подогрева, плотности и подачи поршневого компрессора. 18. Порядок расчета одноступенчатого поршневого компрессора. Стандартные условия работы. 19. Энергетические характеристики компрессора и их расчет. 20. Основы теплового расчета холодильной установки. Расчет отдельных составляющих нагрузки по холоду. 21. Определение вместимости холодильной установки. Нормы загрузки холодильных камер. Сроки хранения грузов. Способы размещения грузов в камерах. 22. Способы охлаждения. Реализация различных способов охлаждения. 23. Планировка холодильников. Строительные конструкции ограждений. Обогреваемые полы, их конструктивные решения. Определение требуемой толщины изоляции. 24. Физические основы холодильных процессов. Характеристика отдельных видов холодильных процессов. Области использования. 25. Термодинамические основы машинной холодильной техники. Холодильный коэффициент и зависимость его величины от различных факторов. 26. Реализация цикла Карно. Температурные напоры на стороне подвода и отвода теплоты. Отображение цикла Карно в Р-V, sТ и i lg Р - диаграммах. Достоинства и недостатки цикла. 27. Причины появления в цикле холодильной установки дросселя взамен расширителя. Цикл с промежуточным теплообменником. Оптимальные циклы для аммиачных и хладоновых холодильных установок. Отображение в Р-V, sТ и i lg Р - диаграммах. 28. Способы организации охлаждения помещений. Схемы. Достоинства и недостатки различных способов. Области использования. 29. Схемы организации воздушного охлаждения камер. Достоинства и недостатки отдельных схем. 30. Выбор значений узловых точек циклов для одноступенчатой холодильной установки. 31. Типы и группы компрессоров для холодильных установок. Классификация поршневых компрессоров. Маркировка компрессоров. 32. Устройство поршневых компрессоров. Достоинства и недостатки различных конструктивных решений. 33. Ротационный компрессор с катящимся ротором. 34. Ротационный компрессор с вращающимся ротором. 35. Винтовые компрессоры. Принцип действия. Устройство. 36. Заготовка льда. Намораживание льда в градирнях. Льдохранилища и льдогенераторы. 37. Сущность кондиционирования воздуха и классификация систем кондиционирования. Технологические требования к кондиционированию на предприятиях по переработке продукции сельского хозяйства. 38. Отображение процесса кондиционирования в i - в – диаграммах. 39. Устройство кондиционеров. Автоматизация кондиционеров. 40. Схемы кондиционирования воздуха. 41. Тепловой и влажностный балансы производственных помещений. 42. Системы приточной и вытяжной вентиляции помещений. Приточные и вытяжные устройства. 43. Вентиляторы и их характеристики. Подбор вентиляторов. Вентиляторы. Борьба с шумом в системах вентиляции. 44. Калориферы. Расчет калориферов. Типы и конструкции калориферов. 45. Определение расчетных расходов воздуха в системах вентиляции. 46. Эксплуатация вентустановок. Испытания и наладка оборудования. 47. Системы очистки вентиляционных выбросов. 48. Очистка вентвыбросов от пыли и газов. 49. Воздухораспределители. Местные отсосы. Типы и конструкции. 50. Аэрация Конструктивные элементы. Основы расчета. В приобретении вышеназванных знании, умений и готовности ответить на поставленные вопросы существенную помощь студенту может оказать изучение (проработка) литературы, рекомендованной в настоящих указаниях, и в первую очередь [6,12, 17,18,19, 20,21] В соответствии с учебным планом, студенты-заочники выполняют контрольную работу, к выполнению которой следует приступать после изучения настоящего пособия и рекомендованной в нем литературы, так как контрольное задание носит комплексный характер и для ответов на поставленные вопросы необходимо иметь хорошую теоретическую подготовку по всем разделам курса. Необходимо строго соблюдать общие требования к контрольным работам. Писать следует грамотно и разборчиво (допускается машинописное и компьютерное исполнение), а содержание ответов на поставленные вопросы должно быть четким, кратким и конкретным. В связи с этим материал нужно излагать логично и последовательно, не допуская механического переписывания текста учебника или иного источника. Варианты заданий
Задача 1. Расчет теоретического рабочего цикла паровой холодильной компрессорной машины Построение цикла по заданным рабочим параметрам.
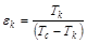
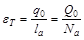
Для расчета теоретического рабочего цикла паровой холодильной компрессорной машины необходимо знать следующие температуры: кипения холодильного агента в испарителе Температура кипения Наметив основные температуры, можно построить теоретический цикл и рассчитать его, т.е. определить теоретическую холодопроизводительность 1 кг холодильного агента, затрату работы в компрессоре и другие, связанные с ними, величины. Холодильные циклы удобнее всего рассчитывать при помощи термодинамических диаграмм. Чаще всего применяют sT- и ip-диаграммы. На этой диаграмме подведенная к рабочему веществу теплота в испарителе и отведенная от него в конденсаторе выражается соответствующими площадями. Однако расчет необходимых величин способом определения площадей практически неудобен. Для удобства расчета на диаграмму наносят линии постоянных энтальпий; основные величины, характеризующие цикл, определяют по разности энтальпий рабочего вещества в соответствующих точках цикла. Наиболее удобной для расчетов является ip-диаграмма, рис. 1. На этой же диаграмме на оси абсцисс отложены энтальпии i, а по оси ординат – абсолютное давление p. Для шкалы давлений очень часто применяют логарифмический масштаб.
Рис. 1. Теоретический цикл паровой холодильной компрессионной машины на ip-диаграмме Теоретический рабочий цикл холодильной машины на ip-диаграмме строится следующим образом. По заданной температуре кипения Расчет цикла. Рассчитываем теоретический рабочий цикл, пользуясь рассмотренными диаграммами. Холодопроизводительность 1 кг агента равна разности энтальпий в точках 1 и 4, кДж/кг:
На энтальпийной диаграмме холодопроизводительность представляется отрезком изобары 4-1; при отсутствии переохлаждения она была бы меньше на величину отрезка 4-4', т.е. определялась бы отрезком 4'-1. Теоретическая работа на 1 кг агента, затрачиваемая при адиабатном сжатии в компрессоре, определяется разностью энтальпий в точках 2 и 1, кДж/кг:
Графически на ip-диаграмме работе Теплота, отданная 1 кг холодильного агента охлаждающей воде или воздуху в конденсаторе (изобара 2-3), по закону сохранения энергии равна сумме
На ip-диаграмме эта теплота выражается отрезком 2-3. Далее находим: а) холодильный коэффициент цикла
б) количество холодильного агента, всасываемого компрессором в течение 1 ч (часовое количество циркулирующего холодильного агента), кг/ч:
где в) объем пара, всасываемого компрессором за 1 ч, м³/ч:
или с учетом уравнения (5), м³/ч:
В этих уравнениях: По величине г) теоретическую мощность, затраченную в компрессоре, кВт:
д) тепловую нагрузку конденсатора (по уравнению теплового баланса), Вт:
Пример 1:
Произвести тепловой расчет аммиачной холодильной машины производительностью По диаграмме i-lg p (приложение 1) находим, рис.2: а) энтальпию сухого насыщенного пара, всасываемого компрессором (точка 1), б) энтальпию в конце сжатия (точка 2), в) энтальпию переохлажденного жидкого аммиака, г) удельный объем всасываемого пара,
Рис. 2. Теоретический цикл аммиачной холодильной машины (частный случай, к примеру, 1) Затем определяем: 1) холодопроизводительность 1 кг аммиака:
2) теоретическую работу сжатия в компрессоре:
3) теплоту, отдаваемую 1 кг аммиака в конденсаторе:
4) холодильный коэффициент цикла:
5) количество циркулирующего аммиака в течение часа:
6) объем паров аммиака, всасываемых компрессором:
или пользуясь величиной
7) теоретическую мощность, затрачиваемую в компрессоре:
[или 8) тепловую нагрузку конденсатора:
Влияние режима работы на холодопроизводительность машины
. По величине Решая задачу в обратном направлении, можно по заданному рабочему объему
Величины При одной и той же температуре кипения хладагента в испарителе Если не понизить температуру кипения
Рис.3. Цикл первой холодильной компрессионной машины с переменными параметрами. Итак, холодопроизводительность машины, как и объемная холодопроизводительность, зависит от режима работы, который обычно меняется с изменением температуры охлаждающей воды и температуры, поддерживаемой в охлаждаемом помещении. Чем выше температура охлаждающей воды и чем ниже температура охлаждаемого помещения, тем меньше холодопроизводительность машины. В каталогах и паспортах приводится обычно «стандартная» холодопроизводительность машин, развиваемая в условиях «стандартного» режима. Задача 2. Подбор компрессорных холодильных машин Для подбора одноступенчатых компрессорных холодильных машин при заданной тепловой нагрузке используют их заводские характеристики (графики Необходимо построить цикл работы холодильной машины в диаграмме i-lg p (см. рис.2). В качестве исходных данных приняты: Порядок расчета приведен в табл. 1. Когда в паспортных данных приводят холодопроизводительность _омпресссора при одном температурном режиме, холодопроизводительность в нужном режиме определяется по формуле:
где
Таблица 1 Порядок расчета ПКХМ
Пример 2: Произвести тепловой расчет аммиачного компрессора и подобрать его для холодильной установки. Дано:
Изображается цикл в диаграмме, Таблица 2 Параметры расчетных точек
1. Удельная массовая холодопроизводительность:
2. Удельная объемная холодопроизводительность:
3. Удельная теоретическая (адиабатная) работа компрессора:
4. Количество циркулирующего холодильного агента:
5. Объем паров холодильного агента, отсасываемый компрессором в единицу времени:
6. Коэффициент, отражающий влияние мертвого объема:
7. Коэффициент, учитывающий объемные потери:
8. Коэффициент подачи компрессора:
9. Объем, описываемый поршнями компрессора:
10. Теоретическая (адиабатная) мощность компрессора:
11. Индикаторный КПД компрессора
12. Индикаторная мощность компрессора:
13. Мощность, затрачиваемая на трение:
14. Эффективная мощность (мощность на валу компрессора):
15. Электрическая мощность:
16. Теоретический холодильный коэффициент:
17. Холодильный коэффициент соответственного цикла Карно:
18. Теоретическая степень термодинамического совершенства:
19. Действительный холодильный коэффициент:
20. Действительная степень термодинамического совершенства:
По справочным данным (Приложение 2) выбираем два компрессора А11-7-0; Задача 3. Тепловой расчет и подбор двухступенчатых компрессоров Холодильный агент R 717 Qо = 365 кВт Pпр=71*1166=287 кПа То=-40о С tпр=-10о С Т=+30о С tз= tпр+2=-8о С Твс. цнд. = -30о С Твс. цвд = тпр +7=-3о С
7 51 31 3 2 61 1 11 Твс=-3о С Tвс=-30о С I кДж/кг
1. Удельная массовая Холодопроизводительность qo =(i1 -i6 ¢ ) 2. Действительная масса всасываемого пара m1 =Qo /qo 3. Действительная объемная подача Vд =m1 *V1 ¢ 4. Индикаторный коэффициент подачи li
=Po
-DPвс
/Ро
-с(Рпр
+DРн
/Ро
-Ро
-DРвс
/Ро
) 5. Коэффициент невидимых потерь lw ¢ =To /Tпр 6. Коэффициент подачи l=li *lw 7. Объемная теоретическая подача Vт. цнд =Vд /l 8. Адиабатная мощность Na =m1 (i2 -i1 ) 9. Индикаторный коэффициент полезного действия. hi =lw ¢ +b·to 10.Индикаторная мощность Ni =Na /hi 11.Мощность трения. Nтр =Vт. цнд ·ртр 12.Эффективная мощность. Nе =Ni +Nтр 13.Мощность двигателя. Nдв =N·(1,1…1,12) Расчет ступени высокого давления: 1. Количество жидкости до первого дроссилирования, необходимое для промежуточного, охлаждения пара. m¢ =m1 ·(i2 -i5 )/(i3 ¢-i5 ¢) 2. Количество жидкости до первого дроссилирования, необходимое для охлаждения жидкости в змеевике. m¢¢ =m¢ ·(i5 -i6 )/(i3 ¢-i5 ) 3. Количество пара засасываемого цилиндром высокого давления. m=m1 +m¢+m¢¢ 4. Объемная действительная подача. Vд =m*V3 5. Индикаторный коэффициент. li=Pпр
-DPвс
/Рпр
-с*(Рк
+DРн
/Рпр
-Рпр
-DРвс
/Рпр
) 6. Коэффициент невидимых потерь. lw ¢ =Tпр /(Тк +26) 7. Коэффициент подачи. l=li *lw ¢ 8. Объемная теоретическая подача. Vт. цвд =Vд /l 9. Адиабатная мощность. Na =m (i4 -i3 ) 10. Индикаторный кпд. hi =lw ¢+b·tпр 11. Индикаторная мощность. Ni =Na /hi 12. 12 Мощность трения. Nтр =Vт . цвд *ртр 13. 13 Эффективная мощность. Nе=Ni +Nтр 14. 14 Мощность двигателя. Nдв =Nе *(1,1…1,12) 15. Эффективная удельная холодопроизводительность. Ее =Qo /(N цнд + N цвд ) 16. Тепловой поток в конденсатор. Qk =m*(i4 -i5 ) Расчет ступени низкого давления: 1. qo =1625-380 =1245 кДж/кг 2. m1 =365/1245=0,29 кг/с 3. Vд =0,29*0,9=0,26 m3 /c 4. li =(71-5)/71-0,05((287+10/71)-(71-5)/71)=0,767 5. lw ¢ =233/263=0,81 6. l=0,767*0,81=0,62 7. Vт.цнд .=0,26/0,62=0,42 m3 /c 8. Nа =0,29(1840-1640)=58кВт 9. ni =0,81+0,001*(-40)=0,77 10. Ni =58/0,77=75кВт 11. Nтр =0,42*50=51 кВт 12. Nе =75+51= 126кВт 13. Nдв =126*1,1=139кВт Расчет ступени высокого давления: m¢ =0,29*(1840-1660)/(1660-560)=0,05 кг/с 1. m²=0,29*(560-380)/(1660-560)=0,05 кг/с 2. m=0,29+0,05+0,05=0,39 кг/с 3. Vд =0,39*0,45=0,18 m3 /c 4. li =287-5/287-0,05*(1166+10/287-287-5/287)=0,846 5. lw ¢ =263/303=0,8 6. l=0,846*0,8=0,68 7. Vт. цвд =0,18/0,68=0,26 m3 /c 8. Nа =0,39*(1890-1700)=74 кВт 9. ni =0,8+0,001*(-12)=0,79 10.Ni =74/0,79=94 кВт 11.Nтр =0,26*50=13 кВт 12.Nе =94+13=107 кВт 13.Nдв =107*1,1=118 кВт 14.Ее =365/233=1,7 кВт/ кВт 15.Qк =0,39*(1890-560)=518700Вт Из таблице 9 [10] подбираем компрессор марки: Для низкой ступени: 1 компрессор марки АН–800–7–3 с Vт.цнд .=0,472 м3 /c и с Ne =275кВт. Для высокой ступени: 2 компрессора марки А300 – 7 – 7 Vт.цнд.= 0,472 m3 /c и с Ne =91кВт. Задача 4. Расчет толщины теплоизоляционного слоя Расчет изоляции сводится к определению толщины теплоизоляционного слоя, соответствующей нормативному значению коэффициента теплопередачи ограждения, а также не допускающей конденсации влаги на его поверхности. Нормативное значение коэффициента теплопередачи для наружных стен и бесчердачных покрытий выбирается из таблицы. Этот коэффициент зависит от зоны строительства холодильника и температуры воздуха в охлаждаемом помещении. Толщина теплоизоляционного слоя ограждения (м) dиз =lиз (1/К-(1/aн +ådi/li+1/aв) где: k - нормативный коэффициент теплопередачи изоляционной конструкции, Вт/(м2 К); aн - коэффициент теплоотдачи от воздуха к наружной поверхности ограждения, Вт/(м2 К); aв - коэффициент теплоотдачи от внутренней поверхности ограждения к воздуху камеры, Вт/(м2 К); di – толщина отдельных слоев ограждения (кроме теплоизоляции), м; li - коэффициент теплопроводности изоляционного и строительного материалов, Вт/(м К). Пример 3: Ориентировочно стены холодильника к сторонам света принимаем из условия, что дверь его обращена на север. Конструкция наружной стены состоит из кирпичной кладки (толщиной 380мм), наружного и внутреннего слоев штукатурки (толщиной по20мм), пароизоляция из битума (толщиной 3мм), теплоизоляция пенополистерола (ПСБ-С).Район строительства г. Брянск (средняя зона от –2 до +7 С). Температура воздуха в камере –20С. Толщина теплоизоляционного слоя наружного ограждения. dиз =lиз (1/К-(1/aн +ådi/li+1/aв )=0,05(1/23,3-(0,043+0,38/0,81+ +3·0,02/0,93+0,003/0,17+1/8))=0,18м=180мм Так как плиты ПСБ-С выпускаю толщиной 25, 30, 50, 100мм то выбираем толщину теплоизоляционного слоя из плит (100+50+30=180мм) Пол в камере с отрицательной температурой с электрообогревном. Конструкция пола: чистый пол (мозаичные плиты толщиной40мм), бетонная подготовка (толщиной 100мм), засыпная изоляция (керамзитовый гравий), гидроизоляция, железобетонная плита с электроподогревом, бетонная подготовка, грунт. dиз= lиз ·(1/К-(1/aн +ådi/li)=0,15·(1/0,18(1/7+0,04/1,6+0,1/1,6)=0.8м=800мм Толщина засыпного слоя теплоизоляционного материала (керамзитовый гравий) составляет 800мм. Покрытие состоит из рулонного кровельного ковра (рубероид на битумной мастике толщиной 12мм), бетонной стяжки (толщиной 40мм) засыпной теплоизоляции (керамзитовый гравий), плитой теплоизоляции (ПСБ–С) железобетонной плиты покрытия (толщиной 200мм). dиз= lиз ·(1/К-(1/aн+ådi/li+1/aв)=0,15(1/0,22-(1/23,3+0,012/0,18+ +0,04/1,6+0,1/0,05+0,2/2,04+1/6))=0,321м=321мм Принимаем толщину засыпного слоя теплоизоляции над плитой изоляции равной 325мм. Задание для расчета толщины теплоизоляции внутренних стен. Ориентировочно стены холодильника к сторонам света принимаем из условия, что дверь его обращена на север. Конструкция наружной стены состоит из кирпичной кладки (толщиной d1 ), наружного и внутреннего слоев штукатурки (толщиной d2 ), пароизоляция из битума (толщиной d3 ), теплоизоляция пенополистерола (ПСБ-С).
Задание для расчета толщины теплоизоляции пола. Пол в камере с отрицательной температурой с электрообогревом. Конструкция пола: чистый пол (мозаичные плиты толщиной d1 мм), бетонная подготовка (толщиной d2 мм), засыпная изоляция (керамзитовый гравий), гидроизоляция, железобетонная плита с электроподогревом, бетонная подготовка, грунт.
Задание для расчета толщины теплоизоляции покрытия. Покрытие состоит из рулонного кровельного ковра (рубероид на битумной мастике толщиной d1 мм), бетонной стяжки (толщиной d2 мм) засыпной теплоизоляции (керамзитовый гравий), плитой теплоизоляции (ПСБ–С d4 мм) железобетонной плиты покрытия (толщиной d3 мм).
Задача 5. Расчет вместимости и площади холодильников Основными исходными данными, позволяющими определить вместимость холодильника и площадь отдельных его помещений, являются схема технологического процесса и грузооборот проектируемого предприятия. Схема технологического процесса характеризует качественную сторону будущего предприятия; она определяет наличие и последовательность технологических операций, которые должны быть произведены над исходными продуктами, чтобы в конечном итоге были получены продукты заданного вида и необходимого качества. Для холодильных предприятий важным является указание температуры и влажности воздуха, при которых происходит технологическая обработка продуктов на каждой стадии всего процесса. Здесь имеются операции, которые могут совершаться при положительных температурах (приемка, сортировка, упаковка продуктов) операции, которые должны осуществляться при более или менее постоянных отрицательных температурах (домораживание, замораживание, охлаждение продуктов); и операции, требующие поддержания не только стабильной температуры, но и определенной влажности воздуха (хранение продуктов). Естественно, что операции, требующие неодинаковых условий воздушной среды, должны выполняться в разных помещениях или устройствах. Для операций, проводимых примерно в одинаковых условиях среды, не обязательно предусматривать отдельные помещения; этот вопрос решается в зависимости от объема работ, вида оборудования, технологических возможностей осуществления различных процессов в одном помещении. Размеры проектируемого холодильника и его отдельных помещений определяются производительностью (мощностью) предприятия, которая при равномерном по времени выпуске продукции может быть указана в задании на проектирование; при неравномерном по времени выпуска продукции (например, сезонность) предприятие проектируется на максимальную величину возможной производительности. Например, для распределительных холодильников исходным документом, определяющим количественную сторону проектируемого предприятия, является таблица грузооборота. В ряде случаев в распоряжении проектировщика может не быть таблицы грузооборота проектируемого предприятия, например при выполнении типовых проектов, при этом вместимость холодильника В может быть задана или определена по укрупненным показателям. Для производственных холодильников исходной величиной обычно бывает заданная суточная (или сменная) производительность по виду обрабатываемого продукта Мсут (или Мсм ). Согласно техническим условиям на проектирование холодильников предприятий мясной промышленности условную вместимость холодильника при мясокомбинате определяют по формуле Вхол =40Мсм где 40 - расчетное число смен; М, - сменная производительность комбината, тонн в смену. Например, при мясокомбинате производительностью 50 т в смену предусматривают холодильник условной вместимостью 2000 т. В качестве расчетной принимают двухсменную работу комбината в течение суток. Основную площадь холодильника занимают камеры и устройства для охлаждения и замораживания мяса и мясопродуктов, а также камеры кратковременного хранения охлажденных и мороженых мясопродуктов. Общую производительность камер охлаждения (остывочных) принимают равной суточной производительности мясокомбината (т.е. двойной сменной производительности). Из технических условий на проектирование холодильников при мясокомбинатах исключено двустадийное охлаждение мяса и предусмотрено при строительстве новых холодильников только одностадийное быстрое охлаждение. Общую производительность камер замораживания мяса принимают равной 40-50% суточной производительности мясокомбината Мсут =2Mсм , принимая продолжительность цикла тепловой обработки не более 36 ч. Ширину камер тепловой обработки выбирают не более 6 м для размещения пяти ниток подвесного пути, длину - в зависимости от максимальной вместимости камеры. Согласно техническим условиям она должна быть не более 5 тонн для мясокомбината мощностью 10 тонн в смену и 10-15 тонн для предприятия мощностью 30-50 тонн в смену. Для мясокомбината производительностью 100 т мяса в смену и более вместимость одной камеры тепловой обработки определяется заказчиком в задании на проектирование, но не должна превышать 25 т. На холодильниках при мясокомбинатах мощностью 50 т в смену и более часть камер охлаждения предусматривают с универсальным режимом (для возможности использования их в качестве камер замораживания мяса); количество таких камер определяется в каждом случае заданием на проектирование. Хранение охлажденного мяса в полутушах и четвертинах осуществляют в крупных камерах, оборудованных подвесными путями. Вместимость камер принимают из условия размещения 1-2-суточного поступления мяса из цеха убоя скота и разделки туш Камеры делают проходными, иногда камеру (если она большого размера) делят внутренними перегородками на несколько отсеков, сообщающихся между собой. В составе холодильника предусматривают также камеру хранения охлажденного мяса в четвертинах и отрубах в упакованном виде, находящихся в контейнерах. Вместимость этой камеры принимают примерно такой же, как и камеры хранения охлажденного мяса на подвесных путях. Хранение мороженого мяса осуществляют в штабелях и стоечных поддонах при tв =-20˚С и естественной циркуляции воздуха. Общую вместимость камер хранения мороженого мяса принимают из условия, размещения 16-20-суточного поступления мяса из цеха убоя скота и разделки туш, причем единичная вместимость камеры хранения не должна превышать 1000 т. Количество их должно быть не менее трех. В проекте также предусматривается не менее двух камер хранения мороженого мяса вместимостью не более двухсуточной производительности цеха убоя скота и разделки туш на случай отсутствия убоя скота. Полутуши, туши и четвертины мороженого мяса, упакованного в мешки из полимерного материала, а также мороженое мясо и субпродукты в упаковке и крупной таре целесообразно хранить в камерах с воздушной системой охлаждения, обеспечивающей подвижность воздуха в грузовом объеме камеры, благодаря чему достигаются равномерность температуры по площади и по высоте камеры, надежный обдув всех упаковок и снижение разности температур между продуктом и воздухом. Для мясокомбинатов мощностью 50 т в смену и больше, поставляющих продукцию в промышленные центры, признано целесообразным проектировать одну оборудованную подвесными путями камеру хранения мороженого мяса вместимостью, соответствующей грузоподъемности пятивагонной рефрижераторной секции (150-170 т). Хранение мороженого мяса на подвесных путях в такой камере должно быть кратковременным (при естественной циркуляции воздуха) и строго контролироваться, чтобы не допустить его сверхнормативной усушки. Расчет площади холодильника начинают с выбора структуры холодильника, на основании принятой схемы технологических прогрессов определяют вместимость и ориентировочное число камер различного назначения. Полученные вместимости и производительности охлаждаемых помещений позволяют найти объем и площадь этих помещений. Размеры камер зависят также от вида груза и способ его размещения. Груз в охлаждаемых помещениях может быть уложен в штабель, размещен на подвесных путях или расположен на полках стеллажей, этажерок или тележек. Укладка груза в штабеля применяется главным образом в помещениях для хранения и иногда в помещениях для домораживания грузов (если он упакован в тару). Груз уложен в штабель на поддонах или в контейнерах, которые позволяют брать груз из штабеля пакетами при помощи штабелеукладчиков или электропогрузчиков. Для одноэтажных холодильников с увеличенной высотой камер следует предусматривать, как минимум, укладку двух нижних пакетов штабеля с использованием стоечных поддонов. Плотность укладки груза в охлаждаемых помещениях определяется нормой загрузки единицы объема с учетом тары gv ,т/м3 . Пользуясь нормой загрузки объема, можно определить грузовой объем Vгр (мз ) помещения или группы однородных помещений, необходимый для размещения груза в количестве, соответствующем действительной (или условной) расчетной вместимости В камеры: Vгр =B/gv Эти же данные позволяют производить пересчет действительной вместимости помещения (или всего холодильника) в условную и обратно, поскольку для каждого помещения неизменной величиной является его грузовой объем Vгр , откуда: Vгр =Bусл /gvусл =B/gv В=Bусл gv /gvусл =Bусл /а или Bусл =В*а Так как а=gvусл /gv где Вусл - условная вместимость камеры (холодильника), т; gv , -соответственно условная и действительная нормы загрузки единицы объема, т/м3 ; В - действительная вместимость камеры (холодильника), т; а - коэффициент пересчета в условный груз. Величины gv и а выбираются из табл. Грузовая площадь или площадь камеры, занимаемая штабелями, Fгр (м2 ) определяется Fгр= Vгр/hгр где: hгр - грузовая высота, под которой понимают высоту штабеля, м. Высота штабеля ограничивается прежде всего строительной высотой помещения, причем по технологическим условиям считается необходимым, чтобы в предельном случае штабель не доходил до потолка или до низа несущих конструкций на 0,2 м или на 0,3 м от потолочных приборов охлаждения, а также воздуховодов, если они имеются в помещении. При гладких потолках высота подвеса светильников не должна превышать 0,15 м от перекрытия и 0,3 м до штабеля, при балочных перекрытиях (покрытиях) светильники не должны выступать ниже несущих конструкций. При укладке штабеля на междуэтажное перекрытие необходимо, чтобы нагрузка на пол не превышала допустимой нагрузки для данного перекрытия gF доп, т.е. gv *hгр<=gF доп. В современных многоэтажных холодильниках допустимая нагрузка на пол gF доп=2000 кг/м2 при высоте этажа 4,8 м; gF доп=2500 кг/м2 при высоте этажа 5,4 м и gF доп=3000 кг/м2 при высоте этажа 6,0 м. Это позволяет не только укладывать штабель достаточной высоты, но и применять в охлаждаемых помещениях механизмы для укладки и транспортировки грузов, имеющие довольно большую собственную массу. Высота штабеля продуктов в одноэтажном холодильнике практически не ограничивается по соображениям прочности строительных конструкций, поскольку нагрузка на такой пол, лежащий непосредственно на грунте, может составлять 4000-5000 кг/м2 , что является одним из важнейших достоинств одноэтажных холодильников. В некоторых случаях высота штабеля может быть ограничена еще и прочностью тары, в которую упакованы продукты, так как при значительной высоте штабеля нагрузка на нижние ряды может оказаться недопустимо большой. В этом случае нижние ряды продуктов хранят в стоечных поддонах, принимающих на себя нагрузку от верхних рядов штабеля. В высотных одноэтажных холодильниках (высотой более 8 м) груз, собранный в пакеты на поддонах или в контейнерах, укладывается на полки стеллажей. Однако не вся площадь помещения занята штабелями грузов, так как часть площади занимают колонны, отступы от стен и от пристенных приборов охлаждения, имеющие величину 0,3 м, а также грузовой проезд шириной 1,6 м (в камере площадью свыше 100 м2 ). В камерах, непосредственно за дверью, предусматривается площадка размером 3,5x3,5 м. При ориентировочных расчетах строительную площадь помещениями (м2 ) можно определить, пользуясь коэффициентом использования площади камеры, который учитывает наличие площадей участков помещения, не используемых для размещения груза: Fстр =Fгр /βf Коэффициент использования площади камеры βf зависит от размеров помещения: чем больше помещение, тем относительно лучше оно может быть загружено.
Площадь камеры всегда должна быть кратной целому числу строительных прямоугольников, образованных сеткой колонн: n=Fстр /fпр где n - число строительных прямоугольников при принятой сетке колонн; fпр - площадь одного строительного прямоугольника при принятой сетке колонн м2 . Сетку колонн для одноэтажных холодильников малой вместимости принимают 6х6 и 6х12 м, для средней и крупной - 6х12, 6х18 и 6х24, а для многоэтажных холодильников - 6х6 м. В камерах с подвесными путями груз находится в подвешенном состоянии. Такой способ размещения продуктов принят в камерах замораживания, охлаждения и хранения охлажденного мяса в тушах, полутушах и четвертинах. Кроме того, на подвесных путях располагают подвесные этажерки, на полках которых находятся мелкоштучные мясо- и субпродукты. Размеры таких камер определяются в зависимости от вместимости помещения. В и нормы нагрузки. Если в охлаждаемых помещениях предусматривается установка напольных (постаментных) воздухоохладителей, то площадь камеры увеличивают на 20-25%. При этом площадь камер хранения должна быть кратной целому числу строительных прямоугольников, определяемому по формуле. Кроме основных производственных помещений в составе холодильника предусматриваются различные вспомогательные помещения, необходимые для выполнения технологических операций (накопительные, разгрузочные помещения при камерах тепловой обработки продуктов, экспедиции, упаковочные, коридоры, вестибюли, лестничные клетки, лифтовые шахты и т. п.). При проведении расчетов площадь, отводимую для вспомогательных помещений, принимают равной 20-40 % суммы площадей охлаждаемых помещений: Fвсп =(0,2…0,4)∑Fстр где Fвсп - площадь вспомогательных помещений холодильника, м2 , ∑Fстр - суммарная площадь охлаждаемых помещений холодильника (камеры хранения и тепловой обработки продуктов), м2 . Для крупных холодильников принимают меньшее относительное значение площади вспомогательных помещений, для мелких - большее значение. Общая площадь всех помещений холодильника Fхол (в контуре теплоизоляции) Fхол =∑Fстр +∑Fт.о. +Fвсп где ∑Fст - сумма площадей камер хранения продуктов (охлажденных, мороженых, универсальных), м2 ∑Fт.о. , - сумма площадей камер тепловой обработки продуктов (морозильных камер, остывочных, камер домораживания), м2 . Площади некоторых вспомогательных помещений могут быть рассчитаны по нормам для этих помещений, а для других помещений уточняются при выполнении планировки холодильника. Площадь служебных помещений принимают равной 5-10%∑Fстр холодильника, а площадь компрессорного цеха составляет 10-15% ∑Fстр холодильника. Служебные помещения и компрессорный цех располагаются, как правило, в здании, пристраиваемом к зданию холодильника. Пример 4: Определить вместимость камер производственного холодильника при мясокомбинате производительностью 40 тонн в смену. Работа комбината двухсменная. Холодильник спроектировать одноэтажным, расположенным в главном производственном корпусе. Принятая сетка колонн 6×12 м, высота холодильника 6 м до низа несущих конструкций. При двухсменной работе комбината суточная производительность его по мясу будет составлять М=2М=40•2=80 т в сутки Общая производительность камер замораживания мяса принимается равной 50% суточной производительности мясокомбината: Мзам =0,5*80=40 т в сутки Производительность камер охлаждения мяса (остывочных) принимаем равной суточной производительности комбината: Мост =Мсут =80 т в сутки Предусматриваем на холодильнике установку морозильного аппарата для замораживания субпродуктов (печень, сердце, языки и т. п.), считая выход субпродуктов в количестве 10% выхода мяса. Все субпродукты в период массового убоя скота будут замораживаться для создания резерва продуктов производственным цехам: Мс.пр .=0,1М=0,1•80=8 т в сутки На холодильнике имеется камера для хранения топленого жира в бочках, выход жира 7 % выпуска мяса: Мж =0,07•80=5,6 т в сутки Вместимость камер хранения мяса и мясопродуктов определяется созданием необходимого запаса сырья для производственных цехов. Вместимость камер хранения мороженого мяса принимается из условия размещения 20-суточного поступления мяса из цеха убоя скота и разделки туш: Bм. мор =20Мсут =20*80=1600т Вместимость камер хранения охлажденного мяса составляет величину, определяемую созданием 2-суточного поступления мяса из цеха убоя скота и разделки туш: Вм. охл =2Мсут =2*80=160 т Вместимость камеры хранения мороженых субпродуктов (20-суточный запас) Вм.с.пр =20*Мс.пр =20*8=160 т Вместимость камеры хранения жира в бочках (запас 15 сут) Вж =15Мж =15*5,6= 84 т Вместимость камер замораживания мяса, если цикл работы их составляет сутки, Взам =Мзам =40т Цикл работы камеры состоит из времени холодильной обработки, времени загрузки и выгрузки. Принимая температуру воздуха в камерах замораживания мяса -35˚С, считаем, что время холодильной обработки будет равно т = 22 ч, время загрузки и выгрузки камеры — по 1 ч. Таким образом, цикл работы камеры замораживания мяса τц составит 24 ч. Для сокращения времени загрузки и выгрузки помещения перед камерой и после нее размещают накопительные и разгрузочные, причем по площади они должны быть не менее площади одной из этих камер. В = Мзам . τц /24 = 40 • 24/24 = 40 т Время цикла работы остывочных также принимаем равным т„= 24 ч (время холодильной обработки т = 16...18 ч). Во =Мо τц /24=80· 24/24= 80т Определение строительных площадей камер зависит от вида хранения соответствующих продуктов (штабель, на подвесных путях, в контейнере и т. п.). Площадь камер хранения мороженого мяса (штабель): грузовой объем камер Vгр = Вм.мор /gv = 1600/О 35 = 4571 м3 где gv — норма загрузки 1 м3 объема, т/м3 ; 8о = 0,35 т/м3 (см. табл. 52); Грузовая площадь камер Fгр =Vгр / hгр = 4571/5 = 914 м2 где h— высота штабеля, м; h= 5,0 м (принято из-за ограничения подъема груза на высоту штабелеукладчиком); строительная площадь камер Fстр = Fгр /βf = 914/0,8 = 1143 м2 , где βf — коэффициент использования площади камеры; βf = 0,8. Так как площадь камер должна быть кратна целому числу строительных прямоугольников (строительный прямоугольник определяется принятой сеткой колонн 6х12 == 72м2 ), то n = F стр /72 = 1143/72 = 15,88 Принимаем площадь камер хранения мороженого мяса кратной 16 строительным прямоугольникам (FM мор = 16. 72 = 1152 м2 ). Площадь камер замораживания мяса определяется из условия, что продукты (туши или полутуши мяса) находятся на подвесных путях: Fстр = В /gF = 40/0,2 = 200 м2 , где gF — норма нагрузки от мяса на 1 м2 площади пола, т/м2 ; gF = 0,2 т/м2 (см. табл. 53). Число строительных прямоугольников для камер замораживания мяса n =Fстр /72=200/72=2,78 Принимаем число мясоморозилок три, причем площадь каждой камеры соответствует площади одного строительного прямоугольника. Аналогично рассчитываются площади других камер. После выполнения расчетов сделать планировку холодильника. Задача 6. Подбор вентиляторов Вентиляторы – это установки, которые служат для перемещения воздуха или других газов при общем напоре не более 15 кПа. По принципу работы и конструктивным особенностям их подразделяют на осевые и центробежные. Осевой вентилятор состоит из лопастного колеса, закрепленного на одной оси с электродвигателем и помещенного внутри цилиндрического кожуха. При вращении лопастного колеса поток воздуха проходит в осевом направлении, поэтому вентилятор называют осевым . Эти вентиляторы отличаются большой подачей и сравнительно низким давлением (до 0,35 кПа). У центробежного вентилятора внутри улиткообразного кожуха находится рабочее колесо (ротор). При вращении ротора воздух, поступающий через входное отверстие, под давлением центробежной силы перемещается по каналам между лопатками ротора и выбрасывается через выпускное отверстие. В зависимости от развиваемого давления эти вентиляторы бывают низкого (до 1 кПа), среднего (от 1 до 3 кПа) и высокого (от 3 до 15 кПа) давления. Центробежные вентиляторы низкого и среднего давления используют при общеобменной и местной вентиляции, кондиционировании воздуха. Вентиляторы высокого давления применяют главным образом для технологических целей. Вентиляторы (осевые и центробежные) различают по номерам, показывающим диаметр рабочего колеса в дециметрах. Все вентиляторы одной серии или типа по своим размерам геометрически подобны один другому и имеют одинаковую аэродинамическую схему. При подборе вентиляторов нужно знать требуемую подачу и полное давление, которое должен развивать вентилятор. Подачу вентиляторов
где где Расчетное полное давление (Па), которое должен развивать вентилятор
где 1,1 – запас давления на непредвиденные сопротивления;
Удобно вести подбор вентиляторов по номограммам, представляющим собой сводные характеристики вентиляторов одной серии. На рисунке 4 изображена номограмма для выбора центробежных вентиляторов серии Ц4-70*, получивших широкое применение в вентиляционных системах сельскохозяйственных производственных зданий и сооружений. Эти вентиляторы обладают высокими аэродинамическими качествами, бесшумны в работе. Из точки, соответствующей найденному значению подачи Горизонтальная шкала номограммы показывает скорость движения воздуха в выпускном отверстии вентилятора. Подбор вентилятора надо вести с таким расчетом, чтобы его КПД был ниже 0,85 максимального значения (в данном случае не менее 0,85·0,8=0,68). Необходимая мощность (кВт) на валу электродвигателя для привода вентилятора
где Установленная мощность (кВт) электродвигателя
где Таблица 3 Коэффициент запаса мощности электродвигателей
* Буква Ц означает, что вентилятор центробежный; цифра 4 соответствует значению коэффициента полного давления на оптимальном режиме, увеличенному в 10 раз и округленному до целой величины; число 70 – округленное значение быстроходности вентилятора, рад/с. Пример 5:
Подобрать центробежный вентилятор серии Ц4-70 для перемещения 2500 м3
/ч воздуха при температуре Расчет ведем по номограмме (см. рис.). На левой шкале подачи вентилятора находим точку
Требуемая мощность электродвигателя для вентилятора по формуле
Взяв по данным таблицы 3 коэффициент запаса 1,5, находим установленную мощность электродвигателя по формуле
По приложению 2 июподбираем электродвигатель, у которого мощность и частота вращения наиболее близки к расчетным. Расхождение в частоте вращения учитываем соответствующими диаметрами шкивов клиноременной передачи между электродвигателем и вентилятором. Задача 7. Кондиционирование воздуха Обработка воздуха в кондиционере перед подачей его в помещение может включать в себя следующие основные процессы: подогрев или охлаждение, увлажнение или осушение, а также очистку от пыли. Кроме этого, в отдельных случаях при кондиционировании воздушной среды некоторых производственных помещений применяется дезодорация (устранение запахов) и ионизация воздуха. Для большинства климатических районов нашей страны в зимнее время требуется подогревать и увлажнять приточный воздух, а в летнее – охлаждать и осушать. Прямоточные системы кондиционирования работают только на наружном воздухе. Их применяют в тех случаях, когда невозможна рециркуляция воздуха из-за наличия в помещении вредных выделений, повышенной концентрации пыли, резких запахов и т. д. Более экономичны системы кондиционирования с рециркуляцией воздуха помещения (рис. 5), так как в них в зимний период меньше расходуется теплоты на подогрев наружного воздуха, а в летний экономится хладоноситель для его охлаждения. В случае, когда из помещения необходимо одновременно удалять избытки теплоты и влаги, воздухообмен рассчитывают графоаналитическим методом при помощи Линия в
По контуру Порядок расчета следующий: 1. Определяют значение 2. Наносят на 3. Через точку 4 Необходимый воздухообмен для ассимиляции избыточной теплоты и влаги определяют по
Когда трудно определить массу и концентрацию вредных выделений в помещении, воздухообмен при общеобменной вентиляции можно рассчитать ориентировочно по кратности воздухообмена, представляющей собой отношение объема вентиляционного воздуха, подаваемого в помещение или удаляемого из него в течение 1 ч, к внутреннему объему помещения
Здесь знак плюс указывает на воздухообмен по притоку, знак минус – по вытяжке. Значения Зимнее кондиционирование . Под действием вентилятора 15 наружный воздух, пройдя через жалюзийную решетку 1 и утепленные клапаны 2 , смешивается в смесительной камере 4 с рециркуляционным воздухом, поступающим через клапан 3 из кондиционируемого помещения. Смесь, очищенная в масляном фильтре 5 , подогревается в калориферах первого подогрева 7 . При помощи регулирующих клапанов 6 устанавливается необходимое соотношение между массой воздуха, проходящей через калориферы 7 и по обводному каналу 8 . Подогретый воздух поступает далее в камеру орошения 10 . Увлажненный и одновременно охлажденный в оросительной камере воздух вторично нагревается до требуемой температуры в калорифере 13 второго подогрева, имеющем, как и калориферы 7 , регулирующие клапаны 12 и обводной канал 14 , и только после этого подается вентилятором в помещение. В камере орошения испаряется лишь незначительная часть воды, разбрызгиваемой форсунками, остальная же ее масса стекает в поддон камеры, откуда, пройдя через смесительный трехходовой кран, насосом вновь нагнетается в форсунки. До и после камеры установлены сепараторы (решетки-каплеотделители) 9 и 11 , предотвращающие вынос из нее капель воды. Рассмотренный процесс зимнего кондиционирования воздуха в
где Способность вентиляционного воздуха к ассимиляции избыточной теплоты определяется по формуле
где Положение точки П
, характеризующей приточный кондиционированный воздух, определяется пересечением луча процесса
где Опустив из точки П
вертикаль до пересечения с кривой относительной влажности Состояние смеси наружного и рециркуляционного воздуха характеризуется точкой С
, находящейся на пересечении прямой НР
с линией
где Точку К
, определяющую состояние воздуха после калорифера первого подогрева, находят на пересечении линий Таким образом, обработка смеси наружного и рециркуляционного воздуха при зимнем кондиционировании складывается из следующих процессов: СК – нагревание в калорифере первого подогрева, КО – увлажнение (и охлаждение) в оросительной камере, ОП – нагревание в калорифере второго подогрева. Возможен и другой вариант смешения наружного и рециркуляционного воздуха – после калорифера первого подогрева (на рисунке 6 показан пунктиром). Он рекомендуется в том случае, если точка смеси С
оказывается ниже линии Процесс обработки воздуха в кондиционере с применением рециркуляции после калорифера первого подогрева показан на рисунке 8. Здесь НК – нагрев наружного воздуха в калорифере первого подогрева; СО – увлажнение смеси наружного и рециркуляционного воздуха камере орошения; ОП – нагрев в калорифере второго подогрева. Летнее кондиционирование . При летнем кондиционировании исключается нагревание воздуха в калорифере первого подогрева. Процесс обработки воздуха в системе кондиционирования для летнего режима (без учета подогрева воздуха в вентиляторе и воздуховодах) изображен на рисунке 9. Смесь наружного и рециркуляционного воздуха состояния точки С
подается в воздухоохладитель кондиционера мокрый (камера орошения) или сухой (воздухоохладитель поверхностного типа). Процесс охлаждения и осушения (уменьшение влагосодержания) в воздухоохладителе протекает по линии СО
. Однако, достигнув нужного влагосодержания в точке О
, воздух охлаждается ниже требуемой температуры Система автоматического регулирования кондиционера . Эта система изменяет положение регулирующих воздушных клапанов, подачу теплоносителя в калориферы, воды в оросительную камеру или хладоносителя в воздухоохладитель в зависимости от изменения параметров наружного воздуха и регулируемой среды и тем самым обеспечивает заданные метеорологические условия в кондиционируемом помещении. Приложение 1 Характеристика поршневых одноступенчатых компрессоров и агрегатов
Приложение 2 Техническая характеристика электродвигателей серии 4АМ основного исполнения (Un = 380 В)
Примечания: 1. Условные обозначения: П - поршневой сальниковый; ПБ – поршневой бессальниковый; А – агрегат; Ф –компрессор, работающий на хладоне; V – У-образный; В – вертикальный; W - УУ-образный; С – специальный низкотемпературный с воздушным охлаждением; ГО – горизонтальный оппозитный. 2. Номинальная холодопроизводительность рассчитана при условиях: для высокотемпературного режима Приложение 3 Тестовые вопросы по «Холодильному и вентиляционному оборудованию» 1. Какое значение не указано на i – P диаграмме для хладагентов? 1) Степень сухости. 2) Удельный объем. 3) Энтропия. 4) Влагосодержание. 2. Какой линией теоретического цикла ПКХМ на i – P диаграмме изображен отвод теплоты в конденсаторе? 1) 1-2; 2) 2-3; 3) 3-4; 4) 4-1 3. Каким отрезком теоретического цикла паровой холодильной компрессионной машины на i – P диаграмме изображен процесс кипения в испарителе 1) 1-2; 2) 2-3; 3) 3-4; 4) 4-1 4. Каким отрезком теоретического цикла паровой холодильной компрессионной машины на i – P диаграмме изображен процесс сжатия в компрессоре 1) 1-2; 2) 2-3; 3) 3-4; 4) 4-1 5. Каким отрезком теоретического цикла паровой холодильной компрессионной машины на i – P диаграмме изображен процесс дросселирования в терморегулирующем вентиле 1) 1-2; 2) 2-3; 3) 3-4; 4) 4-1 6. Какой позицией на схеме паровой компрессионной холодильной машины изображен компрессор 1) 1; 2) 2; 3) 3; 4) 4 7. Какой позицией на схеме паровой компрессионной холодильной машины изображен конденсатор 1) 1; 2) 2; 3) 3; 4) 4 8. Какой позицией на схеме паровой компрессионной холодильной машины изображен испаритель 1) 1; 2) 2; 3) 3; 4) 4 9. Какой позицией на схеме паровой компрессионной холодильной машины изображен терморегулирующий вентиль (ТРВ) 1) 1; 2) 2; 3) 3; 4) 4 10. Каким показателем оценивается эффективность работы холодильной машины? 1) КПД 2) Холодильным коэффициентом 3) Отношением энтропий 4) Отношением энтальпий 11. Какой формулой определяется холодильный коэффициент холодильной машины? 1) 12. Какой процесс происходит в испарителе холодильной машины? 1) Кипение холодильного агента 2) Сжатие холодильного агента 3) Охлаждение холодильного агента 4) Дросселирование холодильного агента 13. Какой процесс происходит в конденсаторе холодильной машины? 1) Кипение холодильного агента 2) Сжатие холодильного агента 3) Охлаждение холодильного агента 4) Дросселирование холодильного агента 14. Какой процесс происходит в компрессоре холодильной машины? 1) Кипение холодильного агента 2) Сжатие холодильного агента 3) Охлаждение холодильного агента 4) Дросселирование холодильного агента 15. Какой процесс происходит в терморегулирующем вентиле холодильной машины? 1) Кипение холодильного агента 2) Сжатие холодильного агента 3) Охлаждение холодильного агента 4) Дросселирование холодильного агента 16. Каково назначение отделителя жидкости холодильной машины? 1) Подавать влажный пар в компрессор 2) Подавать сухой пар в компрессор 3) Подогревать пар перед компрессором 4) Охлаждать пар перед компрессором. 17. Какой процесс не относится к осуществлению процесса охлаждения? 1) сжатие 2) расширение 3) дросселирование 4) вихревой эффект 18. Какой процесс не относится к фазовым превращением? 1) кипение 2) сублимация 3) адиабатическое расширение 4) плавление. 19. В чем основное отличие действительного цикла паровой холодильной компрессионной машины от теоретического? 1) наличием объемных потерь 2) наличием энергетических потерь 3) наличием метрового пространства 4) наличием влажного хода. 20. Какой элемент не относится к двухступенчатой холодильной машине? 1) промежуточный сосуд 2) водяной охладитель 3) абсорбер 4) терморегулирующий вентиль 21. Какова функция промежуточного теплообменника холодильной машины? 1) охлаждать пары хладагента перед испарителем 2) подогревать пары хладагента перед компрессором 3) осуществлять пункт 1 и 2 одновременно 4) ни один пункт не осуществляется. 22. Как определяется холодопроизводительность 1 кг холодильного агента на i – P диаграмме? 1) разностью энтропий 2) разностью энтальпий Δ i 3) разностью давлений Δ P 4) разностью температур Δ T. 23. Как определяется теоретическая работа сжатия в компрессоре 1 кг холодильного агента? 1) разностью энтропий Δ S 2) разностью энтальпий Δ i 3) разностью давлений Δ P 4) разностью температур Δ T. 24. К какой системе охлаждения относится система, в которой жидкий холодильный агент подается под действием разности давлений конденсации P и кипения P0 ? 1) Непосредственная безнасосная с отделителем жидкости (ОЖ). 2) Непосредственная безнасосная прямоточная. 3) Непосредственная насосно-рециркуляционная. 4) Ни относится, ни к одной. 25. К какой системе охлаждения относится система, в которой жидкий холодильный агент подается в приборы охлаждения под напором столба жидкости? 1) Непосредственная безнасосная с отделителем жидкости (ОЖ) 2) Непосредственная безнасосная прямоточная 3) Непосредственная насосно-рециркуляционная 4) Ни относится ни к одной. 26. К какой системе охлаждения относится система, в которой жидкий холодильный агент подается в приборы охлаждения принудительно? 1) Непосредственная безнасосная с отделением жидкости (ОЖ) 2) Непосредственная безнасосная прямоточная 3) Непосредственная насосно-рециркуляционная 4) Ни относится ни к одной. 27. К какой системе охлаждения относится система, в которой жидкий холодильный агент подается в приборы охлаждения непосредственно компрессором? 1) Непосредственная безнасосная с отделением жидкости (ОЖ) 2) Непосредственная безнасосная прямоточная 3) Непосредственная насосно-рециркуляционная 4) Ни относится ни к одной. 28. К какой системе охлаждения относится система с циркулирующим жидким хладоносителем и кожухотрубным испарителем? 1) Непосредственная насосно-рециркуляционная 2) Промежуточная закрытая 3) Промежуточная открытая 4) Непосредственная безнасосная прямоточная 29. Какое требование не предъявляется к хладагентам? 1) термодинамические 2) микробиологические 3) экономические 4) физиологические 30. Назовите холодильный агент без запаха, без цвета с температурой кипения минус 29,8 0 С. 1) аммиак 2) хладон R 22 3) хладон R12 4) этиленгликоль 31. Назовите холодильный агент – бесцветный газ с резким запахом с температурой кипения минус 34,4 0 С: 1) хладон R22 2) этиленгликоль 3) хладон R502 4) аммиак 32. Какой хладагент имеет наименьший класс вредности? 1) хладон R12 2) хладон R 22 3) сернистый ангидрид 4) аммиак 33. Какой хладагент имеет наибольший класс вредности? 1) хладон R12 2) хладон R 22 3) сернистый ангидрид 4) аммиак 34. Какой хладагент имеет неорганическое происхождение? 1) хладон R12 2) хладон R 22 3) хладон R717 4) хладон R502 35. Какой хладагент в соединении с воздухом при концентрации 15…28% (по объему) взрывоопасен: 1) хладон R12 2) хладон R718 3) хладон R717 4) хладон R502 36. Какой хладагент совершенно невзрывоопасен, но при его наличии запрещается курить и работать с открытым пламенем: 1) хладон R12 2) хладон R717 3) этиленгликоль 4) хладон R502 37. Какой хладагент является азеотропной смесью? 1) R717 2) R718 3) этиленгликоль 4) R502 38. Какое вещество не относится к хладоносителям: 1) раствор Na CI 2) раствор Ca CI2 3) R502 4) R718 39. Какой хладоноситель имеет температуру замерзания минус 550 С при концентрации соли 29,9 %? 1) раствор Na CI 2) раствор Ca CI2 3) R502 4) R718 40. Что показывает криогидратная точка? 1) выше нее вещество превращается в пар: 2) вещество находится в трех агрегатных состояниях 3) вещество имеет самую низкую температуру кипения 4) вещество имеет самую низкую температуру замерзания 41. Какой показатель не относится к компрессорам холодильных машин: 1) число тактов 2) холодопроизводительность 3) число поршней 4) температура кипения хладагента 42. В каком поршневом компрессоре пар в процессе движения меняет его направление от всасывающего клапана к нагнетающему 1) в крейцкопфном 2) в бескрейцкопфном 3) в прямоточном 4) в непрямоточном 43. Компрессор, какой маркировки имеет встроенный электродвигатель? 1) В 2) Р 3) ПБ 4) П 44. Чем производится охлаждение электродвигателей герметичных компрессоров? 1) маслом 2) хладагентом 3) воздухом 4) хладоносителем 45. Сколько роторов имеют винтовые компрессоры: 1) один 2) два 3) три 4) четыре 46. Как расположен вал ротора ротационного компрессора относительно цилиндра: 1) соосно 2) тангенциально 3) эксцентрично 4) параллельно 47. Какая часть относится к турбокомпрессорам: 1) поршень 2) ротор 3) лопасть 4) клапан 48. Каким коэффициентом учитываются потери компрессора при всасывании: 1) λс 2) λw 3) λпл 4) λдр 49. Каким коэффициентом учитываются потери компрессора от теплообмена: 1) λс 2) λw 3) λпл 4) λдр 50. Каким коэффициентом учитываются потери компрессора вследствие не плотности во всасывающих, нагнетательных клапанах, кольцах и т.д. 1) λс 2) λw 3) λпл 4) λдр 51. Каково назначение маслоотделителя холодильной установки: 1) слив масла из компрессора холодильной установки 2) сбор масла, уносимого холодильным агентом из компрессора 3) сбор масла из испарителя 4) сбор масла из конденсатора 52. Каково назначение маслосборника холодильной установки: 1) сбор масла, уносимого холодильным агентом из компрессора 2) слив масла из компрессора 3) слив масла из аппаратов холодильной установки и его удаления 4) сбор масла из ТРВ 53. Какой ресивер не относится к холодильныой установке: 1) промежуточный 2) дренажный 3) линейный 4) циркуляционный 54. Какой элемент не относится к абсорбционной холодильной машине? 1) компрессор 2) испаритель 3) регулирующий вентиль 4) конденсатор 55. Какой элемент не относится к пароэжекторной холодильной машине? 1) паровой котел 2) абсорбер 3) сопло 4) диффузор Литература 1 Бражников А.М., Малова Н.Д. Кондиционирование воздуха на предприятиях мясной и молочной промышленности. М.: Пищевая промышленность, 1979.-263 с. 2 Бражников А.М., Малова Н.Д. Расчеты систем кондиционирования воздуха на предприятиях мясной и молочной промышленности. М.: Агропромиздат, 1983.-232 с. 3 Бражников А.М. Теория термической обработки мясопродуктов. М.: Агропромиздат, 1987.-281 с. 4 Веселов С.А., Веденьев В.Ф. Вентиляционные и аспирационные установки предприятий хлебопродуктов. М.: Колос, 2004. – 240 с. 5 Гоголин Н.А. Кондиционирование воздуха в мясной промышленности. М.: Пищевая промышленность, 1966.-229 с. 6 Головкин Н.А. Холодильная технология пищевых продуктов. М.: «Легкая и пищевая промышленность», 1984.-240 с. 7 Грушман Р.П. Справочник теплоизолировщика. Л.: Стройиздат, 1980.-419 с. 8 Долин Л.С. Справочник по вентиляции в пищевой промышленности. М.: Пищевая промышленность, 1977.-351 с. 9 Дроздов В.Ф. Отопление и вентиляция, ч.2. Вентиляция. М.: Высшая школа, 1984.-262 с. 10 Кондрашова Н.Г., Латушина Н.Г. Холодильно-компрессорные машины и установки. М.: Высшая школа, 1984.-199 с. 11 Коренев А.М., Харитонов В.А. Практикум по холодильной технологии пищевых продуктов и холодильной технике. М.: Агропромиздат, 1986.-319 с. 12 Кочетков Н.Д. Холодильная техника. М.: Машиностроение, 1966.-408 с. 13 Краткий справочник механика молочного завода/ Дегтярев Ф.Г. и др. М.: Пищевая промышленность,1969.-159 с. 14 Курылев Е.С. и др. Холодильные установки. С.-П.: Политехника, 2002.-576 с. 15 Кученев В.П. Молочное дело. М.: Колос, 1974.-181 с. 16 Лебедев В.Ф. Холодильная техника. М.: Агропромиздат, 1986.-247 с. 17 Мещереков Ф.Е. Основы холодильной техники и холодильной технологии. М.: Пищевая промышленность, 1975.-371 с. 18 Холодильные машины./ Под редакцией Кошкина Н.Н.. М.: Пищевая промышленность, 1973.-459 с. 19 Холодильные установки./ Под редакцией Чумака И.Г.. М.: Агропромиздат, 1991.-481 с. |
|||||||||||||||||||||||||||||||||||||||||||||||||||||||||||||||||||||||||||||||||||||||||||||||||||||||||||||||||||||||||||||||||||||||||||||||||||||||||||||||||||||||||||||||||||||||||||||||||||||||||||||||||||||||||||||||||||||||||||||||||||||||||||||||||||||||||||||||||||||||||||||||||||||||||||||||||||||||||||||||||||||||||||||||||||||||||||||||||||||||||||||||||||||||||||||||||||||||||||||||||||||||||||||||||||||||||||||||||||||||||||||||||||||||||||||||||||||||||||||||||||||||||||||||||||||||||||||||||||||||||||||||||||||||||||||||||||||||||||||||||||||||||||||||||||||||||||||||||||||||||||||||||||||||||||||||||||||||||||||||||||||||||||||||||||||||||||||||||||||||||||||||||||||||||||||||||||||||||||||||||||||||||||||||||||||||||||||||||||||||||||||||||||||||||||||||||||||||||||||||||||||||||||||||||||||||||||||||||||||||||||||||||||||||||||||||||||||||||||||||||||||||||||||||||||||||||||||||||||||||||||||||||||||||||||||||||||||||||||||||||||||||||||||||||||||||||||||||||||||||






6 5 41
4
. (15)