Курсовая работа: Методика вивчення тригонометричних функцій у старшій школі з використанням мультимедійних засобів
|
Название: Методика вивчення тригонометричних функцій у старшій школі з використанням мультимедійних засобів Раздел: Рефераты по педагогике Тип: курсовая работа |
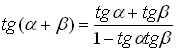
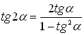
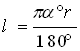
Вінницький державний педагогічний університет імені М.М. Коцюбинського Інститут математики, фізики і технологічної освіти Кафедра алгебри і методики викладання математики “Методика вивчення тригонометричних функцій у старшій школі з використанням мультимедійних засобів навчання” Зміст Вступ 1. Загальне використання мультимедійних засобів навчання в навчальному процесі 2. Методика вивчення тригонометричних функцій в старшій школі 2.1 Радіанна міра кутів і дуг 2.2 Введення поняття тригонометричних функцій числового аргументу 2.3 Вивчення властивостей тригонометричних функцій 2.4 Перетворення тригонометричних виразів 3. Фрагменти уроків з використанням мультимедійних засобів навчання 3.1 Урок №1 3.2 Урок №2 3.3 Урок №3 Висновок Список використаної літератури Додатки Педагогічний досвід роботи показує, що вивчення деяких розділів шкільного курсу з використанням традиційних засобів навчання викликають певні утруднення в учнів щодо їх сприйняття та практичного застосування. Це переважно тоді, коли навчальний матеріал є великим за обсягом, насиченим і вимагає додаткових наочно – демонстраційних засобів навчання. Один з таких розділів є «Тригонометричні функції», що вивчається в курсі «Алгебра і початки аналізу»(10 клас). Тому головною метою вчителів – застосувати такі методи і засоби навчання, щоб виклад матеріалу став більш доступним, образним, насиченим, динамічним та результативним. Що, в свою чергу, сприятиме легшому сприйманню, усвідомленню та більш глибшому розумінню учнями навчального матеріалу. Такими засобами навчання є мультимедійні. Їх використання дає змогу забезпечити заняття динамічною наочністю, збільшити кількість тренувальних завдань, збільшити темп виконання робіт учнями, диференціації їхньої діяльності, наявність зворотнього зв’язку, об’єктивність контролю, підвищення мотивації навчання. Метою курсової роботи є розробка методики вивчення тригонометричних функцій в старшій школі з використанням мультимедійних засобів навчання. Для досягнення мети було поставлено такі завдання: 1. Опрацювати статті та навчально–методичну літературу по даній темі; 2. Підібрати теоретичний матеріал по темі «Тригонометричні функції»; 3. З’ясувати, за допомогою яких мультимедійних засобів можна покращити навчальний процес та охарактеризувати їх; 4. Розробити уроки з використанням мультимедійних засобів навчання. 1. Загальне використання мультимедійних засобів навчання в навчальному процесі Мультимедіа – це спеціальна інтерактивна технологія, що забезпечує за допомогою технічних і програмних засобів роботу з анімованою комп’ютерною графікою і текстом, мовою, високоякісним звуком, нерухомими зображеннями і рухомим відео. Найдоцільніше використовувати мультимедійні засоби навчання при виконанні таких педагогічних завдань: формування світогляду учнів, їх ідейних і моральних переконань; формування вмінь і навичок учнів, зокрема: виділяти головне, аналізувати, узагальнювати, порівнювати, класифікувати, конкретизувати, абстрагувати, систематизувати; формування спеціальних вмінь і навичок учнів в залежності від навчальних дисциплін; взаємозв’язок теорії і практики; засвоєння учнями складних тем. Використання мультимедії в класно-урочній діяльності дозволяє педагогам зробити свої заняття емоційними та ефективними. Це дає можливість забезпечити заняття динамічною наочністю, збільшити кількість тренувальних завдань, збільшити темп виконання робіт учнями, диференціації їхньої діяльності, наявність зворотнього зв’язку, об’єктивність контролю, підвищення мотивації навчання. Комп’ютер – це знаряддя, яке полегшує працю вчителя. Вчителеві необхідно творчо переглянути матеріали до уроків та методику їх викладу з точки зору насичення цих уроків мультимедійною інформацією, для того щоб зробити навчання не тільки динамічним, інформаційно насиченим, а й індивідуальним. Найбільш ефективне використовування комп'ютера на уроках математики: при вивченні нового матеріалу (ілюстрація різноманітними наочними засобами; мотивація введення нового поняття; моделювання); при перевірці фронтальних самостійних робіт (швидкий контроль результатів); при рішенні задач повчального характеру (виконання малюнків, складання плану роботи; відробіток певних навиків і умінь); при організації дослідницької діяльності учнів; при інтеграції предметів природно-математичного циклу. Вигідні особливості роботи з комп'ютерною підтримкою на уроці: учень стає суб'єктом навчання, бо програма вимагає від нього активного управління; легко досягається рівнева диференціація навчання; досягається оптимальний темп роботи учня, оскільки кожний учень виконує індивідуальне завдання, працюючи в своєму темпі; скорочується час при виробленні технічних навиків учнів; збільшується кількість тренувальних завдань; відстежуються помилки, допущені учнем, і повторно відпрацьовується недостатньо засвоєний матеріал; робота учня оцінюється відразу; при роботі з комп'ютером присутній елемент гри, у більшості дітей підвищується мотивація учбової діяльності. На уроках математики в залежності від поставлених цілей використовують, як наприклад, такі програми: Paint: побудова графіків функції, геометричних фігур їх дослідження; побудова у системі координат точок за їхніми координатами; Test W: на початку вивчення теми для самоконтролю; для проведення контролю знань учнів; для самостійного створення учнями тестів до уроків в позаурочний час; Microsoft Word: створення та використання математичних диктантів, блок – схем, таблиць, діаграм; використання редактора формул Microsoft Equation для запису математичних виразів. Microsoft Exel: створення, форматування та друк таблиць даних; проведення розрахунків різної складності; побудова діаграм і графіків… Однак для ефективного використання комп’ютера в класно – урочній системі навчання потрібно мати обладнаний комп’ютером спеціалізований кабінет, в якому є ще і спеціальні пристрої колективного призначення, наприклад мультимедійний проектор, інтерактивна дошка. Інтерактивна дошка – сенсорний екран, приєднаний до комп’ютера. Зображення на дошку передається через проектор. Сучасні дошки для навчальних аудиторій: на них пишуть спеціальними маркерами, а написане зберігається в комп’ютерному файлі, який миттєво передається слухачам, записується на магнітні носії. Цими файлами можуть користуватися ті, хто не зміг бути присутнім на уроці. Завдяки об’єднанню комп’ютера та інтерактивної дошки, викладачі отримали можливість об’єднати безумовні переваги комп’ютера з традиційними формами навчання. Викладач, проектуючи на інтерактивну дошку завдання, може викликати до неї одного чи навіть декількох учнів для публічного розв’язання задач; у випадку неправильної відповіді організувати дискусію або (якщо робота ведеться у складі локальної мережі) продемонструвати результати індивідуальної роботи учнів, доповнюючи їх своїми рукописними і графічними коментарями. Види навчальної діяльності, котрі доступні при використанні електронної інтерактивної дошки: робота з текстом і зображеннями; створення приміток за допомогою електронних маркерів; збереження створених приміток для передачі їх засобами електронної пошти, разміщення в Internet; колективний перегляд Web-сайтів; вільне переміщення по класу під час демонстрації з використанням відповідного програмного забезпечення; демонстрація і нанесення приміток поверх навчальних відеокліпів; використання вбудованого в програмне забезпечення інтерактивної дошки презентаційного інструментарію для збагачення дидактичного матеріалу; демонстрація презентацій, створених учнями. Інтерактивні дошки бувають прямої та оберненої проекцій. При прямій – проектор розміщують перед дошкою на підставці або на стільці. При оберненій – проектор встановлюють за дошкою. Сенсорні технології в інтерактивних дошках реалізуються двома способами. Сенсорна резистивна інтерактивна дошка складається із двох прошарків тонких провідників, які реагують на дотик до поверхні екрану. Використовуючи разом з інтерактивною дошкою інші засоби інтерактивних технологій, наприклад, графічний планшет, викладач може одночасно залучити до активної роботи кількох учнів. При наявності локальної мережі та налагодженій роботі електронної пошти чи FTP можна інтенсивно використовувати графічні планшети для підготовки ескізів малюнків до пояснення нового матеріалу чи перевірити виконання домашнього завдання, пов’язаного з побудовою графіків, створенням креслень, схем, ескізів, зображень тощо. Електронні модулі тестування. Використовуючи модуль тестування і голосування, програмне забезпечення ACTIVstudio і бездротові пульти, викладач може у будь-який момент часу провести опитування присутніх з довільної теми. Для цього потрібно створити запитання для тесту і запропонувати на ці запитання до шести варіантів відповідей. Пульт для тестування дозволяє учасниками вибирати варіанти правильних відповідей, а електронна система обліку фіксує натиснення учасників заходу на кнопки пультів і показує результат на електронній дошці ACTIVboard у вигляді діаграми або у вигляді таблиці. Голосування або опитування може бути як поіменним, так і анонімним. Панель з радіопортом стимулює активну участь груп в обговореннях і прийняттях рішень. Панель з інфрачервоним портом формату А5 є графічним планшетом без з’єднувальних провідників, який під'єднується до інтерактивної дошки через інфрачервоний порт. За допомогою електронного олівця, користувач може працювати з інтерактивною дошкою, використовуючи панель з будь-якого місця в аудиторії. У будь-який час можна передати панель учневі для продовження роботи з інтерактивною дошкою і він може, наприклад, написати свій варіант розв’язку на дошці не встаючи з місця. Графопроектор (кодоскоп) – прилад, призначений для демонстрації великоформатних транспарантів, виконаних на прозорій плівці. Транспаранти можна показувати як поодинці, так і серією. За рахунок послідовного накладення одного транспаранта на іншій створюється ілюзія руху і розвитку. Графопроектор допомагає вчителю піднести учбовий матеріал поетапно, логічними частинами. Це сприяє кращому розумінню, засвоєнню матеріалу, увага школярів концентрується на найголовніше. Інформацію на плівку наносять за допомогою копіювального апарату (заздалегідь виготовивши оригінал на білому папері), лазерним або струменевим принтером або уручну фломастером. Плівка з інформацією кладеться на робоче поле проектора, яке просвічується від спеціального джерела світла. Використання транспарантів до графопроектору в процесі навчання сприяє формуванню у учнів уміння аналізувати, порівнювати, зіставляти і синтезувати. Слайд-проектори Ці прилади розраховані на використовування стандартних слайдів 24х36 мм Застосовуються слайд-проектори з прямокутними магазинами місткістю 50-100 слайдів і карусельні місткістю 80-140 слайдів. Відомі різні модифікації слайд-проекторів, відмінні набором додаткових функціональних можливостей. Відеопроектор – цей електронно-оптичний пристрій, призначений для проектування на екран інформації, що поступає у формі відеосигналу. Як джерело даних може використовуватися відеомагнітофон або відеокамера. Відеопроектори, додатково оснащені комп'ютерними входами (що дозволяє проектувати дані безпосередньо з комп'ютера), називають мультимедійними проекторами Мультимедійні проектори оснащуються спеціальною інфрачервоною системою, що дозволяє маніпулювати мишею на великому екрані і тим самим дистанційно управляти роботою комп'ютера. Уроки із застосуванням мультимедійних засобів навчання викликають у учнів інтерес, примушують працювати всіх. Використовування мультимедіа на практичних заняттях перетворює їх на творчий процес, дозволяє здійснити принципи розвиваючого навчання, допомагає створювати умови успішності кожного учня на уроці, дає можливість забезпечити заняття динамічною наочністю, збільшити кількість тренувальних завдань, збільшити темп виконання робіт учнями, диференціації їхньої діяльності, наявність зворотнього зв’язку, об’єктивність контролю, підвищення мотивації навчання. 2. Методика вивчення тригонометричних функцій в старшій школі У відповідності до програм 12-ти річної школи тема «Тригонометричні функції» в курсі алгебри і початків аналізу в старшій школі вивчається як друга у 10 класі. Під час вивчення теми «Тригонометричні функції» в курсі алгебри і початків аналізу в 10 класі знання учнів формуються на основі відновлених на початку навчального року знань про функції їх властивості та графіки (синус, косинус і тангенс зокрема). Основна увага має бути зосереджена на розгляді тригонометричних функцій будь-якого числового аргументу і основних тригонометричних тотожностей. Доцільно попередньо повторити і розширити відомості про радіанну систему вимірювання кутів і дуг. 2.1 Радіанна міра кутів і дуг Перш ніж вводити поняття тригонометричної функції числового аргументу, доцільно докладніше, ніж у курсі геометрії 9 класу, розглянути поняття «радіанна міра кута». Потрібно пояснити причину її введення, специфіку і переваги перед іншими системами вимірювання кутів. Можна нагадати учням про різні системи вимірювання кутів. Радіанну міру кутів широко використовують у математиці, фізиці, техніці. Передумовою її запровадження був такий факт: якщо розглянути два концентричні кола радіусів
Поділивши обидві частини кожної з чотирьох рівностей на відповідний радіус, дістанемо:
Звідси
Якщо Якщо Для радіанної міри кута і відповідної одиниці традиційно не запроваджено позначення. Тому якщо розглядають тригонометричну функцію кута, міра якого виражена в градусах, наприклад
Деякі учні помилково вважають, що символ Специфікою радіанної міри є й те, що радіан міститься в розгорнутому куті
Найбільшою перевагою радіанної міри – для малих кутів, виміряних у радіанах, виконуються наближені рівності Практика свідчить, що виведення формул переходу від градусної міри кута до радіанної і навпаки не спричинює труднощів в учнів. Помилок вони припускаються, здебільшого заокруглюючи наближені значення, отримані під час застосування згаданих формул. 2.2 Введення поняття тригонометричних функцій числового аргументу Насамперед потрібно згадати означення тригонометричних функцій кута і поширити їх на будь-яку градусну міру, ввести кут повороту. Крім того, слід переконати учнів, що існує відповідність між множиною дійсних чисел і множиною точок одиничного кола, для чого попередньо виконати таку вправу. Приклад 1. Позначити на одиничному колі точки Розв'язання. За Оскільки т. Числу Розв'язуючи цю вправу, небажано переходити від радіанної міри до градусної, хоч учням легше замінити 1 рад на 57°, а На завершення розв'язування цієї вправи доцільно розглянути координатну вісь, яка є дотичною до одиничного кола в т.Р0(1;0), має початком відліку цю точку й одиницю відліку, що дорівнює радіусу одиничного кола. Якщо намотувати цю координатну вісь на одиничне коло, то наочно виявляється відповідність між множиною R дійсних чисел і множиною точок одиничного кола. Увагу учнів звертають на те, що кожній т. Означення 1. Синусом числа Означення 2. Косинусом числа повороті навколо центра кола на кут Означення 3. Тангенсом числа Отже, за означенням, Оскільки кожному дійсному числу Міркуючи аналогічно, можна зробити висновок, що функція Для побудови графіків функцій Послуговуючись означеннями 1 – 3, потрібно колективно дослідити характер зміни значень кожної з тригонометричних функцій та їхніх знаків. Для тангенса і котангенса зручно використати їхні лінії як дотичні до одиничного кола. Запам'ятовуванню знаків функції по координатних чвертях сприяє схема (Рис. 2.3.).
Рис. 2.3 З метою повторення відомостей з курсу геометрії про значення тригонометричних функцій кутів 30°, 45°, 60° слід знайти ці значення для відповідних радіанних мір. Приклад 2. Знайти значення всіх чотирьох тригонометричних функцій числа Розв'язання. Щоб знайти
Аналогічно можна знайти значення тригонометричних функцій чисел Таблиця 2.1.
Щоб учні легше запам’ятали значення тригонометричних функцій для деяких кутів, доцільно використовувати модель тригонометра (Рис. 2.5.). Його використання дає змогу не зазубрювати таблицю значень тригонометричних функцій від 0 до Мнемонічне правило (для тригонометра) 1. Якщо кут Якщо кут 2. Перед новою функцією записується той знак, який мала функція, що зводилася.
Рис. 2.5. 2.3 Вивчення властивостей тригонометричних функцій Перш ніж вивчати властивості тригонометричних функцій, попередньо потрібно довести їхню періодичність і, послуговуючись означенням та цією властивістю, побудувати графіки. Графіки дають змогу виявити інші властивості, а потім обгрунтувати їх аналітично. Використовуючи означення синуса і косинуса числового аргументу та враховуючи їх геометричну інтерпретацію на одиничному колі, матимемо Доведемо методом від супротивного, що найменшим додатним періодом синуса і косинуса є число Припустимо, що існує додатне число Аналогічно, взявши рівність Доведемо, що число Доцільно розглянути сім властивостей тригонометричних функцій і систематизувати їх так, як це наведено для функції у = sin х. 1. Оскільки синус існує для будь-якого дійсного числа і як ордината точки одиничного кола змінюється на відрізку 2. Графік функції симетричний відносно початку координат, тобто функція у=sin х непарна. Доведемо це за допомогою одиничного кола. Область визначення цієї функції – множина, симетрична відносно початку координат. Залишається довести, що 3. Функція періодична з найменшим додатним періодом 4. Функція набуває значення, що дорівнює 0 (нулі функцій) при 5. Проміжки зростання функції – відрізки
де
Доведемо, що різниця
6. Проміжками, де синус додатний, є 7. Синус досягає максимуму, що дорівнює 1, в точках За такою самою схемою вводяться властивості функцій З метою закріплення вивчених властивостей тригонометричних функцій і повторення основних понять щодо функцій можна запропонувати вправи на знаходження області визначення й області значень складних функцій, формули яких містять тригонометричні функції; на порівняння числових значень тригонометричних виразів; на побудову графіків складних тригонометричних функцій за допомогою геометричних перетворень відомих графіків функцій. 2.4 Перетворення тригонометричних виразів Для тотожних перетворень тригонометричних виразів необхідні знання формул і вміння ними користуватися. Запам'ятовування й застосування тригонометричних формул полегшується, якщо вводити формули групами: співвідношення між тригонометричними функціями одного аргументу; формули додавання, формули подвоєного аргументу; формули половинного аргументу (формули пониження степеня); формули перетворення суми й різниці тригонометричних функцій на добуток; формули перетворення добутку тригонометричних функцій на суму; вираження тригонометричних функцій через тангенс половинного аргументу (універсальна тригонометрична підстановка). Доцільно підкреслювати, що, наприклад, сума (різниця) синусів або косинусів перетворюютъся в добуток, а у формулах половинного аргументу — аргумент збільшується вдвічі, а степінь зменшується вдвічі. Учням корисно мати на картці, або на останній сторінці зошита, а ще краще — на зворотному боці тригонометра ці формули. Мінімум формул можна записати такими блоками. Співвідношення між тригонометричними функціями одного аргументу
Формули додавання, формули подвоєного аргументу
Формули пониження степеня
Формули перетворення суми й різниці тригонометричних функцій у добуток
Універсальна тригонометрична підстановка
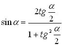
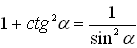
Як же учневі навчитися користуватися цими формулами? Корисно дати учням деякі поради щодо тотожних перетворень тригонометричних функцій: одиницю можна подати у вигляді суми якщо зустрічаються всі тригонометричні функції ( якщо можливо, то звести тригонометричні функції до однакового аргументу; якщо в сумі більш ніж два доданки зрізними аргументами, то згрупувати їх і застосувати формули перетворення суми й різниці тригонометричних функцій у добуток; якщо аргумент має вигляд якщо до аргументу додається універсальну тригонометричну підстановку застосовувати в особливих випадках. Тригонометричні перетворення ускладнюються, якщо потрібно виконати алгебраїчні перетворення. 3. Фрагменти уроків з використанням мультимедійних засобів навчання 3.1 Урок №1 Тема. Тригонометричні функції кута та числового аргументу. Мета. Повторити означення тригонометричних функцій гострого кута прямокутного трикутника і ввести означення тригонометричної функції довільного кута. Формування поняття тригонометричних функцій числового аргументу; вивчення значень тригонометричних функцій деяких чисел (кутів). Тип уроку: Пояснення нового матеріалу. Обладнання: Кодоскоп із заготовленими плівками (Додатки 1 – 4), підручник «Алгебра і початки аналізу. 10 клас» Нелін Є. П. Хід уроку ІV. Пояснення нового матеріалу Розглянемо на координатній площині коло радіуса 1 з центром у початку координат, яке називають одиничним (рис. 1. Додаток №1. Кодоплівка №1 кладеться на робоче місце проектора). Позначимо точку Далі слід виконати вправу 1 із підручника/
Перевіряємо правильність виконання вправи. (Додаток №1. Кодоплівка №2 кладеться на робоче місце проектора) Якщо Якщо точка Р відповідає числу Виконання вправ: 2. Позначте на одиночному колі точки, які відповідають числам: а) б) Відповідь. а) рис. 2.(кожна чверть кола поділена на дві рівні частини); б) рис. 3 (кожна чверть кола поділена на 3 рівні частини). Перевіряємо правильність виконання вправи. (Додаток №2. Кодоплівка №3 кладеться на робоче місце проектора)
Синусом числа Синус визначений для будь-якого числа Косинусом числа Виконання вправ 1. Обчисліть: a) cos Відповіді. а) –1; б) 0; в) 0; г) 1. 2. Обчисліть: а) в) Відповіді: а) 0; б) –1; в) –1; г) 2. Тангенсом числа Котангенсом числа Значення тригонометричних функцій деяких чисел. Через те, що поворот на кут в Заповнимо таблицю значень синуса, косинуса, тангенса і котангенса деяких чисел (таблиця 1. Додаток №3. Кодоплівка №5 кладеться на робоче місце проектора). Таблиця 1.
VII. Підведення підсумків уроку Завдання класу: Сформулюйте означення тригонометричних функцій: а) гострого кута прямокутного трикутника; б) довільного кута (за допомогою кола радіуса R з центром у початку координат та за допомогою одиничного кола; в) Заповніть пропуски в таблиці 2(Додаток №3. Кодоплівка №6 кладеться на робоче місце проектора) Таблиця 2
г) Заповніть пропуски в таблиці 3 (Додаток №4. Кодоплівка №7 кладеться на робоче місце проектора) Таблиця 3
д) Заповніть таблицю 4 значень тригонометричних функцій. (Додаток №4. Кодоплівка №8 кладеться на робоче місце проектора) Таблиця 4
Підводиться загальний підсумок уроку. Тема: Побудова графіків синуса, косинуса, тангенса і котангенса та їх властивості. Мета: Побудова графіків функцій Тип уроку: Пояснення нового матеріалу. Обладнання: Комп’ютер, мультимедійний проектор, мультимедійна презентація створена засобами Microsoft PowerPoint, підручник «Алгебра і початки аналізу. 10 клас» Нелін Є. П. Хід уроку ІV. Пояснення нового матеріалу Для побудови графіка функції
Рис. 1. Потім розділимо другу, третю і четверту чверті одиничного кола також на три рівні частини і перенесемо значення синуса до відповідних точок осі Ох. Послідовно з'єднавши всі отримані точки, одержимо графік функції у=sinx на проміжку Через те, що функція у=sinх періодична з періодом
Рис. 2. Спираючись на одержаний графік, учні з допомогою вчителя описують властивості даної функції. Крива, яка є графіком функції у=sinx, називається синусоїдою. (Диск. Презентація1. Слайд 3.) Графік функції Щоб спростити побудову відрізків, які дорівнюють значенню косинуса, досить повернути одиничне коло навколо центра на 90°, а далі зробити так, як і при побудові синусоїди. Графік функції (Диск. Презентація1. Слайд 4. самоперевірка учнів)
Рис. 3. Оскільки функція у=cosх періодична з періодом
Рис. 4. Спираючись на одержаний графік, учні з допомогою вчителя описують властивості даної функції. Графік функції у=cosx називається косинусоїдою.(Диск. Презентація1. Слайд 5.) Його можна також отримати з графіка функції у=sinx за допомогою геометричних перетворень, якщо врахувати, що Графік функції На вісь Ох нанесемо точки
Рис. 5. Рис. 6. Так як функція Спираючись на одержаний графік, учні з допомогою вчителя описують властивості даної функції. Графік функції Графік функції у=ctgx можна побудувати аналогічно. Для того щоб спростити побудову відрізків, які дорівнюють значенню котангенса, достатньо побудувати лінію котангенсів і повернути одиничне коло на — 90°, а далі зробити так, як і при побудові тангенсоїди. Графік функції у=ctgх на проміжку
Рис. 7. Оскільки функція у=ctgх періодична з періодом
Рис. 8. Спираючись на одержаний графік, учні з допомогою вчителя описують властивості даної функції. Графік функції Тема. Побудова графіків тригонометричних функцій. Мета Формування вмінь будувати графіки функцій Тип уроку: Формування умінь і навичок Обладнання: Комп’ютерний клас, програма Advanced Grapher, підручник «Алгебра і початки аналізу. 10 клас» Нелін Є. П. Хід уроку IV. Формування вмінь учнів будувати графіки тригонометричних функцій з використанням геометричних перетворень графіків відомих тригонометричних функцій 1. Розглянути побудову графіків функцій 2. Фронтальне виконання вправи 6 (рис. 1—8).
Рис. 1. Вчитель демонструє побудову графіка в програмі Advanced Grapher. Після запуску програми відкривається її головне вікно. В рядкові Меню обираємо Графики – Создать. З’являється діалогове вікно. В рядку Формула вводимо нашу формулу
Рис. 2.
Рис. 3 Завдання 3), 4) та 5) діти виконують на комп’ютері
Рис. 4
Рис. 5
Рис. 6
Рис. 7
Рис. 8. Графіки 1—6 слід побудувати один під одним так, щоб осі Оу збігалися. Нулі функцій і проміжки знакосталості можна вказати усно: Учні самостійно виконують вправи: Варіант 1 — вправа 8, варіант 2 — вправа 9. Графіки 1—5 побудувати один під одним так, щоб осі Оу збіглися. Виконують самоперевірку правильності виконання вправ за допомогою програми Advanced Grapher. В даній курсовій роботі здійснена спроба розробити методику вивчення тригонометричних функцій в старшій школі з використанням мультимедійних засобів навчання. При проведені дослідження були виконані такі завдання: 1. Були опрацьовані статті та навчально – методична література по даній темі; 2. Підібраний теоретичний матеріал по темі «Тригонометричні функції»; 3. Розглянуті основні методи та прийоми викладу матеріалу; 4. Дослідила принцип дії мультимедійних засобів навчання та їх вплив на навчальний процес; 5. Були розроблені фрагменти уроків по даній темі з використанням мультимедійних засобів навчання. Уроки із застосуванням мультимедійних засобів навчання викликають у учнів інтерес, примушують працювати всіх. Використання мультимедіа на практичних заняттях перетворює їх на творчий процес, дозволяє здійснити принципи розвиваючого навчання, допомагає створювати умови успішності кожного учня на уроці, дає можливість забезпечити заняття динамічною наочністю, збільшити кількість тренувальних завдань, збільшити темп виконання робіт учнями, диференціації їхньої діяльності, наявність зворотнього зв’язку, об’єктивність контролю, підвищення мотивації навчання. Список використаної літератури 1. Слєпкань З.І. Методика навчання математики. – К.,: «Зодіак-ЕКО», 2000. 2. Македонська С.І. Побудова графіків тригонометричних функцій // Математика. – 2003. –березень (№12) –с.8–11. 3. Цукарь А.Я. Вправи практичного характеру з тригонометрії // Математика в школах України. – 1993. – №3 4. Інтерактивні технології на уроках математики: Навч. - метод. Посібник / Упоряд. І.С. Маркова – Х.: Вид. група «Основа». 2007 – 126с. 5. Урок математики в сучасних технологіях: теорія і практика: Метод проектів. Комп’ютерні технології. Розвивальне навчання / Упоряд. І. С. Маркова – Х.: Вид. група «Тріада». 2007 – 171с. 6. Урок математики в сучасних технологіях: теорія і практика: Розвиток критичного мислення: Навч. – метод. посібник / Упоряд. І.С. Маркова – Х.: Вид. група «Основа». 2007 – 125с 7. Капіносов А.М. Основи технології навчання. Проектуємо урок математики – Х.: Вид. група «Основа». 2006.–140с. 8. Кларин М.В. Интерактивное обучение – инструмент освоения нового опыта // Педагогика. – 2000. – № 7. – с. 12–18. 9. Пометун О.І, Пироженко Л.В. Інтерактивні технології навчання: теорія, практика, досвід. – К., 2002. 10. Пометун О.І., Пироженко Л.В. Сучасний урок. Інтерактивні технології навчання: Наук.-метод. пос. – К.: Вид-во А.С.К., 2003. – 192 с. Додаток 1 Кодоплівка №1
Кодоплівка №2
Додаток 2 Кодоплівка №3
Додаток 3 Кодоплівка №5
Кодоплівка №6
Додаток 4 Кодоплівка №7
Кодоплівка №8
|
,
,
,
.
,
.
,
).
, а
. Оскільки у прямокутному трикутнику катет, що лежить напроти кута
,
,
.

. Однак синус може дорівнювати 1 лише в т.
,
. Скористаємось означенням зростаючої функції. Нехай
і 
,
.
,
,
.












осі абсцис. Перенесемо значення синуса до відповідних точок осі Ох. Одержимо точки, які треба з'єднати плавною лінією (Диск. Презентація1. Слайд 1.Слайд 2.).



(див. с 62 підручника).
, довжина якого дорівнює періоду
,
. Знайдемо значення тангенсів чисел 



, 



















