Курсовая работа: Технико-экономический анализ деятельности предприятия

Название: Технико-экономический анализ деятельности предприятия
Раздел: Рефераты по экономике
Тип: курсовая работа

Межотраслевой институт повышения квалификации кадров по новым направлениям развития техники и технологии при БГПА

Контрольная работа

по курсу: «Технико-экономический анализ деятельности предприятия. Обоснование

управленческих решений»

Исполнитель: Кистенюк С.А.

Руководитель: Адаменкова С.И.

Минск

2000

р аздел 1. Аналитический обзор деятельности предприятия « N »

Таблица 1. Основные экономические показатели работы предприятия «N» за период с 1-ого по 3-ий год (данные приведены в сопоставимый вид).

Показатели

Годы
1-ый 2-ой 3-ий
План Факт % вып. плана План Факт % вып. плана Темп роста к факту 1-ого года План Факт % вып. плана Темп роста к факту 1-ого года
1 2 3 4 5 6 7 8 9 10 11 12
1. Товарная продукция, млн.руб.

1000

1200 120 1100 1150 104,55 95,83 1120 1130 100,89 94,17
2. Реализованная продукция, млн.руб. 1000 1100 110 950 980 103,16 89,09 970 900 92,78 81,82
3. Численность пром.-произв. персонала, чел. 300 350 116,67 280 300 107,14 85,71 250 270 108,00 77,14

4. Среднегодовая выработка ТП на 1 работающего ППП, тыс.руб.

(стр.1/стр.3)

3333,33 3428,57 102,86 3928,57 3833,33 97,58 111,81 4480,00 4185,19 93,42 122,07
5. Среднегодовая стоимость ОФ, млн.руб. 5000 5400 108,00 6000 6100 101,67 112,96 6200 6500 104,84 120,37

В том числе:

6. Среднегодовая стоимость активной части ОФ, млн.руб.

3000 3000 100,00 3600 3700 102,78 123,33 4000 4100 102,50 136,67

7. Фондоотдача с 1 рубля ОФ, руб.

(стр.1/стр.5)

0,20 0,22 111,11 0,18 0,19 102,83 84,84 0,18 0,17 96,24 78,23

8. Фондовооруженность труда по активной части ОФ, млн.руб.

(стр.6/стр.3)

10,00 8,57 85,71 12,86 12,33 95,93 143,89 16,00 15,19 94,91 177,16
9. Стоимость израсходованных на производство продукции материалов, млн.руб. 400 500 125,00 450 480 106,67 96,00 550 545 99,09 109,00

10. Материалоотдача с 1 руб. израсходованных материалов, руб.

(стр.1/стр.9)

2,50 2,40 96,00 2,44 2,40 98,01 99,83 2,04 2,07 101,82 86,39
11. Фонд заработной платы ППП, млн.руб. 330 420 127,27 364 420 115,38 100,00 362 405 111,88 96,43

12. Средняя заработная плата 1 работающего ППП, тыс.руб.

(стр.11/стр.3)

1100 1200 109,09 1300 1400 107,69 116,67 1448 1500 103,59 125,00
13. Себестоимость товарной продукции, млн.руб. 800 1080 135,00 900 1050 116,67 97,22 1000 1110 111,00 102,78
14. Затраты на 1 руб. ТП, коп. (стр.13/стр.1) 80,00 90,00 112,50 81,82 91,30 111,59 101,45 89,29 98,23 110,02 109,14
15.Рентабельность товарной продукции, % 25,00 19,44 77,78 24,44 19,05 77,92 97,96 12,00 18,92 157,66 97,30
16. Прибыль от реализации продукции, млн.руб. 200 210 105,00 220 200 90,91 95,24 120 210 175,00 100,00
17. Среднегодовые остатки оборотных средств, млн.руб. 330 350 106,06 400 450 112,50 128,57 500 565 113,00 161,43
18. Оборачиваемость оборотных средств, дней 118,8 114,5 96,42 151,6 165,3 109,06 144,31 185,6 226,0 121,79 197,30
19. Балансовая прибыль, млн.руб. 300 320 106,67 300 310 103,33 96,88 300 280 93,33 87,50
20. Рентабельность имущества, % 6,0 5,9 98,77 5,0 5,1 101,64 85,76 4,8 4,3 89,03 72,69

На основании данных таблицы 1 можно сделать следующие выводы относительно деятельности предприятия «N» за три года:

Предприятие выполняло план по выпуску продукции на протяжении всех трех лет. Следует отметить, что план второго года по выпуску продукции был намечен реально (1100 млн.руб.) исходя из реального выпуска товарной продукции (ТП) в 1-ом году (1200 млн.руб.) и был выполнен на 104,55%, однако фактический выпуск продукции во втором году был меньше (1150 млн.руб.), чем в первом (1200 млн.руб.). Это привело к тому, что темп роста выпуска ТП составил 95,83% к факту 1-ого года. Что же касается 3-его года, то плановый показатель выпуска ТП был принят реальным (1120 млн.руб.) по отношению к фактическому выпуску в 1-ом году (1200 млн.руб.), а также реальным, но достаточно напряженным по отношению к фактическому выпуску во 2-ом году (1150 млн.руб.). Однако, не смотря на это, план все же был выполнен на 100,89%. Темп роста же выпуска ТП по отношению к факту 1-ого года составил еще меньшее значение, чем во втором году, т.е. фактический выпуск продукции сократился по сравнению с 1-ым годом.

Относительно реализации продукции можно отметить следующее: в 1-ом году предприятие выполнило план по реализации продукции на 110%; однако во 2-ом году было запланировано реализовать меньшее количество продукции (950 млн.руб.) по сравнению даже с плановым показателем 1-ого года (1000 млн.руб.). План 2-ого года был выполнен на 103,16%, но темп роста к факту 1-ого года составил 89,09%, это говорит о том, что во 2-ом году фактически было реализовано продукции меньше (980 млн.руб.), чем в 1-ом году (1100 млн.руб.). В третьем году плановый показатель реализации продукции был принят достаточно напряженным (970 млн.руб.) по отношению к факту 2-ого года (980 млн.руб.). В результате он оказался не выполненным (900 млн.руб.), что соответственно привело к уменьшению темпа роста к факту 1-ого года. Этот показатель составил 81,82%.

В 1-ом году фактическая себестоимость ТП (1080 млн.руб.) превысила плановую (800 млн.руб.) на 35%. Во 2-ом году было запланировано значительное снижение себестоимости по сравнению с фактом 1-ого года. В результате себестоимость по отношению к факту 1-ого года (1080 млн.руб.) снизилась (1050 млн.руб.), однако план (900 млн.руб.) оказался не выполненным. В 3-ем году было запланировано незначительное снижение себестоимости ТП по отношению к факту 2-ого года. Но не удалось даже сохранить фактическую себестоимость 2-ого года.

В первые два года предприятие выполняло план по рентабельности ТП всего лишь на 78%. Причем фактические показатели отличались на десятые доли – в 1-ом году 19,44%, во 2-ом 19,05%. В третьем году показатель рентабельности предположительно должен был составить 12%, что представляло меньшее значение по сравнению с фактом 1-ого и 2-ого годов, а, следовательно, и с планом первых двух лет. В результате в 3-ем году удалось выполнить план на 157,66%, однако фактически показатель составил 18,92%. Это привело к тому, что темп роста к факту 1-ого года составил 97,3%.

В первом году наблюдалось получение прибыли в размере 105% по отношению к плану. На 2-ой год запланировано увеличение прибыли по сравнению с фактом 1-ого года. Однако выполнить этот показатель удалось только на 90,91%. В результате темп роста составил 95,24%. На 3-ий год было запланировано получение значительно меньшей прибыли (120 млн.руб.) по сравнению с предыдущими годами. Однако деятельность предприятия дала хорошие результаты, и план был выполнен на 175%. Темп роста к 1-ому году составил 100%.

В 1-ом году предприятие выпустило ТП на сумму 1200 млн.руб. вместо запланированных 1000 млн.руб.. Предприятие выполнило план реализации на 110%. Увеличение реализации достигнуто за счет сверхпланового выпуска ТП на 200 млн.руб. (1200 – 1000). Во 2-ом году

На

Раздел 2. углубленный экономический анализ за 3-ий год

Задача 1.

Таблица 2.

Показатели План Факт Отклонение от плана (+,-) Основные факторы, влияющие на отклонение от плана по товарной продукции
1 2 3 4 5
1. Отработано тысяч машино-часов 10 12 +2 +2
2. Выпуск ТП за 1 машино-час, тыс.руб. 40 25 -15 -15

3. Общий выпуск ТП по изделию «А», млн.руб.

(стр.1*стр.2)

400

300

-100

-100

Факторная модель:

Q = ВТП*t,

где ВТП – выпуск ТП за 1 машино-час;

t – отработанное количество машино-часов.

ΔQ = Qф – Qпл = 300 – 400 = -100 млн.руб.

ΔQВтп = ВТП.ф*tпл – ВТП.пл*tпл = 25*10 – 40*10 = -150 млн.руб.

ΔQt = ВТП.ф*tф – ВТП.ф*tпл = 25*12 – 25*10 = +50 млн.руб.

ΔQ = ΔQВтп + ΔQt = -150 + 50 = -100 млн.руб.

При условии сохранения количества отработанных машино-часов на уровне плана предприятие выпустило бы на 150 млн.руб. товарной продукции меньше по сравнению с планом. За счет увеличения количества отработанных машино-часов предприятие выпустило на 50 млн.руб. больше продукции. В результате увеличения количества отработанных машино-часов и уменьшения выпуска ТП за 1 машино-час предприятие недовыполнило план по выпуску ТП на 100 млн.руб.

Руководству цеха и предприятия следует обратить внимание на причины, обусловившие снижение выпуска товарной продукции за 1 машино-час и разработать мероприятия по их устранению.

Задача 2.

Таблица 3.

Показатели План Факт Отклонение от плана (+,-)
1 2 3 4
1. Поступило материала «А», тыс.м.куб. 2,4 2,5 -0,3
2. Остатки материала «А» на складе, тыс.м.куб.

1,5

1,5

3. Израсходовано материала «А» на выпуск изделия «Б», тыс.м.куб. (стр.5*стр.4)

2,4

4,0

1,2

4. Норма расхода материала «А» на выпуск единицы изделия, м.куб.

0,24

0,4

0,12

5. Выпуск изделия «Б», тыс.шт. 10 10 0,00
6. Плановая цена единицы изделия, тыс.руб. 5 5 0,00
7. Товарная продукция по изделию «Б», млн.руб. (стр.5*стр.6)

50

50

0,00

8. Цена метра куб. материала «А», тыс.руб. 2,0

Доход от реализации изделия «Б» записывается следующим образом:

Д = Q – МЗ.

ΔД = Дф – Дпл = (Qф – МЗф) - (Qпл – МЗпл) =

= (50 – 4,0*2,0) – (50 – 2,4*2,0) = - 3,2 млн.руб.

Таким образом, доход от реализации изделия «Б» снизился на 3,2 млн.руб.

Как видно из таблицы 3 цена на одно изделие и количество выпускаемой продукции, составили плановые показатели. Таким образом, на снижение дохода оказало влияние изменение материальных затрат.

Для анализа потерь в связи с плохим материально-техническим снабжением и нерациональным использованием материалов составим факторную модель:

МЗ = Нр*Цм*N

ΔМЗ = МЗф – МЗпл = Нр.ф.*Цм.ф*NФ - Нр.пл.*Цм.пл*Nпл =

= 0,4*2,0*10 – 0,24*2,0*10 = 3,2 млн.руб.

ΔМЗНр = Нр.ф* Цм.пл*Nпл - Нр.пл* Цм.пл*Nпл =

= 0,4*2,0*10 – 0,24*2,0*10 = 3,2 млн.руб.

ΔМЗЦм = Нр.ф* Цм.ф*Nпл - Нр.ф* Цм.пл*Nпл =

= 0,4*2,0*10 – 0,4*2,0*10 = 0,0

ΔМЗN = Нр.ф* Цм.ф*Nф - Нр.ф* Цм.ф*Nпл =

= 0,4*2,0*10 – 0,4*2,0*10 = 0,0

Определим влияние изменения нормы расхода, поступления и остатков материала на объем выпуска продукции. Для этого составим факторную модель:

тыс.шт.

тыс.шт.

тыс.шт.

При условии сохранения поступления материалов и нормы расхода на уровне плана предприятие перевыполнило план производства продукции на 6,3 тыс.шт. За счет увеличения поступления материалов на склад при плановой норме расхода предприятие выпустило на 0,4 тыс.шт. изделий большее. Однако, за счет увеличения нормы расхода произошло снижение выпуска продукции на 6,7 тыс.шт. В результате предприятие выпустило такое количество продукции, какое было запланировано.

Руководству предприятия необходимо обратить внимание на причины, которые привели к увеличению нормы расхода материала и принять меры по снижению этого показателя. Кроме того, необходимо проконтролировать поставку материалов и принять меры по улучшению материально-технического снабжения.

Задача 3.

Таблица 4.

Показатели План Факт
1 2 3
1. Фонд заработной платы рабочих, млн.руб. 12,0 18,0

В том числе:

- оплата по сдельным расценкам

8

8,8

- оплата по должностным окладам 4 5,2
- доплата за отклонения от нормальных условий работы 3,2
- доплата за сверхурочные работы 0,5
- доплата за целодневные простои по вине предприятия 0,3
2. Среднечасовая заработная плата рабочего, руб. 2000
3. Среднечасовая выработка ТП рабочим, млн.руб. 3000

а) Выплаты, связанные с нерациональным использованием рабочего времени включают: доплаты за отклонение от нормальных условий работы (3,2 млн.руб.); доплаты за сверхурочные работы (0,5 млн.руб.); доплаты за целодневные простои по вине предприятия (0,3 млн.руб.). Общая сумма выплат составила 4 млн.руб. (3,2 + 0,5 + 0,3) или 4000 тыс.руб.

Так как среднечасовая заработная плата рабочего составляет 2000 руб., то потери рабочего времени равны 2000 часов (4000/2).

Зная среднечасовую выработку товарной продукции одним рабочим (3 тыс.руб./час), определим потери товарной продукции: 2000 * 3 = 6000 тыс.руб. или 6 млн.руб.

Таким образом, из-за нерационального использования рабочего времени в цехе № 3 было недополучено продукции на 6 млн.руб..

Руководству цеха и предприятия следует обратить внимание на причины, обусловившие нерациональное использование рабочего времени и разработать мероприятия по их устранению.

б) удорожание себестоимости продукции в связи с нерациональным использованием фонда заработной платы составило 5,2 млн.руб. (4 + 1,2). В том числе:

- за счет оплаты по должностным окладам 1,2 млн.руб. (5,2 – 4);

- за счет отклонений от нормальных условий работы 3,2 млн.руб.;

- за счет сверхурочных работ 0,5 млн.руб.;

- за счет целодневных простоев по вине предприятия 0,3 млн.руб..

Необходимо пересмотреть штатное расписание, по которому начисляются должностные оклады, а также проанализировать использование рабочего времени.

Задача 4.

Таблица 5.

Показатели План Факт
1 2 3
1. Отработано 1 рабочим дней в году 195 185
2. Неявки на работу – всего, дней 170 180

В том числе:

- прогулы

3

- целодневные простои 4
- болезни 3 7
3. Количество внутрисменных простоев, тыс.чел.часов 2,22
4. Количество рабочих в цехе, чел. 107 120
5. Выпуск продукции (изделия «Г») рабочим за 1 час, руб. 3000
6. Продолжительность рабочего дня, час 7,5 7,4

Факторная модель: Q = Ч · В = Чр · Д · t · вч.

Численность работающих по сравнению с планом увеличилась на 13 чел. (120 – 107) при сохранении всех факторов (времени, отработанного одним рабочим и часовой выработки на уровне плана) на предприятии получили прирост выпуска продукции на 78,98 млн.руб. (13*195*7,5*3000 = 57037,5 тыс.руб.).

Из-за уменьшения числа дней, отработанных одним рабочим, выпуск изделия сократился на 29,7 млн.руб. ((3 + 4 + 7 – 3)*120*7,5*3000 = 29700000 руб.).

В том числе:

- из-за прогулов 8,1 млн.руб. (3*120*7,5*3000);

- из-за целодневных простоев 10,8 млн.руб. (4*120*7,5*3000);

- из-за роста болезни 10,8 млн.руб. ((7 – 3)*120*7,5*3000).

На предприятии имеются внутрисменные потери времени, которые составили 2,22 тыс.чел.час. ((7,4 – 7,5)*120*185), которые привели к потере товарной продукции на 6,66 млн.руб. (2,22*3000).

Таким образом, общие потери ТП в цехе составили 33,66 млн.руб. (27 – 6,66).

Руководству цеха № 4 необходимо обратить внимание на причины возникновения целодневных и внутрисменных простоев и на возможности их устранения или сокращения, а также на повышение трудовой дисциплины в цехе.

Задача 5.

Факторами первого уровня, влияющими на фондоотдачу основных производственных фондов, являются: изменение доли активной части фондов в общей их сумме; изменение фондоотдачи активной части фондов:

ФО = УДак*ФОак.

Расчет влияния факторов осуществляем способом абсолютных разниц:

ΔФОуд = (УДак.ф – УДак.пл)*ФОак.пл. = (3000/5400 – 3000/5000)*(1000/3000) = - 0,01

ΔФОакт = (ФОак.ф - ФОак.пл.)*УДак.ф = (1200/3000 – 1000/3000)*(3000/5400) = + 0,03

ΔФО = ΔФОуд + ΔФОакт = -0,01 + 0,03 = 0,02

При условии сохранения фондоотдачи активной части фондов на уровне плана за счет уменьшения доли активной части фондов в общей их сумме на 0,04 (3000/5400 – 3000/5000) фондоотдача основных фондов уменьшилась на 0,01. За счет увеличения фондоотдачи активной части фондов на 0,07 (1200/3000 – 1000/3000) по сравнению с планом фондоотдача увеличилась на 0,03. Таким образом, за счет изменения указанных выше факторов произошло увеличение фондоотдачи основных фондов на 0,02.

Если бы фондоотдача активной части фондов осталась на уровне плана, то за счет уменьшения доли активной части фондов в общей их сумме фондоотдача основных фондов уменьшилась бы на 0,01.

Задача 6.

Таблица 6. Анализ реализации продукции.

Показатели

План Факт в ценах плана Отклонение от плана в ценах плана (+,-) Факторы, влияющие на отклонение от плана по реализованной продукции
По себестоимости В ценах плана
1 2 3 4 5 6
1. Остатки нереализованной продукции на начало года, млн.руб.

50

50

67

+17 = (67 – 50)

+17

2. Выпуск товарной продукции, млн.руб.

1000

1120

1100

-20

-20

3. Остатки нереализованной продукции на конец года, млн.руб.

200

200

267

+67 = (267–200)

-67

4. Реализованная продукция,

млн.руб. (стр.1 + стр.2 - стр.3)

850

970

900

-70 = (900 – 970)

-70

Дополнительная информация.

В составе нереализованной продукции в оценке по себестоимости на конец года находятся:

1. Готовая продукция – 50 млн.руб., при нормативе – 30 млн.руб.

2. Товары, отгруженные по документам, срок оплаты которых не наступил – 163 млн.руб.

3. Товары, отгруженные по неоплаченным в срок документам, - 10 млн.руб.

4. Товары на ответственном хранении у покупателя – 20 млн.руб.

5. В фактических остатках нереализованной продукции в оценке по себестоимости на начало года имеются неоплаченные в срок отгруженные товары – 40 млн.руб.

Предприятие имело в своем распоряжении готовой продукции на сумму 1167 млн.руб. (1100 + 67) вместо запланированных 1170 млн.руб. (1120 + 50), т.е. на 3 млн.руб. меньше (1167-1170).

Предприятие недовыполнило план реализации продукции на 70 млн.руб. (900 – 970).

Сокращение реализации произошло в результате увеличения остатков нереализованной продукции на конец года на 50 млн.руб. (67 – 17 = (267 – 200) – (67 – 50)) по сравнению с началом года.

Для выявления резервов по увеличению реализованной продукции за счет сокращения остатков готовой продукции на складе на конец анализируемого периода необходимо проанализировать причины увеличения остатков ГП на складе на конец анализируемого периода.

Для выяснения этих причин используем дополнительную информацию, которую сведем в таблицу 7.

Таблица 7. Расчет резервов по увеличению продукции по себестоимости, млн.руб.

Показатели (остатки нереализованной продукции на конец отчетного периода) Факт Норматив Сверхнормативный запас Резерв по увеличению реализованной продукции на конец года
1 2 3 4 5
1. Остаток ГП на конец года 50 30 +20 +20
2. Товары, отгруженные по документам, срок оплаты которых не наступил

163

3. Товары, отгруженные по неоплаченным в срок документам

10

+10

4. Товары на ответственном хранении у покупателя

20

+20

ИТОГО 243 +50

Рентабельность нереализованной продукции по себестоимости составила:

.

Резерв реализации продукции по себестоимости составил 50 млн.руб.

В том числе:

- за счет увеличения остатков готовой продукции на конец года 20 млн.руб.;

- за счет увеличения товаров, отгруженных по документам, срок оплаты которых еще не наступил;

- за счет увеличения товаров, находящихся на ответственном хранении у покупателя +20.

Резерв по цене составил следующее значение: 50*(100 + 8)/100 = 54 млн.руб.

Задача 7.

Таблица 8.

Состав затрат План, млн.руб. Факт, млн.руб. Отклонение (+,-)
1 2 3 4
общепроизводственныне расходы
1. Содержание цехового персонала 33 70 +37
2. Испытания, опыты, рационализация 2 13 +11
3. Охрана труда 5 4 -1
4. Потери от простоев - 3 +3
5. Итого затрат 40 90 +50
общехозяйственные расходы
6. Содержание аппарата управления 14 26 +12
7. Амортизация основных средств 6 4 -2
8. Подготовка кадров 5 5 0
9. Текущий ремонт зданий 10 12 +2
10. Непроизводственные расходы 3 +3
11. Итого затрат 35 50 +15

12. Доля условно-постоянных расходов в товарной продукции по плану, коэфф.

(стр.5 + стр.11)/стр.1,гр.9,табл.1

0,07

-

Задача 8.

Таблица 9. Анализ рентабельности продукции

Показатели

План,

млн.руб.

План в пересчете на фактически реализованную продукцию, млн.руб. Фактически в плановых ценах на продукцию, млн.руб. Фактически в фактических ценах на продукцию, млн.руб.
1 2 3 4 5
1. Полная себестоимость реализованной продукции

850

710

880

880

2. Реализованная продукция 970 900 900 1090
3. Прибыль от реализации продукции 120 190 20 210
4. Рентабельность реализованной продукции к цене, %

12,37

(120/970)

21,11

(190/900)

2,22

(20/900)

19,27

(210/1090)

5. Рентабельность реализованной продукции по себестоимости, %

14,12

(120/850)

26,76

(190/710)

2,27

(20/880)

23,86

(210/880)

На увеличении прибыли сказалось увеличение объема реализации продукции, рост себестоимости реализованной продукции, а также повышение среднего уровня цен.

При фактическом уровне затрат предприятие получило прибыль на сумму 20 млн.руб., а если бы уровень затрат не менялся, то прибыль составила бы 190 млн.руб.. В отчетном периоде произошел рост уровня затрат, в результате чего прибыль уменьшилась на 170 млн.руб. (20 – 190). Увеличение затрат на производство в значительной степени было компенсировано увеличением цен на продукцию.

За счет роста объема производства, увеличения цены и уровня затрат общий прирост прибыли составил 90 млн.руб. (70 – 170 + 190 = (190 – 120) + (20 – 190) + (210 – 20)).

На уровень рентабельности продукции повлияли следующие основные факторы: объем реализации продукции, ее себестоимость и средняя цена реализации.

ΔR = 19,27 - 12,37 = 6,9%

ΔRN = 21,11 - 12,37 = 8,74%

ΔRС = 2,22 - 21,11 = -18,89%

ΔRЦ = 19,27 - 2,22 = 17,05%

Δ R = 8,74 – 18,79 + 17,05 = 6,9%

План по уровню рентабельности перевыполнен в связи с повышением среднего уровня цен и общего объема реализации. Рост себестоимости реализованной продукции на 30 млн.руб. (880 – 850) вызвал снижение уровня рентабельности на 18,89 %.

Таблица 10. Обобщение результатов анализа.

Вид потерь Причины потерь Сумма, млн.руб. № задачи
1 2 3 4
1. потери товарной продукции
1.1. Использование трудовых ресурсов Нерациональное использование рабочего времени

6,0

3

Прогулы, целодневные простои, болезни

29,7

4

Уменьшение производительности рабочего дня

6,66

4

1.2. Нерациональное использование оборудования Уменьшение выпуска ТП за 1 машино-час 100 1
Итого по разделу 1 142,36
2. Потери реализованной продукции
2.1. Увеличение остатков на конец года Наличие сверхнормативного запаса 50 6
2.2. Потери ТП 142,36 Разд.1
Итого по разделу 2 192,36

3. Удорожание себестоимости

продукции

3.1 Нерациональное использование заработной платы Выплаты за нерациональное использование рабочего времени

5,2

3

3.2. 30 8
Итого по разделу 3 35,2
4. Потери прибыли
4.1.Увеличение ТП 90 8
Итого по разделу 4 90
5. увеличение среднегодовых остатков оборотных средств На начало года На конец года

Среднегодовые

Остатки

5.1. Наличие сверхнормативных остатков ГП 20 10 6
5.2. Товары отгруженные, но не оплаченные в срок 40 10 25 6
5.3. Товары на ответственном хранении у покупателя

20

10

6

5.4. Сверхнормативные непрокредитованные остатки

20

30

25

с.168

5.5. Излишние, ненужные материалы 30 15 с.168
Итого по разделу 5 60 110 85

Таблица 11. Обобщение результатов анализа

Показатели

Реализация продукции Себестоимость реализованной продукции Прибыль
План Факт Резерв (+,-) Факт с учетом резерва План Факт Резерв (+,-) Факт с учетом резерва План Факт Резерв (+,-) Факт с учетом резерва
1 2 3 4 5 = 3±4 6 7 8 9 = 7±8 10 11 12

13 = 12-11

по стр.3 = 11 - 12

1. Остатки нереализованной продукции на начало года, млн.руб.

50

67

-

67

50

40

-

40

-

+27

-

+27

2. Товарная продукция, млн.руб.

1120

1100

142,36

1242,36

1000

1083

220,5- -35,2

1268,3

120

17

220,5- -35,2

168,3

3. Остатки нереализованной продукции на конец года, млн.руб.

200

267

54

213

200

243

50

193

0

+20

+4

+16

Раздел 3. анализ финансового состояния предприятия

з адача 9.

таблица 12. БАЛАНС (в млн.руб.)

Актив На начало года На конец года Пассив На начало года На конец года
I. Долгосрочные активы I. источники собственных средств
1. Основные средства 5000 8000 1. Уставный фонд 3200 6800
2. Расчеты с учредителями 200 300 2. Резервный фонд 30 50
Итого по разделу I 5200 8300 3. Фонды специального назначения 100 150
II. нематериальные активы

100

200 4. Нераспределенная прибыль отчетного года

120

200

III. текущие активы Итого по разделу I 3450 7200
1. Производственные запасы 150 260 II. долгосрочные финансовые обязательства
2. Готовая продукция 40 50 1. Краткосрочные кредиты банка 1300 1300
3. Товары отгруженные 60 270 2. Долгосрочные займы 500 200
4. Расчеты с дебиторами 100 120 Итого по разделу II 1800 1500
5. Расчетный счет 30 40 III. расчеты и прочие пассивы
6. Ценные бумаги 20 60 1. Краткосрочные кредиты 100 150
Итого по разделу III 400 800 2. Расчеты с кредиторами 350 450
Итого по разделу III 450 600
БАЛАНС 5700 9300 БАЛАНС 5700 9300

Таблица 13. Показатели эффективности использования оборотных средств предприятия за 3-ий год

Показатели Прошлый год Отчетный год
1 2 3
1. Реализованная продукция в ценах плана отчетного года, млн. руб. 980 1090
2. Однодневный оборот по реализации, млн.руб. (стр.1/360)
3. Средние остатки оборотных средств, млн.руб. 450 565
4. Длительность одного оборота, дней
5. Прибыль балансовая, млн.руб. 310 280
6. Прибыль балансовая на 1 рубль оборотных средств, млн.руб.
7. Возможный объем реализации продукции с учетом выявленных потерь, млн.руб.
8. Средние остатки оборотных средств с учетом выявленных потерь, млн.руб.
9. Длительность одного оборота с учетом выявленных резервов, дней
10. Балансовая прибыль с учетом выявленных потерь, млн.руб.
11. Прибыль на 1 рубль оборотных средств с учетом выявленных потерь, млн.руб.

Раздел 4. Экономисеский анализ для принятия управленческих решений

Задача 10.

Таблица 14.

Показатели

Изделия

Ограничивающий фактор – машино-часы
«А» «Б» «В»
1 2 3 4 5
1. Валовая прибыль на 1 изделие, тыс.руб. 5 6 10
2. Затраты машино-часов на 1 изделие, часов 2 2 3
3. Спрос на изделие, штук 800 800 800
4. Общее количество времени работы машин, используемых для производства продукции, машино-часов

0

1600

2400

4000

Прибыль, получаемая за 1 машино-час при производстве изделий «А», «Б» и «В», соответственно составляет:

«А»: 5/2 = 2,5тыс.руб.

«Б»: 6/2 = 3,0 тыс.руб.

«В»: 10/3 = 3,3 тыс.руб.

На производство каждого из видов изделий в количестве, соответствующем спросу, требуется следующее количество машино-часов:

«А»: 2*800 = 1600 маш.-час.

«Б»: 2*800 = 1600 маш.-час.

«В»: 3*800 = 2400 маш.-час.

Таким образом, на основании полученных данных модно сделать вывод о том, что наиболее выгодно выпускать изделия «Б» и «В», удовлетворяя полностью потребительский спрос. Прибыль, получаемая при этом решении составит 12720 тыс.руб.(2400*3,3 + 1600*3).

Задача 11

Таблица 15. Исходные данные.

Показатель Обозначение Численное значение
1. Цена изделия, тыс.руб. Ц 65
2. Норма переменных расходов на единицу изделия, тыс.руб. Зперем 35
3. Общая величина постоянных расходов, тыс.руб. Зпост 8000
4. Прибыль, тыс.руб. П 7000

Между приведенными выше показателями существует следующая взаимосвязь:

П = (Ц - Зперем)*N – Зпост. (1)

Подставив численные значения в уравнение (1) и выразив из него выпуск продукции N, получим:

7000 = (65 – 35)*N – 8000;

Таким образом, для получения прибыли в размере 7000 тыс.руб. предприятию необходимо выпустить 5000 шт. изделий.

Задача 12.

Таблица 16.

Варианты Возможная цена реализации 1 изделия «А», тыс.руб. Количество реализуемых изделий, шт. Норма переменных расходов на единицу изделия, тыс.руб. Прибыль (без учета условно-постоянных затрат), тыс.руб. (расчет)
1 400 200 250 30000
2 700 100 300 40000
3 250 400 125 50000

Используя формулу (1) и данные таблицы 16 определим возможную прибыль для каждого из трех вариантов (без учета условно-постоянных затрат), результаты занесем в графу 4 таблицы 16.

Таким образом, следует отметить, что наибольшую прибыль предприятие получит при реализации 3-его варианта, т.е. если цена на изделие составит 250 тыс.руб.

Задача 13.

Таблица 17. Исходные данные.

Показатель Значение
1. Общая величина постоянных расходов, тыс.руб. 160
2. Цена изделия, тыс.руб. 30
3. Норма маржинальной прибыли на изделие, тыс.руб. 0,4

Точка безубыточного объема реализации продукции – точка, в которой расходы равны выручке от реализации продукции:

ВР = Р;

Ц*N = Рпост + N*Рп. (2)

Для аналитического решения задачи необходимо выразить переменные затраты и из уравнения (2) найти объем реализации, эта величина будет называться безубыточным объемом продаж.

Маржинальный доход можно выразить следующим образом:

Дм = ВР – Рп, (3)

где ВР – выручка от реализации продукции;

Рп – пропорциональные (переменные) затраты.

Разделив выражение (3) на объем производства N, получим:

Нм.д. = Ц – Рп.ед., (4)

где Нм.д. – норма маржинальной прибыли на одно изделие;

Ц – цена изделия;

Рп.ед. – переменные расходы на одно изделие.

Подставив в (4) численные значения и выразив Рп.ед., получим:

Рп.ед. = Ц – Нм.д. = 30 – 0,4 = 29,6 тыс.руб.

Следовательно:

30*N = 160 + 29,6*N;

N = 160/(30-29,6) = 400 шт.

Задача 14.

Таблица 18.

Годы Вариант I Вариант II
Сумма инвестирования, млн.руб. Денежные поступления, млн.руб. Коэффициент дисконтирования

ЧПС,

млн.руб.

Сумма инвестирования, млн.руб. Денежные поступления, млн.руб. Коэффициент дисконтирования

ЧПС,

млн.руб.

1994 6000 2000 0,909 -4182 5000 1500 0,909 -3636,5
1995 3000 0,826 -1621 2000 0,826 -1943
1996 7000 0,751 4343 10000 0,751 6868,5

На основании данных таблицы 18 можно сделать вывод о том, что второй вариант инвестирования капитала является более выгодным, так как чистая приведенная стоимость за 3-ий год составляет большее значение (6868,5 млн.руб.) по сравнению с ЧПС за этот же год по первому варианту (4343 млн.руб.).

Задача 15.

Таблица 19.

Годы Сумма, млн.руб.
1 год 100
2 год 500
3 год 1000
4 год 1200
5 год 2000

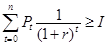
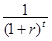
Показатель периода возврата на основе дисконтированных потоков выражает такой период времени, который достаточен для возмещения первоначальных затрат потоком денежных средств, приведенных к одному моменту времени. Расчет этого показателя может быть выполнен по формуле:

,

где Pt – поступление средств за t-й год;

I – суммарные инвестиции;

n – период возврата инвестиций;

- коэффициент дисконтирования.

1-ый год: 100 ‹ 3000;

2-ой год: 100 + 500 ‹ 3000;

3-ий год: 100 + 500 + 1000 ‹ 3000;

4-ый год: 100 + 500 + 1000 + 1200 ‹ 3000;

5-ый год: 100 + 500 + 1000 +1200 + 2000 › 3000

100 + 500 + 1000 + 1200 + 2000 – 3000 = 1800;

1800/2000 =0,9.

Таким образом, период самоокупаемости составит 4 + 0,9 = 4,9 года.