Реферат: Електропровідність діелектричних матеріалів та діелектричні втрати й пробої в них
|
Название: Електропровідність діелектричних матеріалів та діелектричні втрати й пробої в них Раздел: Рефераты по физике Тип: реферат | ||||||||||||||||||||||||||||
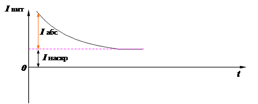
| ЖИТОМИРСЬКИЙ ВІЙСЬКОВИЙ ІНСТИТУТ ІМЕНІ С.П. КОРОЛЬОВА НАЦІОНАЛЬНОГО АВІАЦІЙНОГО УНІВЕРСИТЕТУ Електропровідність діелектричних матеріалів та діелектричні втрати й пробої в нихЖитомир 2008 План 1. Основні поняття з електропровідності діелектриків 2. Основні поняття про діелектричні втрати 3. Загальна характеристика явища пробою 1. Основні поняття з електропровідності діелектриків Всі діелектричні матеріали під впливом напруги пропускають дуже незначний струм, що має назву струму витікання. Чим меншої величини є цей струм тим меншою є електропровідність діелектрика, тобто вище його якість. Поляризаційні процеси зміщення зв’язаних зарядів в речовині до моменту встановлення стану рівноваги, протікають у часі, створюючи струми зміщення в діелектриках. Струми зміщення пружно зв’язаних зарядів при електронній та іонній поляризації є настільки короткочасними, що зафіксувати їх приладами дуже важко. Струми зміщення різних видів сповільненої поляризації, що спостерігаються у більшості технічних діелектриків, називаються абсорбційними струмами, які при: - постійній напрузі, протікають лише в момент вмикання та вимикання напруги, при цьому змінюючи свій напрямок; - змінній напрузі, протікають на протязі всього часу знаходження діелектричного матеріалу під дією змінного електричного поля. Наявність в технічному діелектрику невеликої кількості вільних зарядів приводить до виникнення незначних за величиною об’ємного та поверхневого наскрізних струмів J наскр = J наскр V + J наскр S . Повна щільність струму витікання в технічному діелектрику є сумою щільностей наскрізного струму та струму абсорбції: J вит = J наскр + JабсЩільність струму зміщення Jзм визначається швидкістю зміни вектора електричного зміщення (індукції) D:
що обумовлений миттєвими (електронними, іонними) та сповільненими зміщеннями зарядів. Залежність струму через діелектрик від часу показана на рис. 1.
Рис. 1. Як видно з рисунку, після завершення процесів поляризації через діелектрик протікає лише наскрізний струм. Провідність діелектрика при постійній напрузі визначається тільки наскрізним струмом, що супроводжується виділенням та нейтралізацією зарядів на електродах. При змінній напрузі активна провідність визначається як наскрізним струмом так і активними складовими абсорбційного струму. Особливістю електропровідності діелектриків у більшості випадках є її неелектронний (іонний) характер. Опір ізоляції діелектрика Rіз, що визначає величину наскрізного струму, може бути розрахований за формулою:
де U – величина прикладеної до діелектрика напруги; S Іабс – величина сумарного струму абсорбції, І вит – величина струму витікання. Для того щоб не склалося невірного уявлення про велику електропровідність діелектрика, при розрахунку його опору ізоляції величину струму крізь нього вимірюють через одну хвилину після вмикання джерела напруги. При цьому через діелектрик буде протікати тільки один струм - наскрізний. Для аналізу твердих електроізоляційних матеріалів розрізняють об’ємну та поверхневу електропровідності. Для порівняльної оцінки об’ємної та поверхневої електропровідності різних матеріалів користуються значеннями питомих об’ємногоrV та поверхневого rS опорів, а також обернено пропорційних їм питомих об’ємної gV та поверхневої провідності gS . Питомий об’ємний опір rV дорівнює об’ємному опору куба з ребром в 1 [м], подумки вирізаного з діелектричного матеріалу, що досліджується (якщо струм проходить крізь куб, від однієї його грані до протилежної), помноженому на 1 [м].
,
де: RV - об’ємний опір зразка матеріалу, [Ом]; S – площа електрода, [м2 ];h – товщина зразка, [м].Питома об’ємна провідність gV вимірюється в [См/м]. Питомий поверхневий опір rS дорівнює опору квадрату (будь-яких розмірів), подумки виділеного на поверхні матеріалу, якщо струм проходить через квадрат від однієї його сторони до протилежної.
[Ом],
де: RS – поверхневий опір зразка діелектрика, [Ом]; d – ширина електроду, [м]; ℓ – відстань між електродами, [м]. Питома поверхнева провідність gS вимірюється в [См]. Повна провідність твердого діелектрика, яка відповідає його опору ізоляції, складається з об’ємної та поверхневої провідності g = gV + gS . Електропровідність ізоляційних матеріалів залежить від: стану речовини (газоподібний, рідинний або твердий); параметрів навколишнього середовища (вологості і температури); величини напруженості електричного поля в зразку. Для конденсаторів добуток опору ізоляції діелектрика Rіз на його ємність С називають постійною часу саморозряду конденсатора:
або t0 = Rіз × С = r × e0 × er Електропровідність газів Іонізація нейтральних молекул газу виникає або під впливом зовнішніх факторів, або внаслідок зштовхування заряджених частинок з молекулами (в розріджених газах). Зовнішніми факторами, які здатні викликати іонізацію газу є:- рентгенівські, ультрафіолетові, космічні, радіоактивні промені; - температурний вплив (сильний розігрів газу). Електропровідність газу, яка обумовлена дією зовнішніх іонізаторів, називається несамостійною. При іонізації газу, яка обумовлена зовнішніми факторами, відбувається розщеплення молекул на позитивні та негативні іони. Одночасно відбувається з’єднання позитивних іонів з негативними частинками, в результаті чого створюються нейтральні молекули. Цей процес називається рекомбінацією, наявність якої перешкоджає безмежному росту кількості іонів в газі. Ударна іонізація виникає в газах, коли кінетична енергія заряджених частинок, що набувається під впливом електричного поля, досягає достатньо великих значень. Електропровідність газу, яка обумовлена ударною іонізацією, носить назву самостійної. В слабких полях ударна іонізація відсутня і самостійної електропровідності не спостерігається. Для повітря напруженість електричного поля, при якій виникає ударна іонізація становить Еі » 105 ÷ 106 [В/м]. Електропровідність рідинЕлектропровідність рідинних діелектриків тісно пов’язана з будовою молекул рідини. У неполярних рідинах (не містять електричних диполів, здатних до переорієнтації у зовнішньому електричному полі) електропровідність залежить від наявності дисоційованих домішок (дисоціація – розщеплення), у тому числі вологи. У полярних рідинах (містять електричні диполі, здатні до переорієнтації у зовнішньому електричному полі) електропровідність визначається не тільки домішками, але й дисоціацією молекул самої рідини. Струм в рідині обумовлюється, як рухом іонів, так і рухом відносно великих заряджених колоїдних часток. Неможливість повного видалення здатних до дисоціації домішок з рідинного діелектрика ускладнює отримання електроізоляційних рідин з малими значеннями питомої електропровідності. Полярні рідини характеризуються більшою електропровідністю, ніж неполярні, причому зростання діелектричної проникності приводить до збільшення електропровідності. Багатополярні рідини відрізняються достатньо великою електропровідністю і можуть розглядатися не як діелектрики, а як провідники з іонною електропровідністю. Очищення рідинних діелектриків від домішок суттєво підвищує їх питомий опір (зменшує питому електропровідність). Питома електропровідність будь-якої рідини суттєво залежить від температури. З ростом температури рухливість іонів u зростає у зв’язку зі зменшенням в’язкості Математично питому провідність рідинного діелектрика можна записати у вигляді виразу:
де А та а – постійні величини, що характеризують певну рідину. Для неширокого інтервалу температур:
де g0 та a - постійні величини, що характеризують певну рідину; t – температура, о С. Залежність питомої провідності рідини від її в‘язкості описується аналітичним виразом
де n0 – концентрація носіїв зарядів в рідині; q – заряд носія; r – радіус носія заряду; η – в’язкість речовини. Електропровідність твердих тіл Електропровідність твердих тіл обумовлена рухом: - іонів самого діелектрика; - іонів домішок; - вільних електронів (характерна для сильних електричних полів, переносу речовини не відбувається). Вид електропровідності визначається експериментально на підставі законів Фарадея. Іонна електропровідність супроводжується переносом речовини. В процесі проходження електричного струму через твердий діелектрик іони домішок, що містяться в ньому частково видаляються, при цьому, як і в рідинах, це супроводжується їх виділенням на електродах. При іонній електропровідності число дисоційованих іонів та їх рухомість знаходяться в експоненціальній залежності від температури:
, (1) де n0max , u max – максимальні концентрація та рухомість носіїв заряду при Т → ¥; WВ – енергія вивільнення іонів;WП – енергія переміщення іона, що визначає його перехід з одного неврівноваженого стану в інший. Використовуючи вираз питомої провідності, який можна одержати з закону Ома:
g = n0 × q × u ( u – рухливість носіїв заряду, що дорівнює відношенню середньої швидкості направленого руху носіїв заряду до напруженості електричного поля, яка приймається рівною одиниці, u = υ/Е, [м2 /с∙В]), і вирази (1), та об’єднавши сталі n0max , umax , q в один коефіцієнт отримаємо :
де b = (WВ + WП )/k (чисельне значення коефіцієнта b знаходиться з експериментально отриманої залежності питомої провідності від величини оберненої до температури, для більшості іонних кристалів становить приблизно 10000 [К]). Формула (2) показує, що чим більшими є значення енергії вивільнення та переміщення, тим сильніше змінюватиметься питома провідність зі зміною температури. Оскільки WВ >WП , питома електропровідність при зміні температури визначається головним чином зміною концентрації носіїв заряду. Формула (2) аналогічна формулі , яка характеризує питому електропровідність рідини, але коефіцієнт а відображає рухомість іонів, яка залежить від в’язкості рідини, а коефіцієнт b враховує збільшення числа вільних іонів в твердому діелектрику при збільшенні температури та знаходиться в межах 10 000 ÷ 22 000 [К].
Замінивши у виразі (2) g на 1/r та виконавши ряд перетворень отримаємо залежність питомого об’ємного опору від температури
Температурний коефіцієнт питомого опору є величиною залежною від температури:
В тілах кристалічної будови з іонною решіткою електропровідність пов’язана з валентністю іонів. Кристали з одновалентними іонами характеризуються більшою електропровідністю ніж кристали з багатовалентними іонами. Також в кристалах провідність є неоднаковою для різних його висей (в кварці питомий об’ємний опір становить1012 [Ом ∙ м] вздовж оптичної вісі та більше 2∙1014 [Ом ∙ м] поперек неї). Поверхнева електропровідність твердих діелектриків обумовлена наявністю вологи або інших забруднень на поверхні діелектриків. Питома поверхнева електропровідність твердих діелектриків буде тим нижчою, чим меншою є полярність речовини та відносна вологість повітря, чим чистішою є поверхня діелектрика та чим краще вона відполірована. Найбільш низькими значеннями питомої провідності володіють неполярні діелектрики, поверхні яких здатні відштовхувати воду. 2. Основні поняття про діелектричні втрати (д.в.) Діелектричними втратами називають електричну потужність, яка споживається діелектриком при знаходженні його під дією (постійного або змінного) електричного поля. Ця потужність розсіюється в діелектрику, перетворюючись в тепло. Втрати в діелектриках виникають в результаті дії як постійної, так і змінної напруги. При постійній напрузі вони обумовлені наскрізним струмом Інаскр, який залежить від величин об’ємного та поверхневого опорів (rV , rS ) або обернених до них об’ємної та поверхневої провідності (gV , gS ) діелектрика та визначають його якість. При змінній напрузі діелектричні втрати обумовлені не тільки наскрізним струмом, а і струмом абсорбції Іабс тому, для їх аналізу використовують інші характеристики, як то: - кут діелектричних втрат d; - тангенс кута діелектричних втрат tg d. Кутом діелектричних втрат називають кут, який доповнює до 900 кут фазового зсуву j між струмом та напругою в ємнісному колі. Для ідеального діелектрика j = 900 , а tg в = 0; в = 0. Чим більша потужність розсіюватиметься в діелектрику, перетворюючись у тепло, тим меншим буде кут фазового зсуву між струмом та напругою j , а відповідно більшими кут діелектричних втрат в та тангенс кута діелектричних втрат tg d. Шкода від діелектричних втрат – це перегрів діелектрика та додатковий активний опір в коливальних контурах. Недопустимо великі діелектричні втрати в діелектрику можуть привести до його теплового руйнування. Діелектричні втрати, що пов’язані з поляризацією діелектрика зручно характеризувати кривими залежності заряду на обкладинках конденсатора від прикладеної напруги (рис.2). При відсутності діелектричних втрат, обумовлених поляризацією, заряд лінійно залежить від напруги і такі діелектрики називають лінійними (рис.2, а). Якщо в лінійному діелектрику спостерігається сповільнена поляризація, яка, як відомо пов’язана з втратами електричної енергії – крива залежності являє собою еліпс (рис.2, б). Для нелінійних діелектриків – сегнетоелектриків крива залежності як і у магнітних матеріалів має вигляд петлі гістерезису (рис.2, в). Площі еліпса та петлі пропорційні кількості електричної енергії, що споживається діелектриками за один період зміни напруги.
а) б) в) Рис.2 В технічних електроізоляційних матеріалах виникають також втрати обумовлені наявністю в них ізольованих один від одного провідникових або напівпровідникових сторонніх включень вуглецю, оксидів заліза; вони є значними навіть при малому вмісті цих домішок. При дії значних напруг та особливо на високих частотах втрати в діелектрику виникають внаслідок іонізації наявних в ньому газових включень. Для пояснення діелектричних втрат застосовуються еквівалентні схеми реальних конденсаторів (послідовна та паралельна), що знаходяться під дією змінної напруги та відповідні їм векторні діаграми. Схеми повинні відображати втрати енергії в діелектрику конденсатора та зсув фази між струмом та напругою, як і в реальному конденсаторі. Представлені на рис. 3 послідовна та паралельна схеми будуть еквівалентні, якщо при рівності повних опорів │Z1 │ = │Z2 │= │Z │ будуть рівними їх активні та реактивні складові. Ця умова буде виконана, якщо зсуви фаз між напругами та струмами φ та значення активної потужності Р в схемах будуть однаковими.
Рис.3 Вираз активної потужності має вигляд: Ра = U× I× cos j
Для послідовної схеми: , (1)
Для паралельної схеми: Ра = U × Ia = U × U × tgd × w×CP = U2 × w × CP × tgd (2) Прирівнюючи вирази (1) та (2) або виразиtgd = rS ∙ w × CS та tgd =1/(w × CP × rР ),можна знайти співвідношення між CS та CP та між rS і rР .
З виразу (3) виходить, що в паралельній схемі активний опір втрат rР в багато разів більше ніж активний опір втрат в послідовній схемі rS .
(4) Для високоякісних діелектриків можна знехтувати значенням tg2 d в формулі (4) в порівнянні з 1 і рахувати СР » СS » C. Вирази для потужності, що розсіюється в діелектрику для обох схем будуть однаковими: Ра = U2 × w × C × tgd (5) Вираз для питомих діелектричних втрат (потужності, що розсіюється в одиниці об’єму) має вигляд:
де - активна складова питомої провідності; - реактивна складова питомої провідності. Якщо втрати в діелектрику залежать тільки від наскрізної електропровідності, то tgd визначається згідно формули для паралельної схеми:
Потужність втрат не залежить від частоти. Якщо втрати обумовлені опорами омічних контактів, виводів та електродів, то активна потужність розраховується, як для послідовної схеми:
З виразу видно, що активна потужність зростає пропорційно квадрату частоти. Види діелектричних втрат в діелектричних матеріалах Діелектричні втрати за їх особливостями та фізичною природою поділяють на чотири основних види: обумовлені поляризацією; обумовлені наскрізною електропровідністю; іонізаційні; обумовлені неоднорідністю структури. Діелектричні втрати, що обумовлені поляризацією, особливо відчутно спостерігаються в діелектриках: з релаксаційною поляризацією; дипольної структури; іонної структури з нещільною упаковкою іонів. Діелектричні втрати, що обумовлені наскрізною електропровідністю, спостерігаються в діелектриках, які мають значну об’ємну або поверхневу електропровідність. В цьому випадку tgd визначається за формулою:
РаТ = А∙е (-b/Т) , (9) де А та b – постійні діелектричного матеріалу. Наближено формулу (9) можна записати так: РаТ = Ра0 ∙e( a ∙t) , де РаТ – втрати при температурі t0 С; Ра0 – втрати при температурі 00 С; a - постійна діелектричного матеріалу. Тангенс кута діелектричних втрат змінюється за цим же законом. Іонізаційні діелектричні втрати спостерігаються в діелектриках, що знаходяться в газоподібному стані та виявляються в неоднорідних електричних полях при напруженості, що перевищують значення напруженості іонізації та визначаються за формулою: РаІ = А1 ∙f∙(U – UI )3 , де А1 - постійний коефіцієнт; f – частота зміни електричного поля; U – величина прикладеної до діелектрика напруги; UІ – величина напруги початку іонізації (залежить від тиску під яким знаходиться газ). Діелектричні втрати, що обумовлені неоднорідністю структури спостерігаються в слоїстих діелектриках з пропитаного паперу та тканин, пластмасах з наповнювачем, пористій кераміці і т. і. Універсальної формули для розрахунку діелектричних втрат цього виду не існує у зв’язку з різноманітністю структури неоднорідних діелектриків та особливостями компонентів, що містяться в них. 3. Загальна характеристика явища пробою (п.) Діелектрик, який знаходиться в електричному полі, втрачає властивості електроізоляційного матеріалу, якщо напруженість поля перевищує деяке критичне значення Екр. Це явище носить назву пробою діелектрика або порушення його електричної міцності. Значення напруги, при якій відбувається пробій діелектрика, називається пробивною напругою, а відповідне йому значення напруженості поля електричною міцністю діелектрика. Пробивна напруга позначається Uпр і частіше всього вимірюється в кіловольтах [кВ]. Електрична міцність визначається пробивною напругою, віднесеною до товщини діелектрика в місці пробою:
Пробій газу обумовлюється явищами ударної та фотонної іонізації. Умовою іонізації газу є: W ³ Wі або Е × l × q ³ Wі, де q – заряд; Ul - спад напруги на довжині вільного пробігу l; Е – напруженість електричного поля; Wі – енергія іонізації. W включає в себе енергію зовнішнього електричного поля та енергію теплового руху невеликої кількості позитивних та негативних іонів і електронів, що містяться в газі. Енергію іонізації характеризують іонізаційним потенціалом Ui = Wі / q, який для більшості газів знаходиться в межах від 4 до 25[В], що відповідає енергії іонізації Wі = 4¸25 [еВ]. Пробій рідинних діелектриків відбувається в результаті іонізаційних та теплових процесів. Одним з головних факторів виникнення пробою в рідинах є наявність домішок. Пробій твердих тіл може викликатися як електричними так і тепловими процесами під дією електричного поля. Розрізняють наступні види пробою твердих діелектриків: електричний пробій макроскопічних однородних діелектриків; електричний пробій неоднорідних діелектриків; тепловий (електротепловий) пробій; електрохімічний пробій. Кожний з цих пробоїв може мати місце у одному й тому ж матеріалі в залежності від умов: постійна або змінна напруга; частота напруги висока або низька; наявність дефектів в діелектрику; температура; час дії напруги. Електричний пробій пов’язаний з електричними процесами в діелектрику, які виникають при дії сильного електричного поля та призводять до раптового різкого зростання щільності струму в конкретному локальному місці. Тепловий пробій – це зменшення активного опору діелектрика під впливом розігріву в електричному полі, що приводить до зростання активного струму та подальшого розігріву з можливим руйнуванням діелектрика. Пробій може бути викликаний також електрохімічними процесами в діелектрику під впливом електричного поля. Висновки: Розглянуті параметри та характеристики дозволяють виконати кількісну оцінку властивостей різних типів діелектричних матеріалів. |
||||||||||||||||||||||||||||
, 


















(3)



тоді: 
