Реферат: Организация и управление риском
|
Название: Организация и управление риском Раздел: Рефераты по менеджменту Тип: реферат |
| Московский государственный университет экономики, статистики и информатики. Кафедра Общего менеджментаи статистики фирм
Курсовая работапо предмету «Менеждмент предприятия и организации» «Организация и управление риском»
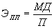
Выполнил: студент группы ДММ-201Руководитель: Воронина Э.М.Москва 2003г. Содержание Введение. 31. Риски. 41). Понятие рисков. 42). Классификация и виды рисков. 52. Методы оценки риска. 83. Методы организации управления риском. 141). Понятие риск-менеджмента 142). Методы снижения риска. 163). Страхование. 254). Взаимосвязь риска и доходности. 28Заключение. 31Список используемой литературы. 33Введение Законодательно установлено, что предпринимательская деятельность является рисковой. Действия участников предпринимательства в условиях сложившихся рыночных отношений, конкуренции, функционирования системы экономических законов не могут быть с полной определенностью рассчитаны и осуществлены. Множество условий и факторов влияют на исход принимаемых людьми решений, действие некоторых из них предсказать очень сложно, многие решения в предпринимательской деятельности приходится принимать в условиях неопределенности. Риск присущ практически любой сфере человеческой деятельности. Сейчас все больше внимания уделяется исследованию, прогнозированию, анализу рисков. Умение предвидеть последствия тех или иных действий просто необходимо для нормального функционирования организаций. Целью данной работы является определение самого понятия риска, его влияния на деятельность рисковых предприятий, описание методов оценки, анализа риска и способов его снижения. В общем, будут рассмотрены вопросы, необходимые для эффективного управления риском. Проблема управления риском очень актуальна. Деятельность любой организации связана с опасностью возникновения непредвиденных потерь. Именно поэтому для каждой компании важно предусмотреть изменение факторов и условий, способных оказать существенное влияние на ее функционирование. Риском можно управлять. Наиболее удачной будет деятельность фирмы, правильно рассчитавшей свои возможности, выбравшей направление деятельности с оптимальным соотношением риска и доходности. По мере увеличения уязвимости бизнеса от финансовых рисков многие компании признают, что поиск решений проблем риска должен быть поставлен на профессиональную основу. Менеджер должен обеспечивать защиту всех активов и прибылей фирмы от потерь из-за изменений и колебаний процентных ставок и валютных курсов, управлять затратами по проценту. Только достаточно опытный и квалифицированный управленец справится с этой нелегкой задачей. Мне кажется, что управление риском должно стать одним из основных направлений деятельности современного менеджера. 1. Риски 1). Понятие рисков Риск характеризуется как опасность возникновения непредвиденных убытков, потерь ожидаемой прибыли, дохода или имущества, денежных средств в связи со случайным изменением условий экономической деятельности, неблагоприятными обстоятельствами. Его величина измеряется частотой и вероятностью возникновения того или иного уровня потерь. Важнейшей чертой предпринимательства является наличие риска как на стадии создания организации, так и в течение дальнейшего ее функционирования. Любое предприятие подвержено риску потери имущества, ценностей, денег, то есть любых видов экономических ресурсов, включая труд и время, ведь трудовые потери и потери времени наносят серьезный ущерб результатам предпринимательской деятельности. Риск составляет неизбежный элемент принятия любого хозяйственного решения, ведь неопределенность — неизбежная характеристика условий хозяйствования. Часто между понятиями «риск» и «неопределенность» не делается различий, но их, несомненно, следует разграничивать. Риск характеризует такую ситуацию, когда наступление неизвестных событий весьма вероятно и может быть оценено количественно, а неопределенность — когда вероятность наступления таких событий оценить заранее невозможно. В реальных ситуациях решение, принимаемое предпринимателем, почти всегда сопряжено с риском, который обусловлен наличием ряда неопределенных, заранее не предвиденных факторов. 2). Классификация и виды рисков Риск, как событие, может произойти или не произойти. В случае совершения такого события возможны три экономических результата: отрицательный (проигрыш, ущерб, убыток), нулевой, положительный (выигрыш, выгода, прибыль). Риски можно разделить, в зависимости от возможного результата, на две большие группы: чистые и спекулятивные * . - Чистые риски означают возможность получения убытка или нулевого результата. К ним относятся политические, транспортные, природно-естественные, экологические и часть коммерческих рисков (имущественные, производственные, торговые). - Спекулятивные риски выражаются в возможности получения как положительного, так и отрицательного результата. Это финансовые риски, являющиеся частью коммерческих рисков. В зависимости от основной причины возникновения, риски подразделяются на природно-естественные, экологические, политические, транспортные и коммерческие . Коммерческие риски представляют собой опасность потерь в процессе финансово-хозяйственной деятельности. Они означают неопределенность результата проводимой коммерческой сделки. По структурному признаку коммерческие риски делятся на имущественные, производственные, торговые, финансовые. - Имущественные риски - это риски, связанные с вероятностью потерь имущества предпринимателя по причине кражи, халатности, диверсии, перенапряжения технической и технологической систем и т.п. - Производственные риски - риски, связанные с убытком от остановки производства вследствие воздействия различных факторов и с гибелью или повреждением основных и оборотных фондов (оборудование, сырье, и т.п.), а также риски, связанные с внедрением в производство новой техники и технологии. - Торговые риски представляют собой риски, связанные с убытком по причине задержки платежей, отказа от платежа в период транспортировки товара, непоставки товара. - Финансовый риск – вероятность наступления ущерба в результате проведения каких-либо операций с ценными бумагами, риск, который следует из природы финансовых операций. К финансовым рискам относятся* : · Ценовой риск - риск, связанный с изменением рыночной цены финансового актива. Большинство финансовых институтов (банки, страховые компании, пенсионные фонды) осуществляют свою деятельность в большей мере за счёт заёмных средств (банковские и пенсионные вклады, страховые взносы). Полученные средства инвестируются институциональными инвесторами в различные рынки - фондовые, государственных ценных бумаг, товарные рынки, рынки недвижимости. Каждый финансовый институт через некоторый период времени должен выполнить свои обязательства по выплате заёмных средств. Под влиянием рыночных колебаний стоимость финансового актива может измениться в неблагоприятную для институционального инвестора сторону, что приведет к затруднениям по выполнению текущих обязательств перед клиентами или вкладчиками. · Кредитный риск - риск, возникающий при частичной или полной неплатёжеспособности заёмщика. Этому виду риска, в наибольшей степени подвержены банковские организации в силу профиля своей основной деятельности, как кредитных организаций. Однако другие финансовые институты также могут быть подвержены кредитному риску, например, при приобретении корпоративных облигаций. Общепринятой мерой оценки кредитного риска компании или банка являются кредитные рейтинги, публикуемые рейтинговыми компаниями Moody's, S&P, Fitch IBCA. · Валютный риск - риск, связанный с изменением валютного курса национальной валюты к курсу валюты другой страны. Этот вид риска возникает при инвестициях в иностранные финансовые активы и последующей конвертации иностранной валюты в национальную валюту инвестора. · Риск ликвидности - риск, возникающий при продаже имеющегося финансового актива. Этот вид риска означает невозможность быстрой реализации актива без существенного снижения стоимости. Главной мерой ликвидности является рыночная разница между ценой покупки и продажи (спрэд). Величина спрэда зависит от объёма торгов финансовым активом на рынке. Чем меньше величина объёмов торгов, тем больше величина спрэда. Риску ликвидности могут быть подвержены практически все финансовые институты - страховые и инвестиционные компании, банки и пенсионные фонды. Они в ходе своей деятельности могут приобретать финансовые активы различной степени ликвидности. · Риск платежеспособности - риск, обусловленный тем, что в силу неблагоприятных внешних обстоятельств у компании возникают затруднения с погашением долговых обязательств. · Операционный риск - риск, связанный с деятельностью персонала финансового института. Составными частями операционного риска являются: Транзакционный риск - связан с ошибками персонала компании при выполнении транзакционных операций, ошибках в бухгалтерском учёте компании, ошибках расчётов; Риск операционного контроля , при котором персонал компании или банка превышает выделенные лимиты, исполняет недобросовестные сделки, совершает умышленное мошенничество; Риск систем - риск сбоя программного обеспечения при проведении текущих операций, ошибки в методологии работы, отказе телекоммуникационных систем. В своей деятельности операционному риску могут быть подвержены страховые компании при недобросовестном исполнении своих служебных обязанностей персоналом компании (умышленный сговор с лицом, страхующем имущество), банки, при проведении межбанковских транзакционных переводов, инвестиционные компании, при превышении портфельными менеджерами выделенных рыночных лимитов. · Инфляционный риск - риск, связанный с макроэкономическим положением в стране. При увеличении инфляции существует риск того, что реальный доход институционального инвестора может уменьшиться за счёт большой инфляции, хотя в ходе работы может быть получена валовая прибыль. Однако часть её, а иногда и вся она, может пойти на покрытие инфляционной спирали. Этот вид риска ощущают все институциональные инвесторы, проводящие свои операции в странах с высокими темпами инфляции. Как правило, это страны с переходным видом экономики. 2. Методы оценки риска Риск предпринимателя количественно характеризуется субъективной оценкой ожидаемой величины максимального и минимального дохода или убытка от вложения капитала. Обычно, чем больше диапазон между максимальным и минимальным доходом (убытком) при равной вероятности их получения, тем выше степень риска. Принимать на себя риск предприниматель вынужден в связи с неопределенностью хозяйственной ситуации, неизвестностью условий политической и экономической обстановки и перспектив изменения этих условий. Чем больше неопределенность хозяйственной ситуации при принятии решения, тем выше и степень риска. Риск, которому подвергается предприятие, — это вероятная угроза разорения или несения таких финансовых потерь, которые могут остановить все дело. Поскольку вероятность неудачи присутствует всегда, встает вопрос о методах снижения риска. Для ответа на этот вопрос необходимо количественно определить риск, что позволит сравнить величину риска различных вариантов решения и выбрать из них тот, который больше всего отвечает выбранной предприятием стратегии риска. Американский эксперт Б. Берлимер предложил при анализе использовать некоторые допущения: · Потери от риска независимы друг от друга. · Потеря по одному направлению деятельности не обязательно увеличивает вероятность потери по другому (за исключением форс-мажорных обстоятельств). · максимально возможный ущерб не должен превышать финансовых возможностей участника. Можно выделить два вида анализа – количественный и качественный. Качественный анализ позволяет определить факторы и потенциальные области риска, выявить возможные его виды. Количественный анализ направлен на то, чтобы количественно выразить риски, провести их анализ и сравнение. При количественном анализе риска используются статистический метод, анализ целесообразности затрат, методы экспертных оценок, аналогий, оценки платежеспособности и финансовой устойчивости. - Метод экспертных оценок основан на обобщении мнений специалистов-экспертов о вероятностях риска. Принимаются во внимание интуитивные характеристики, основанные на знаниях и опыте каждого эксперта. Экспертные методы позволяют быстро и без больших временных и трудовых затрат получить информацию, необходимую для выработки управленческого решения. - Метод аналогий обычно используется при анализе рисков нового проекта. Проект рассматривается как «живой» организм, имеющий определенные стадии развития. Жизненный цикл проекта состоит из этапа разработки, этапа выведения на рынок, этапа роста, этапа зрелости и этапа упадка. Изучая жизненный цикл проекта, можно получить информацию о каждом этапе проекта, выделить причины нежелательных последствий, оценить степень риска. Однако на практике бывает довольно трудно собрать соответствующую информацию. - Метод оценки платежеспособности и финансовой устойчивости предприятия позволяет предусмотреть вероятность банкротства. Анализируются сведения годовой бухгалтерской отчетности. Можно оценить вероятность наступления неплатежеспособности предприятия. Основными критериями неплатежеспособности являются коэффициент текущей ликвидности, коэффициент обеспеченности собственными средствами и коэффициент восстановления платежеспособности. - Метод целесообразности затрат позволяет определить нижний предельный размер выпуска продукции, при котором прибыль равна нулю. Производство продукции в объемах меньше критического приносит только убытки. Критический объем производства необходимо оценивать при сокращении выпуска продукции, вызванного падением спроса, сокращением поставок материалов и комплектующих изделий, заменой продукции на новую и другими причинами. Для проведения соответствующих расчетов все затраты на производство и реализацию продукции подразделяют на переменные (материалы, комплектующие изделия, инструменты, заработная плата, расходы на транспорт и т.д.) и постоянные (амортизационные отчисления, управленческие расходы, арендная плата, проценты за кредит и т.д.). Критический объем производства можно представить в виде: Окр=Зпост/(Ц - Зпер) где Окр – критический объем производства, Ц – цена единицы продукции, 3пост — постоянные затраты, 3пер – переменные затраты. Чем больше разность между фактическим объемом производства и критическим, тем выше финансовая устойчивость. Любое изменение объема производства или уровня продаж оказывает существенное влияние на прибыль (эффект производственного левериджа). Производственный леверидж показывает степень влияния постоянных затрат на прибыль (убытки) при изменениях объема производства. Производственный леверидж определяется с помощью следующей формулы* :
где ЭПЛ — эффект производственного левериджа, МД — маржинальный доход, Зпост — постоянные затраты, П — прибыль. Чем больше удельный вес постоянных затрат в общей сумме издержек при некотором объеме производства, тем выше производственный леверидж, а следовательно, тем выше предпринимательский риск. Работать с высоким производственным левериджем могут только те предприятия, которые в состоянии обеспечить большие объемы производства и сбыта, имеют устойчивый спрос на свою продукцию. - Статистический метод заключается в изучении статистики потерь и прибылей, имевших место на данном или аналогичном предприятии, с целью определения вероятности события, установления величины риска. Степень, риска измеряется средним ожидаемым значением и колеблемостью возможного результата. Среднее ожидаемое значение связано с неопределенностью ситуации, оно выражается в виде средневзвешенной величины всех возможных результатов Е(х), где вероятность каждого результата А используется в качестве частоты или веса соответствующего значения х. Е(х) = А1 х1 + А2 х2 + ... + Аn хn . Средняя величина представляет собой обобщенную количественную характеристику и не позволяет принять решение в пользу какого-либо варианта вложения капитала. Для окончательного решения необходимо измерить изменчивость показателей, определить меру колеблемости возможного результата. Для ее определения обычно вычисляют дисперсию или среднеквадратическое отклонение. Дисперсия представляет собой среднее взвешенное из квадратов отклонений действительных результатов от средних ожидаемых: s2 =(å(х-е)2 А)/(åА) где s2 – дисперсия, х – ожидаемое значение для каждого случая наблюдения, е – среднее ожидаемое значение, А – частота случаев, или число наблюдений. Коэффициент вариации — это отношение среднего квадратичного отклонения к средней арифметической. Он показывает степень отклонения полученных значений. V=s/e*100 где V – коэффициент вариации, s – среднее квадратическое отклонение, е – среднее ожидаемое значение. Этот коэффициент позволяет сравнивать колеблемость признаков, имеющих разные единицы измерения. Чем выше коэффициент вариации, тем сильнее колеблемость признака (до 10% – слабая колеблемость, 10—25% – умеренная колеблемость, более 25% — высокая колеблемость). Пример. При реализации товара 1 предприятие получило прибыль 10 тыс. руб. с единицы товара в 50 случаях из 100. Вероятность А1 =50/100=0,5. 12 тыс. руб. с единицы товара в 30 случаях из 100. А2 =30/100=0,3. 13 тыс. руб. с единицы товара в 20 случаях из 100. А3 =20/100=0,2. Среднее ожидаемое значение прибыли Е(х)1=10*0,5+12*0,3+13*0,2=11,2 тыс. руб. При реализации товара 2 предприятие получило прибыль 8 тыс. руб. с единицы товара в 40 случаях из 100. Вероятность А1 =40/100=0,4. 9,5 тыс. руб. с единицы товара в 35 случаях из 100. А2 =35/100=0,35. 10,5 тыс. руб. с единицы товара в 25 случаях из 100. А3 =25/100=0,25. Е(х)2=8*0,4+9,5*0,35+10,5*0,25=9.15 тыс. руб. Для товара 1 s2 =((10-11,2)2 *50+(12-11,2)2 *30+(13-11,2)2 *20)/100=1,56 V=1,56/11,2*100=13,9% Для товара 2 s2 =((8-9,15)2 *40+(9,5-9,15)2 *35+(10,5-9,15)2 *25)/100=1,03 V=1,03/9,15*100=11,26% Коэффициент вариации для товара 2 меньше, чем для товара 1, значит, реализация товара 2 сопряжена с меньшим риском, она более предпочтительна. В тех случаях, когда информация ограничена, для количественного анализа риска используются аналитические методы, или стандартные функции распределения вероятностей, например нормальное распределение, или распределение Гаусса, показательное (экспоненциальное) распределение вероятностей, которое довольно широко используется в расчетах надежности, а также распределение Пуассона, которое часто используют в теории массового обслуживания. В зарубежной практике в качестве метода количественного определения риска вложения капитала предлагается использовать древо вероятностей. * Этот метод позволяет точно определить вероятные будущие денежные потоки инвестиционного проекта в их связи с результатами предыдущих периодов времени. Если проект вложения капитала приемлем в первом периоде времени, то он может быть также приемлем и в последующих периодах времени. Если же предполагается, что денежные потоки в разных периодах времени являются независимыми друг от друга, тогда необходимо определить вероятное распределение результатов денежных потоков для каждого периода времени. В случае, когда связь между денежными потоками в разных периодах времени существует, необходимо принять данную зависимость и на ее основе представить будущие события так, как они могут произойти. 3. Методы организации управления риском 1). Понятие риск-менеджмента. Предприниматель вправе частично переложить риск на других субъектов экономики, но полностью избежать его он не может. Конечно, можно просто уклониться от мероприятия, связанного с риском, однако для предпринимателя избежание риска зачастую означает отказ от возможной прибыли. Риском можно управлять, то есть использовать различные меры, позволяющие в определенной степени прогнозировать наступление рискового события и принимать меры к снижению степени риска. Главная цель менеджмента, особенно для условий сегодняшней России, добиться, чтобы при самом худшем раскладе речь могла идти только о некотором уменьшении прибыли, но ни в коем случае не стоял вопрос о банкротстве, необходимо постоянно корректировать систему действий с позиций максимума прибыли. Поэтому особое внимание уделяется постоянному совершенствованию управления риском - риск-менеджменту. Риск-менеджмент* – система оценки риска, управления риском и финансовыми отношениями, возникающими в процессе бизнеса. При рыночной экономике производители, продавцы и покупатели действуют в условиях конкуренции самостоятельно. Их финансовое будущее непредсказуемо и мало прогнозируемо. Риском можно управлять, используя разнообразные меры, позволяющие в определенной степени прогнозировать наступление рискового события и вовремя принимать меры к снижению степени риска. На степень и величину риска реально воздействовать через финансовый механизм, что осуществляется с помощью приемов стратегии и финансового менеджмента. Этот своеобразный механизм управления риском и есть риск-менеджмент. В основе риск-менеджмента лежат целенаправленный поиск и организация работы по снижению степени риска, искусство получения и увеличения дохода (выигрыша, прибыли) в неопределенной хозяйственной ситуации. Конечная роль риск-менеджмента полностью соответствует целевой функции предпринимательства. Она заключается в получении наибольшей прибыли при оптимальном соотношении прибыли и риска. Риск-менеджмент представляет систему управления риском и экономическими (точнее финансовыми) отношениями, возникающими в процессе этого управления, и включает стратегию и тактику управленческих действий. Под стратегией управления понимают направления и способы использования средств для достижения поставленной цели. Для каждого способа определен набор правил и ограничений для принятия лучшего решения. Стратегия помогает сконцентрировать усилия на различных вариантах решения, не противоречащих генеральной линии стратегии и отбросить все остальные варианты. После достижения поставленной цели стратегия прекращает свое существование, поскольку новые цели выдвигают задачу разработки новой стратегии. Тактика определяет практические методы и приемы менеджмента для достижения установленной цели в конкретных условиях. Задачей тактики управления является выбор наиболее оптимального решения и самых конструктивных в данной хозяйственной ситуации методов и приемов управления. Риск-менеджмент как система управления состоит из двух подсистем: управляемой подсистемы (объекта управления) и управляющей подсистемы (субъекта управления). Объектом управления выступают рисковые вложения капитала и экономические отношения между хозяйствующими субъектами в процессе реализации риска – связи между страхователем и страховщиком, заемщиком и кредитором, между предпринимателями, конкурентами. Субъект управления – группа руководителей, которая осуществляет целенаправленное функционирование объекта управления. Данный процесс осуществляется при постоянном циркулировании необходимой информации между субъектом и объектом управления. 2). Методы снижения риска. Общими в хозяйственной практике являются три основных принципа снижения риска: · не рисковать больше, чем позволяет собственный капитал; · не забывать о последствиях риска; · не рисковать многим ради малого. Приобретение надежной и достаточной в конкретных условиях информации играет главную роль, поскольку оно помогает принять правильное решение по действиям в условиях риска. Очень важны сведения о вероятности того или иного страхового события, о величине спроса на товары, на капитал, о финансовой устойчивости и платежеспособности своих конкурентов, клиентов. Многие виды информации составляют предмет коммерческой тайны и могут быть одним из видов интеллектуальной собственности, а значит вноситься в качестве вклада в уставной капитал акционерного общества или товарищества. Наличие у финансового менеджера достаточной и надежной деловой информации позволяет ему быстро принять финансовые и коммерческие решения, оказывает существенное влияние на правильность этих решений. Это ведет к снижению потерь и увеличению прибыли. Прежде чем принять решение о рисковом вложении капитала, необходимо определить максимальный объем убытка по данному риску, сопоставить его с объемом вкладываемого капитала, сравнить его со всеми собственными финансовыми ресурсами и определить, не приведет ли потеря этого капитала к банкротству инвестора. Объем убытка от вложения капитала может быть равен объему данного капитала, быть меньше его или больше. В случаях, когда риск рассчитать невозможно, принятие рисковых решений происходит с помощью эвристики, которая представляет собой совокупность логических приемов и методических правил теоретического исследования и отыскания истины. В качестве органа управления риском может выступать финансовый менеджер, менеджер по риску или соответствующий аппарат управления, проводящий венчурные и портфельные инвестиции (то есть рисковые вложения в соответствии с действующим законодательством и уставом хозяйствующего субъекта), разрабатывающий программу рисковой инвестиционной деятельности. В его функции должны входить: · сбор, анализ, обработка и хранение информации об окружающей обстановке. · определение степени и стоимость рисков. · разработка стратегии и приемов управления, программы рисковых решений и организация ее выполнения, контроль и анализ результатов. · осуществление страховой деятельности. · ведение соответствующей бухгалтерской, статистической и оперативной отчетности по рисковым вложениям капитала. При разработке стратегии из возможных вариантов рисковых вложений капитала выбирается вариант, дающий наибольшую эффективность результата при минимальном или приемлемом для инвестора риске, при котором вероятности выигрыша и проигрыша для одного и того же рискового вложения капитала имеют наименьший разрыв. Оцениваются ожидаемые величины выигрыша и риска, и принимается решение вложить капитал в то мероприятие, которое позволяет получить ожидаемый выигрыш и одновременно избежать большого риска. Существует несколько способов выбора варианта решения, при условии, что: · вероятности возможных хозяйственных ситуаций известны. Определяется среднее ожидаемое значение нормы прибыли на вложенный капитал по каждому варианту и выбирается вариант с наибольшей нормой прибыли. · вероятности возможных хозяйственных ситуаций неизвестны, но имеются оценки их относительных значений. Путем экспертной оценки устанавливается значение вероятности условий хозяйственных ситуаций и проводится расчет среднего ожидаемого значения нормы прибыли на вложенный капитал. · вероятности возможных хозяйственных ситуаций неизвестны, но известны основные направления оценки результатов вложения капитала. Три направления оценки результатов вложения капитала: выбор максимального результата из минимальной величины риска; выбор минимальной величины риска из максимальных рисков; выбор средней величины результата. Предприниматель в процессе своих действий на рынке обязан выбрать стратегию, которая бы позволила ему уменьшить степень риска. Математический аппарат для выбора стратегии в конфликтных ситуациях дает теория игр, которая позволяет предпринимателю или менеджеру лучше понимать конкурентную обстановку и свести к минимуму степень риска. Анализ с помощью приемов теории игр побуждает предпринимателя рассматривать все возможные альтернативы как своих действий, так и стратегии партнеров, конкурентов. Теория игр помогает решать многие экономические проблемы, связанные с выбором, определением наилучшего положения, подчиненного только некоторым ограничениям, вытекающим из условий самой проблемы. Следовательно, риск имеет математически выраженную вероятность наступления потери, которая опирается на статистические данные и может быть рассчитана с достаточно высокой степенью точности. Чтобы оценить вероятность тех или иных потерь, обусловленных развитием событий по непредвиденному варианту, следует прежде всего знать все виды потерь, связанных с предпринимательством, и уметь заранее исчислить их или измерить как вероятные прогнозные величины. Оценить каждый из видов потерь в количественном измерении и свести их воедино далеко не всегда удается сделать. Случайное развитие событий, оказывающее влияние на ход и результаты предпринимательства, способно приводить не только к потерям в виде повышенных затрат ресурсов и снижения конечного результата. Оно может вызвать увеличение затрат одного вида ресурсов и снижение затрат другого вида, наряду с повышенными затратами одних ресурсов может наблюдаться экономия других. При определении суммарных возможных потерь следует вычитать из расчетных потерь сопровождающий их выигрыш. В предпринимательской деятельности выделяют потери материальные, трудовые, финансовые, потери времени, специальные виды потерь. Материальные виды потерь проявляются в непредусмотренных проектом дополнительных затратах или прямых потерях оборудования, имущества, продукции, сырья и т.д. Материальные потери измеряются в тех же единицах, в которых измеряется количество данного вида материальных ресурсов (в физических единицах веса, объема, площади и т.д.). Потери в физическом измерении часто переводятся в стоимостное измерение путем умножения на цену единицы соответствующего материального ресурса. Имея оценку вероятных потерь по каждому из отдельных видов материальных ресурсов в стоимостном выражении, можно свести их воедино, что невозможно в физическом измерении (нельзя складывать метры и килограммы и т.д.). Трудовые потери – потери рабочего времени, вызванные непредвиденными обстоятельствами. Трудовые потери выражаются в человеко-часах, человеко-днях или просто часах рабочего времени. Перевод трудовых потерь в стоимостное, денежное выражение осуществляется путем умножения трудочасов на стоимость одного часа. Финансовые потери – прямой денежный ущерб, связанный с непредусмотренными платежами, выплатой штрафов, уплатой дополнительных налогов, потерей денежных средств и ценных бумаг. Кроме того, финансовые потери могут быть при недополучении или неполучении денег из предусмотренных источников, при невозврате долгов, неоплате покупателем поставленной ему продукции, уменьшении выручки вследствие снижения цен на реализуемые продукцию и услуги, росте инфляции. Существуют временные финансовые потери, обусловленные замораживанием счетов, несвоевременной выдачей средств, отсрочкой выплаты долгов. Потери времени существуют, когда процесс предпринимательской деятельности идет медленнее, чем было намечено. Оценка таких потерь осуществляется в часах, днях, неделях, месяцах запаздывания в получении намеченного результата. Чтобы перевести оценку потерь времени в стоимостное измерение, необходимо установить, к каким потерям дохода, прибыли от предпринимательства способны приводить случайные потери времени. Специальные виды потерь имеют место в виде нанесения ущерба здоровью и жизни людей, окружающей среде, престижу предпринимателя, а также вследствие других неблагоприятных социальных и морально-психологических последствий. Специальные виды потерь трудно определить в количественном и стоимостном выражении. Учитывать надо только случайные потери, не поддающиеся прямому расчету, непосредственному прогнозированию и потому не учтенные в предпринимательском проекте. Если потери можно заранее предвидеть, то они должны рассматриваться не как потери, а как неизбежные расходы. Поэтому предвидимое движение цен, налогов, их изменение в ходе осуществления хозяйственной деятельности предприниматель обязан учесть в бизнес-плане. Прежде чем оценивать риск, обусловленный действием сугубо случайных факторов, крайне желательно отделить систематическую составляющую потери от случайных. Полностью избежать риска практически невозможно, но, зная источник потерь, можно снизить их угрозу, уменьшить действие неблагоприятных факторов. Потери в производственном бизнесе: Снижение намеченных объемов производства и реализации продукции вследствие уменьшения производительности труда, простоя оборудования или недоиспользования производственных мощностей, потерь рабочего времени, отсутствия необходимого количества материалов, повышенного процента брака ведет к недополучению запланированной выручки. Вероятные потери в этом случае в стоимостном выражении определяются произведением вероятного суммарного уменьшения объема выпуска продукции и цены реализации единицы объема продукции. Снижение цен, по которым намечается реализовать продукцию, в связи с недостаточным качеством, неблагоприятным изменением рыночной конъюнктуры, падением спроса, ценовой инфляцией приводит к вероятным потерям, определяемым произведением вероятного уменьшения цены единицы объема продукции на общий объем намеченной к выпуску и реализации продукции. Так же имеют место потери, связанные с повышенными материальными затратами, Связанные с перерасходом материалов, сырья, топлива, энергии. Высокие транспортные расходы, торговые издержки, перерасход намеченной величины фонда оплаты труда (вследствие превышения расчетной численности или выплаты более высокой заработной платы работникам), изменение налогов в неблагоприятную для предпринимателя сторону также оказывают негативное влияние на функционирование фирмы. Потери в коммерческом предпринимательстве: потери, вызванные повышением закупочной цены товара в процессе осуществления проекта, определяются произведением объема закупок товара в физическом измерении на вероятное повышение закупочной цены. Непредвиденное снижение объема закупки в сравнении с намеченным вызывает уменьшение объема реализации. Важны и потери товара в процессе транспортировки и хранения, потери потребительской ценности товара, приводящие к снижению его стоимости. Повышение издержек вследствие непредвиденных отчислений, штрафов. Снижение цены реализации товара, по сравнению с проектной, – потери в размере объема реализации, умноженного на уменьшение цены. Потери в финансовом предпринимательстве. потери коммерческого предпринимательства, присущи и финансовому предпринимательству. Но при оценке финансового риска необходимо учитывать такие специфические факторы, как неплатежеспособность агентов финансовой сделки, изменение курса валюты, ценных бумаг, ограничения на валютно-денежные операции и т.д. Очень важен финансовый риск. Чем выше отношение заемных средств к собственным, тем больше предприятие зависит от кредиторов, тем серьезнее и финансовый риск, поскольку ограничение или прекращение кредитования, ужесточение условий кредита влечет обычно трудности и даже остановку производства из-за отсутствия сырья, материалов и т.п. Готовность менеджера идти на риск обычно формируется под воздействием результатов практической реализации прошлых аналогичных решений, принятых в условиях неопределенности. Понесенные потери диктуют выбор осторожной политики, успех же побуждает к риску. Большинство людей предпочитает малорискованные варианты действий. Отношение к риску во многом зависит от величины капитала, которым располагает предприниматель. В ходе оценки альтернативных вариантов решений менеджеру приходится прогнозировать возможные результаты. При этом решение принимается в условиях, когда руководитель достаточно точно может оценить результаты каждого из альтернативных вариантов решения. Примером могут служить инвестиции в депозитные сертификаты и в государственные облигации, когда имеется государственная гарантия и точно известно, что на вложенные средства будет получен оговоренный в условиях процент. Если требующие анализа и учета факторы весьма сложны, а достоверной или достаточной информации о них нет, то вероятность того или иного результата невозможно предсказать более или менее точно. Неопределенность характерна для многих решений, принимаемых в быстро меняющихся обстоятельствах. В этом случае менеджер попытается получить дополнительную информацию, еще раз проанализировать проблему и, следовательно, учесть ее новизну и сложность, сочетая информацию и результаты анализа с накопленным опытом. Иногда полезно привлечь к этой работе специалистов для составления экспертных оценок. Возможно также действовать в соответствии с прошлым опытом и интуицией, особенно если нет времени на сбор дополнительной информации, или если затраты на нее очень велики. Основные приемы снижения степени риска: · Диверсификация – процесс распределения инвестируемых средств между различными объектами вложения капитала, непосредственно не связанных между собой, с целью снижения степени риска и потерь доходов. Диверсификация позволяет избежать части риска при распределении капитала между разнообразными видами деятельности. Предприятие, неся убытки по одному виду деятельности, может получить прибыль за счет другой сферы деятельности. Диверсификация позволяет повысить устойчивость предприятия к изменениям в предпринимательской среде. Распределение риска предполагает разделение риска между участниками проекта. Рост размеров и продолжительности инвестирования, внедрение новых технологий, высокая динамичность внешней среды увеличивает риск проекта. Способом разделения риска являются операции факторинга. В практике зарубежных банков развитие факторинговых операций связано главным образом с потребностью отдельных поставщиков в ускоренном получении платежей, которые представляются сомнительными. Как правило, в этих ситуациях имеет место риск неуплаты претензий плательщиком вообще. Банк, выкупивший, такие претензии у поставщика в этом случае может понести убытки. Операции факторинга относятся к операциям повышенного риска. Размер комиссионного вознаграждения зависит как от степени риска (от уровня «сомнительности» выкупаемого долга), так и от длительности договорной отсрочки. В некоторых случаях он доходит до 20% от суммы платежа. · Приобретение дополнительной информации о выборе и результатах. Более полная информация позволяет сделать точный прогноз и снизить риск, что делает ее очень ценной. Стоимость полной информации рассчитывается как разность между ожидаемой стоимостью какого-нибудь мероприятия (проекта приобретения), когда имеется полная информация, и ожидаемой стоимостью, когда информация неполная. · Лимитирование - установление предельных сумм расходов, продажи, кредита, сумм вложения капитала. Применяется банками для снижения степени риска при выдаче ссуд, хозяйствующими субъектами для продажи товаров в кредит, предоставления займов, определения сумм вложения капитала и т.п. · Резервирование – установление соотношения между потенциальными рисками и размерами расходов, необходимых для преодоления последствий этих рисков. Такой способ снижения рисков обычно используют при выполнении различных проектов. В общем случае резерв используется для финансирования дополнительных работ, компенсации непредвиденных изменений материальных и трудовых затрат, накладных расходов и других затрат, возникающих в процессе осуществления проекта. · Операции своп (соглашение об обмене активов и пассивов на аналогичные активы или пассивы с целью продления или сокращения сроков погашения или с целью повышения или снижения процентной ставки с тем, чтобы максимально увеличить доходы или минимизировать издержки финансирования). · Самострахование. Создание натуральных и денежных страховых фондов непосредственно в хозяйствующих субъектах, особенно в тех, чья деятельность подвержена риску. Основная задача самострахования заключается в оперативном преодолении временных затруднений финансово-коммерческой деятельности. · Страхование - защита имущественных интересов хозяйствующих субъектов и граждан при наступлении определенных событий (страховых случаев) за счет денежных фондов, формируемых из уплачиваемых ими страховых взносов, то есть передача определенных рисков страховой компании. 3). Страхование Страхование представляет собой экономическую категорию, сущность которой заключается в распределении ущерба между всеми участниками страхования. Это своего рода кооперация по борьбе с последствиями стихийных бедствий и противоречиями внутри общества, возникающими по причине хозяйственных отношений между членами общества. Страхование выполняет четыре функции: 1. Рисковая функция. Выражается в возмещении риска. В рамках действия этой функции происходит перераспределение денежной формы стоимости между участниками страхования в связи с последствиями случайных страховых событий. Рисковая функция страхования является главной, т.к. страховой риск непосредственно связан с основным назначением страхования по возмещению материального ущерба пострадавшим. 2. Предупредительная функция – финансирование за счет средств страхового фонда мероприятий по уменьшению страхового риска. 3. Сберегательная функция – при помощи страхования сберегаются средства на дожитие. Это сбережение вызвано потребностью в страховой защите достигнутого семейного достатка. 4. Контрольная функция – контроль за строго целевым формированием и использованием средств страхового фонда. Страхование может осуществляться в обязательной и добровольной формах. Обязательное страхование осуществляется в силу закона. Виды, условия и порядок проведения обязательного страхования определяются соответствующими законодательными актами РФ. Расходы по обязательному страхованию относятся на себестоимость продукции. Добровольное страхование осуществляется на основе договора между страхователем и страховщиком. Страхование коммерческих операций риска имеет очень широкую номенклатуру. Возможно произвести накопительные страхования с начислениями на страховую сумму от 10% годовых, независимо от сроков страхования. Можно страховать перевозки грузов, банкротства, валютные инвестиции, прибыли, кредиты, риски платежа. Для снижения степени риска используются имущественное страхование и страхование от несчастных случаев. Имущественное страхование может иметь следующие формы: страхование риска подрядного строительства, страхование оборудования, страхование грузов и др. Страхование от несчастных случаев включает: страхование общей гражданской ответственности и страхование профессиональной ответственности. Широко используется и такой вид страхования, как хеджирование — страхование цены товара от риска либо нежелательного для производителя падения, либо невыгодного для потребителя увеличения. По целям и технике проведения операции хеджирование делится на хеджирование продажей (заключение производителем или товаровладельцем фьючерсного контракта с целью страхования от снижения цены при продаже в будущем товара либо уже имеющегося в наличии, либо еще не произведенного, но предусмотренного к обязательной поставке в определенный срок), хеджирование покупкой (заключение потребителем или продавцом фьючерсного контракта с целью страхования от увеличения цены при покупке в будущем необходимого товара). Фьючерсы* (фьючерсные контракты) предполагают покупку или продажу какого-либо актива в будущем по цене, зафиксированной в момент заключения фьючерсной сделки. В качестве основного может выступать какая-нибудь ценная бумага, иностранная валюта, нефть, металл, зерно и другие товары, торговля которыми осуществляется на различных биржах. Покупая фьючерс, предприятие может застраховаться от резкого изменения цен на базисный товар в будущем. Также используются опционы (право купли-продажи ценных бумаг). В отличие от фьючерса исполнение опциона не обязательно. Все зависит от того, насколько это выгодно держателю. Например* , страхуясь от риска падения курса валюты, в которой оно получает выручку, предприятие-экспортер может одновременно с подписанием договора на поставку продукции купить опцион на продажу валюты, в которой поставка будет оплачена. Если к моменту оплаты договора курс валюты упадет, то предприятие сможет продать ее по курсу, зафиксированному в опционе. Если этого не произойдет, оно просто не исполнит опцион. 4). Взаимосвязь риска и доходности Если риски не учитываются в хозяйственном плане, тогда они становятся источником, с одной стороны, убытков, а с другой — прибылей. Можно выбрать решения, содержащие меньше риска, но при этом меньше будет и получаемая прибыль. Более высокий риск связан с вероятностного извлечения более высокого дохода. Данную проблему легче рассмотреть на примере рынка ценных бумаг (а именно, акций). Доходы от акций складываются из двух составляющих, дивидендов и курсовой доходности, обусловленной разностью между текущей рыночной ценой и ценой покупки. Оценка инвестиционной привлекательности акций с точки зрения высоких дивидендов востребована для долгосрочных инвестиций, имеющих смысл при стабильно благоприятных экономических условиях. В этом случае стратегия управления инвестициями довольно проста - "купи и держи". Но такая примитивная стратегия длительного пассивного ожидания довольно опасна. Цена акций может упасть, компания обанкротиться, тогда вложенные деньги будут потеряны. Поэтому на более коротких интервалах времени нужно применять активные стратегии управления, главным образом ориентированные на извлечение прибыли из разности цен покупки и продажи. Волатильность (показатель изменчивости цены бумаги за определенный период времени) цены дает принципиальную возможность получать значительные доходы от активной торговли акциями. Высоко волатильные акции могут принести большой доход, но равно есть большой риск сильно проиграть. С другой стороны, акции с меньшей волатильностью уменьшают риск проигрыша, но и уменьшают возможный доход. Рисунок 1* . Распределения доходностей высоко- и низковолатильных акций.Обе кривые на графике (рисунок 1) симметричны. Это свидетельствует о том, что с равной вероятностью цены могут как возрасти, так и понизиться. Возможность получить большой доход сопряжена с увеличенным риском потерпеть убытки. За риск отвечает левая часть распределения (часть графика, находящаяся слева от 0), а за доходность - правая. Так, высоко волатильные акции допускают высокие доходы, но игра на них сопровождается высоким риском. Стратегия будет эффективной, если центр тяжести кривой такой плотности вероятности будет смещен в положительную область. В этом случае доходность от одной сделки, в среднем, будет положительной, что обеспечит положительный суммарный доход при достаточной продолжительности управления. |

