Курсовая работа: Статистико экономические оценки и прогнозы цен
|
Название: Статистико экономические оценки и прогнозы цен Раздел: Рефераты по экономике Тип: курсовая работа | |||||||||||||||||||||||||||||||||||||||||||||||||||||||||||||||||||||||||||||||||||||||||||||||||||||||||||||||||||||||||||||||||||||||||||||||||||||||||||||||||||||||||||||||||||||||||||||||||||||||||||||||||||||||||||||||||||||||||||||||||||||||||||||||||||||||||||||||||||||||||||||||||||||||||||||||||||||||||||||||||||||||||||||||||||||||||||||||||||||||||||||||||||||||||||||||||||||||||||||||||||||||||||||||||||||||||||||||||||||||||||||||||||||||||||||||||||||||||||||||||||||||||||||||||||||||||||||||||||||||||||||||||||||||||||||||||||||||||||||||||||||||||||||||||||||||||||||||||||||||||||||||||||||||||||||||||||||||||||||||||||||||||||||||||||||||||||||||||||||||||||||||||||||||||||||||||||||||||||||||||||||||||||||||||||||||||||||||||||||||||||||||||||||||||||||||||||||||||||||||||||||||||||||||||||||||||||||||||||||||||||||||||||||||||||||||||||||||||||||||||||||||||||||||||||||||||||||||||||||||||||||||||||||||||||||||||||||||||||||||||||||||||||||||||||||||||||||||||||||||
| ВВЕДЕНИЕ В современных условиях владение статистическим инструментарием для специалиста экономического профиля приобретает новое значение. Прежде всего это независимость в оценке и составлении статистико-экономических оценок и прогнозов. Государственные органы статистики зачастую дают неполную или деформированную информацию основных макроэкономических показателей , комбинирую абсолютные , относительные и индексные показатели по одной им известной логике. Таким образом получается , что даже элементарное сравнение аналогичных показателей для ряда отраслей становиться весьма сложной задачей. Статистика цен занимается сбором, обработкой и анализом (ретроспективным/перспективным) ценовой информации народного хозяйства. Цена сама по себе является достаточно емким носителем экономической информации . Она может достаточно много сказать как о товаре , так и производителе. Статический анализ цен используется лишь для оценки структуры цены. Гораздо больший практический интерес представляет исследование цен в динамике. Это позволяет более широко исследовать поведение цены и предсказать её поведение в будущем. Комплекс ретроспективного статистического анализа , по мнению автора , должен содержать только тот спектр инструментов и методов, который в дальнейшем пригодиться для анализа.. Тип экономики накладывает отпечаток на решаемые статистикой цен общие и конкретные задачи. Они определяются характером ценообразования, ролью и функциями цены. Концепция статистики цен в условиях плановой экономики и командно-административной системы исходила из необходимости получения информации для плановых и управляющих государственных органов. В задачи статистики цен входили главным образом оценки изменения цен с позиции уровня жизни населения, выделение ценового фактора стоимостных показателей товарооборота, продукции, национального дохода, а также торговой скидки как фактора прибыли. Эти концептуальные задачи решались на практике с помощью основной функциональной задачи: анализа динамики цен, основанного на индексном методе. Кроме того, статистика цен занималась изучением структуры плановых цен, обеспечением базы ценообразования и контроля цен. Весьма ограниченно изучались региональные различия цен, их колеблемость и сезонность (по ценам колхозного рынка), практически не рассматривались соотношения цен различных товаров. Требования рынка не только расширяют и углубляют задачи статистики цен, вытекающие из плановой концепции, но и принципиально меняют их. В основу современной классификации концептуальных задач статистики цен могут быть положены следующие критерии: цели, достигаемые решением задачи, и субъекты, заинтересованные в решении задачи. Первая классификация включает три концептуальные задачи . 1. Характеристика состояния (конъюнктуры) рынка . Решая эту общую задачу в условиях рынка, статистика рассматривает поведение цен как опосредованную реакцию на изменение экономической ситуации (денежная эмиссия, сбалансированность спроса и предложения, рост и дифференциация доходов населения, изменение цен на взаимосвязанные товары, изменение уровня качества товаров и требований к нему и т. д.). 2. Характеристика цены как инструмента управления рынком . С этой позиции статистика изучает возможности и степень воздействия цен на производство (в том числе и с помощью налогов, заложенных в структуру цены), обращение (от цены зависят скорость оборота и издержки обращения), спрос. Общепризнанная обратная зависимость между ценой и спросом не всегда подтверждается на практике, например в случае «престижной» цены или цены «показателя качества». Статистика цен имеет возможность обосновать экономические рычаги для маркетингового регулирования рынка. 3. Анализ цен с позиции маркетингового управления ценообразованием и государственного регулирования цен. Решение этой задачи предполагает статистически выявить закономерности ценообразования, поведения цен и поведения покупателя, установить влияние их на уровень жизни, смоделировать и осуществить прогноз изменения цен. Второй классификацией - с позиции пользователей и заказчиков статистической ценовой информации - выделяются следующие общие задачи статистики цен. 1. С позиции государства: изучение цены как орудия социальной и экономической эффективности рынка, как фактора уровня жизни, как главной составляющей инфляционных процессов; изучение влияния цен на рынок труда, прогнозирование последствий изменения цены; изучение цены в роли дефлятора для пересчета стоимостных показателей: как важнейшего фактора формирования бюджета; статистическое изучение цен, моделирование их закономерностей для принятия решений по ценообразованию, для контроля над денежным обращением в стране; анализ цен с целью регулирования уровня цен на стратегические и жизненно важные товары, для выявления отраслей, в которые невыгодно вкладывать капитал, где неэффективен частный сектор, и т. д. 2. С позиции производителя, продавца : изучение цен как инструмента маркетинга, анализ внутривидовых, региональных уровней цен и их дифференциации, моделирование взаимосвязи цен и качественных характеристик товара, структуры цен в отрасли, изучение цен альтернативных товаров и других субрынков и т. д. 3. С позиции покупателя: изучение цен как фактора индексации доходов, формирования потребительской корзинки и прожиточного минимума; определение ценового влияния на уровень жизни раз личных социальных групп населения; анализ соответствия цен качеству товаров и уровню доходов, предпочтениям потребителей; выявление ассортиментной дифференциации цен как фактора выбора (вынужденности) покупки и т. д. Перечисленные выше концептуальные задачи статистики цен решаются с помощью конкретных функциональных задач, которые включают: - регистрацию цен, наблюдение за их изменением; - анализ уровня цен, его дифференциации; - характеристику структуры цен; - изучение соотношений цен различных товаров, субрынков и перекрестной эластичности цен; - оценку, анализ и моделирование колеблемости, цикличности и сезонности цен; - региональный анализ цен; - анализ и моделирование динамики цен; - выявление и моделирование факторов, влияющих на уровень, вариацию и динамику цен; - прогнозирование цен. Статистика цен, представляющая в условиях плановой экономики функцию государственного управления, по мере расширения рыночных отношений все больше вовлекается в круг интересов бизнес-статистики. Возникают альтернативные службы статистики цен, деятельность которых обусловлена потребностями рыночных структур. [Айвазян С.А. ,Мхитарян В.С., Прикладная статистика и основы эконометрики] 1. Роль цены в рыночной экономике . Цена - многофункциональное экономическое явление, ведущая рыночная категория. Изменение цены часто влечет за собой серьезнейшие социальные, экономические, а также политические последствия. Поэтому во всесторонней и объективной информации о ценах, в глубоком анализе закономерностей и тенденций их изменения заинтересовано все общество, а не только властные структуры и маркетинговые службы. Цена - сумма денег, уплачиваемая за единицу товара, эквивалент обмена товара на деньги. Цены, процессы их образования и изменения представляют собой предмет статистического исследования. Статистика цен - самостоятельный блок, входящий как составная часть в статистику рынка и соответственно в социально-экономическую статистику. Поэтому в органах государственной статистики сформирована самостоятельная служба статистики цен. Сложились уже и альтернативные службы статистики цен. Сущность цены, ее экономическая природа проявляются в двойной роли, которую играет цена на рынке. Она выступает как: - индикатор, отражающий политику и конъюнктуру рынка (соотношение спроса и предложения, торговый и экономический риск., кредитно-финансовую ситуацию, степень конкурентности на рынке и т. д.); - маркетинговый регулятор рынка, с помощью которого осуществляется воздействие на спрос и предложение, структуру и емкость рынка, покупательную способность рубля, оборачиваемость товарных запасов и т. д. В качестве регулятора цены позволяют ограничивать потребление ресурсов и являются мотивацией для производства. Рыночная цена выполняет различные функции. Цена - это посредник и соизмеритель при обмене товаров на деньги. Цена - важный показатель конъюнктуры рынка, фактор уровня, структуры и соотношения спроса и предложения, территориального размещения производства. Цена - инструмент образования прибыли и управления эффективностью, фактор налогообложения. Цена - это главная составляющая инфляционных процессов, средство влияния на инвестиционную политику (повышение цен часто ведет к росту привлекательности инвестиций). Цена - мощный фактор уровня жизни населения, влияющий на рынок труда, объем и структуру потребления, уровень реальных доходов различных социальных групп. И наконец, цена - это орудие конкурентной борьбы. Цены классифицируют по различным направлениям. По сферам товарного обслуживания: - оптовые цены , по которым предприятия реализуют в больших объемах продукцию промышленно-технического и потребительского назначения (между отраслями внутри оптовой сферы и из оптовой в розничную). При наличии разветвленной сети потребления товара оптимизировать продажу позволяют посреднические оптовые фирмы или организации (снабженческо-сбытовые организации, товарные биржи). При отсутствии потребности в посредниках поставщики и потребители устанавливают прямые хозяйственные связи; - розничные цены , по которым товары реализуются конечному потребителю (в основном населению) в ограниченном количестве; - закупочные цены , по которым государство покупает продукцию у сельскохозяйственных предприятий (фермеров); - цены и тарифы на услуги . Тарифы могут относиться к сфере оптовой торговли (например, грузовые транспортные тарифы, фрахт) и розничной (пассажирские тарифы). По способу отражения транспортных расходов: - цены франко-отправления (на товары ограниченного производства и разветвленной сети потребления), включающие транспортные издержки до пункта магистрального транспорта (порта, железнодорожной станции), расходы на остальной путь покрывает покупатель; - цены франко-назначения , включающие транспортные расходы до пункта назначения. По формам продаж: - контрактные (договорные) цены - цены фактической договоренности между продавцом и покупателем; - биржевые котировки - это уровень цены товара, реализуемого через биржу. Цена биржевого товара складывается из биржевой котировки и надбавки (скидки) за качество, удаленность от места поставки; - цены ярмарок и выставок (часто льготные); - аукционные цены , отражающие ход продаж на аукционах (различают стартовые цены и продажные). Аукционы (публичные торги) бывают трех типов: 1.С повышением цены (товар продают по цене, наиболее высокой из предложенных покупателями); 2.Вейлинговые торги (цена предложения наивысшая, на экране-циферблате стрелки имеют обратный ход, покупатель нажатием кнопки определяет устраивающую его цену); 3.С подачей заявок в запечатанных конвертах, при этом отсутствует возможность сравнения с запросами других покупателей. По стадиям продажи: - цены предложения (цены продавца, или стартовые), по которым продавец желает продать товар. Как правило, это верхний предел диапазона возможных цен этого товара (за исключением аукционных и цен подряда), который корректируется в ходе переговоров с покупателем. Для некоторых товаров (машин, оборудования) цены предложения - единственный источник информации об уровне цен на рынке; - цены спроса , по которым покупатель заинтересован приобрести товар; - цены реализации (сделки, продажи, покупки) - фактические, или номинальные, цены. Их следует отличать от реальных, соотнесенных с уровнем дохода общества или общим уровнем цен. По степени регулирования: - жестко фиксированные (основной тип цен в условиях административно-командной экономики); - регулируемые (допускаются изменения в определенных пределах, устанавливаются государством, как правило, на продукты повышенного социального назначения); - свободные (не подвержены прямому вмешательству, формируются в соответствии с конъюнктурой рынка). По степени устойчивости во времени: - твердые : устанавливаются при заключении договора на весь срок действия; - подвижные : зафиксированная в договоре цена меняется в момент поставки, если изменилась рыночная цена товара, установленная по оговоренному в контракте источнику; - скользящие : в договоре устанавливается исходная цена и оговаривается порядок (формула) внесения поправок в случае изменения стоимости ценообразующих факторов. Скользящие цены применяются к товарам, требующим длительного срока изготовления; - с последующей фиксацией : в договоре определяются условия фиксации и принцип определения уровня цены: периодичность фиксации, база фиксации, сроки согласования и осуществления фиксации. В качестве базовой цены, ориентира для внесения поправок или фиксации уровня цены при заключении сделки используются: 1.Расчетные цены , которые обосновываются поставщиком для каждого конкретного заказа с учетом его технических и коммерческих условий; 2.Справочные цены , публикуемые в справочниках, каталогах, периодических изданиях. Как правило, это средние цены фактических сделок за определенный период, экспертные оценки, биржевые котировки, цены предложений крупных фирм и т. д.; 3.Цены прейскурантов и ценников . Прейскуранты выпускаются, как правило, производителем для готовых изделий, рассылаются клиентам, включают цены для конечных пользователей, стабильные скидки в разрезе всей или части товарной номенклатуры фирмы. При необходимости частого изменения цен прейскуранты дополняются вкладышами с коэффициентами изменений. Кроме перечисленных выделяют и другие виды цен , например: - трансфертные (внутрифирменные - для обмена между цехами одного предприятия, дочерними фирмами, заграничными филиалами, конфиденциальны); - мировые (выступают в качестве условной средней стоимости товаров, реализуемых в нескольких странах, на практике, как правило, модальные, т. е. цены отдельных стран - основных производителей товара). Базовый, или установленный, уровень цены может быть скорректирован различными видами скидок (наценок). Наибольшее распространение получили следующие: - скидки за оплату наличными; - сезонные скидки за покупку вне сезона; - скидка за количество или серийность при покупке количества товара, увеличивающегося по сравнению с заранее определенным; - скидка за оборот (бонусная) по определенной шкале в зависимости от оборота, достигнутого в течение согласованного сторонами срока; - дистрибьюторские и дилерские скидки постоянным посредникам по сбыту; - постоянным клиентам за «верность»; - сконто - за предварительную оплату; - специальные скидки на пробные партии и заказы; - скидки за возврат ранее купленной у этой фирмы устаревшей модели (или скидки при обмене на модернизированную модель); - скидки при продаже подержанных товаров; - экспортные скидки иностранным покупателям сверх скидок, предоставляемых на внутреннем рынке; - скидки за потери при усушке, утруске, сортировке, за повышенное количество грязи (сухофрукты), потери жидких товаров при транспортировке, испарении (молоко в цистернах), трудноудаляемые остатки (мед), избыточное содержание влаги (хлопок, шерсть) ; - надбавка за индивидуальность заказа; - надбавка за повышенное качество; - надбавка за рассрочку платежа; - надбавка за дополнительные услуги; - наценки за упаковку, тару. В условиях развитого рынка основным видом цен являются свободные от жесткого регулирования цены, а ценообразование становится инструментом маркетинга. Выработка ценовой стратегии в первую очередь зависит от целей, преследуемых фирмой на рынке. Это, как правило, максимизация прибыли или доли на рынке, достижение стабильного положения. В процессе ценообразования учитываются такие факторы, как спрос (закон спроса, ценовая эластичность спроса, психологическое восприятие цены), полные и предельные издержки, цены и возможности конкурентов, влияние других участников канала товародвижения, законодательные ограничения цен, различные характеристики товара.[С .Фишер , Экономика] Действие рыночного механизма хозяйствования возможно лишь при наличии свободных цен, выступающих индикатором соотношения спроса и предложения, и благодаря этому - ориентиром для субъектов рыночной экономики: домашних хозяйств и фирм. Свобода экономического поведения субъекта, в том числе в области ценообразования, является основой действия законов рынка. Поэтому ключевым моментом экономических реформ по переходу к рыночным отношениям является реформа государственного ценообразования, или либерализация цен. Чтобы лучше понять причины и специфику инфляции необходимо рассмотреть особенности системы планового ценообразования. Такая система, означающая централизованное установление государственных фиксированных цен на большинство видов продукции и услуг, являлась неотъемлемой частью планового хозяйства. Не без основания считалось, что основной функцией плановой цены является ее планово-учетная функция. По мере продвижения продукта от производителя к потребителю в цене производился последовательный учет добавляемых к каждой стадии затрат и соответственно прибыли на эти затраты. Государственные цены являлись плановыми нормативами затрат и дохода в народном хозяйстве. Себестоимость продукции рассматривалась как база цены и занимала в структуре затрат 85%. Поскольку цены служили прежде всего средством покрытия и учета затрат, а спрос, как правило, не влиял на уровень цены, то такое ценообразование стали называть затратным. Разумеется, цены, построенные по затратному принципу и неподвижные в течение нескольких лет, не могли служить индикатором соотношения спроса и предложения на продукт, не могли показывать производителю динамику потребительских предпочтений. Отсюда следует, что переход к рыночному механизму хозяйства, где спрос определяет через уровень цены размеры производства, объективно потребовал реформировать всю систему цен. 2. Экономическая характеристика инфляционных процессов в РФ. Инфляция - повышение общего уровня цен и обесценение денег, вызванное нарушением равновесия между денежной массой и товарным покрытием. Диспропорцию вызывает ряд взаимозависимых причин: - инфляционный спрос (в России это выпуск не обеспеченных товарами денег, покрывающих дефицит государственного бюджета; непроизводительные расходы государства; рост денежных доходов населения, опережающий увеличение производства и образующий дефицит товаров. В мире, например, бойкот стран-членов ОПЕК на продажу нефти, вызвавший рост цен на нефть, рост зарплаты под давлением профсоюзов и др.); - рост уровня издержек (например, рост цен на сырье, переориентация продукции в связи с общественными катаклизмами). Рост заработной платы и цен подталкивают друг друга, и умеренная инфляция при соответствующей политике государства трансформируется в гиперинфляцию: разрушаются нормальные экономические отношения, производители и потребители избавляются от денег, вкладывая их в непроизводительные ценности, переходят на бартерные расчеты, сворачивается производство и накапливаются товары в расчете на их удорожание, растет спекулятивная деятельность, обесцениваются накопления целого поколения людей. Страдают от инфляции граждане с фиксированными доходами, вкладчики-кредиторы и предприниматели. Выигрывают фирмы, имеющие возможность легко увеличить и зарплату, напри мер торговцы драгоценностями, стоимость которых во время инфляции растет быстрее, чем стоимость жизни. Чтобы лучше понять специфики российской инфляции необходимо кратко рассмотреть реформу цен в России. Реформа цен являлась одной из задач правительственной программы 1991года, однако проводилась реформа не совсем продуманно. Первоначально ставка делалась на постепенное изменение производства и цен под контролем государства. Цены производителей были скорректированы в январе, а розничные цены изменились только в апреле. В среднем цены возросли на 60%. Тем самым прибыли росли и не облагались налогом, а на бюджет легла огромная нагрузка роста субсидий и компенсаций. Вслед за повышением цен был снижен налог на прибыль предприятий, что позволило им увеличить выплаты заработной платы. В результате в 1991г. розничные цены выросли на 142%, а оптовые цены в промышленности на 236%. При этом объем производства снизился на 11%, а в целом за период с 1989г. - на 17%. Результатом стало разбалансирование товарного рынка и развитие тотального дефицита, усугубленного инфляционными ожиданиями. Одновременно возрастал бюджетный дефицит(31% ВВП), покрытый за счет эмиссии. Образовался огромный денежный навес, готовый захлестнуть нарождавшийся рынок. Реализация данной политики осложнялась значительными трудностями. Политический кризис 1991г. еще более осложнил ситуацию и привел к отказу от концепции постепенной реформы. 2 января 1992г. было отпущено 80% оптовых и 90% розничных потребительских цен. Исключение составили товары первой необходимости и особо важные материальные ресурсы. Однако, и оставаясь под контролем государства, эти цены выросли в 3-5раз. Практически на все остальные потребительские товары цены были отпущены в марте, а в мае резко(в 6раз) были подняты цены на нефть. Снятие контроля за ценами сопровождалось либерализацией внешнеторговых операций и обменного курса рубля. Либерализация цен вызвала почти пятикратное увеличение розничных цен за первые три месяца 1992г. по сравнению с декабрем 1991г., а оптовые цены уже за первые 2 месяца возросли почти в три раза. Первоначальный рост цен после их либерализации в России оказался выше, чем в других восточноевропейских странах. Рост цен в промышленности оказался очень неравномерным. В оборонной промышленности либерализация цен стала наиболее ощутимой, т. к. Она лишила отрасль традиционно привилегированного доступа к материальным ресурсам. В то время как цены выросли в 5-7раз, объем денежной массы у населения увеличился в первые месяцы после либерализации лишь на 25%. Тем самым избыточная денежная масса была ликвидирована уже в начале реформы. Постепенно к 1998 году инфляция стала носить умеренный характер. Поскольку до этого причиной инфляции была лишь эмиссия , которой покрывался дефицит бюджета . То теперь дефицит покрывался за счет внешних и внутренних заимствований . Эти меры на время заморозили инфляционные процессы. Таким образом правительство Черномырдина построило широко известную финансовую пирамиду , т.н. пирамиду ГКО. Это позволило решать определенные финансовые трудности текущего характера. Но до бесконечности это продолжаться не могло и в августе грянул девальвационно – дефолтный кризис. Этакий своего рода промежуточный метод избежания дефолта с помощью девальвации и девальвации с помощью дефолта. Сейчас инфляция сдерживается в основном за счет поступления в бюджет нефтедолларов и «нефтегазоевро» . Поэтому сейчас стратегически важно для России не пустить в Ирак американский капитал . Поскольку американская экономика находиться сейчас на спаде и ей для продолжения роста жизненно необходима дешевая нефть. А для России жизненно необходима дорогая нефть. Комментарии излишни. 3. Экономико-статистический анализ цен в различных отраслях экономики РФ. Цены - сложная система, составной элемент рыночного механизма. Следовательно, статистическое изучение цен требует развернутой системы показателей, соответствующей требованиям рыночной экономики. Система показателей должна отразить различные виды дифференциации рыночных цен: ассортиментный, территориальный, во времени, по социально-доходным группам, раз личным субрынкам. Рынок делает цены гибкими, чутко реагирующими на изменение различных факторов. Поэтому показатели эластичности цен, их соотношений должны найти отражение в системе показателей статистики цен. Возможность для населения выбора товаров с определенным сочетанием качества и цен, соответствующих определенному уровню дохода и потребительским требованиям, определяет необходимость использования в системе показателей статистических оценок соответствия и отражения в цене качества товара, потребительских предпочтений. Либерализация ценообразования и перспектива стабилизации экономики позволяют закладывать цены в математические модели. Важнейшими остаются показатели динамики (особенно индексы) и прогнозные оценки (с учетом прогноза условий и факторов, влияющих на цены). Особое значение приобретают показатели динамики цен, учитывающие качественные изменения товаров. Система показателей статистики цен отражает диалектическое единство анализа цен в статике и динамике, сочетание синтетического и аналитического подхода к изучению указанных проблем, включает показатели государственной статистики цен и статистики цен рыночных структур. Система показателей статистики цен и ценообразования.
3.1 Анализ потребительских цен. ИНДЕКС ПОТРЕБИТЕЛЬСКИХ ЦЕН - показатель, отражающий динамику цен на потребительские товары (продукты) и услуги; строится по ценам товаров-представителей, входящих в потребительскую корзин); обычно имеет форму индекса Ласпейреса. Методы представления цены: - модальная , - простая средняя арифметическая, - взвешенная, - случайно отобранная. По действующей ныне методике регистрируется модальная цена, т. е. цена товара с наибольшим объемом реализации в товарной группе. Если таких товаров несколько, исчисляется простая средняя арифметическая цена этих товаров. Для оценки уровня цен товара такой подход является упрощенным - не учитывается распределение товаров по размерам и ростам (так как берется наиболее распространенный товар), а также распределение продажи по ценам различных видов товаров. Статистические методы оценки параметров распределения. Метод группировки Произведем группировку подотраслей. В качестве группировочного признака возьмем удельный вес цены подотрасли в общей структуре отраслевой цены. В качестве исходной таблицы возьмем данные о потребительских ценах на продукцию топливно - энергетической отрасли. Таблица №1
В результате группировки получим следующие данные. Таблица №2
По данным таблицы видно , что в отрасли преобладают подотрасли в основном с небольшим удельным весом. Число подотраслей в других интервальных категориях незначительно. На данном графике наглядно изображена графическая интерпретация.
Произведем другую группировку , в которой в качестве группировочного признака возьмем относительные цепные приросты . Таблица № 3
Таблица №4
По данным группировки видно , что за анализируемый период изменение цен подотраслей в границах интервала 51-60% затронуло большее число подотраслей. На данном графике наглядно продемонстрирован разброс подотраслей по значениям группировки.
Метод средних. С помощью данного метода проведем вертикальный и горизонтальный анализ. Метод средних используется для определения среднего уровня показателя. Мы произвели расчет средних за период по подотраслям и в целом по отрасли . Таблица . Вертикальный анализ.
Таблица горизонтальный анализ
Индексный анализ используется для сопоставления количественных показателей за разные периоды времени. Используется два вида индексов: - цепные - сопоставляется два периода с постоянно меняющейся базой; - базисные - сопоставляются два периода, причём за базу выбирается какой-то из периодов. Рассчитываем цепные и базисные индексы. Таблица 1 - "Индексный анализ цен по химической промышленности"
На основе анализа цепных индексов можно сделать вывод, что изменение цен происходит линейно. При этом максимальное значение цепного индекса за все три года достигается в четвёртом квартале 2000 года. Анализ базисных индексов показывает , что цены изменяются более-менее стабильно. Самое минимальное значение было зафиксировано во втором квартале 1999 года. Максимальное значение было зарегистрировано в 4 квартале 2001 года. Для выявления роли факторов в динамике явлений рассчитываются индексы структуры. К ним относятся: - Индекс переменного состава; - Индекс фиксированного состава; - Индекс структурных сдвигов. Для расчёта этих индексов построим таблицу 2. Таблица 2. - "Расчёт структурных сдвигов"
где: х0 , x1 – цены базового и отчетного периода; f0, f1 – цены в базовом и текущих периодов. Индекс переменного состава показывает изменение цен в 1999 году в 0,94044 раза (уменьшение) по сравнению 1998 годом только за счёт изменения цен на электроэнергию. Индекс фиксированного состава. Он показывает изменение цены на продукцию отрасли только за счёт изменения цены на электроэнергию. Индекс фиксированного состава равен: В 1999 году цена отрасли по исследуемым отраслям изменился в 0,961 раз только за счёт цены на электроэнергию. Индекс структурных сдвигов. Он показывает изменение цены за счёт изменения цен на электроэнергию. Индекс структурных сдвигов равен: Анализ динамики цен с использованием временных рядов Ряд динамики - это ряд последовательно расположенных в хронологическом порядке показателей, которые характеризуют развитие явления во времени. Такие ряды также ещё называют временными или хронологическими. Ряды динамики в зависимости от вида приводимых в них обобщающих показателей можно разделить на ряды динамики абсолютных, относительных и средних величин. Исходными (первоначальными) являются ряды динамики абсолютных величин, а абсолютных и средних величин - производными. Анализ динамики инвестиций начнем с поиска коэффициента вариации, расчёта среднеквадратичного отклонения, а также проверки ряда на аномальные наблюдения. Для этого с исходными данными проведём следующие преобразования, представленные в таблице 3.
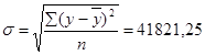
Рассчитаем среднеквадратичное отклонение, коэффициент вариации, а также проверим ряд на "засорение информации" или на аномальные наблюдения.
Среднеквадратичное отклонение = Коэффициент вариации = По вариации можно сделать вывод, что, так как коэффициент вариации меньше 15% , вариация большая и совокупность в целом можно признать однородной. Проверим ряд на аномальные наблюдения с помощью tn -критерия Граббса. В данной совокупности выделим максимальное и минимальное значение - 568 и 889, допустим их взяли неверно. Формула для расчёта tn -критерия Граббса: где: y- аномальное наблюдение; Tn -критерия Граббса= Далее сравню полученные значения с критическими данными по таблице tn -критерия Смирнова-Граббса. При n=12 и доверительной вероятности 0,95 Ткр =2,519. Так как полученные значения Т1 и Т2 < Ткр , то следовательно нет необходимости исключать эти данные из исследования. Для корреляционно-регрессионного анализа необходимо из нескольких факторов произвести предварительный отбор факторов для регрессионной модели. Сделаем это по итогам расчета коэффициента корреляции. А именно возьмем те факторы, связь которых с результативным признаком будет выражена в большей степени. Начнем наш анализ с рассмотрения следующих факторов: - электроэнергия - бензин - экспортная цена на нефть Первые два фактора традиционно являются составляющими себестоимости продукции и поэтому связь здесь быть достаточно сильной и устойчивой. Третий показатель является величиной влияющей на совокупный спрос , поскольку большую долю национального продукта составляют нефтедоллары. Расчетная таблица приведена ниже. На основании её мы высчитаем показатели связи.
продолжение расчетной таблицы
На основе расчетной таблицы мы выявили коэффициенты корреляции между зависимым и влияющим факторами , что бы выявить один основной для построения однофакторной модели. Рассчитаем коэффициент корреляции для линейной связи и для имеющихся факторов - x1 , x2 и x3 . Коэффициент корреляции определяется по следующей формуле:
где: соответственно;
результативного признака; x и y – средние значения факторного и результативного признака соответственно. Для фактора x1 после подстановки данных в формулу, получаем следующий коэффициент корреляции r1 :
Для фактора x2 после подстановки данных в формулу, получаем следующий коэффициент корреляции r2 :
Для фактора x3 после подстановки данных в формулу, получаем следующий коэффициент корреляции r3 :
По полученным данным можно сделать вывод о том, что: Связь между x1 и y прямая (так как коэффициент корреляции положительный) и сильная, так как она находится между 0,9 и 1,0. Тем не менее, будем использовать фактор в дальнейших расчётах. Далее для y рассчитываем показатели вариации для анализа исходных данных: - размах колебаний - R; - дисперсию - - среднее квадратичное отклонение - - коэффициент вариации - V . Данные показатели рассчитываются по следующим формулам:
где: хмах и хmin - соответственно максимальное и минимальное значения фактора. Рассчитаем данные показатели для факторов x1 и x2 . Данные для расчётов можно взять из приложения G. Для x1 : R = 697,02 ; Коэффициент вариации V > 15%. Из этого можно сделать вывод, что совокупность нельзя признать однородной. Данная модель не может применяться на практике, однако в учебных целях продолжим наш анализ, используя данный фактор. Построим линейное уравнение регрессии. Уравнение прямой имеет следующий вид: ŷ = a + bx1
Для вывода данного уравнения необходимо решить следующую систему уравнений: После расчетов получаем параметризованное уравнение
Y=1,7Х-27,69
Eотн = 28,57 Однако эта ошибка больше 5%, то есть данную модель нельзя использовать на практике, но в учебных целях продолжим наш анализ. На основе модели регрессии получим следующие расчетные данные.
На основе данной модели построим прогноз на период 10 и 11.
(Методику расчета см.. в приложении.) На примере анализа потребительских цен мы подробно рассмотрели методологию экономико-статистического анализа цен , поэтому дальше в анализе цен производителей и цен внешней торговли будут представлены только лишь расчетные таблица и аналитика. 3.2Анализ цен производителей. Группировка . В качестве исходной таблицы возьмем данные о потребительских ценах на продукцию растениеводства.. В качестве группировочного признака используем относительные цепные приросты цен отрасли. Таблица: зерновые культуры
.На основании приростов произведем соответствующую группировку по интервалам. Таблица: группировка подотраслей
По данным группировки видно , что цены на сельско- хозяйственную продукцию имеют неустойчивую тенденцию. В 1999 г. больше всего подотраслей (пять единиц ) имели прирост в пределах 101-150%. А уже в 2000 году большинство подотраслей , а именно три , сконцентрировалось в границах прироста 61- 70%. Можно сделать предварительный вывод ,что на определенную часть подотраслей оказывают влияние одни и те же факторы , с одной и той же силой. Следующий график наглядно проиллюстрирует положение дел в отрасли в плане колебаний цен. График: графическая интерпретация группировки
Горизонтальный анализ и вертикальный анализ с помощью метода средних. Таблица : вертикальный анализ
Таблица: горизонтальный анализ
Индексный анализ
На основе анализа цепных индексов можно сделать вывод, что изменение цен происходит линейно.
ряд 1 - базисный индекс ряд 2 - цепной индекс Исследуя изменения базисных индексов наименьшей значение данный показатель имел во 2 квартале 1999 г. А наибольшее значение - в 4 квартале 2001 г. Как видно на графике изменения имеют плавный тенденциозный характер. Таблица 2. - "Расчёт структурных сдвигов"
где: х0 , x1 – цены на электроэнергию базового и отчетного периода; f0, f1 – цены на продукцию отрасли в базовом и текущих периодов. Индекс переменного состава показывает изменение цен в 1999 году в 0,96339 раза (уменьшение) по сравнению 1998 годом только за счёт изменения цен на электроэнергию. Индекс фиксированного состава
Индекс структурных сдвигов
Анализ динамики цен с использованием временных рядов
Рассчитаем среднеквадратичное отклонение, коэффициент вариации, а также проверим ряд на "засорение информации" или на аномальные наблюдения.
Среднеквадратичное отклонение = Коэффициент вариации = По вариации можно сделать вывод, что, так как коэффициент вариации больше 15% , вариация большая и совокупность в целом нельзя признать однородной. Проверим ряд на аномальные наблюдения с помощью tn -критерия Граббса. В данной совокупности выделим максимальное и минимальное значение - 4453 и 5052, допустим их взяли неверно. Формула для расчёта tn -критерия Граббса: где: y- аномальное наблюдение; Tn -критерия Граббса= Далее сравню полученные значения с критическими данными по таблице tn -критерия Смирнова-Граббса. При n=12 и доверительной вероятности 0,95 Ткр =2,519. Так как полученные значения Т1 и Т2 < Ткр , то следовательно нет необходимости исключать эти данные из исследования. Для корреляционно-регрессионного анализа необходимо из нескольких факторов произвести предварительный отбор факторов для регрессионной модели. Сделаем это по итогам расчета коэффициента корреляции. А именно возьмем те факторы, связь которых с результативным признаком будет выражена в большей степени. На основе таблицы , представленной ниже произведем корреляционный анализ.
Начнем наш анализ с рассмотрения следующих факторов: - электроэнергия - бензин - экспортная цена на нефть Коэфициет корреляции ryx1=0,9058 Коэффициент корреляции ryx2=0,9752 Коэффициент корреляции ryx3=0,9958 Самая тесная связь наблюдается между ценами производителей и экспортной ценой на нефть.
Коэффициент вариации V > 15%. Из этого можно сделать вывод, что совокупность нельзя признать однородной. Данная модель не может применяться на практике, однако в учебных целях продолжим наш анализ, используя данный фактор. Построим линейное уравнение регрессии. Уравнение прямой имеет следующий вид: ŷ = a + bx1 На основе представленных выше данных рассчитаем коэффициенты регрессии, где a1 = 134,46 a0 = -42,56 У=-42,56+134,46х Затем построим расчетный тренд.
И на основе это тренда построим прогноз на 10 и 11 периоды.
У10.=а0+а1*10 У11= а0+а1*11
Eотн = 258,00 Анализ цен внешней торговли. Группировка. Сгруппируем по тому же принципу , что и два предыдущих пункта.
В итоге получим следующую таблицу.
Ниже следует графическая интерпретация.
Таблица : вертикальный анализ
Таблица : горизонтальный анализ
Индексный анализ
Ниже следует графическая интерпретация.
На графике видно , что изменение как цепных , так и базисных индексов протекает плавно , без резких скачков. ряд 1 - базисный индекс ряд 2 - цепной индекс Исследуя изменения базисных индексов наименьшей значение данный показатель имел во 2 квартале 1999 г. А наибольшее значение - в 4 квартале 2001 г.
Анализ динамики цен с использованием временных рядов Среднеквадратичное отклонение = Коэффициент вариации = Проверим ряд на аномальные наблюдения с помощью tn -критерия Граббса. В данной совокупности выделим максимальное и минимальное значение - 4453 и 5052, допустим их взяли неверно. Формула для расчёта tn -критерия Граббса: где: y- аномальное наблюдение; Tn -критерия Граббса= Для корреляционно-регрессионного анализа необходимо из нескольких факторов произвести предварительный отбор факторов для регрессионной модели. Сделаем это по итогам расчета коэффициента корреляции. А именно возьмем те факторы, связь которых с результативным признаком будет выражена в большей степени. На основе таблицы , представленной ниже произведем корреляционный анализ. В данном корреляционном анализе мы проанализируем зависимость между внешней ценой на нефть и внутренней.
Рассчитаем коэффициенты регрессии. tcp =5 ycp (t)=134,02 a1=11,70 a0=75,52 Отсюда функция будет иметь вид: y=75.52+11.70x На основании линии регрессии выведем условный тренд Y.
На основании условного тренда сделаем прогноз на 11 и 12 периоды.
Eотн =21,06 Анализ цен внешней торговли. Группировка. Сгруппируем по тому же принципу , что и два предыдущих пункта.
В итоге получим следующую таблицу.
Ниже следует графическая интерпретация.
Средние. Таблица : вертикальный анализ
Таблица : горизонтальный анализ
Индексный анализ
Ниже следует графическая интерпретация.
На графике видно , что изменение как цепных , так и базисных индексов протекает плавно , без резких скачков. ряд 1 - базисный индекс ряд 2 - цепной индекс Исследуя изменения базисных индексов наименьшей значение данный показатель имел во 2 квартале 1999 г. А наибольшее значение - в 4 квартале 2001 г.
Анализ динамики цен с использованием временных рядов Среднеквадратичное отклонение = Коэффициент вариации = Проверим ряд на аномальные наблюдения с помощью tn -критерия Граббса. В данной совокупности выделим максимальное и минимальное значение - 4453 и 5052, допустим их взяли неверно. Формула для расчёта tn -критерия Граббса: где: y- аномальное наблюдение; Tn -критерия Граббса= Для корреляционно-регрессионного анализа необходимо из нескольких факторов произвести предварительный отбор факторов для регрессионной модели. Сделаем это по итогам расчета коэффициента корреляции. А именно возьмем те факторы, связь которых с результативным признаком будет выражена в большей степени. На основе таблицы , представленной ниже произведем корреляционный анализ. В данном корреляционном анализе мы проанализируем зависимость между внешней ценой на нефть и внутренней.
Рассчитаем коэффициенты регрессии. tcp =5 ycp (t)=134,02 a1=11,70 a0=75,52 Отсюда функция будет иметь вид: y=75.52+11.70x На основании линии регрессии выведем условный тренд Y.
На основании условного тренда сделаем прогноз на 11 и 12 периоды.
Eотн =21,06 Экономической обоснование результатов анализа. В ходе анализа мы пришли к следующему заключению. Цены выражают совокупную информацию о рынках( отраслях) и экономике в целом . Цены определенным образом зависят от нескольких основных моментов, которые нашли свое совокупное выражение в в трех факторах : цены на энергоносители и цены на основной продукт экспорта. Построенные модели имеют достаточно высокий коэффициент детерминации , что свидетельствует об их адекватности . В ряде случаев коэффициенты корреляции были близко равны нулю , что тоже свидетельствует на мой взгляд о практической ценности моделей. Все выдвинутые гипотезы о эксопртоориентированности экономики доказаны. Правда утверждение , что совокупный спрос носит зависимый характер от мировой коньюктуры цен на нефть носит чисто гипотетический характер и требует дополнительных статистических подтверждений , но это не входит в предметную область курсового проекта. Выводы и предложения. В ходе работы был проведен определенный спектр исследовательских мероприятий на базе экономико-статистического инструментария. Были выдвинуты гипотезы макроэкономического характера зависимости цен ( в рамках предметной области) от цен на бензин , электроэнергию и экспортных цен на нефть . В ходе выполнения курсового проекта все гипотезы признаны правомерными. |
|||||||||||||||||||||||||||||||||||||||||||||||||||||||||||||||||||||||||||||||||||||||||||||||||||||||||||||||||||||||||||||||||||||||||||||||||||||||||||||||||||||||||||||||||||||||||||||||||||||||||||||||||||||||||||||||||||||||||||||||||||||||||||||||||||||||||||||||||||||||||||||||||||||||||||||||||||||||||||||||||||||||||||||||||||||||||||||||||||||||||||||||||||||||||||||||||||||||||||||||||||||||||||||||||||||||||||||||||||||||||||||||||||||||||||||||||||||||||||||||||||||||||||||||||||||||||||||||||||||||||||||||||||||||||||||||||||||||||||||||||||||||||||||||||||||||||||||||||||||||||||||||||||||||||||||||||||||||||||||||||||||||||||||||||||||||||||||||||||||||||||||||||||||||||||||||||||||||||||||||||||||||||||||||||||||||||||||||||||||||||||||||||||||||||||||||||||||||||||||||||||||||||||||||||||||||||||||||||||||||||||||||||||||||||||||||||||||||||||||||||||||||||||||||||||||||||||||||||||||||||||||||||||||||||||||||||||||||||||||||||||||||||||||||||||||||||||||||||||||||



















Средние.




