Курсовая работа: Разработка программного модуля для вычисления интеграла
|
Название: Разработка программного модуля для вычисления интеграла Раздел: Рефераты по информатике Тип: курсовая работа | |
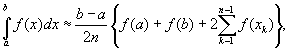
| Содержание Введение Постановка задачи Проектирование программного модуля Тестирование программного модуля Заключение Список использованных источников ВведениеЦелью данной курсовой работы является разработка программного модуля для вычисления интеграла Данная курсовая работа состоит из 4 разделов. В разделе «Постановка задачи» описаны: математическая модель задачи, входные и выходные данные, обработка ошибок, которые могут быть допущены при работе с данной программой. В разделе «Проектирование программного модуля» приведена структурная диаграмма программного модуля, схема программного модуля с ее описанием и описан пользовательский интерфейс. В разделе «Реализация программного модуля» находится код программы с комментариями к нему и описаны используемые операторы и функции. В разделе «Тестирование программного модуля» показана работа программы. 1. Постановка задачи1.1 Математическая модель задачиПусть требуется вычислить интеграл Где f(xk-1 ) и f(xk ) - соответственно основания трапеций; xk - xk-1 = (b-a)/n - их высоты. Таким образом, получена приближенная формула |
![]() |
Рисунок 1. Структурная диаграмма программного модуля.
UserForm1 – пользовательская форма.
UserForm_Initialize() – процедура начальной инициализации пользовательской формы.
CommandButton1_Click() – процедура, срабатывающая при нажатии кнопки «Вычислить интеграл», которая производит вычисление и записывает результат.
Simp(a As Double, b As Double) – функция вычисления интеграла по формуле Симпсона.
Trap(a As Double, b As Double) – функция вычисления интеграла по формуле трапеции.
f(x As Double) – функция вычисляющая значение функции
.
Разработка схемы программного модуля и её описание

Рисунок 2. Блок схема основной программы.
1 – происходит вызов функции вычисления интеграла методом трапеции.2 – происходит вызов функции вычисления интеграла по формуле Симпсона.

Рисунок 3. Блок схема функции вычисления интеграла по формуле Симпсона.
1 – происходит присвоение переменным начальных значений.
2 – происходит присвоение переменным очередных значений.
3 – описан цикл от 0 до n.
4 – вычисляется аргумент.
5 – проверяется условие.
6 – происходит вычисление интеграла.
7 – проверяется условие.
8 – происходит вычисление интеграла.
9 – проверяется условие.
10 – происходит вычисление интеграла.
11 – проверяется условие.
12 – функции присваивается значение интеграла.

Рисунок 4. Блок схема функции вычисления интеграла по формуле трапеции.
1 – происходит присвоение переменным начальных значений.
2 – происходит присвоение переменным очередных значений.
3 – описан цикл от 0 до n.
4 – вычисляется аргумент и происходит вычисление интеграла.
5 – проверяется условие.
6 – функции присваивается значение интеграла.

Рисунок 5. Блок схема вычисления значения функции.
1 – происходит вычисление значения функции.
2.3 Разработка пользовательского интерфейса
При запуске программы появляется следующее окно:
Рисунок 6. Окно программы.
В окне программы расположены исходные данные в элементе управления Label, результат (элемент управления Label), таблицы значений на элементе управления ListBox и кнопка «Вычислить».
3 Реализация программного модуля
3.1 Код программы
Dim n As Integer 'количество делений отрезка
Dim i As Integer 'счетчик итераций
Dim i1 As Double 'переменная для нахождения интеграла
Dim i2 As Double 'переменная для нахождения интеграла
Dim x As Double 'значение аргумента
Dim h As Double 'шаг
Private Sub UserForm_Initialize()
Application.Visible = False 'делаем Excel невидимым
End Sub
Private Sub CommandButton1_Click()
Label3.Caption = Trap(0, 1) 'вычисление интеграла методом трапеции
Label5.Caption = Simp(0, 1) 'вычисление интеграла методом Симпсона
End Sub
Public Function Trap(a As Double, b As Double) As Double ' нахождение интеграла методом трапеции
n = 2
i2 = 0
h = 0.1
With ListBox1
.ColumnCount = 2
ListBox1.AddItem "x"
ListBox1.ColumnWidths = "30;30"
ListBox1.List(0, 1) = "Результат"
Do
n = n * 2
h = (b - a) / n
i1 = i2
i2 = 0
For i = 1 To n
x = a + h * i
ListBox1.AddItem x
i2 = i2 + h * (f(x) + f(a + h * (i - 1))) / 2
ListBox1.List(i, 1) = i2
Next i
Loop While (Abs(i1 - i2) < 0.005)
End With
Trap = i2
End Function
Public Function Simp(a As Double, b As Double) As Double ' нахождение интеграла методом Симпсона
n = 2
i2 = 0
h = 0.1
With ListBox2
.ColumnCount = 2
.ColumnWidths = "30;30"
.AddItem "x"
.List(0, 1) = "Результат"
Do
n = n * 2
h = (b - a) / n
i1 = i2
i2 = 0
For i = 0 To n
x = a + h * i
.AddItem x
If (i = 0 Or i = n) Then
i2 = i2 + f(x) * (b - a) / (3 * n)
.List(i + 1, 1) = i2
Else
If (i Mod 2 = 0) Then
i2 = i2 + f(x) * 2 * (b - a) / (3 * n)
.List(i + 1, 1) = i2
Else
If (i Mod 2 <> 0) Then
i2 = i2 + f(x) * 4 * (b - a) / (3 * n)
.List(i + 1, 1) = i2
End If
End If
End If
Next i
Loop While (Abs(i1 - i2) < 0.005)
End With
Simp = i2
End Function
Public Function f(x As Double) As Double ' нахождение значения функции
f = 1 / Sqr(1 + x ^ 2)
End Function
Private Sub UserForm_QueryClose(Cancel As Integer, CloseMode As Integer) 'Закрытие формы
Select Case MsgBox("Закрыть окно?", vbYesNo + vbQuestion, "Завершение работы")
Case vbYes
Cancel = 0
Application.Quit
Case vbNo
Cancel = -1
End Select
End Sub
3.2 Описание используемых операторов и функций
При разработке программы были использованы следующие операторы и функции:
Оператор присваивания – задает переменной значение другой переменной, выражения или объекта.
Условный оператор (If…Then…Else…End If) – позволяет выбирать и выполнять действия в зависимости от истинности некоторого условия.
Оператор цикла For – позволяет повторять группу операторов заданное число раз.
Цикл с постусловием (Do…Loop While) – используются, когда заранее неизвестно, сколько раз будет выполняться тело цикла, но хотя бы раз тело цикла выполнится.
Функция f(x As Double) – функция, которая вычисляет значение функции в зависимости от аргумента.
Функция Abs(x) – функция, которая возвращает значение аргумента по модулю.
4 Тестирование программного модуля
После нажатия на кнопку «Вычислить интеграл» появляется результат.

Рисунок 7. Результат выполнения программы.
Заключение
Целью данной курсовой работы является разработка программного модуля для вычисления интеграла
по формуле трапеции и формуле Симпсона с заданной точностью
, определяя шаг интегрирования по оценке остаточного члена. Тестирование показало, что результаты, полученные разработанным программным модулем, соответствуют теоретическим расчётам, но расчет по формуле Симпсона оказался точнее.
Список использованных источников
1. Гарнаев А. Ю. Самоучитель VBA. – СПб: БХВ – Санкт-Петербург, 2002.
2. Гарнаев А. Ю. Разработка приложений. – СПб: БХВ – Санкт-Петербург, 2004.
3. Павловская Т. Учебник по программированию С/С++. – СПб, 2001.
4. Васильев А. VBA в Office 2000: учебный курс – СПб: Питер, 2002.
5. Кузьменков В.Г. VBA 2002. – М.: Издательство БИНОМ, 2002.
по формуле трапеции и Симпсона с заданной точностью
, определяя шаг интегрирования по оценке остаточного члена. Для разработки используется табличный процессор Excel и язык программирования Visual Basic for Application.
, где f(x) - непрерывная функция. Для простоты рассуждений ограничимся случаем, когда f(x)³ 0. Разобьем отрезок [a, b] на n отрезков точками a=x0
<x1
<x2
<...<xk-1
<xk
<...<xn
=b и с помощью прямых х=хk
построим n прямолинейных трапеций (эти трапеции заштрихованы на рис. 1). Сумма площадей трапеций приближенно равна площади криволинейной трапеции, т.е.
.