Курсовая работа: Проектування технологій навчання по темі Візуальне програмування в Delphi
|
Название: Проектування технологій навчання по темі Візуальне програмування в Delphi Раздел: Рефераты по педагогике Тип: курсовая работа | |||||||||||||||||||||||||||||||||||||||||||||||||||||||||||||||||||||||||||||||||||||||||||||||||||||||||||||||||||||||||||||||||||||||||||||||||||||||||||||||||||||||||||||||||||||||||||||||||||||||||||||||||||||||||||||||||||||||||||||||||||||||||||||||||||||||||||||||||||||||||||||||||||||||||||||||||||||||||||||||||||||||||||||||||||||||||||||||||||||||||||||||||||||||||||||||||||||||||||||||||||||||||||||||||||||||||||||||||||||||||||||||||||||||||||||||||||||||||||||||||||||||||||||||||||||||||||||||||||||||||||||||||||||||||||||||||||||||||||||||||||||||||||||||||||||||||||||||||||||||||||||||||||||||||||||||||||||||||||||||||||||||||||||||||||||||||||||||||||||||||||||||||||||||||||||||||||||||||||||||||||||||||||||||||||||||||||||||||||||||||||||||||||||||||||||||||||||||||||||||||||||||||||||||||||||||||||||||||||||||||||||||||||||||||||||||||||
| РЕФЕРАТ Курсовий проект містить 40 с., 17 таблиць, 3 рисунка, 12 джерел, 3 додатки. Курсовий проект складається з аналізу професійного призначення і структури професійної діяльності робітника заданої професії. Розробки вмісту підготовки робітників заданої професії. Постановку тактичних цілей професійного навчання фахівця на рівні спеціальної теоретичної дисципліни; побудова зведено-тематичного плану професійної підготовки фахівця. Розробку дидактичного проекту теми (аналіз учбової літератури, визначення логічної структури заданої теми, визначення витрат часу на вивчення теми через нормування дидактичних одиниць); розробки дидактичного проекту уроку (постановка дидактичних цілей, оперативних цілей навчання, аналіз вихідних даних і вибір методів навчання, план-конспект уроку, мотивація учбової діяльності на різних етапах заняття, вибір дидактичної технології). ЗВЕДЕНО-ТЕМАТИЧНИЙ ПЛАН, ДИДАКТИЧНИЙ ПРОЕКТ УРОКУ, КОНТУРНИЙ КОНСПЕКТ УРОКУ, ТАКТИЧНІ ЦІЛІ, ДИДАКТИЧНІ ЦІЛІ, МОТИВАЦІЙНІ ТЕХНОЛОГІЇ, БІНАРНІ ДІЇ, КРЕАТИВНІ ТЕХНОЛОГІЇ. ЗМІСТ Вступ1. Проектування програми професійної підготовки за фахом «Обслуговування інтелектуальних інтегрованих систем»1.1 Аналіз професійної діяльності фахівця1.2 Формування кваліфікованої характеристики фахівця1.3 Розробка змісту професійної підготовки фахівця2 Проектування технологій навчання по темі «Візуальне програмування в Delphi»2.1 Проектування дидактичних матеріалів2.2 Аналіз базових умов навчання. Вибір способів формування базових знань2.3 Проектування мотиваційних технологій навчання2.4 Проектування технологій формування ООД2.5 Проектування технологій формування виконавчих дій (ВД)2.6 Проектування технологій формування контрольних дій (КД)2.7 Складання перспективно-поурочному плані викладу теми «Візуальне програмування в Delphi»2.8 Організація та методика уроку обраної теми3 Розробка дидактичних матеріалів інноваційних технологій навчанняВисновокДодаток 1Додаток 2Додаток 3ВступЦентральне місце в методичній підготовці студентів займає курс теорії та методики навчання. У ході його вивчення студенти опановують методику роботи з різними видами навчальних завдань, обговорюють особливості етапу цілепокладання в системі занять, вибір методів і засобів навчання, методику підготовки і проведення різних типів уроків, у тому числі й інноваційних. При різноманітті підходів до проблеми використання комп'ютерів у навчальному процесі можна виділити два напрямки: перший - вивчення засобів і методів комп'ютерних технології в курсі інформатики, друге - застосування ПЕОМ в процесі навчання різних навчальних дисциплін. Інформатизація суспільства передбачає широке впровадження засобів обчислювальної техніки і нових інформаційних технології практично в усі сфери життя і діяльності людини. Вона трансформує всі структури суспільства і має великий вплив на систему освіти, веде до її комп'ютеризації. Звідси особливої актуальності набувають дослідження, пов'язані з впровадженням комп'ютерної технології навчання в освітній процес. 1. Проектування програми професійної підготовки за фахом «Обслуговування інтелектуальних інтегрованих систем»1.1 Аналіз професійної діяльності фахівцяДіяльність фахівця «Молодший спеціаліст з обслуговування інтелектуальних інтегрованих систем» пов’язана з маркетингом, обслуговуванням, експлуатацією окремих складових інтелектуальних інтегрованих систем управління об’єктами і процесами видобування, перетворення, виробництва матеріалів, виробів продукції та утилізації відходів, а також функціонування транспорту, послуг, фінансової, посередницької, громадської, освітянської діяльності і діяльності, пов’язаної з державним та організаційно-технічним управлінням, операціями з нерухомістю в сфері інформатизації, а також підготовки, перепідготовки підвищення кваліфікації працівників різних видів економічної діяльності. Таблиця 1. 1 - Професійне призначення і місце використання робітника за професією «Обслуговування інтелектуальних інтегрованих систем»
Виділені трудові процеси лежать в основі побудови функціональної структури діяльності фахівця. Так, фахівець виконує слідуючи функції: підготовчу, технологічну, контрольну, організаційну. Таблиця 1.2 - Структура виробничої діяльності робітника за професією «Обслуговування інтелектуальних інтегрованих систем»
Підготовка спеціаліста вимагає постановки тактичних цілей навчання. При постановці мети вивчення учбового курсу викладач має чітко уяснити, які саме характеристики особи слід формувати, на які елементи структури особи слід впливати. Фактично ціль навчання дисципліни або тактична ціль навчання представляє собою опис не тільки видів діяльності, які формуються в процесі вивчення, але і всі ті характеристики особи, які слід формувати в процесі засвоєння заданої дисципліни. Таблиця 1 3 - Постановка тактичних цілей професійного навчання прохідника на рівні спеціальної теоретичної дисципліни
1.2 Формування кваліфікованої характеристики фахівцяСформульовані в табл. 1.2 функціональні одиниці діяльності (ФОД) необхідно далі трансформувати в систему умінь, необхідних для їхнього виконання. Виробничі функції зводяться до умінь і навичок виконувати необхідні виробничі функції. Серед них виділяються уміння: - предметно-практичні (ПП); - предметно-розумові (ПР); - знаково-практичні (ЗП); - знаково-розумові (ЗР). До предметних (П) умінь відносяться такі, у яких предметом діяльності є матеріальні об'єкти (матеріальні чи штучні), а до знакових (3) — знакові системи, що заміняють ці об'єкти. Таблиця 1. 4 - Перелік вмінь та знань, необхідних для професійної діяльності робітника за фахом «Обслуговування інтелектуальних інтегрованих систем»
На основі змісту знань, необхідних при підготовці прохідника, формується список тем, необхідних для теоретичного та практичного навчання спеціаліста з обслуговування інтелектуальних інтегрованих систем (табл.1.5). Таблиця 1. 5 - Перелік тем теоретичного та практичного навчання, необхідних для підготовки робітників за фахом «Обслуговування інтелектуально-інтегрованих систем»
1.3 Розробка змісту професійної підготовки фахівцяНа основі тактичних цілей навчання слідує розробка програм теоретичної («Спецтехнологія») і практичної («Виробниче навчання») професійної підготовки фахівця. Щоб визначити теми програми професійної теоретичної підготовки фахівця, необхідно врахувати такі чинники, як структура галузі господарської діяльності фахівця і види виконуваною їм професійній діяльності. Структурними компонентами галузі господарської діяльності фахівцями є техніка, технологія, організація управлінням, економіка, правові питання галузі наукові дослідження. Таблиця 1 6 - Формування набору тем професійної теоретичної підготовки фахівця
На основі всіх виконуваних розробок формується зведено-тематичний план підготовки фахівця. Зведено-тематичний план повинен включати тематику спеціальних дисциплін ( «Спецтехнологія», «Виробниче навчання» і так далі), регламентувати послідовність вивчення тем і кількість часу, що відводиться на їх вивчення, посеместрове розчленовування учбових курсів, відображати форми навчання (уроки, практики). Таблиця 1. 7 - Звідно-тематичний план підготовки спеціаліста робітника за фахом «Обслуговування інтелектуальних інтегрованих систем»
Таблиця 1. 8 - Робоча програма дисципліни «Обслуговування інтелектуальних інтегрованих систем»
2 Проектування технологій навчання по темі «Візуальне програмування в Delphi»2.1 Проектування дидактичних матеріалівВ процесі навчання відбувається планомірне формування знань, умінь, навиків, а також необхідних властивостей особи учня. Основною такої планомірної передачі знань є чітко сформульована мета. Оперативна мета навчання повинна бути сформульована у формі знань і умінь, які необхідно сформувати у майбутнього фахівця в ході вивчення теми. Аналіз однотипної учбової літератури по темі: «Візуальне програмування в Delphi» виробимо бальним методом. Коефіцієнт значимості кожного показника якості підручника К (показник якості) збільшується па Р - ступінь реалізації показника в тім підручнику. Сума отриманих добутків для кожного підручника складається, і результат є характеристикою якості підручника. Підручники: 1) Культин. Delphi 6. Программирование на Object Pascal. — БХВ-Петербург, 2001. — 528 с.: ил. 2) Бондаренко М.А. Программирование в Delphi — Харьков: б.н., 2005. — 340 с. 3) Чиртик А., Борисок В., Корвель Ю. Delphi. Трюки и эффекты. — Питер, 2007. — 400 с. Перелік найбільш важливих показників якості і коефіцієнти їхньої значимості приведені в табл. 2.2. На підставі отриманих результатів робиться висновок про вибір підручника для подальшого його використання. Таблиця 2. 2 – Системи якості порівнюваних підручників
За даними аналізу однотипної учбової літератури по темі: «Візуальне програмування в Delphi» бальним методом вибираємо для подальшого використання підручники (2) та (3). Оскільки сума балів складає 176 у першого та 159 у другого підручника. План викладу теми: 1. Знайомство з Delphi: 1.1 Загальні відомості. 1.2 Інтерфейс та структура програми. 2. Стандартні типи даних. 3. Частини програми: 3.1 Оператори. 3.2 Процедури. 3.3 Функції. 3.4 Властивості, методи та події 4. Створення додатку. 4.1 Форми 4.2 Компоненти та їх властивості 4.3 Компіляція та налагодження програми 5. Робота з файлами. 6. Вивід графіки за допомогою GUI. 7. Класи: 7.1 Загальні відомості 7.2 Створення власних класів.
Рисунок 1 – Логіко-семантична структура 1.2.1 Середа розробки. 1.2.2 Компоненти. 1.2.3 PAS-файл. 2.1.1 Прості типи. 2.1.2 Строкові типи. 2.1.3 Тип Variant. 2.1.4 Об’явлення змінних. 2.1.5 Константи 3.1.1 Оператори присвоювання. 3.1.2 Оператори вводу/виводу. 3.1.3 Оператор безумовного переходу 3.1.4 Оператори умовного переходу 3.1.5 Цикли 3.2.1 Процедури 3.3.1 Функції 3.4.1 Властивості 3.4.2 Методи 3.4.3 Події 4.1.1 Стандартні форми 4.1.2 Форми нестандартного вигляду 4.1.3 Прозорі вікна 4.2.1 Компоненти 4.3.1 Компіляція 4.3.2 Налагодження 4.3.3 Оптимізація 5.1.1 Текстові файли 5.1.2 Типізовані файли 5.1.3 Не типізовані файли 5.1.4 Процедури та функції для роботи з файлами 5.1.5 Технології COM і OLE 6.1.1 GUI та Canvas 6.1.2 Завантаження малюнків до ImageList 2.2 Аналіз базових умов навчання. Вибір способів формування базових знаньНаступний етап дидактичного проектування припускає здійснення аналізу і діагностики процесу навчання. Виходячи з виду МТ- зв'язку і особливостей її реалізації, вибираються способи контролю базових знань з урахуванням характеристик учбової групи, складності і важливості нового матеріалу, резерву часу. Таблиця 2. 3 – Аналіз МТ-зв'язків і вибір базового матеріалу по темі «Візуальне програмування в Delphi»
Таблиця 2. 4 – Визначення способів контролю базових знань учнів по темі «Візуальне програмування в Delphi»
Таблиця 2. 5 – Визначення способів формування базових знань по темі «Візуальне програмування в Delphi»
2.3 Проектування мотиваційних технологій навчанняНа даному етапі необхідно здійснити вибір виду мотивації, а також методів і прийомів, за допомогою яких вона може бути здійснена. Мотивація — це спонукання до дії; динамічний процес фізіологічного та психологічного плану, що керує поведінкою людини і визначає його спрямованість, організованість, активність і стійкість; здатність людини діяльно задовольняти свої потреби. Мотивація має під собою інтелектуальну підоснову, емоції лише побічно впливають на процес. Фрагмент мотивації теми: «Візуальне програмування в Delphi» Комп'ютери 50-х - 70-х років коштували шалено дорого. У ті роки було не дуже важливо, скільки часу програміст пише програму і як довго він її налагоджує; головне було - не перевантажувати комп'ютер. Тому в ході роботи над програмою комп'ютер майже не допомагав програмісту. Створення мов об'єктно-орієнтованого програмування дозволило вирішити безліч проблем. Програмний об'єкт, наприклад такий, як кнопка, зберігається в основній програмі у вигляді набору стандартних процедур. Якщо треба змінити напис на кнопці або розмір кнопки, то ніякі процедури не треба міняти - треба лише змінити властивості об'єкта, і всі необхідні зміни в процедурах відбудуться автоматично - за це відповідає система об'єктно-орієнтованого програмування. 2.4 Проектування технологій формування ООДПроектування технологій формування орієнтовної основи діяльності (ООД) включає вибір типу навчання, його структурних елементів, а також методів і прийомів їх реалізації. ООД забезпечує не тільки правильне виконання дій, але і раціональний вибір одного з багатьох можливих виконань. Виходячи з цього, діяльність по розробці технологій формування нових знань зводиться, в першу чергу, до конструюванню орієнтованої основи і вибору типа навчання, які потім визначають методи і форми організації учбового процесу. Таблиця 2. 6 – Вибір способів формування ООД по темі «Візуальне програмування в Delphi»
2.5 Проектування технологій формування виконавчих дій (ВД)Після того, як у учнів сформовані необхідні уявлення про об'єкти, що вивчаються, процеси або явища навколишній дійсності, наступає етап формування умінь, навиків або, по-іншому, виконавчих дій. У таблиці приведена загальна характеристика способів навчання, які представлені через методи навчання, і опис діяльності викладача стосовно кожного з етапів формування діяльності. Таблиця 2. 7 – Вибір технологій формування ВД по темі «Візуальне програмування в Delphi»
2.6 Проектування технологій формування контрольних дій (КД)Діяльність викладача по розробці системи контролю включає ряд етапів: 1 етап. Аналіз мети навчання. 2 етап. Вибір видів контролю. На цьому етапі необхідно так побудувати систему контролю і продумати способи контролю, щоб викладач чітко отримав відповідь на питання: чи виконує учень ту дію, яка намічена? Чи правильно його виконує? 3 етап. Вибір способів контролю. Таблиця 2. 8 – Вибір технологій формування КД по темі «Візуальне програмування в Delphi»
2.7 Складання перспективно-поурочному плані викладу теми
|
|||||||||||||||||||||||||||||||||||||||||||||||||||||||||||||||||||||||||||||||||||||||||||||||||||||||||||||||||||||||||||||||||||||||||||||||||||||||||||||||||||||||||||||||||||||||||||||||||||||||||||||||||||||||||||||||||||||||||||||||||||||||||||||||||||||||||||||||||||||||||||||||||||||||||||||||||||||||||||||||||||||||||||||||||||||||||||||||||||||||||||||||||||||||||||||||||||||||||||||||||||||||||||||||||||||||||||||||||||||||||||||||||||||||||||||||||||||||||||||||||||||||||||||||||||||||||||||||||||||||||||||||||||||||||||||||||||||||||||||||||||||||||||||||||||||||||||||||||||||||||||||||||||||||||||||||||||||||||||||||||||||||||||||||||||||||||||||||||||||||||||||||||||||||||||||||||||||||||||||||||||||||||||||||||||||||||||||||||||||||||||||||||||||||||||||||||||||||||||||||||||||||||||||||||||||||||||||||||||||||||||||||||||||||||||||||||||
| № уроку |
Тема уроку |
Тип уроку |
Учбова мета |
Розвиваюча мета |
| Урок № 1 2 години |
Основи роботи в середовищі Delphi. Програмування лінійних алгоритмів: Головне вікно. Піктограми. Панелі інструментів. Налаштування вікон. Палітра компонентів. Вікно форми. Вікно дерева об'єктів. Вікно інспектора об'єктів. Вікно коду програми. |
Лабораторна робота: 1. Організаційний момент (2-3); 2. Актуалізація (2хв); 3. Мотивація (3хв); 4. Вступний інструктаж (10 хв); 5. Виконання л/р (40хв.) 6.Оформлення звіту (10хв); 7. Підведення підсумків (5хв). |
Вивчити інтерфейс ООСП Delphi. Виховати відповідальність, дисципліну, самостійність. |
Розвинути пам’ять, мислення, цікавість до предмету. |
| Урок № 2 4 години |
Компоненти Delphi: Standard, Additional, Win32, System, Dialogs, Win 3.1, Samples, ActiveX, компоненти для роботи з БД, компоненти для роботи в Інтернет. |
Лекція: 1. Організаційний момент (2-3хв); 2. Мотивація (2хв); 3. Повідомлення нового матеріалу (35хв); 4. Видача д/з (5хв). |
Вивчити характеристику та призначення компонентів Delphi. Виховати відповідальність, дисципліну, самостійність. |
Розвинути пам’ять, просторове мислення. |
| Урок № 3 2 години |
Форми Delphi: Різновиди форм. Компонент TForm. Створення та використання форм. Програми з багатьма формами. |
Лекція: 1. Організаційний момент (2-3хв); 2. Мотивація (2хв); 3. Повідомлення нового матеріалу (35хв); 4. Видача д/з (5хв). |
Вивчити структуру форм. Виховати відповідальність, дисципліну, самостійність. |
Розвинути пам’ять, здатність до самостійного навчання. |
| Урок № 4 2 години |
Основи візуального програмування: Зміна властивостей форми. Розміщення нового компонента. Реакція на події. |
Комбінований урок 1. Організаційний момент (2-3); 2. Мотивація (2хв); 3. Актуалізація (3хв); 4. Повідомлення нового матеріалу (35хв); 5. Практична робота (45хв); 6. Видача д/з (5хв). |
Вивчити технологію створення простого програмного додатку. Виховати відповідальність, дисципліну, самостійність. |
Розвинути здатність до самостійного навчання, цікавість до предмету |
| Урок № 5 1 години |
Застосування операторів, циклів, масивів: If..Then, While, And, Or, begin..end, case, repeat, array |
Ділова гра: 1. Організаційний момент (2-3); 2. Мотивація (2хв); 3. Актуалізація (3хв); 4. Проведення гри (40 хв); 5. Підведення підсумків (5хв); 6. Видача д/з (5хв). |
Вивчити технологію застосування операторів. Виховати відповідальність, дисципліну, самостійність. |
Розвинути здатність до самостійного навчання, цікавість до предмету, працювати з операторами. |
| Урок № 6 2 години |
Класи об’єктів: Об'єкт. Властивості і методи об'єкта. |
Лекція: 1. Організаційний момент (2-3хв); 2. Мотивація (2хв); 3. Повідомлення нового матеріалу (35хв); 4. Видача д/з (5хв). |
Вивчити технологію створення нового класу. Виховати відповідальність, дисципліну, самостійність. |
Розвинути здатність до самостійного навчання, цікавість до предмету, працювати з класами. |
| Урок № 7 1 година |
Контрольне заняття. |
Контроль сформованих знань: 1. Організаційний момент (2-3хв); 2. Вхідний інструктаж (10хв); 3. Контрольна робота (30-35хв); 4. Заключний інструктаж (5-7хв). |
Перевірити знання учнів по темі «Візуальне програмування в Delphi». |
Розвинути професійні інтереси до професії, пам’ять, просторове мислення. |
2.8 Організація та методика уроку обраної теми
Тема: Основи роботи в середовищі Delphi. Програмування лінійних алгоритмів.
Мета:
· дидактична: вивчити принципи роботи в середовищі Delphi та програмування лінійних алгоритмів; навчити складати каркас найпростішої програми в середовищі Delphi.
· розвиваюча: розвинути та сформувати пам’ять, увагу, спостережливість, самостійність, абстрактне та логічне мислення;
· виховна: виховати відповідальність, цілеспрямованість, професійну етику.
Тип уроку: лабораторна робота.
Методи навчання:
· наочний: знімки з екрану, які демонструють хід роботи;
· словесний: розповідь, бесіда, пояснення;
· контрольний: самостійна робота, індивідуальний захист звітів.
Дидактичне забезпечення:
а) методичні вказівки до виконання роботи;
б) конспект повідомлення нових знань з теми «Візуальне програмування в Delphi».
в) комп’ютер зі встановленою ОС та середовищем Delphi.
Список рекомендованої літератури:
1. Бондаренко М.А. Программирование в Delphi — Харьков: б.н., 2005. — 340 с.
2. Чиртик А., Борисок В., Корвель Ю. Delphi. Трюки и эффекты. — Питер, 2007. — 400 с.
Структура заняття:
1. Організаційний момент (3 хв.)
2. Актуалізація (5 хв.)
3. Мотивація (2 хв.)
4. Вступний інструктаж (10 хв.)
5. Знайомство з інструкцією (10 хв.)
6. Виконання лабораторної роботи. (35 хв.)
7. Оформлення звітів по лабораторній роботі. (10 хв.)
8. Опитування по звіту. (10 хв.)
9. Підведення підсумків (5 хв.)
I. Організаційний момент.
II. Актуалізація:
- Що ви можете сказати про середовище програмування Pascal?
- З яких елементів складається вікно програми?
- Які оператори використовувалися при складанні програм?
- Як запускалася програма на виконання?
III. Мотивація: Комп'ютери 50-х — 70-х років коштували шалено дорого. У ті роки було не дуже важливо, скільки часу програміст пише програму і як довго він її налагоджує; головне було — не перевантажувати комп'ютер. Тому в ході роботи над програмою комп'ютер майже не допомагав програмісту.
Створення мов об'єктно-орієнтованого програмування дозволило вирішити безліч проблем. Програмний об'єкт, наприклад такий, як кнопка, зберігається в основній програмі у вигляді набору стандартних процедур. Якщо треба змінити напис на кнопці або розмір кнопки, то ніякі процедури не треба міняти — треба лише змінити властивості об'єкта, і всі необхідні зміни в процедурах відбудуться автоматично — за це відповідає система об'єктно-орієнтованого програмування.
IV. Вступний інструктаж:
1. Інтегроване середовище розробника DELPHI
Середа DELPHI візуально реалізується у вигляді декількох одночасно розкритих на екрані монітора вікон. Кількість, розташування, розмір і вид вікон може змінюватися програмістом в залежності від його поточних потреб, що значно підвищує продуктивність роботи. При запуску DELPHI ви можете побачити на екрані картинку, подібну представленої на рис. 2.

Рисунок 2
1 - головне вікно; 2 - основне меню; 3 - піктограми основного меню; 4 - вікно інспектора об'єктів; 5 - меню компонентів; 6 - вікно форми; 7 - вікно тексту програми
Головне вікно завжди присутня на екрані і призначене для управління процесом створення програми. Основне меню містить всі необхідні засоби для управління проектом. Піктограми полегшують доступ до найбільш часто застосовуваним командам основного меню. Через меню компонентів здійснюється доступ до набору стандартних сервісних програм середовища DELPHI, які описують певний візуальний елемент (компонент), поміщений програмістом у вікно форми.
Кожен компонент має певний набір властивостей (параметрів), які програміст може задавати. Наприклад, колір, заголовок вікна, напис на кнопці, розмір і тип шрифту та ін. Вікно інспектора об'єктів (викликається c допомогою клавіші F11) призначено для зміни властивостей обраних частин і складається з двох сторінок. Сторінка Properties (Властивості) призначена для зміни необхідних властивостей компонента, сторінка Events (Події) – для визначення реакції компоненту на ту чи іншу подію (наприклад, натискання певної клавіші або клацання «мишею» по кнопці).
Вікно форми являє собою проект Windows-вікна програми. У цей вікно в процесі написання програми поміщаються необхідні візуальні і невізуальні компоненти. При виконанні програми поміщені візуальні компоненти будуть мати той самий вигляд, що й на етапі проектування.
Вікно тексту програми призначено для перегляду, написання та редагування тексту програми. У системі DELPHI використовується мова програмування Object Pascal. При первинному завантаженні у вікні тексту програми знаходиться текст, що містить мінімальний набір операторів для нормального функціонування порожній форми як Windows-вікна. При приміщенні деякого компонента у вікно форми текст програми автоматично доповнюється описом необхідних для його роботи бібліотек стандартних програм (розділ uses) і типів змінних (розділ type) (див. Лістинг 1).Програма в середовищі DELPHI складається як опис алгоритмів, які будуть виконуватися при виникненні тієї чи іншої події (наприклад, клацання "миші" на кнопці - подія OnClick, створення форми - OnCreate). Для кожного оброблюваного події, за допомогою сторінки Events інспектора об'єктів у тексті програми організується процедура (procedure), між ключовими словами begin і end якої програміст записує на мовою Object Pascal необхідний алгоритм.
Переключення між вікном форми і вікном тексту програми здійснюється за допомогою клавіші F12.
2. Структура програм DELPHI
Додаток в середовищі DELPHI складається з файлів з вихідним текстом (розширення pas), файлів форм (розширення dfm) і файлу проекту (розширення .dpr), який пов'язує разом всі файли проекту.
У файлі проекту знаходиться інформація про модулі, що становлять даний проект. Файл проекту автоматично створюється і редагується середовищем DELPHI і не призначений для редагування.
Файл вихідного тексту - програмний модуль (Unit) призначений для розміщення текстів програм. У цьому файлі програміст розміщує текст програми, написаний на мові PASCAL.
Модуль має наступну структуру:
unit Unit1;
interface // Розділ оголошень
implementation // Розділ реалізації
begin // Розділ ініціалізації
end.
У розділі оголошень описуються типи, змінні, заголовки процедур і функцій, які можуть бути використані іншими модулями, через оператори підключення бібліотек (Uses). У розділі реалізації розташовуються тіла процедур і функцій, описаних в розділі оголошень, а також типи змінних, процедури та функції, які будуть функціонувати тільки в межах даного модуля. Розділ ініціалізації використовується рідко і його можна пропустити.
При компіляції програми DELPHI створює файл з розширенням dcu, містить в собі результат перекладу в машинні коди вмісту файлів з розширеннями pas і dfm. Компонувальник перетворює файли з розширенням dcu в єдиний завантаження з розширенням exe. У файлах, які мають розширення ~ df, ~ dp, ~ pa, зберігаються резервні копії файлів з образом форми, проекту і вихідного тексту відповідно.
VI. Виконання лабораторної роботи
Мета роботи: навчитися складати каркас найпростішої програми в середовищі DELPHI. Написати і налагодити програму лінійного алгоритму.
План роботи:
1. Ознайомтесь з теоретичним матеріалом до даної роботи;
2. Згідно свого варіанту виконайте завдання;
3. Оформити звіт;
4. Зробити висновки по роботі.
Хід роботи:
1. Приклад написання програми
Завдання: скласти програму обчислення для заданих значень x, y, z арифметичного вираження.

Панель діалогу програми організувати у вигляді, представленому на рис.3.
1.1. Налаштування форми
Для створення нового проекту виберіть в основному меню пункт File-New-Application. Порожня форма в правому верхньому куті має кнопки управління, які призначені: для згортання форми в піктограму , Для розгортання форми на весь екран і повернення до вихідного розміром і для закриття форми. За допомогою миші, «захоплюючи» одну з крайок форми або виділений рядок заголовка відрегулюйте потрібні розміри форми і її положення на екрані.
1.2. Зміна заголовка форми
Нова форма має однакові ім'я (Name) і заголовок (Сaption) - Form1. Щоб змінити заголовок викличте вікно інспектора об'єктів і клацніть кнопкою миші на формі. На сторінці Properties інспектора об'єктів знайдіть властивість Caption і в равій клітинці наберіть "Іванов А. Гр. 710201 Лінійний алгоритм".
1.3. Розміщення рядка введення (TEdit)
Для введення даних, а так само виведення інформації, яка вміщається в один рядок, використовується однорядкове вікно редагування (компонент TEdit). Доступ до інформації, що в вікні інформації у вигляді рядка з символів (Тип String) здійснюється за допомогою властивості Text. У програмі за допомогою компонентів TEdit будуть вводитися значення змінних x, y, z (див. рис. 3).
У меню компонентів Standard піктограму і клацніть мишею в тому місці форми, де ви хочете її поставити. Помістіть три компонента TEdit у форму, в тексті програми (див. Лістинг 1.1) з'явиться три нових змінних - Edit1, Edit2, Edit3. Захоплюючи компоненти "мишею" відрегулюйте розміри вікон і їхнє становище. За допомогою інспектора об'єктів встановіть шрифт і розмір символів відображаються у рядку Edit (властивість Font).
У властивості Text інспектора задайте початкові значення змінних x, y, z. На етапі написання програми, слід звернути увагу на те, що чисельні значення змінних x, y, z мають дійсний тип, а компонент TЕdit у змінній Text містить відображається у вікні рядок символів. Для перетворення строковою запису числа, що знаходиться в змінної Edit.Text, в дійсне його подання, треба використовувати стандартну функцію x: = StrToFloat (Edit1.Text). Якщо вихідні дані мають цілочисельний тип, наприклад integer, то використовується стандартна функція StrToInt. При цьому у записі числа не повинно бути пробілів, а ціла і дробова частина дійсного числа поділяється символом, заданим в розділі "Мови і стандарти" панелі керування Windows (за замовчуванням - коми).
1.4. Розміщення надписів (TLabel)
На формі рис. 3 є чотири пояснювальні написи. Для нанесення таких написів на форму використовується компонент TLabel.
У меню компонентів Standard піктограму і клацніть мишею в потрібному місці форми (з'явиться напис Label1). Виконайте це для чотирьох написів (у тексті програми автоматично з'являться чотири нові змінних типу TLabel). Для кожної написи, клацнувши на ній мишею, відрегулюйте розмір і положення на формі. У властивість Caption введіть рядок, наприклад "Значення змінних", а також виберіть розмір символів (властивість Font).
1.5. Розміщення багаторядкового вікна виводу (TMemo)
Для виведення результатів роботи програми у вигляді звіту, що містить кілька рядків тексту, зазвичай використовується текстове вікно (компонент TMemo).
У меню компонентів піктограму і помістіть компонент TMemo на форму. У тексті програми з'явилася змінна. За допомогою миші відрегулюйте розміри і місце розташування Memo1. Для відображення вертикальної і горизонтальної смуг прокручування, на сторінці Properties інспектора об'єктів встановіть властивість ScrollBars в положення SSBoth. Інформація, яка відображається порядково у вікно типу ТMemo, знаходиться у властивості Memo1.Lines. Новий рядок додається методом Memo1.Lines.Add (змінна типу String). Для чищення вікна під час виконання програми використовується метод Memo1.Clear. Якщо виводяться дані, що знаходиться в змінних дійсного або цілого типу, то їх треба попередньо перетворити до типу String. Наприклад, якщо змінна u: = 100 цілого типу, то метод Memo1.Lines.Add ('Значення u = '+ IntToStr (u)) зробить це, і у вікні з'явиться рядок "Значення u = 100". Якщо мінлива u: =- 256,38666 дійсного типу, то при використанні методу Memo1.Lines.Add ('Значення u =' + FloatToStrF (u, fffixed, 8,2)) буде виведена рядок "Значення u = -256,39". При цьому під всі число відводиться вісім позицій, з яких дві позиції займає його дробова частина.
1.6. Написання програми обробки події створення форми (FormCreate)
Після запуску програми, на певному етапі її виконання, відбувається створення спроектованої форми (подія OnCreate). Створимо підпрограму - обробник цієї події (TForm1.FormCreate). Вона очищає вікно ТMemo1. Для цього двічі клацнемо мишею на будь-якому вільному місці форми. На екрані з'явиться текст, в якому автоматично внесений заголовок процедури обробника події створення форми: Procedure TForm1.FormCreate (Sender: TObject). Між begin ... end вставимо текст програми (дивіться приклад, розташований нижче).
1.7. Написання програми обробки події натискання кнопки (ButtonClick)
Помістіть на форму кнопку (компонент ТButton), для чого необхідно вибрати в меню компонентів Standart піктограму. За допомогою інспектора об'єктів змініть заголовок (Caption) - Button1 на слово "Обчислити" або інше за вашим бажанням. Відрегулюйте положення і розмір кнопки.
Після цього два рази клацніть на кнопці, з'явиться текст підпрограми, з заголовком процедури обробника події "клацання мишею на кнопці "(Procedure TForm1.ButtonClick (Sender: TObject);). Наберіть текст цієї процедури (див. Лістинг 1).
Увага! Заголовки процедур ButtonClick і FormCreate створюються середовищем Delphi автоматично (якщо набрати їх вручну - програма працювати не буде). При запуску програми на виконання всі функції обробки подій, у яких між begin і еnd не було написано тексту видаляються автоматично за відповідним запитом середовища Delphi. Тому не треба вручну видаляти помилково створені обробники.
Розмістіть на формі власну кнопку для кінця роботи, помістивши з папки Additional кнопку Bitbtn1 і встановивши в інспектора для властивості Kind значення Close.
1.8. Запуск і робота з програмою
Запустити програму можна, вибравши в головному меню пункт Run - Run, або натиснувши клавішу F9, або клацнувши мишею по піктограмі. При цьому відбувається трансляція і, якщо немає помилок, компонування програми і створення єдиного завантаження файлу з розширенням exe. На екрані з'являється активна форма програми (рис.3).

Рисунок 3
Робота з програмою відбувається наступним чином. Натисніть (Клацніть мишею) кнопку "Обчислити". У вікні Memo1 з'являється результат. Змініть вихідні значення x, y, z у вікнах Edit і знову натисніть кнопку «Обчислити» - з'явиться нові результати. Завершити роботу програми можна або натиснувши кнопку на формі або кнопку «CLose» або, перейшовши у вікно DELPHI, вибрати в головному меню пункт Run - Program Reset. Останній спосіб виходу з програми зазвичай використовують у разі її зациклення.
У Лістингу 1.1 (див. ДОДАТОК 1) представлений текст програми. Для наочності, оператори, які слід набрати виділені курсивним шрифтом, інші оператори вставляються середовищем Delphi автоматично.
Перелік варіантів завдань знаходиться у ДОДАТКУ 2.
Вибір дидактичної технології
![]()
3 Розробка дидактичних матеріалів інноваційних технологій навчання
Ділова гра
Форма уроку: ділова гра.
Тема уроку: «Застосування операторів розгалуження, циклу. Масив».
Мета уроку:
– освітня: познайомити учнів застосовувати оператори розгалуження, цикли та масиви при об’єктно-орієнтованому програмуванні; використовувати оператори циклу: while, repeat, for, array - при вирішенні завдань;
– розвиваюча: розвиток мислення, пам'яті; формування навичок логічного мислення (висновок, аналіз, узагальнення, виділення головного);
– виховна: виховувати вміння працювати елементами ООП, організовувати роботу ІС;
Обладнання: ПК, картки, питання, грошові кошти «ум. од.», міліметровий папір, маркер.
Хід уроку
I. На початку уроку клас ділиться на групи по 5-6 чоловік, вчитель пропонує утворити фірми. У кожної фірми є свій програміст, фінансист, менеджер і президент, назва фірми. Учні придумують всі атрибути фірми самі.
II. Учитель пропонує учням звернути увагу на тему уроку і задає питання: «Що ми знаємо по цій темі?», «Що ми вміємо?». Пропонує учням сформулювати мету сьогоднішнього уроку. Ставиться мета уроку, тобто мета ділової гри. Далі вчитель повідомляє, що для того щоб почати нашу гру, учням треба заробити початковий капітал, відповівши на бліц питання, відповідати швидко і точно.
III. Кожній фірмі задається по 10 питань ціна кожної відповіді 100 у.о. відповідь або приймається або ні (за цим стежать "Експерти" з числа кращих учнів).
Отже, почнемо гру.
Питання 1 фірмі:
1. Як виконується команда розгалуження в повній формі? (If ум. Then оератор1 else оператор2)
2. Які правила оформлення команди розгалуження існують? (Перед else не ставиться крапка з комою)
3. Які алгоритми називаються циклічними? (Багато разів повторювана послідовність дій)
4. Який з операторів циклу є самим універсальним? (While)
5. Для управління циклом Repeat які функції зручно використовувати? (Succ або pred, ins, dec)
6. Коли використовується оператор циклу FOR? (Багато разів повторювати одні й ті ж дії)
7. Якого типу виразу припустимі в якості початкового і кінцевого значень? (Можуть бути константами, змінними, виразами і повинні бути одного і того ж типу)
8. Що таке масив? (Упорядкований за індексами обмежений набір даних одного типу або сукупність кінцевого числа даних одного типу)
9. Де повинен бути описаний, використовуваний у програмі масив? (Або в розділі опису змінних, або в розділі опису типів)
10. Якого типу повинен бути індекс? (Типу, який вказаний в описі)
Питання 2 фірмі:
1. Як виконується команда розгалуження в неповній формі? (If ум. Then оператор)
2. Які логічні операції використовуються в команді розгалуження? (And-і, or-або, not-ні)
3. Як оформляється цикл while? (While умова виконання циклу do)
4. Коли завершується виконання циклу while? (Повторюється до тих пір, поки виконується умова-істинно)
5. Як організувати виконання декількох операторів в циклі while? (Begin ... end)
6. Керуючі змінні якого типу припустимі в операторі for? (Крім речового-real)
7. Як звертатися до елементів масиву? (Ім'я масиву [індекс по рядках .. індекс по стовпцях])
8. Чим однозначно визначається значення елемента масиву? (Його індексами)
9. Назвіть прості типи використовуються в масиві? (Char, boolean, integer)
10. Як називаємо елемент масиву? (Змінна з індексом)
Питання 3 фірмі:
1. Як записується і виконується команда вибору? (Case вираження of Варіант1: оператор1; ... ... варіантN: операторN; end;)
2. Яка різниця між умовами записаними після слова while і repeat для однієї і тієї ж задачі? (Після слова while записується умова продовження виконання інструкцій циклу, в цьому відмінність)
3. Як організувати цикл із зменшенням лічильника? (For лічильник: = початкове значення downto кінцеве значення do)
4. Якого типу виразу припустимі в якості початкового і кінцевого значень? (Можуть бути константами, змінними, виразами і повинні бути одного і того ж типу)
5. Як необхідно записати кілька операторів, щоб вони виконувалися в циклі for? (Begin ... end;)
6. Як описується одновимірний масив? (Var ім'я масиву: array [ніжняяГраніца .. верхняяГраніца] of тип еелементов)
7. Двовимірний масив? (Var ім'я масиву: array [ніжняяГраніцаіндекс1 верхняяГраніцаІндекс1, ніжняяГраніцаІндекс2 .. верхняяГраніцаІндекс2] of тип елементів)
8. Що можемо використовувати в якості індексу? (Вираз, константу, змінна)
9. Що фактично вказує тип індексу? (Кількість рядків, стовпців)
10. Який тип може бути типом індексу? (Будь-який простий тип)
Підводиться підсумок бліц опитування. "Експерти" оголошують зароблені кошти, фінансисти кожної фірми забирають умовні одиниці, записують у журналі.
Журнал обліку грошових коштів на особовому рахунку банку (для фінансиста фірми)
| Прибуток |
Розтрати |
Залишок |
| До виплати: |
Учитель оголошує правила ділової гри (ці правила лежать на столах, роздруковані).
Правила ділової гри:
1. Свій програмний продукт оформляти на аркуші паперу: записати програму, забезпечити її інструкцією.
Завдання фірми: Пояснити суть програми.
2. Вчитель є одночасно замовником програми і покупцем. На кожне завдання дається певний час, після закінчення якого всі фірми припиняють роботу над завданням.
3. Комп'ютер використовується для налагодження написаних програм. Під час обговорення, складання програм - комп'ютер до терміну тобто до закінчення часу, не використовується!
4. По закінченню часу (терміну замовлення) вчитель (замовник) оголошує огляд-конкурс програмних продуктів.
5. Фірма, є "продавцем" своєї продукції і пропонує свою програму, тобто пояснює біля дошки рішення, одночасно "програміст" фірми набирає її на комп'ютері, виводить результат.
6. Приймаюча фірма ретельно перевіряє програму, задає питання по суті, просить роз'яснити деякі місця програми.
7. Кожна фірма, яка не зробила програму, зобов'язана купити готовий програмний продукт.
8. Умовна вартість програмного продукту 100 умовних одиниць, але вартість може зрости з обліку наступних критерії: оригінальне рішення, раціональне рішення.
9. Умовні гроші накопичуються в умовному банку. (Початковий капітал складається із зароблених одиниць у бліц-турнірі).
10. У випадку, якщо всі фірми виконали завдання. Пояснювати суть програми виходить фірма на розсуд вчителя.
V. Лунають завдання (див. Додаток до уроку), на кожне завдання дається певний час, після закінчення часу робота йде за правилом ділової гри.
VI. Підсумок ділової гри: підраховується умовні гроші в умовному баку. "Експерти" після кожного рішення завдань фірмами, прослуховують разом з учителем, переглядають результат на ПК, вислуховують інші фірми, оцінюють завдання і підводять підсумок по кожній задачі.
VII. Кінцевий підсумок гри: підраховується умовні гроші, оголошується найкраща фірма; Президент вносить до оціночного лист оцінки кожного співробітника, Експерти дають оцінку роботі кожного Президента."Експерти" дають висновок повністю по всій грі, відзначають кращі фірми, виставляють оцінки з коментарями:
А) оригінальне рішення;
Б) раціональне рішення.
"Експерти" заповнюють зведену оціночну таблицю (ДОДАТОК 3).
VIII. Після закінчення всієї гри вчитель дає слово учням, проводиться рефлексія.
ВИСНОВОК
Виконання даної курсової роботи відіграє дуже важливу роль в подальшому навчанні, вона є показником успішного управління системою навчання, так як викладач повинен заздалегідь спроектувати весь процес, визначивши оптимальні дороги підходу до основної мети досягненню рівня професійної компетентності в учнів. В результаті проектування створюється проект управління учбовим процесом, який реалізується за допомогою взаємодії викладача і учня.
В ході виконання даної роботи була проаналізована учбова документація за фахом «Обслуговування інтелектуальних інтегрованих систем», спроектована програма професійної підготовки робітника за фахом, спроектовані технології навчання з теми «Візуальне програмування в Delphi» та спроектовані креативні технології по темі «Застосування операторів розгалуження, циклу. Масив».
1. Эрганова Н.Е. Методика профессионального обучения. — М.: Издательский центр «Академия», 2007.
2. Бухарова Г.Д., Мазаева Л.Н., Полякова М.В. Общая и профессиональная педагогіка / Учеб. пособие. — катеринбург: Изд-во Рос. гос. проф. -пед. ун-та, 2003г. – 297 с.
3. Потеев М.И. Практикум по методике обучения во втузах. / Учеб. пособие. — М.: Высш. шк. , 1990. - 94 с.: ил.
4. Ф.Файтс, П.Джонстон, М.Кратц. Компьютерный вирус: проблемы и прогноз. — М.: Мир, 1993. — 423 с.: ил.
5. Крис Касперски. Записки исследователя компьютерных вирусов. — Питер, 2006. — 316 с.
6. Денисов Т.В.. Антивирусная защита. — М.: Академия, 2008. — 340 с.
7. Куприянов А.И., Сахаров А.В., Шевцов В.А. Основы защиты информации. — М.: Академия, 2006. — 460 с.
8. Симонович С.В., Мураховский В.И. Популярный самоучитель работы на компьютере. – М.: «Десс Ком», 2001.
9. Архангельский А.Я. Object Pascal в Delphi. – М.: ЗАО «Издательство БИНОМ», 2002.
10. Бобровский С. Delphi 6 и Kylix: библиотека программиста. – СПб.: Питер, 2002.
11. Справочна система Delphi 7.
12. Справочна система Windows.
ДОДАТОК 1
Лістинг 1
unit Unit1;
interface
uses
Windows,Messages,SysUtils,Variants,Classes,Graphics,
Controls,Forms,Dialogs,Buttons,StdCtrls;
type
TForm1 = class(TForm)
Label1: TLabel;
Label2: TLabel;
Label3: TLabel;
Label4: TLabel;
Edit1: TEdit;
Edit2: TEdit;
Edit3: TEdit;
Memo1: TMemo;
Button1: TButton;
BitBtn1: TBitBtn;
procedure FormCreate(Sender: TObject);
procedure Button1Click(Sender: TObject);
private
{ Private declarations }
public
{ Public declarations }
end;
var
Form1: TForm1;
implementation
{$R *.dfm}
procedure TForm1.FormCreate(Sender: TObject);
begin
memo1.Clear; // Очистка окна
end;
procedure TForm1.Button1Click(Sender: TObject);
var x,y,z,a,b,c,s:extended;
begin
12
x:=strtofloat(edit1.text);
y:=strtofloat(edit2.text);
z:=strtofloat(edit3.text);
a:=sqr(sin(x+y)/cos(x+y));
b:=abs(exp(3*y)-x*x);
c:=sqrt(arctan(z)+ln(x));
s:=a*b/c;
// Вывод исходных данных и результата в окно memo1
memo1.Lines.Add('x='+edit1.Text+
' y='+edit2.Text+' z='+edit3.Text);
memo1.Lines.Add('Результат s=
'+floattostrF(s,fffixed,8,3));
end;
end.
ДОДАТОК 2
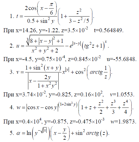
Індивідуальні завдання
За вказівкою викладача виберіть індивідуальне завдання. Уточніть умова завдання, кількість, найменування, типи вихідних даних. Намалюйте схему алгоритму, розбивши вираз на частини. Встановіть необхідне кількість вікон Edit, міток label. Виберіть необхідні типи змінних і функції їх перетворення при введенні і виведенні даних. За допомогою інспектора об'єктів змініть колір форми, шрифт символів, що виводяться.



![]()
ДОДАТОК 3
Критерії оцінок:
| Підсумок гри для фірм (сумарний прибуток, у.о.) |
Оцінка |
| 800-1000 |
5 (відмінно) |
| 400-700 |
4 (добре) |
| Менше 400 |
3 (задовільно) |
Оціночний лист співробітника фірми:
Фірма: __________
Президент фірми: _____________________
| Співробітник |
Завдання |
Оцінка |
Примітки |
||
| 1 |
2 |
3 |
|||
Зведена оціночна таблиця:
Експерт: _____________
________________
| Президент |
Покупка програмного продукту (100 у.е.) |
Винагорода за оригінальність (200 у.о.) |
Винагорода за раціональність (300 у.о.) |
Усього виконано завдань |
Оцінка за урок |
