Дипломная работа: Управління якістю продукції ТОВ МТК
|
Название: Управління якістю продукції ТОВ МТК Раздел: Рефераты по менеджменту Тип: дипломная работа | |||||||||||||||||||||||||||||||||||||||||||||||||||||||||||||||||||||||||||||||||||||||||||||||||||||||||||||||||||||||||||||||||||||||||||||||||||||||||||||||||||||||||||||||||||||||||||||||||||||||||||||||||||||||||||||||||||||||||||||||||||||||||||||||||||||||||||||||||||||||||||||||||||||||||||||||||||||||||||||||||||||||||||||||||||||||||||||||||||||||||||||||||||||||||||||||||||||||||||||||||||||||||||||||||||||||||||||||||||||||||||||||||||||||||||||||||||||||||||||||||||||||||||||||||||||||||||||||||||||||||||||||||||||||||||||||||||||||||||||||||||||||||||||||||||||||||||||||||||||||||||||||||||||||||||||||||||||||||||||||||||||||||||||||||||||||||||||||||||||||||||||||||||||||||||||||||||||||||||||||||||||||||||||||||||||||||||||||||||||||||||||||||||||||||||||||||||||||||||||||||||||||||||||||||||||||||||||||||||||||||||||||||||||||||||||||||||||||||||||||||||||||||||||||||
|
Дипломна робота Управління якістю продукції ТОВ „МТК”.
Вступ. В умовах переходу до ринку успіх кожного конкретного товаровиробника оцінюється за рівнем ефективності виробництва, обумовленої в першу чергу ступенем задоволення потреб суспільства з найменшими витратами. При цьому в даний час визначальною характеристикою, яка формує суспільні потреби, стає якість продукції. Це пов'язано з тим, що якість продукції в умовах конкуренції є головним стимулом придбання продукції, одним з факторів її конкурентоспроможності. Стан справ в області управління якістю для підприємств України не можна визначити як задовільний. Розвиток експортних відносин показав, що продукція вітчизняних підприємств є неконкурентоспроможною на світовому ринку саме по якості. У цьому зв'язку набуває особливого значення проблема розробки та впровадження дійових методів управління витратами на забезпечення якості продукції. Теоретико-методологічні й економіко-організаційні аспекти управління витратами на забезпечення якості продукції відображені в роботах провідних вітчизняних і зарубіжних вчених економістів: І. Ансоффа, Л. Водачека, З. Ш. Гейлера, А.В. Гличева, Д. Джуран, Л.В. Дікань, Ю.Б. Іванова, Д.С. Демиденко, В.Е. Ластовецького, Л.А. Матвєєва, В.Ю. Огвоздіна, Г.С. Одінцової, В.В. Окрепілова, В.С. Пономаренка, О.І. Пушкаря, В.М. Соколенко, С.А. Стукова, А. Субето, А. Фейгенбаума, З.Ю. Хамдамова, Д. Харрінгтона, А. Яруговой та ін. Метою кваліфікаційної роботи є теоретичне обґрунтування та розробка методичних підходів і практичних рекомендацій щодо вдосконалення аналізу та управління витратами на забезпечення якості продукції. Для досягнення поставленої мети було вирішено такі задачі: - проведення теоретичного аналізу понять “якість”, “система забезпечення якості”, “витрати на забезпечення якості продукції”; - аналіз існуючих класифікацій витрат на якість продукції та організаційної структури управління в системі забезпечення якості продукції; - виявлення особливостей забезпечення якості продукції та їх впливу на ефективність виробництва; - дослідження методів вирішення задачі підвищення ефективності управління витратами на забезпечення якості продукції; - розробка методичних підходів та рекомендацій щодо аналізу, планування та обліку витрат на забезпечення якості продукції. Об'єкт дослідження - діяльність підприємств по забезпеченню якості продукції. Предмет дослідження - процес аналізу та управління витратами на забезпечення якості продукції. Методи дослідження. Теоретичною та методологічною основою дослідження є положення сучасної економічної теорії, наукові праці вітчизняних та зарубіжних вчених у сфері управління витратами на забезпечення якості. Для досягнення поставленої в роботі мети було використано такі методи дослідження: теоретичного узагальнення та порівняння - для уточнення понятійного апарату управління витратами на забезпечення якості продукції; статистичного аналізу - для проведення аналізу емпіричних даних і дослідження особливостей забезпечення якості продукції в умовах трансформаційної економіки; системного підходу формалізації та економіко-математичного моделювання - для обґрунтування і розробки основних шляхів підвищення ефективності управління витратами на забезпечення якості продукції. Кваліфікаційна робота складається з трьох розділів. В першому розділі вивчено досвід в області організаційних систем управління якістю; розглянуто основи управління витратами на забезпечення якості. Другий розділ роботи присвячено питанню аналізу витрат на якість продукції. В третьому розділі наведено можливі шляхи щодо покращення якості. Розділ 1 Теоретичні аспекти управління якістю. 1.1 Поняття якості. У ринковій економіці проблема якості є найважливішим чинником підвищення рівня життя, економічної, соціальної й екологічної безпеки. Якість - комплексне поняття, що характеризує ефективність усіх сторін діяльності: розробка стратегії, організація виробництва, маркетинг і ін. Найважливішою складовою всієї системи якості є якість продукції. [17, с.15] У сучасній літературі і практиці існують різні трактування поняття якість. Міжнародна організація по стандартизації визначає якість (стандарт ІСО-8402) як сукупність властивостей і характеристик продукції чи послуг, що додають їм здатність задовольняти обумовлені чи передбачувані потреби. Цей стандарт увів такі поняття, як "забезпечення якості", "керування якістю", "спіраль якості". Вимоги до якості на міжнародному рівні визначені стандартами ІСО серії 9000. Перша редакція міжнародних стандартів ІСО серії 9000 вийшла наприкінці 80-х років і ознаменувала вихід міжнародної стандартизації на якісно новий рівень. Ці стандарти вторглись безпосередньо у виробничі процеси, сферу управління й установили чіткі вимоги до систем забезпечення якості. Вони поклали початок сертифікації систем якості. Стандарти ІСО серії 9000 установили єдиний, визнаний у світі підхід до договірних умов по оцінці систем якості й одночасно регламентували відносини між виробниками і споживачами продукції. Іншими словами, стандарти ІСО - тверда орієнтація на споживача. Якість продукції є складової і наслідком якості роботи. Тут безпосередньо оцінюється якість придатної продукції, думка споживача, аналізуються рекламації. Для подальшого уточнення поняття аналізу та управління якістю продукції доцільно звернути увагу на трактування поняття продукції й уточнити саме це поняття. Необхідність такого уточнення обумовлена тим, що поняття продукція не зовсім точно навіть в інструктивних матеріалах, що діють в Україні. Так, у формі 2 "Звіт про фінансовий результат" наведено показник "виручка від реалізації товарів, продукції, робіт, послуг...". Але адже товари, роботи і послуги входять у загальне поняття продукція. Продукція - комплексне поняття. Це - результат діяльності фірми, що може бути представлений товарами, продуктами (що мають речовинну форму) і послугами (не мають речовинної форми). Послуги виробничого характеру (ремонт і т.п. ) називають роботами. Для того, щоб зробити ту чи іншу продукцію, виконати роботу, надати послугу, необхідно здійснити цілий ряд операцій, підготовчих робіт. Кінцева якість залежить від якості роботи на кожнім етапі. Формування якості продукції починається на стадії її проектування. Так, у фазі дослідження розробляють технічні й економічні принципи, створюють функціональні зразки (моделі). Після цього створюють основу виробничої документації і дослідний зразок. На стадії конструктивно-технологічних робіт підготовляють впровадження виробу у виробництво. [15, с.59] Якість роботи, як уже відзначалося, безпосередньо пов'язана з забезпеченням функціонування фірми. Це - якість керівництва і керування (планування, аналіз, контроль). Від якості планування (розробки стратегії, системи планів т.п. ) залежить досягнення поставлених цілей і якість фірми. Поняття якості формувалося під впливом історико-виробничих обставин. Це обумовлено тим, що кожне суспільне виробництво мало свої об'єктивні вимоги до якості продукції. Спочатку великого промислового виробництва перевірка якості припускала визначення точності і міцності (точність розмірів, міцність тканини і т.п. ). [10, с.3] Підвищення складності виробів привело до збільшення числа оцінюваних властивостей. Центр ваги змістився до комплексної перевірки функціональних здібностей виробу. В умовах масового виробництва якість стала розглядатися не з позицій окремого екземпляра, а з позицій стандарту якості усіх вироблених у масовому виробництві виробів. З розвитком науково-технічного прогресу, наслідком якого стала автоматизація виробництва, з'явилися автоматичні пристрої для управління складним устаткуванням і іншими системами. Виникло поняття "надійність". Таким чином, поняття якості постійно розвивалося й уточнювалося. У зв'язку з необхідністю контролю якості були розроблені методи збору, обробки й аналізу інформації про якість. Фірми, що функціонували в умовах ринкової економіки, прагнули організувати спостереження за якістю в процесі виробництва і споживання. Упор був зроблений на попередження дефектів. Якість у виробника і споживача - поняття взаємозалежні. Виробник повинний піклуватися про якість протягом усього періоду споживання продукту. Крім того, він повинний забезпечити необхідне післяпродажне обслуговування. Особливо це важливо для товарів, що відрізняються складністю експлуатації, програмних продуктів. Повернемося до уточнення поняття якості. У літературі поняття якості трактується по-різному. Однак основне розходження в поняттях якості лежить між його розумінням в умовах командно-адміністративної і ринкової економіки. У командно-адміністративній економіці якість трактується з позиції виробника. У ринковій економіці якість розглядається з позиції споживача. [13, с.258] Якість виробу може виявлятися в процесі споживання. Поняття якості продукту з позицій його відповідності вимогам споживача склалося саме в умовах ринкової економіки. Ідея такого підходу до визначення якості продукції належить голландськими вченим Дж. Ван Етингеру і Дж. Сіттігу .[7, с.28] Ними розроблена спеціальна область науки кваліметрія . Кваліметрія - наука про способи виміру і квантифікації показників якості. Кваліметрія дозволяє давати кількісні оцінки якісним характеристикам товару. Кваліметрія виходить з того, що якість залежить від великого числа властивостей розглянутого продукту. Для того, щоб судити про якість продукту недостатньо тільки даних про його властивості. Потрібно враховувати й умови , у яких продукт буде використаний. На думку Дж. Ван Етингера і Дж. Сіттіга, якість може бути виражено цифровими значеннями, якщо споживач буде групувати властивості в порядку їхньої важливості. Вони вважали, що якість - величина вимірна і, отже, невідповідність продукту пропонованим до нього вимогам може бути виражене через постійну міру, якою звичайно є гроші . Разом з тим не можна розглядати якість ізольовано з позицій виробника і споживача. Без забезпечення техніко-експлуатаційних, експлуатаційних і інших параметрів якості, записаних у технічних умовах (ТУ) не може бути здійснена сертифікація продукції. Різноманітні фізичні властивості, важливі для оцінки якості, сконцентровані в споживчій вартості . Важливими властивостями для оцінки якості є: [12, с.158] - технічний рівень, що відбиває матеріалізацію в продукції науково-технічних досягнень; - естетичний рівень, що характеризується комплексом властивостей, пов'язаних з естетичними відчуттями і поглядами; - експлуатаційний рівень, пов'язаний з технічною стороною використання продукції (догляд за виробом, ремонт і т.п. ); - технічна якість, що припускає гармонічне ув'язування передбачуваних і фактичних споживчих властивостей в експлуатації виробу (функціональна точність, надійність, тривалість терміну служби). Переважна частина сучасного світового виробництва представлена виробництвом товарів. Тому той чи інший виріб, що виготовляється, втілює в собі як споживчу вартість, так і вартість. Отже, якість є комплексним поняттям, що відбиває ефективність усіх сторін діяльності фірми. Поняття якості неодноразово обговорювалося науковою громадськістю і практиками. 1.2 Основні етапи розвитку систем управління якістю. Для графічної ілюстрації основних етапів розвитку систем якості використана фігура - "Знак якості" (рис. 1.2).
На зображеній на рис. 1.2. "Зірці якості" дві верхні границі - її "дах". Ліва площина "даху" - це система мотивації якісної роботи, права - система навчання персоналу. Ліва бічна грань зображує систему взаємин з постачальниками, права бічна грань - систему взаємин зі споживачами. У центрі зірки показуємо, які цілі переслідують і, у випадку успіху, досягають створювані системи, а унизу вказуємо час, коли та чи інша система була чітко сформульована в документах і/чи книгах, статтях (для конкретної системи якості). [39, с.17] Отже, для того, щоб та чи інша спроектована і документована система якості, що включає керування процесами, заробила, потрібно: а) використовувати засоби мотивації для персоналу; б) навчати його як по професійних питаннях, так і з питань менеджменту якості; в) вибудувати правильні відносини зі споживачами; г) навчитися так керувати постачальниками, щоб вчасно одержувати від них необхідну продукцію заздалегідь установленої якості. Якось запитали японського проф. X. Цубакі: "У чому секрет успіхів Японії в області якості - у використанні статистичних методів, методів Тагуті, кружків якості чи чогось ще? " Він відповів: "Усе, що ви перелічили, грає свою роль, але, мабуть, саме головне - це прекрасно поставлена система навчання персоналу як усередині, так і поза підприємством, а також особлива система мотивації". При цьому він поскаржився, що зараз, у зв'язку з ослабленням у Японії системи довічного наймання, виникли визначені проблеми з навчанням. Адже підприємці розглядають навчання як інвестиції в персонал і тому не хочуть вкладати їх у тих, хто може піти від них.[17, с.126] В історії розвитку документованих систем якості, мотивації, навчання і партнерських відносин можна виділити п'ять етапів і представити їх у виді п'яти зірок якості 1. Перша зірка відповідає початковим етапам системного підходу, коли з'явилася перша система - система Тейлора (1905 г). Вона установлювала вимоги до якості виробів (деталей) у виді полів чи допусків визначених шаблонів, набудованих на верхню і нижню границі допусків, - прохідні і непрохідні калібри. Для забезпечення успішного функціонування системи Тейлора були введені перші професіонали в області якості - інспектори (у Росії - технічні контролери). Система мотивації передбачала штрафи за дефекти і брак, а також звільнення. Система навчання зводилася до професійного навчання і навчання працювати з вимірювальним і контрольним устаткуванням. Взаємини з постачальниками і споживачами будувалися на основі вимог, встановлених у технічних умовах (ТУ), виконання яких перевірялося при приймальному контролі (вхідному і вихідному). Усі відзначені вище особливості системи Тейлора робили її системою керування якістю кожного окремо узятого виробу. 2. Друга зірка. Система Тейлора дала чудовий механізм керування якістю кожного конкретного виробу (деталь, складальна одиниця), однак виробництво - це процеси. І незабаром стало ясно, що керувати треба процесами. У 1924 р. у БЕЛЛ Телефоун Лэборэтріз (нині корпорація AT&Т) була створена група під керівництвом д-ра Р.Л.Джонса, що заклала основи статистичного керування якістю. Це були розробки контрольних карт, виконані Вальтером Шухартом, перші поняття і таблиці вибіркового контролю якості, розроблені Х.Доджем і Х.Ромігом. Ці роботи послужили початком статистичних методів керування якістю, що згодом, завдяки д-ру Е. Демінгу, одержали дуже широке поширення в Японії і зробили дуже істотний вплив на економічну революцію в цій країні. Системи якості ускладнилися, тому що в них були включені служби, що використовують статистичні методи. Ускладнилися задачі в області якості, розв'язувані конструкторами, технологами і робітниками, тому що вони повинні були розуміти, що таке варіації і мінливість, а також знати, якими методами можна досягти їхнього зменшення. З'явилася спеціальність - інженер по якості, що повинний аналізувати якість і дефекти виробів, будувати контрольні карти і т.п.. У цілому акцент з інспекції і виявлення дефектів був перенесений на їхнє попередження шляхом виявлення причин дефектів і їхнього усунення на основі вивчення процесів і керування ними. Більш складною стала мотивація праці, тому що тепер враховувалося, як точно побудований процес, як аналізуються ті чи інші контрольні карти, карти регулювання і контролю. До професійного навчання додалося навчання статистичним методам аналізу, регулювання і контролю. Стали більш складними і відносини постачальник - споживач. У них велику роль почали грати стандартні таблиці на статистичний приймальний контроль. 3. Третя зірка. У 50-і роки була висунута концепція тотального (загального) керування якістю - TQC. Її автором був американський вчений А. Фейгенбаум. Системи TQC розвивалися в Японії з великим акцентом на застосування статистичних методів і залучення персоналу в роботу кружків якості. Самі японці довгий час підкреслювали, що вони використовують підхід TQSC, де S - Statіstіcal (статистичний). На цьому етапі, позначеному третьою зіркою, з'явилися документовані системи якості, що установлюють відповідальність і повноваження, а також взаємодія в області якості всього керівництва підприємства, а не тільки фахівців служб якості. Системи мотивації стали зміщатися убік людського фактора. Матеріальне стимулювання зменшувалося, моральне збільшувалося. Головними мотивами якісної праці стали робота в колективі, визнання досягнень колегами і керівництвом, турбота фірми про майбутнє працівника, його страхування і підтримка його родини. Усе більша увага приділяється навчанню. У Японії і Кореї працівники учаться в середньому від декількох тижнів до місяця, використовуючи в тому числі і самонавчання. Звичайно, впровадження і розвиток концепції TQC у різних країнах світу здійснювалися нерівномірно. Явним лідером у цій справі стала Японія, хоча всі основні ідеї TQC були породжені в США й у Європі. У результаті американцям і європейцям довелося учитися в японців. Однак це навчання супроводжувалося і нововведеннями. У Європі стали приділяти велику увагу документуванню систем забезпечення якості і їхніх реєстрацій чи сертифікації третьою (незалежною) стороною. Особливо слід зазначити британський стандарт BS 7750, що значно підняв інтерес європейців до проблеми забезпечення якості і сертифікації систем якості. Системи взаємин постачальник - споживач також починають передбачати сертифікацію продукції третьою стороною. При цьому більш серйозними стали вимоги до якості в контрактах, більш відповідальними гарантії їхнього виконання. Варто помітити, що етап розвитку системного, комплексного керування якістю не пройшов повз Радянський Союз. Тут було породжено багато вітчизняних систем і одна з кращих - система КАНАРСПІ, що свідомо випередила свій час. Багато принципів КАНАРСПІ актуальні і зараз. Автором системи був головний інженер Горьковського авіаційного заводу Т. Ф. Сейфі. Він одним з перших зрозумів роль інформації і знань у керуванні якістю, переніс акценти забезпечення якості з виробництва на проектування, велике значення додавав іспитам. Справедливо вважати Т. Ф. Сейфі видатним фахівцем в області аналізу та керування якістю, і його ім'я повинне стояти поруч з такими іменами, як А. Фейгенбаум, Г. Тагуті, Э. Шилінг, Х. Вадсвордт. [17, с.201] 4. Четверта зірка. У 70-80 роки почався перехід від тотального керування якістю до тотального менеджменту якості (TQM). У цей час з'явилася серія нових міжнародних стандартів на системи якості: - стандарти ІСО 9000 (1987 р.), що зробили дуже істотний вплив на забезпечення якості: - МС 9000 "Загальне керівництво якістю і стандарти по забезпеченню якості"; - МС 9001 "Системи якості. Модель для забезпечення якості при проектуванні і/чи розробці, виробництві, монтажі й обслуговуванні"; - МС 9002 "Системи якості, Модель для забезпечення якості при виробництві і монтажі"; - МС 9003 "Системи якості. Модель для забезпечення якості при остаточному контролі й іспитах"; - МС 9004 "Загальне керівництво якістю й елементи системи якості. Провідні вказівки", а також термінологічний стандарт МС 8402. У 1994 р. вийшла нова версія цих стандартів, що розширила в основному стандарт МС 9004-1,2,3,4, більше увага приділивши в ньому питанням забезпечення якості програмних продуктів, оброблюваним матеріалам, послугам. Якщо TQC - це керування якістю з метою виконання установлених вимог, тo TQM - этo ще і керування цілями і самими вимогами. У TQM включається також і забезпечення якості, що трактується як система мір, що забезпечує впевненість у споживача як продукцію. Це ілюструє рис.1.3
Рис. 1.2 Основні складові TQM TQC - Загальне керування якістю; QA - Забезпечення якості; QPolіcy - Політика якості; QPіannіng - Планування якості; QІ - Поліпшення якості. Система ТQМ є комплексною системою, орієнтованої на постійне поліпшення якості, мінімізацію виробничих витрат і постачання точно в термін. Основна філософія ТQМ базується на принципі - поліпшенню немає межі. Стосовно до якості діє цільова настанова - прагнення до 0 дефектів, до витрат - 0 непродуктивних витрат, до постачань - точно в термін. При цьому усвідомлюється, що досягти цих меж неможливо, але до цьому треба постійно прагнути і не зупинятися на досягнутих результатах. Ця філософія має спеціальний термін - "постійне поліпшення якості" (qualіty іmprovement). У системі ТQМ використовуються адекватні цілям методи керування якістю. Однієї з ключових особливостей системи є використання колективних форм і методів пошуку, аналізу і вирішення проблем, постійна участь у поліпшенні якості всього колективу. [11, с.29] У TQM істотно зростає роль людини і навчання персоналу. Мотивація досягає стану, коли люди настільки захоплені роботою, що відмовляються від частини відпустки, затримуються на роботі, продовжують працювати. З'явився новий тип працівників - трудоголіки. Навчання стає тотальним і безупинним, що супроводжує працівників протягом усієї їхньої трудової діяльності. Істотно змінюються форми навчання, стаючи усе більш активними. Так, використовуються ділові ігри, спеціальні МТКи, комп'ютерні методи і т.п.. Навчання перетворюється й у частину мотивації. Тому що добре навчена людина впевненіше почуває себе в колективі, здатний на роль лідера, має переваги в кар'єрі. Розробляються і використовуються спеціальні прийоми розвитку творчих здібностей працівників. В взаємини постачальників і споживачів дуже ґрунтовно включилася сертифікація систем якості на відповідність стандартам ІСО 9000. Головна цільова настанова систем якості, побудованих на основі стандартів ІСО серії 9000, - забезпечення якості продукції, необхідного замовникам, і надання йому доказів у здатності підприємства зробити це. Відповідно механізм системи, застосовувані методи і засоби орієнтовані на цю мету. Разом з тим у стандартах ІСО серії 9000 цільова настанова на економічну ефективність виражена дуже слабко, а на своєчасність постачань - просто відсутня. Але незважаючи на те, що система не вирішує всіх задач, необхідних для забезпечення конкурентноздатності, популярність системи швидко росте, і сьогодні вона займає міцне місце в ринковому механізмі. Зовнішньою же ознакою того, чи є на підприємстві система якість по стандартах ІСО серії 9000, є сертифікат на систему. У результаті в багатьох випадках наявність у підприємства сертифіката на систему якості стало однією з основних умов його допуску до тендерів по участі в різних проектах. Широке застосування сертифікат на систему якості знайшов у страховій справі: так як сертифікат свідчить про надійність підприємства, то часто йому надаються пільгові умови страхування. Про популярність стандартів ІСО серії 9000 свідчить загальна динаміка сертифікації систем якості на відповідність їхнім вимогам. Так, за даними фірми Мобіл, у 1993 р. у світі було сертифіковано близько 50 тис. систем якості. У 1995 р. їхнє число зросло до 100 тис. Можна припустити, що в даний час сертифікованих систем близько 150 тис. Для успішної роботи підприємств на сучасному ринку наявність у них системи якості, що відповідає стандартам ІСО серії 9000, і сертифіката на неї може бути не зовсім достатньою, але необхідною умовою. Тому й в Україні вже є десятки підприємств, що впровадила стандарти ІСО серії 9000 і сертифікати на свої системи якості. 5. П'ята зірка. У 90-і роки підсилився вплив суспільства на підприємства, а підприємства стали усе більше враховувати інтереси суспільства. Це привело до появи стандартів ІС014000, що установлюють вимоги з погляду захисту навколишнього середовища і безпеки продукції. Сертифікація систем якості на відповідність стандартам ІСО 14000 стає не менш популярною, чим на відповідність стандартам ІСО 9000. Істотно зріс вплив гуманістичної складової якості. Підсилюється увага керівників підприємств до задоволення потреб свого персоналу. Так в автомобільній промисловості був зроблений свій важливий крок. Велика трійка американських автомобільних компаній розробила в 1990 р. (1994 р. - друга редакція) стандарт OS-9000 "Вимоги до систем якості". І хоча він базується на стандарті ІСО 9001, його вимоги посилені галузевими (автомобілебудівними), а також індивідуальними вимогами кожного з членів Великої трійки і ще п'яти найбільших виробників вантажівок. Упровадження стандартів ІСО 14000 і OS-9000, а також методів самооцінки по моделях Європейської премії по якості - це головне досягнення етапу, характеризуемого п'ятою зіркою. Розвиток якості в Україні, у відмінності від інших країн, розпочався порівняно недавно. Це дозволило врахувати досвід інших держав, що досягли значних успіхів на цьому шляху. Контроль якості - шлях до виходу з кризи. Держава розуміє це і всіляко сприяє розвитку цієї галузі. Українська система стандартизації спрямована на забезпечення прав споживача з питань надання безпечної, якісної продукції і послуг, що відповідають розвитку науки, техніки і потреб населення. Відповідно до Декрету Кабінету Міністрів України "Про стандартизацію і сертифікацію" від 10.05.93р. був створений Комітет України з питань стандартизації метрології і сертифікації , що організовує роботу з функціонування державної системи стандартизації, здійснює планування, розробку, поширення і застосування держстандартів. З метою підвищення якості і конкурентноздатності вітчизняної продукції і забезпечення захисту інтересів споживача 23 лютого 2004 року Президент України видав Указ "Про заходи щодо підвищення якості вітчизняної продукції". У ньому говориться про "...здійснення державної підтримки у впровадженні систем керування якістю на підприємствах відповідно до стандартів Міжнародної організації по стандартизації (ІSO) серії 9000, що охоплюють системи забезпечення якості, і серії 14000, що охоплюють сферу керування навколишнім середовищем...", а також про "...проведення на Україні щорічного Європейського тижня якості і конкурсу "100 кращих товарів України". У 1989 році була заснована громадська організація - Українська асоціація якості , що на сьогоднішній день має такі технічні комітети як "Якість харчової промисловості і водопостачання", "Якість навколишнього середовища і здоров'я людини", "Забезпечення якості в металургії", "Забезпечення якості в сучасному матеріалознавстві", "Забезпечення якості в приладобудуванні", "Якість і сертифікація в авіаційній промисловості" і багато інших. У березні 1996 року Україна була прийнята в Європейську організацію якості, де Українська асоціація якості стала її офіційним представником. [10, с.3-4] На сьогодення існує єдиний, заснований у 1996 році, щорічний Національний конкурс по якості. Проводиться він під егідою Національної ради з питань якості при Президенті України. Нагородження переможців відбувається на урочистій церемонії, присвяченій Всесвітньому дню якості (другий четвер листопада). У 1998 році 17 кращих підприємств України, що одержали статус чи переможця лауреата цього конкурсу, об'єдналися в Клуб лідерів якості України. Сьогодні в нього входить уже більш 60 підприємств. З 1992 року проводиться форум "Дні якості в Києві", а з 1995 року - "Європейський тиждень якості в Україні". Також досвід вітчизняних підприємств був відзначений Європейським Фондом Керування Якістю. Вперше українські підприємства вийшли на арену боротьби за європейську нагороду за якість у 1997 році. Ними стали фірми "Зонд", "Полістирол" і "Диком Лтд". У 1999 році уперше фіналістом Євроконкурсу стало підприємство з України: ВАТ "Броварське шляхобудівельне управління-50". Україна стала третьою східноєвропейською країною, після Угорщини і Словенії, що змогла досягти таких висот. У 2003 році СП "Інтресплав" і "Бориспіль" вже в третій, а ВАТ "Інститут транспорту нафти" і ВАТ "Броварське шляхобудівельне управління-50" - у другий раз брали участь в Євроконкурсі. У тому ж році Всесвітня рада якості присудила нагороду „Людина якості року '99” Петрові Калиті, президенту Української асоціації якості. Усі ці досягнення дозволили Україні зарекомендувати себе державою, що піклується про своїх громадян і зацікавленою у якнайшвидшому приєднанні до країн Європейського співтовариства. В міру розвитку економічних реформ в Україні все більша увага приділяється якості. В даний час однієї із серйозних проблем для українських підприємств є створення системи якості, що дозволяє забезпечити виробництво конкурентноздатної продукції. Система якості важлива при проведенні переговорів із закордонними замовниками, що вважають обов'язковою умовою наявність у виробника системи якості і сертифіката на цю систему, виданого авторитетним сертифікаційним органом. Система якості повинна враховувати особливості підприємства, забезпечувати мінімізацію витрат на розробку продукції і її впровадження. Споживач бажає мати впевненість, що якість продукції, що поставляється, буде стабільною і стійкою. Забезпечення якості вимагає чималих витрат. Донедавна основна частка у витратах на якість приходилася на фізичну працю. Але сьогодні висока частка інтелектуальної праці. Проблема якості не може бути вирішена без участі вчених, інженерів, менеджерів. Повинна бути гармонія всіх складових професійного впливу на якість. Значення якості продукції зводиться до того, що тільки якісна продукція відкриває експортну дорогу на платоспроможні західні ринки. Велику роль у забезпеченні якості продукції українських виробників і її успішної конкуренції на світових ринках покликані зіграти спеціальні конкурси. Різного роду конкурси з присудженням їхнім переможцям почесних нагород широко використовуються у світовій практиці. Якість є важливим інструментом у боротьбі за ринки збуту. Саме якість забезпечує конкурентноздатність товару. Вона складається з технічного рівня продукції і корисності товару для споживача через функціональні, соціальні, естетичні, ергономічні, екологічні властивості. При цьому конкурентноздатність визначається сукупністю якісних і вартісних особливостей товару, що можуть задовольняти потреби споживача, а також витратами на придбання і споживання відповідного товару. Варто враховувати, що серед продукції аналогічного призначення більшою конкурентноздатністю володіє та, котра забезпечує найвищий корисний ефект стосовно сумарних витрат споживача. Безумовно, підвищення якості сполучене з витратами. Однак вони окупляться завдяки отриманому прибутку. Заняття лідируючого положення на ринку неможливо без розробки й освоєння нових товарів (модифікованих, поліпшених). Значення підвищення якості досить багатомірно. Вирішення цієї проблеми на мікрорівні важливо і для економіки в цілому, тому що дозволить установити нові і прогресивні пропорції між її галузями й усередині галузей. Наприклад, між металургійною промисловістю і машинобудуванням. Забезпечення цих пропорцій може бути забезпечене шляхом удосконалювання технології виробництва машинобудівної продукції і підвищення її економічності. Підвищення ж якості продукції машинобудування має значення для автоматизації виробничих процесів в інших галузях. Досить висока надійність придбаного споживачем устаткування забезпечить пропорційність виробничого процесу, що важливо для запобігання аварійних і позапланових виходів устаткування з ладу, виникнення "вузьких" місць. Якщо не приділяти серйозну увагу якості, будуть потрібні значні засоби на виправлення дефектів. Набагато більший ефект буде досягнутий шляхом розробки довгострокових програм по запобіганню дефектів. Донедавна вважалося, що якістю повинні займатися спеціальні підрозділи. Перехід до ринкової економіки обумовлює необхідність вивчення досвіду ведучих фірм світу по досягненню високої якості. Ведучі фірми країн з розвитою ринковою економікою вважають, що на досягнення якості повинні бути націлені всі служби. Ключову роль у підвищенні якості відіграють вимоги споживачів, інформація про несправності, прорахунки і помилки, оцінки споживачів. Дослідження, проведені в ряді країн, показали, що в компаніях, що мало приділяють уваги якості, до 60% відсотків часу може йти на виправлення браку. [36, с.289] Значення підвищення якості добре ілюструється на прикладі Японії. Після другої світової війни японські промисловці активно займалися пошуками шляхів підвищення ефективності виробництва і якості продукції. Групи японських керуючих вивчали досвід по усьому світі. Вони зустрічалися з керівниками ведучих промислових фірм США і Європи. Усе раціональне переносилося на національний ґрунт. Увага японських керуючих залучили такі поняття, як статистичний контроль якості і комплексне керування якістю. Японські робітники та службовці вивчали нові методи в робочий час. Вивчаючи досвід різних країн, японські керуючі звернули увагу на те, що процвітаючі фірми висувають високі вимоги до своїх працівників і якості продукції. У підсумку проведених досліджень і виконаних розробок з'явилися так називані „японські стандарти якості ”. У Японії виникло нове поняття „культура якості ”.[17, с.200] Культура якості - комплексне поняття, що включає якість сервісного обслуговування, якість звітної документації, якість виконання виробничих операцій і ін. Японія стала родоначальником нової методології діяльності підприємства і перейшла до тотального контролю якості. Нова система виходи за рамки мікро рівня і включає контроль ринку збуту продукції, аналіз ринкової кон'юнктури, після продажне обслуговування. При цьому традиційне керування якістю не усувається, а удосконалюється. Значення ж тотального контролю якості полягає в тому, що він підсилює вплив запитів споживачів на якість продукції. Крім того, тотальна якість входить у число критеріїв оцінки роботи менеджерів. Менеджери компаній відносяться до підвищення якості не як до одного з рядових моментів керування, а віддають йому пріоритетне значення. Споживачів цікавлять надійність, зручність в експлуатації, довговічність, естетичні властивості продукції. 1.3 Стандартизація та сертифікація якості продукції. В даний час, особливо в умовах ринкових відносин, коли всім підприємствам і організаціям надане право самостійного виходу на зовнішній ринок, вони зіштовхуються з проблемою оцінки якості і надійності своєї продукції. Міжнародний досвід свідчить про те, що необхідним інструментом гарантуючим відповідність якості продукції вимогам нормативно-технічної документації (НТД) є сертифікація . Сертифікат від лат. certіm - вірно, facere - робити. [15, с.37] Сертифікація в загальноприйнятій міжнародній термінології визначається як установлення відповідності. Національні законодавчі акти різних країн конкретизують: відповідність чому встановлюється, і хто встановлює цю відповідність. Сертифікація - це документальне підтвердження відповідності продукції визначеним вимогам, конкретним стандартам чи технічним умовам. Сертифікація продукції являє собою комплекс заходів (дій), проведених з метою підтвердження за допомогою сертифіката відповідності (документа), що продукція відповідає визначеним стандартам чи іншим НТД. Багато закордонних фірм витрачають великі кошти і час на доведення споживачу, що їхня продукція має високу якість. Так, по закордонних джерелах величина витрат на ці роботи складає близько 1-2% усіх витрат підприємств-виготовлювачів. У деяких випадках витрати навіть порівнянні з витратами на досягнення самої якості. Це робиться не випадково, тому що сертифікація є дуже ефективним засобом розвитку торгово-економічних зв'язків країни, просування продукції підприємства на зовнішній і внутрішній ринок збуту, а також закріплення на них на досить тривалий період часу. Саме все це визначило широке поширення сертифікації. Сертифікація з'явилася в зв'язку з необхідністю захистити внутрішній ринок від продукції, непридатної до використання. Питання безпеки, захисту здоров'я і навколишнього середовища змушують законодавчу владу, з одного боку, установлювати відповідальність постачальника (виробника, продавця і так далі) за введення в обіг недоброякісної продукції; з іншого боку - встановлювати обов'язкові до виконання мінімальні вимоги, що стосуються характеристик продукції, що вводиться в обіг. До першого відносяться такі законодавчі акти, як наприклад, Закон "Про захист прав споживачів", прийнятий в Україні, чи закон про відповідальність за продукцію, прийнятий у країнах Європейського Співтовариства. Закони, що встановлюють мінімальні вимоги по характеристиках, можуть відноситися в цілому до групи продукції чи до окремих її параметрів. Прикладом таких законів можуть стати закон про іграшки, закон про електромагнітну сумісність і так далі. Таким чином, встановлюється обмеження на введення в обіг продукції, що у цілому чи по яких-небудь окремих параметрах підпадає під дію законодавчих актів. При цьому говорять, що продукція попадає в законодавчо регульовану область. Якщо характеристики продукції в цілому і частково не підпадають під дію національних законів, то така продукція може вільно переміщатися в межах відповідного ринку, і при цьому говорять, що продукція попадає в область, законодавчо не регульовану. Для введення в обіг продукції, що попадає в законодавчо регульовану область, потрібно офіційне підтвердження того, що вона відповідає всім пред'явленим законодавством вимогам. Однієї з форм такого підтвердження є сертифікація продукції, проведена незалежною третьою стороною (перша - виготовлювач, друга - споживач). У випадку одержання позитивного результату, у процесі сертифікації видається документ, який називається "сертифікат відповідності" , що підтверджує відповідність продукції всім мінімальним вимогам, установленим національним законодавством. Даний документ є пропуском на ринок у законодавчо регульованій області. Продукція в законодавчо не регульованій області може безперешкодно переміщатися всередині ринку, і при цьому, до неї офіційно не пред'явлені вимоги по установленню відповідності. Проте, у контрактній ситуації, споживач може зажадати від постачальника доказ відповідності продукції визначеним вимогам, наприклад, відповідності конкретному стандарту чи групі стандартів, відповідності специфічним вимогам, пред'явленим самим споживачем (і в тому числі - відповідності умовам контракту). У цьому випадку, сертифікація третьою стороною також може виступати, як підтвердження виконання умов, що буде зафіксовано в сертифікаті відповідності конкретним, установленим споживачем вимогам. Постачальник у законодавчо не регульованій області може проводити сертифікацію своєї продукції незалежною третьою стороною і за власною ініціативою. При цьому він запитує підтвердження відповідності своєї продукції характеристикам, обраним на свій розсуд. Постачальник може запросити установлення відповідності своєї продукції визначеним стандартам, визначеним технічним параметрам, змісту паспорта чи рекламного матеріалу на виріб і т.д. Оскільки процедура сертифікації дуже дорога, то вона може викликати або зниження прибутку постачальника, або збільшення вартості продукції, що у свою чергу може знизити її конкурентноздатність на ринку. Тому постачальник повинний чітко представляти механізм отримання вигоди з процедури сертифікації, наприклад, за допомогою проведення рекламної компанії з залученням висновку незалежної третьої сторони. [13, с.219] У керівництві ІСО визначені вісім схем сертифікації третьою стороною [36, с.217]: 1. Іспити зразка продукції. 2. Іспити зразка продукції з наступним контролем на основі нагляду за заводськими зразками, закуповуваними на відкритому ринку. 3. Іспити зразка продукції з наступним контролем на основі нагляду за заводськими зразками. 4. Іспити зразка продукції з наступним контролем на основі нагляду за зразками, придбаними на відкритому ринку й отриманими з заводу. 5. Іспити зразка продукції й оцінка заводського керування якістю з наступним контролем на основі нагляду за заводським керуванням якості й іспитів зразків, отриманих із заводу і відкритого ринку. 6. Тільки оцінка заводського керування якістю. 7. Перевірка партій виробів. 8. 100%-овий контроль. На рівні європейських країн, взаємини суб'єктів сертифікації регулюються серією європейських стандартів EN 45000. Багато органів по сертифікації й дослідницькі лабораторії, що здійснюють іспити з метою сертифікації, проходять акредитацію, тобто одержують офіційне визнання того, що вони можуть проводити визначені види діяльності. Зокрема, акредитація може полягати в тім, що орган по акредитації, керуючись стандартами EN 45002 чи EN 45010, перевіряє виконання дослідницькою лабораторією чи органом по сертифікації стандартів EN 45001 чи EN 45011, відповідно. [36, с. 219] Для дослідницької лабораторії результатом акредитації є визнання її технічної компетенції з проведення визначених видів досліджень, у той час як орган по сертифікації повинний бути визнаний як компетентний і гідний довіри при функціонуванні у визначеній системі сертифікації продукції. Ціль акредитації звичайно формулюється в такий спосіб: - підвищення якості і професійної компетенції дослідницьких лабораторій і органів по сертифікації; - визнання результатів іспитів та досліджень і сертифікатів на внутрішньому і зовнішньому ринках; - забезпечення конкурентноздатності і визнання продукції на зовнішньому і внутрішньому ринках. Однак, багато дослідницьких лабораторій і органи по сертифікації не проводять у себе акредитацію, не без підстави вважаючи, що довіри і визнання компетенції можна досягти з меншими витратами і що зміст в акредитації може бути тільки тоді, коли в організації є занадто багато вільних засобів. У дійсності міжнародні акти, у тому числі європейські стандарти, не вимагають проведення акредитації для виконання робіт з метою сертифікації. Виключення складають деякі законодавчі акти, прийняті на рівні окремих країн і Зокрема, у Німеччині регламентується необхідність акредитації всіх організацій, що проводять сертифікацію в області електромагнітної сумісності; у Росії повинні бути акредитовані всі органи по сертифікації й іспитові лабораторії, що здійснюють діяльність з метою сертифікації. Ще одним способом підтвердження відповідності продукції є декларація про відповідність, у якій постачальник, відповідно до стандарту EN 45014, заявляє під свою виняткову відповідальність про те, що конкретна продукція відповідає конкретному стандарту чи іншому нормативному документу, на який дана декларація посилається. При цьому постачальник повинний забезпечити дотримання необхідних параметрів у припустимих межах і контролювати усі види своєї діяльності на всіх етапах виробництва. Якщо постачальник дійсно здатний стабільно виконувати і контролювати виконання вимог стандарту чи іншого документа, на який він посилається в декларації про відповідність, то можливо, даний спосіб установлення відповідності буде для такого постачальника найбільше економічно доцільним. Проте, навіть при виконанні всіх умов стандарту EN 45014, постачальник може розділити ризик відповідальності за продукцію з органом по сертифікації, запросивши сертифікацію даної продукції незалежною третьою стороною. Застосування українськими підприємствами сертифікації продукції в умовах ринкових відносин дає наступні переваги: - забезпечує довіру внутрішніх і закордонних споживачів до якості продукції; - полегшує і спрощує вибір необхідної продукції споживачами; - забезпечує споживачу одержання об'єктивної інформації про якість продукції; - сприяє більш тривалому успіху і захисту в конкуренції з виготовлювачами несертифікованої продукції; - зменшує імпорт у країну аналогічною продукції; - запобігає надходження в країну імпортної продукції не відповідного рівня якості; - стимулює поліпшення якості НТД шляхом встановлення в ній більш прогресивних вимог; - сприяє підвищенню організаційно-технічного рівня виробництва; - стимулює прискорення НТП. Уся сертифікаційна діяльність здійснюється у відповідній системі що має власні правила і керівні положення. Для аналізу вартісної величини засобів, затрачуваних на підтримку якості продукції, використовується різна інформація. Але перш ніж перейти до її збору, варто визначити, яке призначення інформації. Ціль збору даних у процесі вартісного аналізу якості може полягати в наступному: - виявлення конкурентноздатності продукції на існуючих ринках; - визначення розмірів необхідних капіталовкладень; - виявлення взаємозв'язків витрат на якість продукції і результатів господарської діяльності підприємства; - зниження витрат на одиницю продукції при збереженні її колишньої якості; - зниження витрат на вироби при одночасному поліпшенні їхніх властивостей; - визначення величини витрат по видах для зміни їхньої структури; - збільшення обсягу виробництва без зниження якості продукції з колишнього обсягу ресурсів за рахунок зменшення і ліквідації відходів; - аналіз відхилень від установлених вимог; - контроль продукції; - установлення ціни на продукцію й ін. Звідси видно, що частина даних про якість, що стосується технічних особливостей виробу і його виробництва, знаходиться на підприємстві-виготовлювачі, а інша - на конкуруючому підприємстві чи в сфері реалізації, тобто в зовнішнім середовищі. Дані для аналізу витрат на якість можуть бути первинними, як правило, це технічні й інші параметри виробів, що містяться в ТУ, ДСТ, сертифікатах і інших документах, що підтверджують якість продукції, і вторинними , що виходять у результаті обробки первинних. Дані мають потребу в обробці. Скорочує витрати часу на обробку даних розробка таких видів носіїв, що роблять можливими попередні висновки відразу після збору даних. Для цього необхідно зареєструвати джерело інформації (дату, коли вона збиралася, працівника, що робив операцію, верстат, на якому проводилася обробка, партію використовуваних матеріалів і т.п.). Реєструвати інформацію в таблицях, що полегшують і прискорюють обчислення статистичних показників, використовуваних при прийнятті оперативних управлінських рішень і для подальшого більш глибокого статистико-математичного аналізу взаємозв'язків і тенденцій. Існує величезна кількість облікових регістрів, варіюємих на різних підприємствах у залежності від роду діяльності, типу продукції, що випускається, і т.п. (табелі, звіти про витрати, замовлення на постачання, звіти про переробку продукції і т.д.). Як приклад можна привести реєстрацію дефектів контролером ВТК штампованої пластикової деталі. Дана форма дозволяє бачити причини браку і швидко визначати нанесений їм збиток і його винуватця.
Крім того, подальше проведення в разі потреби технічної експертизи бракованих деталей і зіставлення її результатів з попереднім висновком контролера ВТК підтвердить і рівень кваліфікації останнього. Як уже було сказано вище, на різних підприємствах можуть застосовуватися аналогічні й інші облікові форми. Подібні форми реєстрації даних про відхилення параметрів якості виробів від запланованого доцільні для збору внутрішніх первинних технічних характеристик виробленої продукції, що потім використовують у факторному аналізі витрат на якість продукції. Одним із внутрішніх джерел інформації, що дозволяють визначити структуру витрат на виріб і мають перевагу перед іншими завдяки обов'язковості складання, вірогідності і наочності, є кошторис витрат на виробництво. Він зручний для пошуку напрямків їхнього зниження і мінімізації ціни виробу. Крім того, можна використовувати дані про витрати на виробництво по їх видах, що збираються на рахунках бухгалтерського обліку. [15, с.59] Більш складним, трудомістким і дорогим є одержання зовнішньої інформації. Частина її міститься в рекламних проспектах, прайс-листах, матеріалах періодичної преси і спеціальній літературі. Ці дані більш надійні в порівнянні з одержуваними в сфері реалізації шляхом проведення спеціальних вибіркових обстежень по вивченню думки споживачів про ціну і якість продукції. Однак інформацію, одержувану з вибіркових обстежень, важко чим-небудь замінити, якщо підприємство хоче врахувати бажання покупців для збільшення обсягу продажів шляхом поліпшення властивостей продукції. З цією метою можна використовувати опитування продавців чи покупців продукції і проводити анкетування населення, яких у процесі обробки даних необхідно розбити на групи (класи). Це дозволить знати думку різних соціальних, вікових і інших груп населення про продукцію підприємства з використанням типової вибірки для одержання інформації. При зборці таких даних по обмеженому числу споживачів, особливо при малій вибірці, зручно використовувати діаграми розсіювання, що дозволяють вивчити залежність між парами перемінних, наприклад ціною і зовнішнім оформленням, упакуванням товару. Цими перемінними можуть бути: а) характеристика якості чи фактор, що впливає на неї; б) дві різні характеристики якості; в) два фактори, що впливають на одну характеристику якості. Діаграма розсіювання будується в кілька етапів. На першому в таблиці записують дані, що збираються, між якими вивчається залежність. На другому будується шкала значень показників шляхом розподілу різниці між їх максимальною і мінімальною величинами на бажане (приблизно однакове) число частин. На осі х відкладають значення факторної, а на осі у - значення результативної ознаки. На третьому етапі будують діаграму розсіювання шляхом нанесення крапок, отриманих у результаті спостереження, на графік. На четвертому заключному етапі вносять адресні: назва діаграми, час спостереження, ім'я виконавця й інші необхідні дані. Таким чином, незважаючи на різнобічність інформації, що характеризують витрати на якість продукції, і фактори, що впливають на нього і на подібні витрати, необхідно і цілком можливо вже на етапі формування даних використовувати наочні форми їхнього представлення в сполученні з методиками первинного аналізу: угрупованням, графічним аналізом і т.д. Це значно прискорює процес аналізу і полегшує подальше використання його з метою статистико-математичних методів. Розділ 2 Сучасний рівень управління якістю продукції ТОВ „МТК”. 2.1 Характеристика фінансово-економічного стану підприємства ТОВ „МТК” зареєстровано у 1991 році в формі товариства з обмеженою відповідальністю. Юридична адреса: м. Житомир, вул.. Промислова 17. Вид діяльності : виробництво автомобільних причепів та скоб’яних виробів. Проаналізуємо фінансово-економічний стан підприємства за останні три роки. Таблиця 2.1 Оцінка фінансового стану ТОВ „МТК”.
Згідно даних. наведених в табл.. 2.1 загальна вартість активів підприємства на кінець 2005 року склала 44182 тис. грн. В порівнянні з 2003 роком вона збільшилась на 4388 тис. грн. або 11,03%. Це свідчить про те, що підприємство розвивається і має стабільний фінансовий стан. Вартість необоротних активів у 2005 році в порівняння з 2003 роком збільшилась на 3705 тис. грн., або на 14,48%; оборотних на 683 тис. грн. або 4,81%. Дана ситуація типова для підприємства виробничої сфери на якому, як правило, необоротні активи перевищують оборотні. Дебіторська заборгованість за аналізований період зменшилась на 1447 тис. грн., або на 40,92%, це є позитивний показник, який свідчить про виважену політику керівництва підприємства щодо дебіторів. Власний капітал підприємства збільшився на 6297 тис. грн., або на 17,42%, внаслідок чого відпала потреба в залучені додаткового запозиченого капіталу, сума якого скоротилась на 1909 тис. грн., або 52,29%. Вартість основних засобів збільшилась на 5877 тис. грн., або на 12,5%, проте коефіцієнт зносу основних засобів свідчить, що основні засоби підприємства зношені на 45% (2005р.) і потребують більш інтенсивного оновлення. Матеріаломісткість господарської діяльності є дуже високою – 0,73 (2005р.), а трудомісткість досить низькою – 0,09 (2005р.). Це обумовлено специфікою випускаємої продукції. Коефіцієнти співвідношення необоротних і оборотних активів та оборотних і необоротних активів свідчать, що підприємство займається виробничою діяльністю (необоротних активів більше ніж оборотних), що характерно для всіх виробничих підприємств. Середньо облікова чисельність працівників за аналізований період збільшилась на 90 чол., або на 40%, що свідчить про збільшення обсягу виробництва. Для того, щоб проаналізувати ліквідність підприємства розглянемо таблицю 2.2. Таблиця 2.2 Оцінка ліквідності ТОВ „МТК”.
Загальний коефіцієнт покриття на протязі аналізованого періоду має сталу тенденцію до збільшення. Це свідчить про достатність у підприємства обігових коштів для погашення боргів протягом року. Коефіцієнт швидкої ліквідності становить: у 2003р – 1,07; у 2004р. – 1,48; у 2005 р. – 2,12. На протязі аналізованого періоду він становив нормативне значення (> 0,5). Цей коефіцієнт свідчить про те скільки одиниць найбільш ліквідних активів припадає на одиницю термінових боргів. Що стосується коефіцієнта абсолютної ліквідності, то тут ситуація наступна: у 2003 році цей показник становив менше нормативу (норматив 0,2; показник 0,10), проте у 2004 та 2005 роках його значення збільшилось і становило відповідно 0,22 та 0,42. Цей показник свідчить про готовність підприємства негайно ліквідувати короткострокову заборгованість. Частина оборотних активів в загальній сумі активів та частина виробничих запасів в оборотних активах на протязі аналізованого періоду майже не змінюються і їх значення свідчать, як вже зазначалося раніше, про те що підприємство займається виробничою діяльністю (необоротних активів більше). В загальному можна зробити висновок, що підприємство в аналізованому періоді мало ліквідний баланс. За даними таблиці 2.3 проведемо аналіз ділової активності підприємства. Таблиця 2.3 Оцінка ділової активності ТОВ „МТК”.
З наведених даних бачимо, що підприємство в період з 2003 по 2005 рік суттєво збільшило випуск готової продукції, внаслідок чого зросла валова виручка та чистий доход підприємства (відповідно на 39759 тис. грн. або 96% та 33131 тис. грн. або 96%). Фактичні обсяги виробництва продукції збільшились на 12057 %, або 47%; збільшення виручки на 96 % свідчить про те що було збільшено ціни на продукцію підприємства. Чистий прибуток підприємства за аналізований період збільшився на 289%(!). Продуктивність праці на підприємстві збільшилась на 26%. Фонд оплати праці виріс на 5%. Тривалість обороту оборотних активів зменшилась майже вдвічі з 150 днів у 2003р. до 80 днів у 2005р., що є позитивним показником. Також зменшилась на 153 дні тривалість обороту власного капіталу. Можна зробити висновок, що показники ділової активності підприємства за аналізований період суттєво покращились. За даними таблиці 2.4 проведемо аналіз рівня ефективності господарської діяльності ТОВ „МТК”. Таблиця 2.4 Оцінка рівня ефективності господарської діяльності ТОВ „МТК”.
Рентабельність господарської діяльності підприємства збільшилась на 113,10%; чиста рентабельність виручки від реалізації продукції збільшилась на 98,48%, рентабельність активів збільшилась на 165,26%; адміністративні витрати на 1 грн. собівартості реалізованої продукції скоротились на 48,65%. Це все свідчить про високу ефективність ведення господарської діяльності підприємства. 2.2.Показники якості продукції та методи їх оцінки. У залежності від цілей, задач аналіз витрат на якість і можливостей одержання необхідних для його здійснення даних аналітичні методи істотно розрізняються. Впливає на це розходження і проходження продукцією визначеного етапу діяльності підприємства, і її місце в ланцюжку формування витрат у конкретний момент. [18, 16, 12, 15, 9] Метод функціонально-вартісного аналізу. На етапах проектування, технологічного планування, підготовки й освоєння виробництва доцільно застосування функціонально-вартісного аналізу (ФВА). Це - метод системного дослідження функцій окремого виробу чи технологічного, виробничого, господарського процесу, структури, орієнтований на підвищення ефективності використання ресурсів шляхом оптимізації співвідношення між споживчими властивостями об'єкта і витратами на його розробку, виробництво й експлуатацію. Основними принципами застосування ФВА є: - функціональний підхід до об'єкта дослідження; - системний підхід до аналізу об'єкта і виконуваних їм функцій; - дослідження функцій об'єкта і їхніх матеріальних носіїв на всіх стадіях життєвого циклу виробу; - відповідність якості і корисності функцій продукції витратам на них; - колективна творчість. Виконувані виробом і його складовими функції можна згрупувати по ряду ознак. По області прояву функції підрозділяються на зовнішні і внутрішні . Зовнішні - це функції, виконувані об'єктом при його взаємодії з зовнішнім середовищем. Внутрішні - функції, це елементи об'єкта і їхній зв'язок в границях об'єкта. По ролі в задоволенні потреб серед зовнішніх функцій розрізняють головні і другорядні . Головна функція відбиває головну мету створення об'єкта, а другорядна - побічну. По ролі в робочому процесі внутрішні функції можна підрозділити на основні і допоміжні . Основна функція підлегла головній й обумовлює працездатність об'єкта. За допомогою допоміжних реалізуються головні, другорядні й основні функції. По характеру прояву всі перераховані функції поділяються на номінальні , потенційні і дійсні . Номінальні задаються при формуванні, створенні об'єкта й обов'язкові для виконання. Потенційні відбивають можливість виконання об'єктом яких-небудь функцій при зміні умов його експлуатації. Дійсні - це фактично виконувані об'єктом функції. Усі функції об'єкта можуть бути корисними і марними , а останні нейтральними і шкідливими . Ціль функціонально-вартісного аналізу складається в розвитку корисних функцій об'єкта при оптимальному співвідношенні між їх значимістю для споживача і витратами на їхнє здійснення, тобто у виборі найбільш сприятливого для споживача і виробника, якщо мова йде про виробництво продукції, варіанта рішення задачі про якість продукції і її вартості. Математично ціль ФВА можна записати в такий спосіб: СВ / В = max, де СВ - споживча вартість аналізованого об'єкта, виражена сукупністю його споживчих властивостей (СВ = еn·cі ), а В - витрати на досягнення необхідних споживчих властивостей. Функціонально-вартісної аналіз проводиться в кілька етапів. На першому , підготовчому, етапі уточнюють об'єкт аналізу - носій витрат. Це особливо важливо при обмеженості ресурсів виробника. Наприклад, вибір і розробка чи удосконалення продукції, що випускається в масовому порядку, може принести підприємству значно більше вигод, чим більш дорогий виріб, вироблений мілкосерійно. Даний етап завершується, якщо знайдений варіант із низкою в порівнянні з іншими собівартістю і високою якістю. На другому , інформаційному, етапі збираються дані про досліджуваний об'єкт (призначення, техніко-економічні характеристики) і складових його блоках, деталях (функції, матеріали, собівартість). Вони йдуть декількома потоками за принципом відкритої інформаційної мережі. У мережу інформація з поліпшення якості виробу і зниженню витрат на його виробництво надходить з конструкторських, економічних підрозділів підприємства і від споживача до керівників відповідних служб. Оцінки і побажання споживачів акумулюються в маркетинговому відділі. У процесі роботи вихідні дані обробляються, преутворюються у відповідні показники якості і витрат, проходячи всі зацікавлені підрозділи, і надходять до керівника проекту. На третьому , аналітичному, етапі докладно вивчаються функції виробу (їхній склад, ступінь корисності), його вартість і можливості її зменшення шляхом відсікання другорядних і марних функцій. Це можуть бути не тільки технічні, але й органолептичні, естетичні й інші функції виробу чи його деталей, вузлів. Для цього доцільно використовувати принцип Ейзенхауера - принцип АВС , відповідно до якого функції поділяються на: А - головні, основні, корисні; В - другорядні, допоміжні, корисні; С - другорядні, допоміжні, марні. Одночасно відтинаються колишні витрати. Використання табличної форми розподілу функцій полегшує такий аналіз. Складемо таку табличку для одного з виду виробів ТОВ „МТК” – автомобільних причепів: Таблиця 2.5 Розподіл службових функцій виробу за принципом АВС.
У підсумкові графи заносяться дані про кількість другорядних, допоміжних, марних функцій по деталях, що дозволяє зробити попередній висновок про їхню необхідність. Далі можна побудувати таблицю вартості деталей по кошторису чи найбільш важливим його статтям і оцінити вагомість функцій кожної деталі у взаємозв'язку з витратами на їхнє забезпечення. Це дозволить виявити можливі напрямки зниження витрат шляхом внесення змін у конструкцію виробу, технологію виробництва, заміни частини власного виробництва деталей і вузлів, заміни одного виду матеріалів іншим, більш дешевим чи економічним в обробці, зміна постачальника матеріалів, розміру їхніх постачань і т.д. Угруповання витрат на функції по факторах виробництва дозволять виявити першочерговість напрямків зниження собівартості виробу. Такі напрямки доцільно деталізувати, ранжируя по ступені значимості, обумовленої експертним шляхом, і зіставляючи з витратами, вибирати шляхи здешевлення продукції. Для цього можна скласти таблицю: Таблиця 2.6 Зіставлення коефіцієнтів значимості функцій і їхньої вартості (на прикладі ТОВ „МТК”).
Зіставивши питому вагу витрат на функцію в загальних витратах і значимість відповідної йому функції, можна обчислити коефіцієнт витрат на кожну функцію. Оптимальним вважається Кз/ф =1. Кз/ф < 1 бажаніше, ніж Кз/ф > 1. При істотному перевищенні даного коефіцієнта одиниці необхідно шукати шляхи здешевлення даної функції (у нашому прикладі це друга функція). Результатом проведеного ФВА є варіанти рішення, у яких необхідно зіставити сукупні витрати на вироби, що є сумою елементних витрат, з якою-небудь базою. Цією базою можуть, наприклад, служити мінімально можливі витрати на виріб. Теорія ФВА пропонує обчислювати економічну ефективність ФВА, що показує, яку частку складає зниження витрат у їхній мінімально можливій величині: КВФА = Ср. – Сф.н. / С ф.н. , де КФВА - економічна ефективність ФВА (коефіцієнт зниження поточних витрат); Ср - реально сформовані сукупні витрати; Сф.н. - мінімально можливі витрати, що відповідають спроектованому виробу. На четвертому , дослідницькому, етапі оцінюються пропоновані варіанти розробленого виробу. На п'ятому , рекомендаційному, етапі відбираються найбільш прийнятні для даного виробництва варіанти розробки й удосконалення виробу. З цією метою можна рекомендувати побудовати матричну таблицю: Таблиця 2.7 Таблиця рішень по варіантах вибору виробів для виробництва.
З урахуванням значимості функції виробу, його вузлів, деталей і рівня витрат за допомогою ціноутворення, ґрунтуючись на знанні попиту на продукцію, визначається рівень її рентабельності. Усе це в сукупності служить меті ухвалення рішення про вибір до виробництва конкретного виробу чи напрямків і масштабу його удосконалення. Методи технічного нормування. Істотну допомогу у визначенні й аналізі витрат на якість продукції можуть зробити методи технічного нормування. Вони засновані на розрахунку подетальних норм і нормативів матеріальних ресурсів (сировини, покупних комплектуючих виробів і інших видів матеріалів), розрахунку трудомісткості й інших витрат, що включаються в собівартість продукції відповідно до проектних розмірів, конкретної технології її виготовлення, збереження і транспортування, а також витрат на гарантійне і сервісне обслуговування. Для їхнього розрахунку використовуються методи мікроелементного нормування, нормативно-довідкові матеріали. Методи технічного нормування дозволяють досить точно визначити витрати як на новий виріб по його складовим, так і на удосконалення продукції. Якщо підприємство переходить до виробництва нової продукції, що мала раніше аналог по споживчому призначенню і властивостям, то витрати на якість (Вя) можна визначити різницею між витратами на стару (Вст) і нову (Вн) продукцію: Вя = Вст - Вн Якщо підприємство удосконалить якісні параметри виробленого раніше виробу, то витрати на якість можна визначити прямим розрахунком по відповідним нормах і напрямкам. Ступінь взаємозв'язку між будь-якими характеристиками якості, що мають кількісне вираження, і витратами на нього чи ціною виробу в цілому як формою його вартості, у якій основну питому вагу займають витрати, дозволяє визначити коефіцієнт кореляції. Його можна обчислити по формулі:
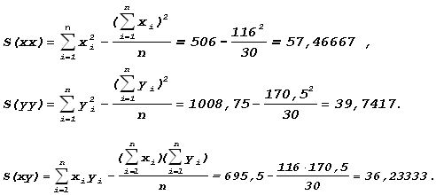
де n - число пар даних; S(xy) називається ковариацієй; x і y - два досліджуваних показники. Коефіцієнт кореляції може приймати значення від -1 до +1. При r, близькому до 1, можна говорити про високий ступінь тісноти зв'язку між досліджуваними перемінними і навпроти: при r, близькому до 0, кореляція між ними виражена слабко. Якщо r = 1, усі крапки на діаграмі розсіювання будуть лежати на одній прямій. Якщо ж r = 0, кореляційний зв'язок між факторним і результативним показниками відсутній. Знак "+" чи "-" говорить про напрямок зв'язку - прямий чи зворотній. По наведеним формулах і даним табл. 2.8 можна знайти коефіцієнт кореляції. Таблиця 2.8 Дані опитування покупців щодо додаткового укомплектування.
Дані наведені в таблиці про результати опитування проведеного фахівцями ТОВ „МТК” як впливає комплектування автопричепів на попит на дану продукцію. Додаткові необхідні розрахунки приведені в табл. 2.9. Тоді, підставивши отримані значення, будемо мати: Звідси
Значення r, рівне +0,758, свідчить про наявність високої позитивної кореляції між укомплектуванням товару, що є одним з показників його якості, і ціною на нього, у якій утілені витрати на товар. Таблиця 2.9 Показники для розрахунку коефіцієнта кореляції.
Деякі інші методи аналізу витрат на якість. Одним з методів, що дозволяють проаналізувати зміну витрат, пов'язаних зі зміною якості продукції, є індексний метод . Складність його застосування до даного предмета дослідження полягає в тім, що обидві ознаки повинні бути виражені кількісно. Якість же не завжди має кількісне значення і не завжди може бути описане словесно. Якщо показник якості має числові характеристики, то при побудові індексів їх можна використовувати як ваги витрат. У противному випадку вагами може служити кількість елементів конструкції виробу, кількість деталей, вузлів, виробів. У табл. 2.10 наведено дані про заплановану і фактичну вартість сталевого листа, використовуваного для виробництва автомобільних причепів ТОВ „МТК”: Таблиця 2.10 Вартість сталевого листа для автомобільних причепів.
Витрати на дану сировину в порівнянні з планом зросли на 13%: (504 - 446)/446 · 100% = 13%. Однак з таблиці видно, що внаслідок зменшення товщини сталевого листа на виготовлення виробу його потрібно менше на 100% - 24,97/40,55 ·100% = 38,42%. Можна розрахувати індекс витрат з урахуванням якості і проаналізувати вплив на нього обох факторів: зміни витрати нової сировини і його вартості.
де Ізк - індекс витрат з урахуванням якості; qнк - витрата нового по якісних характеристиках сировини, нат. од.; qск - витрата старого по якісних характеристиках сировини, нат. од.; zнк - витрати (вартість) нової сировини, грош. од..;
zск - витрати (вартість) старої сировини, грош. од..;
Тоді для нашого прикладу:
Таким чином, з урахуванням споживання більш якісної сировини індекс витрат з урахуванням якості склав 69,7%, тобто витрати знизилися в порівнянні з планом на 30,3% (100,0% - 69,7%). За рахунок зниження витрати високоякісної листової сталі в порівнянні з запланованим зміна склала:
Таким чином, зниження склало 38,6% (100,0% - 61,4%). Зміна ж вартості нового якісного матеріалу, викликана підвищенням трудомісткості його обробки й оплати трудозатрат, дорівнює:
Тобто вартість матеріалу підвищилася на 13,4% (113,4% - 100,0%). Перевірити можна в такий спосіб:
що підтверджує правильність пророблених обчислень. Для оцінки якості і конкурентноздатності виробу можливо також застосування методу бальної оцінки і методу питомої ціни . Метод бальної оцінки заснований на виставлянні кожному якісному параметру виробу бала з урахуванням значимості цього параметра для виробу в цілому й обраної для оцінки шкали - 5, 10 чи 100-бальної. Після цього визначається середній бал виробу, що характеризує рівень його якості в балах. Для розрахунку ціни нової продукції можна використовувати формулу: Рн = (Рб / Бб) * Бн де Рн - ціна нової продукції, грош.од. ; Рб - ціна базової продукції, грош.од.; Бб - сума балів, що характеризують параметри якості базової продукції; Бн - сума балів, що характеризують параметри якості нової продукції. Метод питомої ціни полягає у визначенні ціни на основі розрахунку вартості одиниці основного параметра якості: потужності, продуктивності і т.д. Для розрахунку використовується формула: Рн = (Пн / Пб) * Рб де Пн - значення основного параметра якості нового виробу, бал; Пб - значення основного параметра якості базового виробу, бал; Обоє цих методи доцільно застосовувати як складові частини порівняльного аналізу виробів для рішення питання про їхній запуск у виробництво чи ефективності пропонованих якісних удосконалень. Однак, на практиці для рішення питання про вибір виробу для запуску у виробництво повинні проводитися усі види проектного аналізу: комерційний, технічний, організаційний, соціальний, екологічний і економічний. Для цього варто застосовувати всі доступні в кожній конкретній ситуації методи. Тільки такий аналіз може вважатися повноцінним і дати об'єктивний результат для ухвалення управлінського рішення. Політика підприємства повинна споконвічно мати на меті високу якість продукції. Однак брак, що є його протилежністю, може виникнути на будь-якім підприємстві. Його необхідно враховувати. Брак може бути виявлений на самому підприємства-виробники і за його межами. Що проявився в сфері реалізації чи в процесі використання продукції брак свідчить як про погану її якість, так і про якість роботи підприємства. Він називається рекламацією . Рекламації порівнюють по вартості і по кількості з минулим періодом. Їх розраховують на 100, 1000, 10000 виробів у залежності від обсягу виробництва. Поява рекламації наносить виробнику не тільки матеріальний, але і моральний збиток, позначаючись на його репутації. При аналізі браку розраховують абсолютні і відносні показники. Абсолютний розмір браку являє собою суму витрат на остаточно забраковані вироби і витрат на виправлення поправного браку. Абсолютний розмір утрат від браку одержують вирахуванням з абсолютного розміру браку вартості браку за ціною використання, суми утримань з особи-винуватців браку і суми стягнень з постачальників за постачання неякісних матеріалів. Відносні показники розміру браку і втрат від браку розраховують процентним відношенням абсолютного розміру браку чи втрат від браку відповідно до виробничої собівартості товарної продукції. Розглянемо приклад. Таблиця 2.11 Розрахунок показників браку для ТОВ „МТК”.
З табл. 2.13 можна зробити висновок, що основною причиною браку виявилося постачання неякісної сировини чи інших видів матеріальних ресурсів. У 2004 році, ґрунтуючись на досвіді 2003 року, виробник склав договір на постачання матеріалів, що передбачає компенсацію у випадку їхньої низької якості, що і дозволило скоротити абсолютний розмір утрат від браку на 9 300 грош. од. (24 000 - 14 700) чи на 38,75% (14 700 / 24 000 · 100%). Відносний розмір утрат від браку знизився на 2,5%. Можна також визначити вартість придатної продукції, що могла б бути отримана при відсутності браку (∑q). Для цього необхідно фактичний обсяг товарної продукції в планових цінах (q1 *Pпл) помножити на частку остаточного браку виробничої собівартості (d о.б. ). Нехай для нашого приклада q1 *Pпл = 500 000 грош. од. Тоді
Менеджери повинні рекомендувати керівництву ТОВ „МТК” знайти підприємство, що поставляє більш якісну сировину для даного виробництва. Аналіз браку, виявленого на підприємстві, і аналіз рекламацій варто починати з вивчення причин їхнього виникнення. Це дозволить більш точно визначити розмір витрачених засобів і шляхи зниження витрат на забезпечення якості продукції. Однак витрати, пов'язані з вирішенням проблем по виникненню, запобіганню браку, іноді можуть перевищувати витрати, що несе підприємство, якщо брак не усунутий. Для цього варто ретельно проаналізувати витрати на запобігання різних дефектів і їхнє усунення. У цьому можуть допомогти крива Парето і додаткові графіки, що відбивають витрати, пов'язані з цими дефектами, оцінки витрат, пов'язаних з вирішенням проблем, і оцінки часу, що необхідний для вирішення проблем. На рис. 2.1 визначається дефект, що приводить до найбільшого числа відмовлень, але наступні графіки (рис. 2.2, 2.3 і 2.4) показують, що область найбільшого числа дефектів не відповідає області найбільших витрат для компанії, викликуваних браком, оскільки деталь, що має цей дефект, набагато дешевша, менш важлива чи легше піддається виправленню. Якщо деталь виготовляється в набагато більшій кількості в порівнянні з іншими, то число дефектів цього виду може ввести в оману, тому що велике абсолютне число може скласти в даному випадку низький відсоток. Наприклад, 5% випадків відмовлення з 10 000 деталей складає 500 випадків браку, але 20% з 1 000 деталей - "усього лише" 200 випадків.
Звичайно ж, при збільшенні витрат на керування якістю витрати браку будуть зменшуватися. Однак це не виходить, що підприємству варто необмежено збільшувати витрати на якість. Необхідно постійно аналізувати витрати на керування якістю, витрати браку і загальні витрати підприємства, тому що при необґрунтованому збільшенні витрат на якість можливий ріст загальних витрат. Витрати контролю якості і витрати браку можуть бути нанесені на той самий графік, як це зроблено на рис. 2.5.
Рис. 2.5. Економічна ефективність керування якістю Крапка перетинання цих двох кривих є крапкою мінімальних витрат. Але на практиці нелегко одержати навіть приблизну оцінку, оскільки приходиться враховувати багато інших перемінних. Проте ця задача є самою важливою задачею для керівництва. На багатьох фірмах такі розрахунки не проводяться, хоча розрахунок витрат на якість може служити джерелом величезної економії. 2.3 Оцінка рівня управління якістю продукції підприємства. Система управління якістю продукції представляє собою регламентований стандартами підприємства порядок регулювання виробничих процесів, що направлений на забезпечення необхідного рівня якості продукції при її розробці, виготовленні та експлуатації. Вона є невід’ємною частиною системи управління виробництвом та призначена для посилення впливу механізму управління на підвищення якості роботи та ефективність виробництва за рахунок концентрації зусиль на найбільш важливих на даний час, ключових трудових процесах та виробничих функціях.[36, с.127] На підприємстві діє комплексна система управління якістю продукції і ефективним використанням ресурсів (КСУЯП і ЕВР), яка базується на наступних принципах: - управління якістю продукції і ефективним використанням ресурсів на всіх етапах життєвого циклу продукції та на всіх рівнях управління підприємством; - комплексність (одночасна реалізація взаємопов’язаних технічних, організаційних, економічних, соціальних та ідеологічних заходів при управлінні якістю продукції і ефективного використання ресурсів з обов’язковим забезпеченням охорони навколишнього середовища). Управління якістю продукції і ефективним використанням ресурсів здійснюється на основі реалізації таких функцій як прогнозування технічного рівня продукції і розвитку підприємства; планування підвищення якості продукції і ефективності виробництва; нормування і організація розробки нової продукції на виробництві; забезпечення стабільності запланованого рівня якості продукції при її розробці, виготовленні, зберіганні, збуті та експлуатації; організація метрологічного забезпечення; контроль якості та випробування. В управлінні якістю приймають участь всі підрозділи і громадські організації підприємства. Найменування підрозділів і посадові особи показані на схемі (рис.2.6)
Розподілення функцій і задач управління якістю показано в структурно-функціональній схемі (Додаток А). По кожній функції встановлені конкретні цілі, визначена посадова особа яка відповідає за її досягнення, вказані стандарти підприємства, що регламентують виконання функції, і визначені всі підрозділи (посадові особи), для яких стандарт є обов’язковим. Функціонування КСУЯП і ЕВР регламентується комплексом стандартів підприємства. Стандарти підприємства діляться на спеціальні, які охоплюють окремі стадії життєвого циклу продукції, і загальні, які регламентують питання, визначаючи порядок робіт, що забезпечують якість праці і продукції на всіх етапах діяльності підприємства. Ефективність функціонування КСУЯП і ЕВР в значній мірі визначається складом стандартів, що в неї входять, тому робота по розробці та впровадженню нових СТП має дуже важливе значення. Основним джерелом формування номенклатури стандартів є аналіз якості продукції та технології її виготовлення. Після проведення цього аналізу на основі принципів наукової організації праці з урахуванням досягнень науки, техніки та передового досвіду розробляють чітку послідовність виконання кожного виду робіт. СТП періодично змінюються за складом та змістом, що пов’язано з тим, що з часом у виробництві з’являються нові „вузькі місця”, які потребують свого вирішення, а також з необхідністю впровадження нових, більш раціональних способів виконання стандартизованих раніше робіт. Контроль досягнення цілей і задач підприємства в галузі якості продукції і ефективного використання ресурсів здійснюється генеральним директором підприємства. В разі необхідності генеральний директор організовує комісію по проведенню аналізу причин, які заважають досягненню поставлених цілей і задач, а також розробку і виконання з удосконалення системи. Також до функцій КСУЯП і ЕВР відносяться здійснення правового забезпечення; технологічної підготовки виробництва; організації матеріально-технічного забезпечення; раціонального використання трудових ресурсів. Організаційно-технічною основою системи є стандарти всіх категорій і „Комплексний план науково-технічного прогресу, підвищення ефективності виробництва і соціально-економічного розвитку колективу”. Контроль за дотриманням вимог КСУЯП і ЕВР, а також наявність необхідних умов для їх дотримання здійснюється керівниками підрозділів. Розробку заходів щодо удосконалення методів контролю якості виготовлення продукції, впровадження прогресивних методів контролю, виявлення причин і винуватців браку здійснює відділ технічного контролю. В сучасних умовах підприємства ВТК є контролюючою організацією, головний обов’язок якої полягає в запобіганні випуску продукції, що не відповідає СТП та інструкційно-технологічним картам, технічним описам. ВТК виконує такі завдання як регулювання відносин із замовниками, регулювання якості виробів, що випускаються, координація робіт всіх відділів, виробничих ділянок підприємства. що направлена на забезпечення стабільного високого рівня якості продукції підприємства. ВТК контролює якість сировини, напівфабрикатів по всьому виробничому циклу, а також здійснює контроль якості готової продукції. До функцій ВТК відноситься контроль за дотриманням технологічної дисципліни, за відповідністю продукції вимогам інструкційно-технологічних карт, технічним описам моделей; контроль за відповідністю методів обробки вимогам нормативно-технічної документації; кінцевий контроль готової продукції. Структура управління якістю продукції показана на рис.2.7
Відділ технічного контролю очолює начальник ВТК, що підпорядковується головному інженеру. До обов’язків начальника ВТК відноситься: забезпечення безперервної роботи відділу і виконання задач, які на нього покладені; здійснення керівництва всім контрольним апаратом ВТК, правильний підбір та здійснення розстановки робітників, систематичний контроль за їх діяльністю; організація технічного навчання робітників ВТК з метою підвищення кваліфікації з питань управління якістю продукції. Начальник ВТК повинен здійснювати повсякденний контроль за роботою всіх відділів та цехів з забезпечення якості продукції; інформувати керівництво підприємства і цехів про всі випадки пред’явлення до прийоми ВТК недоброякісної продукції, дефектів порушень технологічної дисципліни і недоліків в організації виробництва, вимагаючи проведення заходів з їх усунення. Начальник ВТК проводить розбір рекламацій на продукцію підприємства, встановлює причини випуску недоброякісної продукції. Технолог зобов’язаний здійснювати постійний контроль за якістю продукції, що випускається в технологічних процесах; здійснювати класифікацію дефектів, давати оцінку якості на даній ділянці. Технолог має право призупиняти виготовлення продукції, яка не відповідає нормативно-технічній документації, і відразу інформувати про це начальника ВТК; вимагати від майстрів і робітників дотримання технологічної дисципліни; вимагати від технологів цехів належності технологічного обладнання на робочих місцях; вимагати від механіків справності обладнання і устаткування. Виконання вимог до якості автопричепів та скоб’яних виробів неможливе без проведення суворого контролю конструктивних і технологічних параметрів виробів. При цьому необхідно виходити з того, що якість продукції закладається при розробці проекту. забезпечується під час її виготовлення та підтримується в процесі експлуатації. 3. Охорона праці на підприємстві. Законодавство України про охорону праці базується на Конституції України і складається із Закону України „Про охорону праці”, Закону України „Про загальнообов'язкове державне соціальне страхування від нещасного випадку на виробництві та професійного захворювання, які спричинили втрату працездатності”, Закону України „Про пожежну безпеку”, Основ законодавства України про охорону здоров’я та інших прийнятих відповідно до них актів законодавства, що регулюють суспільні відносини у галузі охорони праці. Закон України „Про охорону праці” визначає основні принципи організації охорони праці на підприємствах України. Так, згідно ст. 37 до органів державного управління охороною праці відносяться: - Кабінет Міністрів України; - Державний комітет України по нагляду за охороною праці; - міністерства та інші центральні органи державної виконавчої влади; - місцева державна адміністрація, місцеві Ради. Статті 38-41 визначають повноваження цих органів в галузі охорони праці. Державний нагляд та державний контроль за охороною праці згідно ст. 44 Закону здійснюють: - Державний комітет України по нагляду за охороною праці; - Державний комітет України з ядерної та радіаційної безпеки; - органи державного пожежного нагляду управління пожежної охорони Міністерства внутрішніх справ України; - органи та заклади санітарно-епідеміологічної служби Міністерства охорони здоров'я України. - Вищий нагляд за додержанням і правильним застосуванням законів про охорону праці здійснюється Генеральним прокурором України і підпорядкованими йому прокурорами. Громадський контроль за додержанням законодавства про охорону праці здійснюють (ст. 46 Закону): - трудові колективи через обраних ними уповноважених; - професійні спілки - в особі своїх виборних органів і представників. Згідно ст. 47 Закону уповноважені трудових колективів з питань охорони праці мають право безперешкодно перевіряти на підприємстві виконання вимог щодо охорони праці і вносити обов'язкові для розгляду власником пропозиції про усунення виявлених порушень нормативних актів з безпеки і гігієни праці. Для виконання цих обов'язків власник за свій рахунок організовує навчання і звільняє уповноваженого з питань охорони праці від роботи на передбачений колективним договором строк із збереженням за ним середнього заробітку. Уповноважені трудових колективів діють відповідно до типового положення, затверджуваного Державним комітетом України по нагляду за охороною праці за погодженням з профспілками. Стаття 31 Закону встановлює види штрафних санкцій, що можуть бути застосованими до підприємств, організацій та установ за порушення нормативних актів про охорону праці, невиконання розпоряджень посадових осіб органів державного нагляду з питань безпеки, гігієни праці і виробничого середовища підприємства, організації. Також, згідно з Законом України „Про охорону праці” на підприємстві повинна бути створена служба охорони праці, яка підпорядковується безпосередньо керівникові підприємства і прирівнюється до основних виробничо-технічних служб. Структура та чисельність служби охорони праці залежить від небезпечності і шкідливості виробництва та чисельності працюючих. Закон України „Про загальнообов'язкове державне соціальне страхування від нещасного випадку на виробництві та професійного захворювання, які спричинили втрату працездатності” відповідно до Конституції України та Основ законодавства України про загальнообов'язкове державне соціальне страхування визначає правову основу, економічний механізм та організаційну структуру загальнообов'язкового державного соціального страхування громадян від нещасного випадку на виробництві та професійного захворювання, які призвели до втрати працездатності або загибелі застрахованих на виробництві (далі - страхування від нещасного випадку). Закону України „Про пожежну безпеку” визначає загальні правові, економічні та соціальні основи забезпечення пожежної безпеки на території України, регулює відносини державних органів, юридичних і фізичних осіб у цій галузі незалежно від виду їх діяльності та форм власності. Основи законодавства України про охорону здоров'я визначають правові, організаційні, економічні та соціальні засади охорони здоров'я в Україні, регулюють суспільні відносини у цій галузі з метою забезпечення гармонійного розвитку фізичних і духовних сил, високої працездатності і довголітнього активного життя громадян, усунення факторів, що шкідливо впливають на їх здоров'я, попередження і зниження захворюваності, інвалідності та смертності, поліпшення спадковості. Стан охорони праці та ефективність роботи служб охорони праці на ТОВ „МТК” можна охарактеризувати за допомогою наступних коефіцієнтів: 1. Коефіцієнт частоти травматизму. Кч – визначає число нещасних випадків, що припадають на 100 працюючих за певний період: Кч = (n / П) * 100; де n – кількість нещасних випадків за звітний період; П – середньо облікова кількість працюючих. 2. Коефіцієнт частоти випадків захворювань. Кз характеризує кількість захворювань протягом звітного періоду (в розрахунку на 100 працівників); Кз = (З * 100) / П; де З – кількість випадків захворювань. 3. Коефіцієнт важкості захворювань Квз. Квз = Дз / З; де Дз – сумарна кількість днів непрацездатності за звітний період. 4. Коефіцієнт небезпеки робочих місць Крм: Крм = Рн / Рз; де Рн – кількість робочих місць, що не відповідають вимогам санітарних норм; Рз – загальна кількість робочих місць. 5.Коефіцієнт умов праці Кп: Кп = Пн / П; де Пн – чисельність працівників, які працюють в умовах, що не відповідають санітарним нормам; П – загальна чисельність працівників. Результати розрахунків за даними коефіцієнтами згрупуємо у таблицю 3.1. Таблиця 3.1 Аналіз стану охорони праці на ТОВ „МТК”.
Як свідчать дані таблиці 3.1 показники травматизму і захворюваності на підприємстві є досить низькими, динаміка їх падає. Це свідчить про ефективність заходів охорони праці на підприємстві. Заходи щодо попередження травматизму на підприємстві зводяться до усунення сприятливих причин його виникнення. На досліджуваному підприємстві проводиться ретельне розслідування кожного випадку травматизму з виявленням причин, його що призвели до нього і уживаються відповідні заході по усуненню їх. Крім того, систематично за визначені періоди (місяць, квартал, рік) аналізуються усі випадки травм по їхньому характері і причинам. Такий аналіз дозволяє установити найбільш часті і характерні для даного підприємства причини травматизму і зосередити основні зусилля на їхньому усуненні. Розслідування кожного конкретного випадку проводиться безпосередньо на місці події в той же чи наступний день за участю представників адміністрації, медпункту і профспілкових органів. Періодичний аналіз травматизму проводиться профспілковими органами й адміністрацією з залученням працівників медпункту і робітника активу. Максимальна механізація й автоматизація технологічних процесів, спрямованих на ліквідацію ручних операцій є одним з основних напрямків у попередженні травматизму на досліджуваному підприємстві. Технологічні процеси повинні виключати чи принаймні , скорочувати до мінімуму зустрічні чи перехресні вантажопотоки, ручне перенесення чи перевантаження виробів, підйом вантажів і т.п. Для складування виробів і напівфабрикатів, а також запасних частин і устаткування на підприємстві відводяться спеціальні безпечні місця, щоб не захаращувати ними робочі площи, проходи і т.д. Деталі машин і агрегатів що рухаються й обертаються, а також місця можливого зіткнення з гарячими поверхнями, їдкими рідинами й іншими речовинами підлягають на підприємстві обов'язковому огородженню. Таке огородження проводиться кожухами, сітками, ґратами, щитами і т.д. Все електроустаткування в цехах обов'язково заземлюється, причому стан заземлення періодично контролюється й у випадку виявлення його порушення виправляється. Особливо ретельно на підприємстві стежать за гарною ізоляцією електропроводів, охороняючи її від можливих ушкоджень. Місця відкритих контактів (клеми, рубильники і т.п. ) відгороджуються захисними щитками чи кожухами. Підйомно-транспортне устаткування (ліфти, бруківки і напільні крани і т.п. ), а також апарати, що знаходяться під тиском, підлягають періодичному контролю з боку спеціальної інспекції котлонадзора. При виявленні дефектів експлуатація їх не допускається до повного усунення цих дефектів. Гарне освітлення на підприємстві, підтримка чистоти і порядку на робочому місці й у цеху в цілому також сприяють скороченню травматизму. Щодо заходів по запобіганню пожеж, то на досліджуваному підприємству, згідно вимог законодавства, розроблені положення, інструкції щодо забезпечення пожежної безпеки. Забезпечується додержання протипожежних вимог стандартів, норм, правил, а також виконання вимог приписів і постанов органів державного пожежного нагляду. Організовується навчання працівників правилам пожежної безпеки та ведеться пропаганда заходів щодо їх забезпечення. Висновки. Витрати на забезпечення якості продукції є частиною загальних витрат на виробництво й експлуатацію продукції за весь період її служби. З економічних позицій ці витрати являють собою суму поточних і одноразових витрат, використовуваних виготовлювачем і споживачем на всіх етапах життєвого циклу продукції. Аналіз витрат на якість проводиться в основному з метою визначення найважливіших і першочергових задач по підвищенню якості. У залежності від цілей, задач аналізу на якість і можливостей одержання необхідної інформації методи керування витратами можуть бути різні. На це впливає і проходження продукцією визначеного етапу діяльності підприємства. Політика підприємства повинна бути спрямована на досягнення високої якості. Брак, що є її протилежністю, може виникнути на будь-якім підприємстві. Але в будь-якому випадку витрати на брак також необхідно аналізувати. На більшості підприємств, що займаються виробництвом і обслуговуванням, витрати на задоволення очікувань споживача в області якості складають значні суми, що у дійсності не знижують величину прибутку, тому представляється логічним, що витрати на якість повинні бути виявлені, оброблені і представлені керівництву подібно іншим витратам. На жаль, багато керівників не мають можливості одержувати наочну інформацію про рівень витрат на якість просто тому, що в компанії немає системи для їхнього збору й аналізу, хоча реєстрація і підрахунок витрат на якість - не складна, уже відпрацьована процедура. Визначені один раз, вони забезпечать керівництво додатковим могутнім інструментом керування. Вміло організований аналіз витрат на якість і витрат браку може стати джерелом значної економії для підприємства, а також може підвищити імідж підприємства в очах потенційних клієнтів. На аналізованому підприємстві розробку заходів щодо удосконалення методів контролю якості виготовлення продукції, впровадження прогресивних методів контролю, виявлення причин і винуватців браку здійснює відділ технічного контролю. В сучасних умовах підприємства ВТК є контролюючою організацією, головний обов’язок якої полягає в запобіганні випуску продукції, що не відповідає СТП та інструкційно-технологічним картам, технічним описам. ВТК виконує такі завдання як регулювання відносин із замовниками, регулювання якості виробів, що випускаються, координація робіт всіх відділів, виробничих ділянок підприємства. що направлена на забезпечення стабільного високого рівня якості продукції підприємства. ВТК контролює якість сировини, напівфабрикатів по всьому виробничому циклу, а також здійснює контроль якості готової продукції. Щодо загального фінансово-економічного стану ТОВ „МТК”, то можна зробити висновок, що підприємство досить стабільне. Показники рентабельності ліквідності та ділової активності підприємства мають сталу тенденцію до покращення. Стан охорони праці на підприємстві знаходиться на досить високому рівні. Заходи щодо попередження травматизму на підприємстві зводяться до усунення сприятливих причин його виникнення. На досліджуваному підприємстві проводиться ретельне розслідування кожного випадку травматизму з виявленням причин, його що призвели до нього і уживаються відповідні заході по усуненню їх. Крім того, систематично за визначені періоди (місяць, квартал, рік) аналізуються усі випадки травм по їхньому характері і причинам. Такий аналіз дозволяє установити найбільш часті і характерні для даного підприємства причини травматизму і зосередити основні зусилля на їхньому усуненні. Розслідування кожного конкретного випадку проводиться безпосередньо на місці події в той же чи наступний день за участю представників адміністрації, медпункту і профспілкових органів. Періодичний аналіз травматизму проводиться профспілковими органами й адміністрацією з залученням працівників медпункту і робітника активу. Щодо побажань підприємству про вдосконалення системи управління якістю, то керівництву підприємства можна запропонувати створити на базі відділу ВТК службу контролю якості. Це необхідно зробити (і рано чи пізно це скоріше за все таки буде зроблено) тому, що обсяги випускаємої продукції постійно збільшуються і це потребує більш ретельного контролю її якості і відповідно більшу кількість працівників, що займаються контролем якості на підприємстві. Перелік використаних літературних джерел. 1. Указ Президента України "Про заходи щодо підвищення якості вітчизняної продукції" // Голос України, 24.12.2004р. 2. Декрет Кабінету Міністрів України "Про стандартизацію і сертифікацію"// Діло, 11.05.93р. 3. Закон України „Про охорону праці” // Голос України, 16.10.1992 р. 4. Закон України „Про загальнообов'язкове державне соціальне страхування від нещасного випадку на виробництві та професійного захворювання, які спричинили втрату працездатності”// Голос України, 23.12.2004 р. 5. Закон України „Про пожежну безпеку” // Голос України, 18.11.1997 р. 6. Баканов М.И., Шеремет А.Д. Теория экономического анализа.– М.; Финансы и статистика, 1996 г. – 113с. 7. Гличев А.В., Круглов М.И. Управление качеством продукции. – М.: Экономика, 1979.- 198с. 8. Джуран Д. Все о качестве: Зарубежный опыт. Выпуск 2. Высший уровень руководства и качество. М., 1993. – 250с. 9. Дубров А.М. Последовательный анализ в статистической обработке информации. – М.; Статистика, 1976. – 243с. 10. Єськов П.О. Українська асоціація якості – запорука якості в Україні. // Факти, 25.10.2005р. с.3-4 11. Зорин Ю.В., Ярыгин В.Т. Качество технологической документации при подготовке предприятий к сертификации. Стандарты и Качество. – 1996. 95с. 12. Ильенкова Н.Д. Спрос: анализ и управление.– М.; Финансы и статистика, 1997 г. – 215с. 13. Ильенкова С.Д., Гохберг Л.М., Ягудин С.Ю. и др. Инновационный менеджмент. Учебник.– М.; Изд. "Банки и биржи", ЮНИТИ, 1997 г. – 456с. 14. Как работает японское предприятие. Под ред. Мондена Я., Сибакавы Р., Такаянаги С., Нагао Т. - М.; Экономика, 1989. – 15с. 15. Кардаш В.Я. Стандартизация и управление качеством продукции. – К.: Вища школа, 1985. – 189с. 16. Карначева Т. Г. Оценка затрат на качество продукции // Автоматизация и современные технологии, №6, 1996 – с.15-16 17. Крылова Г. Д. Зарубежный опыт управления качеством. – М: Издательство стандартов, 1992 – 298с. 18. Курицин А.Н. Секреты эффективной работы: опыт США и Японии для предпринимателей и менеджеров. М.: изд-во Стандартов,1994. – 317с. 19. Лапидус В.А. Звезды качества// Стандарты и Качество. – 1997.- №7.- с. 47-53. 20. Лаштдуо В.А. Статистические методы, всеобщее управление качеством, сертификация и кое-что еще..., Стандарты и качество. – 1996, №4, с. 68-70. 21. Менеджмент систем качества: Учеб. пособие / М. Г. Круглов, С.К. Сергеев, В.А. Такташов и др. – М.: ИПК Издательство стандартов, 1997. - 368 с. 22. Мердок Дж. Контрольные карты. – М: Финансы и статистика, 1986. – 256с. 23. Моисеева Н.К. Функционально-стоимостный анализ. Теория и практика.– М.: Электроника, 1984 г. – 365с. 24. Моисеева Н.К., Карпунин М.Г. Основы теории и практики функционально-стоимостного анализа. М.: Высшая школа, 1988 г. – 311с. 25. Монден Я. ”Тоета”, Методы эффективного управления. – М.; Экономика, 1989. – 168с. 26. Мхитарян В. С. Статистические методы в управлении качеством продукции. – М.: Финансы и статистика, 1982. – 305с. 27. Никсон Ф. Роль руководства предприятия в обеспечении качества и надежности: Пер. с англ. – М.: Издательство стандартов, 1990. – 230с. 28. Переалина Н.С. Качество в системе маркетинга. – М.: Система, 1992. – 200с. 29. Пешкова Е.П. Маркетинговый анализ в деятельности фирмы. – М: Ось-89, 1997г. – 80с. 30. Рабинович П.М. Резервы предприятия и статистика. – М.; Статистика, 1967. – 298с. 31. Робертсон А. Управление качеством. – М: Прогресс, 1974 – 423с. 32. Сиськов В.И. ,Экономико-статистическое исследование качества продукции. – М.: Статистика, 1971. – 119с. 33. Сиськов В.И. Статистическое измерение качества продукции. – М.: Статистика, 1966. – 27с. 34. Солонин И.С. Математическая статистика в технологии машиностроения. – М.; “Машиностроение”, 1972 – 309с. 35. Статистические методы повышения качества / Под. ред. Хитоси Кумэ. – М: Финансы и статистика, 1990. – 211с. 36. Управление качеством / под ред. С. Д. Ильенковой. – М: ЮНИТИ, 1998 – 350с. 37. Фейгенбаум. А. Контроль якості продукції. К.: Діло,2005р.. – 318с. 38. Фуллер Д. Управляй или подчиняйся.– М.: Фонд "За экономическую грамотность ", 1992 г. – 55с. 39. Швец В.Е. "Менеджмент качества" в системе современного менеджмента. Стандарты и качество, 1997, №6, с. 48. 40. Экономический ежегодник хозяйственника: Выпуск 2/Э40. Науч. ред. Г.С. Празднов; Сост. Г.С. Празднов, Л.И. Кузнецова.М.: Экономика, 1991. |
|||||||||||||||||||||||||||||||||||||||||||||||||||||||||||||||||||||||||||||||||||||||||||||||||||||||||||||||||||||||||||||||||||||||||||||||||||||||||||||||||||||||||||||||||||||||||||||||||||||||||||||||||||||||||||||||||||||||||||||||||||||||||||||||||||||||||||||||||||||||||||||||||||||||||||||||||||||||||||||||||||||||||||||||||||||||||||||||||||||||||||||||||||||||||||||||||||||||||||||||||||||||||||||||||||||||||||||||||||||||||||||||||||||||||||||||||||||||||||||||||||||||||||||||||||||||||||||||||||||||||||||||||||||||||||||||||||||||||||||||||||||||||||||||||||||||||||||||||||||||||||||||||||||||||||||||||||||||||||||||||||||||||||||||||||||||||||||||||||||||||||||||||||||||||||||||||||||||||||||||||||||||||||||||||||||||||||||||||||||||||||||||||||||||||||||||||||||||||||||||||||||||||||||||||||||||||||||||||||||||||||||||||||||||||||||||||||||||||||||||||||||||||||||||||








- індекс, що враховує зміна якості сировини, без зміни його вартості;
- індекс, що враховує зміну витрат на продукцію, з урахуванням зміни якості сировини.




