Контрольная работа: Статистический анализ гостиниц и ресторанов
|
Название: Статистический анализ гостиниц и ресторанов Раздел: Рефераты по математике Тип: контрольная работа | |||||||||||||||||||||||||||||||||||||||||||||||||||||||
| Статистический анализ гостиниц и ресторанов Выполнил студент Москва 2007 Содерж аниеСтандартизованные коэффициенты.. 10 Парные коэффициенты корреляции. 10 Частные коэффициенты корреляции. 10 Множественный коэффициент корреляции Коэффициент детерминацации. 11 Доверительные интервалы для параметров регрессии. 13 ВведениеВ условиях рыночных отношений резко возрастает роль цены для любой гостиницы. Это обстоятельство обуславливается многими причинами. От уровня цены зависят: · величина прибыли гостиницы; · конкурентоспособность гостиницы и ее услуг; · финансовая устойчивость гостиницы. Успех гостиницы определяют следующие составляющие: научно обоснованная ценовая стратегия; разумная ценовая тактика; правильная методика установления цены. Цена и ценовая политика для гостиницы - второй, после товара, существенный элемент маркетинговой деятельности. Именно поэтому разработке ценовой стратегии и цен должно уделяться самое пристальное внимание со стороны руководства любого предприятия, желающего наиболее эффективно и долговременно развивать свою деятельность на рынке, т.к. любой ложный или недостаточно продуманный шаг немедленно отражается на динамике продаж и рентабельности. На уровень цен оказывает влияние конкуренция, которая подталкивает гостиницы к совершенствованию своей услуги, детальному обоснованию цены на нее. При этом гостиница может ориентироваться или на рынок продавца или на рынок покупателя. На рынке продавца доминирующее положение занимает продавец - производитель услуги. В таких условиях гостинице легче функционировать, поскольку ее продукция находится вне конкуренции. На рынке покупателя доминирующее положение занимает покупатель. И от того, насколько гостиница сумеет учесть меняющиеся запросы покупателя и вовремя удовлетворить их, зависит ее благополучие. На уровень цен оказывает влияние и ряд других факторов, например стадия жизненного цикла услуги, организации - участники продвижения товара от производителя к потребителю и др. Учет влияния всех факторов в комплексе позволит гостинице выработать правильную политику ценообразования. Ценообразование в гостинице - сложный и многоэтапный процесс. Выбор политики цен основан на оценке приоритетов деятельности гостиничного предприятия. Каждая ценовая стратегия обладает совокупностью как положительных, так и отрицательных характеристик. Поэтому, например, принятие одной из них ведет к отрицанию преимуществ другой. В результате реальная оценка действительности приводит к необходимости ориентации в деятельности гостиницы на смешанные стратегии ценообразования. Каждая гостиница должна иметь четкую, упорядоченную методику установления исходной цены на свою услугу. Отсутствие четко определенной ценовой политики вызывает неопределенность в принятии решений в этой области различными службами предприятия, может привести к несогласованности этих решений. В результате позиции гостиницы на рынке становится более слабым, гостиница несет потери в выручке и прибыли. В данной работе приведена попытка проследить алгоритм, согласно которому мы полагаем, как образуется цена в гостинице. Приведем данные о некоторых гостиницах Москвы:
Построим многофакторную модель ценообразования в гостинице. Множественная регрессияПриведем массив данных
Для регрессии вида
найдем коэффициенты
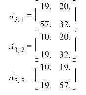
Найдем обратную матрицу Дополнительные миноры
Их определители
Союзная матрица
Союзная транспонированная матрица
Делим каждый элемент на определитель, получаем
Найдем
Уравнение регрессии имеет вид
Нарисуем график
Среднее значение регрессоров и Y
Коэффициенты эластичности
равны
Стандартизованные коэффициенты
Тогда
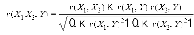
Парные коэффициенты корреляции
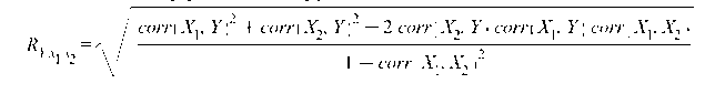
Частные коэффициенты корреляции
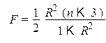
Множественный коэффициент корреляции
|

























