Реферат: Полуточка модель скорости
|
Название: Полуточка модель скорости Раздел: Рефераты по математике Тип: реферат | ||||||||||||||||||||||||||||||||||||||||||||||||||||||||||||||||||||||||||||||||||||||||||||
| Полуточка: модель скорости Каратаев Евгений Анатольевич Настоящая статья строит модель скорости в рамках модели полуточки и приводит две простых иллюстрации, демонстрирующие и иллюстрирующие модель скорости в общеизвестных случаях поступательной и вращательной скорости. В статье приводится в основном модель скорости, и разбор отдельных случаев скорости и её видов представляется либо темой отдельной статьи, либо большой работы о кинематике, выраженной на языке гиперкомплексных чисел. Для понимания предлагаемой модели скорости частично повторим основные положения модели полуточки и модели миров. Точка пространства испытывает изменение при переходе от одной системы отсчёта к другой:
Считается, что точка
В этой статье понятия системы координат и системы отсчёта полагаются совпадающими. Полагается, что положение точки и её состояние измеряются в некоторой идеальной системе, выбираемой наблюдателем по его усмотрению. Состояния точки в два различных момента времени могут быть определены относительно одной и той же системы координат. Будем полагать, что из первого состояния во второе можно попасть, совершив преобразование системы координат:
Здесь величина
Также будем полагать, что эти два состояния разделены друг от друга бесконечно малым расстоянием во времени:
Под скоростью будем понимать величину, определенную классическим способом: Если величина
Ещё одно небольшое отступление нужно сделать для описания и выбора точной модели преобразования Пуанкаре. Дело в том, что пока рассматриваются лишь пространственно-временные преобразования, им в действительности удовлетворяет два различных преобразования:
и
Здесь в первом случае используется скалярно-векторное сопряжение, во втором - скалярно-алгебраическое. Для того, чтобы выявить, в чем они различаются с точки зрения группы Пуанкаре, распишем их операторное представление:
Видно, что эти два оператора отличаются псевдоскалярной частью параметра. В силу того, что её можно вынести из оператора преобразования, оба варианта могут быть представлены как:
где через
Таким образом, предстоит сделать выбор между двумя вариантами преобразований: 1) использовать скалярно-векторное сопряжение или 2) использовать скалярно-алгебраическое сопряжение. Выберем вариант 1 с отбрасыванием рассмотрения псевдоскалярной составляющей параметра преобразований в силу того, что пока в наши цели не входит рассмотрение псевдоскалярных преобразований и в силу того, что векторное сопряжение удобнее в силу его линейности. А именно:
Поэтому мы можем выполнить дальнейший вывод более наглядно. В силу того, что величина
И в случае когда
Используя это соотношение для преобразования полуточки, распишем выражение для преобразования точки:
Оставив члены первого порядка малости по
Используя определение полуточки
получим:
Положив точку функцией величины
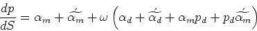
Это выражение и является определением скорости точки
Выражение (23) является скалярно-векторно сопряжённым самому себе:
То есть абсолютное приращение точки Отметим также, что в силу свойства точки
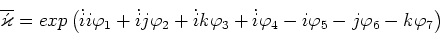
Далее... Придерживаясь модели полной группы Пуанкере, мы должны считать величины Для понимания дальнейшего вывода представим величины
Здесь индексом
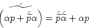
Сгруппировав главные и дуальные части, получим:
Используя это разложение в главных и дуальных частях и задавая различные частные случаи величин Случай 1. Зададим точку
а величину
Тогда, используя разложение (29), найдем скорость точки при таком преобразовании:
В силу того, что выбрано условие
Таким образом, в приведённых выше условиях величина
то в силу свойств функций
И имеющих свойства сопрягаться:
Имеем равенство для первого случая:
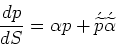
Или: величина Случай 2. Выберем величины
Используя выражение (29) с этими условиями, получим:
В силу выбора
И, также в силу свойства (38), в выражении скорости остаются члены:
Переведя величины
где с помощью скобок [] обозначено традиционное векторное произведение 3-х мерных векторов Или: величина Таким образом, величины Целью настоящей работы было дать модель скорости и её иллюстрация в частных случаях. Поэтому полный разбор сочетаний К будущим исследованиям могут быть отнесены: величины |
||||||||||||||||||||||||||||||||||||||||||||||||||||||||||||||||||||||||||||||||||||||||||||


