Дипломная работа: Финансовое состояние предприятия и пути его улучшения
|
Название: Финансовое состояние предприятия и пути его улучшения Раздел: Рефераты по финансам Тип: дипломная работа | |||||||||||||||||||||||||||||||||||||||||||||||||||||||||||||||||||||||||||||||||||||||||||||||||||||||||||||||||||||||||||||||||||||||||||||||||||||||||||||||||||||||||||||||||||||||||||||||||||||||||||||||||||||||||||||||||||||||||||||||||||||||||||||||||||||||||||||||||||||||||||||||||||||||||||||||||||||||||||||||||||||||||||||||||||||||||||||||||||||||||||||||||||||||||||||||||||||||||||||||||||||||||||||||||||||||||||||||||||||||||||||||||||||||||||||||||||||||||||||||||||||||||||||||||||||||||||||||||||||||||||||||||||||||||||||||||||||||||||||||||||||||||||||||||||||||||||||||||||||||||||||||||||||||||||||||||||||||||||||||||||||||||||||||||||||||||||||||||||||||||||||||||||||||||||||||||||||||||||||||||||||||||||||||||||||||||||||||||||||||||||||||||||||||||||||||||||||||||||||||||||||||||||||||||||||||||||||||||||||||||||||||||||||||||||||||||||||||||||||||||||||||||||||||||||||||||||||||||||||||||||||||||||||||||||||||||||||||||||||||||||||||||||||||||||||||||||||||||||||||
| Содержание 1 Теоретические основы управления финансовым состоянием предприятия. 6 1.1 Финансовое состояние предприятия как предмет исследования. 6 1.2 Система управления финансовым состоянием предприятия. 21 1.3 Эффективность управления финансовым состоянием предприятия. 39 2 Методические подходы к управлению финансовым состоянием предприятия 43 2.1 Методика оценки и анализ финансового состояния предприятия. 43 2.2 Организация управления финансовым состоянием предприятия. 55 3 Пути совершенствования управления финансовым состоянием предприятия на примере ООО «Персона». 66 3.1 Оценка и анализ финансового состояния ООО «Персона». 66 3.2 Оценка эффективности управления финансовым состоянием ООО «Персона» 104 3.3 Направления совершенствования управления финансовым состоянием ООО «Персона». 107 ВведениеНа современном этапе развития экономики вопрос финансового анализа предприятий является очень актуальным. От финансового состояния предприятия зависит во многом успех его деятельности, именно поэтому анализу финансового состояния предприятия следует уделять особое внимания. Актуальность данного вопроса обусловила развитие методик анализа финансового состояния предприятий. Эти методики направлены на экспресс оценку финансового состояния предприятия, подготовку информации для принятия управленческих решений, разработку стратегии управления финансовым состоянием. Т.к. существующие методы и модели оценки финансового состояния предприятия являются базовыми и на практике в чистом виде применяются очень редко, то для получения более точных результатов предлагается использовать некую комбинированную модель оценки. Это обусловлено наличием у каждого отдельного базового метода недостатков и ограничений, которые нейтрализуются при их комплексном применении. Базовые методы в составе комбинированных взаимодополняют друг друга. Успешное функционирование предприятий в современных условиях требует повышения эффективности производства, конкурентоспособности продукции и услуг на основе внедрения достижений научно-технического прогресса, эффективных форм хозяйствования и управления производством, активизации предпринимательства и т.д. Важная роль в реализации этой задачи отводится анализу хозяйственной деятельности предприятий. С его помощью вырабатываются стратегия и тактика развития предприятия, обосновываются планы и управленческие решения, осуществляются контроль за их выполнением, выявляются резервы повышения эффективности производства, оцениваются результаты деятельности 0предприятия, его подразделений и работников. Предметом исследования выступает система управления финансовым состоянием на предприятии Объектом исследования является финансовое состояние предприятия Цель работы разработать мероприятий по совершенствованию управления финансовым состоянием предприятия В рамках данной работы решаются следующие основные задачи: 1. Проанализировать теоретические основы управления финансовым состоянием предприятия 2. Определить методические подходы к управлению финансовым состоянием предприятия 3. Разработать мероприятия по совершенствованию управления финансовым состоянием предприятия на примере ООО «Персона» Данная работа состоит из 3х частей: в первой части – отражены теоритеческие аспекты рассматриваемой проблемы; во второй части рассмотрена метдика управления финансовым состоянием предприятия, в треть части приводится оценка финансового состояния предприятия, на основе которой разрабытываются мероприятия по совершенствованию управления финансовым состоянием предприятия. 1 Теоретические основы управления финансовым состоянием предприятия1.1 Финансовое состояние предприятия как предмет исследованияЭкономический анализ как наука представляет собой систему специальных знаний, базирующихся на законах развития и функционирования систем и направленных на познание методологии оценки, диагностики и прогнозирования финансово-хозяйственной деятельности предприятия. Каждая наука имеет свой предмет. Под предметом экономического анализа, по мнению Русак Н.А., понимаются хозяйственные процессы предприятий, их социально-экономическая эффективность и конечные финансовые результаты деятельности, складывающиеся под воздействием объективных и субъективных факторов, находящие отражение через систему экономической информации. По мнению Павловой Л.Н., предмет экономического анализа определяет стоящие перед ним задачи. Среди основных выделим: повышение научно-экономической обоснованности бизнес-планов, бизнес-процессов и нормативов в процессе их разработки; объективное и всестороннее исследование выполнения бизнес-планов, бизнес-процессов и соблюдения нормативов; определение эффективности использования трудовых и материальных ресурсов; контроль за осуществлением требований коммерческого расчета; выявление и измерение внутренних резервов на всех стадиях производственного процесса; проверка оптимальности управленческих решений. Экономический анализ является необходимым элементом управления экономикой. В зависимости от потребностей управления можно выделить виды анализа (табл.1). На практике отдельные виды экономического анализа встречаются редко. Таблица 1 - Классификация видов экономического анализа
В процессе управления для обоснования принимаемых решений используется совокупность различных видов экономического анализа. Например, рыночная экономика характеризуется динамичностью ситуаций внешней и внутренней среды деятельности предприятия. В этих условиях важная роль отводится оперативному анализу. Его отличительными чертами являются комплексность, компьютерная обработка оперативных информационных массивов, использование его результатов на уровне отдельных функциональных служб предприятия в виде ориентированной фрагментарной информации Как известно, комплексный экономический анализ хозяйствующего субъекта начинается с изучения его деятельности. Причем на начальном этапе дается оценка сложившегося финансового положения и выявляются основные тенденции его изменения. Такой анализ получил название общей оценки финансового состояния. Информация, необходимая финансовому менеджеру для анализа, в обобщенном виде систематизирована в бухгалтерском балансе, являющемся наглядной финансовой моделью предприятия. Анализ финансового состояния, по мнению Крейниной М.Н., является очень важной составляющей любого экономического исследования. Под термином «финансовое состояние предприятия», Крейнина М.Н. понимает экономическую категорию, отражающую состояние капитала в процессе его кругооборота, и способность субъекта хозяйствования к развитию на фиксированный момент времени. С помощью анализа финансового состояния обосновывается целесообразность осуществления конкретных хозяйственных, инвестиционных и финансовых решений, устанавливается степень их соответствия целям развития предприятия. Мировая экономическая наука накопила богатый опыт анализа финансово-хозяйственной деятельности предприятий. Родоначальником систематизированного экономического анализа считают Жака Савари (1622—1690), который ввел понятие синтетического и аналитического учета. В конце XIX — начале ХХ века появилось течение в учете — балансоведение. В России расцвет науки об анализе баланса приходится на первую половину XX века. Под финансовым состоянием понимается способность предприятия финансировать свою деятельность. Оно характеризуется обеспеченностью финансовыми ресурсами, необходимыми для нормального функционирования предприятия, целесообразностью их размещения и эффективностью использования, финансовыми взаимоотношениями c другими юридическими и физическими лицами, платежеспособностью и финансовой устойчивостью. Финансовое состояние может быть устойчивыми, неустойчивыми и кризисным. Способность предприятия своевременно производить платежи, финансировать свою деятельность на расширенной основе свидетельствует о его хорошем финансовом состоянии. Финансовое состояние предприятия зависит от результатов его производственной, коммерческой и финансовой деятельности. Если производственный и финансовый планы успешно выполняются, то это положительно влияет на финансовое положение предприятия. И наоборот, в результате недовыполнения по производству и реализации продукции происходит повышение ее себестоимость, уменьшение выручки и суммы прибыли и как следствие- ухудшение финансового состояния предприятия и его платежеспособность. Устойчивое финансовое положение в свою очередь оказывает положительное влияние на выполнение производственных планов и обеспечение нужд производства необходимыми ресурсами. Поэтому финансовая деятельность как составная часть хозяйственной деятельности направлена на обеспечение планомерного поступления и расходования денежных средств, выполнение расчетной дисциплины, достижение рациональных пропорций собственного и заемного капитала и наиболее эффективного его использования. Коллас Б. считает главной целью финансовой деятельности предприятия решение таких вопросов как: где, когда и как использовать финансовые ресурсы для эффективного развития производства и получения максимума прибыли. Чтобы выжить в условиях рыночной экономики и не допустить банкротства предприятия, нужно хорошо знать, как управлять финансами, какой должна быть структура капитала по составу и источникам образования, какую долю должны занимать собственные средства, а какую -заемные. Следует знать и такие понятие рыночной экономики, как деловая активность, ликвидность, платежеспособность, кредитоспособность предприятия, порог рентабельности, запас финансовой устойчивости (зона безопасности), степень риска, эффект финансового рычага и другие, а также методику их анализ. Главная цель анализа - своевременно выявить и устранять недостатки в финансовой деятельности и находить резервы улучшения финансового состояния предприятия и его платежеспособность. При этом необходимо решить задачи: 1. На основе изучения причинно-следственной взаимосвязи между различными показателями производственной, коммерческой и финансовой деятельности дать оценку выполнения плана по поступлению финансовых ресурсов и их использованию с позиции улучшения финансового состояния предприятия. 2. Прогнозирование возможных финансовых результатов, экономической рентабельности, исходя из реальных условий хозяйственной деятельности и наличия собственных и заемных ресурсов, разработка моделей финансового состояния при разнообразных вариантах использования ресурсов. 3. Разработка конкретных мероприятий, направленных на более эффективное использование финансовых ресурсов и укрепление финансового состояния предприятия. Для оценки финансового состояния предприятия используется целая система показателей, характеризующих изменения: -структуры капитала предприятия по его размещению и источникам образования ; -эффективности и интенсивности его использования; -платежеспособности и кредитоспособности предприятия ; -запаса его финансовой устойчивости; Анализ финансового состояния предприятия основывается главным образом на относительных показателях, так как абсолютные показатели баланса в условиях инфляции практически невозможно привести в сопоставимый вид. Относительные показатели анализируемого предприятия можно сравнивать: - с общепринятыми «нормами» для оценки степени риска и прогнозирования возможностей банкротства; - с аналогичными данными других предприятий, что позволяет выявить сильные и слабы стороны предприятия и его возможности; - с аналогичными данными за предыдущие годы для изучения тенденций улучшения и ухудшения финансового состояния предприятия. Анализом финансового состояния занимаются не только руководители и соответствующие службы предприятия, но и его учредители, инвесторы с целью изучения эффективности использования ресурсов, банки для оценки условий кредитования и определения степени риска, поставщики для своевременного получения платежей, налоговые инспекции для выполнения плана поступления средств в бюджет и т.д. В соответствии с этим анализ делится на внутренний и внешний. Внутренний анализ - проводится службами предприятия и его результаты используются для планирования, контроля и прогнозирования финансового состояния. Его цель- установить планомерное поступление денежных средств и разместить собственные и заемные средства таким образом, чтобы обеспечить нормальное функционирование предприятия, получения максимума прибыли и исключение банкротства. Внешний анализ - осуществляется инвесторами, поставщиками материальных и финансовых ресурсов, контролирующими органами на основе публикуемой отчетности. Его цель - установить возможность выгодного вложить средства, чтобы обеспечить максимум прибыли и исключить риск потери. В условиях рыночной экономики залогом выживаемости и основой стабильного положения предприятия служит его финансовая устойчивость. Она отражает такое состояние финансовых ресурсов, при котором предприятие, свободно маневрируя денежными средствами, способно путем эффективного их использования обеспечить бесперебойный процесс производства и реализации продукции, а также затраты по его расширению и обновлению. Определение границ финансовой устойчивости предприятия относится к числу наиболее важных экономических проблем в условиях перехода к рынку, поскольку недостаточная финансовая устойчивость может привести к отсутствию у предприятия средств для развития производства, его неплатежеспособности и, в конечном счете, к банкротству, а «избыточная» устойчивость будет препятствовать развитию, отягощая затраты предприятия излишними запасами и резервами. Для оценки финансовой устойчивости предприятия необходим анализ его финансового состояния. Финансовое состояние представляет собой совокупность показателей, отражающих наличие, размещение и использование финансовых ресурсов. Это способность предприятия финансировать свою деятельность. Финансовое состояние характеризуется обеспеченностью финансовыми ресурсами, необходимыми для нормального функционирования предприятия, целесообразностью их размещения и эффективностью использования, финансовыми взаимоотношениями с другими юридическими и физическими лицами, платежеспособностью и финансовой устойчивостью. Способность предприятия своевременно производить платежи, финансировать свою деятельность на расширенной основе свидетельствует о его хорошем финансовом состоянии. Главная цель финансовой деятельности – решить, где, когда и как использовать финансовые ресурсы для эффективного развития производства и получения максимума прибыли. Цель анализа состоит не только и не столько в том, чтобы установить и оценить финансовое состояние предприятия, но также и в том, чтобы постоянно проводить работу, направленную на его улучшение. Анализ финансового состояния показывает, по каким конкретным направлениям надо вести эту работу. В соответствии с этим результаты анализа дают ответ на вопрос, каковы важнейшие способы улучшения финансового состояния предприятия в конкретный период его деятельности. Главная цель анализа – своевременно выявлять и устранять недостатки в финансовой деятельности и находить резервы улучшения ФСП и его платежеспособности. Источники анализа финансового положения предприятия - формы отчета и приложения к ним, а также сведения из самого учета, если анализ проводится внутри предприятия. В конечном результате анализ финансового положения предприятия должен дать руководству предприятия картину его действительного состояния, а лицам, непосредственно не работающим на данном предприятии, но заинтересованным в его финансовом состоянии - сведения, необходимые для беспристрастного суждения, например, о рациональности использования вложенных в предприятие дополнительных инвестициях и т. п. Основными задачами анализа финансового состояния предприятия являются: Оценка динамики состава и структуры активов, их состояния и движения. Оценка динамики состава и структуры источников собственного и заемного капитала, их состояния и движения. Анализ абсолютных относительных показателей финансовой устойчивости предприятия оценка изменения ее уровня. Анализ платежеспособности предприятия и ликвидности активов его баланса. Анализ финансового состояния предприятия преследует несколько целей: определение финансового положения; выявление изменений в финансовом состоянии в пространственно-временном разрезе; выявление основных факторов, вызывающих изменения в финансовом состоянии; прогноз основных тенденций финансового состояния. Оценка финансового состояния компании состоит из нескольких этапов: 1. комплексная оценка нескольких направлений деятельности предприятия 2. применение широкого набора показателей с целью всестороннего изучения финансового состояния предприятия 3. использование экспертных методов для выявления количественных критериев Алгоритм традиционного финансового анализа включает следующие этапы: Сбор необходимой информации (объем зависит от задач и вида финансового анализа). Обработку информации (составление аналитических таблиц и агрегированных форм отчетности). Расчет показателей изменения статей финансовых отчетов. Расчет финансовых коэффициентов по основным аспектам финансовой деятельности или промежуточным финансовым агрегатам (финансовая устойчивость, платежеспособность, рентабельность). Сравнительный анализ значений финансовых коэффициентов с нормативами (общепризнанными и среднеотраслевыми). Анализ изменений финансовых коэффициентов (выявление тенденций ухудшения или улучшения). Подготовку заключения о финансовом состоянии компании на основе интерпретации обработанных данных. В современных экономических условиях деятельность каждого хозяйствующего субъекта является предметом внимания обширного круга участников рыночных отношений (организаций и лиц), заинтересованных в результате его функционирования. На основании доступной им отчетно-учетной информации указанные лица стремятся оценить финансовое положение предприятия. Основным инструментом для этого служит финансовый анализ, при помощи которого можно объективно оценить внутренние и внешние отношения анализируемого объекта: охарактеризовать его платежеспособность, эффективность и доходность деятельности, перспективы развития, а затем по его результатам принять обоснованные решения. Финансовый анализ дает возможность оценить: имущественное состояние предприятия; степень предпринимательского риска, в частности возможность погашения обязательств перед третьими лицами; достаточность капитала для текущей деятельности и долгосрочных инвестиций; потребность в дополнительных источниках финансирования; способность к наращиванию капитала; рациональность привлечения заемных средств; обоснованность политики распределения прибыли и др. Современный финансовый анализ имеет определенные отличия от традиционного анализа финансово-хозяйственной деятельности. Прежде всего, это связано с растущим влиянием внешней среды на работу предприятий. В частности, усилилась зависимость финансового состояния хозяйствующих субъектов от инфляционных процессов, надежности контрагентов (поставщиков и покупателей), усложняющихся организационно-правовых форм функционирования. В результате инструментарий современного финансового анализа расширяется за счет новых приемов и способов, позволяющих учитывать эти явления. В целях рыночных отношений исключительно велика роль анализа финансового состояния предприятия. Это связано с тем, что предприятия приобретают самостоятельность, несут полную ответственность за результаты своей производственно-хозяйственной деятельности перед совладельцами (акционерами), работниками, банком и кредиторами. Финансовое состояние предприятия – это совокупность показателей, отражающих его способность погасить свои долговые обязательства. Финансовая деятельность охватывает процессы формирования, движения и обеспечения сохранности имущества предприятия, контроля за его использованием. Финансовое состояние является результатом взаимодействия всех элементов системы финансовых отношений предприятия и поэтому определяется совокупностью производственно-хозяйственных факторов. Содержание и основная целевая установка финансового анализа – оценка финансового состояния и выявление возможности повышения эффективности функционирования хозяйствующего субъекта с помощью рациональной финансовой политики. Финансовое состояние хозяйствующего субъекта - это характеристика его финансовой конкурентоспособности (т.е. платежеспособности, кредитоспособности), использование финансовых ресурсов и капитала, выполнения обязательств перед государством и другими хозяйствующими субъектами. В традиционном понимании финансовый анализ представляет собой метод оценки и прогнозирования финансового состояния предприятия на основе его бухгалтерской отчетности. Набор экономических показателей, более детально и точно характеризующих финансовое положение и активность предприятия, должен предполагать расчет следующих групп индикаторов: анализ ликвидности (или платежеспособности), анализ финансовой устойчивости, анализ оборачиваемости (или деловой активности), анализ рентабельности и анализ эффективности труда. Классификация представительного состава индикаторов финансового состояния предприятия приведена на рис. 2. Показатели платежеспособности отражают возможность предприятия погасить краткосрочную задолженность своими легко реализуемыми средствами. При исчислении этих показателей за базу расчета принимаются краткосрочные обязательства. К показателям платежеспособности относятся: коэффициент срочной ликвидности, характеризующий способность предприятия выполнять краткосрочные обязательства за счет наиболее ликвидной части текущих активов; коэффициент абсолютной ликвидности, отражающий способность предприятия выполнять краткосрочные обязательства за счет свободных денежных средств и краткосрочных финансовых вложений;
Рисунок 1 - Классификация индикаторов финансового состояния предприятия коэффициент автономии, являющийся интегральным показателем, характеризующим финансовую устойчивость предприятия и соизмеряющим собственный и заемный капитал; коэффициент платежеспособности, использующийся для оценки структуры источников финансирования и определяющий долю собственного капитала в общих источниках финансирования предприятия (для финансово устойчивого предприятия коэффициент платежеспособности должен быть больше 0,5); коэффициент маневренности, показывающий, какая часть собственного капитала вложена в наиболее маневренную (мобильную) часть активов — оборотные средства. (Каких-либо устоявшихся в практике нормативных значений коэффициента маневренности не существует. Можно лишь отметить, что чем больше значение данного показателя, тем более маневренно и, следовательно, более устойчиво предприятие с точки зрения возможности его переориентирования в случае изменения рыночной конъюнктуры); коэффициент иммобилизации, отражающий степень ликвидности активов и возможность отвечать по текущим обязательствам в будущем; доля собственных источников финансирования текущих активов, показывающая, какая часть текущих активов образована за счет собственного капитала; коэффициент обеспеченности запасов собственными источниками финансирования, характеризующий степень покрытия запасов и затрат (незавершенного производства и авансов поставщикам) собственными источниками финансирования; коэффициент обеспеченности долгосрочных активов собственными средствами, характеризующий степень покрытия постоянных активов инвестированным капиталом (для обеспечения финансовой устойчивости предприятия значение коэффициента не должно быть ниже 1. Указанное ограничение следует из правила финансового менеджмента: за счет собственных и долгосрочных источников должны финансироваться не только постоянные, но и часть текущих активов); эмпирический показатель вероятности банкротства Альтмана. Последний является комплексным показателем, широко применяемым в рыночной экономике для оценки финансовой устойчивости фирм. Рассчитывается по следующей формуле, адаптированной к российским условиям: Ka = 1,2Х1 + 3,3Х2 + 1,4Х3 + 0,6Х4 + Х5 , (1) где: Х1 — степень мобилизации активов, определяемая по формуле: Х1 = ОА/ВБ, где ВБ — валюта баланса; Х2 — рентабельность активов, определяемая по формуле: Х2 =ПОД/ВБ, где ПОД — прибыль от основной деятельности; Х3 — уровень самофинансирования, определяемый по формуле: Х3 = НК/ВБ, где НК — накопленный капитал, НК = резервный капитал + фонд социальной сферы + целевые финансирования и поступления + нераспределенная прибыль прошлых лет + непокрытый убыток прошлых лет и отчетного года; Х4 — отношение уставного капитала и обязательств (заемных источников финансирования), определяемое по формуле: Х4 = УК/(ДСО + КСО), где УК — уставный капитал; Х5 — коэффициент оборачиваемости всех активов, определяемый по формуле: Х5 = ВР/ВБ, где ВР — выручка от реализации. Х1 , Х3 и Х4 — показатели формулы Альтмана, характеризующие долю собственных средств в пассивах (то есть отражающие финансовую устойчивость организации), Х2 и Х5 — показатели рентабельности и оборачиваемости активов. Согласно западным стандартам, если значение Ka>3, то вероятность банкротства низкая. Однако при анализе финансового состояния российских предприятий ориентироваться на стандарты, рассчитанные для стационарных процессов развития, — недостаточно корректно. Пока что в российских условиях прежде всего необходимо обращать внимание на динамику изменения показателя, а не на его абсолютную величину. Практический опыт показал, что в условиях стационарной экономики значение Ka < 1,81 ведет к постепенному банкротству. Цель анализа оборачиваемости — оценить способность предприятия приносить доход путем совершения оборота «деньги — товар — деньги». Коэффициент оборачиваемости активов показывает, сколько раз за период «обернулся» рассматриваемый актив. Период оборота — продолжительность одного оборота актива в днях. Период оборота каждого из элементов активов отражает продолжительность периода (в днях), в течение которого деньги «связаны» в данном виде активов. Анализ оборачиваемости текущих пассивов позволяет оценить среднюю продолжительность отсрочки платежей, которую представляют предприятию его кредиторы. В составе текущих пассивов рассматривается кредиторская задолженность, авансы покупателей и устойчивые пассивы. Цель анализа прибыльности и рентабельности — оценить способность предприятия приносить доход на вложенные в текущую деятельность средства и капитал. При анализе прибыльности отдельно рассматривается прибыльность основной деятельности, прибыльность инвестиционной деятельности и прибыльность деятельности предприятия в целом. Одной из составляющих оценки прибыльности является анализ безубыточности. Его цель — определить нижнюю границу прибыльности (точку безубыточности), то есть минимальный объем выручки, необходимой для покрытия затрат на производство продукции. Вторая задача анализа безубыточности — оценить тенденцию приближения к критической точке и выявить причины, повлиявшие на данную тенденцию. Характеристика рентабельности предприятия предполагает расчет и анализ основных показателей экономической и финансовой рентабельности, наиболее значимыми из которых являются общая и чистая рентабельность продаж, рентабельность активов, производственных фондов и собственного капитала. В настоящее время перед предприятиями промышленности стоит задача привлечения средств, необходимых для финансирования внеоборотных и оборотных активов с целью эффективного ведения производственно-хозяйственной деятельности. Привлечение заемного капитала приводит к появлению эффекта финансового рычага. Показатель финансового рычага является обратным коэффициенту автономии. Цель анализа эффективности труда — проанализировать взаимосвязь между изменением численности и заработной платы и объемом произведенной продукции и денежных поступлений. Анализ эффективности труда основывается на расчете удельных показателей на рубль заработной платы и одного работника. Только после расчета рассмотренных выше показателей и сравнения их с нормативными значениями, учитывающими особенности отраслевой и общеэкономической специфики переходного периода, можно дать такую оценку финансового состояния предприятия, которую можно считать достоверной. 1.2 Система управления финансовым состоянием предприятияУправление — функция организованных систем различной природы (биологических, социальных, технических), обеспечивающая сохранение их определенной структуры, поддержание режима деятельности, реализацию их программ и целей. Это определение можно распространить и на управление предприятием в связи с тем, что именно управление позволяет поддерживать режим деятельности и реализовывать программы и цели предприятия. При этом принципы управления будут одни и те же и при управлении космическим кораблем, автомобилем, сапожной мастерской, в которой работает три сапожника, и громадным заводом, количество работников на котором составляет несколько тысяч или десятков тысяч человек. Очевидно, что управление происходит в системе определенных координат, одной из которых является время. В системе этих координат задается траектория движения объекта управления, а целью управления является выработка таких действий, при которых каждое мгновенное значение параметров состояния объекта в виде определенных значений координат было бы как можно ближе к координатам заданной траектории в этот конкретный момент времени. В связи с тем что управление объектом происходит во времени, то естественно, что его необходимо представлять в виде некоторой фазной системы. Причем фазы управления следуют в строгой очередности. Управление любым объектом включает шесть фаз: 1-я фаза — фаза планирования; 2-я фаза — фаза учета; 3-я фаза — фаза контроля; 4-я фаза — фаза анализа; 5-я фаза — фаза выработки ряда альтернативных решений или определение оптимального решения; 6-я фаза — фаза реализации одного или нескольких из этих альтернативных решений. Первая фаза управления — фаза планирования — была, есть и будет одной из самых важных. Это связано с тем, что в процессе реализации работ, связанных с планированием деятельности объекта управления, необходимо учитывать не только параметры объекта управления, характеризующие его состояние, но и целый ряд параметров внешней среды, которые могут оказать существенное воздействие на конечные результаты управления. В процессе выполнения фазы учета собирается информация о конкретных значениях параметров, характеризующих состояние объекта управления. Эти параметры прямо или косвенно образуют систему координат, в которой определена траектория движения объекта управления. При этом основной задачей, стоящей перед субъектом управления (оператором или менеджером), является сбор конкретной достоверной и объективной информации о состоянии объекта управления. Основная сложность на данном этапе заключается в определении минимального объема и номенклатуры учитываемых данных, которые позволяют управляющему субъекту иметь ясное представление о состоянии объекта управления. Данное обстоятельство связано с двумя моментами. Первый момент вызван тем, что для сбора и обработки информации (в данном случае учетной информации) требуются средства, которые всегда ограничены. Второй момент вызван тем, что информация может дублироваться и запаздывать, а это не способствует принятию обоснованного решения. Фаза контроля предусматривает проведение работ по сравнению фактических значений параметров с заранее заданными (плановыми). Таким образом, предполагается, что траектория движения управляемого объекта уже разработана. В то же время возможен вариант, когда в процессе контроля приходится сравнивать данные, полученные в текущий момент времени, с данными, полученными в предыдущие моменты. Такие ситуации возникают, когда поведение одного или нескольких объектов рассматривается в динамике, и фактор времени является решающим. Наиболее ярким примером именно такой ситуации является управление противозенитной ракетой в процессе перехвата воздушной цели. В процессе реализации фазы анализа производится определение истинных причин, воздействие которых привело к появлению отклонений фактических параметров состояния объекта управления от координат заданной траектории в данный момент времени (плановых показателей). На основании выявленных истинных причин отклонения на стадии выработки ряда альтернативных решений разрабатывается ряд допустимых решений, где целевыми функциями, а также граничными и начальными условиями будут выступать параметры, которые описывают состояние объекта управления. Однако необходимо учитывать тот факт, что в любом случае наблюдается ограниченность ресурсов. Такая ограниченность требует поиска оптимального решения. С этой целью определяется критерий оптимальности, граничные и начальные условия с использованием той информации, которая была собрана на фазе учета. На стадии фазы реализации принятого решения осуществляется выполнение выработанного оптимального решения или нескольких выработанных решений. На этой стадии также определяются необходимые силы и средства, а также порядок реализации выработанного решения. Субъекты управления выполняют принятое решение, используя выделенные силы и средства. Проецируя все вышесказанное на управление предприятием, необходимо сказать, что для его нормальной деятельности необходимо одновременно осуществлять техническое управление, управление персоналом, финансовое управление и ряд других видов и форм управления. Таким образом, финансовое управление предприятием является частным случаем управления объектом. Финансовым управлением на предприятии должен заниматься финансовый менеджер. Однако не секрет, что часть его функций вольно или невольно перекладывается на главного бухгалтера. Особенно это характерно для предприятий малого или среднего бизнеса, где роль финансового менеджера играет директор предприятия. С нашей точки зрения финансовый менеджер является одной из ключевых фигур в команде менеджеров предприятия. Дело в том, что финансовые результаты деятельности предприятия есть интегрированное отражение в денежном выражении деятельности всех членов команды менеджеров. Поэтому одной из основных задач финансового менеджера является интерпретация финансовых результатов своим коллегам по команде. Если же финансовый менеджер этого не делает, то это означает, что все остальные члены команды менеджеров не знают о том, каковы результаты их работы и, следовательно, вклад в общее дело. То есть налицо современный крыловский вариант сотрудничества лебедя, рака и щуки. Чтобы обеспечить каждого руководителя соответствующей информацией, нужна единая база данных, доступ к которой жестко регламентирован. Это связано с тем, что для работы финансового менеджера с маркетологом требуется один набор показателей, с главным технологом — другой, со снабженцем — третий и так далее. Это только то, что касается членов команды менеджеров, но есть еще и владельцы, которым нужна совсем другая информация. Кроме того, следует еще учитывать особенности информации на каждом этапе управления. Первая фаза финансового управления — планирование деятельности предприятия. С точки зрения финансового управления по периодичности все планирование можно разделить на: текущее планирование (периодичность — до одного месяца); бюджетирование (ежемесячное планирование денежных потоков на предприятии на срок до одного года). Бюджетирование представляет собой составление бюджетов доходов и расходов. При составлении этих бюджетов должны учитываться условия продаж продукции, экономически обоснованные нормы запасов сырья, материалов, полуфабрикатов, комплектующих изделий, запасов готовой продукции и объемов незавершенного производства. бизнес-планирование развития предприятия (на срок от 3 до 5 лет). На многих предприятиях текущее планирование все же ведется, но как бы в силу инерции (еще не забыта сложившаяся система, возникшая в эпоху централизованного планирования). Бюджетирование внедрено на очень ограниченном числе предприятий, что связано с многими проблемами, возникающими при внедрении бюджетирования. А вот бизнес-планирование развития предприятия практически отсутствует. Причины отсутствия бизнес-планирования развития предприятия сводятся к следующему: в условиях рыночной экономики требуется детальное изучение рынка (его объем, потребители, конкуренты, поставщики, партнеры), при этом полученные результаты анализа рынка носят не абсолютный характер, а являются основанием для определения вероятностей проявления того или иного события; отсутствие методики разработки бизнес-планов развития предприятия несмотря на наличие методики разработки бизнес-планов инвестиционных проектов, которые предоставляются как потенциальным инвесторам, так и в учреждения банков (для получения кредитов). При этом все попытки применить эти методики для разработки бизнес-планов развития предприятия не дают положительных результатов; руководство предприятия не видит для себя большой пользы в наличии бизнес-плана развития предприятия, так как не рассматривает планирование как составной элемент управления предприятием. С нашей точки зрения необходимость разработки именно бизнес-плана развития предприятия связана с тем, что основной целью разработки бизнес-плана инвестиционного проекта является расчет экономической эффективности предлагаемого проекта, а основной целью бизнес-плана развития предприятия является установление соотношений между важнейшими показателями. Только такой подход гарантирует сохранение жизнеспособности данного предприятия. Как видно, цели разные, следовательно, и методы их достижения разные. А это означает, что и структура и содержание таких бизнес-планов также будет разной. Но бизнес-план является документом долгосрочного планирования (3—5 лет). Для того чтобы бизнес-план развития предприятия не остался просто красивым пожеланием, он должен опираться на результаты ежегодного бюджетирования, результаты маркетингового анализа рынка, результаты финансового, управленческого и бухгалтерского учетов, с одной стороны, и ежегодно корректироваться на основании результатов ежегодного бюджетирования — с другой. Вторая фаза финансового управления — финансовый учет. Принципиальная особенность данного учета заключается в том, что информация, поступающая от разных служб предприятия, должна быть пригодна для использования, а поэтому обладать рядом свойств. Важнейшими из них являются объективность, достоверность и периодичность. Первыми двумя характеристиками изучаемая информация начинает обладать только после того, как произошло конкретное событие, а периодичность информации зависит от рассматриваемого периода. Если одна и та же информация о ситуации в цехе нужна начальнику цеха за текущие сутки, то менеджеру по финансам — за более длительный период, так как ему необходимо реагировать не на отклонение конкретного показателя в конкретный промежуток времени, а на тенденцию, которая складывается за более длительный отрезок времени. Хотя финансовый учет по своим целям и задачам значительно отличается от бухгалтерского учета, однако он в значительной степени опирается на данные бухгалтерского учета. При этом используются данные главной бухгалтерской книги или оборотно-сальдовой ведомости. В процессе выполнения работ на фазе учета финансовый менеджер должен получить и обработать информацию о финансовом состоянии предприятия, причем количество учитываемых показателей должно быть таким, чтобы можно было сформировать систему граничных и начальных условий. И чем больше будет таких условий, тем более реалистичным окажется принимаемое оптимальное решение. Третья фаза финансового управления предприятием — фаза контроля — предусматривает сравнение фактических данных учета с заранее заданными (плановыми). Такими данными на предприятии всегда являются нормативы. В эпоху централизованного планирования было достаточно просто разработать плановые показатели. В рыночных условиях предприятию никто не дает плановых заданий. Но они необходимы. Поэтому плановые показатели должны формироваться при изучении рынка. Для этого должны разрабатываться бизнес-планы развития, причем информация, содержащаяся в них, является нормативной базой для развития предприятия на длительный период (от 3 до 5 лет с ежегодной корректировкой). В настоящее время фаза контроля выполняет несколько не те функции. В связи с отсутствием системы плановых показателей деятельности предприятия фактически контроль сводится к сравнению бухгалтерских данных только за прошлый и текущий (плановый) период. Четвертая фаза финансового управления предприятием — фаза анализа. Здесь придется предварительно определиться с терминологией. А.И. Ковалев и В.П. Привалов дают такое определение финансового анализа: «Под анализом финансовой отчетности предприятия понимается выявление взаимосвязи и взаимозависимости между различными показателями его финансово-хозяйственной деятельности, которые включены в отчетность». Приблизительно к такому же определению анализа приходит и профессор Университета Париж—Дофин Жак Ришар. Другие авторы многочисленных работ по оценке финансово-экономического состояния предприятия вне зависимости от содержания своих трудов не считают необходимым дать корректное определение того, что они именуют анализом. Говоря же об анализе как фазе финансового управления предприятием, необходимо указать, что установления только взаимосвязи и взаимозависимости между показателями явно недостаточно. На этой фазе финансового управления предприятием ставится задача выявить истинные причины, породившие факторы, воздействие которых вызвало отклонения. Но даже при отсутствии системы плановых показателей (что усложняет анализ) можно попытаться построить систему причинно-следственных связей, опираясь только на фактические данные учетов. Но для этого фаза анализа подразделяется на ряд последовательных этапов, первым из которых является диагностика финансово-экономического состояния предприятия. Для ее проведения в качестве исходной информации используются данные из баланса предприятия и отчета о финансовых результатах, которые приняты на Украине, или данные баланса предприятия, отчета о прибыли и убытках, а также отчета о движении денежных средств, принятые в Российской Федерации. Все эти документы, как на Украине, так и в Российской Федерации являются открытыми. Диагностика в целом напоминает анализ, при проведении которого выявляются факторы, оказывающие существенное влияние на финансовые результаты деятельности предприятия, и кроме статических показателей, характеризующих платежеспособность и финансовую устойчивость, рассчитываются еще и динамические показатели. Однако необходимо помнить о том, что при проведении такого анализа используются данные из баланса, которые отражают ситуацию только на начало и на конец изучаемого периода, но ни в коем случае не ситуацию за весь период. Поэтому, построив целый ряд зависимостей между показателями, учитывающими результаты деятельности на конец и начало периода, очень трудно или невозможно сказать, как протекала деятельность в течение этого периода. На втором этапе фазы анализа производится расчет отклонений, а на третьем этапе осуществляется обоснование причин отклонений с помощью цепочки: Финансовые результаты Такая цепочка причинно-следственных связей именуется схемой Ишикавы или «рыбьим скелетом». На этом фаза анализа заканчивается. Пятая фаза — фаза выработки ряда альтернативных решений или определение оптимального решения. Для формирования нескольких возможных решений, направленных на улучшение той ситуации, в которой находится предприятие, вполне достаточно информации, собранной еще на стадии анализа. На основе этой информации можно составить систему ограничений к соответствующей целевой функции, а также провести ранжирование причин, которые наиболее сильно влияют на финансово-экономическое состояние предприятия. Практически, на основании схемы Ишикавы, которая дает качественное представление о связях между причинами и следствиями, определяется несколько причин. Одна и та же причина может вызвать несколько следствий, а устранение этих причин моделируется с целью оценки возможных результатов (следствий). Таким образом, вырабатывается несколько альтернативных решений или даже определяется оптимальное решение, для чего вводится критерий оптимизации. Шестая фаза — фаза реализации одного или нескольких альтернативных решений — осуществляется по разработанному плану и контролируется финансовым менеджером. Все вышеизложенное представляет собой то идеологическое обоснование, на базе которого строятся все дальнейшие рассуждения и делаются определенные выводы. Способность предприятия своевременно производить платежи, финансировать свою деятельность на расширенной основе, переносить непредвиденные потрясения и поддерживать свою платежеспособность в неблагоприятных обстоятельствах свидетельствует о его устойчивом финансовом состоянии. Если предприятие финансово устойчиво, платежеспособно, оно имеет преимущество перед другими предприятиями того же профиля в привлечении инвестиций, в получении кредитов, в выборе поставщиков и в подборе квалифицированных кадров. Наконец, оно не вступает в конфликт с государством и обществом, так как выплачивает своевременно налоги в бюджет, взносы в социальные фонды, заработную плату рабочим и служащим, дивиденды акционерам, а банкам гарантирует возврат кредитов и уплату процентов по ним. Любая деятельность прямо влияет на структуру бухгалтерского баланса, так как он рассчитывается на основе оборотов, т.е. на основе отражения процессов (хотя обороты в сальдовом бухгалтерском балансе (форма № 1) не показываются, но именно через них определяются остатки на конец года). Следовательно, его сбалансированность не является произвольной. Если какие-то соотношения в балансе не устраивают аналитика или руководителя предприятия, изменить их можно будет только в следующем году, не допуская (или, наоборот, усиливая) те или иные хозяйственные операции (и отражающие их обороты), которые влияют на данные соотношения. В связи с этим очень важно понимать влияние финансовых рисков на формирование статей баланса, количественно оценивать и управлять ими. Минимизируя финансовые риски, мы можем влиять на состояние статей баланса и, таким образом, управлять финансовым состоянием предприятия. Рассмотрим влияние изменения себестоимости на финансовое состояние предприятия. Показатель полной себестоимости продукции является основой для оценки эффективности деятельности предприятия. Данный показатель отражает все стороны хозяйственной деятельности и аккумулирует результаты использования всех производственных ресурсов. От его уровня зависят финансовые результаты деятельности предприятий, темпы расширенного воспроизводства, финансовое состояние субъектов хозяйствования. Предприятие в состоянии изменить величину себестоимости. Изменение отразится в балансе предприятия в части его текущих активов, что явится причиной «возмущения» финансового состояния предприятия. Необходимо предвидеть степень и дать экономическую оценку этому «возмущению». При выявлении влияния изменения суммы полной себестоимости на финансовое состояние предприятия необходимо учитывать в анализе изменение тех показателей, которые включает в себя себестоимость. В структуре оборотных активов это: затраты в НЗП; материальные затраты; готовая продукция на складах; товары отгруженные; дебиторская задолженность (покупатели и заказчики). Рост общей себестоимости неодинаково отразится на данных показателях. Если поставщики сырья и материалов повысили цену на свою продукцию, что вызвало рост себестоимости, то у предприятия увеличатся следующие статьи, представленные в балансе по фактической себестоимости: затраты в НЗП; материальные затраты; готовая продукция на складах; товары отгруженные. Но это может никак не отразиться на дебиторской задолженности, если предприятие не примет решения повысить цену на свою продукцию. Предположим, что при росте себестоимости предприятие в равной степени увеличит цену на свою продукцию. Т.е. изменение себестоимости приведет к такому же изменению всех вышеперечисленных статей бухгалтерского баланса. Влияние роста полной себестоимости на платежеспособность Предварительная оценка платежеспособности определяется с помощью коэффициента потенциальной платежеспособности: Кпот.пл. = ТА/ТО, (2) где ТА — текущие активы, ТО — текущие обязательства. При увеличении себестоимости увеличится сумма текущих активов, при этом текущие обязательства останутся без изменений. Таким образом, рост себестоимости увеличит потенциальную платежеспособность. В расчете коэффициента реальной платежеспособности не участвуют показатели, на которые могло бы повлиять изменение себестоимости. Креал.пл. = (ДС + КФЛ)/(КЗ + Кнпс ), (3) где ДС — денежные средства, КФЛ — краткосрочные финансовые вложения, КЗ — кредиторская задолженность, Кнпс — кредиты, не погашенные в срок. Таким образом, увеличение себестоимости не окажет влияния на коэффициент реальной платежеспособности. Важным показателем для оценки платежеспособности является сумма чистых активов. ЧА = где А — валюта баланса, НМА — нематериальные активы. Сумма активов включает в себя текущие активы, что свидетельствует об увеличении величины чистых активов при увеличении себестоимости, следовательно, сумма чистых активов тоже увеличится. При оценке платежеспособности важно иметь в наличии свободный оборотный капитал (функционирующий капитал), равный разности между текущими активами и текущими обязательствами. Он также увеличится при росте себестоимости. Необходимо определить структурные сдвиги в балансе. При росте себестоимости увеличится доля производственных запасов и оборотных средств и может превысить рекомендуемое значение <= 65%, а также увеличится дебиторская задолженность и может превысить рекомендуемое значение <= 25%. Это «утяжелит» текущие активы, хотя за счет увеличения материальных затрат и дебиторской задолженности доля текущих активов в валюте баланса может достичь рекомендуемого значения >= 40%. В большей степени рост себестоимости повлияет на внутренний норматив платежеспособности: Квнутр = (ТО + МЗ)/ТО, (5) где МЗ — материальные запасы. Данный показатель увеличится, что говорит о том, что после погашения текущих обязательств у предприятия останется больше средств под материальные запасы, и предприятие будет способно обеспечить бесперебойное производство. Влияние роста полной себестоимости на ликвидность Ликвидность — степень превращения средств в денежную наличность. Для анализа изменения ликвидности при росте себестоимости воспользуемся методом Шеремета построения баланса ликвидности. Метод основан на группировке средств в активе по степени снижения их ликвидности и обязательств по росту сроков платежей. В активе предусматриваются следующие группы средств: А1. Высоколиквидные средства = денежные средства + краткосрочные финансовые вложения (не изменяются при росте себестоимости). А2. Ликвидные средства = дебиторская задолженность + прочие активы (увеличиваются за счет роста дебиторской задолженности). А3. Медленно реализуемые активы = материальные запасы — расходы будущего периода (увеличиваются за счет роста материальных запасов). А4. Неликвидные активы = 1 раздел актива — долгосрочные финансовые вложения (не изменяются). В пассиве группировка обязательств осуществляется следующим образом: П1. Наиболее срочные обязательства. П2. Среднесрочные обязательства. П3. Долгосрочные обязательства. П4. Постоянные пассивы. Ни на одну из этих групп изменение себестоимости влияния не окажет. Оптимальный вариант, отражающий абсолютно ликвидный баланс, выглядит так: А1 >= П1 А2 >= П2 А3 >= П3 А4 >= П4 Если баланс на предприятии абсолютно неликвидный, то увеличение полной себестоимости позволит увеличить долю ликвидных и медленно реализуемых активов. Если допустить, что пассив при этом не изменится, то сочетание неравенств изменится и баланс охарактеризуется потенциальной ликвидностью: А1 <= П1 А2 >= П2 А3 >= П3 А4 <= П4 Таким образом, увеличение общей себестоимости приведет к росту промежуточной и текущей ликвидности. Влияние роста полной себестоимости на финансовую устойчивость Под устойчивостью понимается стабильное превышение доходов над расходами. Финансовая устойчивость является главным компонентом общей устойчивости. Она характеризуется способностью предприятия эффективно использовать финансовые ресурсы для обеспечения бесперебойного процесса производства и реализации продукции, т.е. финансовая устойчивость характеризуется состоянием распределения финансовых ресурсов и эффективностью их использования по отношению к затратам. Для данного блока анализа решающее значение имеет вопрос о том, какие показатели отражают сущность устойчивости финансового состояния. В условиях рынка балансовая модель, из которой исходит анализ, имеет вид: F + Eз + Rд = Ис + Скк + Сдк + Ко + Rp , (6) где F — основные средства и вложения; Eз — запасы и затраты; Rд — денежные средства, краткосрочные финансовые вложения, расчеты (ДЗ) и прочие активы; Ис — источники собственных средств; Скк — краткосрочные кредиты и займы; Сдк — долгосрочные кредиты и займы; Ко — ссуды, не погашенные в срок; Rp — расчеты (КЗ) и прочие пассивы. Учитывая, что для эффективной деятельности предприятия долгосрочные кредиты и заемные средства должны направляться преимущественно на приобретение основных средств и на капитальные вложения, преобразуем исходную балансовую формулу: Eз + Rд = ((Ис + Сдк )–F) + (Скк + + Ко + Rp ) (7) Отсюда можно сделать заключение, что при условии ограничения запасов и затрат величиной ((Ис + Сдк )–F): Eз <= Ис + Сдк – F, (8) будет выполняться условие платежеспособности предприятия, т.е. денежные средства, краткосрочные финансовые вложения и активные расчеты с дебиторами покроют краткосрочную задолженность предприятия (Скк + Ко + Rp ): Rд >= Скк + Ко + Rp . (9) Очевидно, что при росте полной себестоимости, а следовательно, и при росте материальных запасов и затрат и дебиторской задолженности, будет выполняться только второе ограничение. Для выполнения первого неравенства необходимо снижение величины материальных затрат в балансе, что невозможно при росте себестоимости. Можно сделать вывод, что в целом рост полной себестоимости отрицательно влияет на финансовую устойчивость предприятия. Увеличивается величина материальных затрат и снижается способность предприятия покрывать затраты собственными средствами, ему приходится брать краткосрочные кредиты и займы. Для нормальной финансовой неустойчивости величина привлекаемых краткосрочных кредитов не должна превышать суммарной стоимости производственных запасов и готовой продукции (наиболее ликвидной части запасов и затрат). В тоже время из-за роста величины активных расчетов возможно покрытие некоторой доли краткосрочной задолженности предприятия. Таким образом, мы выявили, что рост себестоимости неоднозначно влияет на финансовое состояние предприятия. Для определения наиболее полного и верного результата необходимо дать комплексную оценку с учетом всех взаимосвязей показателей. Как было показано выше, любые хозяйственные процессы отражаются на структуре баланса. Следовательно, бухгалтерский баланс можно рассматривать как детерминированную факторную систему, так как статьи баланса имеют заранее определенную функциональную зависимость от общих показателей финансового состояния. В этой связи для управления финансовым состоянием целесообразно использовать методы моделирования детерминированных факторных систем. Математическое моделирование экономических явлений является важным инструментом экономического анализа. Оно дает возможность получить четкое представление об исследуемом объекте, охарактеризовать и количественно описать его внутреннюю структуру и внешние связи. Содержание метода моделирования составляют конструирование модели на основе предварительного изучения объекта и выделения его существенных характеристик, экспериментальный или теоретический анализ модели, сопоставление результатов с данными об объекте, корректировка модели. В качестве модели необходимо использовать ключевой показатель, наиболее полно отражающий интересующие нас аспекты. Таким показателем может быть платежеспособность предприятия, являющаяся внешним проявлением финансового состояния предприятия. Данный показатель дает качественную характеристику финансового состояния, т.е. возможности наличными денежными ресурсами своевременно и полностью производить расчеты с бюджетом по налогам, с банками и кредиторами — по ссудам и процентам за кредит, с поставщиками — по поставкам и услугам и с трудовым коллективом — по оплате труда и социальными гарантиями. В современной экономической литературе встречаются различные подходы к определению экономической сущности платежеспособности. На наш взгляд, это комплексное понятие, объединяющее такие емкие понятия в анализе финансового состояния, как ликвидность, кредитоспособность, оценка возможного банкротства. Коэффициент платежеспособности можно представить в виде кратной двухфакторной детерминированной модели как отношение текущих активов и текущих обязательств: Кпл/сп = ТА/ТО (10) Для полного и объективного анализа финансового состояния предприятия необходим анализ всех составляющих платежеспособности. Далее мы преобразуем данную кратную модель платежеспособности с применением различных приемов расчленения общего показателя на экономические, финансовые и производственные факторы, которые будут являться объектом в более детальном анализе величины коэффициента платежеспособности в соответствии с рисунком 2.
Рисунок 2 - Детерминированная факторная модель платежеспособности Моделируя числитель и знаменатель как аддитивные многофакторные модели по отдельности, можно выделить из двух комплексных факторов исходной модели сколь угодно частных факторов, функционально зависимых от платежеспособности. Таким образом, управлять финансовым состоянием через управление платежеспособностью можно с помощью изменения частных локальных показателей, имеющих наибольшее влияние на результативный. Данный анализ можно провести, используя прикладную программу персонального компьютера Excel, внеся в нее необходимые функциональные зависимости. Обобщая вышеизложенное можно сказать, что моделирование детерминированных факторных систем позволяет выявить новые формулы расчета результативного показателя с расширенным числом факторов, входящих в его состав. Путем преобразования исходной модели из двух факторов расчета платежеспособности были получены частные локальные показатели, характеризующие производственные процессы. Управляя этими частными показателями, процесс моделирования позволяет влиять на платежеспособность, финансовую устойчивость, и, тем самым, минимизируя финансовые риски, управлять финансовым состоянием в целом. 1.3 Эффективность управления финансовым состоянием предприятияОценка экономической эффективности производится путем сопоставления результатов деятельности с затратами на ее осуществление:
Под результатами деятельности предприятия понимают его полезный конечный результат в виде: 1) материализированного результата процесса производства, измеряемого объемом продукции в натуральной и стоимостной формах; 2) народнохозяйственного результата деятельности предприятия, который включает не только количество изготовленной продукции, но и охватывает ее потребительскую стоимость. Конечным результатом производственно-хозяйственной деятельности предприятия за определенный промежуток времени является чистая продукция, т.е. вновь созданная стоимость, а конечным финансовым результатом коммерческой деятельности - прибыль. Эффективность финансовой деятельности можно классифицировать по отдельным признакам на следующие виды: - по последствиям - экономическая, социальная и экологическая; - по месту получения эффекта - локальная (хозрасчетная) и народнохозяйственная; - по степени увеличения (повторения) - первичная (одноразовый эффект) и мультипликационная (многократно-повторяющаяся); - по цели определения - абсолютная (характеризует общую величину эффекта или в расчете на единицу затрат или ресурсов) и сравнительная (при выборе оптимального варианта из нескольких вариантов хозяйственных или других решений). Все вместе взятые виды эффективности формируют общую интегральную эффективность деятельности предприятия. Достижение экономического или социального эффекта связано с необходимостью осуществления текущих и единовременных затрат. К текущим относятся затраты, включаемые в себестоимость продукции. Единовременные затраты - это авансированные средства на создание основных и прирост оборотных фондов в форме капитальных вложений, которые дают отдачу только через некоторое время. Измерение эффективности предполагает установление критерия экономической эффективности, который должен быть единым для всех звеньей экономики - от предприятия до народного хозяйства в целом. Можно определить следующую систему показателей эффективности: 1) обобщающие показатели: - производство чистой продукции на единицу затрат ресурсов; - прибыль на единицу общих затрат; - рентабельность производства; - затраты на 1 гривню товарной продукции; - доля прироста продукции за счет интенсификации производства; - народнохозяйственный эффект использования единицы продукции; 2) показатели эффективности использования труда (персонала): - темп роста производительности труда; - доля прироста продукции за счет увеличения производительности труда; - абсолютное и относительное высвобождение работников; - коэффициент использования полезного фонда рабочего времени; - трудоемкость единицы продукции; - зарплатоемкость единицы продукции; 3) показатели эффективности использования производственных фондов: - общая фондоотдача; - фондоотдача активной части основных фондов; - рентабельность основных фондов; - фондоемкость единицы продукции; - материалоемкость единицы продукции; - коэффициент использования наиважнейших видов сырья и материалов; 4) показатели эффективности использования финансовых средств: - оборачиваемость оборотных средств; - рентабельность оборотных средств; - относительное высвобождение оборотных средств; - удельные капитальные вложения (на единицу прироста мощности или продукции); - рентабельность капитальных вложений; - срок окупаемости капитальных вложений и др. Уровень экономической эффективности зависит от многообразия взаимосвязанных факторов. Все многообразие факторов роста эффективности можно классифицировать по трем признакам: 1) источникам повышения эффективности, основными из которых является: снижение трудо-, материало-, фондо- и капиталоемкости производства продукции, рациональное использование природных ресурсов, экономия времени и повышение качества продукции; 2) основным направлениям развития и совершенствования производства, к которым относятся: ускорение научно-технического прогресса, повышение технико-экономического уровня производства; совершенствование структуры производства, внедрение организационных систем управления; совершенствование форм и методов организации производства, планирования, мотивации, трудовой деятельности и др.; 3) уровню реализации в системе управления производством, в зависимости от которого факторы подразделяются на: а) внутренние (внутрипроизводственные), основными из которых являются: освоение новых видов продукции; механизация и автоматизация; внедрение прогрессивной технологии и новейшего оборудования; улучшение использования сырья, материалов, топлива, энергии; совершенствование стиля управления и др.; б) внешние - это совершенствование отраслевой структуры промышленности и производства, государственная экономическая и социальная политика, формирование рыночных отношений и рыночной инфраструктуры и другие факторы 2 Методические подходы к управлению финансовым состоянием предприятия2.1 Методика оценки и анализ финансового состояния предприятияМетод экономического анализа представляет собой способ подхода к изучению хозяйственных процессов в их плавном развитии. Характерными особенностями метода экономического анализа являются: определение системы показателей, всесторонне характеризующих хозяйственную деятельность организаций; установление соподчиненности показателей с выделением совокупных результативных факторов и факторов (основных и второстепенных), на них влияющих; выявление формы взаимосвязи между факторами; выбор приемов и способов для изучения взаимосвязи; количественное измерение влияния факторов на совокупный показатель. Совокупность приемов и способов, которые применяются при изучении хозяйственных процессов, составляет методику экономического анализа. Методика экономического анализа базируется на пересечении трех областей знаний: экономики, статистики и математики. К экономическим методам анализа относят сравнение, группировку, балансовый и графический методы. Статистические методы включают в себя использование средних и относительных величин, индексный метод, корреляционный и регрессивный анализ и др. Математические методы можно разделить на три группы: экономические (матричные методы, теория производственных функций, теория межотраслевого баланса); методы экономической кибернетики и оптимального программирования (линейное, нелинейное, динамическое программирование); методы исследования операций и принятия решений (теория графов, теория игр, теория массового обслуживания). Охарактеризуем основные приемы и методы экономического анализа Сравнение – сопоставление изучаемых данных и фактов хозяйственной жизни. Различают горизонтальный сравнительный анализ, который применяется для определения абсолютных и относительных отклонений фактического уровня исследуемых показателей от базового; вертикальный сравнительный анализ, используемый для изучения структуры экономических явлений; трендовый анализ, применяемый при изучении относительных темпов роста и прироста показателей за ряд лет к уровню базисного года, т.е. при исследовании рядов динамики. Обязательным условием сравнительного анализа является сопоставимость сравниваемых показателей, предполагающая: единство объемных, стоимостных, качественных, структурных показателей; единство периодов времени, за которые производится сравнение; сопоставимость условий производства; сопоставимость методики исчисления показателей. Средние величины – исчисляются на основе массовых данных о качественно однородных явлениях. Они помогают определять общие закономерности и тенденции в развитии экономических процессов. Группировки – используются для исследования зависимости в сложных явлениях, характеристика которых отражается однородными показателями и разными значениями (характеристика парка оборудования по срокам ввода в эксплуатацию, по месту эксплуатации, по коэффициенту сменности и т.д.) Балансовый метод состоит в сравнении, соизмерении двух комплексов показателей, стремящихся к определенному равновесию. Он позволяет выявить в результате новый аналитический (балансирующий) показатель. Например, при анализе обеспеченности предприятия сырьем сравнивают потребность в сырье, источники покрытия потребности и определяют балансирующий показатель – дефицит или избыток сырья. Как вспомогательный, балансовый метод используется для проверки результатов расчетов влияния факторов на результативный совокупный показатель. Если сумма влияния факторов на результативный показатель равна его отклонению от базового значения, то, следовательно, расчеты проведены правильно. Отсутствие равенства свидетельствует о неполном учтете факторов или о допущенных ошибках:
где у – результативный показатель; x– факторы; у (хi ) – отклонение результативного показателя за счет фактора хi . Балансовый метод применяют также для определения размера влияния отдельных факторов на изменение результативного показателя, если известно влияние остальных факторов:
Графический способ. Графики являются масштабным изображением показателей и их зависимости с помощью геометрических фигур. Графический способ не имеет в анализе самостоятельного значения, а используется для иллюстрации измерений. Индексный метод основывается на относительных показателях, выражающих отношение уровня данного явления к его уровню, взятому в качестве базы сравнения. Статистика называет несколько видов индексов, которые применяются при анализе: агрегатные, арифметические, гармонические и т.д. Использовав индексные пересчеты и построив временной ряд, характеризующий, например, выпуск промышленной продукции в стоимостном выражении, можно квалифицированно проанализировать явления динамики. Метод корреляционного и регрессионного (стохастического) анализа широко используется для определения тесноты связи между показателями не находящимися в функциональной зависимости, т.е. связь проявляется не в каждом отдельном случае, а в определенной зависимости. С помощью корреляции решаются две главные задачи: составляется модель действующих факторов (уравнение регрессии); дается количественная оценка тесноты связей (коэффициент корреляции). Матричные модели представляют собой схематическое отражение экономического явления или процесса с помощью научной абстракции. Наибольшее распространение здесь получил метод анализа «затраты-выпуск», строящийся по шахматной схеме и позволяющий в наиболее компактной форме представить взаимосвязь затрат и результатов производства. Математическое программирование – это основное средство решения задач по оптимизации производственно-хозяйственной деятельности. Метод исследования операций направлен на изучение экономических систем, в том числе производственно-хозяйственной деятельности предприятий, с целью определения такого сочетания структурных взаимосвязанных элементов систем, которое в наибольшей степени позволит определить наилучший экономический показатель из ряда возможных. Теория игр как раздел исследования операций - это теория математических моделей принятия оптимальных решений в условиях неопределенности или конфликта нескольких сторон, имеющих различные интересы. Рассмотрим методику факторного анализа Все явления и процессы хозяйственной деятельности предприятий находятся во взаимосвязи и взаимообусловленности. Одни из них непосредственно связаны между собой, другие косвенно. Отсюда важным методологическим вопросом в экономическом анализе является изучение и измерение влияния факторов на величину исследуемых экономических показателей. Под экономическим факторным анализом понимается постепенный переход от исходной факторной системы к конечной факторной системе, раскрытие полного набора прямых, количественно измеримых факторов, оказывающих влияние на изменение результативного показателя. По характеру взаимосвязи между показателями различают методы детерминированного и стохастического факторного анализа. Детерминированный факторный анализ представляет собой методику исследования влияния факторов, связь которых с результативным показателем носит функциональный характер. Основные свойства детерминированного подхода к анализу: построение детерминированной модели путем логического анализа; наличие полной (жесткой) связи между показателями; невозможность разделения результатов влияния одновременно действующих факторов, которые не поддаются объединению в одной модели; изучение взаимосвязей в краткосрочном периоде. Различают четыре типа детерминированных моделей: Аддитивные модели представляют собой алгебраическую сумму показателей и имеют вид
К таким моделям, например, относятся показатели себестоимости во взаимосвязи с элементами затрат на производство и со статьями затрат; показатель объема производства продукции в его взаимосвязи с объемом выпуска отдельных изделий или объема выпуска в отдельных подразделениях. Мультипликативные модели в обобщенном виде могут быть представлены формулой
Примером мультипликативной модели является двухфакторная модель объема реализации
где Ч - среднесписочная численность работников; CB - средняя выработка на одного работника. Кратные модели:
Примером кратной модели служит показатель срока оборачиваемости товаров (в днях) . ТОБ.Т :
где ЗТ - средний запас товаров; ОР - однодневный объем реализации. Смешанные модели представляют собой комбинацию перечисленных выше моделей и могут быть описаны с помощью специальных выражений:
Примерами таких моделей служат показатели затрат на 1 руб. товарной продукции, показатели рентабельности и др. Для изучения зависимости между показателями и количественного измерения множества факторов, повлиявших на результативный показатель, приведем общие правила преобразования моделей с целью включения новых факторных показателей. Для детализации обобщающего факторного показателя на его составляющие, которые представляют интерес для аналитических расчетов, используют прием удлинения факторной системы. Если исходная факторная модель Для выделения некоторого числа новых факторов и построения необходимых для расчетов факторных показателей применяют прием расширения факторных моделей. При этом числитель и знаменатель умножаются на одно и тоже число:
Для построения новых факторных показателей применяют прием сокращения факторных моделей. При использовании данного приема числитель и знаменатель делят на одно и то же число.
Детализация факторного анализа во многом определяется числом факторов, влияние которых можно количественные оценить, поэтому большое значение в анализе имеют многофакторные мультипликативные модели. В основе их построения лежат следующие принципы: место каждого фактора в модели должно соответствовать его роли в формировании результативного показателя; модель должна строиться из двухфакторной полной модели путем последовательного расчленения факторов, как правило качественных, на составляющие; при написании формулы многофакторной модели факторы должны располагаться слева направо в порядке их замены. Построение факторной модели – первый этап детерминированного анализа. Далее определяют способ оценки влияния факторов. Способ цепных подстановок заключается в определении ряда промежуточных значений обобщающего показателя путем последовательной замены базисных значений факторов на отчетные. Данный способ основан на элиминировании. Элиминировать – значит устранить, исключить воздействие всех факторов на величину результативного показателя, кроме одного. При этом исходя из того, что все факторы изменяются независимо друг от друга, т.е. сначала изменяется один фактор, а все остальные остаются без изменения. потом изменяются два при неизменности остальных и т.д. В общем виде применение способа цепных постановок можно описать следующим образом:
где a0 , b0, c0 - базисные значения факторов, оказывающих влияние на обобщающий показатель у; a1 , b1 , c1 - фактические значения факторов; ya , yb , - промежуточные изменения результирующего показателя, связанного с изменением факторов а, b, соответственно. Общее изменение
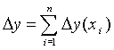
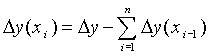
Преимущества данного способа: универсальность применения, простота расчетов. Недостаток метода состоит в том, что, в зависимости от выбранного порядка замены факторов, результаты факторного разложения имеют разные значения. Это связано с тем, что в результате применения этого метода образуется некий неразложимый остаток, который прибавляется к величине влияния последнего фактора. На практике точностью оценки факторов пренебрегают, выдвигая на первый план относительную значимость влияния того или иного фактора. Однако существуют определенные правила, определяющие последовательность подстановки: при наличии в факторной модели количественных и качественных показателей в первую очередь рассматривается изменение количественных факторов; если модель представлена несколькими количественными и качественными показателями, последовательность подстановки определяется путем логического анализа. Под количественным факторами при анализе понимают те, которые выражают количественную определенность явлений и могут быть получены путем непосредственного учета (количество рабочих, станков, сырья и т.д.). Качественные факторы определяют внутренние качества, признаки и особенности изучаемых явлений (производительность труда, качество продукции, средняя продолжительность рабочего дня и т.д.). Способ абсолютных разниц является модификацией способа цепной подстановки. Изменение результативного показателя за счет каждого фактора способом разниц определяется как произведение отклонения изучаемого фактора на базисное или отчетное значение другого фактора в зависимости от выбранной последовательности подстановки:
Способ относительных разниц применяется для измерения влияния факторов на прирост результативного показателя в мультипликативных и смешанных моделях вида у = (а – в) . с. Он используется в случаях, когда исходные данные содержат определенные ранее относительные отклонения факторных показателей в процентах. Для мультипликативных моделей типа у = а . в . с методика анализа следующая: находят относительное отклонение каждого факторного показателя:
определяют отклонение результативного показателя у за счет каждого фактора
Интегральный метод позволяет избежать недостатков, присущих методу цепной подстановки, и не требует применения приемов по распределению неразложимого остатка по факторам, т.к. в нем действует логарифмический закон перераспределения факторных нагрузок. Интегральный метод позволяет достигнуть полного разложения результативного показателя по факторам и носит универсальный характер, т.е. применим к мультипликативным, кратным и смешанным моделям. Операция вычисления определенного интеграла решается с помощью ПЭВМ и сводится к построению подынтегральных выражений, которые зависят от вида функции или модели факторной системы. Можно использовать также уже сформированные рабочие формулы: 1. Модель вида
2. Модель вида
3. Модель вида
4. Модель вида
2.2 Организация управления финансовым состоянием предприятияФинансовый менеджмент является частью общего управления предприятием. Общий же менеджмент может реализовать разные управленческие схемы — либо традиционные и хорошо себя зарекомендовавшие в условиях стабильности линейно-функциональные структуры управления, либо более гибкие и адаптивные к меняющимся рыночным условиям дивизионально-штабные схемы, а также продуктовые, матричные, проектные и пр. типы управленческих структур. Независимо от выбора схемы построения управления предприятием организация финансов в любой отрасли и на предприятиях разного организационно-правового статуса строится на единых базовых принципах: экономическая самостоятельность; самофинансирование; материальная заинтересованность; финансовая ответственность; контроль, включая внутренний аудит; резервирование под финансовые риски. При общности принципов управления финансами в различных формах организации бизнеса, а также в разных отраслях и сферах экономики возникают специфические особенности реализации финансовых отношений. В коммерческих организациях разных типов — товариществах, кооперативах, хозяйственных обществах, унитарных предприятиях, акционерных обществах специфичны многие экономические процессы, а значит, и финансовые отношения, их опосредующие. Различны структуры источников финансирования, включая доступ к финансовым рынкам и банковским кредитам, разнятся набор активов, степень их ликвидности, скорость оборота капитала, объемы и интенсивность денежных потоков, структура издержек, доходность операций, уровень рисков. Наиболее специфичной является организация финансов акционерных обществ как структур, преобладающих в экономиках инкорпорированного вида. Здесь возникают особые отношения по процедурам эмиссии акций, формированию структуры капитала и управления им, связям с акционерами, дивидендной политике. На этой основе возникает понятие корпоративное управление — система корректного взаимодействия менеджмента с акционерами и всеми финансово заинтересованными в успешной работе компании сторонами. Качество управления компаниями в таком случае оценивается с помощью рейтинга корпоративного поведения, определяемого с помощью следующих критериев: уровень прозрачности работы ключевых подразделений компании, раскрытие информации; соблюдение стандартов бухгалтерской отчетности; уровень менеджмента; характеристики функционирования совета директоров; структура акционерного капитала; реализация прав акционеров, в т.ч. отношение к мелким акционерам; уровень рисков. В ряду компонентов менеджмента финансы играют важнейшую роль. Умело организованный финансовый менеджмент является серьезным фактором успеха предприятия на рынке. И напротив, в силу действия механизма обратной связи неэффективно организованное управление финансами может ослабить конкурентную позицию компании. Какие индикаторы указывают на неотлаженность процессов и структур управления финансовыми потоками? Ими могут быть: Отсутствие финансовой службы как таковой или выполнение ею подсобной по отношению к бухгалтерской или планово-экономической работе роли. Выполнение финансовых функций другими отделами (маркетинга, сбыта, плановым отделом) при наличии финансовой оргструктуры или дублирование ими функций. Неудовлетворительное распределение ответственности и полномочий. Невыполнение многих функций в рамках управленческого учета — управление затратами, запасами, задолженностью покупателей, финансовыми рисками. Недостаточная квалификация финансовых работников, непонимание многих концептуальных вещей (денежные потоки, бюджет, стоимость капитала) в контексте корпоративной стратегии. Несовершенство документооборота, информационного и технического, в т.ч. компьютерного обеспечения. Отсутствие мотивации работников финансовых служб. Хаос в управлении финансами — отсутствие сильной аналитической функции, ключевых элементов управленческого и налогового учета и планирования, нерациональный документооборот, неинформированность руководства, плохое управление денежными потоками, неэффективное управление запасами и портфелем готовой продукции — влечет за собой такие негативные моменты, как задержки зарплаты, налоговые недоимки, большие объемы дебиторской задолженности, трудности с получением банковских кредитов, низкую рентабельность продукции, трудности со сбытом, высокую издержкоемкость, расточительное расходование средств, недостаток собственного оборотного капитала и пр. Общим итогом является ухудшение финансового состояния, нарастание финансовых трудностей – словом, нарастание потенциала банкротства. Негативные последствия неудовлетворительного финансового управления могут проявляться как чисто финансовые потери, утраты и упущенные возможности, так и в виде ослабления качества бизнеса в целом. Следствием отсутствия внимания к оптимизации движения денежных потоков, гармонизации притоков и оттоков, к составлению их прогнозов являются проблемы с платежеспособностью. Чрезмерные и необоснованные займы на рынке капиталов удорожают общую стоимость ресурсов, ухудшают финансовое состояние. Иммобилизация оборотных средств (использование краткосрочных заемных средств как источников финансирования долгосрочных вложений) нарушает баланс ликвидности, затрудняет финансирование оборотного капитала. Недостаточность оборотных активов в сравнении с краткосрочными источниками приводит к недостатку собственного оборотного капитала. Неудовлетворительная работа с дебиторами обостряет проблему ликвидности, замедляет оборачиваемость текущего капитала, а в случае безнадежных долгов приводит к прямым убыткам. Отсутствие элементов управленческого учета и бюджетирования ведет к неверной оценке результатов, неадекватным ценам, потере прибыли. Недостаток прибыли и ее неэффективное распределение ведут к утрате собственного капитала. Невыявление ключевых факторов создания стоимости на предприятии снижает рентабельность капитала собственников и ограничивает возможности роста стоимости фирмы. Помимо этого сигналом будущих значительных финансовых затруднений являются: неправильная реинвестиционная политика, невнимание к акционерам (нарушение их прав, невыплата дивидендов), наличие сверхнормативных и залежалых товаров и производственных запасов; ухудшение отношений с банками, применение в производственном процессе переамортизированного оборудования, использование новых источников финансирования на относительно невыгодных условиях и пр. Параллельно с фиксацией потерь прибылей, незаработанных денег, снижения ликвидности как предпосылок финансового кризиса предприятие сталкивается с более серьезными общекорпоративными проблемами. Главная из них — это снижение инвестиционной привлекательности компании в глазах потенциальных отечественных и иностранных партнеров как реакция на неудовлетворительный финансовый менеджмент. А без инвестиций невозможно реализовать стратегию роста как ведущую долговременную цель. Предприятие, не оптимизирующее структуру капитала, не следящее за денежными потоками, расчетами с дебиторами и кредиторами, государством, не организующее экономический учет затрат, не анализирующее текущую и инвестиционную деятельность, не составляющее детальные финансовые прогнозы и бюджеты, рискует остаться без приемлемых по цене внешних источников финансирования. Отсюда вытекает главная задача финансового менеджмента — оптимизировать все описанные финансовые процессы. Организационная структура управления финансами может выглядеть следующим образом (выделен только блок управления финансами) (рис. 3). Главные функциональные обязанности Ключевая в процессе финансового менеджмента должность финансового директора (иногда должность именуется «директор по экономике и финансам» либо «вице-президент компании по финансам») включает в себя также такие задачи, как внедрение новых управленческих схем, подбор кадров, отношения с собственниками, формирование имиджа перед банками и иными партнерами. Помимо традиционных учетных задач принципиально важным в работе отдела бухгалтерского учета, или бухгалтерии, является руководство группой управленческого учета. Ее задачей является проведение маржинального анализа (в т.ч. определение порога рентабельности), основанного на выделении постоянных затрат как главного фактора операционного риска, представление отчета о прибылях и убытках в формате «переменные-постоянные расходы», агрегирование, трансформация баланса для управленческих целей, проверка взаимосвязей трех главных финансовых документов — баланса, отчета о прибылях и убытках, отчета о движении денежных средств.
Рисунок 3 - Примерная схема управления финансами на предприятии В таблице приводится перечень главных функциональных обязанностей ключевых финансовых руководителей. Таблица 2 - Перечень главных функциональных обязанностей ключевых финансовых руководителей
В функциональные обязанности начальника финансового отдела, описывающиеся общим термином «текущее управление финансами», входят: финансовый анализ текущей ситуации, в т.ч. коэффициентный анализ; отслеживание поступления выручки; утверждение контрактов на продажу; определение политики продаж в кредит; утверждение заказов на покупку ресурсов; управление поступлениями и расходованиями денежных средств; управление дебиторской и кредиторской задолженностью в ежедневном режиме; анализ соответствия имеющихся средств финансовым обязательствам; поиск новых источников финансирования; определение потребности в оборотных средствах; переговоры с банками о краткосрочных кредитах; кэш-менеджмент (оперативное управление денежными средствами и краткосрочными финансовыми вложениями); анализ эффективности инвестиционных проектов; решения по дивестированию (продаже активов); финансовое планирование, прогнозирование; участие в составлении финансовых бюджетов в рамках общего бюджета компании и пр. Отличными от финансовых функций являются задачи начальника планового отдела. Акцент в его деятельности поставлен на общеэкономических аспектах: это анализ доходности по типам продукции, по подразделениям и предприятию в целом, анализ объема и динамики затрат, их факторов, отклонений от плановых затрат и нормативов, расчет сметных издержек и нормативов потребления ресурсов, в т.ч. для определения трансфертных цен, по которым продукция поставляется внутри предприятия, разработка методов снижения затрат, подготовка конкретных решений по ценообразованию, оценка незавершенного производства и запасов, разработка на этой базе производственных планов и бюджетов, подготовка статистической отчетности. Вместе с руководством компании именно планово-экономические службы являются ответственными за ключевые факторы формирования прибыли как результата определенного соотношения продаж и расходов. Отсюда их внимание к физическим и стоимостным объемам производства и реализации, к ценам, к детальному анализу производственных, коммерческих и управленческих расходов. Многие из этих разнообразных по содержанию функций плановый отдел объективно не может выполнять автономно; при планировании, подготовке отчетности неизбежна кооперация с производственным отделом, маркетинговой и инженерно-технической службами, отделом сбыта. Приведенная схема возможного построения структуры управления финансами является примерной. Будучи примененной к конкретным предприятиям, она обрастает индивидуальными подробностями, отражающими специфику работы предприятия. Так, в сложных производственных объединениях службы по экономике и финансам, зачастую именуемые департаментами, могут включать в себя дополнительно замкнутые на Генерального директора департамента структуры — финансово-расчетные центры, или казначейства, а также управления и/или отделы по управлению имущественными активами. На крупных предприятиях с большим числом занятых возможно вычленение из планово-экономического управления самостоятельного управления организации труда и заработной платы. Еще более сложные связи существуют на предприятиях холдингового типа, в финансово-промышленных группах, концернах. Например, при общей принципиально свободной организации финансового блока ФПГ в нем существуют обязательные структурообразующие элементы — банк как финансовое ядро группы, инвестиционная компания с управляющей компанией или портфельной службой, страховые и пенсионные кэптивные компании, венчурные, депозитарно-клиринговые структуры и пр. Для сложно структурированных предприятий, осуществляющих широкодиверсифицированную деятельность, разумным является формирование центров прибыли и распределение центров затрат и доходов между ними. Таким образом в структуре управления появляются центры финансового учета (ответственности) — ЦФУ и ЦФО. Центрами расходов, или затрат, являются малорентабельные или нерентабельные структуры хозяйствующего субъекта — цеха, вспомогательные (ремонтные, обслуживающие, транспортные, снабженческие), конструкторско-технологические, административно-управленческие подразделения. По этим центрам производится детальный контроль за использованием средств; затем они привязываются к центрам прибыли. К центрам дохода, или центрам прибыли, могут относиться только подразделения, которые непосредственно получают доход. На предприятии может быть единый центр прибыли но чаще всего выделяется несколько центров прибыли в зависимости от разных принципов их выделения — по отдельным продуктам, по организационному или географическому положению (филиалы, дочерние компании, реализующие одинаковые или различные бизнес-направления, прочие бизнес-единицы), по видам деятельности и бизнес-линиям (производство, торговля, услуги) Часто формируются сложные пирамидальные иерархические структуры центров прибыли. Выделение большего числа центров прибыли дает лучшее представление о структуре формирования прибыли и вкладе различных подразделений в ее создание. По существу, речь идет о внутреннем хозрасчете. При этом возможны разные модели экономического управления результатами отдельных хозяйствующих бизнес-единиц — по финансовым результатам и по маржинальному доходу и затратам. В первом случае прибыль рассчитывается не только по компании в целом, но и по отдельным ЦФУ. Вторая, альтернативная, модель расчета финансово-экономических результатов ориентируется на расчет прибыли по всей фирме в целом; по каждому ЦФУ считают только маржинальный доход (разницу между валовым доходом и прямыми производственными затратами), не разнося общефирменные расходы по ЦФУ. Многое в выборе той или иной модели внутреннего хозрасчета зависит от учетной политики предприятия, от управления производственной технологической цепочкой, в т.ч. от степени внутрифирменной кооперации, влекущей за собой проблему трансфертных цен и пр. Для эффективного функционирования системы оперативного управления финансами на предприятии необходимо его нормативно-организационное обеспечение — наличие положений о финансовой службе, о финансовой структуре, регламенты, стандарты и схемы документооборота. В частности, важны требования к системе отчетности (оперативной, аналитической, бухгалтерской, налоговой) с точки зрения уровня детализации показателей, периодичности составления, адресности информации. Не менее важным является функциональный аспект управления, подкрепленный должностными инструкциями для всех звеньев оперативного управления. Наконец, фактором успеха является кадровое обеспечение финансового менеджмента исполнителями должной квалификации, подтверждающих свой уровень регулярной аттестацией. Ориентиров оптимальной численности финансовых служб не существует; число сотрудников сильно разнится в предприятиях разных отраслей и видов деятельности, с разными объемами продаж и различной ассортиментной диверсификации. Подбор кадров является в значительной части интуитивной и творческой деятельностью. Организационная структура любого коммерческого предприятия не может оставаться абсолютно неизменной во времени в силу непрерывного изменения условий внутренней и внешней среды. Создание новой структуры управления финансами, в частности, необходимо в случаях, когда старая структура не вписывается в общую оргструктуру предприятия, иерархия в ней недостаточна либо, напротив, чрезмерно многоуровневая, что приводит к сильной загруженности одних звеньев или распылению функций других. Главным же является невозможность исполнения, учета и контроля управленческих решений на высоком уровне в требуемые сроки и качественно. Тогда и встает вопрос о модификации сложившейся структуры управления либо о создании принципиально новой структуры управления. Примером модернизации структуры может служить дополнение ее звеньями, отражающими новые тенденции в развитии фирмы: выход на внешние рынки заставляет создать в составе департамента экономики и финансов отдел анализа эффективности экспортно-импортных операций, переход к бюджетированию вызывает необходимость создания планово-бюджетного управления вместо планового и одновременно комитета по бюджету, рост и диверсификация источников финансирования, улучшение конъюнктуры фондового рынка может сделать актуальной организацию департамента управления финансовыми инвестициями (портфельную службу) и пр. Изменение общей оргструктуры, к примеру переход от линейно-функциональной к дивизиональной структуре, изменит и оргструктуру финансовой службы, когда финансовое управление, анализ, учет, планирование как изначально штабные функции будут приданы производственным звеньям. 3 Пути совершенствования управления финансовым состоянием предприятия на примере ООО «Персона»3.1 Оценка и анализ финансового состояния ООО «Персона»В сегодняшних условиях наиболее актуальной проблемой при осуществлении хозяйственной деятельности является правильное принятие управленческих решений, которые формируются в результате проведения финансового анализа. Методика финансового анализа состоит из трех взаимосвязанных блоков: 1) анализа финансовых результатов деятельности предприятия; 2) анализа финансового состояния; 3) анализа эффективности финансово-хозяйственной деятельности. Основным источником информации для анализа финансового состояния служит финансовая (бухгалтерская) отчетность: бухгалтерский баланс предприятия (форма № 1 годовой отчетности). Источником данных для анализа финансовых результатов является отчет о прибылях и убытках (форма № 2). На основе этих данных рассматривается динамика показателей в абсолютном и относительном выражении. Объектом исследования является предприятие ООО «Персона» Общество с ограниченной ответственностью «Персона» создано в соответствии с Гражданским кодексом Российской Федерации и ФЗ «Об обществах с ограниченной ответственностью». На предприятии в 2006 году работало 15 человек. Общество создано в целях получения прибыли путем насыщения рынка и удовлетворения потребностей юридических лиц и граждан в товарах и услугах на территории Российской Федерации и за рубежом. Основными видами деятельности Общества являются: предоставление услуг по размещению и обслуживанию клиентов; организация общественного питания, эксплуатация бара, кафе, ресторана; производство и реализация художественной, сувенирной и рекламной продукции, товаров народного потребления, изделий народного промысла; организация и проведение экскурсий по г. Санкт-Петербургу и его пригородам; проведение выставок и выставок-продаж; организация и обслуживание конференций, симпозиумов и семинаров; посредническая деятельность; сдача внаем собственного недвижимого имущества; физкультурно-оздоровительная деятельность; внешнеэкономическая деятельность. Финансово-экономическая характеристика предприятия осуществляется на основании бухгалтерской (финансовой) отчетности ООО «Персона» за 3 отчетных года: «Бухгалтерский баланс» (Форма № 1) и «Отчет о прибылях и убытках» (Форма № 2). Анализ финансово-экономического состояния предприятия начинается с изучения бухгалтерского баланса, его структуры и состава (таблица 3,4) Анализ данных таблицы 1 показал следующее, на протяжении рассмотренного периода активы предприятия возросли на 317%. Рост обусловлен увеличением как внеоборотных активов (на 148%), так и увеличением оборотных активов – на 330%, т.е. также можно сделать вывод, что оборотные активы увеличивались более интенсивно, чем внеоборотные активы. Наибольший удельный вес в структуре активов занимают оборотные активы, их структура за период возросла на 2,79%. Наибольший удельный вес в структуре оборотных активов имеют запасы. Это является не очень хорошо для предприятия, оно должно избавляться от излишков и к 2006 году удельный вес запасов снижается до 62,41 %. Таблица 3 - Аналитический баланс предприятия (активы)
Таблица 4 - Аналитический баланс предприятия (пассивы)
Положительным является увеличение денежных средств предприятия, за период они увеличились с 23,98 тыс. руб. до 387 тыс. руб. Положительным в структуре активов предприятия является отсутствие долгосрочной дебиторской задолженности, удельный вес краткосрочной дебиторской задолженности за период вырос на 7,84%. Проведем анализ изменения структуры пассивов предприятия (таблица 2) Пассивы предприятия возросли на 317%. Рост пассивов произошел за счет увеличение как собственного капитала на 519 %, так и заемного капитала – на 240 %, т.е. собственный капитал предприятия растет более интенсивно, чем заемный. В структуре пассивов наибольший удельный вес занимает заемный капитал на протяжении всего рассматриваемого периода, его удельный вес за период снизился на 13,5%. Это является положительной тенденцией, т.к. если в 2002 году можно говорить о низкой автономии предприятия, то к 2006 году предприятие стало более независимым от внешних финансовых источников. Положительным также является отсутствие долгосрочных обязательств. Однако тенденция к резкому увеличению собственного капитала является неблагоприятной, свидетельствует о экстенсивной работе предприятия, замедлении процесса развития, предприятию необходимо приостановить в дальнейшем наращивания объемов собственного капитала. Проведем анализ прибылей и убытков организации (таблица 5) Таким образом, в работе предприятия выявлены следующие положительные особенности: 1. Выручка возросла к 2006 году более чем в 3 раза, это может свидетельствовать о росте спроса на услуги предприятия. 2. Интенсивность роста себестоимости ниже интенсивности роста выручки, что может говорить о грамотной политике в области управления затратами 3. Чистая прибыль предприятия к 2006 году возросла практически более чем в 4 раза. Таблица 5 - Отчет о прибылях и убытках (извлечения) ООО «Персона»
Рассмотрим схему формирования активов предприятия ООО «Персона»
Рисунок 4 - Схема формирования активов предприятия ООО «Персона» Таким образом, внеоборотные активы предприятия формируются за счет перманентного капитала, который сформирован у предприятия ООО «Персона», только за счет собственных средств. Также за счет перманентного капитала у предприятия формируются денежные средства. Краткосрочные займы предприятия и часть кредиторской задолженности идет на формирование запасов. Таблица 6 - Индексный анализ абсолютных балансовых стоимостных показателей ООО «Персона»
Рисунок 5 - Индекс роста активов
Таким образом, общая стоимость имущества увеличилась в 4,18 раза, что свидетельствует о росте хозяйственной деятельности предприятия. Произошло увеличение основного и оборотного имущества предприятия. При этом оборотное имущество увеличивается более интенсивно (в 4,3 раза) по сравнению с основным имуществом (в 2,5 раза). Собственный капитал за период с 2002 по 2006 год увеличивался в два раза интенсивнее, чем заемный капитал, собственный капитал – в 6,19 раз, заемный капитал – в 3,4 раза Произошел рост запасов и денежных средств, при этом из всех статей баланса денежные средства предприятия увеличивались наиболее интенсивно – они возросли в 16,14 раз. Проведем оценку ликвидности баланса Задача анализа ликвидности баланса возникает в связи с необходимостью давать оценку кредитоспособности предприятия, то есть его способности своевременно и полностью рассчитываться по всем своим обязательствам. Ликвидность баланса определяется как степень покрытия обязательств организации её активами, срок превращения которых в деньги соответствует сроку погашения обязательств. Для проведения анализа актив и пассив баланса группируются по следующим признакам: по степени убывания ликвидности (актив) и по степени срочности оплаты (погашения) (пассив). В зависимости от степени ликвидности, т.е. скорости превращения в денежные средства, активы предприятия можно разделить на 4 группы: наиболее ликвидные активы (А250+А260), быстро реализуемые активы (А240), медленно реализуемые активы (А210+А220+А230+А270), трудно реализуемые активы (А190). Сгруппируем активы и пассивы предприятия по степени ликвидности в таблице 7,8 Таблица 7 - Группировка активов по степени ликвидности ООО «Персона»
Таблица 8 - Группировка пассивов (критерий – срочность выполнения обязательств) ООО «Персона»
Наиболее ликвидные и быстрореализуемые активы имеют небольшой удельный вес в структуре баланса предприятия, это неблагоприятная тенденция, свидетельствующая о необходимо выяснения, хватает ли их на покрытие срочных обязательств. Удельный вес наиболее ликвидных активов за период несколько изменилась. В 2002 году удельный вес их составлял 2,61%, 2004 году удельный вес наиболее ликвидных активов составлял 2,432 %, к 2005 году произошло снижение удельного веса до 1,357, т.е. на 1,075 %, однако к 2006 году удельный вес наиболее ликвидных активов резко возрос и составил 10,068 %. Удельный вес быстрореализуемых активов изменялся более динамично. В период с 2002 по 2006 годы удельный вес возрос на 8,47%, с 8,6% в 2002 году до 17,04 % в 2006 году. Удельный вес медленно реализуемых активов за рассматриваемый период снизился: в период с 2002 по 2006 годы произошло снижение на 13,15 %. Удельный вес труднореализуемых активов также снизился: к 2006 году на 2,79 % Удельный вес наиболее срочных пассивов с 2002 по 2004 год возрастает, однако к 2006 году произошло их снижение на 19,13 %. Удельный вес краткосрочных пассивов в 2002 году составлял 20,38 %, к 2005 году сократился до 0, а к 2006 произошел рост до 26,015 %. Долгосрочные пассивы на протяжении рассматриваемого периода составляли 0 % в структуре пассивов предприятия ООО «Персона» Удельный вес постоянных пассивов к 2005 году увеличился на 13,59%, к 2006 году произошло некоторое снижение – на 0,101% Показатель К1 за рассмотренный период возрос в 6,14 раза, это связано с резким ростом денежных средств у предприятия. Показатель К2 в 2005 году был равен 0, по отношении к 2002 году он возрос к 2006 году в 1,56 раза Показатель К3 на протяжении рассмотренного периода был равен 0, т.к. у предприятия отсутствуют долгосрочные займы. Таблица 9 - Локальная и комплексная оценка ликвидности активов ООО «Персона»
Совокупный показатель ликвидности на предприятии возрос к 2005 году в 1,28 раза, а к 2006 году в 1,34 раза. Общей показатель ликвидности предприятия к 2005 году возрос на 28%, а к 2006 году возрос в 1,34 раза Условия ликвидности баланса можно изобразить следующим образом:
У предприятия имеются следующие соотношения
Первое условия: А1 ≥ П1 выполняется только в 2006 году, это связано с тем, что у предприятия появились денежные средства и их стало хватать на покрытие наиболее срочных обязательств. В 2002-2005 годах это условие не выполнялось, т.к. у предприятия не хватало денежных средств. Второе условие: А2 ≥ П2 выполняется только в 2005 году, т.к. у предприятия отсутствовали краткосрочные обязательства. В 2002,2003,2004,2006 годах условия не выполнялось из-за нехватки средств на покрытие краткосрочных обязательств. Третье условие: А3 ≥ П3 выполняется на протяжении всего периода, т.к. у предприятия отсутствуют долгосрочные обязательства. Четвертое условие: выполняется на протяжении всего рассмотренного периода, т.е. у предприятия хватает трудно реализуемых активов на покрытие постоянных пассивов. Таким образом, у предприятия наблюдается острая нехватка ликвидных средств. Для решения этой проблемы предприятию необходимо проводить работу с дебиторами по погашению задолженности, переводить запасы в денежные средства и эквиваленты Проведем оценку финансовой устойчивости предприятия (таблица 10) Коэффициент инвестирования – это способность собственного капитала формировать, финансировать внеоборотные активы. На предприятии Кинв возрос, на протяжении рассмотренного периода он выше 1,0. Следовательно, предприятию хватает собственного капитала для финансирования внеоборотных активов. При этом значение показателя за 2006г. составляют 10,095, что выше, чем в 2004 году на 1,9 %. Индекс постоянного актива – это величина обратная коэффициенту инвестирования, т.е. имеет противоположную тенденцию. Если К>1, это свидетельствует о том, что даже внеоборотные активы финансируются за счет краткосрочных заемных средств, а оборотные активы – только за счет заемных средств, что очень рискованно, т.е. К>1, то у предприятия нет СОС. Чем ниже этот показатель, тем лучше для предприятия. На предприятии ООО «Персона» этот показатель снижается к 2006г. на 60%. Коэффициент иммобилизации активов показывает соотношение внеоборотных и оборотных активов. Показывает, что на каждый рубль оборотных активов предприятие имеет 1 рубль денежных средств, вложенных в основные средства. В динамике показатель снижается: 2002 г – 0,074, 2003 – 0,062, 2004г. – 0,059, в 2005г. – 0,05, в 2006г.- 0,042. Коэффициент соотношения текущих активов и недвижимого имущества показывает, сколько приходится оборотных средств на 1 рубль недвижимого имущества: 2002 – 13,5, 2003 – 16,24, в 2004г. – 16,945, в 2005г. – 19,764, в 2006г. –0,23,329. Таблица 10 - Оценка состояния основного имущества предприятия ООО «Персона»
Изобразим графически полученные результаты.
Проведем оценку оборотного имущества ООО «Персона» по данным таблице 11 Оценивая состояние оборотного имущества предприятия было выявлено, следующее. Уровень чистого оборотного капитала, который показывает какая часть имущества или активов финансируется за счет собственных оборотных средств, имеет тенденцию к росту. У предприятия в 2004 году уровень чистого оборотного капитала составил 0,241, в 2005 – 0,362, в 2006 – 0,374, т.е. рост за период составил 55% Таблица11 - Оценка состояния оборотного имущества предприятия ООО «Персона»
Изобразим графически данные таблице11
Рисунок 8 - Динамика коэффициентов, характеризующих состояние оборотного имущества предприятия ООО «Персона» Коэффициент маневренности показывает, какую часть собственных оборотных средств сформировано за счет собственного капитала предприятия. На предприятии данные коэффициенты составляют, в 2002 г. – 0,75, в 2003 – 0,77 в 2004г.- 0,814, в 2005г. - 0,884, в 2006г. – 0,901. Наблюдается тенденция к росту, т.е. увеличивается доля собственного капитала, который используется для финансирования текущей деятельности. Коэффициент устойчивости структуры оборотных активов показывает, какую долю составляют собственные оборотные средства в текущих активах предприятия. Данный показатель растет (2002 – 0,301, 2003 – 0,266, 2004г.-0,317, 2005г. – 0,437, 2006г.- 0,433) , это свидетельствует о наличии у предприятия собственных средств, необходимых для его финансовой устойчивости. В нормативно-правовых документах, связанных с банкротством российских предприятий коэффициент составляет 0,10. Коэффициент обеспеченности запасов собственными средствами характеризует наличие собственных оборотных средств, необходимых для финансовой устойчивости предприятия. Данный показатель растет и имеет положительное значение. Это говорит о том, что у предприятия есть возможность в проведении независимой от кредиторов финансовой политики. Проведем оценку рыночной устойчивости ООО «Персона» (таблица 12) Изобразим графически данные таблицы 12
Рисунок 9 - Динамика коэффициентов рыночной устойчивости ООО «Персона» Коэффициент финансовой зависимости (финансовый рычаг предприятия) показывает, сколько на 1 рубль собственного капитала привлекается всего инвестированного капитала. Коэффициент не соответствует нормативу (К≤2,0), хотя имеет тенденцию к снижению. К 2003 году коэффициент вырос на 11%, 2005г. он снизился на 40% по сравнению с 2004 годом, а в 2006г – на 1% по сравнению с 2005г. Таблица 12- Оценка рыночной устойчивости предприятия (состояние пассивов) ООО «Персона»
Коэффициент долговой нагрузки (плечо финансового рычага) показывает, сколько заемных средств предприятие привлекало на 1 рубль собственного капитала. Коэффициент соответствует нормативу (К≤1,0), он составил в 2002 – 0,73, 2003 – 0,72, 2004г –0,85, в 2005г – 0, в 2006г. – 0,627. Коэффициент «длинных» и «коротких» заимствований показывает, сколько на рубль краткосрочных приходится долгосрочных обязательств. Так как предприятие не пользуется долгосрочными займами, этот коэффициент равен нулю. Основным показателем, характеризующим финансовое состояние, является платежеспособность предприятия, под которой подразумевают его способность вовремя удовлетворять платежные требования поставщиков, возвращать кредиты, производить оплату труда, вносить платежи в бюджет. Таким образом, к 2006 году зависимость от заемных средств предприятия снижается, оно становится более финансово независимым, это является положительной тенденцией. Отсутствие долгосрочных обязательств свидетельствует об отсутствии инвестирования развитие производства. Это является неблагоприятным для предприятия. Оценку источников формирования запасов и затрат предприятия проведем по данным таблицы 13. Таблица 13 - Источники формирования запасов и затрат ООО «Персона»
Таблица 14 - Абсолютные показатели финансовой устойчивости
Таблица 15 - Сводная таблица для определения характера (типа) финансовой ситуации, сложившейся на предприятии
Анализируя полученные результаты, можно определить тип финансовой устойчивости предприятия. Выделяют 4 типа финансовой устойчивости: 1. Абсолютная устойчивость: ± СИ ≥ 0, ± СОС ≥ 0, ± НИС ≥ 0 2. Нормальная устойчивость: ± СИ < 0, ± СОС ≥ 0, ± НИС ≥ 0 3. Неустойчивое финансовое состояние: ± СИ < 0, ± СОС < 0, ± НИС ≥ 0 4. Кризисное (критическое) финансовое состояние: ± СИ < 0, ± СОС < 0, ± НИС < 0 Анализируя и оценивая финансовую устойчивость предприятия, можно сказать, что оно находится в кризисном состоянии, при котором предприятие полностью зависит от заемных источников финансирования. Собственных оборотных средств не хватает для покрытия запасов. Внеоборотные активы формируются за счет собственного капитала и краткосрочных займов и кредитов. Существует дефицит финансовых источников. Относительные показатели финансовой устойчивости анализируются с помощью системы финансовых коэффициентов. С их помощью оцениваются состояние основного и оборотного имущества предприятия, структура активов предприятия, а также рыночная устойчивость предприятия (состояние пассивов). Информационной базой для расчета таких коэффициентов являются абсолютные показатели актива и пассива бухгалтерского баланса, а также абсолютные показатели финансовой устойчивости. Таким образом, на протяжении рассмотренного периода финансовое состояние предприятие кризисное в следствии большой величины запасов, которые не могут быть покрыты собственными источниками и собственными оборотными средствами. Как отмечалось выше, предприятию необходимо избавляться от излишних запасов. Проведем оценку платежеспособности предприятия по данным таблицы 16 Изобразим графически динамику коэффициентов платежеспособности ООО «Персона» на рис. 8 В результате оценки платежеспособности предприятия ООО «Персона» было выявлено следующее: Коэффициент абсолютной ликвидности показывает, какая часть краткосрочного долга может быть покрыта за счет имеющихся денежных средств. В 2006г. коэффициент составил 0,295 при нормативном значении 0,25, что выше меньше норматива. Предприятие может оплатить своих краткосрочных обязательств. Низкое значение коэффициента, в предыдущие периода говорит о том, что у предприятия существуют проблемы при погашении своих краткосрочных обязательств. Положительной является тенденция к росту данного коэффициента, за счет роста денежных средств. Таблица 16 - Оценка платежеспособности предприятия
Рисунок 10 - Динамика коэффициентов платежеспособности ООО «Персона» Коэффициент быстрой ликвидности показывает, какая часть долга может быть выполнена предприятием, используя в качестве источника денежные средства и дебиторскую задолженность. В 2006г. коэффициент составил 0,295, что в 3,4 раз меньше норматива. (1,0). Низкое значение коэффициента может говорить о трудностях с платежами, а может свидетельствовать о том, что на предприятии не умеют управлять дебиторской задолженностью (например, проводят политику предоставления скидок за быструю оплату). Коэффициент текущей ликвидности показывает способность предприятия за счет текущих активов выполнять краткосрочные обязательства. В 2006г. показатель составил 0,295, что в 6,7 раза ниже норматива (2,0). Коэффициент «критической оценки» («Лакмусовая бумажка») показывает, на сколько процентов предприятие сможет погасить свои краткосрочные обязательства без реализации запасов, т.е. при продолжении бесперебойной деятельности. В 2002 г. показатель составил 1,5, что соответствует норме (1,0), а в 2006г. «лакмусовая бумажка» составила 0,295, что не соответствует норме, тенденция отрицательная. Таким образом, как отмечалось выше, предприятию не хватает высоко ликвидных средств, вследствие чего предприятию необходимо проводить работу с дебиторами для погашения задолженности и переводить запасы в денежные средства и эквиваленты.
Из таблицы 17 видно, что предприятию не хватает ДС, они значительно снизились по сравнению с 2002 г. Данная тенденция вызвана более интенсивным ростом ТФП, по сравнению с СОС. Для прогнозирования вероятности банкротства предприятий в рыночных странах широко используются модели западного экономиста Э.Альтмана, описанных как в переводных изданиях, так и в публикациях отечественных авторов. Формула Альтмана построена по данным успешно действовавших, но обанкротившихся промышленных предприятий США: Z = 1,2 К1 +1,4 К2 + 3,3 К3 + 0,6 К4 + К5, где К1 – доля чистого оборотного капитала в активах; К2 – отношение накопленной прибыли к активам; К3 – экономическая рентабельность активов; К4 – отношение стоимости эмитированных акций к заемным средствам К5 – оборачиваемость активов (деловая активность). Для оценки вероятности наступления банкротства в течение двух лет используется алгоритм:
Таблица 18 - Прогнозирование вероятности банкротства Формула Альтмана предприятия ООО «Персона» (2005)
Для 2006 года применяем формулу Таффлера Формула Таффлера для западных компаний: Z = 0,53 К1 + 0,13 К2 + 0,18 К3 + 0,16 К4 где К1 – операционная прибыль / краткосрочные обязательства; К2 – оборотные активы / сумма обязательств; К3 – краткосрочные обязательства / сумма активов; К4 – выручка от реализации / сумма активов. При принятии решений в качестве критерия выступает: Z > 0,3 – диагностируют хорошие долгосрочные финансовые перспективы; Z < 0,2 – диагностируется высокая вероятность банкротства; 0,2 < Z < 0,3 – «серая зона», требующая дополнительных исследований Таблица 19 - Прогнозирование вероятности банкротства ООО «Персона» по формуле Таффлера (2006)
Таким образом, у предприятия низкая вероятность банкротства, при этом диагностируется хорошие долгосрочные финансовые перспективы. Таблица 20 - Информация для определения циклов движения денежных средств ООО «Персона»
Таким образом, неблагоприятным является увеличение как увеличение операционного так и финансового цикла. Финансовый цикл увеличился к 2006 году на 35 дней. Увеличение финансового цикла свидетельствует об увеличении времени, в течение которого ресурсы отвлечены из оборота. Операционный цикл увеличился на 3 дня. Таким образом, увеличение финансового цикла произошло за счет сокращения срока оборота кредиторской задолженности – на 32 дня. Предприятию необходимо сократить финансовый цикл, т.е. сократить операционный цикл и замедлить срок оборота кредиторской задолженности. Проведем оценку рентабельности предприятия по данным таблицы 21 Изобразим графически динамику показателей 12
Рисунок 12 - Динамика показателей рентабельности хозяйственной деятельности ООО «Персона» Общая рентабельность отчетного периода показывает, что прибыль до налогообложения составляет, 6,73% в в составе выручки 2002 году, 10,11% - в 2003 г., 7,22% - в 2004 году, 7,94% в 2005г. и 8,866% в 2006г. Рентабельность издержек – способность предприятия осуществляя текущие затраты, связанные с изготовлением и реализацией продукции, генерировать валовую прибыль от продажи товаров. В 2005г. рентабельность издержек составила 16,612%, т.е. единица текущих затрат приносила предприятию 16,612 коп. валовой прибыли. В 2006г. показатель составил 20,392%, т.е. один рубль текущих затрат способен генерировать 20,392 коп. валовой прибыли. При этом рентабельность издержек возросла к 2006 году по сравнению с 2002 годом на 10,92%, это положительная тенденция связана с тем, что издержки предприятия возрастают менее интенсивно, чем выручка. Рентабельность оборота (продаж) характеризует способность предприятия генерировать в процессе изготовления и реализации товаров, обеспечивающих поступление выручки от продаж на расчетный счет предприятия. Данный коэффициент показывает, что в 2005г на единицу реализованной продукции приходилось 8,102 коп. прибыли, а в 2006г. этот показатель возрос до 9,753 коп. Рост показателя можно объяснить ростом спроса на продукцию. Норма прибыли (коммерческая маржа) – способность предприятия генерировать чистую прибыль в процессе изготовления и реализации товаров, обеспечивающих инкассацию выручки от продаж и поступление денег на расчетный счет предприятия. В 2005г. единица выручки от продаж приносила предприятию 5,512% чистой прибыли. В 2006г. один рубль выручки от продаж генерирует предприятию 6,735 коп. чистой прибыли. Данный показатель имеет тенденцию к увеличению. Это объясняется тем, что темп роста чистой прибыли выше темпа роста выручки. Таким образом, наблюдается рост показателей рентабельности хозяйственной деятельности, что свидетельствует о росте эффективности деятельности предприятия. Это является положительной тенденцией в работе предприятия. Таблица 21 -Оценка рентабельности хозяйственной деятельности
Проведем оценка коммерческой эффективности предприятия ООО «Персона» за два последние года. Таблица 22 -Оценка коммерческой эффективности предприятия ООО «Персона»
Коэффициент самоокупаемости – соотношение выручки от продаж товаров к себестоимости проданных товаров, т.е. оценка способности предприятия за счет доходов от реализации покрывать свои текущие затраты. В 2005г. выручка от продаж в 1,16 раз перекрывала себестоимость проданных товаров, что указывает на достижение предприятием режима самоокупаемости. В 2006г. коэффициент покрытия текущих затрат составил 1,203, что подтверждает сохранение и даже повышение качества самоокупаемости на 3%. Коэффициент коммерческой платежеспособности характеризует соотношение чистой прибыли с финансовыми издержками по обслуживанию долга. Коэффициент показывает способность предприятия из чистой прибыли покрывать свои финансовые издержки по обслуживанию долга. Показатель имеет тенденция к снижению: 2005г. – 3,150, 2006г. – 3,161, т.е. полученная прибыль предприятием занижает издержки по обслуживанию долга. Рентабельность совокупных вложений показывает способность совокупных вложений предприятия генерировать экономически добавленную стоимость. Экономически добавленная стоимость – это чистая прибыль и процентные выплаты. В 2006г. на рубль совокупных вложений предприятие генерирует 16,7 коп. экономически добавленной стоимости. Таблица 23 - Определение класса кредитоспособности предприятия-заемщика
Исходя из установленного критерия, вытекающего из методики рейтинговой оценки кредитоспособности предприятия-заемщика, следует: 1-й класс – предприятия, в выполнении обязательств которыми можно быть уверенным. 2-й класс – предприятия, не относящиеся к рискованным, но имеющие некоторые проблемы с кредитоспособностью. 3-й класс – предприятия, выполнение обязательств которыми сомнительно. 4-й класс – предприятия высокого риска. 5-й класс – неплатежеспособные организации. Таблица 24 -Критерии определения класса кредитоспособности предприятия
Обобщающий показатель кредитоспособности предприятия составил 8,8, что соответствует 5 классу кредитоспособности, т.е. говорит о неплатежеспособности организации. А это в свою очередь связано с нехваткой ликвидных средств для покрытия срочных обязательств. Таблица 25 - Комплексная оценка финансово-экономической эффективности предприятия ООО «Персона»
Для оценки эффективной деятельности анализируемого предприятия используются следующие критерии: “Золотое правило бизнеса”; Формула Дюпона (для экономической рентабельности, для финансовой рентабельности); динамика эффективности предприятия. “Золотое правило бизнеса” - отражает приоритеты: финансовых показателей по отношению к капиталу; конечного финансового результата (прибыль, убыток), в сравнении с промежуточным финансовым результатом (выручка); абсолютного приоритета чистой прибыли. На 2005 г. прогнозируются следующие значения данных показателей: JQПчст = 0,175; JQП =0,080; JQЦ = 1,313; JК =2,966. Темпы роста показателей выручки от продаж и инвестированного капитала выше 1, а остальных показателей ниже. При нормативном соотношении “Золотое правило бизнеса” выглядит следующим образом: JQПчст > JQП > JQЦ > JК > 1,0 (31) Однако, в реальности, на данном предприятии, ситуация иная: JQПчст > JQП < JQЦ < JК > 1,0 (32) Прокомментируем данное соотношение: темпы роста чистой прибыли выше темпов роста валовой прибыли - у данного предприятия имеются дополнительные источники финансирования; темпы роста валовой прибыли ниже темпов роста выручки от продаж - то есть происходит увеличение себестоимости продукции; рост инвестированного капитала превышает темпы роста выручки от продаж - значит, предприятие недостаточно эффективно использует потенциал, состоящий из инвестированного и функционирующего капитала. “Золотое правило бизнеса” на данном предприятии нарушено, ввиду снижения финансово-экономической эффективности работы предприятия. Формула Дюпона - показывает взаимосвязь (максимизации показателей экономической, либо - финансовой рентабельности) с факторами, влияющими на уровень экономической и финансовой рентабельности. Формула Дюпона для экономической рентабельности - показывает зависимость экономической рентабельности от рентабельности продаж и деловой активности предприятия. На повышение показателя экономической рентабельности отрицательное влияние оказывает низкая рентабельность продаж (0,097). Формула Дюпона для финансовой рентабельности – показывает зависимость финансовой рентабельности предприятия от нормы прибыли, коэффициента деловой активности и величины “финансового рычага”: На предприятии на увеличение финансовой рентабельности в наибольшей степени влияет фактор увеличения коэффициента деловой активности и финансового рычага. На данном предприятии деловая активность понижает уровень финансовой рентабельности, т.к. коэффициент деловой активности снижается с 3,63 до 1,607 оборотов в год. Увеличения показателя финансовой рентабельности можно добиться, увеличивая либо один из указанных выше показателей, либо совместно - несколько из них. Следует помнить, что чрезмерно большая величина “финансового рычага” ведёт к потере предприятием финансовой независимости. Динамика эффективности предприятия - финансовая рентабельность должна расти быстрее, чем экономическая рентабельность, рост которой должен быть выше рентабельности продаж, а её рост, в свою очередь, должен опережать увеличение показателя деловой активности. JRск > JRк > JRц > Кдак > 1,0 (33) На данном предприятии наблюдается неудовлетворительная динамика. JRск > JRк < JRц < Кдак < 1,0 (32) Эффект «финансового рычага» состоит в том, что отдача собственного капитала возрастает благодаря использованию кредита, не смотря на платность последнего. ЭФР зависит от: разницы между величиной экономической рентабельности и средней расчетной ставкой процента (дифференциала); соотношения заемных и собственных средств предприятия. В 2006 г. эффект «финансового рычага» составил 11,4, т.к. экономическая рентабельность выше процентной ставки за кредит. Всё это говорит о неэффективной деятельности предприятия в целом. Таким образом, проведенный анализ показал следующее Наибольший удельный вес в структуре активов занимают оборотные активы, их структура за период возросла на 1,462%. Наибольший удельный вес в структуре оборотных активов имеют запасы. Это является не очень хорошо для предприятия, оно должно избавляться от излишков и к 2006 году удельный вес запасов снижается на 11,755 %. В структуре пассивов наибольший удельный вес занимает заемный капитал, его удельный вес за период снизился на 11,554%. Это является положительной тенденцией, т.к. если в 2004 году можно говорить о низкой автономии предприятия, то к 2006 году предприятие стало более независимым от внешних источников. Отсутствие долгосрочных займов может свидетельствовать об отсутствие инвестиций в производство Выручка возросла к 2006 году более чем в 2 раза, это может свидетельствовать о росте спроса на продукцию предприятия. Интенсивность роста себестоимости ниже интенсивности роста выручки, что может говорить о грамотной политике в области управления затратами Чистая прибыль предприятия к 2006 году возросла практически в 2,5 раза. У предприятия наблюдается острая нехватка ликвидных средств. Для решения этой проблемы предприятию необходимо проводить работу с дебиторами по погашению задолженности, переводить запасы в денежные средства и эквиваленты На протяжении рассмотренного периода финансовое состояние предприятие кризисное в следствии большой величины запасов, которые не могут быть покрыты собственными источниками и собственными оборотными средствами. Как отмечалось выше, предприятию необходимо избавляться от излишних запасов. У предприятия низкая вероятность банкротства, при этом диагностируется хорошие долгосрочные финансовые перспективы Неблагоприятным является увеличение как увеличение операционного так и финансового цикла. Увеличение финансового цикла об увеличении времени, в течении которого ресурсы отвлечены из оборота. Предприятию необходимо сократить финансовый цикл, т.е. сократить операционный цикл и замедлить срок оборота кредиторской задолженности. 3.2 Оценка эффективности управления финансовым состоянием ООО «Персона»По результатам анализа состава и динамики изменения финансовых потоков предприятия за 2002-2006 гг. выявлены следующие доминирующие тенденции: Происходит рост объемов деятельности предприятия, что выражается в росте выручки от реализации и себестоимости реализованной продукции. При этом себестоимость растете большими темпами, чем выручка, что отрицательно влияет на чистый денежный поток от основной деятельности. Тем не менее, на предприятии обеспечен прирост чистой прибыли, что предоставляет возможность для наращивания собственного капитала предприятия, и, следовательно увеличивает чистый денежный поток от финансовой деятельности. Преимущество в темпах роста принадлежит заемному капиталу. Инвестирование средств осуществляется преимущественно в оборотные активы. В том числе: Запасы растут: 2004 год – 1464 тыс. руб. 2005 год – 1685 тыс. руб. 2006 год – 2399 тыс. руб. Таким образом, темп роста запасов составил 63 % При этом длительность производственного цикла снижается c 66 до 47 дней. (Индекс роста составляет 0, 71). Дебиторская задолженность растет в 2,641 раза, а период ее оборота уменьшается с 16 до 14,6 раз. Денежные средства возрастают в 8,0625 раз. Не смотря на темп роста собственного капитала, опережающий темп роста кредиторской задолженности, его объема в абсолютном измерении не хватает для полного финансирования прироста запасов и дебиторской задолженности. В результате предприятие вынуждено наращивать кредиторскую задолженность. Графическая интерпретация полученных результатов представлена на рис. 13. Расчет балансовых данных проведен по среднеквартальным величинам. Из полученных результатов следуют несколько ярких негативных тенденций: JQЦ < JQ С – не эффективная производственно-хозяйственная деятельность и процесс ценообразования, что приводит к формированию отрицательного чистого денежного потока по основной деятельности. JQП чист < 1,000 – недостаточные реинвестиции в пополнение собстсенного капитала. JКредитов > JСобственного капитала – снижение финансовой устойчивости; JДеб. задолж. > JQ Ц – снижение коэффициента оборачиваемости дебиторской задолженности, приводит к росту периода оборота дебиторской задолженности. JКред.задолж. > JQ Ц – снижение коэффициента оборачиваемости кредиторской задолженности, приводит к росту периода оборота кредиторской задолженности.
Рисунок 13 - Результаты анализа финансовых потоков за 2004-2005 гг. Коэффициент текущей ликвидности составляет в среднем 1,794, что говорит о чрезмерном для погашения краткосрочных обязательств объеме запасов и дебиторской задолженности. В целях исключения проблемных фрагментов рекомендуется: Разработать комплексную политику управления дебиторской, кредиторской задолженностями и производственными запасами предприятия, как основными элементами, влияющими на показатель чистого денежного потока от основной деятельности . Реализация данных направлений совершенствования управления финансовыми потоками позволит добиться снижения себестоимости (или замедлить темп ее роста). 3.3 Направления совершенствования управления финансовым состоянием ООО «Персона»С учетом среднегодовых размеров запасов, дебиторской и кредиторской задолженностей, а также выручки и себестоимости произведем расчет длительности циклов производственно-хозяйственного процесса за 2006 год. Производственные запасы – (А210+220 ) = 2399 тыс. руб. Совокупная дебиторская задолженность – (А230+240 ) = 655 тыс. руб. Себестоимость реализованной продукции – (QC) = 95761 тыс. руб. Выручка от реализации продукции – (QЦ) = 9576 тыс. руб. Кредиторская задолженность – (П620 ) = 1249 тыс. руб. Производственный цикл = 47 дней (35 % от длительности операционного цикла). “Дни дебиторов” = 25 дня (18,6 % от длительности операционного цикла). Операционный цикл = “Дни дебиторов” + Производственный цикл Операционный цикл = 134 дня (100%). “Дни кредиторов” = 47 дня. Финансовый цикл = Операционный цикл – Производственный цикл = 87 дня. Исходя из отчетности в 2004-2006 годах предприятие берёт новые кредиты в размере 1000 тыс. руб. под 20 % годовых. Следовательно, сумма процентных платежей составит в год 200 тыс. руб., что рассматривается как дополнительные расходы. Избежать данных расходов предприятие может минимизируя (выводя на отрицательное значение) длительность финансового цикла предприятия. Наиболее эффективным способом достичь этого является сокращение запасов и дебиторских задолженностей (при оптимизированной их величине длительность финансового цикла составит 0). Т. е. финансирование текущей деятельности будет осуществляться за счёт кредиторской задолженности. С этой целью необходимо снизить операционный цикл до 87 дней или на 35 %. В том числе за счет: 1) сокращения “Дней дебиторов” на 35% или на 16,25 дня. Тогда их длительность составит 22,15 дней. 2) сокращения производственного цикла на 35% или 30,55 дня, тогда его длительность составит 11,78 дня. Не изменяя объёма и структуры выручки и себестоимости данные изменения потребуют: сокращения дебиторской задолженности с 655 тыс. руб. до ‘Х’, тогда составим уравнение с одной неизвестной 16,25 = (Х*360)/ 9576, значит ‘Х’= 432,25 тыс. руб. Следовательно, Δ(А230+А240) = -222,75 тыс. руб. 2) сокращения запасов с 2399 тыс. руб. до ‘Y’, тогда составим уравнение с одной неизвестной: 11,78 = (Х*360)/ 7954, значит ‘Y’= 260,27 тыс. руб. Следовательно, ΔА210 = -2138,73 тыс. руб. Оборот производственных запасов характеризует скорость движения материальных ценностей и их пополнения. Чем быстрее оборот капитала, помещенного в запасы, тем меньше требуется капитала для данного объема хозяйственных операций. Уровень запасов определяется объемом продаж, характером оказываемых услуг, природой запасов (возможностью их хранения), возможностью перебоев в снабжении и затратами по приобретению запасов (возможной экономией от закупок большего объема) и др. На ООО «Персона» формирование излишних запасов товарно-материальных ценностей может быть сопряжено с дополнительным оттоком денежных средств вследствие: – увеличения расходов, возникающих в связи с хранением и владением запасами (аренда складских помещений и их содержание, расходы по перемещению запасов, страхование имущества и др.); – увеличения расходов, связанных с риском потерь из-за устаревания и порчи, а также хищений и бесконтрольного использования товарно-материальных ценностей (общеизвестно: чем больше объем и срок хранения имущества, тем сложнее осуществлять контроль за его сохранностью); – увеличения сумм уплачиваемых налогов. В условиях инфляции фактическая себестоимость израсходованных производственных запасов (суммы их списания на себестоимость) существенно ниже их текущей рыночной стоимости. В результате величина прибыли оказывается "раздутой", но именно с нее будет рассчитан причитающийся к уплате налог. – отвлечения средств из оборота, их "омертвления". Чрезмерные запасы прекращают движение капитала, нарушают финансовую стабильность, заставляя руководство предприятия в срочном порядке изыскивать необходимые для операционной деятельности денежные средства (как правило, дорогостоящие). Поэтому не без основания чрезмерные запасы товарно-материальных ценностей называют "кладбищем бизнеса". В рамках управления товарно-материальными запасами ООО «Персона» рекомендуется: 1. Использовать для контроля над запасами метод «АВС-анализа» в следующем аспекте: разбить запасы ТМЦ на ассортиментные группы по показателю оборачиваемости. В первую группу войдут сезонные товары, а также продукция, потребность в которой возникает в течение всего года. Во вторую группу войдут запасы ТМЦ, пользующиеся меньшим спросом, но которые должны, тем не менее, присутствовать на складах предприятия. И в третью группу войдут товары, которые поставляются непосредственно под заказ конкретных потребителей. Далее необходимо разработать соответствующие планы поставок групп продукции: рассчитать допустимые пределы, в которых могут колебаться запасы продукции первой группы. Это позволит обеспечить возможность поставок наиболее необходимых товаров «точно в срок», по мере потребления предыдущей партии; на продукцию, пользующуюся меньшим спросом, может быть рассчитан размер минимального заказа, при котором достигаются: максимальное использование складских помещений, минимальные издержки хранения запасов, оптимальные условия повторных запасов; разработать систему оповещения клиентов, для которых производится поставка конкретной продукции с тем, чтобы сократить время нахождения товара на складе и, как следствие, снизить расходы на издержки хранения (заработную плату персонала складов, арендные и коммунальные платежи, платежи за охрану склада в расчете на единицу запаса). 2. Исключить опасность хищений и порчи материальных ценностей посредством введения прямого материального стимулирования работников и охраны складов. 3. Для исключения вероятности устаревания товаров, рекомендуется ввести систему контроля над сроками использования каждой номенклатурной единицы ассортимента товарных запасов, с тем, чтобы своевременно выявлять некондиционные единицы. Оптимальная система управления запасами позволит ООО «Персона» решить следующие основные задачи (табл. 26) Достижение поставленных целей на ООО «Персона» предполагает выполнение следующей учетно-аналитической работы. Оценка рациональности структуры запасов, позволяющая выявить ресурсы, объем которых явно избыточен, и ресурсы, приобретение которых необходимо ускорить, что позволит избежать излишних вложений капитала в материалы, потребность в которых сокращается или не может быть определена. Не менее важно при оценке рациональности структуры запасов установить объем и состав испорченных и неходовых материалов. Таким образом, обеспечивается поддержание производственных запасов в наиболее ликвидном состоянии и сокращение средств, иммобилизованных в запасы. Таблица 26 - Основные задачи управления запасами и критерии их удовлетворительного решения
Основные задачи управления запасами представлены в таблице 26 Определение сроков и объемов закупок материальных ценностей – это одна из самых важных и сложных для предприятия задач анализа состояния запасов. Управление дебиторской и кредиторской задолженностью Продажа в кредит, отсрочка платежей, деловая жизнь организаций при наличии постоянной дебиторской и кредиторской задолженности – обычное явление, атрибут нашего времени, следствие нормальных хозяйственных отношений в условиях рынка. В этом, в принципе, нет ничего плохого, если взаимные долги оправданы и сбалансированы, если ими разумно управляют. Особое значение имеет управление дебиторской задолженностью, поскольку она ведет к прямому отвлечению денежных и других платежных средств из оборота. Существует ряд приемов и способов предотвращения неоправданного роста дебиторской задолженности, обеспечения возврата долгов и снижения потерь при их невозврате. Для этого ООО «Персона» рекомендуется: 1. С целью обеспечения возврата существующих долгов и снижения потерь при их невозврате: необходимо иметь более реальную оценку средств, которые в перспективе сможет получить предприятие от дебиторов, нужно попытаться оценить вероятность безнадежных долгов в группах по срокам возникновения задолженности. Оценку можно сделать на основе экспертных данных, либо используя накопленную статистику. На сумму вероятных безнадёжных долгов необходимо сформировать резерв по сомнительным долгам; погашать задолженность путем зачета, новации, отступного, то есть предоставления встречного однородного требования, замены первоначального обязательства другим или предоставления иного исполнения долговых обязательств; реализовывать долги дебиторов банку, осуществляющему факторинговые операции, или другим организациям на основе договора цессии, если потери от невозвращенного долга существенно меньше, чем время и средства, которые необходимо потратить на его взыскание; обменивать дебиторскую задолженность на акции или доли участия в уставном капитале предприятия-должника с целью усиления своего влияния в его бизнесе. 2. С целью предотвращения неоправданного роста дебиторской задолженности: разработать политику оценки кредитоспособности покупателей и избегать дебиторов с высоким риском неоплаты, например покупателей, представляющих организации, отрасли или страны, испытывающие серьезные финансовые трудности; периодически пересматривать предельную сумму услуг в долг исходя из финансового положения покупателей и своего собственного; регулярно проводить анализ и ранжирование покупателей в зависимости от объемов закупок, истории кредитных отношений и предлагаемых условий оплаты; проводить анализ задолженности по видам услуг для определения невыгодных с точки зрения инкассации видов услуг; определять срок просроченных платежей на счетах дебиторов, сравнивая этот срок со средним по отрасли, с данными у конкурентов и с показателями прошлых лет; осуществлять мониторинг дебиторской задолженности (периода оборота, оборачиваемости, возраста дебиторской задолженности и т.д.) для своевременного выявления негативных тенденций и принятия соответствующих мер для их устранения; предоставлять скидки за сокращение сроков оплаты текущей задолженности (спонтанное финансирование) и наоборот, использовать гибкое ценообразование для защиты предприятия от инфляционных убытков. Гибкие цены могут быть привязаны к общему индексу инфляции, либо зависеть от индекса инфляции для конкретных продуктов, либо учитывать фактический срок оплаты и прибыль от альтернативных вложений денежных средств. При прочих равных условиях, скидкам за раннюю оплату должно отдаваться предпочтение перед штрафами за просроченную оплату; одной из причин увеличения просроченной дебиторской задолженности является недостаток сведений о потенциальном дебиторе, его кредитном поведении, репутации. Для снижения риска возникновения безнадёжных долгов при заключении договоров с отсрочкой платежа с покупателями, можно сформировать так называемую «базу должников». Для этого на добровольных началах обменяться с конкурирующими фирмами, работающими в данной отрасли, списками должников, серьёзно нарушающих сроки расчётов, с тем, чтобы не отпускать этим предприятиям товары в кредит, работать с ними только на условиях стопроцентной предоплаты. Проведенный анализ выявил довольно низкие показатели финансово-хозяйственной деятельности предприятия ООО «Персона». При этом отрицательным фактором в работе предприятия является высокие размеры дебиторской задолженности. Поэтому в ходе дипломной работы для повышения эффективности функционирования предприятия ООО «Персона» предложим применение современных банковских инструментов для ее реструктуризации. Дебиторская задолженность — один из элементов (как правило, количественно значительный) оборотных активов предприятия, кредиторская задолженность — один из заемных источников покрытия оборотных активов (также, как правило, значительный по сумме). Исходя из этого, можно рассматривать несколько практических аспектов вопроса: 1. Чем быстрее оборачивается дебиторская задолженность, т.е. чем чаще поступают платежи от дебиторов, тем меньше балансовые остатки дебиторской задолженности на каждую дату, и наоборот. Соответственно, точно такая же связь имеет место между скоростью оборота кредиторской задолженности и ее балансовыми остатками. 2. Из изложенного в пункте 1 следуют два вывода: а) при быстрой оборачиваемости дебиторской задолженности и медленной оборачиваемости кредиторской задолженности последняя полностью покрывает дебиторскую задолженность и сверх того служит источником финансирования других элементов оборотных активов. С этой точки зрения ускорение оборачиваемости дебиторской задолженности и замедление — кредиторской улучшает финансовое состояние предприятия. Разумеется, здесь и далее речь может идти лишь о нормальной дебиторской и кредиторской задолженности, а не о просроченной или безнадежной, но еще не списанной; под нормальной подразумевается задолженность, образующаяся в соответствии с договорными или законодательно установленными сроками расчетов предприятия с дебиторами и кредиторами; б) одновременно быстрая оборачиваемость дебиторской и медленная - кредиторской задолженности может привести к снижению показателей платежеспособности предприятия. Поэтому даже при наличии возможностей управлять сроками платежей дебиторов и сроками расчетов с кредиторами нельзя безгранично уменьшать первые и увеличивать вторые. Границами здесь являются уровни коэффициентов платежеспособности. 3. Почему из всех элементов оборотных активов и источников их финансирования мы выбрали для сопоставления оборачиваемости лишь дебиторскую и кредиторскую задолженность? Особая важность такого сопоставления состоит в следующем: если дебиторы расплачиваются с предприятием своевременно и в полном объеме, предприятие имеет возможность столь же своевременно и полностью расплачиваться по своим долгам с кредиторами. Известно, что дебиторская задолженность — это главным образом долги покупателей, т.е. те долги, на базе которых формируется выручка от продаж. Кредиторская задолженность — это в основном долги поставщикам, работникам предприятия, бюджету и по единому социальному налогу, т.е. те долги, на базе которых в значительной степени формируются затраты на продаваемую продукцию. Как правило, при условии рентабельности продаж нормальная дебиторская задолженность за какой-то период выше нормальной кредиторской задолженности. Но это утверждение верно только в случае, когда оборачиваемость дебиторской и кредиторской задолженности равны. При соблюдении всех этих условий проблемы просроченной задолженности просто не было бы. Она возникает либо из-за нарушения сроков платежей дебиторами, либо из-за невыгодного для предприятия соотношения установленных сроков платежей дебиторов и сроков расчетов с кредиторами, либо из-за убыточности продаж и т. д. Тогда появляются просроченные долги предприятия, управлять которыми необходимо уже не финансовыми, а юридическими методами. Таким образом, нормальное состояние оборачиваемости дебиторской и кредиторской задолженности - это одно из условий отсутствия сбоев в деятельности предприятия и осуществления им нормальных циклов деятельности. 4. На практике описанных идеальных условий, как правило, не бывает. Предприятию приходится решать проблемы, возникающие из-за отсутствия идеальных условий расчетов с дебиторами и кредиторами. Вот некоторые из них: а) сроки расчетов с дебиторами и кредиторами. Если дебиторы платят предприятию реже, чем предприятие должно платить кредиторам, может наступить недостаток денежных средств в обороте, могут потребоваться дополнительные источники финансирования большой дебиторской задолженности; б) суммы платежей дебиторов и суммы, которые надо заплатить кредиторам на каждую дату, соответствующую срокам платежей. Если кредиторам по состоянию на определенную дату надо заплатить больше, чем мы имеем на эту дату от дебиторов, придется изыскивать дополнительные источники финансирования для погашения кредиторской задолженности иначе она превратится в просроченную; в) совместное влияние на расчеты обоих обстоятельств, названных в пп. 4а и 4б. На практике возникает необходимость регулярной (иногда повседневной) количественной оценки таких ситуаций, т.е. недостатка средств для расчетов с кредиторами, для принятия соответствующих мер, чтобы не превращать кредиторскую задолженность в просроченную. Возможна, однако, и противоположная ситуация: платежи дебиторов позволяют полностью и своевременно рассчитаться с кредиторами, и после этих расчетов остается сумма уплаченной дебиторской задолженности, которую можно направить на другие цели. Это так называемые временно свободные средства в обороте. Если они есть, надо оценить, в течение какого времени они свободны. Анализ, проведенный во второй главе работы, показал, что предприятие ООО «Персона» имеет значительный размер дебиторской и кредиторской задолженности, увеличивающейся к 2006 году. Соотношение дебиторской и кредиторской задолженности представлены в таблице 27 Таблица 27 - Анализ дебиторской и кредиторской задолженности
Таким образом, имеет место превышение кредиторской задолженности над дебиторской. Отрицательным также является высокий размер длительности одного оборота дебиторской задолженности. Покупатели рассчитываются за приобретенную продукцию, оказанные услуги в среднем в течение 25 дней, то есть около 1 месяца. Значительный размер дебиторской задолженности предприятия сдерживает финансовые потоки денежных средств за реализованную потребителям продукцию и оказанные услуги и тормозит дальнейший финансово-хозяйственный процесс. Следовательно, главной рекомендацией по совершенствованию финансово-хозяйственной деятельности для предприятия ООО «Персона» является оптимизация размера дебиторской задолженности. Для уменьшения размеров дебиторской задолженности предлагается использование факторинга. Слово factor в переводе с английского языка означает маклер, посредник. С экономической точки зрения, факторинг относится к посредническим операциям. Факторинг можно определить как деятельность специального учреждения (факторинговой компании или факторингового отдела банка) по взысканию денежных средств с должников своего клиента (промышленной или торговой компании) и управлению его долговыми требованиями. В факторинговых операциях участвуют три стороны: 1. факторинговая компания (или факторинговый отдел банка) – специализированное учреждение, покупающее счета-фактуры у своих клиентов; 2. поставщик - предприятия, осуществляющие поставку товаров, выполнение работ, оказание услуг своим контрагентам на условиях товарного кредита; 3. покупатели - предприятия, имеющие задолженность срок платежа по которой возникает в будущем или уже наступил. Факторинг - разновидность торгово-комиссионной операции в сочетании с кредитованием оборотного капитала, связанной с переуступкой неоплаченных счетов-фактур финансовому агенту - банку за поставленные товары, выполненные работы или оказанные услуги. Целью факторинговых операций является создание для поставщика условий для перевода капитала из товарной формы в денежную и ускорение оборачиваемости капитала. Предметом факторинговых операций, может быть как денежное требование, срок платежа по которому уже наступил, так и право на получение денежных средств, которое возникает в будущем. Факторинг является альтернативной формой кредитования в рамках пополнения дефицита оборотного капитала и представляет собой более удобный способ финансирования оборота для предприятий, активно ведущих торговую деятельность. В тот момент, когда дефицит оборотных средств становится особенно острым в силу резкого увеличения числа торговых контрагентов, Вы получаете от финансового агента - банка наибольший объем (около 80% от суммы требований) денежных средств. Другими словами, факторинг - покупка банком у своего клиента-поставщика требований к его покупателям. В течение 2-3 дней он оплачивает от 70 до 80% требований в виде аванса. Оставшаяся часть выплачивается клиенту банка после поступления средств. Преимущества применения факторинга представлены на рисунке 14
↓
↓
↓
↓
Рисунок 14- Преимущества применения факторинга Анализ эффективности предложенных мероприятий Стоимость факторинговых услуг определяется как сумма стоимости предоставленного поставщику финансирования и факторинговой комиссии по текущим ставкам банка. Базой для определения стоимости факторинговых услуг является процент от суммы требований и количество дней отсрочки платежа покупателем. Применение факторинга с комиссией в 1,5% позволит предприятию ликвидировать дебиторскую задолженность и своевременно погашать кредиторскую задолженность. Размер дебиторской задолженности в 2006 году составлял 655 тыс. руб. Оборачиваемость дебиторской задолженности составляла 14,6 оборотов или 25 дней. При реализации дебиторской задолженности банку 80% средств или: 655 * 0,80 = 524 тыс. руб. поступит на счет предприятия через 3 дня. Оставшаяся часть дебиторской задолженности в размере: 655 – 524 = 131 тыс. руб. Полученные средства за вычетом комиссионных банка в размере: 524 – (655* 1,5%) = 514,175 тыс. руб. направляются на погашение кредитов. Средняя оборачиваемость дебиторской задолженности возрастет, соответственно сократится и ее срок оборота до размера: 80% дебиторской задолженности возвращается через 3 дня 20% дебиторской задолженности возвращается через 50 дней. (80 х 3 + 20 х 25) / 100 = 7,4 дней В таблице 30 представим результаты применения факторинга на предприятии ООО «Персона» Таблица 28 - Расчет эффективности применения факторинговых операций
Таким образом, применение факторинга позволит предприятию ООО «Персона» в значительной степени повысить оборачиваемость дебиторской задолженности и соответственно сократить сроки платежей до 7,4 дней. При этом при комиссии за факторинг в размере 9,825 тыс. руб. дебиторская задолженность предприятия сократится с 655 тыс.руб. до 131 тыс.руб. В рамках управления кредиторской задолженностью ООО «Персона» следует придерживаться либо: либо политики сокращения абсолютного размера кредиторской задолженности и увеличения срока ее погашения; либо политики сокращения срока погашения кредиторской задолженности при допустимом увеличении ее абсолютного размера. Данные меры позволят предприятию еще более сократить длительность финансового цикла и уменьшить потенциальную потребность в банковском финансировании дефицита оборотных средств. В заключении необходимо отметить, что процесс управления финансовыми потоками подразумевает одновременное управление всеми основными его составляющими в рамках единой финансовой политики предприятия, опирающееся на принципы своевременности поступлений и выплат; оптимальности их величины и максимизации финансового эффекта от их использования. ЗаключениеСегодня только единичные предприятия из десятков имеют бизнес-планы развития. Дело в том, что руководители этого огромного большинства предприятий не понимают всей важности данного документа. Но если бы такой документ составлялся, то директор предприятия еще на стадии планирования мог бы предвидеть отклонения, диспропорции и кассовые разрывы и, следовательно, их устранить. Не менее важен вопрос об организации учета на предприятии. Учет требует денег. И чем достоверней, объективней и своевременней информация, тем она дороже. Каждому члену коллектива управленцев нужна своя информация, а поэтому очень важно, чтобы исходная информация была приспособлена для целей аналитики, а выходные данные содержали столько показателей, сколько нужно. Забыто то, что статические показатели не в полной мере отражают фактическое состояние предприятия. В то же время динамические показатели не в фаворе. А ведь именно они могут объяснить, почему предприятие испытывает непрерывный бюджетный дефицит. Но ведь бюджетный дефицит есть не причина, а следствие других процессов, увидеть и оценить которые можно только в динамике. Выполнение каждой фазы управления создает основу для решения важнейшей задачи — уменьшения длительности оборота. Ведь именно увеличение оборачиваемости текущих активов и есть основная задача финансового менеджера на предприятии. Достигнув определенного уровня оборачиваемости, можно быть уверенным в высокой платежеспособности, финансовой устойчивости и доходности. Фаза анализа в процессе управления предприятием представляет собой не единое действие, а состоит из ряда этапов. Первым таким этапом и является диагностика состояния предприятия на основе информации, которая содержится в ежеквартальных открытых документах. Этот этап нужен, в первую очередь, для сокращения последующих объемов работ. Однако до сих пор финансовое состояние практически неуправляемо, так как оно фиксируется по фактическим данным бухгалтерской отчетности. Множество предприятий не имеют возможности принимать оперативные решения по стабилизации финансового состояния. Основной инструмент финансового анализа — аналитические коэффициенты, которые могут быть рассчитаны по данным бухгалтерской отчетности и оказываются полезными для принятия хозяйственных решений. В настоящее время разработано большое число разнообразных аналитических коэффициентов, для которых характерна множественность способов количественного отображения одних и тех же величин, отсутствие связей между ними, их относительная изолированность, различия в уровне их критических значений, несравнимость. Финансовое состояние предприятия характеризуется системой показателей, отражающих состояние капитала в процессе его кругооборота, и способность субъекта хозяйствования финансировать свою деятельность на фиксированный момент времени. Оно может быть устойчивым, неустойчивым и кризисным. Финансовые коэффициенты, являясь показателями хозяйственной деятельности предприятия и степени его финансовой устойчивости, численно выражают риск неблагоприятного развития финансовой ситуации на предприятии. В работе был проведен анализ финансового состояния предприятия ООО «Персона» Анализ финансового состояния показал следующее. Наибольший удельный вес в структуре активов занимают оборотные активы, их структура за период возросла на 1,462%. Наибольший удельный вес в структуре оборотных активов имеют запасы. Это является не очень хорошо для предприятия, оно должно избавляться от излишков и к 2006 году удельный вес запасов снижается на 11,755 %. В структуре пассивов наибольший удельный вес занимает заемный капитал, его удельный вес за период снизился на 11,554%. Это является положительной тенденцией, т.к. если в 2004 году можно говорить о низкой автономии предприятия, то к 2006 году предприятие стало более независимым от внешних источников. Отсутствие долгосрочных займов может свидетельствовать об отсутствие инвестиций в производство Выручка возросла к 2006 году более чем в 2 раза, это может свидетельствовать о росте спроса на продукцию предприятия. Интенсивность роста себестоимости ниже интенсивности роста выручки, что может говорить о грамотной политике в области управления затратами Чистая прибыль предприятия к 2006 году возросла практически в 2,5 раза. У предприятия наблюдается острая нехватка ликвидных средств. Для решения этой проблемы предприятию необходимо проводить работу с дебиторами по погашению задолженности, переводить запасы в денежные средства и эквиваленты На протяжении рассмотренного периода финансовое состояние предприятие кризисное в следствии большой величины запасов, которые не могут быть покрыты собственными источниками и собственными оборотными средствами. Как отмечалось выше, предприятию необходимо избавляться от излишних запасов. У предприятия низкая вероятность банкротства, при этом диагностируется хорошие долгосрочные финансовые перспективы Неблагоприятным является увеличение как увеличение операционного, так и финансового цикла. Увеличение финансового цикла об увеличении времени, в течение которого ресурсы отвлечены из оборота. Предприятию необходимо сократить финансовый цикл, т.е. сократить операционный цикл и замедлить срок оборота кредиторской задолженности. Таким образом, выявлены следующие существенные проблемы предприятия: Высокий уровень запасов Высокий уровень дебиторской задолженностью. Для решения имеющихся проблем предприятию предлагаются следующие мероприятия В рамках управления товарно-материальными запасами ООО «Персона» рекомендуется: 1. Использовать для контроля над запасами метод «АВС-анализа» в следующем аспекте: разбить запасы ТМЦ на ассортиментные группы по показателю оборачиваемости. 2. Исключить опасность хищений и порчи материальных ценностей посредством введения прямого материального стимулирования работников и охраны складов. 3. Для исключения вероятности устаревания товаров, рекомендуется ввести систему контроля над сроками использования каждой номенклатурной единицы ассортимента товарных запасов, с тем, чтобы своевременно выявлять некондиционные единицы. В рамках управления дебиторской задолженностью необходимо: 1. Обеспечить возврат существующих долгов 2. Предотвращения неоправданного роста дебиторской задолженности 3. Факторинг 1. Конституция Российской Федерации от 12 декабря 1993 г. 2. Гражданский кодекс РФ (1, 2 и 3 части) с изменениями и дополнениями. 3. Налоговый кодекс Российской Федерации – часть первая от 31 июля 1998 г. № 146-ФЗ и часть вторая от 5 августа 2000 г. № 117-ФЗ (с изменениями и дополнениями). 4. Федеральный закон от 17.08.95 № 147 ФЗ «О естественных монополиях». 5. Постановление правительства РФ от 07.03.95 № 239 «О мерах по упорядочению государственного регулирования цен (тарифов)». 6. Собрание законодательства РФ, 1995, № 34, ст. 3426. 7. Собрание законодательства РФ, 1995, № 11, ст.997. 8. Адашкевич В.К. Цены и государство: как складываются их отношения // Национальная экономическая газета, 2003. №17. 9. Адашкевич В.К. Цены: как они определяются в разных странах // 10. Аклычев A.M. Ценообразование в период перехода к рыночной 11. Алклычев А.М. Политика цен и воздействие на экономические процессы // Экономист, 1998 -№5-31-39. 12. Ахрамчук А.Н., Гюрджан В.А. Рыночная экономика и антимоно 13. Бакалов М.И., Шеремет А.Д. Теория экономического анализа. М., 2002. 14. Васильева Р.Э., Козлова Л.И. Формирование цены в рыночных ус 15. Видяпин В.И., Данько Т.П., Слепое В.А. Предпринимательство: 16. ВихляевА.А., ШавшивилиД.Ф. Розничные цены. М., 1998. 17. Герасименко В.В. Ценовая политика фирмы. М. 1996. 18. Глухов А.В. Оценка конкурентоспособности товара и способы ее обеспечения // Маркетинг.-1999.- №2.-56-63. 19. Грузинов В.Б., Грибов В.Д. Экономика предприятия: Учебное пособие.-2-е изд. Доп.-М., Финансы и статистика, 2001.-208. 20. Дерябин А.А., Салимжанов И.К.
Цена — инструмент управления 21. Долан Дж. Эдвин. Микроэкономика. СПб, 1994. 22. Ефименко А.З. Цены и ценовая политика. // Экономика строительства.- 2000.-№1.-54-61. 23. Ефимова О.В. Финансовый анализ. 3-е изд., перераб. и доп.- М., 1999.-356. 24. Желтякова И.А., Маховикова Г.А., Пузыня Н.Ю. Цены и ценообразование. Краткий курс/Учебное пособие.-Спб. Издательство «Питер», 1999.-112. 25. Зайцев Н.А. Экономика промышленного предприятия: Учеб. пособие. - М.: ИНФРА-М, 1996.-284. 26. Кабанков В.И. Цена и качество продукции.- М., 1997.-240. 27. Каратуев А.Г. Финансовый менеджмент: Учебно-справочное пособие.-М.: ИД ФБК-Пресс, 2001.-496. 28. Керимов В.Э., Комарова Н.Н., Елифанов А.А.”Директ-костинг” и ценовая политика// Аудит и финансовый анализ.-2001.-87-91. 29. Князевская Н.В., Князевский В.С. Принятие рискованных решений в экономике и бизнесе. - М.: «Контур»,1998.-160. 30. Ковалев В.В. Финансовый анализ: Управление капиталом. Выбор инвестиций. Анализ отчетности.-М.: Финансы и статистика, 1996.-432. 31. Котлер Ф. Основы маркетинга. Пер. с англ. / Науч. ред. и авт. пос 32. Краткий курс практического менеджмента: Учеб. пособие/Под ред. д. э. н. Кузьбожева Э.Н., Курск, 2001.- 244. 33. Крючкова О.Н., Попов Е.В. Классификация методов ценообразования // Маркетинг в России и за рубежом.- 2002.- №4.- 32-50. 34. Любушин Н.П., Лещева В.Б., Дьякова В.Г. Анализ финансово-экономической деятельности предприятия. Учеб. пособие для вузов/ Под ред. проф. Любушина Н.П., М.: Юнати-Дана, 2001.-471. 35. Либерализация цен в Восточной Европе: Проблемы и перспекти 36. Лившиц А.Я. Введение в рьночную экономику: Курс лекций. М., 1991. 37. Липсиц КВ., Николаева Т.Е. Цена в условиях самофинансирова 38. Липсиц И.В. Коммерческое ценообразование. М., 1997. 39. Маркетинг: теория и практика / Под, ред. Г.Я. Кожекина. Мн., 1997. 40. Основы маркетинга / Под ред. И.Л. Акулича. Мн, 1997. 41.Основы предпринимательской деятельности/Под ред. Вла 42. Общая теория статистика. Методология в изучении коммерческой деятельности: Учебник /Под ред. О.Э. Башиной, А.А. Спирина.- 5-е изд., доп. и пераб.- М.: Финансы и статистика, 1999.- 440. 43. Плановое ценообразование: Учеб. для спец. «Планирование народного хозяйства»/ С.И.Лушин, М.В. Кокорев, В.В.Наумов и др.; Под ред. С.И. Лушина.-М.: Высш. шк., 1991.-279. 44. Порошина Н.В. Новые аспекты ценообразования// Маркетинг.-1999.-№6.- 50-54. 45. Предпринимательство: Учебник для вузов /Под. ред. проф. В.Я.Горфинкеля, В.А. Швондара. М.: ЮНИТИ, 2000.-475. 46. Павлов B.C., Шпрыгин В.И.
Реформа ценообразования. Цели, пу 47. Полещук И.И. Ценообразование и маркетинг. Мн.. 1997. 48. Пунин Е.И. Научно-техническая революция и мировые цены. Тео 49. Пунин Е.И. Ценообразование в международной торговле. Теория 50. Пунин Е.И. Маркетинг, менеджмент и ценообразование на пред 51. Рыночная экономика. Словарь-справочник / Под ред. А.В. Шев 52. Салимжанов И.К. Методологические вопросы определения ин 53. Салимжанов И.К., Борковская Л.А. Регулирование цен в зарубежных странах // Финансы, 1995. №7. 54. Слепое В.А., Попов Б.В. Основы теории рыночного ценообразова 55. Современный маркетинг / Под ред. В.Е. Хруцкого. М., 1991. 56. Солнцева М. Проблемы реформы системы ценообразования и цен. 57. Савицкая Р.В. Анализ хозяйственной деятельности предприятия: 3-е изд.-Минск : ИП «Экоперспектива»,1999.-498. 58. Сергеев И.В. Экономика предприятия: Учеб.пособие.- М.: Финансы и статистика, 1997.-304. 59. В.Солнцев. Государственное регулирование цен и контроль за их применением // Экономист.1996 -№9-32-37. 60. Справочник по ценообразованию /Сост.: А.М. Матлин, А.Н. Рудин, В.И. Торбин; под ред. Н.Т. Глушкова.- М.: Экономика, 1995.- 400. 61. Тарасов В.И. Система цен и эффективность хозяйствования. Мн., 62. Тарасов В.И. Рынок и цены // Финансы, учет, аудит, М., 1997. № 11. 63. Толковый словарь рыночной экономики/Под ред. Ф.А. Крути 64. Тафимцева В.Н. Маржинальный доход как инструмент оценки финансовых результатов // Финансовый менеджмент.- 2001.- №3.- 15-30. 65. Трацевский И.П., Грекова И.М. Ценообразование. Минск, 2000. 66. Уткин Э.А. Финансовый менеджмент. М., 1998.-272. 67. Уткин Э.А. Цены. Ценообразование. Ценовая политика. М., 1997. 68. Хруцкий В.Е., Корнеева И.В. Современный маркетинг: настольная книга по исследованию рынка: Учеб пособие.-2-е изд., перераб. и доп.-М.: Финансы и статистика, 1999.-528. 69. Цацулин А.Н. Цены и ценообразование в системе маркетинга. М., 70. Ценообразование / Под ред. И.К. Салимжанова. М., 1996. 71. Ценообразование и рынок: Пер с англ. / Под ред. Е.И. Пунина, 72. Цены и ценообразование: Учебник для вузов. 3-е изд. / Под редакцией В.Е.Осипова. СПб, 1999. 73. Цены и ценообразование: Учебник для вузов / Под ред. И.К. Са 74. Цены и ценообразование в рыночной экономике. Ч.2. Цены и рыночная конъюнктура. Кн.1; Учебник/ Под ред. В.Е. Есипова СПб.: Изд-во СПб УЭФ, 1994.-140. 75. Чубаков Г.Н. Стратегия ценообразования в маркетинговой поли 76. Шевченко Н.С., Черных А.Ю., Тиньков С.А., Кузьбожев Э.Н. Управление затратами, оборотными средствами и производственными запасами: Учебно-методическое пособие/ Под ред. д. э. н., проф. Кузьбожева Э.Н. Курск, 2000.-154. 77. Шеремет А.Д., Сайфулин Р.С., Негашев Е.В. Методика финансового анализа.- М.: Инфра-М., 2000.-208. 78. Шеремет А.Д., Сайфулин Р.С. Финансы предприятий. М., 1999. 79. Шуляк П.Н. Ценообразование. М., 1998-152. 80. Экономика / Под ред. А.С. Булатова. М., 1996. 81. Экономика предприятия: Учебник/ Под ред. А.Е. Карлика, М.А. Шухгалтер.-М.: Инфра-М, 2001.-432. ПриложенияПриложение А Баланс предприятия
Приложение Б Отчет о прибылях и убытках
|
|||||||||||||||||||||||||||||||||||||||||||||||||||||||||||||||||||||||||||||||||||||||||||||||||||||||||||||||||||||||||||||||||||||||||||||||||||||||||||||||||||||||||||||||||||||||||||||||||||||||||||||||||||||||||||||||||||||||||||||||||||||||||||||||||||||||||||||||||||||||||||||||||||||||||||||||||||||||||||||||||||||||||||||||||||||||||||||||||||||||||||||||||||||||||||||||||||||||||||||||||||||||||||||||||||||||||||||||||||||||||||||||||||||||||||||||||||||||||||||||||||||||||||||||||||||||||||||||||||||||||||||||||||||||||||||||||||||||||||||||||||||||||||||||||||||||||||||||||||||||||||||||||||||||||||||||||||||||||||||||||||||||||||||||||||||||||||||||||||||||||||||||||||||||||||||||||||||||||||||||||||||||||||||||||||||||||||||||||||||||||||||||||||||||||||||||||||||||||||||||||||||||||||||||||||||||||||||||||||||||||||||||||||||||||||||||||||||||||||||||||||||||||||||||||||||||||||||||||||||||||||||||||||||||||||||||||||||||||||||||||||||||||||||||||||||||||||||||||||||||


, (12)
. (13)
(19)
. (21)
(22)
(23)
(24)
(25)
(26)
(27)
(28)
(29)
(30)


Рисунок 6 - Индекс роста пассивов
Рисунок 7 - Динамика коэффициентов состояния основного имущества предприятия ООО «Персона»





