Дипломная работа: Тематический контроль знаний учащихся как эффективный процесс обучения химии
|
Название: Тематический контроль знаний учащихся как эффективный процесс обучения химии Раздел: Рефераты по педагогике Тип: дипломная работа | ||||||||||||||||||||||||||||||||||||||||||||||||||||||||||||||||||||||||||||||||||||||||||||||||||||||||||||||||||||||||||||||||||||||||||||||||||||||||||||||||||||||||||||||||||||||||||||||||||||||||||||||||||||||||||||||||||||||||||||||||||||||||||||||||||||||||||||||||||||||||||||||||||||||||||||||||||||||||||||||||||||||
Тематический контроль знаний учащихся как эффективный процесс обучения химии ВведениеАктуальность данной работы заключается в повышении эффективности учебного процесса и получении учителем объективной информации о ходе учебно-познавательной деятельности учащихся. Эту информацию учитель получает в процессе контроля учебно-познавательной деятельности учащихся. Контроль в педагогическом процессе рассматривается как процедура оценочной деятельности, включающая в себя действия с использованием разнообразных педагогических мер и методов измерений по получению информации о ходе и результатах обучения. Среди проблем, которые оказывают существенное влияние на повышение эффективности и качества обучения, особое место занимают контроль и оценка знаний учащихся. Действительно, контроль и оценка необходимая часть образовательного процесса. От того, как осуществляются проверка и оценка знаний учащихся, во многом зависит их учебная дисциплина, отношение к учёбе, формирование интереса к предмету, а также таких важнейших качеств, как самостоятельность, инициативность, трудолюбие. Проблема оценки и оценочной деятельности – одна из актуальнейших проблем, как в педагогической теории, так и в педагогической практике. В различные периоды жизни общества измерение качества обучения и воспитания школьников, а также выражение результатов этих измерений всегда вызывали живой интерес педагогов. Если теоретический аспект проблемы более всего волнует ученых, то прикладной аспект, отражающий механизм оценки уровня обученности и достижений ученика в различных сферах учебной деятельности, все больше волнует учителей и руководителей образования. На основе оценивания появляется знаковое выражение этого процесса в виде отметки. Однако во что она превратиться в дальнейшем, что она принесет ученику – это уже не зависящая от оценивания деятельность. Отметка, которой приписывается невинная роль простого отражения и фиксатора результатов оценивания, на практике становится для ребенка источником радости или серьезных потрясений. Не замечать эту действительность – значит допустить серьезный психологический просчет в анализе оценочной деятельности учителя и всей системы обучения в школе. Констатировав определенный уровень знаний учащихся, учитель имеет возможность корректировать дальнейший процесс обучения, оказывать помощь в виде советов, рекомендаций, консультаций, проявлять свое отношение к его стараниям и успехам. Оценкам подвергаются наличные знания школьника и проявленные ими умения и навыки. Объективность оценивания в традиционной школе рассматривается именно с этой позиции. Вместе с тем остаются в стороне старания и усилия ребенка. Они, как правило, не принимаются во внимание. Не учитывается и рациональность его учебной деятельности. Не принимается во внимание и мотив, который заставил его выучить учебный материал. К сожалению, в традиционной школе на процесс оценивания не влияет и качество самого обучения (имеется в виду тот процесс, который выстроил учитель), в результате которого ученик должен был усвоить данный материал. Поэтому очень важно знать, как лучше организовать контроль знаний учащихся и как правильно оценить уровень их знаний. Цель исследования: определить наиболее эффективные пути и способы организации тематического контроля знаний учащихся. Задачи исследования: – определить сущность, роль и значение контроля; – раскрыть виды контроля; – выявить способы организации тематического контроля, обеспечивающие эффективность учебного процесса; – разработать ряд методик проведения тематического контроля знаний учащихся. Объект исследования: особенности организации тематического контроля знаний. Предмет исследования: роль и значение тематического контроля, пути и способы его организации. Гипотеза исследования: чем интереснее и занимательнее применяемые методы и формы при проведении тематического контроля, тем эффективнее процесс обучения. 1. Контроль и оценка успешного обучения1.1 Контроль как звено учебного процесса. Объект и функции контроляНеотъемлемой частью сложного процесса учебно-воспитательной работы является контроль. В широком смысле контроль связан с ориентировочной деятельностью человека, а без нее учебная работа ученика и работа учителя невозможны. Контроль – наиболее широкое по объему понятие. Он охватывает и включает в себя все другие понятия как составные структурные компоненты. Начальным моментом контроля являются наблюдение и проверка . В процессе наблюдения и проверки выявляется (выявление ) и измеряется (измерение) тот материал, который предстоит проконтролировать. В результате наблюдения и проверки накапливается первичная информация, она учитывается (учет ). В последующем эта информация подвергается анализу-синтезу, сравнению. При этом выявляется ее смысл и значение, проводится оценивание (процесс оценки ) этой информации с точки зрения задач контроля. Результаты оценки получают внешнее или внутреннее выражение, словесный комментарий. В дальнейшем, исходя из смысла, значения и значимости, эта информация становится своеобразным сигналом для продолжения педагогического процесса в том же направлении или для внесения в него коррекций. Все зависит от того, соответствуют ли результаты оценки ранее намеченным учебно-воспитательным задачам или отличаются от них. Результаты оценивания могут быть выражены в баллах – отметках. Наглядно структурные компоненты контроля можно представить схематически (схема 1). Схема 1. Структурные компоненты контроляв учебном процессе
Объектом (или содержанием) контроля может стать все, что относится к учебно-воспитательному процессу. Конкретное же его содержание будет зависеть от целевой установки и задач контроля. В частности, контролируется деятельность учителя и ученика в процессе обучения. Учитель, проверяя ученика, выясняет особенности понимания и осмысления учеником изучаемого материала, точность, глубину и прочность его знаний, широту кругозора, развитие познавательных процессов (памяти, логического мышления, воображения). В процессе обучения у учащихся формируются общеучебные, специальные и другие практические умения и навыки. Учитель также контролирует степень их точности и устойчивости, способности ученика применять знания на практике, творческий подход к выполнению учебного дела, владение рациональными приемами работы, умение «совмещать», «сливать» одни навыки с другими. В деятельности учителя контролируются его умение организовать классные занятия, его методы и приёмы обучения учащихся, стиль и приёмы общения. Таким образом, контроль в учебно-воспитательном процессе позволяет установить качество теоретических знаний и практических умений и навыков учащихся, способы их учебной деятельности, степень умственного развития, а также уровень педагогического мастерства учителя. Как элемент ориентировочной деятельности контроль имеет разные функции, из которых главная – функция обратной связи. Только лишь постоянно имея информацию о том, как «ведет» себя, как реагирует «обучающаяся система» (класс, группа, ученик) на воздействие «обучающей» (учитель, ученик-консультант, технические и электронные средства информации), можно надежно идти вперед по пути овладения знаниями, умениями и навыками. Только тогда учитель может быть уверенным в том, что он учит так, как задумано и как надо. Если результат обучения слабый, то информацию он воспримет как сигнал к перестройке своей методики. Все остальные функции контроля по их задачам можно свести к двум группам: педагогической и проверочно-оценочной. Педагогическая функция в учебном процессе распадается на ряд подфункций: обучающая, развивающая, воспитывающая, диагностическая, профилактическая, ориентирующая. Обучающая подфункция связана с тем, что, выявляя в процессе проверки уровень знаний, умений и навыков учащихся, учитель побуждает ученика к систематическим занятиям, исправляет ошибки и неточности в его знаниях, дает рекомендации о том, как лучше овладеть материалом конкретной темы, побуждает пользоваться дополнительной литературой, приучает обращаться к справочникам и энциклопедиям. Развивающая подфункция контроля в учебном процессе заключается в том, что учитель через него имеет возможность постоянно знать уровень умственного развития ученика, успехи или отставание в этом развитии: особенности восприятия, типов и процессов памяти, развития мыслительной деятельности, речи, воображения. Это необходимо ему знать для того, чтобы, во-первых, осознанно и грамотно проводить работу по совершенствованию умственного развития и, во-вторых, через это знание лучше учитывать индивидуальные особенности-развития познавательной деятельности и добиваться хорошей успеваемости каждого. Воспитывающая подфункция контроля вытекает из того, что ученик, зная о проверке (на уроке могут спросить, а не знать – стыдно; ожидается контрольная работа и т.п.), начинает терпеливо овладевать знаниями; когда трудно – напрягает силу воли, упорно добиваясь хороших знаний. Эта подфункция выражается также и в том, что контроль способствует формированию у ребят мотивов учения, в том числе таких моральных чувств, как долг, обязанность, ответственность, совесть, честь. Школьники избавляются от таких ложных мотивов, как отметка «любой ценой», в классе формируется негативное отношение к нечестным приемам получения высокой отметки – к списыванию, «шпаргалкам», подсказкам, групповому саботажу, третированию отличников. В процессе контроля складываются межличностные отношения учащихся, формируется сотрудничество между учениками и учителем. Сущность диагностической подфункции контроля – в получении информации об ошибках, недочетах и пробелах в знаниях и умениях учащихся и порождающих их причинах затруднений учащихся в овладении учебным материалом, о числе, характере ошибок. Результаты диагностических проверок помогают выбрать наиболее интенсивную методику обучения, а также уточнить направление дальнейшего совершенствования содержания методов и средств обучения. Ориентирующая подфункция вытекает из диагностической подфункции. Выяснив сильные и слабые стороны знаний учащихся в процессе диагностики, преподаватель ориентируется в методике собственной работы, в индивидуальных особенностях каждого учащегося. Эта информация служит для него ориентиром для совершенствования учебного процесса. Профилактическая подфункция. Известно, что выученный и даже хорошо усвоенный материал со временем забывается. Это особенно заметно, если знания ученика не были востребованными. Более интенсивно идет процесс забывания в первое время после усвоения новой информации. Предупредить забывание можно путем эпизодического повторения. А повторение как мера профилактическая, предупреждающая забывание, неизбежно связано с контролем знаний. В этом заключается смысл его профилактической функции. Проверочно-оценочная функция контроля также включает ряд подфункций. Они, скорее всего, относятся к проверке работы учителя, к организации методической работы в школе. Контроль в подфункции государственной аттестации результатов учебно-воспитательной работы. Прежде всего, отметим, что внутришкольный контроль учебно-воспитательной работы есть в то же время средство аттестации. Администрация школы, а также органы образования разных уровней всегда интересуются состоянием успеваемости учащихся своей школы, школ района и т.д. Кроме того, их интересует, в какой мере удачен учебный план школ различных типов, доступны ли учебные программы и учебники по разным предметам и для всех классов и т.д. Контроль как средство государственной аттестации выступает в процессе итогового и заключительного учета. Так, на основании контроля знаний, умений и навыков учащиеся переводятся из младших классов в старшие; по результатам экзаменов они выпускаются из школы и получают соответствующий документ об образовании; им присваивается также квалификация в ПТУ, средних специальных и высших учебных заведениях; в техникумах и вузах назначается стипендия (обычная или повышенная). Контрольные и часто – конкурсные экзамены практикуются при приеме абитуриентов в вузы и техникумы: проверяется готовность поступающего для успешного продолжения образования по избранной специальности. На основании государственной аттестации учащиеся и студенты получают награды и особые дипломы: золотую и серебряную медали, свидетельства об успехах по отдельным учебным предметам, диплом с отличием, квалификацию более высокой категории (более высокий разряд), которые дают их владельцам льготные права при поступлении на работу или учебу. Контроль в подфункции государственной аттестации необходим также для выявления, изучения и обобщения передового и новаторского педагогического опыта, для его использования в массовой практике учителей. Таковы основные функции контроля учебно-воспитательной работы. В наглядном виде они представлены на схеме 2. [13, с. 486 – 490]. Схема2. Основные функции контроля успешности обученияи развития учащихся
В начальной школе контроль и оценка имеет следующие функции. Социальная функция проявляется в требованиях, предъявляемых обществом к уровню подготовки ребенка младшего школьного возраста. Образованность в данном случае используется как широкое понятие, включающее в себя возрастной уровень развития, воспитания и осведомленности школьника, сформированное его познавательной, эмоциональной и волевой сфер личности. В ходе контроля проверяется соответствие достигнутых учащимися знаний-умений-навыков установленным государством эталоном (стандартам), а оценка выражает реакцию на степень и качество этого соответствия (отлично, хорошо, удовлетворительно, плохо). Таким образом, в конечном счете система контроля и оценки для учителя становится инструментом оповещения общественности (учеников класса, учителей, родителей и др.) и государства о состоянии и проблемах образования в данном обществе и на данном этапе его развития. Это дает основания для прогнозирования направлений развития образования в ближайшей и отдаленной перспективах, внесения необходимых корректировок в систему образования подрастающего поколения, оказания необходимой помощи как ученику, так и учителю. Образовательная функция определяет результат сравнения ожидаемого эффекта обучения с действительным. Со стороны учителя осуществляется констатация качества усвоения учащимися учебного материала: полнота и осознанность знаний, умение применять полученные знания в нестандартных ситуациях, умение выбирать наиболее целесообразные средства для выполнения учебной задачи; устанавливается динамика успеваемости, сформированность (несформированность) качеств личности, необходимых как для школьной жизни, так и вне ее, степень развития основных мыслительных операций (анализ, синтез, сравнение, обобщение); появляется возможность выявить проблемные области в работе, зафиксировать удачные методы и приемы, проанализировать, какое содержание обучения целесообразно расширить, а какое исключить из учебной программы. Со стороны ученика устанавливается, каковы конкретные результаты его учебной деятельности; что усвоено прочно, осознанно, а что нуждается в повторении, углублении; какие стороны учебной деятельности сформированы, а какие необходимо сформировать. [11, с. 109] Воспитательная функция выражается в рассмотрении формирования положительных мотивов учения и готовности к самоконтролю как фактору преодоления заниженной самооценки учащихся и тревожности. Правильно организованный контроль и оценка снимают у школьников страх перед контрольными работами, снижают уровень тревожности, формируют правильные целевые установки, ориентируют на самостоятельность, активность и самоконтроль. [2, с. 54] Эмоциональная функция проявляется в том, что любой вид оценки (включая и отметки) создает определенный эмоциональный фон и вызывает соответствующую эмоциональную реакцию ученика. Действительно, оценка может вдохновить, направить на преодоление трудностей, оказать поддержку, но может и огорчить, записать в разряд «отстающих», усугубить низкую самооценку, нарушить контакт со взрослыми и сверстниками. [6, с. 87] Реализация этой важнейшей функции при проверке результатов обучения заключается в том, что эмоциональная реакция учителя должна соответствовать эмоциональной реакции школьника (радоваться вместе с ним, огорчаться вместе с ним) и ориентировать его на успех, выражать уверенность в том, что данные результаты мот быть изменены к лучшему. Это положение соотносится с одним из главных законов педагогики начального обучения – младший школьник должен учиться на успехе. Ситуация успеха и эмоционального благополучия – предпосылки того, что ученик спокойно примет оценку учителя, проанализирует вместе с ним ошибки и наметит пути их устранения. Информационная функция является основой диагноза планирования и прогнозирования. Главная ее особенность – возможность проанализировать причины неудачных результатов и наметить конкретные пути улучшения учебного процесса как со стороны ведущего этот процесс, так и со стороны ведомого. Функция управления очень важна для развития самоконтроля школьника, его умения анализировать и правильно оценивать свою деятельность, адекватно принимать оценку педагога. Учителю функция управления помогает выявить пробелы и недостатки в организации педагогического процесса, ошибки в своей деятельности («что я делаю не так…», «что нужно сделать, чтобы…») и осуществить корректировку учебно-воспитательного процесса. [6, с. 65]. 1.2 Виды контроля знаний учащихсяМетодика контроля как целостная система состоит из разных (по функциям, формам и т.п.) структурных компонентов. Анализ советской и постсоветской педагогической и методической литературы, показывает, что основные направления методики контроля в разных источниках в существенном совпадают, но названия (номенклатуру) терминов (а иногда и понятий), их классификацию и взаимосвязь разные авторы трактуют на свой лад. Такой разнобой, естественно, создает сложности в осмыслении учебной и методической литературы и студентами, и стажерами. В свою очередь и мы изложим свое понимание этих же вопросов. К числу таких структурных компонентов относятся виды контроля, его методы и приемы, формы и организация. Виды контроля: различаются по функциям в учебном процессе. Предварительный контроль обычно проводят в начале учебного года, полугодия, четверти, на первых уроках нового раздела учебного предмета или вообще нового предмета. Функциональное назначение предварительного контроля заключается в том, что учитель имеет в виду изучить уровень готовности учащихся к восприятию нового материала, т.е. проверка здесь играет диагностическую роль: установить, в какой мере сформированы у учащихся умственные возможности для полноценного восприятия нового учебного предмета. А в начале учебного года – установить, что сохранилось и что «улетучилось» из того, что изучалось школьниками в предыдущем учебном году. И в самом деле, на основе данных предварительного (диагностического) контроля учитель строит (конструирует) изучение нового материала, предусматривает повторение, организацию межпредметных связей, актуализирует знания, невостребованные до того времени. Текущий контроль – наиболее оперативная, динамичная и гибкая проверка результатов обучения. Обычно он сопутствует процессу становления умения и навыка, поэтому проводится на первых этапах обучения, когда еще трудно говорить о сформированности умений и навыков учащихся. Его основная цель – анализ хода формирования знаний и умений учащихся. Это дает учителю и ученику возможность своевременно отреагировать на недостатки, выявить их причины и принять необходимые меры к устранению; возвратиться к еще не усвоенным правилам, операциям и действиям. Текущий контроль особенно важен для учителя как средство своевременной корректировки своей деятельности, внесения изменений в планирование последующего обучения и предупреждения неуспеваемости. В данный период школьник должен иметь право на ошибку, на подробный, совместный с учителем анализ последовательности учебных действий. Это определяет педагогическую нецелесообразность поспешности в применении цифровой оценки – отметки, карающей за любую ошибку, и усиление значения оценки в виде аналитических суждений, объясняющих возможные пути исправления ошибок. Такой подход поддерживает ситуацию успеха и формирует правильное отношение ученика к контролю. [4, с76]. Тематический контроль проводится по завершении изучениябольшой темы, например о творчестве писателя (литература), о ВеликойОтечественной войне (история отечества), о галогенах (химия) и т.п. Этоотчетливо видно на повторительно-обобщающих уроках. Назначение(функция) тематического контроля: систематизировать и обобщитьматериал всей темы; путем повторения и проверки знаний предупредить забывание, закрепить его как базу, необходимую для изучения последующих разделов учебного предмета. Особенность проверочных вопросов и заданий в этом случае заключается в том, что они рассчитаны на выявление знаний всей темы, на установление связей со знанием предыдущих тем, межпредметных связей, на умение переноса знаний на другой материал, на поиск выводов обобщающего характера. Итоговый контроль проводится как оценка результатов обучения за определенный, достаточно большой промежуток учебного времени – четверть, полугодие, год. Таким образом, итоговые контрольные работы проводятся четыре раза в год: за I, II, III учебные четверти и в конце года. При выставлении переводных отметок (в следующую четверть, в следующий класс) отдается предпочтение более высоким. [5.с. 13] 1.3 Методы, приемы и формы организации контроля знаний учащихсяПри контроле используются многие методы и методики. Наряду с традиционными методами контроля, проверки, оценки, учета знаний и умений, применяются тестирование обученности и воспитанности школьников, исследование потенциальных возможностей учеников (это свойство называют обучаемостью ), проектирование индивидуального и личностно ориентированного учебно-воспитательного процесса, другие способы. Современная школьная диагностика – это совокупность методов и методик, позволяющих всесторонне исследовать ученика (класс) в системе педагогических отношений. [7, с. 54] Традиционные методы контроля сегодня подчиняются гуманистической цели и поворачивает в русло новых школьных отношений. Контроль, без которого школа обойтись пока не может, служит не для того, чтобы «приколоть» ученика как бабочку в коллекции к определенному полю – отличников или середняков, но прежде всего для выяснения резервов школьника, его потенциальных возможностей. Может быть, скоро вместо привычных «хорошо» или «плохо» первоклассник понесет домой табель с записями: «По математике – возможности реализованы на треть», «По русскому языку – потенциальный запас не ограничен, но реализован не полностью». Возможно, отомрут, наконец, и оценки с их большей частью отрицательным влиянием на жизнь ребенка. В опыте больших мастеров педагогического труда уже немало примеров успешного безометочного обучения и воспитания. [3, c. 54]. Изменяется не столько назначение контроля и оценки знаний, умений, способов деятельности, сколько их влияние на сознание, чувства, поведение ученика. Но заскорузлая авторитарная педагогика никак не хочет помогать ученику и вновь возвращает ребенка в жесткую систему контролирования. [1, c. 65]. Устный опрос требует устного изложения учеником изученного материала, связного повествования о конкретном объекте окружающего мира. Такой опрос может строиться как беседа, рассказ ученика, объяснение, чтение текста, сообщение о наблюдении или опыте. Устный опрос как диалог учителя с одним учащимся или со всем классом (ответы с места) проводится в основном на первых этапах обучения, когда требуются систематизация и уточнение знаний школьников, проверка того, что усвоено на этом этапе обучения, что требует дополнительного учебного времени или других способов учебной работы. Для учебного диалога очень важна продуманная система вопросов, которые проверяют не только (и не столько) способность учеников запомнить и воспроизвести информацию, но и осознанность усвоения, способность рассуждать, высказывать свое мнение, аргументирование строить ответ, активно участвовать в общей беседе, умение конкретизировать общие понятия. [8, с. 45] Монологическая форма устного ответа не является для начальной школы распространенной. Это связано с тем, что предлагаемый для воспроизведения учащимися материал, как правило, небольшой по объему и легко запоминаем, поэтому целесообразно для монологических ответов учащихся у доски выбирать доступные проблемные вопросы, требующие от школьника творчества, самостоятельности, сообразительности, а не повторения выученного дома текста статьи учебника. Письменный опрос заключается в проведении различных самостоятельных и контрольных работ. Самостоятельная работа – небольшая по времени (15–20 мин) письменная проверка знаний и умений школьников по небольшой (еще не пройденной до конца) теме курса. Одной из главных целей этой работы является проверка усвоения школьниками способов решения учебных задач; осознание понятий; ориентировка в конкретных правилах и закономерностях. Если самостоятельная работа проводится на начальном этапе становления умения и навыка, то она не оценивается отметкой. Вместо нее учитель дает аргументированный анализ работы учащихся, который он проводит совместно с учениками. Если умение находится на стадии закрепления, автоматизации, то самостоятельная работа может оцениваться отметкой. Самостоятельная работа может проводиться фронтально, небольшими группами и индивидуально. Цель такого контроля определяется индивидуальными особенностями, темпом продвижения учащихся в усвоении знаний. Так, например, индивидуальную самостоятельную работу может получить ученик, который пропустил много учебных дней, не усвоил какой-то раздел программы, работающий в замедленном или ускоренном темпе. Целесообразно использовать индивидуальные самостоятельные работы и для застенчивых, робких учеников, чувствующих дискомфорт при ответе у доски. В этом случае хорошо выполненная работа становится основанием для открытой поддержки школьника, воспитания уверенности в собственных силах. Предлагается проводить и динамичные самостоятельные работы, рассчитанные на непродолжительное время (5–10 мин). Это способ проверки знаний и умений по отдельным существенным вопросам курса, который позволяет перманентно контролировать и корректировать ход усвоения учебного материала и правильность выбора методики обучения школьников. Для таких работ учитель использует индивидуальные карточки, обучающие тексты, тестовые задания, таблицы. Контрольная работа используется при фронтальном текущем и итоговом контроле с целью проверки знаний и умений школьников по достаточно крупной и полностью изученной теме программы. Проводятся в течение всего года и преимущественно по тем предметам, для которых важное значение имеют умения и навыки, связанные с письменным оформлением работы и графическими навыками (русский язык, математика), а также требующие умения излагать мысли, применять правила языка и письменной речи (русский язык, окружающий мир, природоведение). Контрольная работа оценивается отметкой. Содержание работ для письменного опроса может организовываться по одноуровневым или по разноуровневым, отличающимся по степени сложности, вариантам. Так, для развития самоконтроля и самооценки учащихся целесообразно подбирать самостоятельные и контрольные работы по разноуровневым вариантам. Предлагаемая детям инструкция объясняет им, что каждый сам может выбрать вариант работы любой сложности. К стандартизированным методикам проверки успеваемости относятся тестовые задания . Они привлекают внимание прежде всего тем, что дают точную количественную характеристику не только уровня достижений школьника по конкретному предмету, но также могут выявить уровень общего развития: умения применять знания в нестандартной ситуации, находить способ построения учебной задачи, сравнивать правильный и неправильный ответы и т.п. Стандартизированные методики позволяют достаточно точно и объективно при минимальной затрате времени получить общую картину развития класса, школы; собрать данные о состоянии системы образования в целом. Особой формой письменного контроля являются графические работы . К ним относятся рисунки, диаграммы, схемы, чертежи и др. Такие работы могут использоваться на уроках по любому предмет. Их цель – проверка умения учащихся использовать знания в нестандартной ситуации, пользоваться методом моделирования, работать в пространственной перспективе, кратко резюмировать и обобщать знания. [9, с. 137] 1.4 Тематический контроль. Его сущность, функции, методы и приёмы проведенияОдним из видов контроля является тематический контроль. Тематический контроль – это вид контроля, который проводится по завершении изучения большой темы. Функции тематического контроля следующие: - систематизировать и обобщить материал всей темы; - путём повторения и проверки знаний предупредить забывание, закрепить его как базу, необходимую для изучения последующих разделов учебного предмета. Особенность проверочных вопросов и заданий в этом случае заключается в том, что они рассчитаны на выявление знаний всей темы, на установление связей со знанием предыдущих тем, межпредметных связей, на умение переноса знаний на другой материал, на поиск выводов обобщающего характера. [10, с. 69] Специфика этого вида контроля: 1) ученику предоставляется дополнительное время для подготовки и обеспечивается возможность пересдать, доедать материал, исправить полученную ранее отметку; 2) при выставлении окончательной отметки учитель не ориентируется на средний балл, а учитывает лишь итоговые отметки по сдаваемой теме, которые «отменяют» предыдущие, более низкие, что делает контроль более объективным; 3) возможность получения более высокой оценки своих знаний. Уточнение и углубление знаний становится мотивированным действием ученика, отражает его желание и интерес к учению. [5.с. 16] В старших классах для проведения тематического контроля могут использоваться коллоквиумы (от лат. colloquium– разговор, беседа). Его методика такова: учащимся заранее объявляется тема и минимум вопросов, указывается литература. Для интересующихся организуются консультации. Коллоквиум чаще всего проводится перед практическими занятиями, например по физике, химии, биологии, труду. От него, как правило, никто не освобождается, проверке подвергаются все ученики. Если кто-либо не справится с заданием – такого ученика учитель вправе не допустить к практической работе: дав консультацию ученику о том, как ликвидировать пробелы в знаниях темы, учитель вновь проверит, усвоил ли ее ученик. [12, с. 92] В начальной школе для проведения тематического контроля могут применяться контрольные работы, тестирование. Кроме этого уместно проводить тематический контроль в форме соревнований, викторин. 1.5 Средства контроляКазалось бы, это чисто технический вопрос. И, в основном, это действительно так. Но помимо этого есть содержательная сторона «инструментария», который используется в процессе контроля, а также методические вопросы их использования. Если иметь в виду устные методы контроля, то в целях увеличения числа отвечающих можно использовать магнитофон. В.Ф. Шаталов из своих наблюдений пришел к выводу, что учащимся на уроке приходится очень мало говорить. Чтобы продлить это время, когда ученику надо устно отвечать, педагог-новатор использует магнитофонную запись. Ответ ученика записывается на магнитную пленку. При этом даже робкий ученик чувствует себя свободно, не стесняется. Затем этот ответ прослушивает либо сам учитель, либо по его поручению – ученик. Ответ анализируется. [17, с. 70] Письменные и графические работы можно контролировать как простейшими, так и более сложными техническими и электронными средствами. Простейшие средства контроля – это перфокарты, электротабло. Перфокарта представляет собой плотную бумажную карточку, на которой написаны вопросы или другие задания. Там же приведены 3–4 варианта ответа. Ученику нужно соответствующим образом – обвести кружком, подчеркнуть и т.п. – отметить тот вариант, который он считает правильным. Имеется шаблон-дешифратор, с которым сопоставляется заполненная карточка. По дешифратору можно определить, правильно ли был дан ответ на карточке. Как сказано, для контроля используются технические и электронные средства (ТС и ЭС) разных конструкций. Но принцип их работы одинаков: ТС (ЭС) предъявляет задания ученику, он их выполняет, а машина (ТС, ЭС) оценивает ответ ученика. В последнее время в связи с внедрением ЭВМ в учебном процессе вычислительная техника используется для контроля знаний учащихся, причем не только по естественным, но и по гуманитарным наукам. Применение ЭВМ как средства контроля имеет ту трудность, что необходимо различные варианты ошибок (или правильных ответов) формализовать и заменить числовым значением, а для последующих операций выработать расчетную формулу. При использовании ТС и ЭВМ как средств проверки знаний у учащихся возникает эмоционально-психологическая ситуация, характерная для системы «человек-машина» («переживающий человек – бесстрастная машина»). [16, с. 93] 1.6 История развития оценочной системыВ педагогической литературе, да и в повседневном разговоре термины «оценка» и «отметка» часто употребляются как синонимы. Хотя они взаимосвязанные, но, все-таки, и как термины, и как понятия их необходимо различать. Взаимосвязь состоит в том, что у них общий объект – знания, умения, навыки и развитие учащихся. Кроме того, отметка всегда выражает также оценку знаний, умений и навыков. Различие же их в следующем: оценка всегда предшествует отметке, отметки без оценки не бывает. И в то же время оценка не всегда или, лучше сказать, в большинстве случаев не становится отметкой, не «переводится» в отметку и остается повседневным компонентом и инструментом учебного процесса. Отметка же как бы «отрывается» от субъекта и объекта оценки, от ученика, который ее получает, и от учителя, который ее выставляет. И отметки начинают как бы самостоятельное существование. По ним выводят процент успеваемости, средний балл учащихся; отметки имеют известное значение в аттестации той же школы, того же учителя и т.д. Эта мысль будет более убедительной, если обратиться к истории оценки и отметки. К 1917 г. в учебных заведениях России (в гимназиях, реальных училищах, духовных семинариях, земских и церковно-приходских школах и др.) существовала пятибалльная цифровая система отметок. Она возникла во второй половине XIX в. и стала не только средством оценки знаний, но и инструментом наказания учащихся, отчуждения их от учителей, породила немало негативных сторон во взаимоотношениях самих детей и подростков. И неудивительно, что передовые и прогрессивные учителя подвергали критике эту систему оценивания. После Октябрьской революции были упразднены все прежние типы школ. В 1918 г. создается единая трудовая школа, в которой труд выступает и как учебный предмет, и как метод учебно-воспитательной работы. В мае 1918 г. было принято решение Наркомпроса РСФСР «Об отмене отметок». Были отменены и экзамены. Вместо балльных отметок вводится своего рода зачет всей группе, бригаде, выполнявшей задание. Бригада отчитывалась не только перед учителем, но и перед всей учебной группой (группой до 1934–1935 учебного года назывался «класс» в современном понимании). Учащиеся коллективно обсуждали отчет бригады. Широко практиковались выставки работ учащихся, отражавшие результаты их учебной деятельности. На выставках были и натуральные предметы, и модели, всевозможные таблицы, диаграммы, чертежи, рисунки, которые давали наглядное представление о том, чего достигли ребята, выполнив задание, закончив тему. Перевод из младшей группы в старшую проводили на основании отзыва педагогического совета школы об успехах учащихся. Практиковалась также коллективная аттестация учебной группой своих товарищей. Обсуждение было взыскательное, принципиальное; при плохой аттестации кого-либо из товарищей требовали даже оставления его на повторный год обучения в той же группе. В этом подходе наблюдаются демократические начала в учете и оценке знаний учащихся, характерные для 20-х годов. Между тем обнаружились и изъяны в таком способе учета. При групповой оценке не всегда были ясны учебные успехи каждого отдельного ученика, хотя, как известно, индивидуальные различия здесь никак отрицать нельзя. Родители не имели представления, в чем и в какой мере силен или слаб их ребенок, обучающийся в школе. У многих детей пропадал стимул к усердным занятиям, так как за общими средними (усредненными) показателями как бы маскировались усилия или, лучше сказать, личный вклад каждого. Учителя стихийно (и особенно под влиянием прежних традиций) стали использовать свои отметки, чаще всего трехбалльные. В связи с этим в сентябре 1935 г. СНК СССР и ЦК ВКП (б) в своем постановлении о школе восстанавливают пятибалльную дифференцированную словесную систему оценок и отметок знаний, умений и навыков учащихся: «отлично», «хорошо», «удовлетворительно», «плохо» и «очень плохо» (до этого использовались и некоторые другие отметки, например, «очень хорошо» (ох.), «хорошо» (хор.), «удовлетворительно» (уд.), «неудовлетворительно» (неуд.)). В виду смысловой неопределенности отметка «удовлетворительно» потом была переименована на «посредственно» (пос). И уже в 1944 г. во всех типах школ вводится вместо словесных цифровая пятибалльная система отметок: «5» – отлично, «4» – хорошо, «3» – посредственно, «2» – плохо,» 1» – очень плохо. [1, с. 67 – 95] В настоящее время в нашей стране используется десятибалльная система оценки результатов учебной деятельности учащихся. Основными факторами , обусловливающими введение десятибалльной системы оценивания учебных достижений учащихся, являются: · низкая стимулирующая, диагностическая и прогностическая функция пятибалльной системы оценивания; · использование неудовлетворительной отметки (двойки, тройки при пятибалльной системе), как средства наказания, подавления личности, нагнетания страха и тревожности как у школьников, так и их родителей; · завышенные критерии оценки для тех учащихся, которые в силу своих индивидуальных особенностей не могли достичь требуемых результатов для получения отметки «три»; · обеспечение социальной защищённости личности учащегося при десятибалльной системе; · создание условий для формирования адекватной самооценки личности учащегося; · восходящий принцип оценивания при 10-балльной системе, т.е. отсутствие неудовлетворительных отметок; · интегративный подход в оценивании учебных достижений учащихся с учётом индивидуальных свойств личности (индивидуальности) и личностных качеств. Основными функциями 10-балльной системы оценки результатов учебной деятельности учащихся являются: образовательная, ориентирующая педагога на использование разнообразных форм, методов и средств контроля результатов обучения, содействующих продвижению учащихся к достижению более высоких уровней усвоения учебного материала; стимулирующая, заключающаяся в установлении динамики достижений учащихся в усвоении знаний, характера познавательной деятельности и развитии индивидуальных качеств и свойств личности на всех этапах учебной деятельности; диагностическая, обеспечивающая анализ, оперативно-функциональное регулирование и коррекцию образовательного процесса и учебной деятельности; контролирующая, выражающаяся в определении уровня усвоения учебного материала при различных видах контроля и аттестации учащихся; социальная, проявляющаяся в дифференцированном подходе к осуществлению контроля и оценке результатов учебной деятельности учащихся с учетом их индивидуальных возможностей и потребностей в соответствии с социальным заказом общества и государства. Для оценки результатов учебной деятельности учащихся выделяется пять уровней усвоения учебного материала. Первый уровень (низкий) – действия на узнавание, распознавание и различение понятий (объектов изучения). Второй уровень (удовлетворительный) – действия по воспроизведению учебного материала (объектов изучения) на уровне памяти. Третий уровень (средний) – действия по воспроизведению учебного материала (объектов изучения) на уровне понимания; описание и анализ действий с объектами изучения. Четвертый уровень (достаточный) – действия по применению знаний в знакомой ситуации по образцу; объяснение сущности объектов изучения; выполнение действий с четко обозначенными правилами; применение знаний на основе обобщенного алгоритма для решения новой учебной задачи. Пятый уровень (высокий) – действия по применению знаний в незнакомых, нестандартных ситуациях для решения качественно новых задач; самостоятельные действия по описанию, объяснению и преобразованию объектов изучения. Установленные уровни усвоения учебного материала в целях осуществления контрольно-оценочной деятельности соотносятся с основными функциями учебного процесса – распознавания, описания, объяснения и преобразования реальных и идеальных объектов изучения. Основные результаты учебной деятельности учащихся по распознаванию объектов изучения, предъявленных в готовом виде, проявляются в их узнавании, обнаружении, опознании, различении по существенным признакам и свойствам и могут быть выражены словесно, образно, в действии. Овладение функцией описания проявляется в воспроизведении учащимися отдельных сторон усваиваемого содержания, связей между его различными объектами и на этой основе осуществляется их перечисление, упорядочивание, группировка, классификация и демонстрация путем повествования, рассказа, выполнения упражнений, задач и заданий по известным правилам или образцу. Описание как функция учебного процесса включает и широкий круг видов учебной деятельности, опирающихся на мыслительные операции наблюдения, сравнения, анализа и синтеза. Функция объяснения заключается в раскрытии сущности объекта изучения, требует от учащихся его предварительного описания и проявляется в установлении и обосновании закономерных связей и отношений, формулировании утверждений, демонстрации доказательств путем доводов и аргументов, логических выводов, выполнения различных заданий на основе известных правил, предписаний, схем, алгоритмов. Освоение учащимися процедуры объяснения свидетельствует о том, что они умеют применять ранее усвоенные знания, пользоваться разными источниками знаний и применять их содержание для решения познавательных и учебных задач, оформления результатов работы – владеют и оперируют программным учебным материалом в знакомой ситуации. Сформированность преобразовательной функции проявляется во владении и оперировании учащимися усвоенным учебным материалом как на основе заданных условий, ориентиров, известных правил и предписаний, так и в самостоятельном конструировании новых способов решения учебных задач, видоизменении объекта изучения, построении алгоритмов для выполнения заданий, получении практических результатов, связанных с конкретной ситуацией, степень знакомства с которой может быть различной. Основными показателями соответствия результатов учебной деятельности учащихся установленным уровням усвоения учебного материала выступают мыслительные, словесно-логические, знаковые и предметные действия и операции по распознаванию, описанию, объяснению и преобразованию реальных и идеальных объектов изучения. При этом распознавание, воспроизведение программного учебного материала, владение и оперирование им в знакомой и незнакомой ситуациях характеризуются полнотой, осознанностью, системностью, прочностью, мобильностью знаний, а также степенью познавательной самостоятельности учащихся в выполнении учебных задач. Установленные уровни характеризуют степень усвоения знаний, развития умственных и практических действий, общеучебных, специальных предметных и других умений, познавательной самостоятельности учащихся. На каждом из уровней осуществляется градация отметок по два балла по возрастающей от 1 до 10 баллов в виде 10-балльной шкалы оценки результатов учебной деятельности учащихся (табл. 1). На основании представленной 10-балльной шкалы оценки результатов учебной деятельности учащихся устанавливаются соответствующие нормы оценки по всем предметам. [14, с. 93–94] Таблица 1. Десятибалльная шкала оценки результатов учебной деятельности учащихся
1.7 Контрольно-оценочная деятельность при безотметочном обученииКонтроль и оценка результатов учебной деятельности школьников является существенной составляющей процесса обучения и одной из важных задач педагогической деятельности учителя. Система контроля и оценки учебной работы школьника не может ограничиваться утилитарной целью – проверкой усвоения знаний и выработки умений и навыков по конкретному учебному предмету. Она ставит более важную социальную задачу: развить у школьников умение проверять и контролировать себя, критически оценивать свою деятельность, устанавливать ошибки и находить пути их устранения. [15, с. 113]. Основными отрицательными «эффектами» отметки для детей лет являются: - искажение отношений между учениками, учителями, родителями; - повышение чувства школьной тревожности и возникновение неврозов; - невозможность отслеживания динамики школьных успехов учеников. С помощью отметки закладывается основа ложной самооценки ученика. Одни дети перестают думать о содержании обучения, а начинают в первую очередь «зарабатывать» хорошие отметки, другие не хотят ничего учить, считая, что они не нравятся учителю, и как бы ни отвечали, все равно не получат высокий балл. Для слабых учеников отметка психологически травматична, потому что фиксирует их неуспешность в классе и создает дополнительные сложности в отношениях с родителями. Для сильных учеников забота о том, чтобы поддержать свой статус «отличника», становится главной целью. Объективность самооценки имеет большое значение в жизни человека. Люди с неадекватной самооценкой, как с завышенной, так и с заниженной, чаще всего не достигают успеха в жизни. При заниженной самооценке учащийся думает о себе как о неспособном, неудачнике. Это позиция героя известного мультфильма Иа-Иа: «Хуже меня не бывает: я самый уродливый, самый глупый, самый робкий, самый неловкий, самый невезучий…!» [18, с. 14]. При завышенной оценке своих результатов учащийся считает, что он всего достиг и ему незачем прилагать усилия. Это позиция другого героя – Карлсона: «Я – самый лучший в мире: самый красивый, самый умный, самый храбрый, самый ловкий, самый везучий.!» [18, с. 14]. Когда человек говорит: «Это я могу сделать!», он говорит сразу о нескольких вещах. Во-первых, он пытается сообщить о том, что он уверен в своих силах, в своих возможностях. Во-вторых, что он компетентен в деле за которое берется и готов отвечать за него. В первом случае говорится об общей самооценке, т.е. о самоуважении, самопринятии, во втором – о конкретной самооценке, которая зависит полностью от полноты самопринятия. Только человек с адекватной самооценкой может конструктивно относиться к своим успехам или неудачам, а не искать виновного в допущенных промахах. Два первых года обучения в начальной школе позволяют заложить основу для дальнейшего формирования адекватной самооценки ребенка. На первом и втором годах обучения система контроля и оценки строится на содержательно-оценочной основе без использования отметки как формы количественного выражения оценочной деятельности. Основными принципами безотметочного обучения являются: • критериальность, т.е. контроль и оценка строятся на критериальной, выработанной совместно с учащимися основе. Часто ребенок в школьной жизни сталкивается с тем, что ему не ясно, какая именно его работа (или ее часть) оценена и по каким критериям. Это происходит потому, что функция контроля и оценки обычно находится в руках взрослого. Чтобы изменить данную ситуацию, необходимо добиваться, чтобы все дети знали: за что и какую оценку можно получить при выполнении определенной работы. На первоначальном этапе обучения нельзя вводить оценку за всю работу, т. к. ребенку трудно удержать в памяти все требования к решаемой задаче. Критерии должны быть однозначными и предельно четкими; • приоритет самооценки. Самооценка ребенка должна предшествовать оценке взрослого. Это позволит ученику увидеть, что любая выполняемая работа прежде всего делается для него самого, а не для кого-то. При отметочной системе, когда контрольно-оценочная деятельность всецело принадлежит учителю, этого не происходит. Что бы ни сделал ребенок, его оценивает педагог; • непрерывность. В школьной практике отметка чаще всего фиксирует конечный результат, а не продвижение к нему. При безотметочном обучении имеется возможность отслеживать весь процесс, всякое вложение сил и энергии в достижение результата. Согласно принципу «природосообразности» в обучении, ребенок, как и любой другой человек, получает право на ошибку, которую он может обнаружить, исправить и это будет являться не недочетом, а прогрессом в обучении. Если я сам нашел у себя ошибку, исправил ее, то есть большая вероятность того, что в подобном случае она не повторится. При отметочной системе можно увидеть следующую картину: ошибки исправил учитель, провел с детьми работу над ошибками, а в следующей работе в этих же словах многие ученики допускают аналогичные ошибки; • гибкость и вариативность инструментария оценки. При организации контрольно-оценочной деятельности используются различные оценочные шкалы («волшебные линеечки», балльная система (0,1,2 и др.), знаки «+», «–» и др.), которые позволяют наиболее объективно оценить любую выполненную работу сначала самим учеником, а затем и взрослым; • сочетание качественной и количественной составляющих оценки. Данные составляющие позволяют наиболее объективно и полно увидеть динамику развития учащегося на протяжении года, от класса к классу. Качественная составляющая поможет отразить такие важные человеческие характеристики как коммуникативность, умение работать в группе, индивидуальный стиль мышления, уровень прилагаемых усилий для выполнения задания. • естественность процесса контроля и оценки. При безотметочном обучении контроль и оценка осуществляются в естественных условиях, что позволяет избежать многих негативных явлений школьной жизни. При отметочной системе любой контроль вызывает у учащихся чувство напряжения, тревоги, а во многих случаях и страха, что негативно сказывается как на психофизическом здоровье детей, так и на результатах выполненной работы. Во многих случаях наблюдается следующая картина: во время индивидуальной работы на уроке, при устных ответах, при выполнении домашних заданий ученик не допускает ошибки на изученное правило, алгоритм действия, способ работы и получает высокую отметку, но как только проводится контрольная работа, показатели у данного ученика резко падают. В результате отметка за контрольную работу «6» или «7». Одной из причин такого результата является боязнь допустить ошибку, исправление. При безотметочном обучении ребенок не боится допустить ошибку или исправление, у него снижается чувство школьной тревожности. Ошибка, которую ученик нашел и исправил при самоконтроле, является «плюсом» в его работе, а не недостатком. Он сам нашел ошибки в своей работе, что означает наличие у него навыка самоконтроля. Отказ от выставления отметок в баллах обусловлен необходимостью учитывать психологические особенности ребенка младшего школьного возраста, который пока еще не умеет объективно оценивать результаты своей деятельности, осуществлять контроль и самоконтроль, оценку и самооценку, неадекватно воспринимает оценку взрослого. Замена отметок звездочками, флажками, другими внешними атрибутами недопустима, так как при этом функции отметки берет на себя этот предметный знак, и отношение ребенка к нему идентично отношению к обычной отметке. Тем более, что дети легко соотносят различные «отметкозаменители» с существующими нормами 10-балльной системы оценки результатов учебной деятельности и делают соответствующие выводы: «Я – хороший, а ты – плохой, потому что я получил за неделю восемь солнышек с десятью лучиками, а ты ни одного». Ребенок, получивший ромашку, у которой нет ни одного лепестка, почувствует себя обделенным, и в дальнейшем у него будет усиливаться чувство школьной тревожности, что в значительной мере скажется на здоровье. В той же самой мере это относится и к записям в рабочих тетрадях: «Молодец! Умница!» и т.д. Дети «коллекционируют» такие записи и не всегда понимают, за что их похвалили. Шести-семилетние дети не могут развести понятия «оценка за работу» и «личное отношение к человеку». Другими словами, для таких детей слабо дифференцированы как количественная, так и качественная сторона суждения взрослых. Отсутствие отметок ни в коем случае не означает полный отказ от системы контроля и оценки. Напротив, отметка заменяется развернутой системой оценочных взаимоотношений, сотрудничеством ребенка и взрослого в контрольно-оценочной деятельности. Ребенок нуждается в оценке буквально каждого своего усилия. «Я говорю ребенку «Спасибо!», если он проявляет интерес к знаниям, проблески самостоятельности и вдумчивости, храбрости и упорства. Ведь тем самым он становится моим помощником в своем воспитании и обучении. Надо поощрять любое старание ребенка, его попытки подняться еще на одну ступеньку своего развития, становления, и я не нахожу лучшего педагогического способа, чем выражать свою радость и благодарность, свое дружеское отношение к нему» [1, с. 69]. На первых порах содержательная словесная оценка максимально дифференцируется. В процессе обучения у школьников надо формировать умение самостоятельно осуществлять контроль и оценку своей деятельности, сравнивать результаты с эталоном, находить и исправлять ошибки. От уровня сформированности данных умений зависит адекватность принятия ребенком оценки учителя. 2. Экспериментальная работа2.1 Методические разработки2.1.1Периодический закон и периодическая система химических элементов Д.И. Менделеева на основе учения о строении атомовПри изучении неорганической химии вы ознакомились с открытием периодического закона Д.И. Менделеева и с данной им формулировкой этого закона. На основе теории строения атомов периодический закон Д.И. Менделеева формулируется так: Свойства химических элементов и образуемых ими простых и сложных веществ находятся в периодической зависимости от заряда ядра атомов этих элементов. Так теория строения атомов позволила уточнить формулировку периодического закона и более глубоко раскрыть его сущность. Определение закономерностей размещения электронов по энергетическим уровням дало возможность выяснить сущность явления периодичности: с возрастанием заряда ядра атомов периодически повторяются сходные свойства элементов, атомы которых имеют одинаковое число валентных электронов. Для создания современной теории строения атомов нельзя было объяснить и другие закономерности, проявляющиеся в периодическом законе и периодической системе химических элементов Д.И. Менделеева. Так, например, непонятно было, почему число элементов в периодах возрастает согласно ряду чисел 2–8–18–32, т.е. почему в 1-м периоде только два элемента, во 2-м и 3-м – по восемь, в 4-м и 5-м – по восемнадцать, а в 6-м – тридцать два. Нельзя было объяснить и сущность отличительных свойств элементов главных и побочных групп. Ответы на эти вопросы были получены только после выяснения состояния электронов в атомах, которые с учетом характера их движения и энергии делятся на s-, p-, d- и f-электроны. – электроны. Основные сведения о s-, p- и d-электронах и s-, p- и d-элементах даны в курсе неорганической химии. s-Электронные облака имеют шаровую форму и, следовательно, занимают одно положение в пространстве. На s-орбитали может находиться не более двух электронов (если там находиться два электрона, то их спины противоположны), поэтому в 1-м периоде имеется всего два элемента – водород и гелий.
Рис. 1. Форма s-электронного облака p-Электронное облако имеет гантелеобразную форму. При заданном квантовом числе таких облаков три. Они могут располагаться в трех взаимно перпендикулярных направлениях. А так как и p-электроны тоже отличаются своими спинами, то на данном энергетическом уровне может поместиться от одного до шести p-электронов.
Рис. 2. Форма p-электронного облака В соответствии с известной вам формулой N=2n² всего на втором энергетическом уровне может поместиться восемь электронов, два из которых являются s-электронами, а шесть – p-электронами. Этим и объясняется, почему во 2-м периоде может быть восемь элементов. 2-й период заканчивается элементом неоном Ne. Элементом неоном Ne заканчивается 2-й период и заканчивается заполнение электронами второго энергетического уровня.
3-период начинается одиннадцатым элементом – натрием Na. Так как второй энергетический уровень электронами уже заполнен, то с элемента натрия начинается заполнение третьего энергетического уровня. Оно протекает более сложно, ибо на нем в соответствии с формулой N=2n² может поместиться восемнадцать электронов.
Заполнение третьего энергетического уровня, начиная с одиннадцатого элемента – натрия Na до восемнадцатого элемента – аргона Ar, протекает аналогично заполнению электронами второго энергетического уровня. Девятнадцатый же электрон у элемента калия К и двадцатый электрон у элемента кальция Ca помещаются на четвертом энергетическом уровне, хотя третий энергетический уровень электронами еще не заполнен. Далее, у следующих по порядку десяти элементов, начиная от двадцать первого элемента – скандия Sc до тридцатого элемента – цинка Zn, следующие по порядку электроны помещаются на третьем энергетическом уровне. Этим завершается его заполнение до восемнадцати электронов.
Рис. 3. Возможные направления p-электронных облаков в пространстве.Может возникнуть вопрос: что представляет собой десять электронов, которыми заполняются энергетические уровни у атомов элементов от скандия до цинка? Оказывается, эти электроны при своем движении в области пространства образуют облака еще более сложной формы. Доказано, что такой формы облака располагаются в пространстве по пяти различным направлениям. Учитывая, что электроны могут обладать противоположными (антипараллельными) спинами, их может быть в атомах от одного до десяти. Электроны с такой формой облаков называются d-электронами. Следовательно, на третьем энергетическом уровне может разместиться два s-электрона, шесть p-электронов и десять d-электронов, т.е. всего восемнадцать электронов. 2.1.2 Положение в периодической системе химических элементов Д.И. Менделеева водорода, лантаноидов, актиноидов и искусственно полученных элементовПоложение водорода в периодической системе химических элементов Д.И. Менделеева. Вы, вероятно, заметили, что химический знак водорода обычно помещен и в главной подгруппе I, и в главной подгруппе VII группы. Возникает вопрос: почему это так? Чтобы ответить на него, вспомним основные химические свойства простого вещества водорода. Водород является восстановителем, т.е. донором электронов. Учитывая аналогию свойств водорода и элементов металлического характера, химический знак водорода помещают в главной подгруппе I группы. Однако водород реагирует и с металлическими элементами главной подгруппы I группы. В этих реакциях водород проявляет окислительные свойства и приобретает степень окисления -1.
На основе этого химический знак водорода помещают в главную подгруппу VII группы. Так как для водорода более характерны восстановительные свойства, чем окислительные, его химический символ в VII группе обычно пишут в скобках.
Положение лантаноидов и актиноидов в периодической системе химических элементов Д.И. Менделеева. К лантаноидам относятся четырнадцать химических элементов – от церия Ce до лютеция Lu (порядковые номера 58–71). Так как в их атомах содержатся f-электроны, лантаноиды относятся к f-элементам. В свободном состоянии лантаноиды – типичные металлы. К актиноидам относятся четырнадцать химических элементов – от тория Th до лоуренсия Lr (порядковые номера 90–103). Так как в атомах этих элементов также присутствуют f-электроны, то актиноиды, как и лантаноиды, относятся к f-элементам. Как и в случае лантаноидов, у атомов элементов семейства актиноидов происходит заполнение третьего снаружи энергетического уровня (5 f-подуровня). Строение же наружного и, как правило, предшествующего электронных уровней остается неизменным. Поэтому лантаноиды сходны по химическим свойствам. Все актиноиды радиоактивны. Торий Th, протактиний Pa и уран U встречаются в природе в виде изотопов с большим периодом полураспада. Остальные актиноиды в основном поучены искусственным путем. Уран U, плутоний Pu и некоторые другие актиноиды используются для получения ядерной энергии. Химические знаки лантаноидов и актиноидов обычно помещают в два ряда в периодической системе под группами химических элементов. Искусственно получаемые химические элементы образуются в ядерных реакциях. В таблице периодической системы химических элементов Д.И. Менделеева они помещены в соответствии с электронным строением их атомов. 2.1.3 Валентность и валентные возможности атомовПонятие «Валентность» относится к важным понятиям химии. Слово «валентность» (от лат. «valentia ») возникло в середине ХІХ в. в период завершения химико-аналитического этапа развития химии. В настоящее время валентность химических элементов принято определять числом ковалентных связей, которыми данный атом соединен с другими атомами. Валентность – это способность атома химического элемента образовывать определенные число химических связей. Валентность – способность атомов одного элемента присоединять определенное количество атомов другого элемента. Валентность и валентные возможности – важные характеристики химического элемента. Они определяются структурой атомов и периодически изменяются с увеличением зарядов ядер. Что по вашему означает понятие валентность? (мнение учащихся). Валентность, значит возможность – средство, условие, необходимое для осуществления чего-нибудь; возможный – такой, который может произойти, допустимый. Валентные возможности атомов – это допустимые валентности элемента, весь спектр их значений в различных соединениях. Поскольку валентность атома зависит от числа неспаренных электронов, рассмотрим структуры атомов в возбужденных состояниях учитывая валентные возможности. Запишем электронографические формулы распределения электронов по орбиталям в атоме углерода. С их помощью определим, какую валентность проявляет углерод С в соединениях. Звездочкой (*) обозначают атом в возбужденном состоянии:
Таким образом, углерод проявляет валентность IV за счет распаривания 2S²-электронов и перехода одного из них на вакантную орбиталь. (Вакантный – незанятый, пустующий). Периодическое изменение валентности и размеров атомов Периодическое изменение валентности элементов и, следовательно, их свойств обусловлено тем, что с возрастанием зарядов ядер атомов периодически повторяются элементы со сходной электронной структурой, например литий Li, натрий Na и калий K; бериллий Be, магний Mgи т.д. В периодической последовательности возрастают атомные радиусы этих элементов. Так, например, во 2 – ом периоде от элемента лития Li до элемента фтора F происходит постепенное уменьшение атомных радиусов, а от элемента фтора F к элементу натрию Na – резкое увеличение атомных радиусов. Объясняется это явление так.
При переходе от лития Li к фтору F постепенно возрастают заряды ядер атомов этих элементов. В связи с этим в ряду постепенно увеличивается сила притяжения наружных электронов к ядру и размеры атомов уменьшаются. А с переходом от элемента фтора F к элементу натрию Na последующий электрон помещается на более удаленный от ядра третий энергетический уровень. Поэтому размеры атомов элемента натрия Na сильно возрастают. Размеры атомов, в свою очередь, влияют на их свойства. Так, например, атомы элементов лития Li, натрия Na, калия K обладают наибольшими размерами по сравнению с атомами других элементов в тех же периодах. В связи с этим наружные электроны в атомах щелочных металлов находятся дальше от ядра, слабее притягиваются к нему и могут легко удаляться. Этим и объясняется, почему щелочные металлы являются донорами электронов, т.е. сильными восстановителями. При переходе в периодах от типичных металлических элементов к галогенам размеры атомов уменьшаются, сила притяжения наружных электронов к ядру увеличивается, что и приводит к уменьшению восстановительных и увеличению окислительных свойств. В связи с периодическим изменением валентности химических элементов периодически изменяются также формы (состав, строение) и свойства оксидов и водородных соединений (гидридов) химических элементов. Так, например, оксид лития Li₂O, оксид натрия Na₂O, оксид калия K₂O сходны не только по составу и строению, но и по свойствам. Все они бурно реагируют с водой с образованием соответствующих оснований, обладающих сильнощелочными свойствами. Однако между этими оксидами имеются различия. От оксида лития к оксиду калия, т.е. группе сверху вниз, основные свойства оксидов усиливаются. Например, оксид калия образует сравнительно более сильную щелочь, чем оксид натрия. Такая же закономерность наблюдается и в других группах. Так, например, высшие оксиды ІV группы главной подгруппы – оксид углерода (ІV) CO₂, оксид кремния (ІV) SiO₂, оксид германия GeO₂, оксид олова (ІV) SnO₂, оксид свинца PbO₂ – сходны по составу и по некоторым свойствам. Однако оксид углерода (ІV) и свинца (ІV) амфотерны – у них кислотные свойства выражены еще слабее. Периодически изменяются также формы и свойства гидроксидов. Металлы I–III групп главных подгрупп с водородом образуют нелетучие водородные соединения. Так, например, гидрид лития LiH, гидрид натрия NaH, гидрид калия KH сходны между собой как по форме, так и по свойствам. Элементы ІV – VІІ групп главных подгрупп образуют летучие водородные соединения. Формы и свойства этих соединений тоже изменяются периодически. Так, например, водородные соединения галогенов – фтороводород HF, хлороводород HCl, бромоводород HBr, иодоводород HI – сходны как по форме, так и по свойствам. 2.1.4 Основные типы химической связиИз курса химии VIII класса вам известно, что атомы могут соединяться друг с другом с образованием как простых, так и сложных веществ. При этом возникают различного рода химические связи: ионная, ковалентная (неполярная и полярная), металлическая и водородная. Вспомним, что один из существующих показателей, определяющих, какая связь образуется между атомами – ионная или ковалентная, – это электроотрицательность, т.е. способность атомов притягивать к себе электроны от других атомов. При этом следует учесть, что эектроотрицательности атомов элементов изменяются постепенно. В периодах периодической системы слева направо численные значения электроотрицательностей возрастают, а в группах сверху вниз – уменьшаются. Так как тип связи зависит от разности значений электроотрицательностей соединяющихся атомов элементов, то провести резкую границу между отдельными типами химической связи нельзя. В зависимомти от того, к какому из предельных случаев химическая связь ближе по своему характеру, ее относят к ионной или ковалентной полярной. Ионная связь. Ионная связь образуется при взаимодействии атомов, которые сильно различаются по электротрицательностям. Например, типичные металлы – литий Li, натрий Na, калий K, кальций Ca, стронций Sr, барий Ba – образуют ионную связь с типичными неметаллами, в основном с галогенами. ¢Следует учесть, что при взаимодействии даже щелочных металлов с такими электроотрицательными элементами, как кислород и сера, ионная связь в полном смысле этого понятия возникает. Так, например, в соединениях Li₂O, Na₂S существует не ионная, а ковалентная сильнополярная связь. _________________ Кроме галогенидов самых активных металлов, ионная связь характерна для щелочей и солей, в которые входят атомы кислорода и активных металлов. Например, в гидроксиде натрия NaOH и в сульфате натрия Na₂SO₄ ионными являются только связи между атомами натрия и кислорода. Остальные связи ковалентные полярные. В разбавленном водном растворе щелочи и соли диссоциируют так:
Между ионами существуют сильные электростатические силы притяжения. Поэтому ионные соединения обладают сравнительно высокими температурами плавления. Ковалентная неполярная связь. При соединении атомов с одинаковыми электроотрицательностями образуются молекулы с ковален6тной неполярной связью. Вспомним, что такая связь, например, существует в молекулах газообразных веществ, состоящих из одинаковых атомов: H₂, F₂, Cl₂, O₂, N₂. В этих случаях химические связи образуются за счет общих электронных пар, т.е. при перекрывании соответствующих электронных облаков, обусловленном электронно-ядерным взаимодействием, которое осуществляется при сближении атомов. Рассмотрим последовательность составления электронных формул веществ с ковалентной неполярной связью (на примере молекулы азота N₂). 1) Рисуют схему распределения электронов по энергетическим уровням и подуровням в атоме азота:
2) Отмечают, что в атоме азота имеется три неспаренных электрона, которые образуют между атомами азота три связывающие электронные пары:
3) Оставшуюся на наружном электронном уровне электронную пару у каждого атома азота изображают в виде неподеленной:
Приводя электронные формулы веществ, всегда необходимо помнить, что общая электронная пара, обозначаемая точками, представляет собой новое облако, образующееся при перекрывании соответствующих электронных облаков. В молекуле азота перекрываются p-электронные облака и образуется одна σ- и две π-связи. В данном случае образуется прочная тройная связь. В отличие от взаимодействия ионов силы притяжения между отдельными нейтральными молекулами малы, поэтому вещества с ковалентной неполярной связью обладают низкими температурами плавления. Ковалентная полярная связь. При взаимодействии атомов, электроотрицательности которых отличаются незначительно, происходит смещение общей связывающей электронной пары к более электроотрицательному атому и образуется ковалентная полярная связь. Так как между полярными молекулами также существуют силы электростатического притяжения, то температуры плавления и кипения этих соединений гораздо выше, чем у веществ с ковалентной неполярной связью. К ковалентным полярным относятся и те связи, которые образованы по донорно-акцепторному механизму, например в онах гидроксония и аммония. Ковалентная полярная связь наиболее распространенный тип химической связи, встречающаяся как в неорганических, так и в органических соединениях. Металлическая связь. Связь, которую осуществляют относительно свободные электроны между ионами металлов в кристаллической решетке, называется металлической связью.
Сущность образования металлической связи состоит в следующем. Атомы металлов легко отдают наружные электроны, и некоторые из них превращаются в положительно заряженные ионы. Оторвавшиеся от атомов электроны относительно свободно перемещаются между возникшими положительными ионами металлов. Между этими частицами возникает металлическая связь, т.е. электроны как бы цементируют положительные ионы в металлической решетке. Таким строением металлов обусловлены и их характерные физические свойства.
Рис. 5. Связь строения кристаллических решеток с механической прочностью соответствующих веществ; 1-атомная решетка; 2-ионная решетка; 3-металлическая решетка Проводимость электричества и теплоты зависит от наличия в металлических решетках свободных электронов. Ковкость и пластичность металлов объясняются тем, что ионы и атомы металлов в металлической решетке друг с другом непосредственно связаны и отдельные их слои могут свободно перемещаться один относительно другого. Водородная связь. Связь между атомами водорода одной молекулы и сильноотрицательными элементами (O, N, F) другой молекулы называется водородной связью. Может возникнуть вопрос: почему именно водород способен образовывать такие специфические химические связи? Это связано с тем, что атом водорода обладает очень маленьким радиусом и при смещении или отдаче единственного электрона водород приобретает относительно сильный положительный заряд, который действует на электроотрицательные элементы в молекулах веществ. Рассмотрим некоторые примеры. Мы привыкли состав воды изображать формулой H₂O, но правильнее было бы состав воды обозначать формулой (H₂O) n, где n равно 2, 3, 4 и т.д., так как отдельные молекулы воды соединены водородными связями, которые схематически изображают точками:
Водородная связь гораздо более слабая, чем ионная или ковалентная, но более сильная, чем межмолекулярное взаимодействие. Образованием водородных связей объясняется, почему объем воды в отличие от объемов других веществ при понижении температуры увеличивается. При изучении органической химии возникал и такой вопрос: почему у спиртов температуры кипения гораздо выше, чем у соответствующих углеводородов? Оказывается, между молекулами спиртов тоже происходит химическое взаимодействие с возникновением водородных связей:
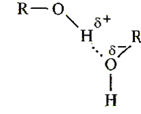
Вам уже известно, что Д.И. Менделеев изучал процесс растворения спирта в воде. Он пришел к выводу, что при растворении одновременно происходят и химические процессы, например взаимодействие молекул спирта с молекулами воды:
Водородная связь характерна для многих органических соединений (фенолов, альдегидов, карбоновых кислот и др.). за счет водородной связи образуется вторичная структура белков, двойная спираль ДНК. 2.1.5 Типы кристаллических решеток и свойства веществВещества в твердом состоянии, как правило, имеют кристаллическое строение, для которого характерно правильное, строго периодическое расположение частиц в пространстве. Если обозначить все частицы в виде точек и соединить эти точи пересекающимися прямыми линиями, то образуется как бы пространственный каркас – кристаллическая решетка. В зависимости от того, какая частица находится в узлах решетки, различают ионные, атомные, молекулярные и металлические кристаллические решетки.
Рис. 6.Плоская треугольная молекула трихлорида бора BCl₃. Свойства кристаллических веществ зависят от типа химической связи, существующей между частицами. Основные типы кристаллических решеток и зависимость свойств кристаллических веществ от характера сил взаимодействия между частицами вам известны из курса неорганической химии. 2.1.6 Дисперсные системыПри изучении неорганической химии вы приобрели первые представления о растворах и процессе растворения веществ в оде. Там же упоминалось, что при смешивании веществ с водой образуются и однородные системы (характерное свойство растворов), и неоднородные, т.е. суспензии и эмульсии. При растворении вещества измельчаются – дробятся. Поэтому истинные растворы, а также суспензии и эмульсии относят к дисперсным системам (диспергирование означает раздробление). Дисперсных систем известно много. Они различаются между собой в зависимости от того, такие частицы (твердые, жидкие, газообразные) и в какой среде (жидкой, газообразной) распределены. Так, например, одной из таких дисперсных систем является дым или пыль в воздухе: воздух – смесь газов, а частицы – мелкие капли жидкости. Обе дисперсные системы относятся к типу аэрозолей. Наибольшее значение в практике имеют дисперсные системы, в которых средой являются вода и другие жидкости. Эти системы в зависимости от размеров частиц подразделяются на истинные растворы, или просто растворы, коллоидные растворы и грубодисперсные системы, или суспензии и эмульсии. Следовательно, истинные растворы тоже относятся к дисперсным системам, но в них диспергированные частицы исключительно малы. Именно поэтому истинные растворы называют однородными системами, ибо их неоднородность нельзя обнаружить даже с помощью ультрамикроскопа. В истинных растворах диспергированными частицами являются отдельные молекулы, ионы или их гидраты. Размеры этих частиц меньше (10־⁹) нм. Большое значение имеют и коллоидные растворы. Как следует из данных таблицы, они отличаются от истинных растворов размерами частиц растворенного вещества и специфическими свойствами. Если в истинных растворах диаметр частиц меньше 1 нм, то размеры частиц в коллоидных растворах составляют от 1 до 100 нм и даже больше. Эти частицы обычно состоят из множества молекул и атомов. Так как размеры молекул некоторых высокомолекулярных веществ превышают 1 нм, то растворы этих веществ, например белков, тоже коллоидные растворы. Коллоидные растворы образуются при растворении в воде некоторых высокомолекулярных веществ, например белков, а также при химических реакциях, Так, при взаимодействии растворов силикатов с кислотами выделяется кремниевая кислота, которая с водой образует коллоидный раствор. Характерное свойство коллоидных растворов – их прозрачность. В этом они сходны с истинными растворами. Но если пропустить луч света через эти растворы, то можно обнаружить их отличие: при прохождении луча через коллоидный раствор появляется светящийся конус, так как коллоидные частицы крупнее частиц в истинных растворах и поэтому способны рассеивать проходящий свет. Наиболее распространенным растворителем является вода. Кроме воды, в качестве растворителей используют и другие жидкости. В отличие от суспензий и эмульсий коллоидные растворы не отстаиваются в течение длительного времени, так как их частицы сравнительно малы и находятся в постоянном движении в результате действия молекул растворителя. Почему при взаимных столкновениях коллоидные частицы не слипаются? Это объясняется тем, что вещества в коллоидном, т.е. в мелкораздробленном, состоянии обладают большой поверхностью. На этой поверхности адсорбируются либо положительно, либо отрицательно заряженные ионы. При кипячении некоторых коллоидных растворов происходит десорбция заряженных ионов, т.е. коллоидные частицы теряют заряд, начинают укрупняться и оседают. То же самое наблюдается при приливании какого-либо электролита. В этом случае коллоидная частица притягивает к себе противоположно заряженный ион и ее заряд нейтрализуется. Слипание коллоидных частиц и их оседание из раствора называется коагуляцией. Коллоидные растворы широко распространены в природе и играют важную роль в жизненных процессах. Так, например, яичный белок, плазма крови представляют собой коллоидные растворы, в которых осуществляются физиологические процессы. Не меньшее значение имеют коллоидные растворы почвы. Очень велика роль коллоидных растворов на производстве. Различные клеи, лаки и краски в основном коллоидные растворы. Некоторые коллоидные растворы при коагуляции образуют студнеобразную массу, которую называют гелем (студнем). Например, 3%-ный раствор желатина в теплой воде превращается в гель, или студень. Это объясняется тем, что коллоидные частицы связывают множество молекул воды. 2.2 Контрольные вопросы для проверки качества знаний1. Сформулируйте определение периодического закона Д.И. Менделеева. Ответ :Свойства химических элементов и образуемых ими простых и сложных веществ находятся в периодической зависимости от заряда ядра атомов этих элементов. 2. Разъясните, почему химический знак водорода обычно помещают в главной подгруппе I группы и в главной подгруппе VІІ группы. Ответ: Водород является восстановителем, т.е. донором электронов. Учитывая аналогию свойств водорода и элементов металлического характера, химический знак водорода помещают в главной подгруппе I группы. Однако водород реагирует и с металлическими элементами главной подгруппы I группы. В этих реакциях водород проявляет окислительные свойства и приобретает степень окисления -1. На основе этого химический знак водорода помещают в главную подгруппу VII группы. Так как для водорода более характерны восстановительные свойства, чем окислительные, его химический символ в VII группе обычно пишут в скобках. 3. На основе закономерностей размещения электронов по орбиталям объясните, почему лантаноиды и актиноиды обладают сходными химическими свойствами. Ответ: К лантаноидам относятся четырнадцать химических элементов – от церия Ce до лютеция Lu (порядковые номера 58–71). Так как в их атомах содержатся f-электроны, лантаноиды относятся к f-элементам. В свободном состоянии лантаноиды – типичные металлы. К актиноидам относятся четырнадцать химических элементов – от тория Th до лоуренсия Lr (порядковые номера 90–103). Так как в атомах этих элементов также присутствуют f-электроны, то актиноиды, как и лантаноиды, относятся к f-элементам. Как и в случае лантаноидов, у атомов элементов семейства актиноидов происходит заполнение третьего снаружи энергетического уровня (5 f-подуровня). Строение же наружного и, как правило, предшествующего электронных уровней остается неизменным. Поэтому лантаноиды сходны по химическим свойствам. 4. Объясните сущность понятия «валентность» с точки зрения современных представлений о строении атомов и образования химической связи. Ответ: Валентность – это способность атома химического элемента образовывать определенное число химических связей. Валентность – способность атомов одного элемента присоединять определенное количество атомов другого элемента. 5. Могут ли быть следующие валентности у элементов: a. Li– II b. O –ІV c. Ne– ІІ Ответ: Нет, так как в этом случае затраты энергии на перемещение электрона настолько велики, что не могут быть компенсированы энергией, выделяющейся при образовании химической энергии. 6. Какие закономерности наблюдаются в изменении атомных радиусов в периодах слева направо и при переходе от одного периода к другому? Ответ: При переходе от лития Li к фтору F постепенно возрастают заряды ядер атомов этих элементов. В связи с этим в ряду постепенно увеличивается сила притяжения наружных электронов к ядру и размеры атомов уменьшаются. А с переходом от элемента фтора F к элементу натрию Na последующий электрон помещается на более удаленный от ядра третий энергетический уровень. Поэтому размеры атомов элемента натрия Na сильно возрастают. Размеры атомов, в свою очередь, влияют на их свойства. Так, например, атомы элементов лития Li, натрия Na, калия K обладают наибольшими размерами по сравнению с атомами других элементов в тех же периодах. В связи с этим наружные электроны в атомах щелочных металлов находятся дальше от ядра, слабее притягиваются к нему и могут легко удаляться. Этим и объясняется, почему щелочные металлы являются донорами электронов, т.е. сильными восстановителями. При переходе в периодах от типичных металлических элементов к галогенам размеры атомов уменьшаются, сила притяжения наружных электронов к ядру увеличивается, что и приводит к уменьшению восстановительных и увеличению окислительных свойств. 7. Охарактеризуйте сущность основных типов химической связи. Ответ: При взаимодействии атомов, электроотрицательности которых отличаются незначительно, происходит смещение общей связывающей электронной пары к более электроотрицательному атому и образуется ковалентная полярная связь. Ионная связь образуется при взаимодействии атомов, которые сильно различаются по электротрицательностям. Связь между атомами водорода одной молекулы и сильноотрицательными элементами (O, N, F) другой молекулы называется водородной связью. При соединении атомов с одинаковыми электроотрицательностями образуются молекулы с ковален6тной неполярной связью. 8. Приведите примеры веществ, в которых фтор образует неполярную ковалентную, полярную ковалентную и ионную связи. Ответ: LiF, HF, F₂. 9. Какая из химических связей является наиболее полярной? · HCl · HBr · HI · HP · HS Ответ: HCl 10. Охарактеризуйте коллоидные растворы. Чем они отличаются от истинных растворов? Ответ: Большое значение имеют и коллоидные растворы. Как следует из данных таблицы, они отличаются от истинных растворов размерами частиц растворенного вещества и специфическими свойствами. Если в истинных растворах диаметр частиц меньше 1 нм, то размеры частиц в коллоидных растворах составляют от 1 до 100 нм и даже больше. Эти частицы обычно состоят из множества молекул и атомов. 11. Каково строение коллоидных частиц? Чем такое строение объясняется и как оно отражается на свойствах коллоидных растворов? Ответ: Так как размеры молекул некоторых высокомолекулярных веществ превышают 1 нм, то растворы этих веществ, например, белков, тоже коллоидные растворы. Коллоидные растворы образуются при растворении в воде некоторых высокомолекулярных веществ, например белков, а также при химических реакциях, Так, при взаимодействии растворов силикатов с кислотами выделяется кремниевая кислота, которая с водой образует коллоидный раствор. Характерное свойство коллоидных растворов – их прозрачность. В этом они сходны с истинными растворами. Но если пропустить луч света через эти растворы, то можно обнаружить их отличие: при прохождении луча через коллоидный раствор появляется светящийся конус, так как коллоидные частицы крупнее частиц в истинных растворах и поэтому способны рассеивать проходящий свет. 12. Каково значение коллоидных растворов? Ответ: Коллоидные растворы широко распространены в природе и играют важную роль в жизненных процессах. Так, например, яичный белок, плазма крови представляют собой коллоидные растворы, в которых осуществляются физиологические процессы. Не меньшее значение имеют коллоидные растворы почвы. Очень велика роль коллоидных растворов на производстве. Различные клеи, лаки и краски в основном коллоидные растворы. Некоторые коллоидные растворы при коагуляции образуют студнеобразную массу, которую называют гелем (студнем). Например, 3%-ный раствор желатина в теплой воде превращается в гель, или студень. Это объясняется тем, что коллоидные частицы связывают множество молекул воды. 13. Какую максимальную валентность могут иметь в химических соединениях следующие элементы: Cu, P, Ti, Mn? Решени е: 1) Медь Cu. Порядковый номер меди 29. ядро атома меди содержит 29 протонов, следовательно, заряд его равен +29 и вокруг ядра находится 29 электронов. Таким образом, атом меди в нормальном состоянии может проявлять валентность один (например, в соединении Cu₂O). Однако известно, что энергии 4s- и 3d-орбиталей близки, поэтому в определенных условиях атом меди может переходить в возбужденное состояние со следующей электронной конфигурацией:
В свою очередь 4s-электроны могут легко распариваться так, что возбужденный атом меди приобретает электронную конфигурацию Cu ** и может образовывать связи за счет ставших валентными 4s и 4p-электронов:
Таким образом, медь может проявлять валентность 2. 2) Фосфор P. Порядковый номер фосфора 15. электронная конфигурация атома фосфора следующая:
На внешнем электронном слое атом фосфора имеет пять электронов. Фосфор может проявлять валентность 3 за счет p-электронов и свою максимальную валентность (5) за счет s- и p-электронов, когда происходит распаривание 3s-электронов на 3d- или 4s-орбиталь. 3) Титан Ti. Порядковый номер 22. Электронная конфигурация следующая:
Максимальная валентность (4) титан проявляет в возбужденном состоянии, когда распариваются его 4s-электроны, однако он может проявлять и промежуточные валентности (в соединениях Ti (ІІ), Ti(ІІІ)). 4) Марганец Mn. Порядковый номер 25. Электронная конфигурация в нормальном состоянии: 5)
и в возбужденном состоянии:
Отсюда видно, что в возбужденном состоянии максимальное число электронов, участвующих в образовании химической связи, доходит до семи. 14. Какие общие свойства имеют элементы Mn и Cl, находящиеся в одной группе периодической системы Д.И. Менделеева? Решение:
Марганец и хлор находятся в VII группе периодической таблицы, но хлор – в главной, а марганец – в побочной подгруппе. Формально они могут проявлять максимальную валентность (7) и давать соединения с меньшими валентностями, причем марганец как элемент побочной подгруппы должен иметь мало сходства с хлором – элементом главной подгруппы. 1) Электронная конфигурация хлора
Стрелками показаны возможные способы распаривания электронов в различных возбужденных состояниях хлора. Такое распаривание возможно потому, что атом хлора имеет свободные 3d-квантовые ячейки. При частичном или полном распаривании электронов хлор может проявлять переменную валентность 1, 3, 5, 7. Как видно из электронной конфигурации атома марганца, у него недостроена 3d-орбиталь. Наличие двух 4s-электронов еа внешнем уровне указывает прежде всего на металлические свойства марганца и обусловливает существование характерных свойств у соединений марганца. В возбужденном состоянии максимальное число электронов, участвующих в образовании химической связи, доходит до семи. 14) Какие из перечисленных ниже веществ имеют ионное, а какие – ковалентное строение? Укажите на графических или структурных формулах этих веществ характер каждой из связей: H₂O, NH₃, Al(OH)₃, BaSO₄, KMnO₄, MnO₂, Fe₂(SO₄)₃, FeS₂. Решение: Для описания характера связей в указанных соединениях будем обозначать ковалентную связь символом «к», полярную связь – символом «п» и ионную – символом «и». 1) Вода H₂O. Графическую формулу воды можно представить, например, таким образом: H – O – Н.
Связи O – H в молекуле H₂O полярные (п). Далее приводятся графические формулы указанных веществ. 2) Аммиак NH₃
3) Азотная кислота HNO₃
В нижней формуле отражены донорно-акцепторные связи. 4) Гидроксид алюминия
5) Сульфат бария BaSO₄
6) Перманганат калия KMnO₄
7) Оксид марганца (IV) MnO₂
8) Сульфат железа (ІІІ) Fe₂(SO₄)₃
9) Пирит FeS₂
2.3 Результаты и их обсуждениеВо время прохождения преддипломной практики в МОУ СОШ №5 в 11 А классе в рамках исследования для подтверждения выдвинутой гипотезы был проведён ряд экспериментов. В исследовании выделяются следующие этапы: 1. Констатирующий этап. Цель – выявить у школьников отношение к контролю знаний. Для достижения данной цели были использованы следующие методики: -наблюдение за состоянием учащихся перед тематическим контролем знаний; -анализ контрольных работ. 2. Формирующий этап. Цель – сформировать безбоязненное отношение к контролю знаний. В рамках этого этапа были проведены следующие формы работы: урок-соревнование, контроль знаний в виде тестирования, контроль знаний в форме нестандартных уроков. 3. Контрольный этап. Цель – получить вторичные результаты по выявлению у учащихся старших классов отношения к контролю знаний учащихся. В рамках данного этапа было проведено сравнение первичных и контрольных результатов, проведён их анализ. Констатирующий этап Цель – выявить у школьников отношение к контролю знаний. Основной вопрос: «Страшно ли тебе перед контрольной работой?»
& – очень страшно; * – иногда # – никогда не страшно
Анализ результатов контрольной работы по химии на тему «Периодический закон и периодическая система химических элементов Д.И. Менделеева на основе учения о строении атомов». [Приложение 1]
По итогам данного наблюдения можно сделать вывод, что большинство учащихся очень боятся контрольной работы. По результатам анализа контрольной работы видно, что уровень успеваемости по данной теме не очень высок, поэтому необходимо проводить тематический контроль знаний в иной форме (соревнование, викторина, путешествие) для формирования у ребят положительного отношения к контрольным работам и достижения более высоких результатов. Формирующий этап На данном этапе главной целью моего исследования было формирование у школьников безбоязненного отношения к контролю знаний. Для достижения данной цели нами проведены следующие формы работы: соревнование, контроль в виде тестирования, викторины. Тематический контроль на тему «Периодический закон и периодическая система химических элементов Д.И. Менделеева на основе учения о строении атомов» Цели: – обобщить и систематизировать знания учащихся о данной теме; – развивать речь, мышление, внимание, умение работать в командах; Тематический контроль на тему «Решение задач, закрепление полученных знаний», «Химическая ярмарка» Цели: – закрепить алгоритм решения задач; – развивать внимание, мышление; – воспитывать коллективизм, культуру чувств (справедливости, ответственности, долга, уважения к мнению другого). Урок построен в форме ярмарки с элементами соревнования. Класс делится на 3 команды, каждая команда получает свои задания. После завершения подводится итог всей химической ярмарке, выбирается победитель. [Приложение 4] Контрольный этап Цель данного этапа заключается в получении вторичных результатов по выявлению у школьников отношения к контролю знаний учащихся. Основной вопрос: «Страшно ли тебе перед контрольной работой?»
& – очень страшно; * – иногда # – нестрашно
Анализ результатов тематического контроля по химии на тему «Периодическая система элементов Д.И. Менделеева». [Приложение 4]
По данным эксперимента можно сделать вывод, что отношение к контрольным работам у учащихся изменилось (большинство учеников перестали бояться контрольных работ). По результатам анализа тематического контроля видно, что уровень успеваемости улучшился. Он стал гораздо выше, чем результаты этой же контрольной работы на констатирующем этапе. Надо отметить, что работы отличались только формой проведения: в первом случае (на констатирующем этапе) проводилась работа в обычной форме (класс делился на варианты, и каждый ученик получал задания); во втором случае (на контрольном этапе) работа проводилась в форме химической ярмарки с элементами соревнования; и были изменены данные. Учитель в своей работе должен использовать не только общепринятые формы контроля (самостоятельная и контрольная работы, устный опрос у доски и так далее), но и систематически изобретать, внедрять свои средства контроля. Учитель должен уметь сделать процесс обучения не только эффективным, но и интересным для детей. Систематический контроль знаний и умений учащихся – одно из основных условий повышения качества обучения. Умелое владение учителем различными формами контроля знаний и умений способствует повышению заинтересованности учащихся в обучении, предупреждает отставание, обеспечивает активную работу каждого ученика. Контроль для учащихся должен быть обучающим, а следовательно, он будет и развивающим и воспитывающим. Выводы1) Определены сущность, роль и значение контроля. 2) Раскрыты виды контроля. 3) Выявлены способы организации тематического контроля, обеспечивающие эффективность учебного процесса. 4) В работе предложены и реализованы конспекты уроков по темам: · Периодический закон и периодическая система химических элементов Д.И. Менделеева на основе учения о строении атомов. · Положение в периодической системе химических элементов Д.И. Менделеева водорода, лантаноидов, актиноидов и искусственно полученных элементов. · Валентность и валентные возможности атомов. · Основные типы химической связи. · Типы кристаллических решеток и свойства веществ. · Дисперсные системы. 5) Разработаны ряд методик проведения тематического контроля знаний учащихся по темам разобранным на уроках. 6) Результаты контрольных мероприятий позволяют утверждать, что в результате проведения нетрадиционных форм контроля знаний и умений раскрываются индивидуальные особенности детей, повышается уровень подготовки к урокам, что позволяет своевременно устранять недостатки и пробелы в знаниях учащихся, повышает эффективность самого процесса обучения. Литература1. Амонашвили Ш.А. Воспитательная и образовательная функция оценки учения школьников. – М., 1984., с. 427 2. Амонашвили Ш. А, Обучение. Оценка. Отметки. – М., 1980.с. 376 3. Амтаниус М. Психолого-педагогические основы контроля в учебном процессе. – М., 1978, с. 184 4. Баранов С.П. Принципы обучения. – М., 1981.с. 354 5. Беспалько В.П. Слагаемые педагогической технологии. – М., 1989, с. 342. 6. Болдырев Н.И. Педагогика. – М., 1968.с. 147 7. Болотина Л.Р. Педагогика. – М., 1987 с. 427. 8. Воронцов А.Б. Некоторые подходы к вопросу контроля и оценки учебной деятельности учащихся // средняя школа 1999 – №7 – с. 25 9. Данилов М.А., Есипов Б.П. Дидактика. – М., 1957, с. 477 10. Онищук В.А. Дидактика современной школы. – Киев, 1987, с. 125 11. Онищук В.А. Урок в современной школе. – М., 1985, с. 548 12. Оноприенко О.В. Проверка знаний, умений и навыков учащихся в средней школе: книга для учителя. – М., 1988, с. 158 13. Прокопьев И.И. Педагогика. Основы общей педагогики. Дидактика/ Учеб. пособие. – Мн., 2002, с. 544 14. Семенович А.Г. Настольная книга учителя старших классов: методическое пособие. – Мн., 2008, с. 152 15. Скегина Н.Г. Сборник практических материалов для заместителей директоров школ по учебной работе. – М., 2002, с. 286 16. Смирнов С.А. Педагогика: педагогические теории, системы, технологии. Учебное пособие. – М., 1998, с. 468 17. Шаталов В.Ф. Эксперимент продолжается. – М., 1989, с 257. 18. Цукерман Г.А. Оценка без отметки. – Москва – Рига, 200, с. 148 19. F. Galton, «Inquiries into human faculty and its development», 1883. 20. A. Binet, Th. Simon, «La mesure du developpe-ment de Г intelligence chez les jeunes enfants», 1929. 21. Теплов Б.М., Способности и одарённость. «Уч. зап. гос. н.-и. ин-та психологии», 1941, т. 2. 22. Коган В.М. и Роговин М.С., Прожективные методы в совр. зарубежной психологии личности и патопсихологии, «Журнал невропатологии и психиатрии им. С.С. Корсакова». 1964, т. 64, в. 4, с. 616–25. 23. Саttel R. В., The description and measurement of personality, «[N. Y,], 1946. 24. Pichot P., Les tests mentaux en psycliiatrie, t. 1, P., 1949 25. Сгоnbасh L.J., Essentials of psychological testing, 2 ed., N.Y., 1960. 26. Anastasi A., Psychological testing, 2 ed., N.Y., [1961]. 27. Педагогическая энциклопедия под ред. И.А. Каирова и др. М. «Сов. энциклопедия», 1968. 28. Подласый И.П. Педагогика М. «Высшее образование», 2007. 29. Талызина Н.Ф. Управление процессом усвоения знаний. – М. 1975. – с. 287. 30. Болотов В.А., Сериков В.В. Компетентностная модель: от идеи к образовательной программе // Педагогика. 2003. №10. С. 8–14. 31. ГабайТ.В. Учебная деятельность и ее средства. М.: Изд-во Москва. ун-та, 1989. 32. Кузнецова Н.Е. и др. Методика преподавания химии. М. Просвещение. 1984. 33. Волков. А.И. и др. Программированный контроль текущих знаний по общей химии. Методическое пособие. Минск. 1988. |













1.
2.
3.





















