Реферат: Сущность и организация маркетинговой информации
|
Название: Сущность и организация маркетинговой информации Раздел: Рефераты по маркетингу Тип: реферат | |||||||||||||||||||||||||||||||||||||||||||||||||||||||||||||||||||||||||||||||||||||||||||||||||||||||||||||||||||||||||||||||||||
Реферат на тему: Сущность и организация маркетинговой информации Понятие и признаки маркетинговой информации Сбор, обработка и сводка информации представляют собой составную часть общего информационно-аналитического процесса маркетинга. Получение информации подчинено задачам управления и имеет целью обеспечить оценку и анализ рыночных процессов для принятия правильных маркетинговых решений. Процесс управления неосуществим без осмысления ретроспективы развития фирмы, оценки ее настоящего и прогноза будущего. Регулирование некоторых рыночных процессов также требует информации о самом этом процессе и факторах, влияющих на него. Информация - средство уменьшения неопределенности, свойственной стохастическим процессам рынка. По словам отца кибернетики Н. Винера, управление фирмой есть процесс преобразования информации в действия. Информация -инструмент маркетинг-менеджмента. Американский маркетолог П. Тернер высказывает мнение, что информация не только основа для принятия оптимальных решений, но и ресурс, обеспечивающий стратегически важное преимущество перед конкурентами. Информация - орудие конкурентной борьбы. Информация - это форма общения, средство получения знаний о каком-либо явлении или процессе, юридических и физических лицах.
Факт представляет собой простейший вид информации: событие или условие, непосредственно наблюдаемое; сведения - разновидность фактов, представленных в систематизированной, обобщенной форме; слухи - неподтвержденные, непроверенные факты; оценки - информация, базирующаяся на умозаключениях, подсчетах и статистических расчетах (форма оценки - прогноз, т.е. научное предвидение); цифры - форма отображения количественной информации. В чем заключаются цели формирования маркетинговой информации?[1] Конечная цель - обеспечить характеристику рыночных процессов и явлений, выявление тенденций и закономерностей развития рынка, оценку места фирмы на рынке и т.п., что необходимо для принятия управленческих решений на уровне руководства фирмы. Непосредственная цель - систематизировать и структуризовать собранную информацию таким образом, чтобы она была пригодна для анализа и прогнозирования и позволяла аналитикам делать правильные выводы и рекомендации, а они в свою очередь легли бы в основу разработки тактики и стратегии фирмы. Однако имеется и промежуточная цель: сводка и группировка собранных данных, доступных для визуального просмотра и оценки со стороны руководства фирмы для возникновения интуитивных выводов и безотлагательного принятия маркетингового решения. В этом смысле информация - «черный ящик», обеспечивающий на выходе готовые решения. Напомним, что маркетинг -это не только наука, но и искусство. Подобный укороченный цикл движения информации привлекателен прежде всего для малых предприятий, стремящихся сэкономить на маркетинговом анализе. Хотя он и соответствует второму направлению в маркетинговом исследовании (см. гл. 1), так как базируется на качественных, описательных оценках, широкое его использование не рекомендуется. Во-первых, он доступен только предпринимателям/менеджерам с большим опытом и коммерческим талантом, а во-вторых, он годится только для узкооперационного маркетинга и не может быть использован для сколько-нибудь длительного стратегического маркетинга. Иногда все три названные цели комбинируются для выигрыша во времени: собранная и подвергшаяся сводке информация оперативно оценивается и интерпретируется и одновременно передается для глубокого стратегического анализа. К маркетинговой информации предъявляется ряд принципиальных требований, вытекающих из основополагающих принципов теории и практики маркетингового исследования (табл. 2.1). Таблица 2.1 Схема содержания принципов маркетинговой информации
Маркетинговая информационная система Многосторонняя, отличающаяся сложной иерархической структурой и взаимосвязями информация в маркетинге образует единую систему. Она слагается из трех взаимосвязанных компонентов: а) специалистов по сбору и обработке информации; б) методологических приемов сбора и обработки информации (в том числе компьютерной технологии); в) оборудования по сбору, обработке и хранению информации (рис. 2.1).
Рис. 2.1. Маркетинговая система информации Таким образом, в маркетинговую систему информации входят работники, обладающие соответствующей квалификацией (как минимум, владеющие экономической, статистической и компьютерной технологиями), знанием методологии информатики (как минимум, в области сбора информации) и оснащенные определенным набором оргтехники и вычислительных средств. Информационная система маркетингового исследования отличается определенной сложностью и многообразием. Сбор, обработка и анализ информации требуют от сотрудников маркетинговых служб не только специальной квалификации, но и высокой информационной культуры.
Если на входе маркетинговая информация представляет собой неупорядоченный массив данных с высокой степенью неопределенности, то на выходе она, уже подвергнутая обработке, выглядит как систематизированная и сгруппированная по определенным признакам и критериям система, приспособленная к целям оценки и анализа. Информация, как правило, компонуется в статистические ряды и таблицы; она может быть преобразована в графики, схемы и диаграммы или выражена в форме логично изложенного текста. Процесс получения первичной (полевой) информации осуществляется в форме маркетингового наблюдения.
В ходе наблюдения регистратор (лицо, собирающее информацию) регистрирует/фиксирует факты, статистические данные и другие сведения об изучаемом объекте. Методология маркетингового наблюдения использует и сочетает приемы и методы статистического и социологического наблюдения. Некоторые авторы, в частности Ф. Котлер, рассматривают маркетинговое наблюдение как систему, т.е. упорядоченную совокупность источников информации и процедур ее получения. На наш взгляд, это процесс получения информации, этап информационной системы маркетинга. Различаются несколько форм маркетингового наблюдения. Непосредственное (прямое) наблюдение - это, как правило, визуальное слежение за объектом наблюдения (например, подсчет (хронометраж) времени, затрачиваемого на покупку). Оно может быть открытым, когда объект наблюдения знает, что за ним наблюдают, в частности при опросах покупателей, и скрытым, когда изучаемый объект не ставится в известность о том, что за ним наблюдают. Например, проводится скрытое изучение умения продавцов общаться с покупателем. Непрямое наблюдение заключается в изучении каких-либо материалов: статистических данных, печатных работ, документов и т.д. Фиксация/регистрация данных осуществляется с помощью записей в блокноте или на аудио- или видиопленке, с последующей их систематизацией и упорядочением, выделением главного, наиболее важного. Для этого используются разработочные таблицы и группировки, карточки, компьютерные файлы и банки данных. Порядок проведения наблюдения определяется заранее разработанной инструкцией, которая представляет собой совокупность разъяснений, подсказок, примеров и указаний. Срок наблюдения представляет собой время, в течение которого осуществляется сбор информации. Для вторичной информации он неограничен, а для первичной должен стремиться к минимуму. При этом нельзя допускать спешки, которая неизбежно негативно отразится на качестве наблюдения. Надежность наблюдения обеспечивается различными способами: • контролем (часто выборочным) достоверности полученных данных (коэффициент надежности); • использованием двух и более наблюдателей, регистрирующих одно и то же событие (коэффициент согласия); • проведением повторного наблюдения объекта (коэффициент устойчивости). Информация, собранная в результате маркетингового наблюдения, может быть представлена в виде: • текста, излагающего факты или описывающего какое-то явление/процесс; • таблиц и матриц, обобщающих и систематизирующих потоки информации, в том числе числовые; • графиков/диаграмм, рисованных геометрических форм отображения состояния и развития явлений, их размеров, динамики, структуры и взаимосвязей; • статистических рядов (динамических и распределения), систематизирующих во времени и пространстве числовые характеристики изучаемых явлений и процессов. Все перечисленные виды «упаковки» информации пользователю являются результатом обработки и сводки собранных в ходе наблюдения данных. Они могут быть направлены пользователю в форме письменного отчета или же вводятся в компьютер и записываются на дискету. Компьютерная технология обработки и хранения маркетинговой информации рассматривается в соответствующих учебных курсах. Типология маркетинговой информации Единство принципов маркетинговой информации не противоречит возможной ее дифференциации в соответствии с объективными условиями маркетинга. Различаются следующие типы маркетинговой информации. По форме планирования маркетинга. Оперативная - срочная информация, используемая в оперативном (операционном) планировании для неотложного использования; ее разновидностью является предупреждающая, или сигнальная, информация, вид краткосрочного прогноза. Стратегическая - используемая в стратегическом планировании (отличается от оперативной глубиной и охваченным периодом; ее разновидностью является среднесрочный и долгосрочный прогноз). Потребность в оперативной информации, характеризующей положение на рынке на какой-то момент времени или за краткий временной промежуток, очень велика. По некоторым данным, в ней нуждаются 85% российских рыночных структур, а в информации о действиях конкурентов, об изменениях в спросе и реакции потребителей на новый товар и т.п. - 70%. Подавляющая часть отечественных коммерсантов нуждается в еженедельной и ежедекадной оперативной информации. По месту сбора информация делится на внутреннюю и внешнюю. К внутренней относится любая информация, собираемая самой фирмой или по ее заказу; к внешней - информация, собираемая за пределами фирмы, но используемая ею в маркетинговых целях. К внешней относятся: • информация, собираемая и разрабатываемая Российским статистическим агентством и его местными органами, а также другими государственными и общественными организациями, в том числе официальные публикации; • информация, собираемая и разрабатываемая научными учреждениями и учебными заведениями; • информация, публикуемая в СМИ; • информация рекламного и коммерческого характера других фирм, в том числе бюллетени, регистры, справочники и т.п. В свою очередь внутренняя информация по времени использования делится на первичную и вторичную.
К первичной информации относятся организуемые фирмой или по ее заказу различные обследования, опросы, панели и т.п. До этого момента она не существует. Данная информация собирается фирмой не для маркетинговых, а для других целей (например, бухгалтерский учет, оперативная информация, обязательная отчетность для органов государственной статистики, налоговой службы и т.д.). Однако эти данные могут быть использованы маркетинговой службой. Вся внешняя информация для маркетинга фирмы является вторичной. Иногда информация в маркетинге делится на кабинетные исследования (desk research), т.е. работа с уже кем-то собранными материалами, и на полевые исследования (field research), т.е. первичный сбор материала для конкретного маркетингового исследования. Вся первичная информация собирается в форме полевого исследования. На рис. 2.2 показано разделение маркетинговой информации на внешнюю и внутреннюю, а также на первичную и вторичную.
Рис. 2.2. Типология маркетинговой информации Большое значение имеет классификация информации по ее назначению. Часть информации представляет собой объект анализа: оценки рыночной ситуации, выявление закономерностей и тенденций, разработка прогнозных моделей и т.п. Ее можно назвать аналитической. К ней примыкает рекомендательная информация, в частности предложенная консалтинговыми фирмами. Сюда же относятся собранные и разработанные фирмой или внешними информационными службами базы данных, прогнозы и сценарии. Особое место занимает сигнальная информация. Она по своему характеру предупреждает о возможных сдвигах и изменениях. Создаваемый на основе такой информации мониторинг позволяет гибко реагировать на ожидаемые смены курса рынка и регулировать некоторые рыночные процессы. С ней связана регулирующая информация. Как известно, часть информации предприятия заказывают специализированным маркетинговым и консалтинговым фирмам. Информация такого рода называется рекомендательной. Вспомогательным и служебным целям, а также целям маркетинг-менеджмента служит справочная и нормативная информация. Классификация информации по этим признакам дана в табл. 2.2. Таблица 2.2 Группировка маркетинговой информации по назначению
Информация различается по регулярности ее поступления/сбора. Постоянная информация отражает неизменный характер некоторых рыночных явлений и процессов (например, параметры рыночной ситуации или основные параметры деятельности предприятия и т.п.). Часть постоянной информации поступает непрерывно, без существенных промежутков. Так, например, денежная выручка собирается ежедневно. Другая часть - дискретная информация - собирается с определенными промежутками во времени (например, товарные запасы регистрируются один раз в месяц). Переменная информация поступает от источников, функционирующих нерегулярно. Некоторые виды информации собираются спорадически, по мере возникновения потребности в ней. Иногда непрерывная информация собирается в форме мониторинга.
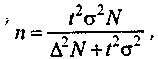
Мониторинг в конъюнктурном анализе - система постоянных (периодических) замеров/отслеживания параметров рынка с помощью набора индикаторов, имеющих целью отразить конъюнктуру рынка и обеспечить базу для непрерывного прогнозирования рыночной ситуации. Мониторинг может быть оперативным, ориентированным на потребности конъюнктурного анализа, и стратегическим, отслеживающим основные экономические показатели в стратегической перспективе. Другая часть информации собирается периодически, с равными промежутками времени. Например, данные о товарных запасах учитываются один раз в месяц или в декаду; данные, характеризующие инфраструктуру, - один раз в год или один раз в два года. Третья часть информации относится к числу спорадической, или эпизодической, собираемой по мере необходимости, от случая к случаю. Например, назрела необходимость провести обследование потребителей на предмет их отношения к новому товару фирмы, который готовится к выведению на рынок. Подразделения крупной фирмы, или ее самостоятельные единицы, обязаны представлять внутрифирменную отчетность, которая широко используется в управлении маркетинговой деятельностью и в маркетинговом планировании. Такая отчетность, включающая данные о продаже/сбыте товаров, затратах, ценах и т.п., относится к категории вторичной внутренней. Ее представляют бухгалтерия, плановый отдел, отдел сбыта и другие подразделения фирмы. Часть этих данных предназначается для органов государственной статистики, часть - для налоговой службы, часть - для руководства фирмы. Все они могут быть использованы маркетинговой службой. Часто при этом требуется дополнительная разработка данных в соответствии с конкретными потребностями маркетинга. Специально организованные обследования. Значительная часть маркетинговой информации может быть получена в результате организации и проведения специальных наблюдений (сплошных или выборочных), к которым можно отнести следующие: непосредственное наблюдение за действиями и характеристиками определенного контингента (например, регистрация привозов продуктов и цен на сельскохозяйственные продукты питания на рынках/ базарах); сплошные и выборочные устные и письменные опросы некоторых контингентов потребителей и ответственных лиц. Особое место в маркетинговом исследовании занимает маркетинговая разведка (marketing intelligence) - сбор текущей информации о микросреде маркетинга (поставщиках, клиентах, торговых посредниках и конкурентах). Здесь существуют два направления: первое - использование информации, которую эти силы окружающей среды маркетинга предоставляют сами (легальная информация). К ней относятся: обмен информацией между участниками интегрированного канала товародвижения (конвенционального канала, вертикальной и горизонтальной маркетинговой систем); информация о себе рекламного характера, предназначенная для акционеров, потенциальных инвесторов или клиентов и т.п.); информация, базирующаяся на непосредственном наблюдении (например, регистрация цен в магазинах конкурента, хронометраж покупателей и т.д.). К информации второго типа относится получение конфиденциальной или полуконфиденциальной информации, иногда с применением методов экономического шпионажа, сбора слухов, отслеживания внутренних публикаций. Конъюнктурная информация может быть выделена особо. В нее входят оценки, осуществляемые с помощью конъюнктурных индикаторов, т.е. показателей, характеризующих основные параметры рынка, их состояние и изменения (такие, как объем продаж, цены, товарные запасы, степень сбалансированности спроса и предложения). Часто для получения такой непрерывной информации организуется мониторинг. Наблюдение в маркетинге по признаку охвата единиц совокупности подразделяется на сплошное и несплошное. Например, руководство фирмы приняло решение узнать мнение всех работников фирмы на перспективы ее развития. В несплошном наблюдении выделяются: частичное, когда обследуется какая-то определенная часть совокупности (например, дети определенного возраста, проживающие в данном районе); метод основного массива, когда обследуется большая часть совокупности и полученные выводы подходят для совокупности в целом; выборочный метод, когда данные, полученные по некоторой части совокупности, при условии соблюдения специфических правил отбора единиц, распространяются на совокупность в целом (возможная ошибка заранее рассчитывается). Выборочный метод, или выборка, известный статистический прием, который базируется на некоторых положениях теории вероятности (предельных теоремах закона больших чисел). Он представляет собой важнейшее направление в системе маркетинговой информации: • во-первых, позволяет экономить значительные средства (расходы на сбор данных по части совокупности всегда меньше, чем по совокупности в целом); • во-вторых, дает возможность ускорить получение нужных сведений (обследование части единиц совокупности, происходит пропорционально быстрее, чем сбор и обработка данных по всем без исключения единицам совокупности); • в-третьих, обеспечивает сбор сведений, которые иным способом получить невозможно (в частности, при оценке качества изделий, связанной с повреждением или уничтожением самого изделия). Французы говорят: не нужна целая бочка вина, чтобы судить о его качестве. Однако применение выборки требует строгого соблюдения нескольких требований: • отбор не должен быть преднамеренным, т.е. всем единицам совокупности должна быть обеспечена равная возможность быть отобранными (попасть в выборочную совокупность); • совокупность, из которой ведется отбор (генеральная совокупность), должна быть достаточно большой; • совокупность должна быть однородной, т.е. по какому-либо признаку (если вы изучаете предпринимателей, то в генеральную совокупность не должны попадать наемные работники). Поэтому отбор данных часто сочетается с группировками. При проведении устных опросов целесообразно использовать метод случайной бесповторной выборки (его суть заключается в том, что респондент отбирается случайно и второй раз уже не опрашивается; этот способ очень подходит для уличных интервью). Формула численности отбора при этом такова:
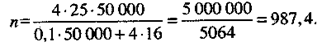
где n - число единиц, которые следует отобрать для обследования (опроса); t - коэффициент доверия, вычисляемый по таблицам в зависимости от вероятности, с которой можно гарантировать, что предельная ошибка не превысит t-кратную среднюю ошибку (при вероятности 0,990 он равен 3, а при вероятности 0,999 - 3,28; чаще всего опираются на вероятность 0,954, при которой t составляет 2); s2 - выборочная дисперсия (ее обычно определяют на основе эксперимента, пробного обследования или же по аналогам); D - предельная (задаваемая) ошибка выборки; N - численность генеральной (изучаемой) совокупности. Пример. Предположим, что магазин обслуживает за определенный период около 100 000 чел. По данным предыдущих опросов установлено, что дисперсия составляет ± 25 руб./чел. Коэффициент доверия равен 2. Предельную ошибку мы приняли равной 1 руб. Тогда численность выборки составит
С округлением численность выборки составит 100 чел. Следовательно, для получения надежных представительных данных надо опросить 100 чел. В целях повышения однородности изучаемой совокупности и большей точности расчета совокупность стратифицируют, разбивают на ряд групп по какому-то признаку. В маркетинговом исследовании наиболее распространено деление по социальным группам (в частности, по уровню дохода). Формула численности выборки отличается от предыдущей только тем, что выборочная дисперсия заменяется средней из внутригрупповых дисперсий (s-2). Однако в этом случае целесообразно вести отбор по каждой группе пропорционально дифференциации признака (n.). Тогда формула численности выборки (по каждой группе) значительно упрощается:
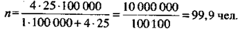
где k — число i-х групп населения; Ni - численность i-й группы населения; si - среднеквадратическое отклонение признака в i-й группе. При телефонных интервью или при анкетировании очень часто используется способ механического отбора. Например, по телефонной книге или по спискам жильцов отбирается каждый десятый телефон или каждая седьмая квартира. При использовании этого метода численность выборки определяется по формуле 3.1. В механической выборке численность выборки определяется путем установления пропорции отбора: делением совокупности на объем выборки; если пропорция отбора дробная величина, то надо взять ближайшее целое число. Затем по списку единиц отбирается каждая единица, взятая через промежуток, равный пропорции отбора. Пример. Для обследования, ставящего целью выявить мнение потребителей о новом товаре в регионе, насчитывающем 50 тыс. семей, необходимо провести анкетирование. Условно принимается, что в каждой квартире проживает одна семья и на нее будет выделена одна анкета. Предварительные исследования установили, что дисперсия среднего размера покупки составляет ± 25 руб.; t = 2; предельная ошибка не должна превышать 0,01 тыс. руб. Отсюда численность выборки (n) составила
Эта величина округляется до 1000 семей, т.е. установлена 2%-ная выборка. Однако практика показывает, что некоторая часть анкет не возвращается (предположим, каждая третья), поэтому увеличиваем число анкет до 500. Следовательно, необходимо включить в выборку 1500 семей, т.е. увеличить ее до 3%. В целях ускорения процесса исследования и удешевления сбора материалов целесообразно использовать методы малой выборки. Малой выборкой считается отбор единиц численностью менее 20, т. е. n < 20. Средняя ошибка малой выборки исчисляется по формуле
где sмв - среднее квадратическое отклонение малой выборки, которое исчисляется по формуле:
где sмв - среднее квадратическое отклонение малой выборки; s - среднее квадратическое отклонение обычной выборки; х - независимые случайные величины (характеристики изучаемых величин); x̅ м.в. - средняя величина малой выборки; n - численность выборки. Предельная ошибка выборки определяется по следующей формуле:
где t - нормированное отклонение, или коэффициент доверия, который определяется по таблице вероятностей Стьюдента:
Носители и источники маркетинговой информации Где возникает информация? По-видимому, информация о товаре начинает свой путь с производства, информация о потреблении, о желаниях и взглядах покупателя - в среде потребителей и т.д. Информация собирается среди ее носителей, т.е. юридических и физических лиц, обладающих некоторыми сведениями и занимающихся определенной рыночной деятельностью (как активной, так и пассивной). Кто же на потребительском рынке выступает в качестве носителя, обладателя информации? Во-первых, индивидуальные потребители (население), у которых собираются сведения, характеризующие их спрос, поведение на рынке, принадлежность к социальным и демографическим группам, и другая информация, необходимая для маркетинга; во-вторых, производители, обладающие сведениями о качественных и количественных характеристиках товара, потенциале производства и возможностях НТП, перспективах модернизации товара и создании качественно новых образцов, их себестоимости и т.д.; в-третьих, дистрибьюторы (торговые посредники), располагающие информацией о спросе потребителей, конъюнктуре потребительского рынка, торговых конкурентах, эффективности рекламы и т.д. Как правило, участники канала товародвижения, особенно конвенционального, или вертикальной маркетинговой системы охотно обмениваются информацией, имеющей взаимный интерес. Нередко ими проводятся совместные маркетинговые исследования. Заложенная информация может находиться в подсознании носителя (физического лица) и проявляться в форме действий на рынке или же ответов на вопросы исследователя; она может обнаруживаться в виде определенных закономерностей и находить выражение в рыночной деятельности предприятий, и, наконец, потенциальная информация может храниться в форме знаний у своих носителей, которые предоставляются при определенных условиях. Не следует смешивать понятия «носители информации» и «источники информации». Первые - юридические и физические лица, в силу своих служебных функций или присущих им свойств, образа и стиля жизни, сложившегося менталитета обладают потенциальной информацией, которая проявляется или в их действиях, или в их высказываниях. Источник информации - это концентрированный и специализированный проводник, канал информации, откуда ее черпнот заинтересованны-0 пользе! атели (в частности, маркетологи). Правда, как всякий инструмент, канал информации оказывает на нее некоторое воздействие (и по форме, и по существу), и пользователю надо быть готовым к соответствующей коррекции. Существуют два канала получения информации от ее носителя: первый, когда носитель информации сам сообщает необходимые сведения (через разные источники); второй, когда статистически оцениваются (как абсолютная, относительная или средняя величина, тенденция и т.п.) действия массы носителей информации. В различных странах предприятия в добровольном или обязательном порядке публикуют определенный набор сведений о себе (естественно, не нарушая коммерческой тайны, но достаточный, чтобы составить представление о конкуренте). В некоторых странах регулярно издаются регистры предприятий и справочные бюллетени по определенному кругу показателей. Нередко предприятия издают материалы о своей деятельности. Действует так называемый закон цветка. На какой цветок охотнее летят пчелы, бабочки? Правильно, на яркий. В информации о предприятии заинтересованы потенциальный инвестор, банкир, поставщик, клиент. В зарубежных странах давно сложилось убеждение: если предприятие проводит политику информационной закрытости, то оно скорее всего находится на пути к банкротству. К сожалению, в среде российских предпринимателей еще силен синдром закрытости, секретности, что, наверняка, наносит ущерб их собственным интересам. Самостоятельной формой движения информации следует считать коммуникативные каналы, когда предприятие-контрагент в ходе коммерческих переговоров сообщает информацию о себе как условие и побудительный мотив заключения сделки. В табл. 2.3 перечислены основные каналы (источники), отражено содержание и указываются способы получения маркетинговой информации. Таблица 2.3 Схема источников маркетинговой информации
Как видно, в источники, или каналы, маркетинговой информации входят: • публикации (цифровые, фактографические, теоретические) в средствах массовой информации, официальных справочных изданиях, сообщениях бирж, объявлениях банков и АО (для акционеров), сообщениях союзов предпринимателей, в регистрах и отраслевых бюллетенях, в научной или публицистической литературе (в некоторых странах существуют специальные бюро вырезок, на коммерческой основе собирающие досье по интересующему фирму вопросу в соответствии с заказом маркетинговой службы); • информация, приобретаемая фирмой на коммерческих началах, например у Российского статистического агентства или у альтернативных статистических служб (демографические данные, данные о ценах, доходах и расходах населения, другие социально-экономические показатели); • внутрифирменные учет и отчетность, в том числе бухгалтерская (данные о производстве и сбыте товара, ассортименте поставки и отгрузки, оптовом и розничном товарообороте, себестоимости и цене, инвестициях, затратах и прибылях, материально-технической базе и т.д.); • обмен информацией между участниками интегрированного канала товародвижения, а также между участниками коммерческих переговоров; • данные специальных обследований, проводимых самой фирмой или по ее заказу, в частности замеры параметров рынка в опорных пунктах (обычно в фирменных магазинах производственного предприятия, иногда в форме мониторинга, т.е. постоянно ведущегося наблюдения по заранее разработанной программе); • информация торговых корреспондентов - торговых работников (обычно продавцов), за особую плату регулярно сообщающих о своих наблюдениях за спросом и торговой конъюнктурой, а также информация, собираемая коммивояжерами и торговыми агентами; • различного рода экспертные оценки и прогнозы (дельфи-метод, метод мозгового штурма и др.); • непосредственное наблюдение (например, регистрация времени, затрачиваемого на покупку, и т.д.); • включенное наблюдение - наблюдатель негласно внедряется в коллектив (применяется при изучении конкурентов, а также для исследований производительности труда, морального климата и т.п. контингента работников собственной фирмы); • опросы потребителей, предпринимателей, специалистов (в том числе интервьюирование и анкетирование); • панели потребителей - разовые или постоянные выборочные обследования семей/домохозяйств потребителей; • эксперимент (пробный маркетинг): полевой - оценка и моделирование результатов продажи небольших партий товаров, изучение реакции потребителей на изменение факторов (условий продажи); лабораторный - построение по данным полевых наблюдений имитационной модели типа Е=f(хi; yi), где Е - результат действия системы, в которой хi - управляемые параметры (последовательно изменяемые исследователем); уi - неуправляемые параметры. В качестве дополнительного источника данных для конъюнктурного анализа используется статистика производства, товарооборота и товарных запасов, цен, финансов, социально-демографическая статистика и другие источники. Часто сбор информации организуется во время проведения выставок-продаж, ярмарок. Источниками конъюнктурной информации служат также справки о конъюнктурной обстановке, представляемые торговыми корреспондентами (продавцами, товароведами, административными работниками предприятий и т.п.). Руководству фирмы поступает «сигнальная» информация от подчиненных подразделений и предприятий. Проводятся также так называемые тенденциальные опросы специалистов. Они отличаются от обычных опросов программой вопросника, ориентированного на оценку рыночной ситуации, в частности о положении и перспективах соответствующей отрасли на рынке и в отдельных его сегментах, о склонности потребителей к покупкам и т.п. При организации тенденциального опроса в состав опрашиваемых лиц включают руководителей фирмы и специалистов промышленных и торговых (оптовых и розничных) предприятий, их маркетинговых служб; опрашиваются также владельцы (главы) домашних хозяйств, входящих в выборочную панель. Опрошенные лица представляют конъюнктурные справки, где содержатся ответы на поставленные вопросы, которые затем сводятся, статистически обрабатываются и анализируются. Вся конъюнктурная информация входит в систему маркетинговой информации. Методы экспертных оценок, базирующиеся на мнениях и оценках высококвалифицированных специалистов-экспертов, в частности Дельфи-метод, метод мозгового штурма, синектики и др., а также методы генерации идей. Известный маркетолог Питер Р. Диксон приводит мнения менеджеров 300 компаний о наиболее ценных источниках информации, используемых для характеристики рынков. На первом месте - контингент продавцов (по нашей терминологии, торговых корреспондентов), на втором - публикации и базы данных, на третьем - потребители (имеются в виду опросы), и только на четвертом месте находятся маркетинговые исследования, службы отслеживания. Список использованной литературы 1. Диксон П.Р. Управление маркетингом. - С. 93. 2. Дихтль Е.. Хершген X. Практический маркетинг / Пер. с нем. - М.: Высшая школа, 1995. - С. 14. 3. Крутиков Ф.А. Конъюнктура рынка при социализме. - М.: Экономика, 1968.- С.1Х. 4. Диксон П.Р. Управление маркетингом / Пер. с англ. - М., 1998. - С. 58. 5. Базел Р.Д., Кокс Д.Ф., Браун Р.В. Информация и риск в маркетинге / Пер. с англ. -М.: Финстатинформ, 1993. - С. 10. 6. Поведение потребителей / Энджелл Дж. Ф., Блэкуэлл Р.Д., Миниард П.У. / Пер. с англ. - СПб.: Питер Ком, 1999. - С. 25. 7. Котлер Ф. Основы маркетинга. -С. 118. [1] В данной работе не рассматривается рекламная информация, адресованная потребителям и клиентам. |
|||||||||||||||||||||||||||||||||||||||||||||||||||||||||||||||||||||||||||||||||||||||||||||||||||||||||||||||||||||||||||||||||||








(2.1)
(2.2)
(2.3)
(2.4)
(2.6)