Дипломная работа: Проект системы электроснабжения оборудования для группы цехов Челябинского тракторного завода
|
Название: Проект системы электроснабжения оборудования для группы цехов Челябинского тракторного завода Раздел: Рефераты по физике Тип: дипломная работа | |||||||||||||||||||||||||||||||||||||||||||||||||||||||||||||||||||||||||||||||||||||||||||||||||||||||||||||||||||||||||||||||||||||||||||||||||||||||||||||||||||||||||||||||||||||||||||||||||||||||||||||||||||||||||||||||||||||||||||||||||||||||||||||||||||||||||||||||||||||||||||||||||||||||||||||||||||||||||||||||||||||||||||||||||||||||||||||||||||||||||||||||||||||||||||||||||||||||||||||||||||||||||||||||||||||||||||||||||||||||||||||||||||||||||||||||||||||||||||||||||||||||||||||||||||||||||||||||||||||||||||||||||||||||||||||||||||||||||||||||||||||||||||||||||||||||||||||||||||||||||||||||||||||||||||||||||||||||||||||||||||||||||||||||||||||||||||||||||||||||||||||||||||||||||||||||||||||||||||||||||||||||||||||||||||||||||||||||||||||||||||||||||||||||||||||||||||||||||||||||||||||||||||||||||||||||||||||||||||||||||||||||||||||||||||||||||||||||||||||||||||||||||||||||||||||||||||||||||||||||||||||||||||||||||||||||||||||||||||||||||||||||||||||||||||||||||||||||||||||||
|
Алфёров А.В. Электроснабжение группы цехов «челябинского тракторного завода–Уралтрак». – Челябинск: ЮУрГУ, Э, 2008, с., 14 илл., 36 табл. Библиография литературы – 15 наименований. 7 листов чертежей формата А1. В данном проекте произведён расчет электроснабжения и выбор оборудования для группы цехов «Челябинского тракторного завода–Уралтрак». Была составлена схема системы электроснабжения, выбраны силовые трансформаторы, коммутационная аппаратура, кабельные линии и проведена их проверка на термическую стойкость. В разделе «Релейная защита» была рассмотрена защита синхронного двигателя. Спроектированная схема электроснабжения промышленного предприятия удовлетворяет ряду требований: высокая надежность и экономичность, безопасность и удобство в эксплуатации, обеспечено требуемое качество электроэнергии, соответствующие уровни напряжения. Проектирование производится на основе последних разработок и расчетов, что делает проект расчета электроснабжения завода современным. Данный проект можно принять к строительству в связи с его оптимальными показателями по капитальным затратам и расходом на эксплуатацию. Выбранное оборудование является новейшим и рекомендуется к установке на вновь проектируемых заводах. Введение Под электроснабжением согласно ГОСТу 19431-84 понимается обеспечение потребителей электрической энергии. СЭС как и другие объекты должны отвечать определенным технико-экономическим требованиям. Они должны обладать минимальными затратами при обеспечении всех технических требований, обеспечивать требуемую надежность, быть удобными в эксплуатации и безопасными в обслуживании, обладать гибкостью, обеспечивающей оптимальный режим эксплуатации в нормальных условиях и близкие к ним в послеаварийных ситуациях. При построении СЭС нужно учитывать большое число факторов, оказывающих влияние на структуру СЭС и типы применяемого в них оборудования. К ним относятся: - потребляемая мощность; - категории надежности питания; - характер графиков нагрузок потребителей; - размещение электрических нагрузок на территории предприятия; - условия окружающей среды; - месторасположение и параметры источников питания; - наземные и подземные коммуникации. Краткая характеристика предприятияОАО "Челябинский тракторный завод - Уралтрак" - крупнейшая в странах СНГ машиностроительная компания по разработке и производству промышленных тракторов и двигателей к ним, располагающая большим технологическим и производственным потенциалом. Сегодня завод выпускает машины для нефте-, газодобывающей, горнорудной, строительной и других отраслей промышленности. Челябинский тракторный завод является лидером рынка России и стран СНГ в сегментах гусеничных промышленных тракторов, бульдозеров и трубоукладчиков. Располагается предприятие в восточной части города вблизи Первого озера. Общая площадь, занимаемая Челябинским тракторным заводом, составляет 208 га. В основном производстве ЧТЗ задействовано свыше 17 000 человек. Челябинский тракторный завод располагает мощностями литейного, кузнечного, прессово-сварочного, механообрабатывающего, окрасочного, термического и гальванического производств. В основном производстве предприятия в настоящее время задействовано свыше 13000 единиц оборудования, которое обеспечивает полный производственный цикл создания инженерных машин, двигателей, запасных частей и прочих видов продукции. Технический паспорт проекта 1. Суммарная установленная мощность электроприемников предприятия напряжением ниже 1 кВ: 23938 кВт. 2. Суммарная установленная мощность электроприемников предприятия напряжением свыше 1 кВ: 12800 кВт: синхронные двигателей 4×СТД-3200 (Рном = 3200 кВт); 3. Категория основных потребителей по надежности электроснабжения: Присутствуют потребители 2 категория. 4. Полная расчетная мощность на шинах главной понизительной подстанции: 20482 кВА; 5. Коэффициент реактивной мощности: Расчетный: tg Заданный энергосистемой: tg Естественный tg 6. Напряжение внешнего электроснабжения: 110 кВ; 7. Мощность короткого замыкания в точке присоединения к энергосистеме: 5000 МВА; 8. Расстояние от предприятия до питающей подстанции энергосистемы: 2 км, тип и сечение питающих линий: ВЛ-110, АС-70/11; 9. Количество, тип и мощность трансформаторов главной понизительной подстанции: 2×ТРДН-25000/110; 10. Напряжение внутреннего электроснабжения предприятия: 10 кВ; 11. Типы принятых ячеек распределительных устройств, в главной понизительной подстанции: КЭ-10/20; 12. На территории устанавливаются комплектные трансформаторные подстанции с трансформаторами типа ТМ, ТМЗ мощностью 1000, 2500 кВА; 13. Тип и сечение кабельных линий: Кабельные линии 10кВ ААШв 3×70 и ААШв 3×150 мм2 ; Кабельные линии 0,4кВ ААШв 4×70, ААШв 4×95 и ААШв 4×240 мм2 . Исходные данные: Необходимо выполнить проект системы электроснабжения группы цехов «Челябинского тракторного завода – Уралтрак» в объеме, указанном в содержании. Завод расположен на Южном Урале (Челябэнерго). Генеральный план предприятия представлен на листке 1. Сведения об установленной мощности электроприемников, как отдельного цеха, так и группы цехов приведены в таблицах 1.2 и 1.3. 1. Расстояние от предприятия до энергосистемы 2 км; 2. Уровни напряжения на шинах главной городской понизительной подстанции: 35 и 110 кВ; 3. Мощность короткого замыкания на шинах подстанции энергосистемы: для U1 – 650 МВА; для U2 – 5000 МВА; 4. Стоимость электроэнергии по двухставочному тарифу: основная ставка 186 руб/кВт мес; дополнительная 1,04 руб/кВт 5. Наивысшая температура: окружающего воздуха 22,2 С; почвы (на глубине 0,7 м) 15,2 С; 6. Коррозийная активность грунта слабая; 7. Наличие блуждающих токов; 8. Колебания и растягивающие усилия в грунте есть. 1. Расчет электрических нагрузок промышленного предприятия1.1 Расчет электрических нагрузок цеха шестеренПринимаем, что сварочная нагрузка работает с ПВ=40% , а грузоподъемная нагрузка с ПВ=25% . Для электроприемников, работающих с заданными ПВ, номинальную мощность необходимо привести к длительному режиму по формуле:
Расчет электрических нагрузок цеха сводится в таблицу 1.1. В таблице 1.1 в графе «число электроприемников n » указывается количество рабочих электроприемников. В графе «Рном» записываются номинальные установленные мощности в кВт одного электроприемника. В графе « В итоговой строке «итого по отделению» суммируются общее число электроприемников группы, суммарная номинальная мощность всей группы, а также мощности по фазам. В графы Средняя активная нагрузка за наиболее загруженную смену для каждого электроприемника или подгруппы электроприемников определяется по формуле:
Средняя реактивная нагрузка за наиболее загруженную смену для них находятся из выражения:
После определения средних активных Рс и реактивных Qс нагрузок по отдельным электроприемников производится расчет для группы. В итоговой строке « итого по отделению» суммируются общее число электроприемников группы, суммарная номинальная мощность всей группы. Для заполнения граф По полученным данным определяется среднее значение коэффициента использования и среднее значение tg φ по группе:
В графе «nэ» в строке «итого по отделению» определяется приведенное число электроприемников nэ рассматриваемой группы. При расчетах электрических нагрузок, пользуются следующими выражениями для определения эффективного числа электроприемников. -при Kиа < 0,2
- при Киа ≥ 0,2
где: Рном.
max
-номинальная мощность максимального электроприемника в группе (цехе). В графе Определение расчетной нагрузки на разных ступенях системы электроснабжения промышленных предприятий рекомендуется проводить по методу упорядоченных диаграмм. Расчетная активная нагрузка группы трехфазных электроприемников на всех ступенях питающих и распределительных систем находится по средней нагрузке и расчетному коэффициенту:
Расчетная реактивная получасовая нагрузка трехфазных электроприемников :
Графы “ Sp” и “Ip” заполняются для группы электроприемников:
В итоговой строке “итого по цеху” суммируются общее число электроприемников группы, суммарная номинальная мощность всей группы. Для заполнения граф и “Qсм”. По полученным данным определяется среднее значение коэффициента использования и среднее значение tg φ цеху по формулам (1.4) и (1.5). По формулам (1.6) и (1.7) определяется эффективное число электроприемников. Расчетные активная и реактивная нагрузки группы трехфазных электроприемников цеха находятся по средней нагрузке и расчетному коэффициенту:
Кра=Крр в силу того, что на 3 уровне большое количество электроприемников и график активной мощности становится относительно равномерным , то есть по форме приближается к графику реактивной мощности . Расчетная нагрузка осветительных электроприемников определяется по удельной осветительной нагрузке на единицу производственной поверхности пола с учетом коэффициента спроса.
где Кс.о - коэффициент спроса на освещение; Руд.о - удельная осветительная нагрузка на единицу производственной поверхности пола; F-площадь отделения.
где tg φ=0,62 - коэффициент реактивной мощности для ламп ДРЛ; Полная нагрузка по отделению определяется по формуле:
Рабочий ток по отделению:
где Uном=0,4 кВ Расчётная нагрузка по цеху шестерен приводится в таблице 1.2. 1.2 Расчет электрических нагрузок по предприятиюРасчет начинается с определения низковольтных нагрузок по цехам. По справочникам находятся коэффициенты kиа и соsφ. Для каждого цеха вычисляются средние активная Рср и реактивная Qср нагрузки. Затем с использованием значений nэ и kиа по таблицам находится коэффициент максимума kра , и определяются расчетные активная Рр и реактивная Qр нагрузки. Расчетная осветительная нагрузка Рр.осв цеха вычисляется по выражению (1.18) с учетом площади производственной поверхности пола Fц цеха, определяемой по генплану предприятия, удельной осветительной нагрузки Руд.осв и коэффициента спроса на освещение Кс.осв . Рр.осв = Кс.осв ∙ Руд.осв ∙ Fц . (1.18) После суммирования нагрузок Рр и Рр.осв с учетом нагрузки Qр вычисляется полная расчетная низковольтная нагрузка цеха Sр . После нахождения нагрузок всех цехов, рассчитывается строка «Итого по 0,4 кВ», в которой суммируются по колонкам номинальные активные мощности Рн , средние активные Рср и реактивные Qср нагрузки и расчетные осветительные нагрузки Рр.осв . Далее вычисляются коэффициенты kиа , tgφ и соsφ по формулам (1.19), (1.20), (1.21). Приведенное число электроприемников по (1.6) или (1.7) и находится коэффициент максимума kра для электроприемников напряжением до 1000 В. kиа
= tgφ = соsφ = аrctg φ . (1.21) Определение расчетной нагрузки высоковольтных электроприемников производится так же, как и низковольтных. В результате вычислений записывается строка «Итого на 10 кВ». Таблицу заканчивает строка «Итого по предприятию», в которой записываются суммарные данные по низковольтным и высоковольтным ЭП: номинальная активная мощность, средние и расчетные активная и реактивная нагрузки, полная расчетная нагрузка, а также среднее для всего предприятия значения коэффициентов. Следуя указаниям литературы, был произведен расчет электрических нагрузок по предприятию, полученные данные сведены в таблицу 1.3. Расчетные данные по отдельным цехам в дальнейшем используются при выборе числа и мощности цеховых понижающих трансформаторов и затем с учетом потерь мощности в указанных трансформаторах для расчета питающих линий. Расчетные данные по предприятию в целом с учетом потерь мощности в цеховых трансформаторах используются при выборе трансформаторов главной понизительной подстанции (ГПП) и расчете схемы внешнего электроснабжения. 1.3 Расчет картограммы электрических нагрузок предприятияКартограмма нагрузок представляет собой размещенные на генеральном плане окружностей, центры которых совпадают с центрами нагрузок цехов, а площади окружностей пропорциональны расчетным активным нагрузкам. Каждая окружность делится на секторы, площади которых пропорциональны активным нагрузкам низковольтных, высоковольтных и осветительных электроприёмников. При этом радиус окружности и углы секторов для каждого цеха соответственно определяются: Ri
= где Рр i , Ррн i , Ррв i , Рро i – расчетные активные нагрузки всего цеха, низковольтных, высоковольтных и осветительных электроприёмников, кВт; Масштаб площадей картограммы нагрузок, кВт∙м2 . m = где Рmin p – минимальная расчетная активная мощность одного цеха; Rmin – минимальный радиус, Rmin = 5 мм. Углы секторов для каждого цеха определяются по формулам:
Центр электрических нагрузок предприятия является символическим центром потребления электрической энергии (активной мощности) предприятия, координаты которого находятся по выражениям: хо
= где хi , уi – координаты центра i-го цеха на плане предприятия, м. Расчет предоставлен в таблице 1.4. Таблица 1.4 – Расчёт картограммы нагрузок
Масштаб равен 65,14 кВт/мм2 . 2. Выбор числа, мощности и типа трансформаторов цеховых трансформаторных подстанций предприятияМощность трансформаторов цеховых ТП зависит от величины нагрузки электроприемников, их категории по надежности электроснабжения, от размеров площади, на которой они размещены и т.п. При одной и той же равномерно распределенной нагрузке с увеличением площади цеха должна уменьшаться единичная мощность трансформаторов. Так, в цехе, занимающем значительную площадь, установка трансформаторов заведомо большой единичной мощности увеличивает длину питающих линий цеховой сети и потери электроэнергии в них. где Sр – расчетная электрическая нагрузка цеха, кВА; Fц – площадь цеха, м2 . Таблица 2.1 – Связь между экономически целесообразной мощностью отдельного трансформатора цеховой ТП и σ.
Выбор цеховых ТП сводится к решению нескольких задач: - выбор единичной мощности трансформатора; - выбор общего числа трансформаторов (оптимального); - выбор числа трансформаторов на каждой подстанции; - выбор местоположения. Минимальное число трансформаторов в цехе: Nт
min
= где Кз доп – коэффициент загрузки – допустимый. ΔNт – добавка до ближайшего целого числа. Допустимые значения коэффициента загрузки для двухтрансформаторных подстанций: Кз доп = 0,65…0,7 – I категория Кз доп = 0,8…0,85 – II категория (при наличие складского резерва трансформаторов) Кз доп = 0,93…0,95 – III категория Найденное число трансформаторов не может быть меньше, чем число трансформаторов, требуемых по условиям надежности. Предельную величина реактивной мощности, которую могут пропустить выбранные трансформаторы: Q1р
=
где Nт – число трансформаторов цеховой ТП; Кз доп – допустимый коэффициент загрузки трансформаторов цеховой ТП в нормальном режиме; Sн т i – номинальная мощность трансформаторов цеховой ТП; Рр i – расчетная активная нагрузка на ТП. При Q1р i < Q1р трансформаторы ТП не могут пропустить всю реактивную нагрузку и поэтому часть ее должна быть скомпенсирована с помощью конденсаторов, которые следуют установить на стороне низшего напряжения на ТП. Мощность этих конденсаторов будет составлять Qку = Qр i - Q1 i . (2.5) и они должны устанавливаться на ТП обязательно. Коэффициент загрузки трансформаторов в нормальном и послеаварийном режимах будут соответственно: Кз норм
= где Nт – число взаиморезервируемых трансформаторов цеховой ТП; Sр.т i – полная расчетная нагрузка, приходящаяся на один трансформатор ТП. Потери активной мощности в трансформаторах: ΔРт
= N×(ΔРхх
+ где N – число ТП в цехе; Кз норм – коэффициент загрузки трансформатора в нормальном режиме; ΔРхх – потери холостого хода в трансформаторе; ΔРкз – потери короткого замыкания. Потери реактивной мощности в трансформаторах: ΔQт
= N· где Iхх – ток холостого хода; Uкз – напряжение короткого замыкания; Sн т – номинальная мощность трансформатора. Результаты расчётов по выбору числа и мощности трансформаторов приведены в таблице 2.2. 3. Выбор напряжения, схемы внешнего электроснабжения и трансформаторов ГПП предприятияВеличина напряжения питания главной понизительной подстанции предприятия определяется наличием конкретных источников питания, уровнями напряжения на них, расстоянием от главной понизительной подстанции до этих источников, возможность сооружения воздушных линий для передачи электроэнергии и другими факторами. Из всех возможных вариантов внешнего электроснабжения нужно выбрать оптимальный, т.е. имеющий наилучшие технико-экономические показатели. Для этого, прежде всего, следует найти величину рационального напряжения, которую возможно оценить по приближенной формуле Стилла: Uр.рац
= 4,34∙ где l – длина питающей линии главной понизительной подстанции, км; Рр. n – расчетная нагрузка предприятия на стороне низшего напряжения, кВт. Расчетная активная нагрузка предприятия: Рр. n = ( Рр.н + Рр.В + ∆РmΣ ) + Рр.о , (3.2) где Рр.н , Рр.В – расчетные низковольтная и высоковольтная нагрузка всех цехов предприятия, кВт; ∆РmΣ – суммарные потери активной мощности в трансформаторах цеховых трансформаторных подстанций, кВт; Рр.о – расчетная активная освещения цехов и территории, кВт. Рр. n = 27164 кВт. Подставив все найденные данные в формулу (3.1) найдем рациональное напряжение: Uр.рац = 64,27 кВ. Для сравнения заданы два варианта внешнего электроснабжения предприятия 35 и 110 кВ. Полная расчетная нагрузка предприятия, необходимая для выбора трансформаторов ГПП: Sр
= где Qэ1 – экономически целесообразная реактивная мощность на стороне внешнего напряжения ГПП, потребляемая предприятием от энергосистемы (tgφ35 = 0,27;tgφ110 = 0,31); Qэ1 = Рр. n ∙ tgφ ; (3.4) ∆Qгпп
= 0,07∙ где ∆Qгпп – потери реактивной мощности в трансформаторах ГПП, кВАр. Результаты расчетов сведем в таблицу 3.1. Таблица 3.1 выбор трансформаторов на ГПП.
Мощность трансформаторов ГПП выбирается исходя из соотношения: Sт
= На главной понизительной подстанции устанавливаем два трансформатора, что обеспечивает необходимую надежность при достаточно простой схеме и конструкции главной понизительной подстанции. Коэффициент загрузки трансформаторов в нормальном режиме работы не должен превышать 0,7. Варианты схем электроснабжения предприятия на напряжение 35 и 110 кВ представлены на рисунках 3.1 и 3.2 соответственно.
Рисунок 3.1- Вариант схемы электроснабжения предприятия на напряжение 35 кВ.
4. Технико-экономическое обоснование схемы внешнего электроснабжения предприятия4.1 Вариант 35 кВОпределим потери мощности в силовых трансформаторах ГПП. Параметры трансформаторов ТРДН–25000/35: Рхх = 25 кВт, Ркз = 115 кВт, Iхх = 0,42%, Uк =10,5%. Потери мощности в трансформаторах находим по формулам: (2.7) и (2.8). ∆Рт = 2∙(25+0,422 ∙115) = 90,10 кВт. ∆Qт
= 2∙( Потери электрической энергии в трансформаторах: ∆Ат
= N∙(∆Рхх
∙ Тг
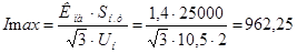
+ где Тг = 8760 часов – годовое число часов работы предприятия; τ – годовое число часов максимальных потерь, определяется из соотношения: τ = (0,124 + где Тм – годовое число использования 30 минутного максимума активной нагрузки тм = 3770 часов (Л1. Таблица 24-23). ∆Ат = 2∙(25 ∙8760 + 0,422 ∙115∙2199) = 526,174∙103 кВт∙ч Рассчитаем линию электропередачи от районной подстанции энергосистемы до главной понизительной подстанции. Нагрузка в начале линии: Sр.л
=
Расчетный ток одной цепи линии: Iр.л
=
Ток в послеаварийном режиме (в случае питания всей нагрузки по одной цепи):
Сечение проводов линии нахожу по экономической плотности тока jэ =1,1 А/мм2 : Fэ
=
Выбираю стандартное сечение. Провод АС-240/39, Iдоп =610А, r0 =0,122 Ом/км, х0 =0,372 Ом/км. Выбранный провод при напряжении 35кВ по условию коронирования не проверяется. Проверяем провод по нагреву в послеаварийном режиме: 610 > 577 А Потери активной энергии в проводах линии за 1 год:
ΔАл = 2·(3·1762 ·0,122·2·2199)/1000 = 99,374·103 кВт·ч. Рассчитаем токи короткого замыкания в начале отходящих линии от подстанции энергосистемы и на вводах ГПП. Исходная схема и схема замещения для расчетов короткого замыкания приведены на рисунке 4.1. Определяем параметры схемы замещения. Нам задана мощность короткого замыкания на шинах подстанции энергосистемы Sк = 650 MBA. Принимаем базисную мощность Sб = 1000 MBА, и базисное напряжение Uб = 37 кВ. Суммарное сопротивление системы в относительных единицах: ХСΣ
= ХСΣ
= Сопротивление воздушной линии 35 кВ в относительных единицах: Хл
= Хл
=
а) б) Рисунок 4.1 - Исходная схема и схема замещения для расчета токов короткого замыкания. Определим ток короткого замыкания в точке К-1 (X1 = XСΣ = 1,52 о.е.). Ток короткого замыкания в точке К-1 (периодическая составляющая принимается постоянной в течение всего процесса замыкания): Iк1
= Int
= In
0
= Iк1
= Ударный ток короткого замыкания: Iу
= где Ку =1,72- ударный коэффициент (Л2 таблица 2.45) Iу
= Выбираем коммутационную аппаратуру в начале отходящих линий от подстанции энергосистемы и на вводе главную понизительную подстанцию. t = где tc .з = 0,01 - время срабатывания защиты; tc .в -собственное время отключения (с приводом) выключателя. t = 0,01 + 0,03= 0,04 с. Апериодическая составляющая: Ia
.
t
= где Та - постоянная времени затухания апериодической составляющей, для установок напряжением выше 1000 В Та = 0,03 с. Ia
.
t
= Принимаем к установке выключатель типа: ВГБЭ-35-элегазовый Вк = Iпо 2 ( t0 + Ta ); (4.13) Вк = 10,142 ∙ (0,055+ 0,03) = 8,74 кА2 ∙ с. Определим ток короткого замыкания в точке К-2: Х2
= Iк2
= Iу
= Iat
= Устанавливаем выключатель типа: ВГБЭ-35-элегазовый Вк = Iпо 2 ( t0 + Ta ); Вк = 10,14 2 ∙ (0,055 + 0,02) = 8,74 кА2 ∙ с. Выбранные типы аппаратов и их паспортные данные сведены в таблицу 4.1. Таблица 4.1 - Паспортные данные выключателя и разъединителя.
Для защиты трансформаторов от перенапряжений в питающей сети устанавливаем ОПН-У-35/38,5. На вводе в ГПП устанавливается аналогичная коммутационная аппаратура. 4.2 Вариант 110 кВОпределим потери мощности в силовых трансформаторах ГПП. Параметры трансформаторов ТДН-25000/110: Рхх = 25 кВт, Ркз = 120 кВт, Iхх = 0,65%, Uк =10,5%. Потери мощности в трансформаторах по (2.7) и (2.8): ∆Рт = 2×(25+0,422 ×120) = 92,53 кВт,
Потери электрической энергии в трансформаторах по (4.1): ∆Ат = 2·(25 ∙8760 + 0,42·120·1255,36) = 531516 кВт∙ч. Рассчитаем линию электропередачи от районной подстанции энергосистемы до главной понизительной подстанции по (4.2 – 4.6). Нагрузка в начале линии:
Расчетный ток одной цепи линии:
Ток в послеаварийном режиме (в случае питания всей нагрузки по одной цепи):
Сечение проводов линии нахожу по экономической плотности тока jэ =1,1 А/мм2 :
Выбираю ближайшее стандартное сечение. Провод АС-70/11, Iдоп = 265 А, r0 =0,42 Ом/км, х0 =0,416 Ом/км. Выбранный провод проходит по условию коронирования. Проверяем провод по нагреву в послеаварийном режиме: 265 > 184 А Потери активной энергии в проводах линии за 1 год: ΔАл = 2·(3·572 ·0,42·2·2199)/1000 = 35385 кВт·ч. Рассчитаем токи короткого замыкания в начале отходящих линии от подстанции энергосистемы и на вводах ГПП по формулам (4.8 – 4.13). Исходная схема и схема замещения для расчетов короткого замыкания приведены на рисунке 4.2. Определяем параметры схемы замещения. Нам задана мощность короткого замыкания на шинах подстанции энергосистемы Sс = 5000 MBA. Принимаем базисную мощность Sб = 1000 MBА, и базисное напряжение Uб = 115 кВ.
Рисунок 4.2 - Исходная схема и схема замещения для расчета токов короткого замыкания 110 кВ. Суммарное сопротивление системы в относительных единицах:
Сопротивление воздушной линии 110 кВ в относительных единицах:
Определим ток короткого замыкания в точке К-1 (X1 = XС = 0,29 о.е.). Ток короткого замыкания в точке К-1 (периодическая составляющая принимается постоянной в течение всего процесса замыкания):
Ударный ток короткого замыкания: iу
= где Ку =1,72- ударный коэффициент. Выбираем коммутационную аппаратуру в начале отходящих линий от подстанции энергосистемы и на вводе главную понизительную подстанцию. Намечаем к установке выключатель типа: ВГТ-110-элегазовый t = 0,01 + 0,05 = 0,06 с. Апериодическая составляющая: Ia
.
t
= где Та - постоянная времени затухания апериодической составляющей, для установок напряжением выше 1000 В Та = 0,03 с. Тепловой импульс выделяемый током короткого замыкания: Вк = 25,12 ∙ (0,06 + 0,03) = 56,71 кА2 ∙ с. Определим ток короткого замыкания в точке К-2: Х2 = Х1 + ХЛ = 0,2+0,06 = 0,26 о.е,
Устанавливаем выключатель типа: ВГТ-110-элегазовый колонкового типа. Тепловой импульс выделяемый током короткого замыкания: Вк = 19,12 ∙ (0,06 + 0,03) = 32,8 кА2 ∙ с. Выбранные типы аппаратов и их паспортные данные сведены в таблицу 4.2. Таблица 4.2-Выбор коммутационной аппаратуры в начале отходящих линий от подстанции.
Для защиты трансформаторов от перенапряжений в питающей сети устанавливаем ОПН-У-110/77, в нейтраль силового трансформатора включаем ОПН-У-110/56, ЗОН-110У-IУ1 (Iн
= 400 А, На вводе в ГПП устанавливается аналогичная коммутационная аппаратура. 4.3 Технико-экономические показатели сравниваемых схем внешнего электроснабженияПри сравнении вариантов учитываются: коммутационная аппаратура отходящих линий от питающей подстанции энергосистемы, воздушные линии, вводные коммутационные аппараты главной понизительной подстанции, силовые трансформаторы главной понизительной подстанции. Годовые приведенные затраты:
Еi = Ен + Еа i + Еm р i , (4.15) где Еi – общие ежегодные отчисления от капитальных вложений, являющиеся суммой нормативного коэффициента эффективности Ен , отчислений на амортизацию Еа i и расходов на текущий ремонт. Кi – сумма капитальных затрат i-ой группы одинаковых электроприемников. Сэ – стоимость годовых потерь электроэнергии. При проектировании сетей электроснабжения промышленных предприятий учитывается стоимость потерь электроэнергии по двухставочному тарифу: Сэ = (∆Ат + ∆Ал )∙С0 , (4.16)
где С0 – удельная стоимость потерь электроэнергии; α – основная ставка тарифа; Показатели вариантов сведены в таблицы 4.3 и 4.4. Таблица 4.3- Технико - экономическое сравнение - 35 кВ
Таблица 4.4- Технико - экономическое сравнение - 110 кВ
Таблица 4.5 - Сравнение экономических показателей
Вариант 110 кВ экономичнее на 20,18%, что более 15% поэтому окончательно выбираем вариант 110 кВ. 5. Выбор величины напряжения и схемы внутреннего электроснабжения предприятия, расчет питающих линий5.1 Выбор величины напряженияВыбор величины напряжения распределительных сетей предприятия зависит от величины нагрузок 6 и 10 кВ. Критерием выбора являются технико-экономические показатели, в первую очередь приведенные затраты, которые рассчитываются как для сети, так и для понижающих подстанций. В данном проекте согласно: "Инструкции по проектированию электроснабжения промышленных предприятий. СН 174-75 (Л3), принимаем напряжение внутреннего электроснабжения предприятия на напряжение 10 кВ. 5.2 Построение схемы внутреннего электроснабжения предприятияСхемы распределения электроэнергии на первой ступени от главной понизительной подстанции до распределительных пунктов на напряжение 10 кВ применяем магистральные при последовательном линейном расположении подстанций, для группы технологически связанных цехов, число присоединенных подстанций две, три и радиальные при нагрузках, располагаемых в разных направлениях от источника питания. При этом одноступенчатыми радиальными схемами в основном нужно выполнять при питании больших сосредоточенных нагрузок. Питание нагрузки ниже 1 кВ выполняется радиально. Электрическая схема представлена на чертеже 2. 5.3 Конструктивное выполнение электрической сетиВыбор способа распределения электроэнергии зависит от величины электрических нагрузок, их размещения, плотности застройки предприятия, конфигурации, технологических, транспортных и других коммуникаций, типа грунта на территории предприятия. Выбираем прокладку кабелей в траншее как очень простой и экономически выгодный способ, применяемый при прокладке до шести кабелей. Для прокладки используем кабель марки ААШв. Так же единожды прокладываем кабель в лотках, марка кабеля ААШв. 5.4 Расчет питающих линийСечение кабелей напряжением 10 кВ. определяем по экономической плотности тока, и проверяются по допустимому току кабеля в нормальном режиме работы с учетом условий по его прокладке, по току перегрузки, потери напряжения в послеаварийном режиме и термической стойкости к токам короткого замыкания. Расчетный ток в кабельной линии в нормальном режиме: где Sр.к − мощность, которая должна передаваться по кабельной линии в нормальном режиме, кВА. Например, при питании двухтрансформаторной подстанции − расчетная нагрузка, приходящаяся на один трансформатор. Для магистральной линии мощность Sр.к должна определяться для каждого участка путем суммирования расчетных нагрузок соответствующих трансформаторов, питающихся по данному участку магистральной линии. Сечение кабельной линии, определяется по экономической плотности тока:
где jэ – экономическая плотность тока, зависящая от типа кабеля и продолжительности максимальной нагрузки. jэ = 1,4 А/мм2 По результатам расчета выбирается кабель, имеющий ближайшее меньшее стандартное сечение по отношению к экономически целесообразному. В разделе «Расчет токов короткого замыкания» по результатам расчета были приняты минимальные сечения кабелей. Если площадь сечения кабеля, выбранная по условиям нормального и утяжеленного режимов работы, оказывается меньше площади термически устойчивого сечения Fтс , то сечение такого кабеля увеличиваем до ближайшего меньшего стандартного сечения по отношению к Fтс . Расчетные данные сведем в таблицу 5.1 Таблица 5.1 – Проверка кабелей на термическую стойкость
Допустимый ток кабеля с учетом условий его прокладки:
где Кп – поправочный коэффициент на число параллельно прокладываемых кабелей; Kt – поправочный коэффициент на температуру среды, в которой прокладывается кабель; Nк - число прокладываемых кабелей. Допустимая перегрузка кабеля в послеаварийном режиме:
где КАВ – коэффициент перегрузки. Потеря напряжения в кабельной линии определяется по формуле: где Рр , Qp - расчетная активная и реактивная нагрузки. xо , rо - удельное индуктивное и активное сопротивление кабеля, Ом/км. Результаты расчётов приведены в таблице 5.2. 6. Расчет токов короткого замыкания Мощность короткого замыкания в месте присоединения линии, питающей главную понизительную подстанцию значительно больше мощности потребляемой предприятием, поэтому допускается принимать периодическую составляющую тока К.З. от энергосистемы неизменной во времени: Iк = In . o = In . t . Для расчетов токов короткого замыкания составляется исходная электрическая схема, на которой показываются источники питания точек короткого замыкания, расчетные точки и токи между ними. Схема приведена на рисунке 6.1.
Рисунок 6.1 - Электрическая схема для расчета токов к.з. Для выбора электрооборудования СЭС предприятия производим расчет токов К.З. в следующих точках: К-1 и К-2 – в схеме внешнего электроснабжения; К-3 – в распределительном устройстве напряжением 10 кВ ГПП; К-4 – в электрической сети напряжением 0,4 кВ. Расчет токов К.З. в точках К-1 и К-2 проводился в разделе «Технико-экономическое обоснование схемы внешнего электроснабжения предприятия». К.З. в точке К1: Uср=115 кВ; Iк1=Iпо=Int=25,1 кА Iу=61,06 кА. Ia . t = 4,81 кА. Sк.ст=5000 МВ·А. К.З. в точке К2: Uср=115 кВ; Iк2=Iпо=Int=19,1 кА Iу=45,91 кА. Ia . t = 2,01 кА. Sк.ст=3803,57 МВ·А. Расчет токов к.з. в точке К-3. Сопротивление трансформатора главной понизительной подстанции:
Сопротивление кабельных линий находим по формуле: Хл
=
Сопротивление СД определяется по формуле:
Далее проведу распределение Хн.тр по лучам схемы: Рисунок 6.2 - Электрическая схема замещения Хс.эк = Хс+Хкл+Хв.тр = 0,2 + 0,06 + 0,53 = 0,79 о.е, Хсд.эк = Хсд + Хкл +Хн.тр= 30+0,11+7,35=37,546 о.е,
Коэффициенты:
Результирующее сопротивление со стороны ЭС и СД:
Определяю базисный ток: Iб = Iб = Токи по лучам:
Тогда периодическая составляющая тока к моменту t=0 будет Iк3=Iс + Iсд + Iсд1=8,79 кА. Принимаем постоянной в течение всего процесса замыкания.
Все результаты расчетов приведены в таблице 6.1. К.З. в точке К4 Расчет токов к.з. в установках до 1000 В производится в именованных единицах, при этом сопротивления всех элементов, входящих в схему замещения, ввиду малости их величин выражают в миллиомах (мОм). Суммарное сопротивление системы до цехового трансформатора принимаем равным нулю. Ток короткого замыкания в точке К-4 (периодическая составляющая принимается постоянной в течение всего процесса замыкания) определим по формуле:
где Uc,hom - среднее номинальное напряжение ступени. rs и хъ — суммарные активное и реактивное сопротивления короткозамкнутой цепи в состав которых входят: гт и хт сопротивления трансформатора TM-1000; rт =1,9 мОм, хт =8,6 мОм (JI2, Таблица 2.50) га и ха сопротивления токовых катушек расцепителей автоматического выключателя ВА 53-39 при Iном=2500 А; га =0,13 мОм, ха =0,07 мОм (Л2, Таблица 2.54) rк сопротивление контактов; rк =0,03 мОм (Л2, Таблица 2.55) rΣ = 1,9 + 0,13 + 0,03 = 2,06 мОм; хΣ = 8,6 + 0,07 = 8,67 мОм. Подставим все найденные значения в формулу:
Определим ударный ток и наибольшее действующее значение тока к.з. в точке К-4, где Ку =1,6- ударный коэффициент (Л2 таблица 2.45)
Все результаты расчетов приведены в таблице 6.1. Таблица 6.1 - Мощность и токи коротких замыканий
6. Выбор электрооборудования системы электроснабжения предприятия6.1 Выбор трансформаторов собственных нужд главной понизительной подстанцииПриемниками собственных нужд подстанции являются оперативные цепи, электродвигатели систем охлаждения трансформаторов, освещение, электроподогрев коммутационной аппаратуры ВН и шкафов, установленных на открытом воздухе, связь, сигнализация, система пожаротушения, система телемеханики и т.д. Мощность потребителей СН невелика, поэтому они присоединяются к сети 380/220 В, которая получает питание от понижающих трансформаторов. Устанавливаем 2 трансформатора собственныъх нужд мощностью: Sтсн = Sн.т ∙ 0,5% Sтсн = 25000 ∙ 0,005 = 125 кВА. Принимаем к установке ТМ-160/10, который присоединяется к шинам 10 кВ через предохранители, так как Sтсн < 200 кВА. Ток предохранителя: Iп
= Устанавливаем предохранитель типа: ПКТ-101-20-31,5У3 6.2 Выбор типа распределительных устройств на низкой стороне главной понизительной подстанции, выключателей, трансформаторов тока и напряжения.I. КРУ КЭ-10/20 комплектуется следующим оборудованием: – выключатели серии VF – разъединитель штепсельный РВР-10 – трансформаторы тока ТОЛ-10, ТЛК-10, ТШЛ-10 – трансформаторы напряжения ЗНОЛ.09, НОЛ.08 – трансформатор тока нулевой последовательности ТЗЛМ. II. Выбор выключателей, установленных на вводе в комплектные распределительные устройства а также секционного выключателя. Номинальный ток силового трансформатора:
Максимальный (послеаварийный) ток силового трансформатора:
Таблица 7.1 - Проверка выключателей 10 кВ
В качестве выключателей отходящих линий принимаем выключатели этого же типа. III. Выбор трансформаторов тока на вводе в распределительное устройство 10 кВ главной понизительной подстанции. Таблица 7.2 - Выбор трансформаторов тока
Вторичная нагрузка ТТ: амперметр, ваттметр, расчетные счетчики активной и реактивной энергии.
Рисунок 7.1 -Схема вторичных токовых цепей трансформатора тока 10 кВ. Проверку ТА по вторичной нагрузке проводим, пользуясь схемой включения и каталожными данными приборов. Определим нагрузку по фазам для наиболее загруженного трансформатора тока. Данные внесем в таблицу 7.3. Таблица 7.3 - Нагрузка трансформаторов тока
Из таблицы 7.3 видно, что наиболее загружены трансформаторы тока фазы А, тогда общее сопротивление приборов:
Допустимое сопротивление проводов: rпров = z2ном - rприб - rконт , где z2ном = 0,8– для класса точности 0,5; rконт = 0,07 Ом – для трех приборов; rпров = 0,8 − 0,2 − 0,07 = 0,53 Ом. Принимаем кабель с алюминиевыми жилами, ориентировочная длина которого 4 метра. Так как трансформаторы тока соединены в неполную звезду, значит q = q = Правила устройства электроустановок регламентирует минимальное сечение для алюминиевых проводов 4 мм2 , поэтому принимаем контрольный кабель АКРВГ с жилами S = 4 мм2 . Схема включения приборов, выбранных на секционном выключателе главной понизительной подстанции, представленной на рисунке 7.2. Рисунок 7.2 - Схема цепей трансформатора тока секционного выключателя 10 кВ Проверку ТА по вторичной нагрузке проводим, пользуясь схемой включения и каталожными данными приборов. Определим нагрузку по фазам для наиболее загруженного трансформатора тока. Данные приведены в таблице 7.4. Таблица 7.4 - Нагрузка трансформаторов тока
Из таблицы 7.4 видно, что наиболее загружены трансформаторы тока А и В, тогда общее сопротивление приборов: rприб
= Допустимое сопротивление проводов: rпров
= где rконт = 0,05 Ом – для одного прибора; rпров = 0,8 − 0,02 − 0,05 = 0,73 Ом. Принимаем кабель с алюминиевыми жилами, ориентировочная длина которого 4 метра. Так как трансформаторы тока соединены в неполную звезду, значит lрасч
= q = Правила устройства электроустановок регламентирует минимальное сечение для алюминиевых проводов 4 мм2 , поэтому принимаем контрольный кабель АКРВГ с жилами S = 4 мм2 . IV. Трансформатор напряжения устанавливаем на каждую секцию сборных шин главной понизительной подстанции. Принимаем к установке 3×ЗНОЛ 09.10, с паспортными данными: Uном = 10 кВ, S2ном = 3×150 = 450 ВА, работающий в классе точности 1. К нему подключаются все измеритнльные приборы данной секции шин. Подсчет вторичной нагрузки приведен в таблице 7.5. Таблица 7.5 - Нагрузка трансформаторов напряжения
Вторичная нагрузка трансформатора напряжения: S2
= т.к. 150<450 , S2 < S2ном , т.е. трансформатор напряжения будет работать в заданном классе точности. Для соединения трансформаторов напряжения с приборами принимаем контрольный кабель АКРВГ с жилами сечением 4 мм2 по условию механической прочности. Трансформатор напряжения присоединяется к сборным шинам через предохранитель типа ПКН-001-10У3 и втычной разъединитель. 6.3 Выбор соединения силового трансформатора с КРУ - 10 кВСоединение может осуществляться гибким подвесным токопроводом, шинным мостом или закрытым комплектным токопроводом. Выбираем комплектный токопровод ТЗК-10-1600-51. Все расчетные и каталожные данные приведены в таблице 7.6. Таблица 7.6 – Выбор комплектного токопровода
Выбор изоляторов не производим, т.к. они комплектны с токопроводом. 6.4 Выбор выключателей напряжением 10 кВ схемы внутреннего электроснабжения и соответствующих трансформаторов токаВыбор выключателей напряжением 10 кВ схемы внутреннего электроснабжения, а также соответствующие трансформаторы тока приведены в таблице 7.7. Таблица 7.7 - Выключатели 10 кВ
Расчетные и каталожные данные на выключатель приведены в таблице 7.8. Таблица 7.8 -Проверка выключателей на отходящих линиях 10 кВ
6.5 Выбор коммутационной аппаратуры на стороне высшего и низшего напряжения трансформаторных подстанцийВ цеховых ТП применяем комплектные трансформаторные подстанции. КТП-630 и КТП-1000 комплектуются выключателями нагрузки типа ВНПу-10 с пружинным приводом со встроенными предохранителями ПК. Результаты выбора сводены в таблицу 7.9. Таблица 7.9 - Выключатели нагрузки и предохранители
По величине тока короткого замыкания в точке К-4 производится выбор только вводных выключателей, установленных на стороне низшего напряжения. На стороне низшего напряжения цеховых трансформаторных подстанций выбираем автоматические выключатели для низковольтных распределительных устройств. Принимаем к установке распределительное устройство КТП общепромышленные (собственных нужд), представляющее собой трансформаторные подстанции внутренней (У3) установки c автоматическими выключателями серии "Электрон", предназначенные для приема электрической энергии трехфазного переменного тока частотой 50 гц, напряжением 10 кВ, преобразования в электроэнергию напряжением 0,4 кВ и ее распределения. Выбор оборудования низковольтных распределительных пунктов (0,4 кВ) осуществляется по токам нагрузки в нормальном и утяжеленном режимах. Результаты выбора сведены в таблицу 7.10. Таблица 7.10 Выбор оборудования низковольтных распределительных пунктов
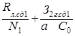
6.6 Разработка принципиальной схемы электроснабжения прессового цеха6.6.1 Выбор схемы питания 10 кВПитание цеховой подстанции осуществляем от двух ячеек на разных секциях шин РП – 10кВ по двум кабельным линиям (обусловлено требованиями надежности электроснабжения) по схеме блок трансформатор – магистраль с выключателями нагрузки на вводе. Такая схема обладает простотой, достаточной надежностью, позволяет быстро отключать трансформаторы и питающие линии. Защита питающих линий и трансформаторов от перегрузок и коротких замыканий обеспечивается двухступенчатой релейной защитой на РП-30, а применение выключателей нагрузки позволяет осуществить отключение трансформаторов при внутренних повреждениях посредством газовой защиты. 6.6.2 Выбор схемы распределения электроэнергииВ цехе используется магистральная схема распределения электроэнергии. На ее выбор повлияли следующие факторы: 1. Электроприемники расположены в цехе равномерно. 2. На машиностроительных заводах рекомендуется применять магистральные схемы распределения электроэнергии. Магистральную схему выполняем шинопроводами типа ШРА - 4, которые подключаются к шинам КТП посредством кабелей проложенных в каналах в полу или вдоль стен в монтажных лотках. Электроприемники запитываются непосредственно от шинопровода через автоматические выключатели поставляемые комплектно. Подключение выполнено проводом ПВ 3 в трубах в полу или кабелем ВВГ в каналах пола. Схема представляет собой 4 магистрали, от которых запитываются электроприемники. Группы мелких электроприемников подключаются к групповым силовым распределительным пунктам ШР1 – ШР4 запитанным от шинопровода. Размещение распределительных пунктов осуществляем исходя из минимальной длины кабельных линий, удобства подключения и обслуживания в период эксплуатации, а также возможности дальнейшего развития схемы. Сами распределительные пункты подключаются к шинопроводам посредством кабеля. Питание освещения осуществляется от 4 распределительных пунктов. Пункты подключены к шинам НН КТП кабелем ВВГ проложенным в каналах пола и по кабельным конструкциям. 6.6.3 Расчет нагрузок по отдельным узлам схемыРасчет нагрузок по отдельным узлам схемы проводится аналогично расчету нагрузок отделений цеха (смотри пункт 1.1). Группы небольших по мощности силовых технологических приемников подключаем через силовые распределительные пункты ШР-1 – ШР-4. Расчетную нагрузку каждого пункта определяем по такой же методике, что и для участков цеха. Расчет сводим в таблицу 7.11. Силовые пункты и остальные технологические приемники подключаем к распределительным шинопроводам и рассчитываем их расчетную нагрузку вышеизложенным методом. Наиболее мощные приемники присоединяются кабелем непосредственно к ячейкам РУНН КТП. Принимаю к установке магистральные шинопроводы типа ШМА 4 - 1250 - 44 - 1У3 на 1250 А ( ТУ 36.18.29.01 - 22 - 88 ) распределительные шинопроводы ШРА 4 - 250 - 32 - 1У3 и шкафы распределительные марки: ШР 11 Шкаф рассчитан на номинальные токи до 400 А и номинальное напряжение до 380 В с глухозаземленной нейтралью трехфазного переменного тока частотой 50 Гц и с защитой отходящих линий предохранителями НПН2-60 (до 63А), ПН2-100 (до 100 А), ПН2-250 (до 250 А), ПН2-400 (до 400А). 7. Компенсация реактивной мощности Оптимальный выбор средств компенсации реактивной мощности является составной частью построения рациональной системы электроснабжения промышленного предприятия. Распределительное устройство 10 кВ ГПП имеет четыре системы сборных шин. К секции СШ подключены кабельные линии, питающие трансформаторы цеховых ТП и высоковольтных РП. На рисунке 8.1 приведена схема замещения СЭС для расчета компенсации реактивной мощности. В таблице 8.1 приведены исходные данные для схемы электроснабжения, показанной на рисунке 8.1. Здесь обозначено: Sнт i – номинальная мощность трансформатора i-ой ТП; Q1 i и Qт i – реактивная нагрузка на один трансформатор i-ой ТП и потери реактивной мощности в нем; Rтр i – активное сопротивление трансформатора i-ой ТП, приведенное к напряжению 10 кВ; Rл i – активное сопротивление i-ой кабельной линии. Сопротивление трансформатора определяем по формуле: Rтр
i
= Сопротивление кабельной линии определим по формуле: Rл = Rу · l, (8.2) где l – длина кабельной линии, км; Rу – удельное сопротивление кабеля, Ом/км. Результаты расчётов приведены в таблице 8.1.
Рисунок 8.1 - Схема замещения СЭС Таблица 8.1 – Расчёт сопротивлений
Параметры синхронных двигателей приведены в таблице 8.2. Таблица 8.2 - Параметры синхронных двигателей
Располагаемая реактивная мощность СД: Qсд.м
i
= где αм i – коэффициент допустимой перегрузки СД по реактивной мощности, зависящий от загрузки βсд i по активной мощности и номинального коэффициента мощности соsφн i . Примем, что все синхронные двигатели имеют βсд = 0,9, тогда αм = 0,58. Результаты расчета приведены в таблице 8.2. Определение затрат на генерацию реактивной мощности отдельными источниками. Определение удельной стоимости потерь активной мощности от протекания реактивной мощности производим по формуле: С0
= δ где δ – коэффициент, учитывающий затраты, обусловленные передачей по электрическим сетям мощности для покрытия потерь активной мощности: α – основная ставка тарифа, руб/кВт; β – стоимость 1 кВт∙ч электроэнергии (дополнительная ставка тарифа); Для 110 кВ: α = 2165,76 руб/кВт год; β= 0,941 руб/кВ∙ч Км = ∆Рэ /∆Рм = 0,93 – отношение потерь активной мощности предприятия ∆ Рэ в момент наибольшей активной нагрузки энергосистемы к максимальным потерям ∆Рм активной мощности предприятия; τ – время использования максимальных потерь, ч. С0 = 1,02×(2165,76×0,93 + 1,04×2198,77) = 4205,69 руб/кВт. Непосредственное определение затрат на генерацию реактивной мощности: - для низковольтных БК (0,4 кВ) З1г.кн = Е·КБКН + С0 ·ΔРБКН , (8.5) З1г.кн = 0,223·360000+4205,69·4 = 93502,78 руб/Мвар - для высоковольтных БК (10 кВ) З1г.кв = З10 = Е∙КБКВ ∙ Кпр.ц + С0 ∙ΔРБКв , (8.6) З1г.кв = 0,213·180000+4205,69·4 = 46751,39 руб/Мвар - для синхронных двигателей З1г.сд
i
= С0
∙ Результаты расчета затрат для СД приведены в таблице 8.3. Таблица 8.3 – Расчёт затрат для СД
Определение эквивалентных активных сопротивлений ответвлений с ТП, подключенных к 1-ой секции СШ ГПП. Для расчета оптимальной реактивной мощности, генерируемой низковольтными БК, необходимо знать эквивалентные сопротивления соответствующих ТП. Эквивалентные сопротивления для СД: Rэ.сд
= Результаты расчётов приведены в таблице 8.4. Таблица 8.4 – Выбор конденсаторных установок
Эквивалентные сопротивления для ТП 1-4,5,6, питающихся по радиальной линии (рисунок 8.2, а), определим по формуле: Rэ = Rл + Rтр . (8.9) Для питающихся по магистральной линии ТП 7,8, введем обозначения: r01 = Rл1 ; r12 = Rл2 ; r1 = Rтр1 ; r2 = Rтр2 ; Эквивалентная проводимость точки 1 схемы (рисунок 8.2,б) определяется по формуле:
С учетом полученного, эквивалентные сопротивления присоединений указанных ТП определяются по формулам: Rэ1
= Rэ2
= Значения эквивалентных сопротивлений записываем в таблицу 8.4. Определение реактивной мощности источников, подключенных к 1-ой секции СШ 10 кВ ГПП. Оптимальные реактивные мощности низковольтных БК, подключенных к ТП, определяем в предположении, что к этим шинам ГПП подключена высоковольтная БК (при этом коэффициент Лагранжа λ = З10 ): Qс
i
= Q1i
+ ΔQт
i
+ где а = 1000/
Результаты расчета мощностей Qс i низковольтных БК сводим в таблицу 8.4. Реактивные мощности СД: Qсд
= Результаты расчётов приведены в таблице 8.3. Определение мощности высоковольтной БК, подключаемой к СШ 10 кВ ГПП, производим из условия баланса реактивных мощностей на СШ 10 кВ ГПП: Q0
= Q'эс = α ∙ Рр , (8.15) Q'эс = 0,31 · 22,8 = 6,94 МВар, Qр
= 2 · Qр1
= 2 · Qр = 2 ·((13,143+1,207)+1,26) = 27,7 МВар, Q''эс
= Qр
− Q''эс
= 27,72 − Qэс1
= Qр1= Qсi=4,625 МВар. Подставим все найденные значения в формулу (8.14): Q0 = 13,86 −4,625 − 1,17 − 3,47 = 4,6 Мвар > 0 Баланс реактивной мощностей на сборных шинах 10 кВ главной понизительной подстанции проверятся как равенство генерируемых Qг и потребленных Qр реактивных мощностей: Qр
i
= Qг1
= Qг1 =( 4,625 + 1,17 + 4,5+3,47)= 13,76 МВар, Qр = 13,76 МВар. Погрешность составляет 0,73% Значение коэффициента реактивной мощности tgφэ , заданного предприятию энергосистемой: tgφэ
= tgφэ
= Зная величины мощностей конденсаторных компенсирующих устройств, определяем расчетный коэффициент реактивной мощности на вводе главной понизительной подстанции: tgφр
= tgφр
= Резерв реактивной мощности: Qрез%
= 8. Релейная защита синхронного эл. двигателя 10кВ мощностью Р=3200 кВтИсходные данные: Тип СТД - 3200/10000 напряжение Uн = 10000 В ток Iн = 208 А пусковой коэф. Кпуск = 5,0 КПД h = 97,3 % Коэф. мощности cos j = 0,89 Тип ТТ ТЛК-10 коэф. тр-ции 300/5 соединение тр-ров тока в полную звезду Сердечник типа «Р» Согласно ПУЭ на электродвигателях устанавливаются следующие виды защит: - защита от многофазных и витковых замыканий в обмотке статора; - защита от перегруза; - защита от однофазных замыканий на землю; - защита минимального напряжения; - защита от асинхронного режима. Для обеспечения выполнения функций релейной защиты, автоматики, а также управления и сигнализации применяю устройство микропроцессорной защиты «Сириус-21-Д» Устройство «Сириус-21-Д» является комбинированным микропроцессорным терминалом релейной защиты и автоматики. Применение в устройстве модульной микропроцессорной архитектуры наряду с современными технологиями поверхностного монтажа обеспечивает высокую надежность, большую вычислительную мощность и быстродействие, а также высокую точность измерения технических величин и временных интервалов, что позволяет снизить ступени селективности и повысить ступени терминала. 8.1 Защита от многофазных и витковых замыканий в обмотке статора (первая ступень МТЗ) Многофазные и витковые повреждения происходят довольно редко, и как правило, являются результатом развития замыкания на корпус, из-за местных перегревов изоляции, дефектов активной стали статора. Двойные замыкания возникают при уже имеющимся замыкании на землю в сети, при этом второй пробой чаще всего происходит в коробке выводов или на первых витках обмотки. Многофазные короткие замыкания могут быть на выводах обмотки статора или внутри электродвигателя. Опасность внутренних повреждений заключается в том, что токи, протекающие в месте повреждения, могут многократно превышать токи в обмотке статора при повреждении на линейных выводах. Мощная дуга, возникающая в месте КЗ, приводит к пожару в электродвигателе, уничтожающему значительную часть обмотки. Многофазные КЗ, происходящие в близи линейных выводов статорной обмотки, вызывают резкое снижение напряжения на зажимах всех электродвигателей, питающихся от тех же шин, и могут вызвать значительные динамические воздействия на обмотки статоров неповрежденных электрических машин. Определение токов внутренних КЗ достаточно сложно, т.к. внутри машины образуются несколько контуров, электрически и магнитно-связанных друг с другом. По этому в условиях эксплуатации чувствительность защит от многофазных КЗ определяется при повреждениях на линейных выводах электродвигателя и должна быть, как для основной защиты, больше 2,0 при минимально возможном токе двухфазного КЗ. Токовая отсечка В соответствии с ПУЭ для защиты электродвигателей от многофазных КЗ в случаях, когда не применяются предохранители, должна предусматриваться токовая отсечка без выдержки времени, отстроенная от пусковых токов при выведенных пусковых устройствах, с реле прямого или косвенного действия, выполненная: для электродвигателей мощностью менее 2000 кВт в виде одно-релейной отсечки, включенной на разность токов двух фаз; для электродвигателей мощностью от 2000 кВт до 5000 кВт в виде двух релейной отсечки при условии, что на этих электродвигателях установлена защита от однофазных или двойных замыканий на землю с действием на отключение. При отсутствии защиты от замыкания на землю или защиты от двойных замыканий на землю токовая отсечка выполняется трех релейной с тремя трансформаторами тока. Для электродвигателей мощностью 5000 кВт и более, а также для электродвигателей мощностью менее 5000 кВт, если установка токовых отсечек не обеспечивает выполнения требуемой чувствительности и выведены нулевые вывода, должна предусматривается продольная дифференциальная токовая защита в двухфазном исполнении при наличии защиты от замыкания на землю или в трехфазном исполнении с тремя ТТ при невозможности установки защиты от замыкания на землю. Чувствительность защит и отсечек определяется при КЗ на линейных выводах электродвигателя и должна бить не менее 2,0 в минимальных условиях работы сети. Ток срабатывания реле выбирается по условию отстройки от максимального тока в режиме пуска электродвигателя при номинальном напряжении сети
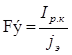
где котс = 1,2 - коэффициент отстройки, учитывающий погрешности ТТ и защиты; Ксх = 1 – коэффициент схемы, для ТТ соединённых по схеме полной звезды; I”max – наибольшее действующее значение периодической составляющей тока внешнего трехфазного металлического КЗ или тока, протекающего через ТТ защиты в режиме самозапуска. Для двагателя мощностью более 2МВт
Ток срабатывания реле:
Так как уставка (МТЗ-1) может быть выбрана в диапазоне от 2 до 200 А с дискретностью 0,01 А, то принимаем Iуст = 20,8 А. Коэффициент чувствительности:
Выбранная уставка проходит по коэффициенту чувствительности. 8.2 Защита от перегруза, асинхронного хода (вторая ступень МТЗ)Увеличение тока в обмотках электродвигателей вызывает перегрев изоляции обмоток, сердечников статора и ротора. Увеличение температуры изоляции, т.е. уменьшение разницы между фактической ее рабочей температурой и предельно допустимой, вызывает снижение срока службы изоляции, а быстрый дополнительный нагрев обмоток может привести к опасным деформациям. Перегрузки делятся на кратковременные, когда температура обмотки не успевает достичь установившегося значения, и длительные, когда температура обмотки достигает установившегося значения, соответствующего величине перегрузочного тока. В качестве допустимого тока Iдоп следует принимать максимальный длительный ток статора, соответствующий номинальной мощности. В соответствии с ПУЭ защита от перегруза устанавливается не на всех электродвигателях, а только на тех, которые подвержены перегрузке по технологическим причинам и на двигателях с тяжелыми условиями пуска и самозапуска (длительность прямого пуска непосредственно от сети 20 сек. и более), перегрузка которых возможна при чрезмерном увеличении длительности пускового периода вследствие понижения напряжения в сети. На электродвигателях подверженных перегрузке по технологическим причинам, защита должна выполнятся с действием на сигнал и автоматическую разгрузку, при невозможности разгрузки или отсутствии дежурного персонала допускается действие защиты на отключение. Если отключение электродвигателя не приводит к нарушению технологического процесса или имеют место тяжелые условия пуска и самозапуска, то защита от перегрузки также действует на отключение. Расчет защиты от перегруза. Защита (МТЗ-2) работает сначала на сигнал, а с выдержкой времени на отключение ,так как сразу отключение электродвигателя приводёт к нарушению технологического процесса, Первичный ток срабатывания защиты от перегрузки выбирается по условию отстройки от номинального тока электродвигателя:
где: котс - коэффициент отстройки, равен 1,05; кв - коэффициент возврата равный 0,95, для микропроцессорной защиты «Сириус21Д»; Iдлит.доп. - длительно допустимый ток электродвигателя. В соответствии с ПУЭ номинальная мощность электродвигателей должна сохранятся при отклонении напряжения до ± 10%, т.е.
Тогда:
Ток срабатывания реле:
Принимаем уставку по току Iуст = Iср / 3 = 4,2 / 3 = 1,4 А по кривой характеристики (аналог РТВ-1) Так как уставка (МТЗ-2) может быть выбрана в диапазоне от 0.4 до 200 А с дискретностью 0,01 А, то принимаем Iуст = 1.4 А. Защита работает с выдержкой времени t = 5 секунд. Данное значение выдержки времени установить возможно так как выдержка времени (МТЗ-2) может быть выбрана в диапазоне от 0,1 до 100 с, дискретностью 0,01 с. Проведем выбор выдержки времени для МТЗ-2 с действием на отключение и АГП: Выдержка времени защиты от перегрузки выбирается из условия надежного несрабатывания защиты при пуске и самозапуске:
где: кзап - коэффициент запаса, принимаемый равным 1,3; tпуск - время пуска для электродвигателей, не подлежащих самозапуску, или время самозапуска для двигателей, которые участвуют в самозапуске; время самозапуска t = 10 сек. Тогда:
Выбираем время срабатывания защиты с момента запуска tс.з. = 13 сек Защита от асинхронного хода сработает на отключение через 3 с после 10 с выдержки на самозапуск Данное значение выдержки времени срабатывания защиты установить возможно, так как она может быть выбрана в диапазоне от 0,1 до 100 с, дискретностью 0,01 с. 8.3 Защита от однофазного замыкания на землю в обмотке статораПовреждаемость электродвигателя в 84% происходит из-за пробоя изоляции при перенапряжениях, связанных с операциями включения и отключения электродвигателей или при замыканиях на землю в сети. Большинство повреждений изоляции обмотки статора приводит к замыканию фазы на корпус и, как правило, через электрическую дугу. Значение опасного для электродвигателя тока замыкания на корпус определяют по объему повреждения активной стали статора и возможности устранения его простыми средствами. В мировой практике не существует единого мнения о конкретном значении опасного тока замыкания. В России считается опасным ток более 5 А, критерий который был установлен еще в довоенные годы, хотя проведенные в последние десятилетия исследования показали, что токи замыкания в 1-1,5 А могут привести к значительным местным нагревом с последующим переходом однофазного замыкания в витковое. В то же самое время было показано, что замыкания на корпус через дугу с токами не превышающими 10А могут самоустранятся в течении первых 0,2 сек. Принимая во внимание большое количество электродвигателей малой мощности, ПУЭ предлагает для электродвигателей мощностью до 2000 кВт устанавливать защиту от однофазных замыканий на землю только при токах замыкания 10 А и более при отсутствии компенсации, а при наличии компенсации - если остаточный ток в нормальных условиях превышает это значение. Для электродвигателей мощностью более 2000 кВт защита от замыканий на землю должна предусматриваться при токах 5 А и более. Первичный ток срабатывания защит от замыкания на землю должен быть не более: для электродвигателей мощностью до 2000 кВт - 10А; для электродвигателей мощностью свыше 2000 кВт - 5А. Рекомендуются меньшие значения токов срабатывания, если это не усложняет выполнение защиты. Защиту следует выполнять без выдержки времени с использованием трансформаторов тока нулевой последовательности и с действием на отключение электродвигателя. В зону действия защиты должен входить и питающий кабель. Чувствительность защиты разрешается не проверять. Если по условию отстройки от переходного режима потребуется значительное загрубление защиты, то следует ввести в защиту выдержку времени, но для обеспечения быстрого отключения двойного замыкания на землю необходимо установить в цепи трансформатора тока нулевой последовательности дополнительное токовое реле с первичным током срабатывания 50¸100 А. Первичный расчетный ток срабатывания защиты от замыкания на землю в обмотке статора электродвигателя определяется по условию отстройки от броска собственного емкостного тока присоединения при внешнем замыкании на землю:
где: котс - коэффициент отстройки равный 1,2; кб - коэффициент, учитывающий бросок собственного емкостного тока присоединения в начальный момент внешнего замыкания на землю. кб = 2 ¸ 3. Iс∑ - утроенное значение собственного емкостного тока. Iс∑ = Ic .дв + Iс.л где: Iс.дв - собственный емкостный ток электродвигателя; Iс.л. - собственный емкостный ток кабельной линии, входящей в зону защиты. Утроенное значение собственного емкостного тока электродвигателя определяется:
где: f - частота сети; сдв - емкость фазы статора электродвигателя, Ф; Uном - номинальное линейное напряжение сети, В. Ориентировочно емкость электродвигателя можно рассчитать по формуле:
где: Sном.дв. - полная номинальная мощность электродвигателя, МВА; Uном - номинальное напряжение электродвигателя, кВ. Для двигателей 10 кВ.:
Утроенный емкостный ток двигателя 10 кВ:
Утроенное значение собственного емкостного тока кабельной линии, входящей в зону защиты, определяется по выражению:
где: Iс.уд. - утроенное значение собственного емкостного тока одного километра кабельной линии 10 кВ.; l - длинна линии, км; m - число кабелей в линии. Тогда:
Iс∑ = 0.204+0.72·10-3 = 0,20472 А; Iпер.с.дв.. = 0,20472 ·1.2 ·2 = 0,4913 A. Вторичный ток трансформаторов тока нулевой последовательности зависит от величины вторичной нагрузки и от числа трансформаторов тока, подключенных к реле, поэтому коэффициент трансформации таких трансформаторов не является постоянным. По (Л7, табл. 6.2) находим минимальное значение первичного тока срабатывания реле при подключении к одному трансформатору тока нулевой последовательности типа ТЗЛ. Iс.з. min = 0,49 А. Принимаем ток срабатывания защиты Iс.з. = 0,5 А. В сетях с изолированной нейтралью чувствительность земляной защиты не рассчитывается Принятое значение первичного тока срабатывания защиты удовлетворяет условию чувствительности к однофазным замыканиям на землю и в линии к электродвигателю, и в обмотке статора: Iпер.с.з.. ≥ Iс.з ≥ Iс∑ 4 ≥ 0,5 ≥ 0,20472 В схеме предусмотрено замедление земляной защиты для отстройки от переходных процессов. tс.з = 0,5 сек. Защита работает на отключение с выдержкой времени 0,5 сек. Данное значение уставок тока срабатывания реле установить возможно так как значение тока может быть выбрана в диапазоне от 0,05 до 2,5 А, с дискретностью 0,001 А. Защита работает с выдержкой времени t = 5 секунд Значение выдержек времени срабатывания реле устанавливается в диапазоне от 0,05 до 99 с, дискретностью 0,01 с. 8.4 Защита минимального напряженияЗащита минимального напряжения является общей для всех электродвигателей секции и устанавливается в релейном отсеке КРУ трансформатора напряжения. Защита имеет три ступени по напряжению и выдержкам времени. Первая ступень отключает неответственные электродвигатели для обеспечения самозапуска электродвигателей ответственных механизмов. Уставки срабатывания этой ступени выбираются равными 70% номинального напряжения и выдержкой времени 0,5 ¸ 1,0 сек. Вторая ступень предназначена для отключения ответственных электродвигателей при длительном отсутствии напряжения для обеспечения условий безопасности и в случаях, когда самозапуск механизмов после останова недопустим по условиям технологического процесса. Кроме этого, вторая ступень может быть использована для обеспечения надежного пуска АВР электродвигателей взаиморезервируемых механизмов и для последовательного пуска ответственных механизмов, если одновременный пуск не может быть осуществлен. Уставки срабатывания второй ступени выбираются равной 50% номинального напряжения и выдержкой времени 3 ¸ 9,0 сек. Список электродвигателей, отключаемых от первой и второй ступеней защиты минимального напряжения, должен быть утвержден главным инженером предприятия. Третья ступень служит пусковым органом АВР с напряжением срабатывания равным 25% номинального напряжения и выдержкой времени, равной времени срабатывания защиты питающего секцию ввода. Расчет групповой защиты минимального напряжения. Расчет произведен согласно ПУЭ [п.п.5.352; 5.3.53]. I ступень
Время срабатывания: tс.з. = 0,5 сек. II ступень. Согласно (Л2), напряжение срабатывания II ступени отстраивается от напряжения самозапуска электродвигателей.
где: Uсам. - напряжение самозапуска, равное напряжению срабатывания I ступени; котс - коэффициент отстройки, равный 1,2; кв - коэффициент возврата равный 1,06. Время срабатывания: tс.з. > tп.п. где: tп.п. - время перерыва питания.
Время срабатывания: tс.з. = 9 сек. Данное значение напряжения срабатывания реле установить возможно так как это значение может быть выбрано в диапазоне от 5 до 99,9 В, с дискретностью 0,1 В. С диапазоном уставок по времени срабатывания от 0,02 до 99,99 с, дискретностью 0,01 с. Для рассматриваемого двигателя отключение происходит по второй ступени т.к. двигатель участвует в самозапуске (относится к ответственным механизмам). 9. Безопасность жизнедеятельности на ГППВ данном проекте рассмотрены вопросы организационных и технических мероприятий, а также средства, обеспечивающие защиту людей от опасного воздействия электрического тока, электромагнитного поля, электрической дуги и электростатических зарядов. К организационным мероприятиям относятся: 1. правильная организация и ведение безопасных методов работ; 2. обучение и инструктаж электротехнического персонала; 3. контроль и надзор за выполнением правил техники безопасности (ПТБ) К техническим мероприятиям по электробезопасности относятся: 1. обеспечение нормальных метеорологических условий в рабочей зоне; 2. нормальное освещение; 3. применение необходимых мер и средств защиты; 4. применение безопасного ручного электроинструмента, а также применение ограждений, блокировок коммутационных аппаратов, спецодежды. ГПП является одним из важных объектов и в то же время – это объект повышенной опасности поражения электрическим током, обслуживающего персонала. Исходя из этого, на ГПП уделяется особое внимание вопросам охраны труда и ПТБ. Конструктивное выполнение главной понизительной подстанцииСогласно расчетам картограммы электрических нагрузок, ГПП нужно расположить в районе завода инженерных машин ( ЗИМ ). В соответствии с [Л6, 4.2, 4.3] к ОРУ-110 кВ подведена автомобильная дорога и предусмотрен проезд вдоль трансформаторов. Расположение ГПП так же выбрано с учетом розы ветров, согласно которой преимущественное направление ветров северо-западное. Все источники загрязнения находятся с южной стороны по отношению к ГПП – 110. Подстанция состоит из 3-х основных частей: ОРУ-110 кВ Трансформаторы 2ТРДН – 25000/110, ЗРУ-10 кВ. Аппаратура ОРУ-110 кВ и трансформаторы установлены открыто. Территория ГПП ограждена сплошным внешним забором высотой 1,8 м [Л6, 4.2 39]. Металлические конструкции ОРУ-110 кВ, ЗРУ-10 кВ и трансформаторов, а также подземные части металлических и железобетонных конструкций для защиты от коррозии – окрашены. Трансформаторы для уменьшения нагрева прямыми лучами солнца окрашены в светлые тона маслостойкой краской [Л6, 4.2, 30]. Для предотвращения растекания масла распространения пожара под трансформаторами предусмотрены маслоприемники, закрытые металлической решеткой, поверх которой насыпан слой чистого гравия толщиной 0,25 м [Л6, 4.2. 70]. Все токоведущие части, доступные случайному прикосновению, ограждены металлической сеткой с окном 25 фаза А – желтым цветом; фаза В – зеленым; фаза С – красным. В ЗРУ ячейки КРУ стоят в два ряда с центральным проходом 2 м, ширина прохода между ячейкой и стеной – 1 м. Выкатные части КРУ имеют механическую блокировку, так что доступны к токоведущим частям, автоматически закрываются металлическими шторками при выкате тележки. ЗРУ имеет две двери для выхода, которые открываются наружу и имеют самозапирающиеся замки [Л6, 4.2 92]. ЗРУ выполнено без окон [Л6, 4.2. 94]. Камеры трансформаторов собственных нужд оборудованы барьерами у входов. Барьеры установлены на высоте 1,2 м и съемные. Между дверью и барьером имеется промежуток шириной 0,5 м [Л6, 4.2 26]. В ЗРУ предусмотрены следующие защитные средства: 1. Изолирующая штанга – 2 шт на каждое напряжение; 2. Указатель напряжения – 2 шт. на каждое напряжение; 3. Изолирующие клещи – по 1 шт. на U = 10 кВ и U = 0,4 кВ; 4. Диэлектрические перчатки – не менее двух пар; 5. Диэлектрические боты (для ОРУ) – 1 пара; 6. Диэлектрически галоши – 2 пары (для 0,4 кВ); 7. Временные ограждения – не менее двух штук; 8. Переносные заземления – не менее двух штук на напряжение; 9. Диэлектрические коврики – по местным условиям; 10. Переносные плакаты и знаки безопасности; 11. Шланговый противогаз – 2 шт.; 12. Защитные очки – 2 пары; 13. Медицинская аптечка. Анализ пожарной безопасностиСогласно НПБ 105-95 с СниП 21.01.97. С целью предупреждения возникновения пожара в распределительных устройствах 110 и 10 кВ на ГПП предусматриваются следующие технические мероприятия и решения: 1. Электрооборудование и сети в процессе эксплуатации не загружаются выше допустимых пределов, а при к.з. имеют достаточную отклоняющую способность и термическую стойкость. 2. В ЗРУ-10 кВ применены элегазовые выключатели типа VF 12.12.20. 3. Силовые масляные трансформаторы оборудованы газовой защитой, срабатывающей на сигнал и отключение. 4. Для предотвращения растекания масла при повреждениях маслонаполненных силовых трансформаторов выполнены маслоприемники, рассчитанные на прием 100 % масла, содержащегося в корпусе трансформатора. Удаление масла из маслоприемника предусмотрено переносным насосным агрегатом. 5. Фундаменты под маслонаполненные трансформаторы выполнены из несгораемых материалов. Так же для предотвращения растекания масла выполняется подсыпка гравия. 6. Помещение и здание ЗРУ и камеры трансформаторов собственных нужд выполнены по II степени огнестойкости. 7. ЗРУ, при длине 15 м, имеет 2 выхода по концам наружу, с самозапирающимися замками, открываемыми со стороны ЗРУ без ключа. Двери обиты железом с асбестовой подкладкой и имеют ширину не менее 0,75 м и высоту 1,9 м. Двери между помещениями ЗРУ разных напряжений открываются в сторону помещения низшего напряжения. Помещение РУ более высокого напряжения имеют ворота с железными створками для перемещения через них габаритного оборудования (например, ячеек КРУ). Ворота открываются наружу и расположены в конце ЗРУ. 8. Перекрытие кабельных каналов выполнены съемными плитами из несгораемых материалов в уровень с чистым полом помещения. 9. В целях своевременного извещения о пожаре в ЗРУ имеется пожарная сигнализация, непосредственно связанная с пожарной охраной. Сигнализация выполнена на основе датчиков типа АТИМ-3 и ДТЛ (70º С). Вблизи средств связи вывешены таблички о порядке действия при пожаре (подача сигнала, вызов пожарной охраны). 10. Для локализации очагов пожара на ГПП имеются первичные средства пожаротушения: а) ЗРУ-10 кВ - огнетушители ОУ-10 – 2 шт., - ящик с песком – 2 шт. (вместимость 0,5 м); б) щит управления 0,4 кВ - огнетушители ОУ-10 – 2 шт.; в) камеры трансформаторов собственных нужд - огнетушители ОХП-10 – 2 шт., г) ОРУ-110 кВ – пожарный щит с принадлежностями и ящик с песком у каждого трансформатора. Обеспечение электробезопасностиДля защиты оперативно-ремонтного персонала от поражения электрическим током в соответствии с ГОСТ 12.1.038-82 ССБТ И-1.04.88 все коммутационное оборудование ГПП оснащено заземляющими ножами. Разъединители 110 кВ имеют механическую блокировку с заземляющими ножами, что позволяет исключить неправильные действия электротехнического персонала в случае включения этих аппаратов из отключенного состояния, когда они были заземлены ножами. В ЗРУ-10 кВ выключатели, установленные в ячейках КРУ, также имеют механическую блокировку с заземляющими ножами. С целью обеспечения допустимого уровня напряжения прикосновения конструкции ЗРУ и оборудование заземляется с контуром заземления, который выполнен с использованием естественных заземлителей – железобетонных колонн ЗРУ и металлических угольников обрамления кабельных каналов. Контур заземления ЗРУ соединен с заземляющим устройством ОРУ-110 кВ не менее, чем в двух точках. Для устройства заземления ОРУ-110 кВ выполняется расчет. Выбор искусственных заземлителейСогласно ГОСТ 12.1.030-81 ССБТ И-1.08.87 заземление ОРУ-110 кВ выполняется из сетки выравнивающих полос [1] из горизонтальных заземлителей – полос размером 40 Заземляющее устройство имеет сложную форму, поэтому ее заменяют расчетной квадратной моделью со стороной Определяется число ячеек m на стороне квадрата:
Принимаем m = 7. Длина полос в расчетной модели: L'r
= 2 Длина стороны ячейки: b = Сопротивление растекания тока одной полосы продольной и поперечной:
Где: Sрасч
= Кп
Кп = 3 – повышающий коэффициент для климатической зоны [4, 8-2], 100 Ом ∙ м – удельное сопротивление суглинка (2 категория) [4, 8-1], l = в = 0,5 ∙ b = 0.5 ∙ 0.04 = 0.02 м при b = 0.04 м – ширина полосы, t = 0.8 м – глубина заложения полосы. Сопротивление растекания группового заземлителя из всех продольных полос: Rгр п
= Где: nп – число полос, ηп = 0,43 – коэффициент использования полосы в групповом заземлителе. Для поперечных полос расчет одинаков и имеем: R'п = 17,9 Ом; Rгр. п = 5,2 Ом. Общее сопротивление заземляющей сетки: Rc
Длина полос в расчетной модели: L'r
= 2 Длина стороны ячейки: b = Сопротивление растекания тока одной полосы продольной и поперечной:
Где: Sрасч
= Кп
Кп = 3 – повышающий коэффициент для климатической зоны [4, 8-2], 100 Ом ∙ м – удельное сопротивление суглинка (2 категория) [4, 8-1], l = d = 0,5 ∙ b = 0.5 ∙ 0.04 = 0.02 м при b = 0.04 м – ширина полосы, t = 0.8 м – глубина заложения полосы. Сопротивление растекания группового заземлителя из всех продольных полос: Rгр п
= Где: nп – число полос, ηп = 0,43 – коэффициент использования полосы в групповом заземлителе. Для поперечных полос расчет одинаков и имеем: R'п = 17,9 Ом; Rгр. п = 5,2 Ом. Общее сопротивление заземляющей сетки: Rc
Общее заземление с учетом естественных заземлителей Rc = 1.72 Ом R'з
= Производим подсыпку слоем гравия толщиной 0,2 м по всей территории ОРУ-110 кВ и производим проверку заземляющего устройства по допустимому напряжению прикосновения Uпр. доп = f (t), Где: t = tр + tc – время протекания тока короткого замыкания. t = 0.05+0.08 = 0.13 c Uпр.доп = 470 В – допустимое напряжение прикосновения с учетом подсыпки Uпр = J3 ∙ α1 ∙ α2 ∙ Rз = 13400 ∙ 0,15 ∙ 0,18 ∙ 1,04 = 376 В, Где: α1 = 0,15 – коэффициент напряжения прикосновения, Коэффициент шага: α2
Rh – сопротивление человека, ρмс = 3000 Ом ∙ м – удельное сопротивление гравия. Таким образом, Uпр = 376 В < Uпр.доп = 470 В. Максимально допустимый ток однофазного к.з. на ОРУ: Iз
max
Термическая стойкость полосы 40 Sт
= Iз
max
где С = 74 – постоянный коэффициент для стали. Таким образом Sт
= 81,5 мм2
< Sr
= 40 Контроль изоляцииПостоянный контроль изоляции производится по показаниям приборов, присоединенных к трансформатору напряжения 3НОЛ-0.9-10. Для контроля изоляции также служат трансформаторы тока нулевой последовательности типа ТЗЛ, установленные в ячейках КРУ.В электрических сетях напряжением 10кВ используется сигнализация ОЗЗ. Простейшей является общая неселективная сигнализация ОЗЗ, которая состоит из реле максимального напряжения KU ,подключенного ко вторичной обмотке трехфазного трансформатора напряжения, соединенной по схеме «открытого треугольника».Реле имеет уставку по напряжению обычно принимаемую равной 0,3*Uф. В нормальном режиме работы электрической сети напряжение нейтрали не превышает 15%Uф, чему соответствует напряжение на зажимах указанной вторичной обмотки не более 15В. При возникновении ОЗЗ, напряжение на нейтрали сети возрастает до фазного значения, а на зажимах вторичной обмотки – до 100В. Реле срабатывает и включает информационную (световую или звуковую) сигнализацию о появлении ОЗЗ в электрической сети. Такой комплект сигнализации является общим для одной секции сборных шин.
Рисунок 10.1 Схема контроля изоляции на шинах 10кВ. Для контроля изоляции присоединений применяются трансформаторы тока нулевой последовательности типа ТЗЛМ, установленные в КРУ на каждой отходящей линии. Схема установки трансформатора ТЗЛМ для определения однофазных замыканий на землю присоединений представлена на рис. 10.2
Рисунок 10.2 Схема контроля изоляции отходящих присоединений. Следует определить величину тока однофазного замыкания на землю в сети 10 кВ и решить вопрос о необходимости его компенсации. где: lCO -ток ОЗЗ для определенного кабеля при напряжении 10кВ, А/км; l-длина данной кабельной линии, км. Сеть внутреннего электроснабжения предприятия состоит из следующих кабельных линий: 3х70 мм2 - 1,885 км; 3х95 мм2 - 4,663 км; 3х240 мм2 - 0,09 км. Ток ОЗЗ для кабеля сечением 70 мм2 составляет 0,9 А/км, для 95 мм2 составляет 1 А/км, для 240 мм2 – 1,6 А/км. Ток ОЗЗ составляет: LОЗЗ =1,885*0,9+4,663*1+0,09*1,6 = 6,5 А Так как 6,5 < 20 А, то согласно ПУЭ необходимость компенсации емкостных токов ОЗЗ отсутствует. Защита ГПП от ударов молнии.Молниезащита ГПП осуществляется в соответствии с «Инструкцией по проектированию и устройству молниезащиты зданий и сооружений» (СН-305-77 РД34.21.122-87). Территория ГПП находится в районе среды, где грозовая деятельность до 40 часов в год. Устанавливаем 4 молниеотвода, два на порталах и два на здании ЗРУ Необходимым условием защищенности всей площади ОРУ является условие: в £ 8∙ha, где в – диагональ четырехугольника, в вершинах которого расположены молниеотводы:D=65м. ha – активная высота молниеотвода: ha ³ D/8 = 60/8 = 7,52м. Высота молниеотводов: h = hx + ha = 11,35 + 7,52 = 18,87м, где hx – высота защиты молниеотводов. Зона защиты молниеотвода: Rx
= Ширина защищаемой зоны: Bx
= где а – сторона четырехугольника. при а=36 м: В1,4
` = В1,4 = В2,3 = 6м. при b=50 м: В1,2
` = В1,4 ` = B2.3 ` = 3,5 м. На рисунке показана зона защиты на высоте hx = 11.35м.
Рисунок 10.3 Зона защиты. Освещение ОРУ-110 кВСогласно СниП 23-05-95 освещение на ГПП предусмотрено рабочее и аварийное. Территория ГПП освещается прожекторами, питающимися от сети переменного тока напряжением 220В. Выбор мощности и количества прожекторов освещения ОРУ производится в соответствии с нормами, установленными ПУЭ. По «шкале освещенности» [ Л11] норма освещенности ОРУ ГПП: Е=5 лк. Световой поток:
Число прожекторов: N= К установке принимаю 2 прожектора. В формулах: Е – минимальная освещенность, лк; Кз – коэффициент запаса; z- отношение средней освещенности к минимальной; S – площадь ОРУ, м^2; N – число прожекторов, шт; М – коэффициент добавочной освещенности за счет отраженного светового потока; h - КПД светового потока; Sе – суммарная условная освещенность от близлежащих светильников. Мощность одной лампы при удельной мощности W=1 Вт/м^2: Р= К установке принимаем 4 прожектора типа РКУО3 – 500 – 001 – УХЛ1 с лампами ДРЛ мощностью по 400 Вт каждая, которые установлены на противоположных сторонах ОРУ ГПП. Высота подвеса прожекторов: Н Ремонтное освещение от переносных ламп накаливания 12В. Внутреннее освещение выполнено светильниками типа ЛСПО2 (люминесцентные лампы, подвесные, для промышленных и производственных зданий). 10. Расчет и выбор осветительного оборудования прессового цеха10.1 Выбор источников светаПрессовый цех – сухое, отапливаемое чистое помещение. Этот участок прессово-сварочного завода входит в состав объединения в качестве основного производства. Основную нагрузку прессового и заготовительного отделений составляют асинхронные электродвигатели приводов металлообрабатывающего оборудования (пресса, гильотинные ножницы) и подающих рольгангов. Используются двигатели различных моделей мощностью от 0.2 до200кВт. Освещение рассматриваемого объекта производится с помощью светильников типа РСП-10В-1000 – подвесных для производственных помещений, с лампами ДРЛ 1000, имеющими большой срок службы и высокую светоотдачу. Эти помещение относятся к сухим помещениям, где требуется точная обработка производимых изделий. Зрительная работа высокой точности. Коэффициент отражения стен, потолка, и рабочей поверхности соответственно равны: rп = 70% ; ρс = 30% ; ρр = 30% . 10.2 Выбор вида и системы освещения. Выбор нормируемой освещённости. Выбор коэффициента запаса. Выбор типа светильниковДля освещения всех помещений принимаем общее равномерное освещение, для всех помещений принимаем рабочее и дежурное освещение. Значение нормируемой освещенности устанавливается в зависимости от характера зрительной работы, размеров объекта различия, фона и контраста с ним, вида и системы освещения, типа источников света. В соответствии с нормами освещенности, принимаем освещённость рабочих поверхностей помещения Ен = 300 лк. Коэффициент запаса вводится при расчете осветительной установки для компенсации уменьшения светового потока источников света в процессе эксплуатации. Значение коэффициента запаса принимается по отраслевым нормам, в зависимости от условий среды в освещаемом помещении и типа применяемых источников света. Принимаем коэффициент запаса Кз = 1,4/2 для помещений с дугоразрядными лампами (Л11). Выбирается лампа ДРЛ – дуговая ртутная лампа, т.к. высота помещения 15м, а с увеличением высоты повышается относительная экономичность этих ламп и уменьшается их вредное влияние. Указанные лампы выбираются также за их высокую светоотдачу (до 55 Лм/Вт), большой срок службы (10000 ч) по сравнению с лампами накаливания. Лампа компактна, не критична к условиям среды, имеет хорошую стабильность светового потока при длительной работе. Недостатки: искажение светоотдачи, возможность работы на переменном токе, длительное включение лампы, большая пульсация светового потока. В данном случае этими недостатками можно пренебречь, т.к. производится работа без выраженной цветности, и отсутствуют специальные требования к качеству освещения. Для уменьшения Для освещения всех помещений принимаем общее равномерное освещение, для всех помещений принимаем рабочее и дежурное освещение. Значение нормируемой освещенности устанавливается в зависимости от характера зрительной работы, размеров объекта различия, фона и контраста с ним, вида и системы освещения, типа источников света. В соответствии с нормами освещенности, принимаем освещённость рабочих пульсации светового потока до 10 и, тем самым, устранения стробоскопического эффекта, применяется включение ламп в разные фазы трехфазной электрической сети. Проектируемый участок – сухое, отапливаемое помещение, поэтому тип светильников выбирается только по осветительным характеристикам. Выбираются светильники типа РСП-10В-1000, где Р – для ртутных ламп, С – подвесной, П – для производственных помещений, 10 – номер серии, г – глубокая кривая силы света. Данный тип светильника обеспечивает при данных размерах участка необходимый коэффициент пульсации светового потока и равномерное освещение всего помещения в целом, а также устраняется слепящее действие. Оптимальное расстояние между светильниками и высотой подвеса при глубокой кривой силы света светильника составит l = 0,9 ¸ 1,0. Технические данные светильника сведены в таблицу 12.1. Таблица 11.1 – Технические данные светильника
10.3 Выбор вида и системы освещения, нормируемой освещенностиВ производственных помещениях используется три вида освещения: – естественное; – искусственное; – смешанное. Для прессового цеха выбираем смешанное освещение, состоящее из естественного и искусственного освещения. Искусственное освещение делится на следующие виды: – рабочее; – аварийное; – охранное. Выбирается рабочее освещение, которое обеспечивает надлежащие условия видения, при нормальной работе осветительной установки, и аварийное. В зависимости от способа размещения светильников в производственном помещении имеются две системы освещения: – система общего освещения; – система комбинированного освещения. Система комбинированного освещения экономичнее, но в гигиеническом отношении система общего освещения совершеннее тем, что позволяет создать более благоприятное распределение яркости в поле зрения. Комбинированное освещение применяют в основном при высокой точности зрительных работ, что характерно для станочных работ. Несмотря на большие первоначальные затраты на оборудование осветительной установки, при комбинированном освещении установленная мощность его меньше, что дает снижение эксплутационных расходов. Поэтому принимаем комбинированное освещение. А поскольку местное освещение поставляется комплектно со станком, то рассчитываем только общее равномерное в системе комбинированного освещения. Нормируемая освещенность – номинальная допустимая освещенность в наихудших точках рабочей поверхности перед очередной чисткой светильников. Значение этой освещенности устанавливают в зависимости от характера зрительной работы, размеров объекта, фона и контраста объекта, вида системы освещения, типа источника света. Коэффициент запаса – отношение светового потока нового светильника с новой лампой к световому потоку этого же светильника в конце срока службы перед очередной чисткой светильника Кзап =1,4/2. 10.4 Расчёт освещенияОпределяем расчетную высоту подвеса светильников. Расчетная высота подвеса светильников определяется по формуле h = H – (hp + hc), (11.1) где: h – расчетная высота подвеса светильника, м; Н – высота помещения, м; hp – высота рабочей поверхности, м; hс – высота светильника, м. Принимается hc = 0,2 м; h = 15 – (0, 8 + 0, 2) = 14 м. Определяем L – расстояние между рядами: L = λ ∙ h, (11.2) где: l - наиболее оптимальное соотношение расстояний между светильниками и высотой подвеса при глубокой кривой силы света светильника; h – расчетная высота подвеса светильников, м. L = 1 ∙ 14 = 14 м. Принимаем L = 14 м. Определяем Nв - число рядов по формуле Nв = B/L, (11.3) где: В – ширина помещения, м; L – расстояние между рядами, м. Nв = 27/14 = 1,92 м. Определяем число светильников в ряду Nа ,штук, по формуле Nа = А/L, (11.4) где: А – длина помещения, м; L – расстояние между рядами, м. Принимаем Nа = 20 штук по количеству колонн. Определяем N - число светильников в помещении: N = Nв ∙ Na; (11.5) Определяем i - индекс помещения:
(11.6) где: А – длина помещения, м; В – ширина помещения, м; h – расчетная высота подвеса светильников, м.
Коэффициент использования светового потока с учетом коэффициентов отражения, типа светильника и индекса помещения [Л11]: h = 0,68. Определяем Фрасч – расчетный световой поток:
(11.7) где: S – площадь помещения, м2; Z – коэффициент неравномерности, принимается Z = 1,15 [Л11]; Кз – коэффициент запаса; h – коэффициент использования светового потока.
Световой поток стандартной лампы может отличаться от расчетного на 10-20%.Выбираем лампу ДРЛ-1000. Данные лампы заносим в таблицу 11.2. Таблица 11.2 – Технические данные лампы
Определяем DФ - разницу между расчетным и стандартным световыми потоками:
(11.8) где: Фн – стандартный номинальный световой поток, Лм; Фрасч – расчетный световой поток, Лм. DФ = Фактическая освещенность может отличаться от нормируемой на 10–20%. Условие выполняется, значит, выбранная в результате расчета лампа ДРЛ 1000 обеспечит требуемую норму освещенности. Определяем Руст – суммарную мощность осветительной установки: Руст = N ∙ Рн , (11.9) где: N – число светильников в помещении; Рн – номинальная мощность лампы, кВт. 10.5 Электрический расчет осветительной установки Расчет распределительной сети проводится по допустимому току из условий нагрева: Iдоп ³ Iрасч, (11.10) где: Iдоп – длительно допустимый ток кабеля, А; Iрасч – расчетный ток, А. Определяем Iгр ,А, ток группы по формуле:
(12.11) где: 1,25 – коэффициент, учитывающий потери мощности в пускорегулирующей аппаратуре; Uл – линейное напряжение,В; Ргр – мощность группы, Вт; Ргр = Рл ∙ пгр , (11.12) где: Рл – мощность лампы,Вт; пгр – число ламп в группе. cosj - коэффициент мощности, для светильника с лампой ДРЛ равняется - 0,85. Ргр = 1000 ∙ 8 =8000 Вт;
Расчет остальных групп аналогичен. Выбор кабелей производится по условиям допустимого нагрева. Iдоп ≥ Iгр,, (11.13) где Iдоп – длительно допустимый ток кабеля, А; Выбираем кабель на каждую группу [Л1, таб33-18], ВВГ 3х4 мм2 Iдоп = 27А; 27 > 17,87А. Ток щитка определяется по формуле
где: 1,25 – коэффициент, учитывающий потери в ПРА; ΣРгр – суммарная мощность всех групп, Вт; Uл – линейное напряжение, В; cosφ – коэффициент мощности.
Выбираем кабель по условию нагрева [Л1, таб33-18], ВВГ 4х6 мм2: Iдоп = 35А; 35 > 23,83А. Принимаем щиток типа ОЩВ - 6, и автоматические выключатели типа АЕ. Определение уставок защиты производится по условию: Iн.р ≥ К ∙ Iгр, (11.15) где: Iн.р – ток уставки теплового расцепителя автоматического выключателя, А; К – минимально допустимое отношение тока уставки теплового расцепителя, к рабочему току линии. К = 1,4; 25 > 1,4 ∙ 17,87 = 25А. Таблица 11.3 – Параметры щитка освещения
Рисунок 11.1 – Электрическая схема щитка осветительного ОЩВ – 6 10.6 Расчет аварийного освещенияЭвакуационное освещение предназначается для безопасной эвакуации людей из помещений и возможности ориентировки людей в помещениях пря аварийном отключении рабочего освещения. Эвакуационное освещение следует предусматривать в местах, опасных для прохода людей, в проходных помещениях и на лестницах, служащих для эвакуации людей при числе эвакуируемых более 50 чел.; по основным проходам производственных помещений, в которых работает более 50 чел.; в производственных помещениях с постоянно работающими в них людьми, независимо от их числа, где выход людей из помещения при аварийном отключении рабочего освещения связан с опасностью травматизма из-за продолжения работы производственного оборудования; в производственных помещениях без естественного света. Выбор мощности и количества светильников аварийного освещения производится в соответствии с нормами, установленными ПУЭ. По «шкале освещенности» [Л11] норма освещенности: Е=5 лк. Требуемый световой поток по (11.7):
Число светильников:
Принимаю к использованию в качестве аварийного освещения 8 светильников рабочего освещения подключенных от второго трансформатора. Схема и планировка освещения цеха представлена на плакате 7. 11. Экономическая частьСоставление индивидуального перечня работ и построение сетевого графикаСетевой график- это графическое изображение дипломного проекта, в котором отдельные работы по выполнению проекта изображаются стрелками. Для построения сетевого графика необходимо составить комплекс работ и упорядочить их в логической последовательности с выделением отдельных групп работ, которые могут и должны выполнятся параллельно. Главные элементы сетевого графика- это событие и работа. Действительная работа- это протяженный во времени процесс, требующий затрат различных ресурсов. Работа изображается стрелкой. Начало и конец стрелки обозначают начало и конец работы соответственно. Событие- это момент завершения какого-либо процесса. Событие изображается кружком (рис. 12.1), в котором размещаются номера события j, ранний
Рисунок 12.1- Изображение событий и работ сетевого графика Время, которое предлагается затратить на выполнение операции, называется плановой длительностью
Где: Среднеквадратическое отклонение
Дисперсия определяется по формуле:
Перечень работ, параметры и вероятностные характеристики работ сетевого графика представлены в таблице 12.1. Таблица 12.1 - Перечень работ, параметры и вероятностные характеристики работ сетевого графика
1. Ранний срок начала работы равен раннему сроку свершения ее начального события:
2. Поздний срок начала работы равен разности между поздним сроком свершения ее конечного события и ожидаемой продолжительностью работы:
3. Ранний срок окончания работы равен сумме раннего срока свершения ее начального события и ожидаемой продолжительностью работы:
4. Поздний срок окончания работы равен позднему сроку свершения ее конечного события:
5. Полный резерв времени работы:
6. Частный резерв времени первого рода:
Частный резерв времени второго рода:
Свободный (независимый) резерв времени работы:
Коэффициент напряженности работы:
Где:
Параметры событий сетевого графика (в днях) представлены в таблице 12.2. Таблица 12.2 - Параметры событий сетевого графика
Параметры работ сетевого графика (в днях) представлены в таблице 12.3. Таблица 12.3 - Параметры работ сетевого графика
Стоимостные показатели сетевого графикаРасчет трудоемкости работ Целью данного раздела является определение затрат на проведение научно-исследовательских работ (НИР) по проекту. Для этого необходимо выбрать величину должностных окладов работников по результатам по результатам оплаты труда на предприятии в период прохождения преддипломной практики. Для руководителей Определяем коэффициенты приведенной реальной численности всех категорий к инженерной путем деления окладов работающих к инженерному:
Рассчитаем приведенную численность работников:
Где: Приведенная трудоемкость работы ij:
Где: Суммарная среднедневная стоимость одного инженеро-дня:
Где:
Здесь Прочие затраты на проведение НИР сведены в таблицу 12.4. Таблица 12.4 - Прочие затраты на проведение НИР
Итого прочие затраты на проведение НИР составили 14988 руб. Суммарная стоимость одного инженеро-дня:
Сметная стоимость работы ij определяется как произведение приведенной трудоемкости работы на среднедневную стоимость инженеро-дня:
Экономическая эффективностьЗатраты на сооружение подстанции 110/10 кВ состоят из следующих составляющих: 1. Затраты на сооружение ОРУ 110кВ согласно произведённому расчёту составляют 16967 тыс. руб. 2. Затраты на сооружение КРУН-10:
где С=15,3 тыс. руб.- затраты на сооружение одной ячейки (шкафа) с элегазовым выключателем;; n=17+2=19 – количество шкафов в КРУН-10. Общие затраты по подстанции:
Определим доход от передачи электроэнергии потребителям через спроектированную линию и подстанцию:
где
Срок окупаемости вводимых объектов находим как отношение затрат на сооружение новых объектов (подстанции и линии) к доходу от данных объектов за год:
Экономический эффект:
Таким образом, срок окупаемости меньше нормируемого Т=8,33 года для энергетики, поэтому есть смысл вводить новые объекты в эксплуатацию. ЗаключениеПроект системы электроснабжения оборудования для группы цехов «Челябинского тракторного завода – Уралтрак» выполнен на основании руководящих указаний по проектированию СЭС и с соблюдением всех нормативных норм и правил. Результаты, полученные в ходе работы, полностью удовлетворяют требования ПУЭ, ПТБ, ПЭЭП и других документов. Разработки и исследования в проекте имеют в настоящее время важное практическое значение. Все решения, принимаемые в работе имеют за собой сравнительный анализ и экономически наиболее выгодны. Разделы по безопасности жизнедеятельности и экономике содержат всю необходимую информацию и расчеты для спроектированной СЭС. ЛИТЕРАТУРА1. Правила устройства электроустановок. Шестое издание, переработанное и дополнительное, с изменениями. – М.: Главгосэнергонадзор России, 1998 г. 2. Справочник по проектированию электроснабжения. /Под ред. Ю.Г. Барыбина и др. – М.: Энергоатомиздат, 1990 – 576 с. 3. Федоров А.А., Старкова Л.Е. Учебное пособие для курсового и дипломного проектирования по электроснабжению промышленных предприятий: Учеб. Пособие для вузов. – М.: Энергоатомиздат, 1987. – 368с.: ил. 4. Федоров А.А., Каменева В.В. Основы электроснабжения промышленных предприятий: Учебник для вузов. – 4-е изд., перераб. и доп. – М.: Энергоатомиздат, 1984. – 472 с., ил. 5. Князевский Б.А., Липкин Б.Ю. Электроснабжение промышленных предприятий: Учеб. Для студ. Вузов по спец. «Электропривод и автоматизация промышленных установок» - 3-е изд., перераб. и доп. – М.: Высшая школа, 1986. – 400 с., ил. 6. Справочная книга для проектирования электрического освещения /Под ред. Г.М. Кнорринга. – Л.: Энергия,1986. 7. Хохлов Ю.И. Компенсированные выпрямители с фильтрацией в коммутирующие конденсаторы нечетнократных гармоник токов преобразовательных блоков. – Челябинск: ЧГТУ, 1995. – 355 с. 8. Справочник по проектированию электрических сетей и электрооборудования /Под ред. Ю.Г. Барыбина и др. – М.: Энергоатомиздат, 1991.- 464 с.: ил. 9. Справочник. Заземляющие устройства электроустановок. – М.: ЗАО «Энергосервис», 1998. – 376 с. 10. Филатов А.А. Обслуживание электрических подстанций оперативным персоналом. – М.: Энергоатомиздат, 1990. – 304 с.: ил. 11. Каталог на электротехническую продукцию. – С-Петербург : ЗАО «Электротехнические машины», 2000 г. 12. Алиев И.И. Справочник по электротехнике и электрооборудованию: Учеб. Пособие для вузов. – 2-е изд., доп. – М.: Высшая школа, 2000. – 255 с., ил. 13. Кисаримов Р.А. Справочник электрика. – 2-е изд., перераб. и доп. – М.: ИП РадиоСофт, 2001. – 512 с. : ил. 14. Алабугин А.А., Алабугина Р.А. Производственный менеджмент в энергетике предприятия: Учебное пособие. – Челябинск: ЮурГУ, 1998. – 70 с. 15. Багиев Г.Л., Златопольский А.Н. Организация, планирование и управление промышленной энергетикой: Учебник для вузов. – М.: Энергоатомиздат, 1993. – 240 с.: ил. |
|||||||||||||||||||||||||||||||||||||||||||||||||||||||||||||||||||||||||||||||||||||||||||||||||||||||||||||||||||||||||||||||||||||||||||||||||||||||||||||||||||||||||||||||||||||||||||||||||||||||||||||||||||||||||||||||||||||||||||||||||||||||||||||||||||||||||||||||||||||||||||||||||||||||||||||||||||||||||||||||||||||||||||||||||||||||||||||||||||||||||||||||||||||||||||||||||||||||||||||||||||||||||||||||||||||||||||||||||||||||||||||||||||||||||||||||||||||||||||||||||||||||||||||||||||||||||||||||||||||||||||||||||||||||||||||||||||||||||||||||||||||||||||||||||||||||||||||||||||||||||||||||||||||||||||||||||||||||||||||||||||||||||||||||||||||||||||||||||||||||||||||||||||||||||||||||||||||||||||||||||||||||||||||||||||||||||||||||||||||||||||||||||||||||||||||||||||||||||||||||||||||||||||||||||||||||||||||||||||||||||||||||||||||||||||||||||||||||||||||||||||||||||||||||||||||||||||||||||||||||||||||||||||||||||||||||||||||||||||||||||||||||||||||||||||||||||||||||||||||||
. (1.1)
; (1.4)
. (1.5)
; (1.6)
, (1.7)
(1.11)
, (1.12)
. (1.13)
, (1.17)
;
;
. (1.24)
; уо
=
, (1.25)
+ΔNт
, (2.2)
, (2.4)
; Кз п/ав
=
, (2.6)
, (2.8)
. (3.6)
Рисунок 3.2- Вариант схемы электроснабжения предприятия на напряжение 110 кВ
; (4.3)
; (4.8)
; (4.9)
, (5.1)
, (5.2)
, (5.3)
; (6.1)


Ом.
,

. (8.7)
, (8.8)
, (8.10)
, (8.19)
, (8.21)
,
, (9.3)
,

м.
Ом,
Ом,
Ом.
Ом,
Ом.
кА.
мм2
,

м.
шт.
.
.
А.
шт. 
года.