Шпаргалка: Шпаргалка по Финансам 2
|
Название: Шпаргалка по Финансам 2 Раздел: Рефераты по финансам Тип: шпаргалка | |||||||||||||||||||||
1.Финансы -- это специфическая сфера экономических отношений, связанных с формированием, распределением (перераспределением) и использованием фондов денежных средств. В настоящее время управление финансовыми ресурсами является одной из основных и приоритетных задач, стоящих перед любым предприятием Финансовый менеджмент -- это управление финансовыми ресурсами и финансовой деятельностью хозяйствующего субъекта, направленное на реализацию его стратегических и текущих целей.Финансовый менеджмент - управление финансами хозяйствующих субъектов, финансовый анализ, планирование, а также нахождение и распределение капитала. Он охватывает все основные сферы финансов и распространяется на все сегменты финансового рынка. Финансовый менеджмент - это также и вид управленческой деятельности. Он представляет собой систему воздействия субъекта финансового управления (финансового менеджера) на его объект с целью совершенствования последнего. Кроме того, финансовый менеджмент является формой предпринимательства.Финансовый менеджмент реализуется в присущих ему функциях и имеет выраженную специфику -управление денежными потоками , поэтому его функции предопределены задачами финансов предприятий.Проведём обзор основных функций финансового менеджмента в системе управления организацией:· Планирование финансов - это планирование всех доходов и направлений расходования денежных средств для обеспечения развития предприятия. Функциям планирования может придаваться разное значение в зависимости от вида и величины предприятия.· Прогнозирование - разработка на длительную перспективу изменений финансового состояния объекта в целом и различных его частей. Прогнозирование может осуществляться как на основе переноса прошлого в будущее с учётом экспертной оценки тенденции изменения, так и прямого предвидения изменений.· Организационная функция обеспечивает системный подход в организации денежных потоков и фондов. Функция организаций в финансовом менеджменте сводится к объединению людей, совместно реализующих финансовую программу на базе каких-то правил и процедур.· Регулирование - воздействие на объект управления, посредством которого достигается состояние устойчивости финансовой системы в случае возникновения отклонения от заданных параметров. Оно охватывает текущие мероприятия по устранению возникших отклонений от графиков, плановых заданий, установленных норм и нормативов.· Стимулирование в финансовом менеджменте выражается в побуждении работников финансовой службы к заинтересованности в результатах своего труда.· Контрольная функция финансового менеджмента отражает состояние кругооборота ресурсов, эффективность хозяйствования, обеспечивает контроль за управленческими решениями в области финансов, предусматривая сбор необходимой информации, анализ факторов.Сущность финансового менеджмента можно определить как систему принципов и методов разработки и реализации управленческих решений, связанных с формированием, распределением и использованием финансовых ресурсов предприятия и организацией оборота его денежных.2. вопрос. Финансовый менеджмент как система управления.Базовые концепции. Понятие финансовый менеджмент означает управление финансово-хозяйственной деятельностью фирмы на основе использования современных методов. Финансовый менеджмент – один из ключевых элементов системы современного управления, имеющий особое, приоритетное значение для сегодняшней экономики России. Основными целями финансового менеджмента являются: выживание фирмы в условиях конкурентной борьбы, избежание банкротства и крупных финансовых неудач, лидерство в борьбе с конкурентами, максимизация рыночной стоимости фирмы, устойчивые темпы роста экономического потенциала фирмы, рост объемов производства и реализации, максимизация прибыли, минимизация расходов, обеспечение рентабельной деятельности. Задачи финансового менеджмента: - избежание банкротства и крупных финансовых неудач; - выживание фирмы в условиях конкурентной борьбы; максимизация рыночной стоимости фирмы; - обеспечение приемлемых темпов роста экономического потенциала фирмы: рост объемов производства и реализации; максимизация прибыли; минимизация расходов; - обеспечение необходимого уровня рентабельности основной деятельности и др. Финансовое управление представляет собой процесс выработки и осуществления управляющих решений в целях воздействия на финансы, денежный оборот, финансовые отношения. Управляющее воздействие на финансы необходимо для достижения финансовой устойчивости, стратегических и тактических целей предприятия. Таким образом, достижение и поддержание финансовой устойчивости – главная задача финансового менеджмента. Её решение предполагает, что финансовое положение предприятия характеризуется: - высокой платежеспособностью; - ликвидностью баланса; Финансовый менеджмент базируется на следующих взаимосвязанных основных концепциях: 1). Концепция денежного потока предполагает
- идентификацию денежного потока, его продолжительность и вид (краткосрочный, долгосрочный, с процентами или без); - оценка факторов, определяющих величину элементов денежного потока; - выбор коэффициента дисконтирования, позволяющего сопоставить элементы потока, генерируемые в различные моменты времени; - оценка риска, связанного с данным потоком, и способы его учета 3. Финансовый менеджмент представляет собой аппарат управления хозяйствующим субъектом. На крупных предприятиях и в акционерных обществах таким аппаратом управления может быть финансовая дирекция во главе с финансовым директором или главным финансовым менеджером. Финансовая дирекция состоит из различных подразделений, состав которых определяется высшим органом управления хозяйствующего субъекта. К этим подразделениям могут относиться финансовый отдел, планово-экономический отдел, бухгалтерия, лаборатория (бюро, сектор) экономического анализа и т. д. Дирекция и каждое ее подразделение функционируют на основе Положения о финансовой дирекции или подразделении. Положение включает в себя общие моменты организации дирекции, ее задачи, структуру, функции, взаимоотношения с другими подразделениями (дирекциями) и службами хозяйствующего субъекта, права и ответственность дирекции. Основные функции финансовой дирекции следующие: определение цели финансового развития хозяйствующего субъекта; разработка финансовой стратегии и финансовой программы развития хозяйствующего субъекта и его подразделений; определение инвестиционной политики; разработка кредитной политики; установление сметы расходов финансовых ресурсов для всех подразделений хозяйствующего субъекта; разработка плана денежных потоков, финансовых планов хозяйствующего субъекта и его подразделений; участие в разработке бизнес-плана хозяйствующего субъекта; обеспечение финансовой деятельности (использование денежных средств, получение прибыли и т. п.) хозяйствующего субъекта и его подразделений; осуществление денежных расчетов с поставщиками, покупателями и т. д.; осуществление страхования от коммерческих рисков, залоговых, трастовых, лизинговых и других финансовых операций; ведение бухгалтерского и статистического учета в области финансов, составление бухгалтерского баланса хозяйствующего субъекта; анализ финансовой деятельности хозяйствующего субъекта и его подразделений. В управлении финансовой деятельностью ключевой фигурой является финансовый менеджер. На крупных предприятиях и акционерных обществах целесообразно формировать группу финансовых менеджеров, за каждым из которых закрепляются конкретное направление работы и определенные обязательства. Во главе группы стоит ведущий финансовый менеджер (лидменеджер). Деятельность финансового менеджера регламентируется его должностной инструкцией, включающей в себя и квалификационную характеристику финансового менеджера. Финансовый менеджер является наемным работником, который привлекается к управленческой деятельности по контракту. Как высший служащий, кроме заработной платы, он может получать вознаграждение в виде процента от прибыли. Такое вознаграждение называется тантьема. Размер тантьемы определяется высшим органом управления хозяйствующего субъекта. 4.Финансовый менеджмент как форма предпринимательской деятельности Управление финансами это творческая деятельность, которая активно реагирует на изменения, происходящие в окружающей среде. Финансовый менеджмент как форма предпринимательства предполагает использование научных основ планирования и управления, финансового анализа, нововведения (инноваций). Как форма предпринимательства финансовый менеджмент может быть выделен в самостоятельный вид деятельности. Эту деятельность выполняют как профессиональные менеджеры, так и финансовые институты (холдинговые компании, траст-компании и др.). Сущность финансового менеджмента как форма предпринимательства выражается в обмене: Сферой приложения финансового менеджмента является финансовый рынок. На финансовом рынке проявляются экономические отношения между продавцами и покупателями финансовых (денежных) ресурсов и инвестиционных ценностей, между их стоимостью и потребительной стоимостью. Функционирование финансового рынка создает основу для предпринимательства в области управления движением финансовых ресурсов и финансовых отношений. Эффективность применения финансового менеджмента достигается только в комплексе с методами и рычагами финансового механизма. 5.организация финансовой деятельности предприятия Финансы –это система денежных отношений, выражающих формирование и использование денежных фондов в процессе их кругооборота. Финансовая система Российской Федерации включает: На уровне государственных финансов происходят разработка и реализация единой финансовой политики страны, от которой во многом зависит эффективность деятельности предпринимательских организаций. Финансы коммерческих организаций занимают определяющее положение в структуре финансовой системы страны, так как именно на уровне коммерческих организаций формируется основная масса финансовых ресурсов государства. В доходной части федерального бюджета России 80% составляют налоговые поступления. Финансы организаций выполняют распределительную (стимулирующую) и контрольную функции. Распределительная функция финансов заключается в том, что с их помощью формируются и используются денежные доходы и фонды, имеющиеся в организации. Таким образом, финансы обслуживают воспроизводственный процесс в целом, обеспечивая его непрерывность и оказывая влияние на все его стадии. Кроме того, правильное распределение денежных средств стимулирует улучшение работы предприятия. Финансы количественно отображают ход воспроизводственного процесса, что позволяет его контролировать. Основу контрольной функции
составляет движение финансовых ресурсов в фондовой и нефондовой формах. Контрольная функция реализуется двояким образом: Если при централизованной системе управления экономикой устанавливались строгие границы деятельности предприятий по выпуску продукции, прибыли, себестоимости и другим показателям, то в настоящее время осуществляется воздействие с помощью экономических рычагов и стимулов (налогов, льгот, дотаций и т. д.). В основе организации финансов предприятия
лежат следующиепринципы: В составе финансовых отношений выделяются следующие группы денежных отношений организаций: · с контрагентами – по поводу формирования первичных доходов, образования и использования целевых фондов внутрихозяйственного назначения (уставного капитала, фондов накопления и потребления, поощрительных фондов и др.); · с организациями и предприятиями – по поводу распределения финансов; при этом движение финансовых ресурсов осуществляется в нефондовой форме (уплата и получение штрафов при нарушении договорных обязательств, внесение различных паевых взносов, участие в распределении прибыли от совместной деятельности, приобретение ценных бумаг других предпринимательских организаций и государства, получение по ним дивидендов и др.); · с потребителями продукции , вступая в контакты с которыми, предприятия самостоятельно выбирают форму и вид договоров, определяют условия выполнения обязательств и порядок установления санкций, формируют цены на свою продукцию и услуги, оценивают обоснованность цен поставщиков. Перечисленные факторы существенно влияют на конечные финансовые результаты; · со страховыми организациями – по поводу различных видов обязательного и добровольного страхования; · с банковской системой – по поводу расчетно-кассового обслуживания в связи с получением и погашением ссуд, уплатой процентов, а также предоставлением банкам во временное пользование свободных денежных средств за определенную плату; · с государством – по поводу образования и использования бюджетных и внебюджетных фондов. Эта группа денежных отношений реализуется через внесение в бюджет и внебюджетные фонды различных налогов, сборов, взносов и др. С другой стороны, осуществляется бюджетное финансирование непроизводственной сферы, целевых программ и др.; · с вышестоящими управленческими структурами – "вертикальные" и "горизонтальные" взаимосвязи по поводу внутрикорпоративных перераспределений финансовых ресурсов. Эти группы денежных отношений и составляют в целом содержание финансов. 6.сущность и значение финансовой отчетностиОсновой для быстрого принятия решения является обеспечение полной и актуальной информацией. Это достигается посредством системы учета и отчетности. 1. собственникам (участникам, учредителям) или уполномоченным органам или органам в соответствии с учредительными документами 2. налоговым органам по месту нахождения предприятия 3. по местному финансовому органу 4. органам государственной статистики. Финансовая отчетность юридического лица является открытой для заинтересованных пользователей. Она может обеспечить общественность информацией о направлениях развития и о последних достижениях субъекта в улучшении экономической и социальной обстановки региона. 7.Внешние и внутренние пользователи отчетности Стороны, заинтересованные в информации о деятельности предприятия, относятся к двум основным категориям: внешние и внутренние пользователи . Внутренние пользователи - это управленческий персонал компании, принимающий решения, направленные на повышение эффективности деятельности предприятия. Среди внешних пользователей финансовой отчетности можно выделить следующие группы, имеющие специфические цели ознакомления с отчетностью:
Финансовая отчетность является также связующим звеном между предприятием и его внешней средой. В современных условиях основной целью предоставления отчетности внешним пользователям является получение дополнительных финансовых ресурсов. Поэтому от того, что представлено в финансовой отчетности, во многом зависит будущее предприятия. 8.Два механизма, обеспечивающие связь предприятия и финансового рынка через финансовую отчетность Финансовая отчетность в условиях рынка помимо инструмента оценки плановых заданий, сводки статистических данных и расчета налоговых отчислений должна стать средством взаимодействия предприятия и рынка, с тем чтобы рынок стал эффективным источником финансовых ресурсов для предприятия.Механизмами, обеспечивающими финансовой отчетности такую роль, являются : стандарты финансового учета и отчетности и аудиторская проверка. Стандарты финансового учета и отчетности - это определенные правила ведения финансового учета и составления отчетности с целью отражения эффективности финансовых решений, принятых за отчетный период соответствующей компанией, которые отражаются на ее финансовом положении и положении на рынке ценных бумаг. Стандарты являются юридически закрепленным соглашением различных заинтересованных субъектов рыночной экономики и разрабатываются исходя из накопленного опыта, практической необходимости, результатов научных исследований, здравого смысла, традиций и других подобных факторов. Различают национальные стандарты и международные стандарты. Аудиторская проверка - независимая экспертиза и анализ публичной финансовой отчетности предприятия уполномоченными на то лицами ( аудиторами) с целью определения ее достоверности, полноты и соответствия действующему законодательству и требованиям, предъявляемым к ведению бухгалтерского учета и составлению финансовой отчетности. 9. Основные формы финансовой отчетности Основными формами финансовой отчетности в странах с развитой рыночной экономикой являются баланс, отчет о прибыли, отчет о накопленной прибыли, отчет о собственном капитале, отчет о движении денежных средств, различного рода замечания и дополнения к финансовой отчетности. Баланс характеризует средства предприятия по их составу (актив) и источникам образования (пассив). Активы предприятия - это хозяйственные ресурсы или средства, которые должны принести выгоды предприятию в будущем. Статьи актива баланса размещаются по степени ликвидности ( скорости превращения в денежные средства) : либо в порядке возрастания ликвидности , либо в порядке убывания ликвидности. Актив баланса подразделяется на необоротные активы и оборотные активы Необоротные активы - это средства, которые используются больше одного отчетного периода, приобретаются с целью использования в хозяйственной деятельности и не предназначены для продажи в течение года. Пассивы предприятия - это обязательства предприятия перед собственниками и внешние обязательства. В пассивах , как правило, выделяются следующие группы статей: “ Собственный капитал”, “Долгосрочные обязательства” и “ Краткосрочные обязательства”. Долгосрочные обязательства и краткосрочные обязательства называются внешними обязательствами. Внешние обязательства - это будущие убытки в экономических выгодах компании, которые могут возникнуть вследствие существующих обязательств этой компании передать средства или оказать услуги другим предприятиям в будущем в результате заключенных сделок или происшедших событий. Отчет о прибыли представляет информацию, отражающую формирование чистой прибыли отчетного периода. Отчет о прибыли может иметь многоступенчатую или одноступенчатую форму. В первом случае расчет результата основан на ряде промежуточных подсчетов прибыли, во втором случае отдельно группируются доходы и расходы предприятия и их алгебраическая сумма отражается как прибыль или убыток отчетного периода. Независимо от формы составления отчета о прибыли в отчете обязательно отражаются следующие элементы: доходы, расходы, прочие прибыли и прочие убытки. Отчет о накопленной прибыли отражает информацию о накопленной прибыли на начало отчетного года, чистой прибыли за отчетный год, сумме выплаченных дивидендов на обычные и привилегированные акции, нераспределенном остатке прибыли, который переносится на следующий год. В некоторых странах отражается информация о суммах , перечисленных в различные резервы или из них, о вознаграждениях, выплачиваемых членам совета директоров (высокооплачиваемым лицам). Анализ данного документа позволяет определить достаточно ли предприятию прибыли текущего года для выплаты дивидендов. Данные этого документа связаны с показателями отчета о прибыли и часто объединяются с ним в единую форму. Отчет об источниках финансовых средств и направлениях их использования (отчет об изменениях в финансовом положении). Эта форма отчетности посвящена анализу чистых оборотных средств. Чистые оборотные средства - это разница между оборотными активами компании и ее краткосрочными обязательствами. Отчет о движении денежных средств предназначен для анализа текущих потоков денежных средств, оценки будущих поступлений денежных средств, оценки способности предприятия погасить свою задолженность и выплатить дивиденды, анализа необходимости привлечения дополнительных финансовых ресурсов. В отчете отражаются поступление, расходование и изменение денежных средств в ходе текущей хозяйственной, инвестиционной и финансовой деятельности предприятия за определенный период.. Отчет о собственном капитале может быть посвящен либо более подробному раскрытию информации отчета о прибыли, либо более подробно раскрывает содержание раздела баланса “Собственный капитал”. Дополнительная информация подразделяется на примечания по вопросам применяемых на предприятии методов учета; пояснения , более подробно раскрывающие содержание отдельных статей отчетности; прочие дополнительные сведения, не включенные в отчетность, но необходимые для оценки хозяйственной деятельности данного предприятия. 10. Способы определения и начисления процентов процентная ставка — это относительная величина процентных платежей на ссудный капитал за определенный период, обычно за год. Рассчитывается как отношение абсолютной суммы процентных платежей за год к средней величине заемных средств. По степени реагирования на изменение рыночного уровня процента различают фиксированные и плавающие процентные ставки. Фиксированные процентные ставки устанавливаются на весь период пользования заемными ресурсами без одностороннего права пересмотра их уровня. И для заемщика, и для кредитора это означает возможность прогнозирования расходов и доходов по процентам. Плавающие процентные ставки — это ставки по средне-и долгосрочным займам. Они складываются из двух частей; подвижной основы, меняющейся в соответствии с рыночной конъюнктурой (как правило, используются межбанковские ставки предложения кредитных ресурсов), и фиксированной величины, обычно неизменной в течение всего периода кредитования или обращения долговых ценных бумаг. Размер фиксированной надбавки зависит от условий сделки и степени ее риска. Начисление процентов может осуществляться одним из четырех способов: — по формулам простых процентов; Если в договоре не указывается способ начисления процентов, то начисление процентов осуществляется по формуле простых процентов с использованием фиксированной процентной ставки. При начислении суммы процентов по привлеченным и размещенным денежным средствам в расчет принимается величина процентной ставки (в процентах годовых) и фактическое количество календарных дней, на которое привлечены или размещены денежные средства. При этом за базу берется действительное число календарных дней в году (365 или 366 соответственно)1. Рассмотрим формулы определения наращенной суммы долга по привлеченным (размещенным) средствам банков. 1. Формула простых процентов: S = Px(l + IxTYK), (19.1) где: I — годовая процентная ставка; 11.Простые ставки ссудных процентов Процентная ставка (англ. interest rate ) — это сумма, указанная в процентном выражении к сумме кредита, которую платит получатель кредита за пользование им в расчете на определенный период (месяц, квартал, год). При многократном начислении простых процентов начисление делается по отношению к исходной сумме и представляет собой каждый раз одну и ту же величину. Иначе говоря,
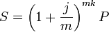
где - P — исходная сумма - S — наращенная сумма (исходная сумма вместе с начисленными процентами) - i — процентная ставка, выраженная в долях за период - n — число периодов начисления 12. Сложные ставки ссудных процентов Процентная ставка (англ. interest rate ) — это сумма, указанная в процентном выражении к сумме кредита, которую платит получатель кредита за пользование им в расчете на определенный период (месяц, квартал, год). При многократном начислении сложных процентов начисление каждый раз делается по отношению к сумме с уже начисленными ранее процентами. Иначе говоря, S = (1 + i )n P (при тех же обозначениях). В этом случае говорят о сложной процентной ставке . Часто рассматривается следующая ситуация. Годовая процентная ставка составляет j , а проценты начисляются m раз в году по сложной процентной ставке равной j / m (например, поквартально, тогда m = 4 или ежемесячно, тогда m = 12). Тогда формула для наращенной суммы через k лет:
В этом случае говорят о номинальной процентной ставке . Сравнение сложных процентных ставок с разными интервалами начисления производят при помощи показателя годовая процентная доходность(APY) 15.Аннуитет и его оценка Таким образом, аннуитет представляет собой поток платежей, осуществляемых в одном направлении (только поступления или только выплаты) через равные периоды времени. В финансовой практике аннуитет также носит название финансовой ренты. Основными элементами аннуитета являются: член ренты или размер конкретного платежа, период ренты – промежуток времени между двумя платежами, срок ренты – период времени между первым и последним платежом, и, наконец, процентная ставка – ставка, которая применяется для наращивания платежей, составляющих аннуитет. Существует развёрнутая классификация аннуитетов по целому ряду критериев. Итак, первым из них является период ренты. Если он равен одному году, то аннуитет носит название годового. С другой стороны, если период ренты больше или меньше целого года, то аннуитет считается срочным. Следующий критерий – это число начислений процентов в течение одного года. Различают аннуитеты с однократным, многократным или непрерывным начислением. Другой критерий – это величина платежей. Если, размер платежей фиксированный, то аннуитет считается постоянным. Соответственно, если размер платежей может изменяться, аннуитет получает название переменного. Существуют аннуитеты с ограниченным числом членов (ограниченные аннуитеты), которое известно заблаговременно, а также вечные, когда количество платежей заранее не определено. В зависимости от момента осуществления платежа выделяют постнумерандо – аннуитет с выплатой в конце периода ренты, и пронумерандо – аннуитет с выплатой в начале периода. Необходимо подробнее остановиться на особенностях двух видов аннуитетов: бессрочной (вечной) ренты и ренты с непрерывным начислением процентов. В расчётах с участием бессрочной ренты, бессмысленны расчёты величины аннуитета в будущем. Для его характеристики, как правило, применяют такой показатель, как современная величина потока платежей. Это можно объяснить тем, что поток, который включает в себя неизвестное заранее число платежей, тем не менее имеет конечную стоимость, которую можно рассчитать, учитывая, что деньги, полученные по прошествии многих лет, в данный момент не стоят ничего. Формула, применяемая при вычислении вечного аннуитета, может быть использована для расчетов срочной ренты с большим сроком (более пятидесяти лет) и величиной процентной ставки. Особенностью непрерывного аннуитета является то, что он имеет предельно малые периоды ренты. Как результат, идея о непрерывности платежей является в некотором роде условностью, которая допускается для удобства вычислений. В заключение необходимо отметить, что помимо регулярных потоков платежей (аннуитетов), существуют нерегулярные, особенностью которых является наличие нефиксированного периода ренты или величины платежа. Примеромнерегулярных потоков платежей можно считать ситуацию, когда величина платежей снижается под действием инфляции. В отличие от вычисления основных показателей регулярного потока платежей, для оценки нерегулярного необходимо производить расчёты по каждой отдельной выплате или же поступлению, а полученные при этом результаты суммировать. 16. Понятие экономического анализа Экономический анализ как наука представляет собой систему специальных знаний, базирующихся на законах развития и функционирования систем и направленных на познание методологии оценки, диагностики и прогнозирования финансово-хозяйственной деятельности предприятия. Каждая наука имеет свой предмет. Подпредметом экономического анализа понимаются хозяйственные процессы предприятий, их социально-экономическая эффективность и конечные финансовые результаты деятельности, складывающиеся под воздействием объективных и субъективных факторов, находящие отражение через систему экономической информации. Предмет экономического анализа определяет стоящие перед ним задачи
. Среди основных выделим: Метод экономического анализа представляет собой способ подхода к изучению хозяйственных процессов в их плавном развитии. Характерными особенностями метода
экономического анализа являются: Совокупность приемов и способов, которые применяются при изучении хозяйственных процессов, составляет методику экономического анализа . Методика экономического анализа базируется на пересечении трех областей знаний: экономики, статистики и математики. К экономическим методам анализа относят сравнение, группировку, балансовый и графический методы. Статистические методы включают в себя использование средних и относительных величин, индексный метод, корреляционный и регрессивный анализ и др. Математические методы можно разделить на три группы: экономические (матричные методы, теория производственных функций, теория межотраслевого баланса); методы экономической кибернетики и оптимального программирования (линейное, нелинейное, динамическое программирование); методы исследования операций и принятия решений (теория графов, теория игр, теория массового обслуживания). 17.Классификация экономического анализа хозяйственной деятельности имеет важное значение для правильного понимания его содержания и задач, для разработки методики его проведения и для организации аналитического процесса. Итоговый анализ изучает результаты работы за отчетный период времени (месяц, квартал, год). Его ценность в том, что деятельность предприятия изучается комплексно и всесторонне по отчетным данным за соответствующий период. Этим обеспечивается более полная и объективная оценка деятельности предприятия по использованию имеющихся возможностей. 18. Понятие, значение и задачи финансового состояния предприятия . Финансовое состояние может быть устойчивыми, неустойчивыми и кризисным. Способность предприятия своевременно производить платежи, финансировать свою деятельность на расширенной основе свидетельствует о его хорошем финансовом состоянии. Финансовое состояние предприятия зависит от результатов его производственной, коммерческой и финансовой деятельности. Если производственный и финансовый планы успешно выполняются, то это положительно влияет на финансовое положение предприятия. И наоборот, в результате недовыполнения по производству и реализации продукции происходит повышение ее себестоимость, уменьшение выручки и суммы прибыли и как следствие- ухудшение финансового состояния предприятия и его платежеспособность. Устойчивое финансовое положение в свою очередь оказывает положительное влияние на выполнение производственных планов и обеспечение нужд производства необходимыми ресурсами. Поэтому финансовая деятельность как составная часть хозяйственной деятельности направлена на обеспечение планомерного поступления и расходования денежных средств , выполнение расчетной дисциплины, достижение рациональных пропорций собственного и заемного капитала и наиболее эффективного его использования. Главная цель финансовой деятельности - решить, где, когда и как использовать финансовые ресурсы для эффективного развития производства и получения максимума прибыли. Чтобы выжить в условиях рыночной экономики и не допустить банкротства предприятия, нужно хорошо знать, как управлять финансами, какой должна быть структура капитала по составу и источникам образования, какую долю должны занимать собственные средства, а какую -заемные. Следует знать и такие понятие рыночной экономики, как деловая активность, ликвидность, платежеспособность, кредитоспособность предприятия, порог рентабельности, запас финансовой устойчивости (зона безопасности), степень риска, эффект финансового рычага и другие, а также методику их анализ. Главная цель анализа - своевременно выявить и устранять недостатки в финансовой деятельности и находить резервы улучшения финансового состояния предприятия и его платежеспособность. При этом необходимо решить задачи: На основе изучения причинно-следственной взаимосвязи между различными показателями производственной, коммерческой и финансовой деятельности дать оценку выполнения плана по поступлению финансовых ресурсов и их использованию с позиции улучшения финансового состояния предприятия. Прогнозирование возможных финансовых результатов, экономической рентабельности, исходя из реальных условий хозяйственной деятельности и наличия собственных и заемных ресурсов, разработка моделей финансового состояния при разнообразных вариантах использования ресурсов. Разработка конкретных мероприятий, направленных на более эффективное использование финансовых ресурсов и укрепление финансового состояния предприятия. Для оценки финансового состояния предприятия используется целая система показателей, характеризующих изменения: -структуры капитала предприятия по его размещению и источникам образования ; -эффективности и интенсивности его использования; -платежеспособности и кредитоспособности предприятия ; -запаса его финансовой устойчивости; Анализ финансового состояния предприятия основывается главным образом на относительных показателях, так как абсолютные показатели баланса в условиях инфляции практически невозможно привести в сопоставимый вид. Относительные показатели анализируемого предприятия можно сравнивать: - с общепринятыми «нормами» для оценки степени риска и прогнозирования возможностей банкротства; - с аналогичными данными других предприятий, что позволяет выявить сильные и слабы стороны предприятия и его возможности; - с аналогичными данными за предыдущие годы для изучения тенденций улучшения и ухудшения финансового состояния предприятия. Анализом финансового состояния занимаются не только руководители и соответствующие службы предприятия, но и его учредители, инвесторы с целью изучения эффективности использования ресурсов, банки для оценки условий кредитования и определения степени риска, поставщики для своевременного получения платежей, налоговые инспекции для выполнения плана поступления средств в бюджет и т.д. В соответствии с этим анализ делится на внутренний и внешний. Внутренний анализ - проводится службами предприятия и его результаты используются для планирования, контроля и прогнозирования финансового состояния. Его цель- установить планомерное поступление денежных средств и разместить собственные и заемные средства таким образом, чтобы обеспечить нормальное функционирование предприятия, получения максимума прибыли и исключение банкротства. Внешний анализ -осуществляется инвесторами, поставщиками материальных и финансовых ресурсов, контролирующими органами на основе публикуемой отчетности. Его цель- установить возможность выгодного вложить средства, чтобы обеспечить максимум прибыли и исключить риск потери. Основными источниками информации для анализа финансового состояния предприятия служат отчетный бухгалтерский баланс ( форма №1), отчет о прибылях и убытках ( форма №2), отчет о движении капитала ( форма №3) и другие формы отчетности, данные первичного и аналитического бухгалтерского учета, которые расшифровывают и детализируют отдельные статьи баланса. 19.Оценка имущественного положения Экономический потенциал организации может быть охарактеризован двояко: с позиции имущественного положения предприятия и с позиции его финансового положения. Обе эти стороны финансово-хозяйственной деятельности взаимосвязаны — нерациональная структура имущества, его некачественный состав могут привести к ухудшению финансового положения и наоборот. Согласно действующим нормативам, баланс в настоящее время составляется в оценке нетто. Однако ряд статей по-прежнему носит характер регулирующих. Для удобства анализа целесообразно использовать так называемыйуплотненный аналитический баланс-нетто
, который формируется путем устранения влияния на итог баланса (валюту) и его структуру регулирующих статей. Для этого: Устойчивость финансового положения предприятия в значительной степени зависит от целесообразности и правильности вложения финансовых ресурсов в активы. В процессе функционирования предприятия величина активов,их структура претерпевают постоянные изменения. Наиболее общее представление об имевших место качественных изменениях в структуре средств и их источников, а также динамике этих изменений можно получить с помощью вертикального и горизонтального анализа отчетности. Вертикальный анализ показывает структуру средств предприятия и их источников. Вертикальный анализ позволяет перейти к относительным оценкам и проводить хозяйственные сравнения экономических показателей деятельности предприятий, различающихся по величине использованных ресурсов, сглаживать влияние инфляционных процессов, искажающих абсолютные показатели финансовой отчетности. Горизонтальный анализ отчетности заключается в построении одной или нескольких аналитических таблиц, в которых абсолютные показатели дополняются относительными темпами роста (снижения).Степень агрегированности показателей определяется аналитиком. Как правило, берутся базисные темпы роста за ряд лет (смежных периодов), что позволяет анализировать не только изменение отдельных показателей, но и прогнозировать их значения. Горизонтальный и вертикальный анализы взаимодополняют друг друга. Поэтому на практике не редко строят аналитические таблицы, характеризующие как структуру бухгалтерской отчетности, так и динамику отдельных ее показателей. Оба этих вида анализа особенно ценны при межхозяйственных сопоставлениях, так как позволяют сравнивать отчетность различных по виду деятельности и объемам производства предприятий. Критериями качественных изменений
в имущественном положении предприятия и степени их прогрессивности выступают такие показатели, как: Формулы для расчета данных показателей приведены в прил.2. Рассмотрим их экономическую интерпретацию. Сумма хозяйственных средств, находящихся в распоряжении предприятия. Этот показатель дает обобщенную стоимостную оценку активов, числящихся на балансе предприятия. Это учетная оценка, не совпадающая с суммарной рыночной оценкой его активов. Рост этого показателя свидетельствует о наращивании имущественного потенциала предприятия. Доля активной части основных средств. Под активной частью основных средств понимают машины, оборудование и транспортные средства. Рост этого показателя в динамике обычно расценивается как благоприятная тенденция. Коэффициент износа. Показатель характеризует долю стоимости основных средств, оставшуюся к списанию на затраты в последующих периодах. Коэффициент обычно используется в анализе как характеристика состояния основных средств. Дополнением этого показателя до 100 % (или единицы) является коэффициентгодности. Коэффициент износа зависит от принятой методики начисления амортизационных отчислений и не отражает в полной мере фактического износа основных средств. Аналогично, коэффициент годности не дает точной оценки их текущей стоимости. Это происходит из-за ряда причин: темпа инфляции, состояния конъюктуры и спроса, правильности определения полезного срока эксплуатации основных средств и т.д. Однако не смотря на недостатки, условность показателей изношенности и годности, они имеют определенное аналитическое значение. По некоторым оценкам, значение коэффициента износа более, чем на 50% считается нежелательным. Коэффициент обновления. Показывает, какую часть от имеющихся на конец отчетного периода основных средств составляют новые основные средства. Коэффициент выбытия. Показывает, какая часть основных средств, с которыми предприятие начало деятельность в отчетном периоде, выбыла из-за ветхости и по другим причинам. 20.Анализ финансовой устойчивости Одной из характеристик стабильного положения предприятия служит его финансовая устойчивость . Финансовое положение предприятия считается устойчивым, если оно покрывает собственными средствами не менее 50% финансовых ресурсов, необходимых для осуществления нормальной хозяйственной деятельности, эффективно использует финансовые ресурсы, соблюдает финансовую, кредитную и расчетную дисциплину, иными словами, является платежеспособным. Финансовое положение определяется на основе анализа ликвидности и платежеспособности, а также оценки финансовой устойчивости. Финансовая устойчивость обусловлена как стабильностью экономической среды, в рамках которой осуществляется деятельность предприятия, так и от результатов его функционирования, его активного и эффективного реагирования на изменения внутренних и внешних факторов. Финансовая устойчивость - характеристика, свидетельствующая о стабильном превышении доходов над расходами, свободном маневрировании денежными средствами предприятия и эффективном их использовании, бесперебойном процессе производства и реализации продукции. Финансовая устойчивость формируется в процессе всей производственно-хозяйственной деятельности и является главным компонентом общей устойчивости предприятия. Анализ устойчивости финансового состояния на ту или иную дату позволяет выяснить, насколько правильно предприятие управляло финансовыми ресурсами в течение периода, предшествующего этой дате. Важно, чтобы состояние финансовых ресурсов соответствовало требованиям рынка и отвечало потребностям развития предприятия, поскольку недостаточная финансовая устойчивость может привести к неплатежеспособности предприятия и отсутствию у него средств для развития производства, а избыточная - препятствовать развитию, отягощая затраты предприятия излишними запасами и резервами. Таким образом, сущность финансовой устойчивости определяется эффективным формированием, распределением и использованием финансовых ресурсов. Одна из важнейших характеристик финансового состояния предприятия - стабильность его деятельности в долгосрочной перспективе. Она связана с общей финансовой структурой предприятия, степенью его зависимости от кредиторов и инвесторов. Многие бизнесмены в России предпочитают вкладывать в дело минимум собственных средств, а финансировать его в основном за счет денег, взятых в долг. Показатели финансовой устойчивости характеризуют степень зависимости предприятия от внешних источников финансирования. Однако если структура "собственный капитал - заемные средства" имеет значительный перекос в сторону долгов, предприятие может легко обанкротиться, если несколько кредиторов одновременно потребуют свои деньги обратно в одно и то же время. Финансовая устойчивость предприятия - одна из важнейших характеристик его финансовой деятельности. Финансовая устойчивость - это стабильность деятельности предприятия в долгосрочной перспективе. Анализ финансовой устойчивости компании рекомендуется проводить как коэффициентным методом, так и с помощью анализа показателя "чистых активов". Оценка стоимости чистых активов Показатель стоимости "чистых активов" характеризует степень защищенности интересов кредиторов организации. Кроме того, он является исходной базой при определении доли выходящего из общества участника и стоимости акций компании. В законодательстве об акционерных обществах применяется термин "стоимость чистых активов". С конкретными значениями этого термина связано возникновение, изменение и прекращение соответствующих прав и обязанностей. Так, по окончании второго и каждого последующего финансового года стоимость чистых активов общества окажется меньше уставного капитала, компания должно объявить и зарегистрировать уменьшение своего уставного капитала (п.4 ст. 99 ГК РФ). Если же стоимость указанных активов становится меньше минимального размера уставного капитала (п. 1 ст. 99 ГК РФ), то общество подлежит ликвидации. Далее. Согласно п. 3 ст. 102 ГК РФ АО не вправе объявлять и выплачивать дивиденды: · до полной оплаты всего уставного капитала; · если стоимость его чистых активов меньше уставного капитала и резервного фонда либо станет меньше их размера после выплаты дивидендов. Порядок оценки стоимости чистых активов компании по методике Минфина РФ Чистые активы - это величина, которая определяется путем вычета из суммы активов предприятия, принимаемых к расчету, суммы его долговых обязательств, принимаемых к расчету. Активы , участвующие в расчете, - это денежное и неденежное имущество фирмы, в состав которого включаются по балансовой стоимости следующие статьи: · Внеоборотные активы, отражаемые в первом разделе баланса, кроме балансовой стоимости собственных акций, выкупленных у акционеров; · запасы и затраты, денежные средства, расчеты и прочие активы, показываемые во втором разделе бухгалтерского баланса, за исключением задолженности участников (учредителей) по их вкладам в уставный капитал и балансовой стоимости собственных акций, выкупленных у акционеров. При наличии у компании на конец года оценочных резервов по сомнительны долгам и под обесценение ценных бумаг показатели статей, в связи с которыми они созданы, показываются в расчете с соответствующим уменьшением их балансовой стоимости на стоимость данных резервов. Пассивы , участвующие в расчете, - это обязательства фирмы. В их состав включаются следующие статьи: · статья четвертого раздела бухгалтерского баланса - целевые финансирования и поступления; · статьи пятого раздела баланса - долгосрочные и краткосрочные обязательства банкам и иным юридическим и физическим лицам, расчеты и прочие пассивы, кроме сумм, отраженных по статьям "доходы будущих периодов" и "Фонды потребления". 21.Анализ ликвидности Внешним проявлением финансовой устойчивости выступает платежеспособность. Платежеспособность - это способность предприятия своевременно и полностью выполнить свои платежные обязательства, вытекающих из торговых, кредитных и иных операций платежного характера. Оценка платежеспособности предприятия определяется на конкретную дату. Способность предприятия вовремя и без задержки платить по своим краткосрочным обязательствам называется ликвидностью.Ликвидность предприятия - это способность предприятия своевременно исполнять обязательства по всем видам платежей. Иначе говоря, предприятие считается ликвидным, если оно в состоянии выполнить свои краткосрочные обязательства, реализуя текущие активы. Основные средства (если только они не приобретаются с целью дальнейшей перепродажи), как правило, не являются источниками погашения текущей задолженности предприятия в силу своей специфической роли в процессе производства и, как правило, из-за затруднительных условий их срочной реализации. Предприятие может быть ликвидным в той или иной степени, поскольку в состав текущих активов входят самые разнородные оборотные средства, среди которых имеются как легко реализуемые, так и труднореализуемые. Ликвидность активов - это способность активов трансформироваться в денежные средства, а степень ликвидности определяется продолжительностью временного периода, в течение которого эта трансформация может быть осуществлена. Чем короче период трансформации, тем выше ликвидность активов. В ходе анализа ликвидности решаются следующие задачи: · оценка достаточности средств, для покрытия обязательств, сроки которых истекают в соответствующие периоды; · определение суммы ликвидных средств и проверка их достаточности для выполнения срочных обязательств; · оценка ликвидности и платежеспособности предприятия на основе ряда показателей. В то же время в составе краткосрочных пассивов обычно выделяются обязательства различной степени срочности. Отсюда одним из способом оценки ликвидности на стадии предварительного анализа является сопоставление определенных элементов актива и пассива между собой. С этой целью обязательства предприятия группируются по степени их срочности, а его активы - по степени ликвидности (скорости возможной реализации). Так, наиболее срочные обязательства предприятия (срок оплаты которых наступает в текущем месяце) сопоставляются с величиной активов, обладающих максимальной ликвидностью (денежные средства, легко реализуемые ценные бумаги). При этом часть срочных обязательств, остающихся необеспеченными, должна уравновешиваться менее ликвидными активами - дебиторской задолженностью предприятий с устойчивым финансовым положением, легко реализуемыми запасами товарно-материальных ценностей. Прочие краткосрочные обязательства соотносятся с такими активами, как дебиторы, готовая продукция, производственные запасы и др. Ликвидность означает способность предприятия переводить активы предприятия в ликвидные средства (наличные и безналичные денежные средства), при этом процесс перевода активов в ликвидные средства может происходить как с потерей, так и без потери балансовой стоимости активов, то есть скидками с цены. В настоящее время существует два подхода определению ликвидности. Первый состоит в отождествлении ликвидности и платежеспособности, при этом под платежеспособностью предприятия подразумевается его способность погасить краткосрочную задолженность своими средствами. Второй подход определяет возможность реализации материальных и других ценностей для превращения их в денежные средства, при этом все имущество по степени ликвидности подразделяют на четыре группы: · первоклассные ликвидные средства - все виды денежных средств (наличные и безналичные); · быстрореализуемые активы - краткосрочные финансовые вложения (ценные бумаги со сроком погашения до 12 месяцев), вложения, для обращения которых в денежные средства требуется определенное время, в эту группу активов включаются дебиторская задолженность, платежи по которой ожидаются в течение 12 месяцев после отчетной даты, прочие оборотные активы; · среднереализуемые активы - долгосрочные финансовые вложения (все остальные ценные бумаги), запасы сырья, материалов, малоценные и быстроизнашивающиеся предметы, незавершенное производство, дебиторская задолженность, платежи по которой ожидаются более чем через 12 месяцев после отчетной даты, прочие запасы и затраты; · труднореализуемые или неликвидные активы - имущество, предназначенное для текущей хозяйственной деятельности (нематериальные активы, основные средства и оборудование к установке, капитальные и долгосрочные финансовые вложения, то есть итог раздела 1 актива баланса). Ликвидность - одна из важнейших характеристик финансового состояния фирмы, определяющая возможность предприятия своевременно оплачивать счета и фактически является одним из показателей банкротства. Для оценки платежеспособности предприятия используется три относительных показателя, различающиеся набором ликвидных активов, рассматриваемых в качестве покрытия краткосрочных обязательств. Коэффициент абсолютной (мгновенной) ликвидности отражает способность предприятия выполнять краткосрочные обязательства за счет свободных денежных средств и краткосрочных финансовых вложений, быстро реализуемых в случае надобности. Краткосрочные обязательства корректируются на статьи "Доходы будущих периодов", "Резервы предстоящих расходов и платежей", а также "Фонды потребления".
ДС - денежные средства, КФВ - краткосрочные финансовые вложения, ТП - скорректированные текущие пассивы. Основным фактором повышения уровня абсолютной ликвидности является равномерное и своевременное погашение дебиторской задолженности. Этот коэффициент показывает, какая часть краткосрочных заемных обязательств может быть при необходимости погашена немедленно. Рекомендуется проводить анализ динамики данных показателей, дополняя его сравнительным анализом материалов по предприятиям, имеющим аналогичную ориентацию своей хозяйственной деятельности. Коэффициент быстрой ликвидности показывает, какую часть текущей задолженности организация может покрыть в ближайшей перспективе при условии полного погашения дебиторской задолженности. При расчете данного показателя основным вопросом является разделение текущих активов на ликвидную и трудноликвидную части. Этот вопрос в каждом конкретном случае требует отдельного исследования, т.к. к ликвидной части можно безоговорочно можно отнести лишь денежные средства. Показатель исчисляется по более узкому кругу текущих активов, когда из расчета исключены производственные запасы. Дело здесь не только в значительно меньшей ликвидности запасов, но и в том, что денежные средства, которые можно выручить в случае вынужденной реализации производственных запасов, могут оказаться существенно ниже затрат по их приобретению. В условиях рыночной экономики типичной является ситуация, когда при ликвидации предприятия выручают 40% и менее от учетной стоимости запасов. Анализируя динамику этого коэффициента, следует обращать внимание и на факторы, обусловившие его изменение. Если рост коэффициента быстрой ликвидности был связан в основном с ростом неоправданной дебиторской задолженности, то это не характеризует деятельность предприятия с положительной стороны. Коэффициент быстрой ликвидности равен сумме денежных средств, расчетов и прочих активов, деленной на сумму текущих обязательств.
где ДЗ - дебиторская задолженность. Для повышения уровня текущей ликвидности необходимо способствовать росту обеспеченности запасов собственными оборотными средствами, для чего следует увеличивать собственные оборотные средства и обоснованно снижать уровень запасов. Коэффициент текущей ликвидности показывает платежные возможности организации при условии погашения краткосрочной дебиторской задолженности и реализации имеющихся запасов.
где ТА - текущие активы, ТП - скорректированные текущие пассивы. 22.Цели, методы и содержание анализа финансовых результатов деятельности предприятия Основной целью финансового анализа является получение небольшого числа ключевых параметров, дающих объективную и точную картину финансового состояния предприятия, его прибылей и убытков, изменений в структуре активов и пассивов, в расчетах с дебиторами и кредиторами. При этом аналитика и менеджера может интересовать как текущее финансовое состояние предприятия, так и его проекция на ближайшую или более отдаленную перспективу, т.е. ожидаемые параметры финансового состояния. Цели анализа достигаются в результате решения определенного взаимосвязанного набора аналитических задач. Аналитическая задача представляет собой конкретизацию целей анализа с учетом организационных, информационных, технических и методических возможностей проведения анализа. Оценка финансовой деятельности предприятия осуществляется на основе бухгалтерской отчетности. Дедуктивный метод (изучение от общего к частному) является основным при чтении (анализе) финансовых отчетов. Он должен применяться многократно. В ходе такого анализа как бы воспроизводится историческая и логическая последовательность хозяйственных факторов и событий, направленность и сила влияния их на результаты деятельности. Практика финансового анализа выработала следующие шесть основных правил чтения (методику анализа) финансовых отчетов. Правило 1. Горизонтальный анализ — сравнение каждой позиции отчетности с предыдущим периодом; Правило 2. Вертикальный анализ — определение структуры итоговых финансовых показателей с выявлением влияния каждой позиции отчетности на результат в целом; Правило 3. Трендовый анализ — сравнение каждой позиции отчетности с рядом предшествующих периодов и определение тренда, т.е. основной тенденции динамики показателя, очищенной от случайных влияний и индивидуальных особенностей отдельных периодов. С помощью тренда формируют возможные значения показателей в будущем, и, следовательно, ведется перспективный прогнозный анализ; Правило 4. Анализ относительных показателей — расчет отношений между отдельными позициями отчета или позициями разных форм отчетности, определение взаимосвязей показателей; Правило 5. Сравнительный анализ — анализ, который включает как межхозяйственный анализ показателей данной фирмы с показателями конкурентов, со среднеотраслевыми и средними хозяйственными данными, так и внутрихозяйственный анализ сводных показателей отчетности по отдельным показателям фирмы, дочерних фирм, подразделений и пр.; Правило 6. Факторный анализ — анализ влияния отдельных факторов на результативный показатель с помощью детерминированных или стохастических приемов исследования. Причем факторный анализ может быть как прямым, когда результативный показатель дробят на составные части, так и обратным (синтез), когда его отдельные элементы соединяют в общий результативный показатель. Финансовый анализ является частью общего, полного анализа хозяйственной деятельности, который состоит из двух тесно взаимосвязанных разделов:
Финансовый анализ подразделяется на внешний и внутренний. Особенностями внешнего финансового анализа являются:
Финансовый анализ, основывающийся на данных только бухгалтерской отчетности, приобретает характер внешнего анализа, проводимого за пределами предприятия его заинтересованными контрагентами, собственниками или государственными органами. Этот анализ не позволяет раскрыть всех секретов успеха фирмы. Основное содержание внешнего финансового анализа, осуществляемого партнерами предприятия, по данным публичной финансовой отчетности, составляют:
Существует многообразная экономическая информация о деятельности предприятий и множество способов анализа этой деятельности. Финансовый анализ по данным финансовой отчетности называют классическим способом анализа. Внутренний (внутрихозяйственный) финансовый анализ использует в качестве источника информации данные бухгалтерского учета, данные о технической подготовке производства, нормативную и плановую информацию и др. Основное содержание внутрихозяйственного финансового анализа может быть дополнено и другими аспектами, имеющими значение для оптимизации управления:
В системе управленческого (производственного) анализа появляется возможность проведения комплексного экономического анализа и оценки эффективности хозяйственной деятельности за счет привлечения данных управленческого производственного учета. Особенностями управленческого анализа являются:
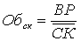
23. Деловая активность предприятия в финансовом аспекте проявляется прежде всего в скорости оборота его средств. Рентабельность предприятия отражает степень прибыльности его деятельности. Анализ деловой активности и рентабельности заключается в исследовании уровней и динамики разнообразных финансовых коэффициентов оборачиваемости и рентабельности, которые являются относительными показателями финансовых результатов деятельности предприятия. Коэффициенты деловой активности позволяют проанализировать, на сколько эффективно предприятие использует свои средства. Коэффициенты могут выражаться в днях, а также в количестве оборотов того либо иного ресурса предприятия за анализируемый период. Наверх Показатель фондоотдачи характеризует количество выручки от реализации, приходящейся на рубль основных фондов.Формула расчета показателя фондоотдачи выглядит следующим образом:
где ВР - выручка от реализации, ОС - среднегодовая стоимость основных средств По данным баланса эту величину можно получить следующим образом: с. 010 (ф.2)/с. 120(ф.1) При рассмотрении показателя фондоотдачи как и любого другого, следует помнить, что его величина зависит от характера деятельности предприятия и нельзя, например, сказать, что фонды одного предприятия более, либо менее "рентабельны" в смысле фондоотдачи. Так, например, если предприятие практически не имеет собственных основных средств на балансе, а берет их в аренду, то, следовательно фондоотдача по собственным основным средствам у него будет гораздо выше, чем у предприятия - арендодателя. В таком случае было бы правильнее анализировать стоимость основных фондов, учитывая и находящиеся на забалансовых счетах. Наверх Оборачиваемость средств в рассчетах Увеличение оборачиваемости средств в расчетах на предприятии характеризуется как положительная тенденция, когда снижение оборачиваемости может говорить либо о снижении объема продаж, либо о снижении спроса на продукцию, либо же об росте дебиторской задолженности. Формула расчета оборачиваемости средств в расчетах выглядит следующим образом:
где ВР - выручка от реализации, ДЗ - средняя величина дебиторской задолженности Данный показатель рассчитывается в оборотах. Если для анализ необходимо получить значение показателя в днях, то 365 дней необходимо разделить количество оборотов. Наверх Оборачиваемость запасов - показатель, характеризующий скорость потребления или реализации сырья или запасов. На практике часто складывается ситуация, когда менеджеры-провизоры, опасаясь возможной нехватки товара и «недозарабатывания», создают избыточные запасы, чтобы подстраховаться, не задумываясь, что это приводит к излишним расходам, «замораживанию» средств и сокращению прибыли. Грамотный руководитель избегает больших запасов с низкой оборачиваемостью, предпочитая высвобождать ресурсы путем ускорения оборачиваемости товара. Разумеется, идеальной была бы работа «с колес», без всякого хранения. Однако такая торговля лекарственными средствами и изделиями медицинского назначения в связи с широким ассортиментом и большим количеством производителей и поставщиков невозможна. Поэтому на предприятиях сознательно идут на «замораживание» некоторого объема оборотных средств в товарных остатках. Оборачиваемость запасов, таким образом, является важным критерием и подлежит тщательному анализу. Итак, показаетель оборачиваемости запасов очень важен при анализе. Теперь посмотрим как выглядит формула его расчета (в обоих случаях коэффициент рассчитан в оборотах за анализируемый период - чтоб рассчитать коэффициент оборачиваемости в днях см. аналогичиный пункт: оборачиваемость средств в расчетах):
где, ВР - выручка от реализации, ЗЗ - средняя стоимость запасов и затрат. Показатель оборачиваемости запасов и затрат также может быть рассчитан и по формуле, где в числителе находится себестоимость их реализации:
Если полученный коэффициент слишком высок (по сравнению с предыдущим периодом или со средними данными), это может указывать на недостаточность запасов. Если же коэффициент слишком низок, то это может означать, что товарные запасы велики или не пользуются спросом. Например, коэффициент, равный 3, означает, что данный товар или группа товаров в течение месяца оборачивается 3 раза. Для повышения оборачиваемости запасов можно использовать следующие методы: 1. Снижение запасов проудкции на складе. Наверх Оборачиваемость кредиторской задолженности Оборачиваемость кредиторской задолженности - показатель, связывающий сумму денег, которую организация должна вернуть кредиторам (в основном, поставщикам) к определенному сроку, и текущую величину закупок либо приобретенных у кредиторов товаров/услуг. Как правило, данный показатель бывает выражен в календарных днях, характеризующих средний срок оплаты за товары и/или услуги, приобретенные в кредит. Высокая доля кредиторской задолженности снижает финансовую устойчивость и платежеспособность организации, однако кредиторская задолженность, если эта задолженность поставщикам и подрядчикам "дает" предприятию возможность пользоваться "бесплатными" деньгами на время ее существования. Выгоду предприятия в этом случае рассчитать нетрудно: она заключается в разности величины процентов по кредиту равному сумме этой задолженности (если бы предприятие брало эти деньги в банке под проценты), за время пребывания задолженности на балансе предприятия, и величины этой кредиторской задолженности. То есть, прибыль предприятия - то, сколько бы пришлось заплатить банку по процентам за кредит за предоставление данной суммы на данный срок. Существует даже внегласное "золотое правило" экономистов - "Если возможно не отдавать деньги на сколько можно долго и без последствий, то лучше их не отдавать" :). Формула оборачиваемости кредиторской задолженности (в днях) представлена ниже:
где КЗ - средняя кредиторская задолженность * интервал анализа, СР - себестоимость реализации, либо выручка от реализации Анализ кредиторской в свою очередь необходимо дополнить анализом дебиторской задолженности, который проводится по аналогичной схеме. Если же оборачиваемость дебиторской задолженности выше (то есть коэффициент - меньше) оборачиваемости кредиторской, то это является положительными фактором. Наверх Оборачиваемость собственного капитала Скорость оборота собственного капитала отражает активность использования денежных средств. Низкое значение этого показателя свидетельствует о бездействии части собственных средств. Увеличение оборачиваемости говорит о том, что собственные средства предприятия вводятся в оборот Формула расчета показателя выглядит так:
Наверх Продолжительность операционного цикла Операционный цикл равен времени между закупкой сырья и материалов или товаров и получением выручки от реализации продукции.
При снижении операционного цикла при прочих равных условиях снижается время между закупкой сырья и полочением выручки, вследствие чего растет рентабельность. Соответственно снижение данного показателя в днях благоприятно характеризует деятельность организации Наверх Продолжительность финансового цикла Финансовый цикл - начинается с момента оплаты поставщикам материалов (погашение кредиторской задолженности), заканчивается в момент получения денег от покупателей за отгруженную продукцию (погашение дебиторской задолженности).
где ОЦпрод - продолжительность операционного цикла (в днях), Об кз - Оборачиваемость кредиторской задолженности (в днях) 24.Управление внеоборотными активами В состав внеоборотных активов входят основные средства, нематериальные активы, долгосрочные финансовые вложения и капитальные вложения. Долгосрочные инвестиции предприятия могут включать следующие виды инвестиций: инвестиции в различного вида ценные бумаги, как дающие право собственности, так и долговые обязательства других компаний; инвестиции в материальные и нематериальные необоротные активы; инвестиции, Инвестиции в ценные бумаги представляют собой помещение капитала в юридически самостоятельные предприятия на длительный срок (минимально более года) либо для получения дополнительной прибыли, либо для приобретения влияния на другие предприятия, либо в связи с тем, что подобное вложение средств более выгодно по сравнению с организацией собственных операций в этой области. Считается, что если предприятие-инвестор владеет менее 20% акций другого предприятия, то оно не оказывает существенного влияния или контроля на предприятие, акции которого приобретаются. Если предприятие владеет от 20 до 50% акций другого предприятия, то оно, как предприятие-инвестор, оказывает существенное влияние на то предприятие, акции которого приобретаются, однако не имеет возможности контролировать деятельность последнего. Значительное влияние проявляется в том, что предприятие-инвестор способно участвовать в принятии решений о деятельности предприятия, в которое вложены средства, а его представители могут входить в состав совета директоров предприятия - объекта инвестирования. Если предприятие владеет более чем 50% акций другого предприятия, считается, что инвестор владеет контрольным пакетом акций и имеет возможность контролировать деятельность предприятия - объекта инвестирования, т.е. принимать решения по вопросам его финансово-хозяйственной деятельности. Предприятие-инвестор рассматривается в качестве головного предприятия, а предприятие - объект инвестирования - как дочернее предприятие. Инвестиции в материальные активы. К таким вложениям относятся инвестиции в основные средства. Они имеют реальную форму существования и относятся к средствам длительного пользования. В эту категорию включаются земля, здания и сооружения, машины и оборудование, транспорт и др. На все реальные основные средства начисляется амортизация. Выбор метода амортизации имеет для финансового менеджмента большое значение, поскольку он влияет на основные финансовые пропорции предприятия, на его чистую прибыль и денежный оборот, на внутреннюю структуру финансирования. Основными методами амортизации являются: 1) метод равномерного прямолинейного списания (линейный метод); 2) метод амортизации исходя из выработки амортизируемого объекта (производственный метод); 3) методы ускоренной амортизации: метод суммы лет и уменьшающегося остатка (метод остаточной стоимости); 4) специальные методы амортизации. 1. Метод равномерного прямолинейного списания. Стоимость объекта списывается равными долями в течение всего периода его эксплуатации. 2. Метод амортизации исходя из выработки амортизируе мого объекта. Полезность объекта оценивается на основе его суммарной выработки за весь период эксплуатации в соответствующих единицах измерения (количество выработанной продукции, отработанных часов, километров пробега и т.д.). Амортизация объекта 1-го года эксплуатации рассчитывается по формуле:
где С - себестоимость амортизируемого объекта внеоборотных активов в год приобретения (первоначальная стоимость); Лп — ликвидационная стоимость в последнем n-м году эксплуатации; Пi - выработка объекта в i-м году; Σ П i - суммарная выработка за весь период эксплуатации; п - общее количество лет эксплуатации объекта. 3. Методы ускоренной амортизации. Суть методов состоит в том, что в первые годы использования внеоборотных активовсписывается основная часть их первоначальной стоимости. Это мотивируется следующим: 1) наибольшая интенсивность использования внеоборотных активов приходится на первые годы их эксплуатации, когда они морально и физически еще новые; 2) создается резерв для замены амортизируемого объекта в случае его быстрого морального устаревания; 3) обеспечивается возможность увеличения доли расходов на ремонт амортизируемых объектов в последние годы их использования без увеличения издержек производства. Метод суммы лет. Сумма лет - это сумма, полученная от сложения порядковых номеров тех лет, в течение которых функционирует объект:
Годовая сумма амортизационных отчислений определяется по формуле:
Метод остаточной стоимости. В качестве нормы амортизации используется норма амортизации, рассчитанная по методу равномерного прямолинейного списания, умноженная на определенный коэффициент. Для активной части внеоборотных активов чаще всего используется коэффициент 2. Годовая сумма амортизационных отчислений может быть определена по формуле:
где 2Na - удвоенная норма ежегодной амортизации, исчисленной по методу равномерного прямолинейного списания; ΣА - сумма накопленной амортизации объекта на начало отчетного года. 4. Специальные методы амортизации. Это методы, использование которых обусловлено особенностями амортизируемых объектов, отраслевой спецификой, необходимостью предоставления дополнительных налоговых льгот. 25.Управление оборотными активами Оборотными средствами(текущими, оборотными активами) являются активы, которые могут быть обращены в наличность в течение одного года. Оборотный капитал (чистый оборотный капитал, собственные оборотные средства) определяется как разность между оборотными (текущими) активами и краткосрочными (текущими) обязательствами. В состав оборотных средств входят товарно-материальные запасы, дебиторская задолженность, краткосрочные финансовые вложения (ценные бумаги), денежные средства. Особенностью инвестирования в оборотные средства
является не только продолжительность срока эксплуатации оборотных активов (один год), но и дробность состава, которая влечет за собой дробность инвестирования. Эти особенности Эффективное управление оборотными средствами важно для компании по следующим причинам: 1) величина оборотных средств у большинства компаний составляет больше половины всех ее активов; 2) решение вопросов, связанных с оборотными средствами, является непрерывным процессом и требует, в отличие от | других сфер деятельности финансового директора, большего количества времени. Сумма, инвестируемая в каждую из позиций оборотных активов, может ежедневно изменяться и должна тщательно контролироваться для обеспечения наиболее продуктивного использования денежных средств; 3) оптимальное управление оборотными средствами ведет к увеличению доходов и снижает риск дефицита денежных средств компании; 4) правильное управление оборотными средствами позволит максимизировать норму прибыли и минимизировать свою ликвидность и коммерческий риск. Основные задачи финансового менеджера в области управления оборотными средствами: • определить правильную структуру активов; • стремиться иметь минимально возможную величину товарно-материальных запасов. Обеспечивать своевременные оптимальные объемы заказов; • своевременно получать деньги у покупателей и заказчиков. Ускорять приток денежных средств; • отсрочивать платежи. Замедлять отток денежных средств; • увеличивать объем продаж; • разработать подходящую для предприятия инвестиционную стратегию. Управление оборотными средствами включает управление товарно-материальными запасами, дебиторской задолженностью, денежными средствами и краткосрочными вложениями (ценными бумагами). Управление оборотным капиталом охватывает управление оборотными средствами и краткосрочными обязательствами. Управление оборотным капиталом означает регулирование величины различных типов оборотных активов и краткосрочных обязательств. 26. Управление производственными запасами Материально-производственные запасы ‑ это материальные активы, которые предназначены для продажи в течение обычного делового цикла, производственного потребления внутри предприятия, производственного потребления в целях изготовления впоследствии реализуемой продукции. В составе материально-производственных запасов в отчетности должны быть отражены: готовая продукция, незавершенное производство, сырье и материалы. Материально-производственные запасы являются наименее ликвидной статьей среди статей оборотных актинов. Эффективное управление предприятием во многом зависит от анализа и управления материально-производственными запасами. Это связано с тем, что они могут составлять значительный удельный вес не только в составе оборотных активов, но и в целом в активах предприятия. Нарушение оптимального уровня материально-производственных запасов приводит к убыткам в деятельности предприятия, поскольку увеличивает расходы по хранению этих запасов; отвлекает из оборота ликвидные средства; увеличивает опасность обесценения этих товаров и снижения их потребительских качеств; приводит к потере клиентов, если это вызвано нарушением каких-либо характеристик товаров и так далее; приводит к ухудшению финансового положения предприятия. Для финансового управления предприятием важное значение имеет правильный выбор метода оценки фактической себестоимости материально-производственных запасов, уже находящихся в переработке и еще остающихся на складе. Для этих целей используются следующие методы оценки запасов: 1) по себестоимости каждой единицы закупаемых товаров; 2) по средней себестоимости, в частности по средневзвешенной средней и по скользящей средней; 3) по себестоимости первых по времени закупок‑ ФИФО; 4) по себестоимости последних по времени закупок ‑ ЛИФО. Все методы оценки материально-производственных запасов приводят к существенно различным показателям чистой прибыли компании. Выбор метода оценки осуществляется предприятием самостоятельно, исходя из особенностей его финансово-хозяйственной деятельности. Управление товарно-материальными запасами связано с компромиссом между расходами по содержанию товарно-материальных запасов и прибылью от владения ими. Товарно-материальные запасы различаются по стоимости, доходности, величине занимаемых площадей. С одной стороны, величина запасов сказывается на стоимости их хранения, страхования от несчастного случая и воровства, повышенного налогообложения, на увеличении производственных мощностей, обслуживающего персонала, и т.д. С другой стороны, увеличение товарно-материальных запасов снижает риск замедления производства, вызванного недостаточными товарно-материальными запасами, или снижает риск от потерь, связанных с упущенной возможностью реализации товаров из-за их отсутствия на складе. Кроме того, большие объемы закупок приводят к увеличению скидок с продаж. Для эффективного управления производственными запасами необходимо найти оптимальный объем финансовых ресурсов, инвестированных в них и минимизировать общие издержки, связанные с их хранением и эксплуатацией. В теории управления запасами разработаны специальные модели для определения объема одной партии заказа и частоты заказов. Одна из самых распространенных моделей может быть представлена следующими формулами. Стоимость содержания производственных запасов определяется: где СХ - стоимость содержания;
СХЕ - стоимость хранения единицы производственных запасов. Стоимость заказа производственных запасов ‑ это стоимость размещения заказа и получения производственного запаса. Она включает в себя транспортные и конторские расходы, связанные с размещением заказа. Для минимизации расходов по размещению заказов следует свести количество размещаемых заказов к минимуму. Стоимость размещения заказа составляет:
гдеСР - стоимость размещения заказа; П - общее потребление; КЗ - количество одного заказа; СРЕ - стоимость размещения одного заказа. Общая стоимость затратна заказ и хранение составляет:
Экономически обоснованный объем заказа является оптимальным стоимостным выражением величины производственных запасов, которую необходимо заказывать каждый риз и которая обеспечивает оптимальное сочетание расходов на заказ и хранение производственных запасов. Экономически обоснованный объем заказа рассчитывается по следующей формуле:
где ЭОО - экономически обоснованный заказ (объем партии); П - общая потребность в сырье на период в единицах; СРЕ - стоимость выполнения (размещения) одной партии заказа; СХЕ - затраты по хранению единицы сырья. В управлении производственными запасами важную роль играет оценка оборачиваемости производственных запасов. Основным показателем является - время обращения в днях. Этот показатель рассчитывается делением среднего за период остатка запасов на однодневный оборот запасов в этом же периоде. Ускорение оборачиваемости сопровождается дополнительным вовлечением средств в оборот, а замедление - отвлечением средств из хозяйственного оборота, иммобилизацией собственных оборотных средств, замораживанием средств в запасах и т.д. Важное значение для управления производственными запасами имеет контроль и ревизия залежалых и неиспользуемых товаров. При этом необходимо выделить группы таких товаров и определить направления их возможного использования или реализации. Эффективное управление невозможно так же без анализа использования (недостач и потерьот порчи) товарно-материальных ценностей. Необходимо изучить состав и причины образования потерь, установить конкретных виновников для взыскания с них причиненного ущерба. Одним из элементов управления является проверка и контроль за условиями хранения ценностей, обеспечением их сохранности по количеству, квалификацией материально ответственных лиц, правильной организацией бухгалтерского и складского учета товарно-материальных ценностей, соблюдением правил проведения инвентаризаций и выявления их результатов. 27.Управление дебиторской задолженностью Дебиторской задолженностью называются средства, причитающиеся фирме, но еще не полученные ею. В составе оборотных средств отражается дебиторская задолженность, срок погашения которой не превышает одного года. Дебиторская задолженность может быть представлена следующими статьями: дебиторская задолженность по основной деятельности и дебиторская задолженность по прочим операциям. Дебиторская задолженность по основной деятельности отражается в статьях «Счета к получению» и «Векселя полученные». Счета к получению возникают тогда, когда сделка оформляется путем простой записи стоимости проданных в кредит, товаров и услуг по так называемому «открытому счету» без письменного обязательства уплаты долга заемщиком. Вексель полученный - это письменное обязательство уплаты денег на определенную дату, состоящее из номинала и процента. К дебиторской задолженности по прочим операциям относятся такие статьи, как авансы служащим, авансы филиалам, депозиты как гарантия долга, дебиторская задолженность по финансовым операциям (дебиторская задолженность по дивидендам и процентам) и др. В странах с развитой рыночной экономикой дебиторская задолженность учитывается в балансе по чистой стоимости реализации, т.е. исходя из той суммы денежных средств, которая предположительно должна быть получена при погашении этой задолженности. Чистая стоимость реализации означает, что при регистрации дебиторской задолженности учитываются безнадежные поступления и различного рода скидки. Безнадежные поступления по дебиторской задолженности - это убытки или расходы, обусловленные тем, что часть дебиторской задолженности оказывается не оплаченной покупателями. На момент реализации продукции предприятие не располагает информацией о том, какая часть счетов не будет оплачена. Поэтому при оценке дебиторской задолженности начисляется определенная скидка для этих поступлений. Управление дебиторской задолженностью предполагает, прежде всего, контроль за оборачиваемостью средств в расчетах. Ускорение оборачиваемости является положительной тенденцией экономической деятельности предприятия, Ускорение оборачиваемости может быть достигнуто благодаря отбору потенциальных покупателей, определению условий оплаты, контролю за сроками погашения дебиторской задолженности и воздействию на дебиторов. Отбор покупателей осуществляется благодаря анализу соблюдения их платежной дисциплины в прошлом, анализу их текущей платежеспособности, анализу уровня их финансовой устойчивости и анализу других финансовых показателей, характеризующих финансовое состояние предприятия - покупателя. Определение условий оплаты товаров покупателями заключается в том, что покупателю устанавливаются границы сроков оплаты товаров: оплатили раньше - получили скидку по оплате товаров, оплатили в срок - потеряли предоставляемую скидку, оплатили позднее срока - платите штраф. Контроль за сроками погашения дебиторской задолженности включает в себя ранжирование дебиторской задолженности по срокам ее возникновения. Наиболее распространенная классификация предусматривает следующую группировку дебиторской задолженности в днях: до 30 дней, от 30 до 60 дней, от 60 до 90 дней, от 90 до 120 дней, более 120 дней. Наиболее распространенными способами воздействия на дебиторов с целью погашения задолженности являются направление писем, телефонные звонки, персональные визиты, продажа задолженности специальным организациям. Управление дебиторской задолженностью подразумевает обязательное проведение сравнительного анализа величины дебиторской задолженности с величиной кредиторской задолженности. Для финансового положения компании очень важно, чтобы дебиторская задолженность не превышала кредиторскую. Управление дебиторской задолженность заключается также в создании резервов по сомнительным долгам и анализе фактических потерь, связанных с непогашенном дебиторской задолженности. 28. Управление денежными средствами и их эквивалентами Денежные средства используются для текущих денежных платежей. Денежные средства, не предназначенные для текущих платежей и на расходование которых установлены определенные ограничения, не включаются в состав оборотных активов. Денежные средства - это монеты, банкноты, депозиты в банках. Денежными средствами считаются также банковские переводные векселя, денежные переводы, чеки кассиров и чеки, удостоверенные банком, чеки, выданные отдельными лицами, счета сбережении и др. К ликвидным ценностям, примыкающим к денежным средствам, относятся также легко реализуемые ценные бумаги, приносящие владельцу доход в виде процента или дивиденда. Эти бумаги в случае необходимости могут быть легко реализованы на рынке ценных бумаг и превращены в наличность. Покупка ценных бумаг производится не с целью завоевания рынков сбыта или распространения влияния на другие компании. Она осуществляется в интересах выгодного помещения временно свободных денежных средств. Легко реализуемые ценные бумаги приобретаются компаниями на тот период времени, в течение которого не потребуются денежные средства для погашения текущих обязательств или других текущих платежей. Легко реализуемые ценные бумаги подразделяются на краткосрочные свидетельства, долгосрочные обязательства и ценные бумаги, дающие право собственности. Управление денежными средствами состоит в определении оптимальной суммы денежной наличности. Это одна из важнейших задач финансового менеджмента и финансового менеджера. Оптимальная для предприятия сумма денежной наличности определяется под влиянием противоположных тенденций. С одной стороны, деловая репутация фирмы и возможные конъюнктурные осложнения обязывают предприятие иметь определенный денежный запас, в частности это необходимо для своевременного погашения текущих обязательств, оплаты труда, развития производства и т.д. Отсутствие денежных средств может привести предприятие к банкротству. С другой стороны, большая сумма свободных денежных средств осложняет проблему учета и контроля за их движением, увеличивает опасность обесценения свободные денежных средств, увеличивает потери от инфляции, увеличивает потерю упущенных возможностей от их использования. Существует целый ряд математических моделей, разработанных в помощь финансовому менеджеру при определении оптимальной суммы денежной наличности. Модель, созданная Уильямом Баумолем, поможет определить оптимальную сумму денежных средств для компании в определенных условиях. Ее целью является минимизировать сумму постоянных затрат по сделкам или возможные расходы (упущенную выгоду) по содержанию остатков денежных средств, которые не приносят дохода:
где F - фиксированные затраты по сделке; Т - общая сумма денежных средств, необходимых на данный период; i - процентная ставка рыночных ценных бумаг; С - остаток денежных средств. Оптимальная сумма денежных средств (С*) определяется по формуле:
Существует также модель регулирования денежных операций, когда денежные выплаты являются неопределенными. Модель Миллера - Орра устанавливает верхний и нижний пределы для остатка денежных средств. Когда достигается верхний предел, производится перевод денежных средств в рыночные ценные бумаги; когда достигается нижний предел, переводят ценные бумаги в денежные средства, никаких сделок не происходит, пока остаток денежных средств находится в этих пределах. Факторы, которые необходимо учитывать, используя модель Миллера-Орра: фиксированные расходы, связанныесо сделкой с ценными бумагами ( F), предполагаемыми равными как для покупки, так и для продажи; ежедневная ставка дохода но рыночным ценным бумагам (I); и изменяемость ежедневного чистого движения ликвидности (б2 ). Контрольными пределами в формуле Миллера - Орра являются: верхний предел – «d» долларов; нижний предел – «0» долларов. Оптимальные кассовые остатки денежных средств рассчитываются:
Оптимальное значение в определяется как 3z. Средний остаток денежных средств приближенно рассчитывается как 29. Политика выплаты дивидендов Дивиденды представляют собой денежный доход акционеров. Источниками выплаты дивидендов выступают: чистая прибыль отчетного периода, нераспределенная прибыль прошлых периодов и специальные фонды, созданные для этой цели (используемые для выплаты дивидендов по привилегированным акциям в случае недостаточности прибыли или убыточности общества). Поэтому теоретически предприятие может выплатить общую сумму текущих дивидендов в размере, превышающем прибыль отчетного периода. Однако базовым является вариант распределения чистой прибыли текущего периода. Схема распределения прибыли отчетного периода выглядит так: часть прибыли выплачивается в виде дивидендов, а оставшаяся часть реинвестируется в активы предприятия. Реинвестированная часть прибыли является внутренним источником финансирования деятельности предприятия. Реинвестирование прибыли ‑ более приемлемая и относительно дешевая форма финансирования предприятия, расширяющего свою деятельность. Реинвестирование прибыли позволяет избежать дополнительных расходов, которые имеют место при выпуске новых акций. Дивидендная политика определяет размер привлекаемых предприятием внешних источников финансирования и одновременно долю средств, отвлекаемых от реинвестирования для выплаты дивидендов. При прочих равных условиях, чем большая часть прибыли расходуется на выплату дивидендов, тем меньше средств может быть реинвестировано в компанию, тем медленнее темпы ее роста и проблематичнее рост курсовой стоимости ее акций. Инвесторы обычно выбирают компанию, дивидендная политика которой в наибольшей степени соответствует их целям инвестирования. Поэтому изменение дивидендной политики способно вызвать большее неудовлетворение акционеров, чем низкий уровень дивидендов. Таким образом, стабильность дивидендной политики является одним из наиболее важных факторов, который влияет на отношение инвесторов к компании 30.Виды дивидендной политики предприятия Наиболее типичные виды дивидендной политики представлены ниже. Политика фиксированных дивидендных выплат (стабильной суммы выплачиваемых дивидендов на одну акцию). Предусматривается регулярная выплата дивидендов на акцию в неизменном размере в течение продолжительного времени безотносительно к изменению курсовой стоимости акций. Такая политика означает низкий риск для акционеров, постоянство получаемых ими дивидендных доходов и достаточно высокую ликвидность ценных бумаг компании. Политика постоянного процента дивидендных выплат (постоянной доли выплачиваемых дивидендов). Предусматривается сохранение на определенном уровне доли выплачиваемых дивидендов. Одним из основных аналитических показателей, характеризующих дивидендную политику, является коэффициент «дивидендный выход», представляющий собой отношение дивиденда по обыкновенным акциям к прибыли, доступной владельцам обыкновенных акций (в расчете на одну акцию). Принятие дивидендной политики постоянного процента дивидендных выплат предполагает неизменность значения коэффициента «дивидендный выход»:
где ПОА - прибыль, доступная владельцам обыкновенных акций, равная чистой прибыли за вычетом выплат по привилегированным акциям, которая распределяется решением собрания акционеров на дивидендные выплаты по обыкновенным акциям и нераспределенную прибыль; ДОА - дивидендные выплаты по обыкновенным акциям. Однако при изменении абсолютной суммы чистой прибыли изменяется и сумма выплачиваемых дивидендов. В особенно неблагоприятные годы дивиденды могут существенно упасть или вообще не выплачиваться. Такая политика не приводит к росту курсовой стоимости акций, поскольку большинство акционеров обычно отрицательно относится к изменчивости суммы выплачиваемых дивидендов. Политика компромиссного подхода к дивидендным выплатам (компромиссная политика). Компромиссным подходом является поиск золотой середины между двумя указанными выше типами дивидендной политики. Так, компания выплачивает какой-то определенный стабильный (фиксированный) дивиденд, а в благоприятные годы ‑ своеобразную надбавку (экстра-дивиденды). Это позволяет фирме сочетать гибкость в выплате дивидендов с уверенностью акционеров в получении стабильного дохода. Однако такая политика имеет смысл только в случае, если прибыль компании существенно варьируется из года в год. Кроме того, надбавки не должны выплачиваться регулярно, иначе они будут противоречить сути данного подхода. Политика выплаты дивидендов в зависимости от инвестиционных решений (выплата дивидендов по остаточному принципу). Используется компаниями, инвестиционные возможности которых не стабильны. В этом случае финансовый менеджер ставит дивидендную политику в непосредственную зависимость от инвестиционных решений. Дивиденды выплачиваются из той части прибыли, которая остается у предприятия после финансирования соответствующих инвестиционных решений. Политика выплаты дивидендов акциями . Предполагается выдача дивидендов в форме акций, т.е. выпуск дополнительного пакета акций для акционеров. Такие дивиденды могут быть объявлены, когда финансовое положение компании не очень устойчиво, она не в состоянии обеспечить выплату денежных дивидендов и (или) когда она хочет оживить реализацию своих акций, снижая их рыночную цену. Дивиденд в форме акций увеличивает количество акций, находящихся у акционеров, однако пропорциональная доля каждого акционера во владении компанией остается неизменной. 31.Дивидендная политика и регулирование курса акций Дивидендная политика и курсовая цена акций взаимосвязаны. В финансовом менеджменте разработаны приемы искусственного регулирования курсовой цены акций, которые при определенных условиях способны оказать влияние и на размер выплачиваемых дивидендов. К ним относятся дробление, консолидация и выкуп акций. Методика дробления акций производится обычно процветающими компаниями, акции которых со временем повышаются в цене. Техника дробления сводится к следующему: директорат компании, получив разрешение от акционеров, определяет в зависимости от рыночной цены акций наиболее предпочтительный масштаб дробления, далее производится замена ценных бумаг. Валюта баланса, а также структура собственного капитала в этом случае не меняются, увеличивается лишь количество обыкновенных акций. Дивиденды могут изменяться пропорционально изменению нарицательной стоимости акций. Дробление акций сопровождается дополнительными расходами по выпуску новых ценных бумаг. Методика консолидации акций является процедурой, обратной дроблению: несколько старых акций меняются на одну новую в установленной пропорции. Консолидация акций также сопровождается дополнительными расходами по выпуску новых ценных бумаг. Методика выкупа акций разрешена не во всех странах. Акции в портфеле нужны для предоставления собственным работникам возможности стать акционерами своей компании для уменьшения числа владельцев компании, повышения курсовой цены и т.д. Эта операция оказывает влияние на совокупный доход акционеров. Несмотря на различные подходы акционеров к целям инвестирования, а финансовых менеджеров к дивидендной политике, существует ряд факторов, которые, безусловно, должны учитываться в финансовом управлении: 1. Акционеры негативно относятся к уменьшению выплачиваемых дивидендов, поскольку это ассоциируется, прежде всего, с возникновением финансовых трудностей в деятельности компании. Поэтому, если компания принимает решение об увеличении дивидендов, она должна быть уверена в том, что сможет сохранить этот уровень дивидендов и в последующие годы. 2. Сумма выплачиваемых дивидендов оказывает влияние на финансовые пропорции компании, ее бюджет и ликвидность. 3. Дивиденды уменьшают собственный капитал компании поскольку они выплачиваются из прибыли, оставленной на предприятии. При прочих равных условиях их выплаты приводят к увеличению соотношения между заемным и собственным капиталом. 4. Норма дивиденда по акциям компании должна соответствовать средней рыночной норме доходности по финансовым вложениям аналогичного риска. 32.Источники финансирования и способы выпуска ценных бумаг Источниками финансирования за счет выпуска акционерных бумаг являются привилегированные и обыкновенные (обычные) акции. Привилегированные акции ‑ это ценные бумаги, не дающие права голоса, но обеспечивающие получение дивидендов по фиксированному проценту (или в фиксированной сумме) независимо от результатов деятельности компании. Иногда этот процент может доначисляться до уровня дивиденда по обыкновенным акциям, если последний выше дивиденда по привилегированным акциям. Владельцы привилегированных акций обладают преимущественным правом на получение дивидендов, а также на выплату средств в случае ликвидации компании по сравнению с владельцами обычных акций. Привилегированные акции подразделяются на некумулятивные и кумулятивные . Некумулятивные акции теряют приоритет в получении дивидендов на следующий год, если они не были объявлены в текущем году. Кумулятивные акции не теряют такого права, и сумма дивидендов, не выплаченных в предшествующие годы, должна быть выплачена при первой же возможности, прежде чем будут выплачены дивиденды по обычным акциям. Дивиденды в этом случае называют просроченными. Привилегированные акции бывают также обратимыми и необратимыми ; выпускаются также акции с правом выкупа - отзывные акции. Обратимость привилегированных акций - это их способность быть обмененными на обычные акции по коэффициенту, оговоренному в контракте. Отзывные привилегированные акции могут быть выкуплены выпускающей компанией по цене, оговоренной в контракте. По форме выпуска различают привилегированные акции с ограниченным сроком обращения , бессрочные привилегированные акции с «плавающей» процентной ставкой . Выпуск привилегированных акций имеет следующие преимущества: • дивиденды по акциям необязательно должны выплачиваться; • владельцы привилегированных акций не могут подтолкнуть компанию к банкротству, они не участвуют в распределении очень высоких прибылей; • выпуск привилегированных акций не уменьшает долю участия в собственности компании владельцев обыкновенных акций, их участия в распределении прибыли и права голоса по акциям; • не требуется фонд погашения; • предприятию не нужно предоставлять обеспечение своими активами; • улучшается коэффициент соотношения долговых обязательств и акционерного капитала. Выпуск привилегированных акций имеет и отдельные недостатки: • привилегированная акция должна предусматривать больший доход по сравнению с облигацией, потому что она несет в себе больший риск; • привилегированные акции имеют более высокую стоимость выпуска по сравнению с облигациями. Обыкновенные акции дают право голоса, а дивиденды на них начисляются в зависимости от прибыли, полученной компанией. Они не связаны с финансовыми платежами, с фиксированными сроками выплаты, сроками погашения или требованиями фондов погашения задолженности. Владельцы обыкновенных акций имеют право голоса, однако следуют после владельцев привилегированных акций в получении дивидендов и при ликвидации компании. Компании могут выпускать различные классы обыкновенных акций (классы А и В). Наличие двух классов акций дает возможность владельцам компании сохранять контроль, владея правами мажоритарного голосования. Различают такие виды акций: · разрешенные к выпуску; · выпущенные; · выпущенные акции в руках держателей; · выпущенные акции в собственности компании-эмитента. Обыкновенные акции обычно выпускаются по одному из следующих направлений: ограниченное размещение; монопольное размещение; дискретное размещение. 33. Долгосрочное финансирование за счет заемных средств Долгосрочное финансирование, как правило, относится к финансированию со сроком погашения более пяти лет. Источниками долгосрочной задолженности являются закладные и облигации. Закладные - это векселя к оплате, которые обеспечены реальными активами, требуют периодических платежей и выпускаются для финансирования приобретения активов. Существуют два вида закладных: старшая закладная, с более высокой залоговой процентной ставкой, которая имеет первое или более раннее право на активы и доходы, и младшая - имеющая второстепенное залоговое право. По праву дополнительного выпуска закладные делятся на те, которые включают закрытое условие , и те, которые имеют открытое условие . Закладные обладают рядом преимуществ: · благоприятные процентные ставки; · меньшие финансовые ограничения, чем у облигаций; · более длительные сроки погашения ссуд; · легкая доступность. Облигация является сертификатом, указывающим на то, что компания заняла денежные средства и согласна их выплатить. Это обязательство фиксируется в письменном соглашении о выпуске облигационного займа, которое содержит информацию об особенностях выпуска облигаций (сроках погашения, цене, по которой эмитент может досрочно выкупить облигации, конверсионные льготы и отдельные ограничения). Преимущества долгосрочных долговых обязательств : • держатели облигаций не участвуют в обеспечении роста доходов компании; • долговые обязательства погашаются более дешевыми денежными единицами в периоды инфляции; • управление компанией не претерпевает изменений; • финансовая гибкость достигается включением в облигационный договор о праве эмитента условия погасить долговое обязательство до наступления срока погашения облигации. Однако эмитенту приходится платить за это определенную цену в виде более высокой процентной ставки, которую требует отзывная облигация; • долгосрочное долевое обязательство способно помочь компании обеспечить будущую финансовую стабильность, если им воспользоваться во время стесненных денежных рынков, когда отсутствует возможность воспользоваться краткосрочным кредитованием. Недостатки долгосрочных долговых обязательств: • начисляемые проценты должны быть выплачены независимо от доходов компаний; • долговое обязательство обязано погашаться к сроку платежа; • чем выше долговое обязательство, тем выше финансовый риск, который способен повысить объем финансирования; • условия облигационного договора могут наложить строгие ограничения на деятельность компании; • обязательства, превышающие финансовые возможности должника, возникают при ошибках в прогнозах будущих притоков денежных средств. 34.Краткосрочное и среднесрочное финансирование Краткосрочное финансирование обычно применяется в связи с сезонными и временными колебаниями конъюнктуры финансового рынка, а также для достижения долгосрочных целей. Источники краткосрочного финансирования: коммерческий кредит, банковский заем, банковский акцепт, ссуды финансовых компаний, коммерческие ценные бумаги, ссуды под залог дебиторской задолженности и товарно-материальных запасов. Преимущества краткосрочного и среднесрочного кредитования : • возможность изменения сроков в соответствии с изменениями потребностей компании в финансировании; • конфиденциальность - никакая информация о финансовых потребностях компании не предается гласности; • ссуда может быть быстро согласована по сравнению с подготовкой публичного предложения; • устраняется вероятность невозобновления краткосрочного займа; • устраняются расходы по публичному размещению (выпуску) займа. К недостаткам краткосрочного и среднесрочного финансирования относятся: • обычно требуется имущественный залог и договор, который ограничивает возможность одной из сторон предпринять определенные действия; • бюджетные и финансовые отчетные документы могут периодически требоваться кредитором; • дополнительные характеристики облигаций, повышающие их привлекательность или улучшающие условия выпуска, призванные увеличить их привлекательность (акционерный варрант или доля прибылей), подчас запрашиваются банком-кредитором. 35.Стоимость капитала Стоимость капитала определяется как норма прибыли, которую компания предлагает за свои ценные бумаги для поддержания их рыночной стоимости. Стоимость капитала рассчитывается как средневзвешенная величина различных составных частей капитала, таких, как долговые обязательства, привилегированные акции, обыкновенные акции и нераспределенная прибыль. Расчет поэлементной стоимости капитала. Каждый составной элемент капитала имеет компонент стоимости, определяемый следующим образом: ki , - стоимость займа до налогообложения;
kр - стоимость привилегированной акции; ks - стоимость нераспределенной прибыли (или внутренняя стоимость капитала); kе - внешняя стоимость капитала компании или стоимость эмиссии новых обыкновенных акций; kо - общая стоимость капитала компании, или средневзвешенная стоимость капитала. Стоимость займа до налогообложения рассчитывается по сокращенной формуле для приближенного расчета дохода по облигации на дату погашения:
I - выплата годового процентного дохода; M - номинальная или нарицательная стоимость облигации; V - рыночная стоимость чистого дохода от продажи облигации; n - срок облигации, лет. Поскольку выплаты процентного дохода подлежат налогообложению, следует установить стоимость долга, учитывая налогообложение:
где t ‑ налоговая ставка. Стоимость привилегированной акции
kp
определяется делением годового дивиденда привилегированной акции dp
на чистый доход от продажи привилегированной акции p
: Стоимость акционерного капитала . Стоимость обыкновенной акции kе обычно воспринимают как требуемую норму прибыли инвестора на обыкновенную акцию компании. Расчет акционерного капитала, представленного обыкновенными акциями можно с помощью модели экономического роста Гордона . Модель экономического роста Гордона предусматривает использование формулы:
где Ро - стоимость (или рыночная цена) обыкновенной акции; D1 - дивиденды, которые должны быть получены за один год; r - требуемая норма прибыли инвестора; g - темп роста (принимается постоянным во времени). Решая уравнение этой модели для r, получаем формулу для расчета стоимости обыкновенной акции:
Символ r заменяется на kе для того, чтобы показать, что эта формула применяется для определения стоимости капитала. Стоимость новой обыкновенной акции, или внешний акционерный капитал, выше, чем стоимость настоящей обыкновенной акции из-за стоимости размещения выпуска, связанной с продажей новых акций. Стоимость размещения займа, иногда называемая стоимостью выпуска новых акций (стоимость эмиссии), представляет собой общую стоимость выпуска и продажи ценных бумаг, включая печать и гравирование, комиссионные сборы и гонорар за бухгалтерскую ревизию. Если f - стоимость размещения займа в процентах, формула для расчета стоимости новой обыкновенной акции будет выглядеть следующим образом:
Стоимость нераспределенной прибыли ks тесно связана со стоимостью существующих запасов обыкновенных акций, поскольку стоимость акционерного капитала, приобретенного за счет нераспределенной прибыли, является той же самой, что и требуемая инвесторами норма прибыли с обыкновенных акций компании, следовательно: ke = ks . 36.Оценка общей стоимости капитала Общая стоимость капитала компании представляет собой среднее значение одноэлементных стоимостей капитала, взвешенных пропорционально каждому виду используемого капитала. Если ko представляет собой общую стоимость капитала, то:
где wd - процент от общего капитала, поступивший от долговых обязательств; wp - процент от общего капитала, поступивший от привилегированных акций; we - процент от общего капитала, поступивший от внешней стоимости капитала компании; ws - процент от общего капитала, поступивший от нераспределенной прибыли (или внутренней стоимости капитала компании). Нет вопросов 14 и 13!!!! |



