Реферат: Обжиг цинкового концентрата
|
Название: Обжиг цинкового концентрата Раздел: Промышленность, производство Тип: реферат | |||||||||||||||||||||||||||||||||||||||||||||||||||||||||||||||||||||||||||||||||||||||||||||||||||||||||||||||||||||||||||||||||||||||||||||||||||||||||||||||||||||||||||||||||||||||||||||||||||||||||||||||||||||||||||||||||||||||||||||||||||||||||||||||||||||||||||||||||||||||||||||||||||||||||||||||||||||||||||||||||||||||||||||||||||||||||||||||||||||||||||||||||||||||||||||||||||||||||||||||||||||||||||||||||||||||||||||||||||||||||||||||||||||||||||||||||||||||||||||||||||||||||||||||||||||||||||||||||||||||||||||||||||||||||||||||||||||||||||||||||||||||||||||||||||||||||||||
Аннотация В задачи данного курсового проекта входит рассмотрение процесса обжига цинковых концентратов, обеспечивающего высокие технико-экономические показатели, расчет необходимых показателей, выбор схемы обжига и выбор основного оборудования для выполнения производственной программы, а также расчет материального и теплового балансов. The summary The objectives of this course project is to review the process of roasting of zinc concentrates, which provides high technical-economic indices, the calculation of the required parameters, the choice of firing circuits and selection of basic equipment to carry out the production program, as well as calculation of material and heat balances. Введение Источником получения цинка является рудное сырье, которое обычно находится в сульфидном состоянии, а цинк представлен преимущественно сфалеритом (ZnS). Руды всегда комплексные, содержат кроме цинка свинец, медь, железо, серебро и др. В последнее время используется вторичное сырье в странах с высоким потреблением. Примерно 50% мирового производства цинка расходуется на покрытие железных изделий с целью защиты их от ржавления. Более 30% всего производства в мире цинка употребляется на производство сплавов. Благодаря способности давать сплавы с серебром и золотом, цинк используется в металлургии для извлечения благородных металлов. Цинковая пыль применяется для осаждения золота и серебра из растворов при их получении гидрометаллургическим путем, для очистки растворов от меди и кадмия перед электролизом растворов цинка. Оксид цинка широко используют при производстве резины и ее обработке. Он улучшает качество резиновых шин и ряда других резиновых изделий. Широко используют чистый цинковый купорос при производстве корда-осных шин. Соединения цинка, в частности его антимонид, используют в качестве интерметаллических полупроводников в приборах для превращения электрической энергии в тепловую. Российский рынок цинка
Рынок РФ. Российские компании в настоящее время не относятся к числу ведущих продуцентов цинка, при этом они вынуждены закупать необходимое сырье (руды и цинковый концентрат) за пределами РФ. Тем не менее, продуценты цинка в РФ успешно преодолели трудности переходного периода и наращивают выпуск. Производство цинкового концентрата в России начало расти во второй половине 2006 г. В 2006 г. объем производства внутри страны составил 171 тыс. т цинка в концентрате. На территории России, по оценкам российских специалистов, расположены 17% мировых запасов цинка, а также два крупных месторождения цинка мирового значения (Озерное и Холоднинское) в Бурятии. При текущих довольно высоких ценах на цинк и растущей потребности в металле в мире можно ожидать увеличения интереса инвесторов к разработке этих месторождений, что может позволить удвоить производство цинкового концентрата в России в ближайшее десятилетие. Внутреннее потребление рафинированного цинка в России постепенно растет. Так, в 2006 г. внутреннее потребление цинка составило около 174 тыс. т (в 2000 г. - 139 тыс., в 1995 г. - 109,6 тыс.). При этом российские продуценты - ОАО "Челябинский цинковый завод" ("ЧЦЗ") и ОАО "Электроцинк" (г. Владикавказ) выпускают значительно больше металла. Например, в 2006 г. они произвели 236 тыс. т металла (в 2000 г. - 241,9 тыс., 1995 г. -166,4 тыс.). Таким образом, на внутреннем рынке РФ постоянно имеется некоторый избыток цинка, способствующий экспорту данного металла, составляющему около 120 тыс. т в год в последнее десятилетие. В 2007 г. "ЧЦЗ" произвел 165 тыс. т высококачественного цинка и сплавов на его основе, что на 11,2% больше, чем в 2006 г., когда было выпущено 148,38 тыс. т (в 2005 г. - 116,37 тыс., 2004 г. - 151,97 тыс., 2003 г. -177,36 тыс.). Почти половина (49% товарного металла) была реализована в 2007 г. на внутреннем рынке (в 2006 г. - 58%). Предприятие ОАО "Электроцинк" (г. Владикавказ), входящее в состав холдинга "УГМК", в 2007 г. выпустило 90,4 тыс. т, что почти на 2% больше, чем в 2006 г., а производство свинца в 2007 г. составило 38 тыс. т, что почти на 5% больше уровня 2006 г. Руководство предприятия ставит целью с 2009 г. обеспечить здесь стабильный выпуск 110 тыс. т цинка и 50 тыс. т свинца в год. В 2012 г. запланировано приступить к сооружению нового электролизного цеха. Руководство "УГМК" в качестве негативных моментов в работе компании отмечает высокие транспортные расходы и устаревшие технологии, применяемые на "Электроцинке". ОАО "ЧЦЗ" - вертикально-интегрированная компания, в которой представлен полный технологический цикл производства металлического цинка: от добычи и обогащения руды до выпуска готовой продукции в виде рафинированного цинка и сплавов на его основе. На долю компании приходится около 60% российского и почти 2% мирового объема производства цинка. Внедрение самых современных в Европе производственных мощностей, реализация программ модернизации обеспечивают производство цинка марки "особо высококачественный цинк", что подтверждается сертификатом ЛБМ, гарантирующим чистоту металла не ниже 99,995% по содержанию цинка. Стратегия вертикальной интеграции "ЧЦЗ" направлена на максимальное обеспечение собственным сырьем и повышение эффективности производства. С этой целью в 2006 г. "ЧЦЗ" получил полный контроль над компанией ТОО "Нова-Цинк", которая осуществляет добычу и обогащение свинцово-цинковых руд месторождения Акжал в Казахстане. В целях обеспечения производства сырьем предприятие "ЧЦЗ" развивает отношения с основными российскими поставщиками - компаниями "УГМК", "РМК", "Дальполиметалл", с которыми заключены долгосрочные контракты на поставку концентратов. Высокая цена на цинк на мировом и внутреннем рынках позволила компании "Дальполиметалл", которая традиционно была ориентирована на экспорт цинкового концентрата в страны ЮВА, заключить с "ЧЦЗ" долгосрочный контракт на поставку сырья. Однако в 2008 г. данный контракт был расторгнут. По причине высоких транспортных издержек на внутренние перевозки компании "Дальполиметалл" вновь выгоднее реализовывать продукцию на азиатских рынках. Производство рафинированного цинка в РФ может превысить 500 тыс. т уже через несколько лет благодаря увеличению объемов выпуска металла основными продуцентами и запуску новых предприятий. Так, "УГМК" намерена к 2012 г. расширить производство цинка за счет введения в эксплуатацию нового цинкового завода близ г. Кировград в Свердловской области мощностью 140 - 150 тыс. т рафинированного цинка в год. Основная доля потребления цинка в РФ (более 60%) приходится на производство оцинкованных изделий, в первую очередь для автомобильной промышленности и строительства. По прогнозам, в сравнении с 2006 г. объемы строительства вырастут к 2010 г. более чем на 50%, а производство автомобилей в РФ увеличится к2015г. в2 раза. Также существует значительный потенциал роста потребления цинка в таких сферах, как производство сплавов и использование в химической промышленности. Несмотря на рост внутреннего потребления, Россия по-прежнему является экспортером цинка. При этом на внутреннем рынке растет конкуренция со стороны производителей цинка из Казахстана и Узбекистана. Также наметилась тенденция к переходу от поставок на спотовый рынок к долгосрочным отношениям с зарубежными потребителями. Дальнейшее поступательное развитие цинковой промышленности требует создания условий для улучшения инвестиционной привлекательности отрасли для российских инвесторов, повышения кредитного рейтинга производителей, готовности зарубежных инвесторов и партнеров участвовать в проектах по строительству ГОКов и заводов, а также укрепления партнерства между производителями для обмена опытом и внедрения инноваций. По мнению специалистов, российский рынок цинка в настоящее время обладает большим потенциалом для роста. Внутренний рынок металла является приоритетным для обоих продуцентов цинка РФ. По прогнозам специалистов "ЧЦЗ", потребление цинка в России в ближайшие 5-7 лет может вырасти почти в 2 раза - до 400 тыс. т, что повлечет за собой рост добычи и переработки цинка. При этом к 2012 г. Россия может производить до 500 тыс. т рафинированного цинка в год. Таким образом, в среднесрочной перспективе РФ не войдет в число крупных нетто-экспортеров цинка, так как рост внутреннего спроса будет значительным. При этом цинк на внутреннем рынке РФ реализуется с премией в 11 - 15% к ценам ЛБМ. По прогнозам российских аналитиков, рост спроса на цинк в России может достичь темпов 13,6% в год в период до 2012 г. На текущий момент потребление цинка в РФ находится на довольно низком уровне в сравнении с экономически развитыми странами, что предполагает значительный потенциал роста внутреннего рынка и увеличения среднедушевого потребления цинка в стране. Технологическая схема обжига цинкового концентрата
Теретические основы процесса обжига в печи кипящего слоя Обжиг - гетерогенный процесс термической обработки цинкового сырья. Этот процесс был и остается основным способом окисления сульфидного сырья. Однако обширные исследования показали возможность окисления концентратов растворенным кислородом в подкисленных водных пульпах при T>100о C и Робщ>105 Па (автоклавные условия). Применительно к гидрометаллургической технологии это имеет свои достоинства: совмещение окисления и выщелачивания сырья, получение серы в элементарном виде и др. Но у этого способа есть существенные недостатки, сдерживающие его распространение. Таким образом, обжиг наиболее распространенный и используемый процесс. Главная задача обжига - быстрей, полней и с наименьшими затратами превратить сульфидный цинк в оксидный, из которого цинк рациональней восстанавливать. При этом огарок надо получить в таком состоянии, чтобы он был наиболее благоприятен для осуществления последующих стадий технологий и в конечном счете обеспечил высокие технико-экономические показатели производства в целом. При обжиге, главным образом, происходит процесс окислениясульфидов. Механизм окисления включает следующие стадии: 1.адсорбция молекулярного кислорода на поверхности сульфидов и диссоциации его на атомарный кислород; 2. диффузия кислорода внутрь решетки сульфида и встречной диффузии серы на поверхность раздела фаз; 3. образование первичных соединений сульфида с атомарным кислородом; 4. химическое взаимодействие образовавшегося промежуточного продукта с оставшимся в центре зерна сульфидом и сжигании сульфидов материала выделением оксида и диоксида серы; 5. химические взаимодействия оксидов поверхностей пленки с сернистыми газами и образование вторичного сульфата. Обжиг ведется в одну стадию. Концентрат непрерывно загружают в рабочую зону печи КС, а продукт самотеком удаляется из печи. Кипящий слой характеризуется постоянством температуры во всех его точках (940-980о С) и интенсивным теплообменом. Основное тепло (около 70%) выделяется от сгорания сульфидных материалов. Это тепло отводят с помощью специальных аппаратов. Материал в КС текуч, интенсивно перемешивается, что обеспечивает однородность слоя по составу и температуре. Химизм процесса характеризуется первичными, промежуточными и конечными продуктами превращений. Соответственно последовательные реакции делят на первичные, вторичные, а их продукты называют первичными, вторичными. Закономерность изменчивости химизма окисления при повышении температуры вызывает смену первичного продукта окисления MeS, происходит в такой последовательности: при низких температурах MeSO4 , при более высоких MeO, а далее -Meo. Рассмотрим химизм процессов в более широком диапазоне условий, чтобы представить последствия отклонения от принятых в практике режимов. От температуры начала заметного окисления сфалерита и до 900о С первичным твердым продуктом является ZnS. Следовательно, при температуре < 900-1000о С окисление идет по реакции: ZnS+1.5O2 =ZnO+SO2 Причем, чем интенсивней окисление ZnS за счет повышения t и P, тем больше дебаланс между убылью количества ZnS и прибылью количества ZnO в обжигаемых образцах. Обусловлено протеканием реакции: ZnSтв+O2 =Znпар +SO2 Далее пары цинка окисляются. Изоморфное железо при окислении сразу образует ZnFe2 О4 , полностью связывается с цинком в феррит. Феррит, полученный при t<1000о С, фактически немагнитен и плохо растворим в растворах H2 SO4 . Но при t>1000о С становится ферромагнитным с той же растворимостью Связывание Fe2+ в силикаты, уменьшает фирритизацию Zn в огарке. В окалинах на зернах сфалерита сульфатная сера обнаруживается во внешней части, это свидетельствует об образовании сульфата цинка. При этом образуются или ZnSO4 (на воздухе в изотермических условиях устойчив до 670о C) или ZnO. 2ZnSO4 (760о С). При наличии в газовой фазе SO3 эти сульфаты не диссоциируют и при более высоких температурах. Т.о., вторичные сульфаты в зависимости от температуры и давления SO3 образуются по реакциям: ZnO+SO3 = ZnSO4 , ZnFe2 O4 +SO3 = ZnSO4 +Fe2 O3 3ZnO+2SO3 =ZnO. 2ZnSO4 3ZnFe2 O4 +2SO3 =ZnO. ZnSO4 +Fe2 O3 При повышении температуры степень сульфатиризации ZnO и ZnFe2 O4 изменяется, проходя через максимум. Температура максимума сульфатиризации зависит от концентрации SO3 в газовой форме, а значит от концентрации SO2 и O2 , при чем с повышением кислорода в дутье до 28%, такие показатели работы печи, как производительность- увеличиваются, содержание SO2 в отходящих газах - увеличивается, содержание цинка в огарке - увеличивается, с дальнейшим же ростом кислорода в дутье происходит обратное. Для гидрометаллургической обработки имеет значение влияние условий обжига на растворимость феррита цинка. Чем мельче, пористей феррит, тем легче он растворяется. Укрупнению феррита способствует обжиг с t>1000о С, быстрое охлаждение огарка дает обратный эффект, но более слабый. ZnSiO4 - кислорастворимое силикатное образование технологически опасно. В условиях КС - образование результат сростков ZnS с породообразующими минералами, спекание соударяющихся зерен. Усилению образования способствует обжиг t>1000о С, когда частичная отгонка цинка в результате реакции ZnS+1.5O2 =ZnO+SO2 с последующей конденсации окислившегося цинка на силикатных фазах. Аналогичным образом усиливается и ферритизация цинка. Тип аппаратурного оформление обжига в КСКонструктивно печи КС различаются профилем поперечного сечения, величиной отношения надслоевого объема печи к площади пода, способом загрузки шихты в печь, конструкцией воздухораспределительной подины.
Аппаратурная схема обжига цинковых концентратов в печи КС 1 – воздушные камеры; 2 – воздухопровод; 3 – подина печи; 4 – кипящий слой; 5 – загрузочная течка; 6 – ленточный питатель; 7 – бункер для дробленого концентрата; 8 и 10 – ленточные транспортеры; 9 – дисковая дробилка; 11 – бункер для концентрата; 12 – грейферный кран; 13 – печь КС; 14 – сводовая термопара; 15 – циклон; 16 – газоход; 17 – шнек-затвор; 18 – охлаждаемый стояк; 19 – течка для огарка; 20 – аэрохолодильник; 21 – дымосос; 22 – коллектор грязного газа; 23 – электрофильтр. На рис. приведена схема цепи аппаратов для обжига цинковых концентратов в печи кипящего слоя (КС). Конструктивно печи кипящего слоя различаются по форме поперечного сечения (круглое или прямоугольное), по площади пода, отношению объема надслоевого пространства к объему кипящего слоя, конструкции сопел для подачи воздуха, методу загрузки шихты в печь. В настоящее время на цинковых заводах работают печи кипящего слоя с площадью пода от 21-35 до 72-123 м2 . В них можно обжигать 100-800 т концентрата в сутки, т.е. от 5 до 10-20 т/(м2 ×сут). На многих заводах используют избыточное тепло кипящего слоя и тепло отходящих газов для производства пара. Очень ответственным элементом конструкции печи является воздухораспределительная подина. Подину печи выполняют из жароупорного бетона на стальном перфорированном листе с вставленными в отверсти соплами для распределения дутья оавномерно по всей площади. Площадь сечения отверстий в соплах по отношению к площади пода составляет 0,8-1,0%. В форкамере сопла расположены чаще и воздуха на единицу площади попадают больше для предотвращения залегания загружаемой шихты на подину. Тонкие фракции выносятся с дутьем из КС и обжигается во взвешенном состоянии. Пылевая часть огарка улавливается в пылеуловителях и выгружается из них на выщелачивания. Грубодисперная часть огарка выгружается из печи через сливной порог и тоже направляется на выщелачивание. Для стационарного теплового режима обжига необходим тепловой баланс в КС, который обеспечивается отводом тепла из слоя, %: с обжиговыми газами 60, с огарком, с пылью и через стенки печи 20. Остальное тепло надо отводить специальными средствами, чтобы избежать нагрева в слое. Обычно это осуществляют трубчатыми кессонами испарительного охлаждения. Узел пылеулавливания состоит из котла-утилизатора, одной или двух ступеней циклонов для грубого пылеулавливания и электрофильтров для тонкого пылеулавливания. Обеспыленный газ направляют в сернокислое производство. Дутье воздуха в печь подают от трубовоздуходувки по воздуховодам в воздушную коробку, расположенную под воздухораспределительной подиной. А далее воздух через сопла в подине под определенным давлением поступает в КС. Транспортировку огарка печей КС осуществляют или в виде пульпы, или в сухом виде. Транспортировка пульпы аппаратурно проще, чем сухого огарка. Но транспорт пульпы имеет тяд серьезных недостатков: 1)отсуствие буферного склада огарка перед цехом выщелачивания; 2)отсуствие весивого контроля огарка, поступающего на выщелачивание: 3)усложнение схемы выщелачивания операциями гидроклассификации и обработки песковой фракции. Отмеченные недостатки гидротранспорта огарка обьясняют предпочтение в мировой практике транспортировки от печей КС сухого огарка. В этом случае горячий огарок охлаждают либо в водоохлаждаемых холодильниках, или в аэрохолодильниках с КС. Охлажденный огарок транспортируют. Сухой огарок подвергают аэросепарации или рассеву на виброситах с последующим измельчением крупной фракции в шаровой мельнице. После измельчения огарок отправляют на выщелачивание. Технологический расчет обжига цинкового концентрата Расчет вещественного состава сульфидного цинкового концентрата Химический состав цинкового концентрата, %:
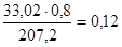
Расчет ведем на 100 кг сухого концентрата. По данным литературы и практики принимаем, что в концентрате металлы находятся в виде следующих соединений: ZnS, CuFeS2 , PbS, CdS, FeS2 , Fe2 O3 , CaCO3 , MgCO3 , SiO2 . масса S в ZnS= масса масса S в PbS= масса масса S в CdS= масса масса CuFeS2
= масса S в CuFeS2
= S в FeS2
= масса Fe в Fe2 O3 =8,3-7,15=1,15; масса Fe2
O3
= масса MgCO3
= масса CO2 =1,05-0,5=0,55 масса СO2 в CaCO3 =1,26-0,55=0,71 масса СaCO3 =0,9+0,71=1,61 Прочие=100-98,05=1,95 Вещественный состав цинкового концентрата
Материальный баланс процесса обжига. Расчет массы и вещественного состава смеси огарка и пыли. Примем, что обжиг ведется при умеренном расходе дутья и соответственно доля огарка и пыли от общей массы продукта обжига составляет 60 и 40%. По данным литературы и практики примем содержания сульфидной и сульфатной серы в огарке и пыли (смесь пылей) и рассчитаем содержание серы в огарке и пыли.
Расчет массы смеси огарка и пыли проведем алгебраическим методом, обозначив массу смеси, огарка и пыли X. По данным литературы и практики (с некоторым упрощением) принимаем, что в смеси огарка и пыли цинк находится в виде ZnS, ZnSО4 , ZnO, ZnO∙Fe2 О3 , медь в виде Cu2 О, свинец на 50 % в виде РЬО и на 50 % в виде PbSО4 , кадмий в виде CdO, железо в виде Fе2 O3 , 70 % которого связано в феррит цинка ZnO∙Fe2 О3 , сульфидная сера целиком связана с цинком в виде ZnS, сульфатная сера связана с цинком, свинцом, кальцием и магнием (соответственно в виде ZnSО4 , PbSО4 , CaSО4 , MgSО4 ), причем кальций и магний находятся целиком в виде сульфатов, кремнезем (SiO2 ) в свободном виде. Прочие составляющие концентрата целиком переходят в твердый продукт обжига. Расчет дает следующие результаты: Масса сульфидной серы в смеси огарка и пыли 0,42∙10-2 ·Х кг. Масса Zn в ZnS=(65,39· 0,42·10-2 ·X)/33,02 = 0,86∙10-2 ·Х кг. Масса ZnS=0,42∙10-2 ·Х+ 0,86∙10-2 ·Х = 1,28∙10-2 ·Х кг. Масса O2 в Cu2 О=(16,0·1,80)/127,10 = 0,23 кг. Масса Cu2 О=1,80 + 0,23 = 2,03 кг. Масса Pb в виде РЬО=0,8· 0,5 = 0,4 кг. Масса O2 в РЬО=(16,0· 0,40)/207,2 = 0,03 кг. Масса РЬО=0,4 + 0,03 = 0,43 кг. Масса S в PbSО4 =(33,02·0,40)/207,2 = 0,06 кг. Масса O2 в PbSО4 =(64,0·0,40)/207,2 = 0,12 кг. Масса PbSО4 =0,40 + 0,06 + 0,12 = 0,58 кг. Масса O2 в CdO=(16,0·0,30)/112,41 = 0,04 кг. Масса CdO=0,30 + 0,04 = 0,34 кг. Масса Fe в феррите цинка (ZnO·Fe2 03 )=8,30·0,70 = 5,81 кг. Масса Zn в ZnO·Fe2 03 =(65,39·5,81)/111,70 = 3,40 кг. Масса O2 в ZnO·Fe2 03 =(64,0·5,81)/111,70 = 3,33 кг Масса ZnO·Fe2 03 = 5,81 + 3,40 + 3,33 = 12,54 кг. Масса Fe в виде свободного оксида железа (Fe2 O3 )=8,30·0,30 = 2,49 кг. Масса O2 в Fe2 O3 =(48,0·2,49)/111,70 = 1,07 кг. Масса Fe2 O3 =2,49 + 1,07 = 3,56 кг. Масса S в CaSО4 =(33,02·0,90)/56,08 = 0,51 кг. Масса O2 в CaSО4 =(48,0·0,90)/56,08 = 0,77 кг. Масса CaSО4 = 0,90 + 0,51 + 0,77 = 2,18 кг. Масса S в MgSО4 =(33,02·0,50)/40,30 = 0,40 кг. Масса O2 в MgSО4 =(48,0·0,50)/40,30 = 0,60 кг. Масса MgSО4 = 0,50 + 0,40 + 0,60 = 1,50 кг. Масса сульфатной серы в смеси огарка и пыли= 2,38∙10-2 ·Х, кг. Масса серы, входящей в состав сульфата цинка= =2,38 ∙10-2 ·Х ‑ (0,06 + 0,51 + 0,40) = (2,38 ∙10-2 ·Х - 0,97) кг. Масса Zn в ZnSО4 =65,39·(2,38 ∙10-2 ·Х - 0,97)/32,06 = (4,85∙10-2 ·Х - 1,98) кг. Масса O2 в ZnSО4 =64,0·(2,38 ∙10-2 ·Х - 0,97)/32,06 = (4,75∙10-2 ·Х - 1,94) кг. Масса ZnSО4 =2,38∙10-2 ·Х - 0,97 + 4,85∙10-2 ·Х - 1,98 + 4,75∙10-2 ·Х - 1,94 = (11,98∙10-2 ·Х-4,89) кг. Масса Zn в свободном оксиде цинка (ZnO)= =49,50 - 0,86∙10-2 ·Х - 3,40 - 4,85∙10-2 ·Х + 1,98 = (48,08 - 5,71∙10-2 ·Х) кг. Масса O2 в ZnO= 16,0·(48,08 - 5,71∙10-2 ·Х)/65,38 = (11,77 - 1,40∙10-2 ·Х) кг. Масса ZnO= 48,08 - 5,71∙10-2 ·Х + 11,77 - 1,40∙10-2 ·Х = (59,85 - 7,11∙10-2 ·Х) кг. Масса смеси огарка и пыли X = 1,28∙10-2 ·Х + 2,03 + 0,43 + 0,58 + 0,34 + 12,54 + 3,56 + 2,18 + 1,50 + 11,98∙10-2 ·Х - 4,89 + +59,85 - 7,11∙10-2 ·Х + 1,50 + 1,95. Решив это уравнение, находим X = 86,92 кг. По значению X находим массу элементов и соединений в смеси огарка и пыли и по этим данным составляем таблицу вещественного состава твердого продукта обжига
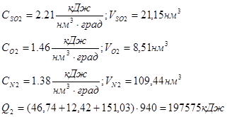
Масса и вещественный состав смеси огарка и пыли Расчет количества дутья, количества и состава отходящих газов. Масса серы, переходящей в газовую фазу равна 33,02 - (0,36 + 2,07) = 30,27 кг. Принимаем, что сера в газах находится целиком в виде SO2 , тогда масса O2 потребного на образование этого соединения равна (33,02· 30,27)/32,07= 30,21 кг. На образование оксидов и сульфатов твердого продукта обжига потребуется еще 18,94 - 0,49 = 18,43 кг кислорода. Всего на обжиг 100 кг сухого концентрата потребуется 30,21 + 18,43 = 48,64 кг кислорода. На практике обжиг сульфидных цинковых концентратов в печах кипящего слоя ведут как на воздушном дутье (21 % кислорода по объему), так и на дутье, обогащенном кислородом, с содержанием кислорода в дутье до 35 % по объему. Содержание кислорода в дутье обычно задают по объему, тогда содержание кислорода по массе [О2 ]масс в процентах можно рассчитать по формуле [О2 ]масс = 800·[О2 ]об /(700 + [О2 ]об ), где [О2 ]об – содержание кислорода в дутье по объему, %. Примем содержание кислорода в дутье 28 % по объему, тогда содержанке кислорода в дутье по массе составит (800·28)/(700 + 28) = 30,77%. Теоретическое количество дутья равено 48,64/(30,77·10-2 ) = 158,08 кг. Коэффициент расхода дутья при обжиге цинковых концентратов в печах кипящего слоя от теоретического a = 1,1 - 1,4. Примем a = 1,25, тогда практическое количество дутья 158,08·1,25 = 197,60 кг, где 197,60·30,77·10-2 = 60,80 кг или (60,80·22,4)/32,0 = 42,56 м3 O2 . Масса азота в дутье равна 197,60 - 60,80 = 136,80 кг или (136,80·22,4)/28,0 = 109,44 м3 . Масса избыточного кислорода в дутье, который перейдет в отходящие газы равна, 60,80 - 48,64 = 12,16 кг или (12,16-22,4)/32,0 = 8,51м3 . Масса SО2 в газах (30,27·64,07)/33,02 = 60,48 кг или (60,48·22,4)/64,06 = 21,15 м3 . Масса СО2 в газах 1,16 кг или (1,26·22,4)/44,01 = 0,64 м3 . Для расчета массы и объема паров воды в газах примем влажность концентрата равной 7 % (на практике при загрузке шихты в печь кипящего слоя в сухом виде она составляет 6-10 %). На 100 кг сухого концентрата поступит (100·7)/(100 - 7) = 7,53 кг или (7,53·22,4)/18,02 = 9,37 м3 воды. На основании выполненных расчетов составляем таблицу Количество и состав отходящих газов
Для проверки правильности выполненных расчетов и удобства пользования ими сводим результаты расчетов в таблицу материального баланса Материальный баланс обжига цинкового концентрата в печи кипящего слоя
Тепловой баланс обжига цинкового концентрата. Расчет прихода тепла. При расчете физического тепла концентрата и воздуха примем их температуры соответственно 15 и 25°С. Расчет ведется на 107,53 кг. влажного концентрата. Объем воздуха равен 158,08 м3 . Определяем физическое тепло концентрата по формуле где c1 -теплоемкость концентрата=0,75 кДж/кг .град
Определяем физическое тепло воздуха по формуле
По данным справочной литературы найдем тепло экзотермических реакций ZnS+1.5O2=ZnO+SO2+442589,7 кДж
ZnS+2O2=ZnSO4+775150 кДж
PbS+1.5O2=PbO+SO2+421053,1 кДж
2CuFeS2+6O2=Cu2O+Fe2O3+4SO2+2015809 кДж
2FeS2+5.5O2=Fe2O3+4SO2+1656308 кДж
2FeS+3.5O2=Fe2O3+2SO2+725370 кДж
2CuS+2.5O2=Cu2O+2SO2+384642 кДж
CdS+1.5O2=CdO+SO2+413972 кДж
Приход тепла от экзотермических реакций составит: Q3=342348,1+16712,7+2851,6+7922,4+58897,1+8261,6+1508,8+1462,1=439964,4 кДж Расчет расхода тепла Определяем тепло, уносимое огарком и пылью: где c1 -теплоемкость огарка и пыли=0,74 кДж/кг. град m1,2 -масса огарка и пыли, кг. m1 =62,23кг, m2 =24,69кг. t1,2 -температура огарка и пыли, о С. t1 =970 о С, t2 =940 о С.
Тепло, уносимое газом (без паров воды)
Тепло на нагрев и испарение воды тепло на нагрев воды с 10° до 100°С
тепло на нагрев воды
тепло на нагрев пара до температуры газа
|
|||||||||||||||||||||||||||||||||||||||||||||||||||||||||||||||||||||||||||||||||||||||||||||||||||||||||||||||||||||||||||||||||||||||||||||||||||||||||||||||||||||||||||||||||||||||||||||||||||||||||||||||||||||||||||||||||||||||||||||||||||||||||||||||||||||||||||||||||||||||||||||||||||||||||||||||||||||||||||||||||||||||||||||||||||||||||||||||||||||||||||||||||||||||||||||||||||||||||||||||||||||||||||||||||||||||||||||||||||||||||||||||||||||||||||||||||||||||||||||||||||||||||||||||||||||||||||||||||||||||||||||||||||||||||||||||||||||||||||||||||||||||||||||||||||||||||||||



