Реферат: Мониторинг атмосферы 2
|
Название: Мониторинг атмосферы 2 Раздел: Рефераты по экологии Тип: реферат | ||||||||||||||||||||||||||||||||||||||||||||||||||||||||||||||||||||||||||||||||||||||||||||||||||||||||||||||||||||||||||||||||||||||||||||||||||||||||||||||||||||||||||||||||||||||||||||||||||||||||||||||||||||||||||||||||||||||||||||||||||||||||||||||||||||||||||||||||||||||||
Автореферат магистерской работы Введение
Заключение Список литературы Одной из важнейших экологических проблем Донецкой области является загрязнение атмосферного воздуха. Ситуация с таким интенсивным загрязнением воздушного бассейна складывалась в процессе становления и развития промышленного региона на протяжении десятилетий. При постройке и эксплуатации промышленных объектов области экологическому аспекту уделялось очень мало внимания, хотя концентрация промышленных предприятий-гигантов наиболее экологически опасных отраслей промышленности (металлургия, энергетика, горнодобывающая) в Донецкой области является самой высокой на территории Украины. Одним из условий экологического сбалансированного развития города (расширение жилых районов, строительство и реконструкция промышленных предприятий) является проведение аэроохранного мониторинга. Мониторинг — это система наблюдений, оценки и прогноза состояния природной среды, не включающая управление качеством окружающей среды, но дающая необходимую информацию для такого управления. Мониторинг может охватывать как локальные районы, так и земной шар в целом (глобальный мониторинг). Чтобы обеспечить эффективную оценку и прогноз, мониторинг должен включать наблюдения за источниками загрязнения, загрязнением природной среды и эффектами от этого загрязнения. Основу системы мониторинга составляют регулярные наблюдения, являющиеся единственным источником прямой и статистической информации. Кроме того, неотъемлемой частью мониторинга являются математическое моделирование загрязнения атмосферы, основанное на результатах замеров ЗВ. 1. Современные проблемы охраны окружающей среды
1.1. Состояние природных ресурсов: атмосферный воздух Одной из важнейших экологических проблем Донецкой области является загрязнение атмосферного воздуха. Ситуация с таким интенсивным загрязнением воздушного бассейна складывалась в процессе становления и развития промышленного региона на протяжении десятилетий. При постройке и эксплуатации промышленных объектов области экологическому аспекту уделялось очень мало внимания, хотя концентрация промышленных предприятий-гигантов наиболее экологически опасных отраслей промышленности (металлургия, энергетика, горнодобывающая) в Донецкой области является самой высокой на территории Украины. Работы по замене и модернизации оснащения с началом экономического кризиса и общего спада производства оказались практически "заморожены". Перед промышленными предприятиями реально становится проблема, связанная с выходом из порядка и неэффективной работой, или полным отсутствием газоочистительного оснащения за технологическими агрегатами, которые являются источниками выделения загрязняющих веществ. По состоянию на начало 2001 года ситуация практически не изменилась: почти 60 % технологических агрегатов не оснащенные газоочистительным оснащением, процент неэффективно работающих газоочистительных установок составляет около 15 %. По итогам 2000 года плотность выбросов от стационарных источников составила 67,7 тон на 1 км2, что почти в 9 раз большее, чем в среднем по Украине. В атмосферный воздух стационарными источниками загрязнения было выброшено 1590 тыс. т вредных веществ, или 40,2% общих выброс из по Украине (диаграмма 1).
Больше, чем другие страдают от загрязнения воздуха жители Мариуполя, Донецка, Дебальцево, Макеевки, Харцызска, Енакиево, Марьйинского и Старобешевского районов. Предприятия, которые расположены в этих административных единицах, выбрасывают свыше 72 процентов всех вредных веществ области. С 1985 г. наблюдалась тенденция постепенного снижения выбросов вредных веществ в атмосферный воздух как в целому по Украине, так и в Донецкой области. Причиной уменьшения загрязнение атмосферы было, прежде всего, снижение экономической активности, приостановление действия, или полное закрытие многих промышленных предприятий. За период 1985-1998 лет общий объем выбросов в Донецкой области от стационарных источников сократился на 1500 тыс. т (или на 47 %). С 1999 года в Донецкой области отмечается увеличение промышленного производства. Благодаря этому состоялось некоторое возрастание объема выбросов вредных веществ в атмосферный воздух стационарными источниками загрязнения. Но темпы возрастания выбросов загрязняющих веществ значительно меньше темпов роста промышленного производства. Так, в 1999 году промышленное производство в области возросло на 6,8% в сравнении с 1998 годом, а выбросы вредных веществ возросли на 1,7%, в 2000 году - соответственно на 12,2% и на 0,1 %. На фоне абсолютного уменьшения выбросов загрязняющих веществ в атмосферный воздух частица выбросов в Донецкой области выросшая с 24% до 40,2% в 2000 году (диаграмма 2)
Значительное влияние на состояние атмосферного воздуха области имеют подвижные транспортные средства. На протяжении 2000 года от них поступило в атмосферу 205,3 тысяч тон, которые составили 11,4% от общего количества вредных веществ, которые были выброшены в воздух. В структуре выбросов преобладают: пыль, двуокись серы, оксид углерода, оксиды азота, углеводные и улетучивающиеся органические соединения, на долю которых приходится большее 90% выбросов от стационарных источников загрязнения. [1]
ПРИМЕЧАНИЯ 3 ПДК не распространяется на аэрозоли неорганических и органических соединений (металлы и их соли, полимеры, биологические, лекарственные препараты и др.), для которых устанавливаются соответствующие ПДК 4 при совместном присутствии контроль проводится по ПДК хлорида железа
Механические методы. Объемно-манометрические газоанализаторы, несмотря на универсальность, избирательность и простоту эксплуатации, неприемлемы из-за низкой чувствительности (0,1 мг/л), невысокой точности, большой длительности анализа, невозможности эксплуатации в условиях тряски и вибрации. Магнитные методы. Область применения этих методов ограничена анализом газов, обладающих парамагнитными свойствами (O2 , NO, NO2 , N2 O), они отличаются невысокой точностью, малой чувствительностью (0,1 мг/л) и для контроля не пригодны. Тепловые методы. Термокондуктометрический метод характерен непрерывностью анализа, пригодностью для телеизмерений, неограниченностью диапазона измерений, возможностью анализа химически инертных компонентов, наибольшей предпочтительностью для измерения таких агрессивных газов, как SO2 , Сl2 , НС1, H2 S и др. Наряду с этим метод обладает и существенными недостатками, затрудняющими применение в автоматических системах контроля: высокий порог чувствительности при анализе малых концентраций, как правило, превышающий санитарные нормы; большая инерционность; нелинейность градировочной характеристики; электрическая зависимость коэффициента теплопроводности от окружающих условий (колебания атмосферного давления, скорости газообмена, температуры газовой среды, тока источника питания, вибрации и др.). Электрические методы. Высокая чувствительность (1 мг/м3 и лучше) и стабильность – весьма важные достоинства электрических методов. Большинство ионизационных методов являются недостаточно специфичными, требуют предварительного хроматографического разделения пробы. Отличается высокой чувствительностью, малой инерционностью, возможностью избирательного контроля большего числа газовых микропримесей. Недостаток его – низкая избирательность к отдельным органическим компонентам при совместном присутствии. В этом случае газоанализатор определяет либо их сумму, либо концентрацию определенных компонентов. Оптические методы. Из абсорбционных методов ультрафиолетовый метод имеет сравнительно меньшее распространение в связи с ограниченной избирательностью. Большинство приборов предназначено для определения содержания в воздухе паров ртути и хлора, известны ультрафиолетовые анализаторы для нитробензола и озона. Более предпочтителен с точки зрения избирательности ультрафиолетовый метод. Избирательность, высокая чувствительность, быстродействие, пригодность для непрерывных измерений, большой выходной эффект при малых приростах концентраций анализируемого газа обусловливают перспективность его для контроля 3В, несмотря на сложность инструментальных средств. Турбидиметрический, нефелометрический и радиоспектроскопический методы не получили широкого распространения для непрерывного контроля 3В. Применение анализаторов, основанных на поглощении газов лучистой энергии в видимой области спектра, вообще ограничено. В практике известны только приборы для измерения больших концентраций окислов азота. Интерферометрический метод применим лишь для бинарных смесей. Он получил распространение для лабораторных аналитических установок высокой точности, главным образом для переносных ручных газоанализаторов. Попытки обнаружения интерферометром примесей с близкими спектрами с помощью логических схем и параллельных активных фильтров приводят к неоправданно сложным конструктивным решениям. Рефрактометрический метод отличается высокой точностью, но, как и интерферометрический, не обладает избирательностью. Он используется преимущественно для анализа бинарных смесей. Эмиссионный метод используется в основном для определения концентраций инертных газов в бинарных смесях. Люминесцентный анализ — один из самых высокочувствительных и быстрых физико-химических методов обнаружения и идентификации органических и неорганических веществ. Сохраняя избирательность фотоколориметрии, флуоресцентный метод позволяет значительно повысить чувствительность. Однако люминесцентный анализ, как правило, осуществляется с помощью лабораторных приборов и применяется для автоматического контроля. Разновидность люминесцентного метода – хемилюминесцентный – не обладает избирательностью. Масс-спектрометрические методы. Общим достоинством этих методов является прецизионность, избирательность и высокая чувствительность анализа не только газов, но и твердых и жидких аэрозолей, способных переходить в газообразное состояние при давлении 30 – 40 мм рт. ст., что в определенной мере обусловливает универсальность методов. Недостаток – громоздкостью проборов, высококвалифицированное обслуживание. Абсорбционные методы. Недостатком всех разновидностей этих методов, кроме теплодинамического, является периодичность анализа. Тем не менее, газовые хроматографы наиболее универсальны из всех современных аналитических приборов, предназначенных для определения состава многокомпонентных газовых смесей. Сравнительная простота аппаратуры и возможность автоматизации делают метод перспективным для контроля 3В. Особенно большие возможности открывает комбинация хроматографического и масс-спектрометрического методов. Аэродинамический метод пригоден для измерения концентраций пыли более 500 мг/м3 , предпочтителен для непрерывного контроля запыленности дымовых газов. Акустический метод отличается невысокой точностью: затухание звука зависит от многих параметров контролируемой среды – влажности, температуры, давления, вязкости и др. Оптический метод, в частности фотометрический, может обеспечить высокую чувствительность анализа при небольших скоростях движения среды (0,05 – 0,5 – 6 м/с), достаточную точность, стабильность и надежность показаний. Радиоактивный метод позволяет осуществить анализ пыли в диапазоне 0—50 мг/м3 с точностью 5%. Несмотря на сложность конструктивных решений, затрудняющих их использование в некомфортных условиях, высокая чувствительность радиоактивного метода обусловливает его перспективность для санитарно-химического контроля 3В. Применение лазеров дало новый могущественный толчок к развитию ОА-метода. Одной из наиболее важных областей применения ОА-метода лазерной спектроскопии это анализ количеств атомов и молекул. Наиболее эффективный этот метод при детектировании примесей в газовых средах, в том числе в воздухе. Разработаны опытные промышленные образцы лазерных оптико-акустических спектрометров и газоанализаторов, которые успешно используют для контроля загрязнений воздуха, технологических процессов. Этот наиболее рациональный путь создания газоанализаторов, которые работают в ИК области спектра. Метод имеет высокую селективность и чувствительность. Существенной проблемой при анализе качества воздуха и выработке действенных мероприятий по поддержанию чистоты воздушного бассейна является фиксация и оперативная оценка как временных, так и пространственных колебаний концентраций отдельных ингредиентов. Временной фактор может быть обеспечен автоматизацией и непрерывностью процесса измерения. Пространственная плотность измерений в каждом конкретном случае выбирается на основе компромисса между требуемой точностью и экономическими возможностями. Наблюдения за загрязнением воздуха обычно проводятся на стационарных, маршрутных и передвижных (подфакельных) постах. Автоматические контрольно-измерительные станции (АКИС) в зависимости от специфики местных условий, частоты появления и вредного воздействия различных выбросов, как правило, рассчитаны на измерение концентраций одного или нескольких ингредиентов из следующего ряда: SO2 , СО, NОx , O3 , углеводороды (НС), Н2 S, СS2 , С12 , НС1, НF, NН3 , галогенированные углеводороды, амины. Наряду с вредными ингредиентами обычно измеряются температура, влажность воздуха, скорость и направление ветра. Это позволяет установить корреляцию с метеорологическими и климатологическими данными для идентификации источников выбросов, анализа причин временных изменений загрязнения воздуха. В Украине, институтом технической теплофизики разработана АСКЗВ второго поколения.Опыт создания и эксплуатации подобных АСКЗВ использован Минприбором Украины при разработке системы АНКОС-АГ, предназначенной для серийного внедрения. Назначение АНКОС-АГ, разработанной НПО “Нефтепромавтоматика”, совместно с рядом организаций, своевременное представление данных о фактическом и прогнозируемом состоянии воздуха городов соответствующим потребителям для принятия оперативных и планирования перспективных мер по борьбе с загрязнением. Система АНКОС-АГ предназначена для функционирования в качестве одного из звеньев общегосударственной автоматизированной системы контроля загрязнения окружающей среды.
Сброс загрязняющих веществ может осуществляться в различные среды: атмосферу, воды, почву. Выбросы в атмосферу являются основными источниками последующего загрязнения вод и почв в глобальном, а в ряде случаев и в региональном масштабе. Прямые измерения выбросов загрязняющих веществ являются наиболее эффективным способом контроля источников на локальном уровне. В глобальном масштабе приходится прибегать к косвенным оценкам выбросов, исходя из потребления топлива, сырья, технологии производства. Выбросы обычно разделяют на три основные группы: организованные, неорганизованные и распределенные. Организованные выбросы обычно производятся из дымовых труб, их характеризует большая высота выброса (десятки и сотни метров), высокие концентрации и большие объемы загрязняющих веществ. Неорганизованные выбросы связаны с поступлением загрязняющих веществ в атмосферу из производственных помещений предприятий, концентрация и объем загрязняющих веществ, обычно бывают существенно меньше, чем при организованных выбросах; выброс происходит на малых высотах — от уровня земли до первых десятков метров. Распределенные выбросы в основном связаны с транспортом, в первую очередь автотранспортом. Другой характерный источник распределенных выбросов – это обработка сельскохозяйственных угодий и других территорий ядохимикатами с помощью авиации, при которой часть веществ всегда остается в воздухе. Число антропогенных веществ, поступающих в природные среды, постоянно растет. Список только основных из них, имеющих достаточно широкое распространение составляет не менее 30 тыс. и возрастает за год на 1—2 тыс. Главную роль в загрязнении окружающей среды играет довольно ограниченное число веществ, не превышающее нескольких десятков. Состав выбросов. В выбросе обычно присутствую целый ряд веществ. Состав выброса определяется характером производства и его технологий. Представляется возможность выделить группу веществ, связанных со сжиганием ископаемого топлива: угля, нефтепродуктов и газа на предприятиях, электростанциях и транспорте. При полном сжигании топлива в атмосферу должны поступать углекислый газ и пары воды, а также окислы серы, азота и минеральные частицы, химический состав которых может сильно варьировать в зависимости от исходных включений различных соединений в топливо, Реально топливо редко сгорает полностью. Все газы и частицы, взаимодействуя с атмосферной влагой и реагируя друг с другом, превращаются в атмосферные аэрозоли. Из экспериментальных измерений аэрозолей, проведенных различными методами в самых разнообразных районах, найдено, что аэрозоли можно разделить на две группы, или фракции: тонкодисперсную и грубодисперсную, которые характеризуются определенными размерами и элементным составом. Основные процессы образования и превращения аэрозолей происходят в тонкодисперсной фракции. Аэрозоли тонкодисперсной фракции представляют собой ядра конденсации, частицы Айткена и кумулятивные частицы. Аэрозоли грубодисперсной фракции представляют собой в основном твердые частицы, привнесенные в атмосферу и оседающие под действием силы тяжести. В зависимости от географического района и химического состава такие аэрозоли следует подразделять на четыре типа: городские, природные, промышленных районов и дымовых факелов. Городские аэрозоли хорошо описываются логарифмически-нормальным распределением по размерам. Основным источником ядер конденсации в городских аэрозолях является автомобильный транспорт, а субмикронных, или кумулятивных, частиц – промышленные объекты, в то время как аэрозоли грубодисперсной фракции целиком обусловлены локальными источниками. То же относится к сильно загрязненной атмосфере примышленных районов. Концентрация аэрозолей грубодисперсной фракции (частиц от 1 до 100 мкм) во всех типах остается практически постоянной и составляет в объеме около 30 мкм3 /см3 . Систематические измерения распределения аэрозолей по размерам и их пространственно-временных вариаций позволяют установить более определенные взаимосвязи между природными аэрозолями и распределением источников, ростом и превращением частиц, их удалением из атмосферы и дальностью распространения благодаря переносу их с воздушными массами. Для идентификации аэрозоля с его источниками важное значение имеет измерение химического состава частиц, содержащихся в воздушных массах. Удовлетворительных способов измерения неорганизованных выбросов, а также выбросов от распределенных источников, в том числе от автотранспорта, практически нет. Следует указать, что контроль может давать наибольший эффект, когда он осуществляется специализированными организациями независимо от ведомств, которым принадлежат источники выбросов. Регистрация загрязняющих веществ на станциях мониторинга осуществляется инструментальными и ручными методами. Концентрации исследуемых веществ измеряются непосредственно в пункте наблюдения, вблизи поверхности земли. Исключение составляют лишь наблюдения за интегральным количеством озона во всей толще атмосферы на специальных озонометрических и фоновых станциях. На инструментальных и ручных методах основывается контроль выбросов организованными источниками. Между тем такие методы часто оказываются недостаточными для удовлетворительной количественной характеристики сложной пространственно-временной структуры полей концентрации загрязняющих веществ. При мониторинге источников загрязнения эти методы не могут обеспечить количественную характеристику выбросов не только неорганизованных и распределенных источников, но и организованных, если их число достаточно велико. Отмеченные трудности получения достаточно надежных данных в принципе могут быть преодолены при использовании дистанционных малоинерционных методов, позволяющих измерять концентрацию загрязняющих веществ в любой заданной точке пространства с координатами х, у, z в момент времени t. Такие методы обычно называют дифференциальными.[2] Наиболее очевидными являются возможности дистанционных методов, связанные с получением более детальной структуры полей концентрации по сравнению с обычными измерениями на станциях.
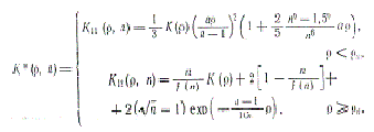
Для построения оптических моделей атмосферы и расчетов характеристик рассеяния для различных сред выбирают соответствующие законы распределения частиц f(r), состава и показателей преломления. Для различных состояний атмосферы вычисляются полидисперсные коэффициенты рассеяния для данных функций распределения по размерам, которые затем сравниваются с экспериментально измеренными значениями Bрас . Вот одна из аналитических моделей, хорошо зарекомендовавшая себя в практических применениях. В качестве ядра была принята полученная аппроксимированная функция Ми, справедливая для любых вещественных значений показателя преломления:
Представление фактора эффективности хорошо описывает аэрозоли с показателем преломления до 2,0. При наличии поглощения эта формула также может быть использована. Также было получено выражение для полидисперсного коэффициента рассеяния отдельно для малых и больших частиц в приближении Хюлста:
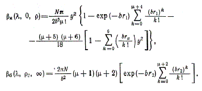
Таким образом, для функции распределения аэрозолей по размерам, имеем аналитическую модель полидисперсного коэффициента рассеяния для полного спектра «мягких» частиц, для малых частиц, для больших частиц, а также модель коэффициента рассеяния, справедливую для всего диапазона изменения вещественной части показателя преломления частиц (1,0 меньше n меньше 2,0) При исследовании аэрозоля в выбросах существенное значение имеет учет показателя преломления вещества аэрозоля, который несет в себе информацию о химическом составе аэрозоля. В этом плане использование описанной выше модели весьма перспективно. Эта модель неоднократно использовалась для определения параметров аэрозолей по оптическим измерениям. Построение аналитической модели коэффициента рассеяния, основанное на аналитическом решении прямой задачи атмосферной оптики с учетом оптических свойств аэрозоля, позволило использовать метод параметризации для отыскания свойств аэрозоля. Зависимости для полидисперсного коэффициента рассеяния позволяют определять параметры аэрозолей путем построения алгебраической системы уравнений. Аналитическое или графическое решение системы позволяет найти приблизительные значения параметров распределения аэрозолей из измерений в трех длинах волн. Эти приближенные значения могут служить, с одной стороны, для оперативных оценок аэрозолей, а с другой — в качестве начальных условий для метода оптимальной параметризации. Для получения более точных значений параметров аэрозоля и особенно счетной концентрации N по объемному коэффициенту рассеяния используется избыточность информации, полученной при лазерном зондировании. Для этого строится функционал вида
Минимизация этого функционала для отыскания оптимальных параметров модели осуществляется «методом оврагов». Ошибка в определении параметров модели коэффициента аэрозольного рассеяния, при условии корректности этой модели, может быть оценена из эмпирической дисперсии.[3] Использование лазерной техники и автоматизированная обработка эхо-сигналов позволяют получить статистически обоснованные значения параметров распределения частиц. Для выявления максимумов в распределении частиц по размерам хорошо иметь измерения, охватывающие широкий диапазон изменения длин волн зондирования. Например, для построения двухмодального распределения необходимо увеличить число длин волн до пяти. Однако, увеличение длин волн больше шести не приводит к увеличению информативности данных измерений для построения модели аэрозолей. Максимальный вклад в коэффициент рассеяния дают частицы размерами 0,1 —1,0 мкм, которые в большинстве своем состоят из сульфатов. Для определения распределения этих частиц достаточно проводить измерения в видимой области спектра. Применение метода оптимальной параметризации для оценки распределения аэрозоля по результатам лазерного зондирования является наиболее эффективным. А использование описанной выше модели аэрозоля позволяет проводить оперативную обработку эхо-сигналов непосредственно на борту лидарной системы, что невозможно сделать при использовании численных моделей. Использование аппроксимированной функции Ми в качестве ядра модели не приводит к большим ошибкам. При наличии данных, полученных путем длительных измерении концентрации аэрозольных загрязнений, присущих данному району, появляется возможность разделения антропогенного загрязнения и естественного аэрозоля, присущего данному району. Так как достаточно хорошо установлена однозначная корреляционная связь между сульфатными частицами и коэффициентом рассеяния или видимостью, то по непрерывным измерениям коэффициентов рассеяния и временным вариациям этого коэффициента даже на одной длине волны можно путем частотной селекции этих измерений разделить аэрозольные массы, привнесенные фронтами, и локальные естественные аэрозоли (местный фон). Первые из них характеризуются долгопериодными вариациями видимости или коэффициента рассеяния, а вторые — короткопериодными вариациями видимости. При наличии лазерного зондирования можно получать высотные профили коэффициента рассеяния, характеризующие высотное рассеяние аэрозольных концентраций. Таким же образом можно измерять концентрации аэрозолей в городах, которые тоже, несмотря на наличие источников, будут зависеть от химических и динамических процессов. Лидарные системы также позволяют измерить высотный профиль распределения сульфатных концентраций в слое перемешивания. Максимум концентрации сульфатов наблюдается на высоте 400—500 м. В настоящее время дальность зондирования промышленных образцов лидаров достигает 1—3 км. Исследования дальнего переноса с помощью лазеров путем измерения прозрачности и видимости можно проводить с самолетов и со спутников. Подобные измерения позволяют получать представление о глобальном переносе загрязняющих веществ в пространстве и во времени. Оперативные метеорологические спутники фиксируют яркость, контрастность облачности, с помощью этих данных можно строить карты крупномасштабных распределений атмосферной пыли, дымок и смога. Инфракрасный спектрометр позволяет с разрешением 4 км давать информацию о восходящем излучении в области 10,5—12,5 мкм. С помощью радиометра данные получают в области 0,54—0,70 мкм с разрешением 1 км. Измерения проводятся в 30-минутном интервале. Анализ данных метеорологических спутников показал, что пылевые вкрапления достаточно больших размеров хорошо коррелируют с сульфатными концентрациями. Таким образом, по спутниковым данным могут быть изучены процессы дальнего переноса и удаления примесей загрязняющих веществ из атмосферы. Четко идентифицируется увеличение загрязнений с приходом определенных фронтальных масс. Спутниковые данные, кроме того, позволяют экстраполировать характеристики видимости, связанные с присутствием аэрозольных загрязнений на больших высотах, до 100 км, что очень важно для высотной авиации. Кроме того, на основе спутниковых данных можно построить статистические и физические модели атмосферной турбулентности, видимости и распределения сульфатов. Отметим, однако, что для количественной оценки сульфатной массы необходимо преодолеть ряд трудностей, характерных вообще для спутниковых измерений. А именно: важно хорошо знать альбедо системы Земля—атмосфера и подстилающей поверхности. В этом .плане использование лазерных излучателей, установленных на Земле или спутнике, могут существенно упростить проблему в силу монохроматичности и стабильности излучения по мощности. Спектральные измерения со спутников позволяют оценить концентрации озона, S02 и др. Так, в 1976 г. с помощью спутников были обнаружены области с максимально высокими концентрациями озона (до 80 млрд-1). Определение таких ультравысоких концентраций и есть задача мониторинга. Лазерный мониторинг атмосферных аэрозолей позволяет оценить и скорость переноса аэрозолей с воздушными массами. Для этой цели служит лазерный доплеровскии измеритель скорости. В основе этого измерителя лежит непрерывно излучающий лазер.
ГИС (геоинформационная система) – система, предназначенная для сбора, хранения, преобразования и представления географической информации. Принципиальное отличие ГИС от экологических или других банков данных природной информации состоит в их явно выраженной региональной направленности, что достигается благодаря использованию картографических материалов как источника информации и объекта формализованной обработки. Наибольший эффект достигается, когда оперативность, точность, полнота, выразительность, доступность и комфортность в представлении информации, выходят на первый план. Это – мониторинг окружающей среды, обработка данных дистанционного зондирования, решение задач оптимального размещения промышленных предприятий. Использовалась в Луганской области для определения выбросов формальдегида фотометрическим методом. Основана на использовании модели Эйлера на грубой сетке и определялась локальной моделью вблизи источника. Состоит из БД, содержащих статистическую информацию о концентрациях примесей в ячейках сетки, вертикальных профилях параметров сетки, значения, получаемых от радиозондов, наземных станций и т.д. Недостаток заключается в том, что фотометрический метод сбора информации дает большую погрешность, плюс метод Эйлера при расчете дает погрешность расчета. В итоге погрешность расчета разовых концентраций может составлять 40-50%. [4] При реализации ГИС-проекта для бассейна Волги был сконфигурирован комплекс (АК-ГИС), объединяющий в себе модуль по приему спутниковой информации и модуль по ее обработке. При его создании использовались существующие или специально разработанные аппаратно-программные средства и методы, позволяющие обеспечить получение необходимого решения. В качестве базового графического пакета используется многофункциональный графический редактор Microstation, ядром системы программного обеспечения является модульная геоинформационная среда MGE, программные модули функционируют в операционных системах Unix и Windows NT. Описанная система приема и обработки ДЦЗ не является полностью завершенной, но она функционирует и позволяет решать многие задачи мониторинга природных комплексов Волжского бассейна аэрокосмическими методами. Был проведен научный поиск по теме «Мониторинг и контроль атмосферы промышленного района Донбасса по определенным вредным компонентам», анализ сложившейся ситуации с атмосферным загрязнением в Донецкой области, обоснована актуальность решения задачи расчета рассеяния ЗВ. Были изучены имеющиеся по данному вопросу компьютерные системы и проведен их анализ.
|




