Реферат: Оптовая торговля. Товарные запасы
|
Название: Оптовая торговля. Товарные запасы Раздел: Рефераты по экономике Тип: реферат | ||||||||||||||||||||||||||||||||||||||||||||||||||||||||||
Содержание ВВЕДЕНИЕ...………………………………………………………...... 3 1. Оптовый товарооборот и теоретическое обоснование методов управления товарооборотом торгового предприятия....……..................................................................... 5 1.1 Оптовый товарооборот…………….………………………..… 5 1.2 Товарные запасы……………………………………………..… 9 1.3 Оптимизация управления товарооборотом …………….…. 13 2. Организационно-правовая характеристика торгового предприятия ООО «ООО» и анализ показателей оборачиваемости товарных запасов и их структуры...………………………………..................................... 18 2.1 Общая характеристика предприятия……………………….. 21 2.2 Анализ показателей оборачиваемости товарных запасов и их структуры оптового предприятия ООО «ООО» ...…. 22 3. Мероприятия для улучшения управления товарооборотом оптового предприятия ООО «ООО» .….…………..….... 30 ЗАКЛЮЧЕНИЕ .……………………….………………....................... 40 Список использованной литературы ........................... 42 ПРИЛОЖЕНИЕ ………………………………………………………… 43 ВВЕДЕНИЕ Торговля является одной из важнейших отраслей народного хозяйства страны. Функции торговли весьма многогранны, обширны и дифференцированы. Торговля призвана решать исключительно важные задачи, информационные содержательные и методологические особенности которых проявляются на фоне общего механизма расширенного воспроизводства. Это механизм включает стадии производства материальных благ, распределения, обмена и их потребления. Все три стадии взаимосвязаны и взаимообусловлены и образуют сложную динамическую систему, находящуюся в состоянии непрерывных количественных изменений, многообразных структурных и функциональных преобразований. Стадия производства материальных благ является исходной, решающей. Однако материальные блага, несмотря на все их многообразие и обилие, не могут быть использованы по своему прямому назначению, если не будут доведены до потребителя. Ни одно торговое предприятие не может существовать без товарных запасов. От их объема и уровня в значительной мере зависят результаты коммерческой деятельности предприятия. Они чутко реагируют на любые изменения рыночной конъюнктуры, и, в первую очередь, на отношение спроса и предложения. Сам факт их существования не приносит их владельцам ничего, кроме затрат и убытков. Товарные запасы оптового предприятия ООО «ООО», их учет и анализ – содержание моей курсовой работы. Товарными запасаминазываются предметы потребления, находящиеся в сфере товарного обращения, а, попросту говоря, «запасным» считается товар, ожидающий момента своей продажи. После того, как товар оказывается проданным, он переходит в сферу потребления и перестает быть товарным запасом. Управление товарооборотом, или же товарными запасами направленно на повышение рентабельности и скорости обращения вложенного капитала. Оно предусматривает на стадии формирования товарных запасов – контроль уровня товарных запасов и обоснования оптимального объема заказов, на стадии реализации товарных запасов – изменение объемов и причин создания товарных запасов и разработка политики реализации сверхнормативных товарных запасов. Цель моей курсовой работы оценить состояние, состав, размещение товарных запасов оптового предприятия ООО «ООО», зависимость товарооборота – показателя хозяйственной деятельности от товарных запасов в разрезе отдельных товарных групп. 1. Оптовый товарооборот и теоретическое обоснование методов управления товарооборотом торгового предприятия. 1.1 Оптовыйтоварооборот Исторический процесс развития товарного хозяйства оказывал содействие обособлению сферы обращения и выделению в ней посреднических областей – оптовой и розничной торговли. В результате оптовой продажи товары не переходят в сферу личного потребления, они или поступают в производственное потребление, или приобретаются сетью розничной торговли для реализации населению. Таким образом, «оптовый товарооборот представляет собой совокупный объем продажи товаров производственными и торговыми предприятиями, а также посредниками другим предприятиям и юридическим лицам для следующей реализации населению или для производственного потребления»[1] . Роль и назначение оптовой торговли наиболее наглядно можно проследить при рассмотрении его функций. На макроуровне оптовая торговля выполняет разнообразные рыночные функции: -интегрирующая – по обеспечению взаимосвязей между партнерами-производителями, продавцами и покупателями – по нахождению оптимальных каналов сбыта продукции; -оценочная – по определению уровня общественно необходимых затрат работы через ценообразование; -организующая и регулирующая – по обеспечению рационального построения и гармонического функционирования экономической системы с помощью импульсов, которые стимулируют структурные изменения. Макроэкономические функции оптовой торговли трансформируются на микроуровне в разнообразные подфункции или функции оптовых торговых предприятий. Среди них можно назвать следующие: -функция экономической интеграции территорий и преодоления пространственного разрыва; -функция преобразования производственного ассортимента в торговый ассортимент товаров; -функция формирования запасов для страхования от изменений спроса на товары; -функция хранения; -функция доработки, доведения товара к необходимому качеству, фасования и упаковки; -функция кредитования своих клиентов, в особенности мелких розничных предприятий; -функция маркетинговых исследований рынка и рекламы. Развитие рыночных отношений оказывает содействие возникновению новых элементов в деятельности оптовых предприятий. Например, предоставления разнообразных услуг по управлению и консалтингу своим клиентам. В перечень специализированных услуг входят консультации по эксплуатации товаров, в особенности технически сложных, их ремонту и гарантийному обслуживанию. Функции оптовой торговли можно поделить также на две части: традиционные – главным образом организационно-технические (организация оптовой купли-продажи, складирования и хранения запасов, преобразования ассортимента товаров, их транспортирования) и новые, что возникают под влиянием развития рынка. Организация оптовой купли-продажи является одной из важнейших функций оптовой торговли с того времени, как в процессе общественного разделения труда она отделилась в самостоятельную область торговли. При контакте с производителями продукции оптовые посредники выступают в роли представителей спроса, а, предлагая товары покупателям, они действуют от лица производителя. Специализация оптовой торговли на выполнение контактной функции обеспечивает значительную экономию затрат обращения, которое предопределяет уменьшения числа контактов. В результате покупатель, то есть розничная торговля, экономит время, так как освобождается от закупок у великого множества производителей, снижает материальные затраты, связанные с хранением, формированием ассортимента товаров и их доставкой. Общеизвестным фактом является то, что хранения запасов в опте обходится значительно дешевле, чем их размещение в розничной сети. В особенности большое значение имеет хранения оптовыми предприятиями товаров, производство и спрос на которые имеют сезонный характер. Рассматривая опыт хранения товаров в развитых странах, следует отметить, что, несмотря на широкое развитие в них системы составов общего пользования, которые на коммерческой основе предоставляют свои площади товаровладельцам, оптовому звену принадлежит ведущая роль в накоплении товарных запасов. Оптовые организации более приспособлены для специализированного выполнения функции хранения, поэтому много корпораций, укрепив связи с оптовыми поставщиками, освободили розничные предприятия от операций по удержанию значительной части товарных запасов. Передача на хранение оптовым предприятиям готовой продукции, сырья, материалов выгодная и промышленным фирмам, которые носят сезонный цикл производства. С функцией хранения продукции тесно связанна функция преобразования ассортимента. В перечень операций, объединенных в данной функции, входят: сортировка товаров и их комплектация, дробление и укрупнение партий продукции, ее стандартизация. Другими словами, оптовые предприятия превращают промышленное предложение товара в ассортиментные группы, соответствующие спросу отдельных покупателей. Потребность в выполнении данной функции в особенности актуальна в современных условиях, когда из-за развития специализации производство эффективно лишь при выпуске массовых партий товаров, а потребление все в большей степени характеризуется возрастанием номенклатуры при небольших объемах закупок отдельных товаров. Оптовые предприятия организуют завоз товаров в разнообразные районы страны, благодаря чему совершенствуется территориальное разделение труда. В условиях формирования рыночного отношения роль торговли и его оптового звена неуклонно возрастает. Именно в условиях функционирования нормального рынка оптовая торговля должна стать активным рычагом для стимулирования возрастания эффективности производства, более полного удовлетворения потребностей покупателя, успешного развития всего народного хозяйства. 1.2 Товарные запасы Для осуществления беспрерывного процесса товарного обращения необходимые определенные запасы товаров. Товарный запас – это совокупность товарной массы, которая находится в сфере обращения и предназначена для продажи. Товарные запасы выполняют определенные функции: -обеспечивают непрерывность расширенного производства и обращения, в процессе которых происходят их систематическое образование и расходования; -удовлетворяют платежеспособный спрос населения, поскольку являются формой товарного предложения; -характеризуют соотношения между объемом и структурой спроса и товарного предложения. Необходимость образования товарных запасов предметов потребления вызвана следующими причинами: - непрерывностью процессов обращения; -сезонностью производства и потребления; -неравномерностью размещения производства и районов потребления; -непредвиденными колебаниями спроса и ритма производства; -необходимостью преобразования производственного ассортимента в торговый; -необходимостью образования страховых резервов, -другими причинами. Товарные запасы классифицируют по разнообразным признакам. Так, в зависимости от особенностей обращения они делятся на: товарные запасы текущего хранения, которые предназначены для удовлетворения повседневной потребности торговли в бесперебойной продаже товаров для населения; а также запасы товаров сезонного накопления и досрочного завоза, которые связаны с сезонностью производства и потребления отдельных товаров, с условиями их транспортирования в отдельные районы страны. При учете и планировании товарных запасов используются абсолютные и относительные показатели. Абсолютная величина товарных запасов может быть выражена в натуральных или в стоимостных единицах. Абсолютная величина товарных запасов – величина непостоянная. Она все время изменяется в зависимости от поступления и продажи товаров. Поэтому при анализе и планировании большое значение имеет сопоставление товарных запасов с товарооборотом. С этой целью товарные запасы выражаются в днях. Этот показатель – относительный, он характеризует величину товарного запаса, который находится на предприятии торговли на определенную дату, и показывает, на сколько дней торговли хватит товарных запасов. Размеры товарных запасов непосредственно связаны со скоростью обращения товаров. При неизменном объеме товарооборота ускорения оборотности товаров приводит к снижению товарных запасов, и, наоборот, замедления оборотность требует большей массы товарных запасов. Ускорение времени обращения товаров имеет большое значение: повышает экономическую эффективность всего общественного производства, влияет на темпы воспроизведения, являясь вместе с тем важным условием повышения рентабельности торговой деятельности предприятия. Оборотность товаров можно ускорить только за счет усовершенствования всей торгово-коммерческой и экономической работы предприятия. Это требует глубокого понимания влияния разнообразных факторов на формирование товарных запасов. Одни из этих факторов ускоряют скорость обращения товаров и благодаря этому объективно уменьшают необходимую величину запасов, другие, наоборот, замедляют скорость товарного обращения и благодаря этому увеличивают размер запасов. Зная это, можно обнаружить резервы ускорения оборотности запасов предприятия, снизить затраты на образование и хранение товарных запасов. К основным факторам, которые влияют на оборотность и величину товарных запасов, относятся следующие: - соотношения между спросом и предложением товаров. В условиях, когда спрос населения превышает предложение товаров, резко ускоряется их оборотность, товарооборот осуществляется с меньшими товарными запасами. По мере увеличения предложения товаров, насыщения рынка, наблюдается некоторое замедление скорости обращения товаров. Изучения спроса населения – одно из условий, которые оказывают содействие нормализации товарных запасов; - сложность ассортимента товаров. Время обращения товаров сложного ассортимента, как правил, намного превышает время обращения товаров простого ассортимента; - организация и частота завоза товаров. Чем чаще завозятся товары в магазин, тем с меньшими товарными запасами можно выполнить план товарооборота. В свою очередь частота завоза зависит от местонахождения торговых предприятий, условий транспортирования, размещения производственных предприятий. Чем ближе размещенные промышленные предприятия или оптовые базы к районам потребления, тем чаще вырабатывается завоз товаров, тем менее времени расходуется на их доставку. Высокая частота завоза характерна для товаров, которые быстро портятся; - потребительские свойства товаров. Они или уменьшают, или увеличивают время оборота. - ритмичность поступления товаров в течение квартала и месяца, порядок завоза товаров. На обращение товаров влияет и великое множество других факторов: организация рекламы и продажи товаров, транспортные условия, состояние материально-технической базы, особенности фасования товаров и т.п. Важное значение имеют квалификация кадров и уровень руководства сложным торговым процессом, организация работы и т.п. 1.2 Оптимизация управления товарооборотом В развитых странах управление товарооборотом базируется на использовании мощных информационных технологий, которые разрешают практически каждый день наблюдать его состоянием и динамикой, автоматически осуществлять размещения заказов через компьютерную сеть и пополнять запасы к оптимальному уровню. Наиболее распространенные системы управления запасами, которые основанные на использовании «модели EQQ, средства красной линии, двухсекторного средства»[2] . В последнее время получил распространение метод управления запасами по принципу Just-In-Time. При этом полнота и достоверность информационной базы обеспечивается за счет автоматизации учета и использования международной системы кодирования товаров. Общий принцип, на котором основанные все системы управления запасами – это взаимосвязь входных и исходных параметров, которые указаны на рисунке 1.
Объем заказа
Операционный
Рисунок 1. Система управления запасами Такие системы создаются для наиболее эффективного решения следующих проблем: - реальной оценки текущего состояния запасов; -установления необходимых сроков размещения заказов; - определения целесообразного объема партии товаров, который заказывается; - определения необходимого объема страховых запасов; - оценка затрат управления запасами и средств их минимизации. Первая проблема решается путем использования систем контроля уровня запасов, которые обеспечивают управленческие потребности в оперативной информации о динамике их реализации и текущего состояния. Существующие системы контроля уровня запасов варьируют от наиболее простых к достаточно сложным в зависимости от размера предприятия, политики и технологии менеджмента, объема, видов и других особенностей запасов. Распространенными системами контроля уровня запасов являются системы, основанные на применении средств «красной линии». Суть средств состоит в фиксации предельной границы, ниже которого уровень запасов не должен опускаться. При достижении этой границы происходит автоматическое размещение нового заказа. Второй тип систем контроля основанный на использовании «двухсекторного средства», в соответствии с которым запасы для хранения содержатся в двух секторах – рабочем и резервном. Когда запасы рабочего сектора исчерпаны, включаются два процесса – пополняется рабочий сектор за счет резервного, и размещается новый заказ. Широкое распространение в развитых странах получил классификационный подход к управлению запасами (ABCsystem). Его идея состоит в использовании классификации запасов и выделении трех групп – А, В, и С, в зависимости от степени влияния данного вида запасов на возрастание товарооборота предприятия. К группе А относят запасы, реализация которых вносит наибольший вклад в объем товарооборота в денежном выражении. К этой группе относятся запасы, которые обеспечивают 70% объема реализации. Как правило, это наиболее дорогие товары, и их удельный вес в объеме запасов в натуральном выражении не превышает 10%. Запасы этого вида требуют особого внимания менеджеров и использования количественных средств и моделей для оптимизации принятия решений. К группе В относят запасы среднего уровня важности, которые обеспечивают 20% объема реализации предприятия. Их удельный вес в натуральном выражении, как правило, составляет около 20%. Выбор средств управления запасами группы В должен быть основан на сопоставлении затрат на управление и экономического эффекта от их использования. Товарные запасы, реализация которых имеет незначительный вклад в объем товарооборота, порядка 10%, относят к группе С. Достаточно часто они составляют значительную часть в объеме запасов в натуральном выражении, – около 70%. К управлению запасами группы С нецелесообразно применять сложные количественные методы управления, так как при этом, затраты на управление могут быть больше экономического эффекта от их использования. Принцип классификации запасов на группы по их важности для предприятия приведен в таблице 1. Таблица 1 – Классификация запасов (АВС system).
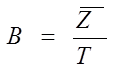
Относительно новым подходом к управлению запасами, есть принцип управления Just-In-Time («просто своевременно»). Этот подход впервые был использован японскими корпорациями, а после этого нашел распространение во всем мире. Основная идея состоит в том, что запасы практически не создаются, а процесс доставки товаров поставщиками жестко согласован с технологическим процессом на предприятии. В нынешнее время такой подход эффективно используется компаниями Toyota, GeneralMotors и многими другими. Эта система разрешает получить значительный экономический эффект за счет доведения затрат хранения к нулю. Однако, высокий уровень требований к точности функционирования системы снабжений и риск возможных ошибок, которые приведут к нарушению технологии, не разрешает использовать этот подход в странах с неразвитой информационной и коммуникационной инфраструктурой. Управления большинством торговых компаний развитых стран основано на использовании компьютерной технологии. Системы управления включают автоматизированную систему учета запасов и размещения заказов у поставщиков. Движение каждой единицы товаров, с помощью магнитного штрихового кодирования, отражается в базе данных, которая охватывает информацию по всей торговой сети компании. Система управления базами данных разрешает постоянно обновлять информацию о состоянии запасов, автоматически размещать заказы через компьютерную сеть и учитывать информацию о пополнении запасов. При этом информация о реализации товаров поступает в систему управления товарными запасами, дебиторской задолженностью и денежными средствами и обрабатывается на основе встроенного в систему модельного инструментария. 2. Организационно-правовая характеристика торгового предприятия ООО «ООО» и анализ показателей оборачиваемости товарных запасов и их структуры В условиях рынка в осуществлении хозяйственного вида деятельности всегда имеется элемент риска. Он выражается в производстве изделия, которое может получить недостойный спрос, в потере прибыли, банкротстве и т.д. Следовательно, стремление уменьшить степень риска требует проведения тщательных экономических расчетов результатов работы на всех участках производственно-хозяйственной и коммерческой деятельности предприятия, их анализы и оценки. Их осуществление предполагает наличие соответствующих критериев оценки, экономических показателей и соответствующих методов расчета, учета и обобщения. Многообразие свойств и признаков различных видов производственно-хозяйственной и коммерческой деятельности предприятия обусловливает и многообразие показателей. При этом проблема их использования состоит в том, что ни один из них не выполняет роль универсального показателя, по которому однозначно можно было бы судить об успехах или неудаче в бизнесе. Поэтому на практике всегда используют систему показателей, которые связаны между собой и оценивают или показывают различные стороны деятельности предприятия. Выделяют показатели индивидуальные, групповые (частные) и общие . В зависимости от цели анализа показатели могут выражаться в форме абсолютных, относительных и средних величин. Каждый конкретный экономический показатель имеет качественную определенность (пространства, времени и количества). Число, лишенное хотя бы одной из двух определенностей, не является показателем. Согласно установившейся практике, под критерием понимается признак, позволяющий производить сравнительную оценку вариантов деятельности, расчетов, характеризующихся многими признаками. Показатель – это «тоже признак, но характеризующий какую либо одну сторону явления, действия, их количественную или качественную характеристику (сторону) или степень выполнения определенной задачи. В нашей стране наукой и практикой была сформирована система экономических, финансовых и статистических показателей, разработаны методы их расчета и учета, но они были рассчитаны на централизованно-плановую систему хозяйствования»[3] . С переходом к рыночным отношениям эта система показателей как в части их расчета и учета, так и роли в обосновании решений претерпела и претерпевает определенные изменения. Так, например, если в условиях плановой системы хозяйствования в оценке деятельности предприятия важную роль сыграли такие показатели, как выполнение плана, объем товарной продукции, объем валовой продукции, то в условиях рынка на первое место выдвигаются показатели: объем продаж, прибыль, рентабельность и целый ряд оптимизационных. Ориентировка производства на удовлетворение спроса резко усилила значение оценки различных вариантов удовлетворения спроса. Все показатели исходя из требований рынка можно разделить на: - Оценочные, характеризующие достигнутый или возможный уровни развития или результатов той или иной деятельности; - Затратные, отражающие уровень затрат по осуществлению различных видов деятельности. Такое деление весьма условно. Оно зависит от цели производимого анализа. К примеру, показатель «издержки производства» в одном случае может рассматриваться как оценочный, характеризующий достигнутый уровень затрат труда, а в другом случае (при планировании) определяться как затратный, позволяющий установить количество затрат при оказании услуг. То же можно сказать о значимости показателей. Это во многом зависит от характера (вида) деятельности. Например, показатель прибыли, несмотря на всю его важность, далеко не всех интересует в одинаковой степени: арендодателя (земли, зданий, оборудования и др.) больше интересует движение ликвидности в компании, а акционеров интересует не только размер дивидендов, но и курс акций, который зависит от темпов роста объема их продаж. Из сложившейся практики следует, что наиболее важными оценочными показателями, которые получили широкое применение, являются: o Общий объем продаж предприятия o Валовая прибыль o Условно чистая прибыль o Условно чистая продукция o Прибыль после уплаты процентов по займам и кредитам o Прибыль после уплаты налогов o Прибыль после выплаты всех дополнительных платежей o Ликвидность после осуществления новых капиталовложений в развитие производства o Ликвидность после уплаты дивидендов. o Производительность системы (предприятия) в целом и ее отдельных элементов. 2.1 Общая характеристика предприятия Компания ООО «ООО» работает на российском рынке с декабря 2004 года, и за такой короткий срок уже достигла значительных успехов. Фирма занимается оптовой торговлей, значительную часть оборота занимают товары промышленного химического сырья и товары нефти и газа, продуктов их переработки, незначительную – перевозка грузов, а также оказания других видов транспортных услуг. Целью деятельности «Общества является осуществление производственно-хозяйственной и коммерческой деятельности, направленной на удовлетворение общественных потребностей и получение прибыли. Общество вправе осуществлять любые виды деятельности, не запрещённые законом. Отдельными видами деятельности, перечень которых определяется законом»[4] . ООО «ООО» является дистрибьютором по Саратовской области таких известных заводов как «ТНК B.P.», «Шеврон Лубриканс Texaco», «ZicSK», «Газпромнефть». ООО «ООО» имеет розничный магазин в городе Энгельсе. Центральный офис расположен по адресу: г. Саратов, ул.. За эти годы сформирована значительная сбытовая сеть в городе Саратове и Энгельсе, а также по Саратовской Области, фирма заработала хорошую репутацию в деловых кругах. 2.2 Анализ показателей оборачиваемости товарных запасов и их структуры оптового предприятия ООО «ООО» Потребность организации в запасах зависит от быстроты их оборачиваемости. Оборачиваемость запасов характеризуется двумя показателями: временем обращения и скоростью товарооборота. Время обращения (В ) показывает число дней, за которые был реализован средний товарный запас в прошедшем периоде, и вычисляется по формуле:
где Т – фактический однодневный товарооборот этого же периода, руб. Скорость товарооборота (С ) показывает число оборотов среднего товарного запаса и определяется по формуле:
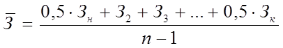
где О – объем товарооборота, руб. Средние товарные запасы вычисляются в зависимости от наличия известных данных: - если имеются данные на две даты, это используют среднюю арифметическую простую:
где Зн – товарные запасы на начало периода, руб.; Зк – товарные запасы на конец периода, руб. - если имеются данные на три даты и более, то применяется средняя хронологическая.
где З2, З3 … - запасы товаров на определенные даты, руб., n – количество дат. Однодневный товарооборот определяется путем деления общего объема товарооборота на число дней в периоде:
где t – число дней в периоде. Произведем вычисления показателей оборачиваемости по вышеуказанным формулам, на основании данных ПРИЛОЖЕНИЯ А. Результаты оформим в сводную таблицу 2. Для расчета средних товарных запасов в отчетном и базисном периодах применим формулу средней хронологической:
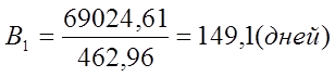
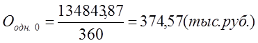
Далее определим однодневный фактический товарооборот за год:
Определим время обращения запасов:
Определим скорость обращения:
Таблица 2 – Показатели оборачиваемости товарных запасов ООО «ООО» за 2007-2008 г.г. тыс. руб.
Средние товарные запасы имеют тенденцию к возрастанию. Так, в отчетном периоде их величина составила 69024,61 тыс. руб., что больше базисного периода на 38565,26 тыс. руб. или на 126,61%. Это обусловлено возрастанием товарооборота на 23,6 % и политикой завоевания сектора рынка, которая предусматривает постоянный поиск новых клиентов по всей Саратовской области, которая в свою очередь требует наличия значительных товарных запасов для удовлетворения новых непрогнозируемых заказов. Время обращения товаров составляет 149,1 дней, а скорость обращения в количестве оборотов за год средних запасов – 2,4 раза, то есть средние запасы за год сделали 2,4 оборота. Скорость снизилась почти в 2 раза. Это связано с увеличением товарных запасов. Каждое предприятие старается ускорить скорость обращения товарных запасов, это влияет на общее состояние и прибыльность деятельности. Анализируемому предприятию важно стремиться к балансу между товарооборотом и запасами, чтобы увеличить скорость обращения товаров. Динамика товарооборота за последние 2 года работы ООО «ООО» представлена в ПРИЛОЖЕНИИ Б. В полном объеме товарные запасы выполняли свои главные функции в первых трех кварталах 2008 года, то есть обеспечивали бесперебойный товарооборот в периодах между поставками. Тогда как в первом и третьем кварталах 2007 года ощущался дефицит товарных запасов. Структура товарных запасов, представлена в ПРИЛОЖЕНИИ В, должна обеспечивать нормальный уровень товарооборота, как в целом, так и по отдельным группам. Ведутся постоянные расчеты, которые направленные на постоянный поиск оптимальной структуры товарных запасов. Структура поступлений проиллюстрирована в ПРИЛОЖЕНИИ Г, где наибольшую часть занимают товары моторные масла отечественного производства, которые обусловлены специализацией деятельности фирмы. По мнению ведущих специалистов отдела маркетинга фирмы «ООО» именно этот сегмент рынка наиболее пригоден для экспансии, поэтому именно сюда направлены главные усилия. Но другие товарные группы также рассматривались как довольно перспективные, в связи с, хотя и незначительным, но улучшением материального состояния и постоянным ростом автопрома. Все товарные группы не требуют особых условий хранения и имеют длительный срок годности, что разрешает создавать сезонные товарные запасы. В целом ассортимент довольно широкий и охватывает почти все возможные товарные группы, а также различные марки и бренды. На формирование товарных запасов влияет много факторов, но важно выделить именно те, которые осуществляют наибольшее влияние на конкретном предприятии. Эти факторы делятся на внутренние и внешние. Внутренними факторами на предприятии является широта ассортимента, частота его обновления, объем и структура товарооборота. Широта ассортимента компании «ООО» очень большая и достигает 1200 наименований товаров. Такая ситуация требует более высокого уровня товарных запасов благодаря необходимости поддерживать нормальный товарооборот. Вышеуказанная широта ассортимента обусловлена спецификой избранного вида деятельности и определенным уровнем несовместимости продукции разных производителей (не во всех случаях возможно товары одного производителя дополнить товарами другого), и широкой диверсификацией российского потребительского рынка. Наличие филиалов и представителей, которые не имеют значительных складских возможностей, тоже требует повышения уровня товарных запасов. Частота обновления ассортимента незначительна, так как широта ассортимента охватывает основную часть ассортимента. Поэтому этот фактор мы учитываем, но исключительно с целью учесть возможные изменения спроса в будущем. Внешними факторами являются качество продукции, сезонность и колебания спроса, уровень наполнения товарного рынка и сроки хранения товаров. Качество продукции, которое предоставляет ООО «ООО» отвечает мировым стандартам и имеет низкий уровень брака, но все-таки уровень запаса увеличивается, чтобы иметь возможность удовлетворить жалобы клиентов не теряя оптимального баланса между товарооборотом и товарными запасами. Качество продукции, которое в свою очередь, влияет на цену товара, является особым фактором, который влияет на замедление скорости обращения товарных запасов в периоды углубления кризов, которые сопровождается значительным падением покупательского спроса. При формировании товарных запасов использовались исключительно собственные средства предприятия. Если заимствования и имели место, то они были настолько краткосрочными, что не осуществляли значительного влияния на финансовое состояние предприятия. Потери экономической прибыли от неиспользования заемных средств компенсируются высоким уровнем платежеспособности предприятия. 3. Мероприятия для улучшения управления товарооборотом оптового предприятия ООО «ООО» Управление запасами, сформированными за счет оборотного капитала, представляет сложный комплекс мероприятий, в котором задачи финансового менеджмента тесным образом переплетаются с задачами производственного менеджмента и маркетинга. Все эти задачи подчинены единой цели – обеспечению бесперебойного процесса производства и реализации продукции при минимизации текущих затрат по обслуживанию запасов. Эффективное управление запасами позволяет снизить продолжительность производственного и всего операционного цикла, уменьшить текущие затраты на их хранение, высвободить из текущего хозяйственного оборота часть оборотного капитала, реинвестируя его в другие активы. Обеспечение этой эффективности достигается за счет разработки и реализации специальной финансовой политики управления запасами. Политика управления запасами представляет собой часть общей политики управления использованием оборотного капитала предприятия, заключающаяся в оптимизации общего размера и структуры запасов товарно-материальных ценностей, минимизацией затрат по их обслуживанию и обеспечение эффективного контроля за их движением. Разработка политики управления запасами охватывает ряд последовательно выполняемых этапов работ, основными из которых являются: 1. анализ запасов товарно-материальных ценностей в предшествующем периоде; 2. определение целей формирования запасов; 3. оптимизация размера основных групп текущих запасов; 4. оптимизация общей суммы запасов товарно-материальных ценностей, формируемых за счет оборотного капитала; 5. построение эффективных систем контроля за движением запасов на предприятии. Для разработки этой политики необходимо разобраться с нормами запасов. Нормой запаса называется расчетное минимальное количество предметов труда, которое должно находиться у производственных или торговых предприятий для обеспечения бесперебойного снабжения производства продукции или реализации товаров Существуют три группы методов определения норм запасов: эвристические, методы технико-экономических расчетов и экономико-математические методы. Эвристические методы предполагают использование опыта специалистов, которые изучают отчетность за предыдущий период, анализируют рынок и принимают решения о минимально необходимых запасах, основанные, в значительной степени, на субъективном понимании тенденций развития спроса. Сущность метода технико-экономических расчетов заключается в разделении совокупного запаса в зависимости от целевого назначения на отдельные группы, например, номенклатурные позиции (или ассортиментные позиции в торговле). Далее для выделенных групп отдельно рассчитывается страховой, текущий и сезонные запасы, каждый из которых, в свою очередь, может быть разделен на некоторые элементы. Например, страховой запас на случай повышения спроса или нарушения сроков завоза материалов (товаров) от поставщиков. Методы управления запасами предприятия часто называют системами контроля состояния запасов. Контроль состояния запасов - это изучение и регулирование уровня запасов продукции производственно-технического назначения и товаров народного потребления с целью выявления отклонений от норм запасов и принятия оперативных мер к ликвидации отклонений. Можно выделить следующие системы контроля состояния запасов: с фиксированной периодичностью заказа; с фиксированным размером заказа. Остальные системы представляют собой разновидности этих двух систем. Контроль состояния запасов по системе с фиксированной периодичностью заказа осуществляется через равные промежутки времени посредством проведения инвентаризации остатков. По результатам проверки осуществляется заказ на поставку новой партии товаров. Размер заказываемой партии товара определяется разностью предусмотренного нормой максимального товарного запаса и фактического запаса. Поскольку для исполнения заказа требуется определенный период времени, то величина заказываемой партии увеличивается на размер ожидаемого расхода на этот период. Размер заказываемой партии (Р) определяется по следующей формуле: Р = З макс - (Зф - Зт ), (6) где З макс - предусмотренный нормой максимальный запас; Зф - фактический запас на момент проверки; Зт - запас, который будет израсходован в течение размещения и выполнения заказа. Графическая модель системы контроля за состоянием запаса с фиксированной периодичность заказа представлена на рисунке 2. Интенсивность спроса, характеризуемая углом наклона участков линии, описывающей изменение запасов, в этой модели является величиной переменной (угол наклона различных участков ломаной - неодинаков). А поскольку заказ осуществляется через равные промежутки времени, то величина заказываемой партии в разных периодах также будет различна. Естественно, применять эту систему можно тогда, когда есть возможность заказывать партии, различные по величине (например, в случае применения контейнерной доставки заказываемого товара эта система не применима). Кроме того, систему не применяют, если доставка или размещение заказа обходится дорого. Например, если спрос за прошедший период был не значителен, то заказ также будет незначителен, что допустимо лишь при условии несущественности расходов, связанных с выполнением заказа. Особенностью описываемой системы является также и то, что она допускает возникновение дефицита. Как видно из графика, если спрос резко усилится (то есть график круто уйдет вниз - участок А), то запас закончится до наступления срока подачи заказа. Это означает, что система применима, когда возможные потери от дефицита для предприятия также несущественны. Подводя итог, отметим, что система контроля с фиксированной периодичность заказа применяется в следующих случаях: 1. условия поставки позволяют получать заказы различными по величине партиями; 2. расходы по размещению заказа и доставке сравнительно невелики; 3. потери от возможного дефицита сравнительно невелики.
Рис. 2. Система контроля состояния запаса с фиксированной периодичностью заказа. Условные обозначения: Т – интервал времени, через который повторяется заказ (в нашем случае – 3 дня) – для данной системы величина постоянная; t – время, необходимое на размещение и выполнение заказа (в приведенном примере – 1 день); Р1 , Р2 , …, Рi – величина отдельного, i-го заказа; З макс – предусмотренный нормой максимальный запас; З ф – фактический запас на момент проверки; З t – запас, расходуемый за время t, необходимое для размещения и выполнение заказа; А – период времени с интенсивным спросом; В – период времени с нулевым запасом. На практике по данной системе можно заказывать один из многих товаров, закупаемых у одного и того же поставщика, товары, на которые уровень спроса относительно постоянен, малоценные товары и т.д. В системе контроля за состоянием запасов с фиксированным размером заказа размер заказа на пополнение запаса является величиной постоянной. Интервалы времени, через которые производится размещение заказа, в этом случае могут быть разными (рис. 3). Нормируемыми величинами в этой системе являются величина заказа, размер запаса в момент размещения заказа (так называемая «точка заказа»[5] ) и величина страхового запаса. Заказ на поставку размещается при уменьшении наличного запаса до точки заказа. Как следует из чертежа, после размещения заказа запас продолжает уменьшаться, так как заказанный товар привозят не сразу, а через какой-то промежуток времени t. Величина запаса в точке заказа выбирается такой, чтобы в нормальной, рабочей ситуации за время t запас не опустился ниже страхового. Если же спрос непредвиденно увеличится (линия графика резко пойдет вниз - участок А графика), или же будет нарушен срок поставки (t¢ > t- участок В графика), то начнет работать страховой запас. Коммерческая служба предприятия в этом случае должна принять меры, обеспечивающие дополнительную поставку. Как видим, данная система контроля предусматривает защиту предприятия от образования дефицита. На практике система контроля состояния запаса с фиксированным количеством заказа применяется преимущественно в следующих случаях: -большие потери в результате отсутствия запаса; -высокие издержки по хранению запасов; -высокая стоимость заказываемого товара; -высокая степень неопределенности спроса; -наличие скидки с цены в зависимости от заказываемого количества. Система с фиксированным размером заказа предполагает непрерывный учет остатков для определения точки заказа.
Рис. 3. Система контроля состояния запасов с фиксированным размером заказа Условные обозначения: Т1 , Т2 , …, Тi – величина отдельного i-го периода времени, через который повторяется заказ; t – время, необходимое на размещение и выполнение заказа (в приведенном примере – 1 день); Р – размер заказа, для данной системы контроля величина постоянная; А – период непредвиденного усиления спроса; В – период, в котором было допущено нарушение установленного срока поставки; t' – фактический срок поставки в период В. После того как сделан выбор системы пополнения запасов, необходимо количественно определить величину заказываемой партии, а также интервал времени, через который повторяется заказ. Оптимальный размер партии поставляемых товаров и, соответственно, оптимальная частота завоза зависят от следующих факторов: -объем спроса (оборота); -расходы по доставке товаров; -расходы по хранению запасов. В качестве критерия оптимальности выбирают минимум совокупных расходов по доставке и хранению. И расходы по доставке, и расходы по хранению зависят от размера заказа, однако, характер зависимости каждой из этих статей расходов от объема заказа разный. Расходы по доставке товаров при увеличении размера заказа уменьшаются, так как перевозки осуществляются более крупными партиями и, следовательно, реже. График этой зависимости, имеющей форму гиперболы, представлен на рис. 4.
Рис. 4. Зависимость расходов на транспортировку от размера заказа Расходы по хранению растут прямо пропорционально размеру заказа. Эта зависимость графически представлена на рис. 5.
Рис. 5. Зависимость расходов на хранение запасов от размера заказа Сложив оба графика, получим кривую, отражающую характер зависимости совокупных издержек по транспортировке и хранению от размера заказываемой партии (рис. 6).
Рис. 6. Зависимость суммарных расходов на хранение и транспортировку от размера заказа. Оптимальный размер заказа – Sопт Задача определения оптимального размера заказа, наряду с графическим методом, может быть решена и аналитически по формуле Уилсона, позволяющей рассчитать оптимальный размер заказа: S
опт
=
где S опт – оптимальный размер заказываемой партии в штуках; О – необходимый объем закупки товаров (запаса) в год в штуках; Ст – затраты, связанные с размещением, доставкой, приемкой партии заказанного товара; Сх – затраты, связанные с хранением единицы запаса в год. Все рассмотренные выше системы контроля уровня запасов применимы лишь к весьма ограниченному спектру условий функционирования и взаимодействия поставщиков и потребителей. Повышение эффективности использования систем управления запасами в логистической системе организации приводит к необходимости разработки оригинальных вариантов рассмотренных выше систем контроля уровня запасов. Российским предприятиям необходимо разработать определенную систему управления запасами, чтобы поддерживать ритмичность производства и снизить затраты на закупку и хранение запасов. Даже лучшие достижения стратегии и тактики управления товарами нуждаются в постоянных усовершенствованиях, которые связаны с изменениями, которые постоянно происходят во внешней среде. В условиях повышения рентабельности автоматически поднимается вопрос о применении заемных средств. Частью заемной политики фирмы есть система управления дебиторской задолженностью. Она влияет на товарные запасы через срок оборота товаров. На фирме ООО «ООО» эта система ограничивается ценовым дисконтом за предыдущую оплату, надбавками за увеличение срока оплаты, и штрафными санкциями за нарушение условий договора. Но на фирме отсутствующая система оценки платежеспособности клиента, вероятности задержки платежа или неспособности клиента отвечать за своими обязательствами. Применение штрафных санкций невыгодно в существующих экономических условиях, так как затраты времени и средств на судебное дело, в большинстве случаев, превысят поступление. Исходя из этого, по моему мнению, следует применить систему заемного ранжирования, которая разрешает на основе статистической обработки информации в клиентах ранжировать их за степенью платежеспособности и надежности. Так, наиболее часто используют методы многофакторного анализа, которые разрешают учесть влияние разных факторов на финансовое состояние клиента на промежутке времени, которое рассматривается, и с высоким уровнем точности оценить перспективы сотрудничества. Одной из таких систем есть система 5С (The five C's system[6] ), которая основана на анализе пяти главных характеристик клиентов: характера (система ценностей в бизнесе), имущественного состояния, капитала, возможности обеспечения задолженности залогом, общих условий деятельности предприятия . Также, по моему мнению, следует уделить значительное внимание изучению рынка, усовершенствование рекламной деятельности. Фирма исследовала рынок города Саратова и некоторых областных центров но значительное количество регионов осталось без внимания. Даже учитывая то, что платежеспособный спрос там ниже чем в Саратове, но для ускорения скорости оборота товарных запасов следует уделить еще больше внимания. Привлечение регионов должны отметиться в повышении товарооборота и росте скорости оборота товарных запасов. Углубленное изучение рынка разрешит максимально оптимизировать структуру товарных запасов. Возможно, нужно уменьшить ассортимент товаров, которые имеют очень медленную скорость оборота, или повысить ее за счет проведения широкой рекламной кампании. Целесообразным будет применение классификационного подхода к управлению запасами (ABC system). Его идея заключается в использовании классификации запасов и выделении трех групп – А, В, и С, в зависимости от степени влияния данного вида запасов на рост товарооборота предприятия. К группе А относят запасы, реализация которых вносит наибольший вклад в объем товарооборота в денежном выражении. К этой группе относятся запасы, которые обеспечивают 70% объема реализации. Как правило, их удельный вес в объеме запасов в натуральном выражении не превышает 10%. К группе В относят запасы среднего уровня важности, которые обеспечивают 20% объема реализации предприятия. Их удельный вес в натуральном выражении, как правило, составляет возле 20%. Товарные запасы, реализация которых имеет незначительный вклад в объем товарооборота, порядка 10%, относят к группе С. Достаточно часто, они составляют значительную часть в объеме запасов в натуральном выражении, - возле 70%. Такой анализ поможет выделить такие группы товаров, удельный вес которых следует увеличивать (группа А), и товары, от завоза которых целесообразнее отказаться (часть группы С). Ассортимент фирмы «ООО» довольно специализирован, это является преимуществом фирмы и, вместе с тем, ее недостатком. Колебание рыночной конъюнктуры могут отрицательно повлиять на положение фирмы. Поэтому я считаю необходимым расширить ассортимент за счет товарных групп, которые не относятся к основному ассортименту. Это должно страховать деятельность и дает возможность маневрировать оборотными активами. Необходимо повышать прибыльность деятельности фирмы за счет поиска удобных условий снабжения и повышение торговой наценки, минимизировать транспортные, страховые, складские и другие расходы. ЗАКЛЮЧЕНИЕ Деятельность любого предприятия ориентирована на получение определенных результатов. Однако одни предприятия уверенно достигают поставленных целей своей деятельности, а другие – работают менее успешно. Многие успех деятельности предприятия связывают с правильным выбором вида деятельности, наличием достаточных ресурсов и умением ориентироваться в бурном море рыночной экономики. Удачное плавание хозяйственного «корабля» бесспорно, зависит от правильной начальной ориентации и благоприятных исходных условий его деятельности – обеспеченности материальными, финансовыми и трудовыми ресурсами. Однако значительную роль играет и то, как управляется «корабль» предприятия в неспокойном море хозяйственных неожиданностей, инфляционных сюрпризов, жесткой конкуренции. Управление в широком смысле как сложный социально-экономический процесс означает воздействие на процесс, объект, систему для сохранения их устойчивости или перевода из одного состояния в другое в соответствии с заданными целями. Управление в узком смысле представляет собой конкретные способы (методы) воздействия на объект управления для достижения конкретной цели. Управление осуществляется на основе различных форм и методов воздействия на объект управления. В курсовой работе анализировалась деятельность предприятия ООО «ООО», которое работает в сфере оптовой торговли. Оптовая торговля стоит впереди розничной, в результате оптовой продажи товары не переходят в сферу личного потребления, они или поступают в производственное потребление, или приобретаются розничной торговлей для реализации населению. Таким образом, оптовый товарооборот представляет собой совокупный объем продажи товаров производственными и торговыми предприятиями, а также посредниками другим предприятиям и юридическим лицам для следующей реализации населению или для производственного потребления. В развитых странах управление товарными запасами базируется на использовании мощных информационных технологий, которые разрешают практически каждый день наблюдать их состояние и динамику, автоматически осуществлять размещение заказов через компьютерную сеть и пополнять запасы к оптимальному уровню. В фирме «ООО» используется компьютерная программа «1С Предприятие: Торговля и склад». Она направлена на реальную оценку текущего состояния запасов, их планирование и оптимизацию. В этой работе было проанализировано состояние товарных запасов фирмы, их структура и динамика изменения за период 2007-2008 г.г. В настоящее время предприятие находится на стадии жизненного цикла – возрастания. Проанализировав товарные запасы можно сделать вывод, что управление товарооборотом осуществляется на высоком уровне, используется модель оптовых закупок значительными партиями, которая разрешает получить значительные ценовые скидки, минимизировать затраты на заказ, транспортные затраты и гарантирует поставку всей партии. СПИСОК ИСПОЛЬЗОВАННОЙ ЛИТЕРАТУРЫ 1. Соломатин А.Н. «Экономика и организация деятельности торгового предприятия». Учебник пособие, - М.: ИНФРА-М, 2001 г. 2. Кравченко Л.И. «Анализ хозяйственной деятельности в торговле», – М.: Новое знание, 2003 г. 3. Зеваков А.М., Петров В.В. «Логистика производственных и товарных запасов», – М.: Изд-во Михайлова В.А., 2002 г. 4. Валевич Р.П., Давыдова Г.А. «Экономика торгового предприятия». Учебное пособие, - Минск: Вышэйшая школа, 2000 г. 5. Голованов Т.И. «Экономическое регулирование товарооборота торгового предприятия», - М.: Дело, 2002 г. 6. Гребнев А.А. «Экономика торгового предприятия», - М.: ИНФРА-М 1999 г. 7. Зергман П.Н. «Практика управления товарными запасами», - М.:Дело, 2000 г. 8. Ушакова Н.М., Унковская Т.Э., Гуляева Н.Н., Гринюк Н.А. «Инвестирование. Финансирование. Кредитование.», - М.: МГТУ, 2001 г. 9. Ушакова Н.Н. «Совершенствование анализа и планирования товарооборота», Учебное пособие, - М.: 2000 г. 10. «Краткий курс по экономике предприятия», под ред. Н.Н. Ушаковой, Киев, «Генеза», 1998 г. 11. «Финансовый менеджмент» под ред. Г.Б. Поляка, М.: «Финансы», 1999 г. [1] Соломатин А.Н. Экономика и организация деятельности торгового предприятия. Учебник пособие, - М.: ИНФРА-М, 2001 г. [2] Зеваков А.М., Петров В.В. Логистика производственных и товарных запасов, – М.: Изд-во Михайлова В.А., 2002 г. [3] Кравченко Л.И. Анализ хозяйственной деятельности в торговле, – М.: Новое знание, 2003 г. [4] Устав ООО «ООО» П.3 «ПРЕДМЕТ И ЦЕЛИ ДЕЯТЕЛЬНОСТИ» [5] Ушакова Н.Н. «Совершенствование анализа и планирования товарооборота», Учебное пособие, М.:2005 [6] «Финансовый менеджмент» под ред. Г.Б. Поляка, Москва, «Финансы», 2000 |
||||||||||||||||||||||||||||||||||||||||||||||||||||||||||
, (1)
, (2)
, (3)
, (4)
, (5)
,
,
,




