Дипломная работа: Технологія і комплекс машин для вирощування і збирання кукурудзи на силос
|
Название: Технологія і комплекс машин для вирощування і збирання кукурудзи на силос Раздел: Рефераты по ботанике и сельскому хозяйству Тип: дипломная работа | |||||||||||||||||||||||||||||||||||||||||||||||||||||||||||||||||||||||||||||||||||||||||||||||||||||||||||||||||||||||||||||||||||||||||||||||||||||||||||||||||||||||||||||||||||||||||||||||||||||||||||||||||||||||||||||||||||||||||||||||||||||||||||||||||||||||||||||||||||||||||||||||||||||||||||||||||||||||||||||||||||||||||||||||||||||||||||||||||||||||||||||||||||||||||||||||||||||||||||||||||||||||||||||||||||||||||||||||||||||||||||||||||||||||||||||||||||||||||||||||||||||||||||||||||||||||||||||||||||||||||||||||||||||||||||||||||||||||||||||||||||||||||||||||||||||||||
Реферат Дипломний проект включає 5 розділів, 6 малюнків, таблиць, посилань. Графічна частина включає 6 аркушів формату А1. Об’єкт розробки – технологія і комплекс машин для вирощування і збирання кукурудзи на силос. Мета проекту – підвищення врожаю, зменшення витрат палива та збільшення продуктивності агрегатів для вирощування та збирання кукурудзи. В проекті на прикладі сільгосппідприємства Агрофірма „Семенівка” Мелітопольського району Запорізької області зроблено аналіз технології і техніко-економічних показників вирощування кукурудзи на силос. Розроблена технологія і технологічна карта на вирощування кукурудзи з врожаєм 20 т/га на основі застосування нових гібридів, застосування сучасного комплексу машин, оптимальних доз добрив і сучасних засобів захисту рослин. Запропоновано агрегат для внесення гербіцидів стрічковим способом одночасно з посівом. Розроблено операційно-технологічну карту на посів кукурудзи на силос. Сформульовані основні положення безпеки життєдіяльності при вирощуванні кукурудзи. Проведено техніко-економічна обґрунтування технології і комплексу машин для вирощування і збирання кукурудзи. Ключові слова: кукурудза на силос, технологія, гербіциди, стрічкове внесення, комбайн, сівалка, енергозбереження, продуктивність, собівартість. Вступ Прискорене і стійке виробництво кормів – важлива задача АПК. В її вирішені важлива роль належить кукурудзі – одній із найбільш вражайніших культур. Потребу в високо енергетичному грубому кормі, має тваринництво. Силос із кукурудзи є найбільш поширенішим кормом. Поживна цінність одного кілограма якісного силосу складає 0,25 – 0,29 корм. один., а його потреба для однієї голови ВРХ складає 8 – 10 т на рік. Збір силосної маси кукурудзи повинен збільшуватись за рахунок підвищення її врожайності. Значним резервом підвищення врожайності і збільшення валових зборів силосної маси є застосування районованих технологій вирощування кукурудзи. Технологія включає правильний вибір попередників, застосування районованих гібридів, високоякісного насіння, системи обробітку ґрунту, науково обґрунтованої кількості добрив, сучасних засобів захисту рослин, високопродуктивного комплексу машин та передової організації праці. Все вище перелічене базується на застосуванні досягнень науки і передового досвіду. Сучасне виробництво кукурудзи на силос в запорізькій області, характеризується тимчасовим скороченням посівних площ за рахунок зменшення поголів’я тваринництва і низьких врожаїв силосної маси. Причиною цього є застарілий комплекс машин, недостатня кількість добрив і низька технологічна дисципліна. Розробці технології що забезпечує отримання вражаю не менш 20 т/га і охороні навколишнього середовища за рахунок стрічкового внесення гербіцидів присвячений даний дипломний проект. 1. Аналіз виробничої діяльності у ПП „Агрофірма Семенівка” Мелітопольського району Запорізькій області 1.1 Загальна характеристика господарства ПП „Агрофірма Семенівка” засноване 5.10.2000 року на землях колишніх господарств: с.Семенівка, с.Вознесенівка, с.Костянтинівка Мелітопольського району. Господарство знаходиться в досить сприятливих агрокліматичних умовах, що дає змогу займатися вирощуванням майже усіх видів сільськогосподарських культур, які є основою кормової бази галузі тваринництва. ПП „Агрофірма Семенівна” здійснює діяльність передбачену Статутом підприємства. На території Семенівської селищної ради підприємство орендує 820,01Га пашні та 34,07Га багаторічних насаджень (сад-черешня, яблуня). На цій площі вирощуються зерно-суміш, кукурудза, багаторічні трави, озима пшениця, соняшник, ячмінь. Частина полів обладнана системою штучного зрошування. Також на території Семенівської селищної ради розташовано авто–гараж і молочно-товарна ферма. На території Костянтинівської селищної ради розташовано птахоферма. На території Вознесенівської селищної ради підприємство орендує 3307,49Га пашні і 117,61Га багаторічних насаджень (сад – черешня, яблуня, абрикос, слива). На даній площі вирощувався горох, гречка, кукурудза, озима пшениця, просо, сонях, сорго, ячмінь. На території с. Вознесенка розташована головна садиба підприємства. Територія підприємства розташована в зоні Південного степу України по схемі агрогрунтового районування України. Поверхня господарства представлена у вигляді рівнини. Така форма рельєфу запобігає інтенсивному змиву ґрунту, що спостерігається в період розтавання снігу та сильних дощів. Завдяки такій формі рельєфу водою з поверхні землі не змивається гумусовий шар, а отже земля не втрачає поживні речовини і зберігає свою агрономічно-цінну структуру. Основним джерелом зволоження земель господарства є атмосферні опади. Волога атмосферних опадів, завдяки однорідності поверхні рельєфу розподіляється рівномірно по всій площі. Середня кількість опадів, яка випадає за рік складає 440 мм. Цієї кількості опадів загалом достатньо для нормального росту та розвитку більшості сільськогосподарських культур, але опади дуже нерівномірно розподілені на протязі року, що заважає нормальному веденню сільськогосподарських робіт. Більше річних опадів випадає в період квітень-вересень, переважно у вигляді короткострокових сильних злив. Часті у весняно-літній період східні та південно-східні вітри, швидкість яких досягає 15-25 м/с, значно збільшують випаровування вологи ґрунтом та рослинами. Таблиця 1.1 – Середньомісячна температура повітря та кількість опадів.
Сама висока температура спостерігається у липні + 22,4 ºС, а самий холодний місяць – це січень – 4,8 ºС. Середня глибина промерзання землі складає 30 см. Постійний сніговий покрив тримається у другій декаді лютого і другій декаді грудня. Середня висота снігового шару у найбільш сніговий період складає 15 см. Безморозний період продовжується у середньому 160-190 днів. Таким чином клімат господарства має як позитивні так і негативні сторони. До позитивних відносяться: великий безморозний період та велика кількість теплих сонячних днів. До негативних – сильне випаровування вологи, низька відносна вологість повітря, пилові бурі та суховії, висока температура повітря і ґрунту в період росту сільськогосподарських культур. Одним із основних напрямків господарства є рослинництво. Підприємство має дві польові бригади (механізовані ланки) за якими закріплена техніка та землі необхідні для виробництва продукції рослинництва. Більшою частиною в загальній структурі землеробства є зернові. Таблиця 1.2 – Структура посівних площ.
Озима складає близько 900 гектарів посівних площ. Під садами та ягідниками зайнято близько 151 гектарів, овочами 50 гектарів, що забезпечує продуктивну роботу на протязі всього сезону. Проаналізувавши дані таблиці 1.2, можна відмітити деяке зниження площ під озимою, кормовими культурами, кукурудзою та однорічними травами та збільшення площ під яровими. З цього можна зробити висновок, що господарство „шукає” ті культури, які в цей час користуються попитом на ринку і ті, які забезпечують кормами КРС та всю галузь тваринництва. Таблиця 1.3 – Врожайність основних культур за три роки.
Аналізуючи дані таблиці 1.3 можна побачити значне зниження врожайності практично всіх культур. Це пов’язано з недостатнім внесенням мінеральних і органічних добрив; відсутністю палива і як наслідок недотримання в повному обсязі технології вирощування культур; поганими погодними умовами (суховії, відсутністю дощу). 1.2Виробничо-технічна характеристика господарства Для виконання всього комплексу технологічних операцій по вирощуванню сільськогосподарських культур, забезпечення якісної та своєчасної роботи необхідно дотримуватися декількох вимог: - забезпечити технікою весь комплекс робіт і за рахунок цього знизити відсоток ручної праці та собівартість продукції; - підтримувати техніку у робочому стані для якісного і своєчасного виконання усіх технологічних операцій; - забезпечити господарство висококваліфікованими спеціалістами та механізаторами; - застосовувати останні досягнення в області технології вирощування сільськогосподарських культур для отримання максимальних врожаїв при мінімальних витратах. Таблиця 1.4 – Наявність техніки в господарстві.
Як видно з таблиці 1.4 господарство, у цілому, забезпечене технікою для вирощування соняшника та інших сільськогосподарських культур. Але більша частина машин застаріла як фізично, так і морально і тому вже не може забезпечити якість виконання операцій, які потребує сьогодення. Придбання нової техніки неможливе через відсутність коштів. Також одним з основних факторів успішного ведення господарства є забезпеченість механізаторами високої кваліфікації. Таблиця 1.5 – Забезпеченість кадрами механізаторів.
Результати таблиці 1.5 говорять про те, що невпинно відбувається поповнення механізаторського складу, так як відбувається притік молодих кадрів, що відображається на результатах роботи. Класність робітників також підвищується. Таблиця 1.6 – Основні механіко-економічні показники вирощування кукурудзи на силос
Таблиця 1.7 – Структура собівартості
Аналізуючи дані таблиці 1.6 та 1.7 відзначаємо низьку врожайність культури та високу її собівартість. Але у структурі відзначаємо вкрай низький відсоток відрахування на заробітку платню та насіння, завеликий на паливо та ремонт, що призводить до: - зниження врожайності через низьку якість насіння; - зниження якості виконання роботи та відсотку кадрів з господарства через низьку платню; Для того, щоб підвищити врожайність культури і знизити витрати праці, палива та інших засобів виробництва, а загалом знизити собівартість виробництва кукурудзи на силос у господарстві необхідно вирішити наступні задачі та впровадити слідуючи заходи: - розробити та впровадити інтенсивну технологію виробництва та збирання кукурудзи з постійним її вдосконаленням та корегуванням; - запровадити раціональні методи використання гербіцидів та добрив з метою зниження енерго- та працездатності цих процесів, а також зниження їх вартості; - скоротити витрати на невиробничі процеси. Розділ 2. Розробка технології та організації вирощування та збирання кукурудзи на силос у приватному підприємстві “Агрофірма Семенівка” Мелітопольського району Запорізької області 2.1 Агротехніка вирощування кукурудзи Агротехніка вирощування кукурудзи. При високому рівні агротехніки кукурудза може давати високі врожаї фактично на всіх ґрунтах, але кращими є чорнозем, темно-каштанові, та темно-сірі ґрунти.Насіння кукурудзи починає проростати при температурі 8-10º С, оптимальна температура для розвитку 25-30º С Кукурудза любить тепло, чутлива до заморозків. Вона відрізняється економічним споживанням вологи на будування органічної маси. На один кг сухої речовини вона витрачає 250-300кг води, що менше ніж пшениця, овес, ячмінь. Але у період вегетації необхідна дуже велика кількість вологи. Для росту та розвитку рослин найбільш сприятлива вологість ґрунту у корінному шару у межах 70-80%. Попередники. Кукурудзу розміщують у польових, кормових та спеціальних сівозмінах, а також на посівних ділянках як беззмінну культуру. У південних степових районах основна дія попередників визначається дією на водний режим ґрунту, кращими попередниками є колосові та зернові культури, баштан однорічні трави. При беззмінному вирощуванні на постійних ділянках кукурудзу можна садити на чорноземах на протязі 6-10 років, на менш родючих ґрунтах 3-5 років. Але при довгому вирощуванні її на одному місці розвиваються хвороби та шкідники, а також значно зменшується врожай. Насіння. При використанні інтенсивної технології важливе значення має якість насіння. Районування та підбір, гібридів у господарствах проводять суворо з дотриманням суми ефективних температур у зоні, які забезпечують її надійне визрівання. У нашій зоні кращими гібридами кукурудзи є: Дніпровський 310 (345;276), Одеські сорти (Одеса 310;349;469), “Кедр”, ”Акцент”, ”Корсар”. Добрива. У порівнянні з зерновими культурами кукурудза має підвищенні вимоги до умов мінерального харчування, так як здатна засвоювати поживні речовини безпосередньо до визрівання зерна. Для поліпшення умов харчування використовують як органічні добрива (для степу України20-30т/га) так і мінеральні, дози яких розраховуються з урахуванням родючості ґрунтів та встановлення нормативів споживання родючості ґрунтів та встановлених нормативів споживання поживних речовин на формування 1т зерна: азоту - 25кг; фосфору - 12кг; калію - 25кг. Інтенсивна технологія пред`являє підвищені вимоги до якості обробки ґрунту, особливо у зв`язку з необхідністю знищення багаторічних бур`янів. Після збирання врожаю грунт обробляють лущильниками або дисковими боронами на глибину 6-8см-перший обробіток і на 10-12см –другий обробіток з розривом у 2-3 тижні. При цьому знищується більше 70% бур’янів та на 50% зменшиться кількість їх у ґрунті. Підготовка ґрунту. У системі весняного комплексу робіт ефективним засобом є вирівнювання ґрунту. Вирівнювання проводиться у період фізичної стиглості ґрунту, усуваються завальні та зарівнюються розвальні борозни, а потім і увесь масив. Для вирівнювання застосовують вирівнювачі ВП-8; ВПН-5,6; КШУ-12; КШП-8; УСМК-5,4. Вони агрегатуються з гусеничними тракторами, оскільки колісні трактори на весняних вологих ґрунтах залишають великі колії. Важливою задачею є своєчасне внесення гербіцидів. Для весняного обробітку застосовують такі гербіциди як: харнес, ерадикан, дуал та інші. Приготування робочих розчинів здійснюють на агрегатах АПЖ-12; СТК-5 але у випадках коли вони відсутні – оприскувач повинен бути обладнаний механічним змішувачем. Обприскування проводять штанговими оприскувачами типу: ОП-2000; ОПШ-15; ПОМ-630. Норма внесення робочого розчину складає 200-250л/га. Час між внесенням гербіцидів і їх заробкою не повинен перевищувати 15 хвилин для летючих гербіцидів. Агрегати компонують так, щоб ширина знаряддя (або їх сумарна ширина захвату) дорівнювала ширині захвату оприскувача. Передпосівний обробіток ґрунту проводять без розриву у часі після внесення гербіцидів, щоб зв’язати їх та не втратити ґрунтову вологу. Після обробітку поля у ґрунті допускаються грудки діаметром до 25мм. Сліди від проходу коліс та гусениць рихлять та зарівнюють. Для передпосівної культивації використовують культиватори типу УСМК-5,4; КШП-8; КПС-4, які обладнують вирівнюючими дошками та прикочующіми коточками. Нормальним показником роботи є глибина обробітку ґрунту, глибистість та забур’яненість поля. Посів кукурудзи. Найкращі умови для проростання насіння кукурудзи та отримання добрих сходів створюються при прогріванні ґрунту на глибині заробки насіння до10º С -12º С. Отримані строки посіву складають від 8 до 12 днів. Ранні посіви, як і пізні, значно впливають на зниження врожаю. Строк посіву для південного степу України - друга декада квітня. Для поліпшення польової схожості насіння на кукурудзооброблюючих заводах інкрустують плівкостворюючими полімерами КМЦ, ПВС. У розчин полімерів додають протравлювачі, мікродобрива та інсектициди. Посів інкрустованим насінням підвищує схожість на 5-6%. Оптимальна густота рослин залежить від грунтокліматичних умов, морфологічних особливостей гібридів та агрофону. Для середньоранніх гібридів густота сягає 30-35 тис. шт/га, та для середньо пізніх - 25-30 тис. шт/га. Застосування механічних заходів догляду (боронування, міжрядний обробіток) потребує збільшення надбавки насіння до 5-6% на кожний захід. Для посіву застосовують тільки насіння першого класу. Норму внесення насіння, дозу добрив, глибину заробки насіння встановлюють у кожному випадку окремо, агрономом господарства, у відповідності до загальних рекомендацій та природнокліматичних умов. Насіння висівають у вологий шар ґрунту на глибину 5-7см. Для посіву використовують сівалки СУПН-8, СПЧ-6м, які агрегатуються з тракторами класу 1,4. Перед підготовкою агрегатів до роботи перевіряють комплектність, технічний стан та правильність регулювання агрегату. Сівба сівалками СУПН-8 ведеться на швидкості до 8 км/год, та сівалками СПЧ-6 на швидкості до 6 км/год. Прикочування посівів здійснюється для запобігання витрат вологи з нижніх шарів ґрунту, та ущільнення верхніх шарів з метою одержання більш дружніх сходів. Прикочування здійснюють кільчасто-шпоровими котками. При підвищеній вологості ґрунту використовують більш легкі котки у агрегаті з гусеничними тракторами. Догляд за посівами. При застосуванні високоефективних гербіцидів доцільно проводити одне боронування до сходів або по сходах та одну або дві міжрядні обробки без боронування посівів при внесенні базових гербіцидів. При такому сполученні хімічних та механічних заходів догляду практично повністю очищаються посіви від бур’янів, поліпшуються умови вологозабезпеченості рослин, оптимізується фізико-механічний склад ґрунту, підвищується врожай. Міжрядний обробіток проводять у фазі 3-5 листочків на глибину 6-8см з одночасним знищенням бур’янів у рядках полільними борінками. При висоті рослин 35-40см та глибині рихлення 6-7см, бур’яни в захисних зонах знищуються також присипанням шаром землі. Для міжрядної обробки використовують просапні культиватори типу КРН-4,2; КРН-5,6 які агрегатуються з тракторами класу 1,4. При проведенні обробітку культиватори необхідно обладнати лапами бритвами, стрілчастими лапами, та полільними борінками. Швидкість обробки 6-9км/год. Збирання кукурудзи. Збирання врожаю силосної кукурудзи проводять за допомогою причіпних комбайнів КПУ-2,4; КСС-2,6; КС-1,8; “Вихрь”; КПКУ-75 та самохідних Е-281 і КСК-100А, “Полісся-250”, “Марал”. Робоча швидкість комбайна від 0,8 до 3,4 м/с в залежності від врожаю кукурудзи. Для транспортування зеленої маси до закладання силосу використовують самоскиди, обладнані бортовими решітками. Оптимальна вологість силосної маси повинна бути 65-75%. Під час силосування рослин з високим вмістом вологи (80% і більше) втрачається багато клітинного соку. Щоб цього не трапилося, необхідно до силосної маси додавати сухі корми з таким розрахунком, щоб збільшити вміст в масі сухих речовин до 25-30%. 2.2 Засоби механізації та розробка технологічної картина вирощування кукурудзи Вихідними даними для розробки технологічної карти є площа посіву - 100 га, та запланована врожайність 20 т/га. Технологічна карта складається з трьох розділів: технологія виробництва, склад технічних засобів та показники економічної ефективності. Перший розділ технологічної карти складається з переліку робіт, які необхідно виконати при вирощуванні кукурудзи. Підбирається необхідний комплекс машин, знарядь та пристроїв, необхідних для виконання усіх операцій. Для планування роботи механічних засобів, розрахунку основних показників роботи агрегатів використовують типові норми виробітку на сільськогосподарських роботах, норми витрати палива на конкретний вид операцій, відрахування на амортизацію техніки, її поточний ремонт, тарифи на систему оплати праці обслуговуючого персоналу, рекомендовані дози внесення добрив, гербіцидів, насіння. Науково обґрунтована та економічно розрахована технологічна карта є основним документом при плануванні та організації виробництва конкретного виду продукції. Заходи які містить технологічна карта направлені на підвищення врожайності культури. У технологічній карті дається термін усіх виробничих операцій, їх кількість та продуктивність, витрати праці та прямі витрати на один гектар та весь обсяг робіт. 2.2.1 Обґрунтування та вибір с/г. агрегату для виконання технологічної операції «лущіння» Технологічну карту розраховуємо на 100га. Для прикладу розрахуємо операцію “лущіння” з агрегатом у складі трактора Т-150К та лущильником ЛДГ-15. Агрострок виконання операції становить 5 днів. Змінну норму виробітку встановлюємо по типовим нормам виробітку на сільськогосподарські механізовані та транспортні роботи. Для даного агрегату вона становить: Wтзм=66,7 га/зм, Визначимо кількість агрегатів, які необхідні для виконання даної роботи: п=А/Wдоб·Др, (2.1) де А-обсяг робіт, га, т, ткм; Wдоб - добова продуктивність; Др. - агротехнічна тривалість операції, діб. п =100/66,7·5=7,5 Приймаємо п =8 Витрати палива на одиницю роботи приймаємо із довідкової літератури у залежності від агрегату і вона становить g=2,2 кг/га Витрати палива на весь обсяг робіт становитиме GТ = g ·А, (2.2) GТ =2,2·100=220 кг Витрати праці на одиницю роботи Вп = Пнех + Пдоп/Wг, (2.3) Вп =1/7,6=0,13люд/год де Пмех,Пдоп - відповідно кількість механізаторів та допоміжних робітників зайнятих на цій операції (Пмех=1;Пдоп=0). Визначимо витрати праці на весь обсяг робіт Впзаг=Вп·А, (2.4) Впзаг=0,13 ·100=13 люд/год, Визначимо кількість нормо-змін Нзм=А/Тзм·Wгод, (2.5) де Тзм - тривалість зміни, год. Тзм=7год; Wгод - годинна продуктивність агрегату, га/зм. Годинна продуктивність агрегату знаходиться за формулою Wгод=Wдоб/Тзм, (2.6) Wгод=66,7/7=9,5 га/год Нзм=100/9,5=10,5 зм Аналогічно проведемо розрахунки по іншим видам робіт, занесемо в технологічну карту (табл. 2.1). 2.3 Розробка технології та організації виконання посіву кукурудзи Вихідні дані: Тип грунту – чорнозем південний; Агрофон - поле під посів; Ухил поверхні поля - і=0%; Питомий тяговий опір К=1,6 кН/м; Розмір поля: довжина L= 1500м; ширина В=1000 м. Агротехнічні вимоги на посів кукурудзи подаються в графічній частині проекту. Для виконання заданої операції використовується наступний МТА Т-70С+СУПН-8+ПОМ-630; Альтернативні робочі передачі трактора визначаються за умовою Vаmin де Vаmin; Vаmax - відповідно максимальна та мінімальна агротехнічна допустимі швидкості для сільськогосподарської машини, км/год; Vр - номінальна робоча швидкість трактора, км/год G Згідно з цією умовою альтернативними передачами є 5 та 6 передачі, для яких тягові параметри вказуються в таблицю2.2 Таблиця 2.2 - Параметри тягової характеристики трактора Т-70С на агрофоні - поле під посів
Визначення питомого тягового опору сільськогосподарської машини на альтернативних передачах трактора Кvік=Коп[1+(Vрні-Vо)DСк/100], (2.9) де Коп - питомий опір с/г. машини при швидкості 5км/год. К5к=1,6[1+(6,9-5)2,5/100]=1,68кН/м; К6к=1,6[1+8,15-5)2,5/100]=1,73кН/м; Визначення граничної ширини захвату на альтернативних передачах трактора Впрі=[xр](Ркрі-Gі/100)/Кvік+gмк·і/100)+gсу(fсу+і/100), (2.10) де [x]- припустимий ступінь завантаження трактора за тягою. Для трактора Т-70С [x] становить 0,94; G-експлуатаційна вага машини кН.,G=44,8кН; і- ухил поверхні поля, % і=0; fсу- коефіцієнт опору перекочування зчіпки,fсу=0; gсу =0; gмк- середня вага ширини захвату для с/г. машини на один метр, кН/м. gмк=(Gмк+0,01åVмкl·gмl·+Gнн)/Внк, (2.11) де gмк - конструктивна вага с/г. машини, кН; Vмкl - місткість бункерів с/г. машин під технологічні матеріали певного виду; gмl - об’ємна маса певного виду технологічного матеріалу; Gмк - середня вага обслуговуючого персоналу, що знаходиться на с/г. машині, кг; Внк - конструктивна ширина захвату, м. gмк=12,2+0,01(0,12·730+0,24·1100)/5,6=4,3кН/м; Впр5=0,94(19,4 - 44,8/100)/(1,68+4,3/100)=10,9м; Впр6=0,94·15,9/1,73=8,6м. Визначення складу МТА nmкі=Впрі/Вмк, (2.12) де nmкі - кількість с/г. машин у складі МТА, nmк5=10,9/5,6=1,9шт; приймаємо мк=1шт, nmк6=8,6/5,6=1,5шт приймаємо мк=1шт. Вибір робочих передач трактора. Орієнтований вибір робочих передач трактора проводиться за умови найкращого завантаження трактора за тягою x=Rоі/(Ркрі-G·і/100), (2.13) де [x]- припустимий ступінь завантаження трактора за тягою. Для трактора Т-70С [x] становить 0,94; x=Rоі/(Ркрі-G·і/100), (2.14а) де Rоі- тяговий опір МТА на і-ій передачі трактора,кН; Так як і=0, то формула 1,20 приймає вид xрі=Rоі/Ркрі; (2.14б) Rоі=Кvік·Вмк·nм (2.15а) Rо5=1,68·5,6·1=9,4кН Rоі=1,73·5,6·1=9,7кН xрі=9,4/19,4=0,48 xрі=9,7/15,9=0,61 Остаточний вибір основної робочої передачі проводимо з умов максимуму чистої годинної продуктивності МТА Wчпі=0,1·Врі·Vрі, (2.15б) де Врі - робоча ширина захвату МТА на і-ій передачі трактора, м; Врі=Вмк · nмк ·b, (2.16) де:b - коефіцієнт використання конструктивної ширини захвату с/г. машини. Для сіяння b=1. Вр5=Вр6=5,6·1·1=5,6м; Wчп5=0,1·5,6·6,9=3,9 га/год; Wчп6=0,1·5,6·8,15=4,6 га/год. Основна робоча передача трактора є 6, тому що при роботі на 6-ій передачі досягається найбільше завантаження двигуна по тязі та продуктивності МТА. Розрахунок годинної витрати палива при робочому проході МТА на обраній передачі Gтрі=Gтні-(Gтмі-Gтххі)(1-x), (2.17) де Gтхх- годинна витрата палива на холостому ходу трактора на обраній передачі, кг/га; Gтр=13,4-(13,4-6,75)·(1-0,61)=10,8 кг/год Визначимо тяговий опір МТА на холостому ході Raх=Gмк·nмк·fм, (2.18) де fм - коефіцієнт опору пере кочення коліс с/г. машини; fм=0,22...0,42; Raх=12,2·1·0,3=3,7кН; Для більшості операцій швидкість при повороті агрегату обчислюється умовами безпеки повороту до 6-8км/год. Виходячи з цього на поворотах треба перейти на нижчу передачу Vхх=7,5км/год, Розрахунок годинної витрати палива на холостому ході МТА проводиться по формулі Gтх’=Gтх(1-Кс-xрх де Vрх’- значення зменшеної швидкості, за рахунок зменшеної подачі палива, МТА, км/год; Кс - поправочний коефіцієнт, Кс=1,2...1,7; xрх - ступінь завантаження по тязі холостому ході. xрх=Rах/Ркрні, (2.20) xрх=3,7/19,4=0,19 Gтх’=6,75(1-1,5·0,19· Складання експлуатаційної схеми с/г. агрегату. Експлуатаційна схема с/г. агрегату надана в одній проекції на аркуші 1МЗД.156220.000. На схемі з дотриманням основних пропорцій зображаються всі складові елементи агрегату і вказуються їх експлуатаційні розміри: Подовжня база – 1,9м; Колія – 1,35м; Робоча ширина захвату – 5,6м; Конструктивна ширина захвату МТА – 5,6м; Кінематична довжина енергозасобу – 1,85м. Підготовка поля до роботи. В цей комплекс робіт необхідно віднести: перевірку стану поля, а також стану під’їзних доріг, видалення перешкод, а також відмічання вішками лінії першого проходу,(вішки ставляться кожні 50-80м), вибирати поворотні смуги у тому випадку, якщо за межами поля відсутній вільний прохід для розвороту агрегату. Вибір способу руху агрегату по полю Спосіб руху агрегату по полю та радіус повороту залежить від типу та ширини захвату агрегату. Для навісних МТА радіус повороту визначається мінімально допустимим радіусом повороту трактора. Для трактора Т-70 маємо: Rо=5,0м, (2.21) Rо>0,5Bр, (2.22) Маємо кінематичну ширину агрегату: Вк=0,5·5,6=2,8м. Тобто розворот по колу. Довжина виїзду агрегату для навісного агрегату визначається по формулі: l=0,1la, (2.23) де lа - кінематична довжина агрегату. lа=lt+lm. (2.24) ,де lt, lm - відповідно кінематична довжина енергозасобу та с/г. машини, м. la=1,85+1,5=3,35м l=0,1·3,35=0,3м Визначимо мінімальну ширину поворотної смуги. Еmin=Ке·Ro+l+Вk, (2.25) де Ке - коефіцієнт, що залежить від способу повороту, Ке=1,1; Ro-радіус повороту агрегату, м; Вk - кінематична ширина агрегату, м. Еmin=1,1·0,3+2,8=8,6м. Визначимо кількість проходів агрегату на поворотній смузі n>Emin/Bp, (2.26) n>8,6/5,6=1,5 Приймаємо - два проходи. Визначимо ширину поворотної смуги; Еп=n·Bp, (2.27) Eп=2·5,6=11,2м Визначимо коефіцієнт робочих ходів j=Sp/(Sp+Sx), (2.28) де Sp,Sx- загальна довжина шляху відповідно робочого та холостого ходів на ділянці, м. Sp=lp·nx, (2.29) Sx=lx·np, (2.30) де lp, lx - середня довжина відповідно робочого та холостого ходів, м; nx,np- кількість відповідно робочих та холостих ходів агрегату на ділянці. np=B/Bp, (2.31) де В-ширина поля, м; В=1000м; np=1000/6=142,8 Приймаємо np=143 nх= np-1, (2.32) nх=143-1=142 lxср=ka·Ro+2L+xср, (2.33) де ka- коефіцієнт що залежить від способу повороту, для кругового способу ka=3,2...4; Xср - середня довжина прямолінійної ділянки, м. xср=0. lxср=3,5·5+2·0,3+0=18,1 м, lрср= l-2Еп, (2.34) де l- довжина поля, м. l=1500м; lрср=1500-2·11,2=1422,6м Sp=1422,6·143=139796,8м Sx=18,1·142=2570,2м j=139796,8/(9139796,8+2570,2)=0,98 Підготовка агрегату до роботи. Повне описання пункту надається на аркуші 1МЗД.156220.000 графічної частини проекту. Визначимо режим роботи агрегату і тривалість циклу Тц=(Тр+Тх+Точ)·Ппрц+Тз, (2.35) де Тр,Тх - середня тривалість відповідно одного робочого ходу та одного повороту, хв.; Точ - середня тривалість очищення робочих органів в розрахунку на один робочий прохід, хв. Точ=0...5 хв; Тз - тривалість зупинки для заправки технологічних ємностей, Тз=3...15 хв; Ппрц - кількість проходів між двома послідовними зупинками для заправки технологічних ємностей. Ппрц£104 ·Vm·gm·y·nm/Bp·Lp·H, (2.36) де Vm,nm- кількість с/г. машин в агрегаті та місткість бункерів однієї машини м3 ; H,gm- відповідно норма внесення та об’ємна маса технологічного матеріалу кг/га, кг/ y- коефіцієнт використання місткості бункерів, y=0,85...0,95; Ппрц£104 ·0,12·730·0,9·1/5,6·977,6·15=9,6, Приймаємо Ппрц=8; Тр=0,06Lср/Vр, (2.37) Тх=0,06Lхх/Vх, (2.38) Тр=0,06·077,6/8,15=7,2хв, Тх= 0,06·18,1/7,5=0,1 хв, Тц=(7,2+0,1+5)8+10=108,4 хв, Тривалість не циклової операції за зміну Тнц=Тв1+Тв2+Тк+Тто+Тф, (2.39) де Тв1,Тв2- тривалість переїзду агрегату відповідно на поле та з поля(до його місця завантаження)хв.; Тк, Тто, Тф - тривалість зупинки агрегату відповідно для контролю якості роботи та регулювання агрегату в полі, для внутрізмінного технічного обслуговування агрегату та фізіологічних потреб; Тк=10...30хв, Тто=Тф=12...20хв. Тв1=Тв2=60Ln/Vx, (2.40) де Ln-відстань між тракторною бригадою та полем (місцем завантаження),км; Тв1=Тв2=60·25/8,7=12,2 хв, Тнц=17,2+17,2+15+15+10=74,4 хв, Кількість циклів агрегату за зміну Nц=[(Тсм-Тнц)/Тц+0.5], (2.41) де Тсм - тривалість зміни, Тсм=420 хв. Nц=(420-74,4)/108,4+0,5=3,2 Приймаємо Nц=3; Фактична тривалість зміни Тсм*=Тц·Nц+Тнц, (2.42) Тсм*=108,4·3+74,4=399,6хв, Обсяг робіт МТА відповідно за прохід, за цикл за зміну Fпр=Bp·Lрф, (2.43) Fц=Fnp·Nпрц, (2.44) Fсм=Fц·nц, (2.45) Коефіцієнт використання часу зміни t=Тр·Nпрц·Nц/Тсм, (2.46) t=7,2·8·3/399,6=0,43
Wг=0,1Vр·r, (2.47) Wсм= Wг·Тсм·/60; Wг=0,1·5,6·8·15·0,43=1,96 га/год. Wсм=1,96·399,6/60=13,1га/год. Питома витрати палива Gm=Gт·Тр+Gтх-Тх+Gто·То/60·Wтсм; (2.48) де Gтр, Gтх, Gто - годинна витрати палива агрегатом відповідно при робочому русі, при холостому ході, і на зупинках; кг/год; Тр, Тх, То - загальна тривалість за зміну відповідно робочих ходів, холостого руху та зупинок, хв.; Тр=Тсм·t, (2.49) Тх=tх·Ппру·Пу+Тв1+Тв2, (2.50) То=(Точ·Ппру+Тз)Пу+Тк+Тто+Тф, (2.51) Тр=399,6·0,43=174,8 хв Тх=0,1·8·3+17,2+17,2=36,8 хв То=(5·8+10)3+15+15+10+190 хв Gm=10,8·171,8+6,75·36,8+1,2·190/60·13,1=3,0 кг/га Витрати праці Зт=m/Wтч, (2.52) де m- кількість обслуговуючого персоналу на агрегаті, люд/год. Зт=1/1,96=0,51 люд.год/га Результати розрахунків зводяться у вигляді таблиці в графічній частині проекту. 2.4 Організація використання і технічного обслуговування машина - тракторних агрегатів Правильна організація технічного обслуговування машина - тракторного парку сприяє поліпшенню його використання, підвищенню продуктивності та економічності роботи машин. Скорочуються простої техніки, внаслідок технічних несправностей, попереджується передчасне встановлення машин у ремонт. Технічне обслуговування МТП є одним з головних факторів від яких залежить не тільки безперебійна робота машин та агрегатів, але й якісне виконання операцій з вирощування та збирання кукурудзи, низька витрата паливно-мастильних матеріалів, а також собівартість продукції. Технічне обслуговування - це комплекс операцій які мають мету попередити несправність, підвищити строк служби деталей та вузлів, відновити та забезпечити постійний робочий стан машин та агрегатів. Технічне обслуговування забезпечує можливість економічної та якісної роботи МТП та включає операції з очищення машин, миття та змащування деталей, перевірку кріплення вузлів та деталей, перевірку їх стану, регулювання деяких вузлів та заміну несправних деталей. Щозмінне технічне обслуговування слід проводити усім сільськогосподарським машинам та агрегатам одночасно на місці роботи. За якість виконання усіх робіт відповідає тракторист. Якщо обслуговування проводиться між змінами, то його необхідно виконувати механізаторами обох змін. У залежності від складу машин у агрегаті на переліку операцій технічного обслуговування необхідно усю роботу розподілити так, щоб вона була виконана у самий короткий строк при добрій якості. По закінченні польових робіт трактори та сільськогосподарські машини встановлюються на зберігання. Зберігаються машини на спеціальних майданчиках машинного подвір’я. Форма організації машин зі зберігання з частковою спеціалізацією - коли до цього заохочуються механізатори. Найбільш прості операції - очищення, миття, зняття вузлів та деталей, які здаються на зберігання до складу, встановлення машин на підставки та інші допоміжні роботи виконуються механізаторами, а складні роботи (консервація вузлів та деталей, встановлення заглушок, регулювання) та інші роботи, які потребують високої спеціалізації - виконують робітники машинного подвір’я та працівники пункту технічного обслуговування (майстер-наладчик, бригадир). При встановленні складних машин на зберігання - визначають їх технічний стан. Якщо машина підлягає капітальному ремонту - її відправляють на ремонт у ремонтне підприємство. Якщо машина потребує поточного ремонту - її ремонтують у господарстві. При цьому передають акт встановлення машин на зберігання, а також форми зі зберігання та про технічний стан вузлів машин. Правильність зберігання на відкритих майданчиках та під навісами перевіряють не менше одного разу в місяць, а також після сильного вітру, снігопаду, сильного дощу - не пізніше наступного дня. Ці роботи виконують постійні робітники машинного подвір’я. Вони перевіряють установки по машинам (стійкість, відсутність переносів) комплектність, тиск повітря у колесах, надійність герметизації блоків та корпусів (стан заглушок та щільність їх прилягання) стан антикорозійних покрить. На кожну операцію комплектують агрегати, склад яких приводять у технологічній карті на вирощування кукурудзи, яка представлена на листі графічної частини проекту. За кожним агрегатом закріплюється постійний обслуговуючий персонал на весь період кожного виду робіт. Обслуговуючий персонал ланки несе відповідальність за якість виконання робіт, окремих операцій і в цілому за весь обсяг робіт, за правильність експлуатації МТП, закріпленого за ланкою, за стан охорони праці. 3. Розробка конструкції комбінованого пристрою для підґрунтового стрічкового внесення гербіцидів пк-5,6 3.1 Огляд існуючих конструкцій, аналіз прототипів Для ґрунтових гербіцидів, в залежності від їх властивостей існує три способи внесення: - обприскування поверхні ґрунту без заробки. Препарат під дією опадів проникає у нижче лежачі шари ґрунту; - внесення гербіцидів на поверхню грунту з послідуючою їх заробкою грунтообробляючими знаряддями; - внесення препарату в грунт на визначену глибину у вигляді горизонтального екрану (підгрунтове внесення). В ролі машин для внесення гербіцидів при індустріальних технологіях вирощування сільськогосподарських культур в теперішній час використовується підживлювач-оприскувач ПОМ-630, оприскувач малооб’ємний причіпний штанговий ОП-2000-2-01, оприскувач малооб’ємний монтуємий штанговий ОМ-630-2 та інші. Крім того використовуються оприскувачі зарубіжних фірм “Харді”, “Холдер” та інші. Вказані машини обладнані різними типами розпиляючи засобів: щілювальними, плоскофакельними, центробіжними з конічним факелом та дефлекторними. Суцільне поверхове обприскування гербіцидами з послідуючою заробкою їх грунтообробляючими знаряддями є найбільш розповсюдженим, однак цей спосіб не позбавлений від недоліків. До них відносяться: недостатня рівномірність розподілу препарату на обробляєму поверхню, велика полідісперсність розпилу робочої рідини, знесення розпилюваної рідини вітром, погіршення стану навколишнього середовища. Істотне зниження несприятливих факторів, які стосуються поверхневого внесення, можна отримати застосував підгрунтове внесення гербіцидів. Сутність цього є в тому, що гербіцид вноситься на задану глибину у грунт у вигляді екрану. Ця операція проводиться, як правило, з передпосівною обробкою ґрунту чи посівом. При цьому уся кількість препарату заробляється у грунт, краще зберігається волога у верхніх шарах ґрунту. Для виконання цієї роботи існує декілька типів робочих органів – стрілчасті лапи, плоско різні та інші. Ці робочі органи мають ряд негативних моментів. Вони сильно перемішують грунт, заважають працювати на глибині 6...8 см та інші. Одним з найбільш прийнятих робочих органів є стрілчаста лапа бритва. Вона достатньо стійко йде на заданій глибині, мінімально переміщує грунт, є можливість вільного розміщення в потрібній зоні розпилюю чого приладу. 3.2 Призначення машини та область використання і агротехнічні, технічні та експлуатаційні вимоги до конструкції Прилад комбінований ПК-5,6 призначений для стрічкового підгрунтового внесення гербіцидів, різних комбінованих мінеральних добрив та виконання протиерозійних заходів одночасно з посівом кукурудзи. Прилад ПК-5,6 використовується разом з сівалкою СУПН-8 та підживлювачем оприскувачем ПОМ-630 для внесення рідких гербіцидів та ЖКУ. Пристрій в комплекті з сівалкою та підживлювачем-оприскувачем агрегатується з трактором 1,4...3 класу в залежності від агрегатного варіанту використаної технології. 3.2.1 Агротехнічні вимоги до пристрою ПК-5,6 Агротехнічні вимоги до пристрою ПК-5,6 представлені у таблиці 3.1. Таблиця 3.1 – Агротехнічні показники пред’явлені до пристрою ПК-5,6
При випробуваних агротехнічною оцінкою встановлено, що пристрій ПК-5,6 у складі агрегаті задовільно виконує технологічний процес стрічкового підгрунтового внесення гербіцидів при посіві кукурудзи. 3.2.2 Експлуатаційно-технологічна оцінка агрегату з використанням пристрою ПК-5,6 Показники експлуатаційно-технологічної оцінки пристрою при лабораторно-польових випробуваннях наведені в таблиці 3.2. Таблиця 3.2 – Техніко-економічні показники пристрою ПК-5,6
3.2.3 Технічна характеристика пристрою Основні технічні дані та характеристики пристрою наведені в таблиці 3.3 Таблиця 3.3 – Технічна характеристика пристрою ПК-5,6
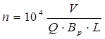
3.3 Розрахунки міцності, затверджуючи працездатність та надійність конструкції. 3.3.1 Розрахунок резервуарів Задача розрахунку – вибір раціональних розмірів резервуару, міцність листа при виготовленні. При цьому повинні бути враховані слідуючи вимоги: 1) Об’єм резервуару повинен бути кратним об’єму заправ очного агрегату; 2) Габаритні розміри повинні монтуватись на трактор МТЗ-80. Для заправки резервуарів будемо використовувати трактор ЮМЗ-6Л тавр-3М об’ємом 3 м3 . Об’єм резервуара визначаємо за формулою
де в – діаметр бака, м; Н – висота бака, м. Приймаємо в = 0,8 та V = 0,9 м3 . Визначаємо довжину бака за формулою:
На трактор навішуються два бака, і з цього слідує, що довжина одного бака 0,8 м. Хвилинна витрата робочої рідини визначається за формулою
де g/ - хвилинна витрата робочої рідини, л/га; Qга – норма витрати рідини, л/га, Qга = 100 л/га; Вр – ширина захвату агрегату, м; ВР = 5,6 м; V – робоча швидкість агрегату, км/год.; V = 8,15 км/год.
Час руху агрегату в загоні визначаємо за формулою
де L – довжина гону, м; L = 1000 м; Vр – робоча швидкість агрегату, м/хв.; Vр = 135 м/хв.
Витрата гербіцидів на один прохід агрегату визначається за формулою
Кількість проходів з однією заправкою визначаються
де n – кількість проходів з однією заправкою
Хвилинна витрата рідини через один розпилювач визначаємо по формулі
де n – кількість розпилювачів, шт., n = 16 шт.
Виходячи з табличних даних довідкового матеріалу по регулюванню оприскувача та хвилинної витрати робочої рідини через один розпилювач, підбираємо дефлекторний розпилювач, діаметр вихідного наконечнику 1,0 мм з хвилинною витратою рідини 3 л при тиску 0,2 МПа. 3.3.2 Вибір насосу для подачі рідини Задачею розрахунку є перевірка працездатності насосу ОПТ-15 з оприскувачем в роботі при нормі внесення 100 л/га з приводом гідромішалки. Вихідні дані: Робочий тиск насосу – 0,2 МПа Частота обертання валу – 545 хв.-1 Подача насосу (продуктивність) – 80 л/хв. Норма виробітку насосу при частоті обертання 975 хв.-1 визначається за формулою
де n, n1 – відповідно нормальна та зміна частота обертання валу, хв.-1 ; Q, Q1 – відповідно нормальна та змінна норма виробітку насосу, л/хв.
Знаючи годинну витрату насосом гербіцидів визначаємо потужність, споживану насосом за формулою
де Р – тиск насосу, Па; g – годинна норма виробітку насосу, л/год.; h - об’ємний коефіцієнт насосу, h = 0,8
Робоча швидкість рідини насосу дорівнює 2,5 м/с. він забезпечує гарну інтенсивність перемішування. 3.3.3 Розрахунок циліндричного резервуару визначення товщини листа Бокові стінки та дно резервуару знаходяться під дією рівномірно розповсюдженого тиску. Виділяємо з циліндричної частини резервуару прямокутник АВСД. Він буде під дією тиску G/ в двох напрямках, за перерізом перпендикулярним до утворюючих та тиску G// за перерізом вздовж утворюючих баку. Тиск на дно заміняємо на рівнодіючу
Площа кільцевого перерізу, яка випробує цю силу дорівнює
Нормальна напруга в цьому перерізу дорівнює
Напруга s//
знаходиться на деякій відстані від дна. Частина резервуару двома поперечними перерізами Площа діаметрального перерізу циліндру приймаюча цей тиск дорівнює
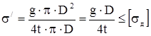
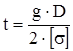
де s/, s// - нормальна напруга в перерізах, мПа; g – прискорення вільного падіння, м/с2 ; t – товщина стінки циліндру, м; а – відстань між перерізами [s] – допустима напруга, кН/см2 ; [s] = 120 кН/см2 = 1200 Н/м2 . Оскільки G// > G/ та s/// = 0, тоді
З урахуванням корозії металу товщина стінки буде дорівнювати
де
Товщина листа резервуару приймається рівною 4 мм у відповідності з ГОСТ 380-71. 3.3.4 Розрахунок зварного з’єднання Задачею розрахунку є вибір раціонального способу зварення та проведення розрахунків параметрів зварювання. Швидкість газового зварювання визначається за формулою
де Vзв – швидкість газового зварювання, см/хв.; t – товщина зварюваного листа, мм; Км – коефіцієнт, що враховує спосіб зварювання, Км = 14;
Визначаємо вагу розплавленого металу шву в 1 см
де Пш – площа поперечного перетину шву, см2 ; Уд – питома вага розплавленого металу, г/см3 ; для сталі Уд = 7,8 г/см3
Вибір діаметру присадочного дроту визначається в залежності від товщини зварювального металу. При S ≤ 5 мм діаметр визначається за формулою
Потрібна потужність пальника залежить від товщини та теплопровідності зварювального методу та визначається за формулою
де Км – коефіцієнт, який характеризує метал та тип зварного з’єднання, визначається випробуванням, Км = 100
По товщині зварювального металу та годинної витрати ацетилену вибираємо номер горілки та наконечнику: - газова горілка № 3; - витрата ацетилену 240...400 л/год.; - витрата кисню 260...420 л/год. 3.4 Описання пристрою конструкції, способу регулювання, технічного обслуговування Підживлювач-оприскувач ПОМ-630 служить для зниження бур’янів суцільним обприскуванням гербіцидами чи обприскуванням тільки захисних зон просапних культивацією чи посівом. Машину можна агрегатувати з причіпними чи навісними культиваторами, сівалками просапних культур. Основні вузли машини: два резервуара, насос ОПТ-35, комплект кронштейнів для кріплення резервуарів на тракторі, універсальна штанга з шириною захвата 18 м, розпилювачі, вакуумний заправ очний пристрій. Необхідний тиск в магістралі підтримується регулятором та контролюється манометром. Надлишкову рідину із магістралі по рукаву змивають в резервуар. В залежності від типів трактору, підживлювач-оприскувач навішують на трактор відповідно інструкції. Перевіряють комплектність машини та правильність збирання. Також перевіряють чистоту резервуарів, магістралей та фільтрів. Заправляють резервуари водою та вмикають насос, потім за допомогою регулятора тиску встановлюють робочий тиск 0,6 МПа. Якщо необхідно перемішувати робочу рідину встановлюють тиск 0,7 МПа, в якщо немає потреби, то тиск встановлюють мінімальний. Технічне обслуговування складається із: загального огляду, зовнішнього очищення машини від бруду та пилу, мийки, усунення усіх підтікань, перевірки її технічного стану. У відповідності до ГОСТ 20793-81 для оприскувачів виконуються слідуючи види технічного обслуговування: 1) щоденне технічне обслуговування; 2) періодичне технічне обслуговування проводять через кожні 30 годин праці; 3) після сезонне технічне обслуговування. 3.5 Техніка безпеки при експлуатації розпилювача-підживлювача При внесенні гербіцидів обслуговуючому персоналу загрожує небезпека дії отрут на організм. Виходячи з цього працюючі з отрутохімікатами повинні бути проінструктовані про токсичні властивості, а також про власну та суспільну безпеку при роботі з ними. Громадянам, які направлені на роботу з отрутохімікатами, необхідно поперед за усе пройти медичний огляд, а систематично працюючим – треба періодично оглядатись у лікаря, не менш ніж два рази на рік. Обслуговуючий персонал необхідно забезпечити спецодягом, взуттям, респіраторами, протигазами та рукавицями. По закінчені праці з отрутохімікатами спецодяг очищують та складають у спеціальному приміщені. Поблизу від місця роботи з отрутохімікатами, поза зоною забруднення повинна бути вода, умивальники, мило та рушник. Конструкції усіх видів з’єднань та комунікацій повинні мати ущільнення, виключаючи проникнення отрутохімікатів назовні. Всі з’єднання розпилючого пристрою повинні бути ущільненні прокладками. Працюючі повинні бути ознайомлені з правилами надання першої медичної допомоги при отруєнні. Розділ 4. Засоби з безпеки праці та охорони навколишнього середовища 4.1 Аналіз стану організації робіт по забезпеченню безпеки життєдіяльності в приватному підприємстві “Агрофірма Семенівка”, Запорізької області Склад нормативних документів: а)конституція України; б)кодекс законів України про працю (НЗООП); в)основа законодавства України про охорону праці та здоров’я; г)закон України “Про охорону навколишнього середовища”; д)закон України “Про охорону праці”; є)закон України “Про пожежну безпеку”; ж)ГОСТ 12.1.003 – 83 ССБТ. Шум. Загальні вимоги безпеки; з)ГОСТ 12.1. 007 – 76 ССБТ. Повітря робочої зони. Загальні санітарно – гігієнічні вимоги; і)ГОСТ 12.1.005 – 76 ССБТ. Небезпечні речовини. Класифікація та загальні вимоги безпеки; к)ГОСТ 12.1.02 – 81 ССБТ. Техніка сільськогосподарська. Методи оцінки безпеки; л)ГОСТ 12.3.037 – 84 ССБТ. Застосування мінеральних добрив в сільському та міському господарстві. Загальні вимоги безпеки; м)ГОСТ 12.4.135 – 83 ССБТ. Засоби захисту робітників від впливу механічних факторів. Класифікація; н)ОСТ 46.3.1.16 – 84 ССБТИ. Обробка пестицидами ґрунтів та посівів польових культур. Вимоги безпеки; о)сни П 11.79.76. Генеральні плани сільськогосподарських підприємств. Норми проектування; п)СН 1042 – 73. Санітарні норми організації технологічних процесів та гігієнічних вимог до виробничого устаткування. Організація робіт з охорони праці, пожежної безпеки, охорони навколишнього середовища та застереження аварійних ситуацій. За організацією робіт з охорони праці несусь відповідальність головний агроном та бригадир полеводческих бригад. У результаті проведеного аналізу організації безпеки праці в приватному підприємстві агрофірма “Семенівка”, Запорізької області були проведені слідуючи недоліки: Не забезпечено розроблення здорових та безпечних умов праці на робочих місцях з положенням про організації роботи по ОП; Не ведеться пропаганда охорони праці, підрозділи не забезпечені літературою, інструкціями згідно з пунктами по техніці безпеки праці з ОСТ 46.0.126 – 82 ССБТ. Організація навчання ОП в сільському господарстві. Загальні положення, а також ОСТ 46.1.0.177 – 81 ССБТ. Плакати по безпеці праці на сільськогосподарських роботах. Невчасно розглядаються заяви на засоби індивідуального захисту (СІЗ), робітники не забезпечуються спецодягом, спецвзуттям згідно з Положенням про організацію роботи по ОП; Не виділяються та не позначаються спеціальні місця для короткочасного відпочинку робітників на полі та на дільницях робіт, не підтримується необхідний санітарний стан виробничих дільниць та побутових споруд згідно з СН 1042 – 73. Санітарні норми організації технологічних процесів та гігієнічні вимоги до виробничого устаткування. За забезпеченням пожежної безпеки при організації робіт несе відповідальність бригадир тракторної бригади та інженер по ОП. При проведенні аналізу пожежної безпеки були виявлені слідуючи недоліки: Не всі трактори та сільськогосподарські машини забезпечені іскрогасниками, тим самим не виконуються ГОСТ 12.4.009 – 83 ССБТ. Пожежна техніка для захисту об’єктів. Основні види: Робочі місця трактористів і комбайнерів не оснащені засобами пожежегасіння, що не відповідає ГОСТ 12.1.004 – 85 ССБТ. Пожежна безпека. Загальні вимоги. За організацію робіт з охорони навколишнього середовища несуть відповідальність бригадир тракторної бригади та інженер по ОП. У результаті проведення аналізу організації робіт з охорони праці та навколишнього середовища були виявлені слідуючи недоліки: Немає спеціальних оснащених площ для приготування та завантаження розчинів мінеральних добрив, тим самим не виконуються вимоги ГОСТ 12.3.037 – 84 ССБТ. Застосування мінеральних добрив в сільському господарстві; Мають місце підтікання палива та мастила в системі живлення, змащування двигуна, при цьому палива та мастило попадають у грунт, що не відповідає ГОСТ 17.4.304 – 85. Охорона природи. Грунту. Загальні вимоги до контролю й охорони від забруднення. При розгляданні цього питання господарчої діяльності підприємства були відмічені слідуючи недоліки: - Деякі обертаючі та рухаючи частини машин механізмів не мають захисних щитків й кожухів, тим самим не виконуються вимоги вимоги ГОСТ 12.2.111 – 85 ССБТ. Машини сільськогосподарчі навесні та причепні. Загальні вимоги безпеки. А також ГОСТ 12.2.003 – 74 – ССБТ. Обладнання виробниче. Загальні вимоги безпеки; - при регулюванні машин та механізмів, а також при їх ремонті працівники застосовують недозволені небезпечні засоби роботи інструментом, тим самим не виконуються вимоги ГОСТ 12.3.017 – ССБТ. Ремонтта технічне обслуговування автомобілів. Загальні вимоги безпеки. А також ГОСТ 12.4.125 – 83 ССБТ. Засоби захисту працюючих від впливу механічних факторів. Класифікація. 4.1 Забезпечення безпеки технологічних процесів При розгляданні цього питання в господарстві також знайдені порушення: - не розроблені питання направлені на забезпечення безпеки праці при внесенні рідинних та твердих мінеральних добрив згідно з ГОСТ 3.1.169 – 84 ССБТ. Застосування твердих та рідинних мінеральних добрив. Вимог безпеки; - маршрути переїздів тракторів не завжди відповідають встановленим, тим самим нарушаються вимоги ГОСТ 46.3.3116 – 81 ССБТ. Перегін сільськогосподарської техніки. Вимоги безпеки. Розділ 5. Техніко–економічні показники проекту Основними показниками ефективності вирощування кукурудзи на силос по інтенсивній технології є річний економічний ефект, який визначається різницею витрат на вирощування кукурудзи на силос в базовому та проектованому варіанті технології. Поряд з річним економічним ефектом розраховуються слідуючи техніко - економічні показники: - витрати праці на вирощування та збирання; - собівартість однієї тони врожаю; - річну економію від зниження собівартості вирощування; - витрати палива на одиницю площі; - виробництво кукурудзи на одного працюючого; - питомі капіталовкладення; - строк окупності капіталовкладень. 5.1 Витрати праці Витрати праці на виробництво кукурудзи на силос визначають для проектує мого варіанту по технологічній карті, розробленій в дипломному проекті. Для базової технології по фактичним витратам праці в господарстві Тс=6489 люд/год; Тп=3879 люд/год. де Тп та Тс - відповідно проектні та існуючі витрати праці; Витрати праці на вироблення одиниці площі відповідно при проектнній та існуючий технології визначаємо за формулами Зтпр=Тн/Fп, (5.1) Зтіс=Тс/Fc, (5.2) де:Тн,Тс- об’єм робіт відповідно на проектуєму та існуючу технологію; Fп,Fс- площа поля відповідно для проектуємої та існуючій технології; Зтпр=3879/457=8,49 люд.год/га, Зтіс=6489/457=14,2 люд.год/га, Ступінь зниження витрат праці визначаємо за формулою Ст=(Зтіс-Зтпр)/ Зтіс ·100%, (5.3) Ст.=(14,2-8,49)/14,2 ·100%=40,2% Річну економію витрат праці визначаємо за формулою Этг=(Зтіс-Зтпр)Sн, (5.4) де Sн - площа під культурою по проектуємому варіанті, га; Этг=(14,2-8,49) ·457=2609 люд.год. Зростання норми виробітку праці визначаємо за формулою Nтр=Зтіс/Зтпр, (5.5) Nтр=14,2/8,49=1,67 Прямі експлуатаційні витрати для порівняння технологій (вихідної та інтенсивної) розраховуються за формулою Спп=Зп+Ап+Рп+Тп+Псп+Qжп+Мп, (5.6) де Зп - заробітна плата робітників з нарахуванням, грн.; Ап - амортизаційні відрахування, грн.; Рп- витрати на ремонт та технічне обслуговування, грн.; Тп - витрати на енергоносії, грн.; Псп - страхові витрати, грн.; Qжп- витрати на забезпечення працездатності працюючих, зайнятих на вирощуванні кукурудзи на силос, грн.; Мп- витрати на основні та допоміжні матеріали, грн. Заробітна плата працюючих, зайнятих на вирощуванні кукурудзи на силос, визначаємо за формулою Зп=З+Нар ·З, (5.7) де З -заробітна плата відповідно до технологічної карти, грн.; Нар-нарахування на зарплату,Нар=0,375; Зп=2515+0,375·2515=3458 грн Амортизаційні відрахування визначаються за формулою Ап= S · ап, (5.8) а- амортизаційні відрахування на 1га, а=83 грн. S –площа, га Ап=83·457/100=37931 грн Витрати на ремонт та технічне обслуговування приймають по нормативам витрат грошових засобів в розрахунку на 1 га за формулою Рп=åSі·åНтрі, (5.9) де Sі - площа під кукурудзу на силос, га.; Нтрі- норматив витрат грошових засобів на ремонт та технічне обслуговування на одиницю площі, грн/га.; Виконавши відповідні розрахунки підставляємо результати. За формулою 5.10 маємо Рп=457 ·68=31076 грн. Витрати коштів на паливо визначається за формулою Тп=Рті·Цкі, (5.10) де Рті - витрати палива на весь обсяг робіт, кг. Рті=48900кг; Цкі - комплексна ціна палива,грн/кг.Цкі=3,9грн/кг; Тп=489000 ·3,9=190710 грн. Страхові виплати від балансової вартості техніки, зайнятої на вирощуванні кукурудзи на силос визначаємо за формулою Псм=Бп·Нсп, (5.11) де Бп- балансова вартість техніки, грн.; Бп=1236000 грн; Нсп- норматив страхових виплат; Нсп=0,003. Псп=1236000 ·0,003=3708 грн. Витрати на забезпечення працездатності працюючих: Qжп=n·Нж+Зж, (5.12) де n - кількість працюючих, зайнятих на вирощуванні кукурудзи на силос; Нж- норматив витрат на одного працюючого за рік на забезпечення працездатності, Нж=7,5 грн; Зж- витрати на охорону праці та техніку безпеки, грн; Зж=800 грн; n –кількість людей. Qжп=7 ·7,5+800=852 грн, Витрати на основні та допоміжні матеріали визначаються за формулою Мп= Мс+Муд+Мгер, (5.13) де Мс - витрати на насіння, грн.; Мс=16452; Муд - витрати на добрива,грн.,Муд=98712; Мгер- витрати на гербіциди, грн., Мгер=45700; Мп=16452+98712+45700=160864 грн Підставимо в формулу для визначення прямих експлуатаційних витрат- значення складових, отримаємо Спл=3458+37931+31076+190710+3708+8522+160864=436269грн Накладні витрати визначаються за формулою Сн=0,1(Зп+Ам+Рп), (5.14) Сн=0,1(3458+37951+31076)=7246 грн. Собівартість основного виду продукції та економічне обґрунтовування доцільності проекту. Собівартість продукції визначається за формулою Свп=(Сп+Сн)/Q, (5.15) де Сп - прямі експлуатаційні витрати, грн..; Сн - накладні витрати, грн.; Q - валове виробництво, т., Q=9140 т Підставимо до формули значення складових отримуємо собівартість вирощування кукурудзи на силос Свп=436269+4033,370·2=25,13грн/т, Річну економію при вирощуванні кукурудзи на силос за інтенсивною технологією порівнюючи з вихідним варіантом визначаємо за формулою: Эт=(Свпг-Свп)Q+DЭт, (5.16) де Свпг - собівартість 1т продукції при вирощувані у вихідному варіанті,грн.; Свп - собівартість 1т продукції при вирощувані у проектному варіанті, грн.; Q- валовий сбір продукції, т; Q=9140 т; DЭт - річна економія від підвищення врожайності за рахунок поліпшення технології; DЭт=DU ·S ·Up, (5.18) ,де DU-приріст вражаю, DU=12,2; S-площа, га; Up-вартість однієї тони., Up=48 грн/т DЭт=12,2 ·457 ·48=267619 грн Эт=(59,2-48) ·9140+267619=369987 грн Питомі капіталовкладення на вирощування 1т продукції визначаємо за формулою Кудп=К/S·у, (5.19) де К- сума капіталовкладень, грн.; S - площа вирощування кукурудзи на силос, S; у - врожайність культури з 1га, т. Кудп=345000/457·20=37,7 грн/т. У зв’язку з недостатньою кількістю техніки в господарстві та її моральному старінні, необхідно придбати один трактор Т-150 та дві сівалки СУПН-8, та два культиватори КРН-5,6, загальною вартістю Кдоп= 345000 грн. Середньорічна кількість працюючих, зайнятих на вирощуванні даної продукції п=Тм/Фрв·t, (5.20) де Тм - витрати часу на весь об’єм робіт; Тм=3879 год; Фрв - річний фонд робочого часу одного працюючого, 1870год; t - коефіцієнт використання робочого часу зміни, приймаємо 0,5; Виробництво продукції на одного працюючого Qг=Q/п, (5.21) де Q- валовий збір, т., Qг=9140/4=2285 т/люд. Строк окупності проекту визначаємо за формулою Ток=Кдоп/Эг, (5.22) Ток=345000/318237=1,08 Річний економічний ефект дорівнює Эгср=Эг -Е·Кдоп, (5.23) де Ем - нормативний коефіцієнт ефективності, приймаємо Ем=0,15, Эгср=369987 - 0,15 ·345000=318237 грн, Отримані результати по техніко-економічним показникам зводимо в таблицю 5.1 Таблиця 5.1 - Техніко-економічні показники
Висновки 1. Аналіз технології вирощування кукурудзи на силос в „Агрофірмі Семенівка” показує що вражай за останні три роки складає 70,8 ц/га при витратах праці 14,2 люд. год/га і собівартості 59,2 грн. Причинами низького вражаю є застосування морально і фізично застарілого комплексу машин, що приводить до несвоєчасного і неякісного виконання операцій технологічного процесу. Не достатньо застосовуються мінеральні добрива і засоби захисту рослин. Не підвищується кваліфікація робітників. 2. Розроблена технологія вирощування кукурудзи на силос, що забезпечує врожайність 20 т/га при витратах праці 8,46 люд. год/га за рахунок внесення 0,3 т/га мінеральних добрив, стрічкового внесення гербіцидів, своєчасного та якісного виконання робіт. 3. Для зменшення в 2 рази витратити гербіцидів та поєднання операцій стрічкового їх внесення і посіву. Розроблено пристрій для сівалки СУПН-8, що дозволяє проводити роботи при вітряній погоді. Економія коштів при цьому складає до 50 грн/га. 4. З метою забезпечення охорони праці і довкілля, розроблені конкретні заходи безпеки при вирощуванні кукурудзи вмілому і внесення гербіцидів. 5. Розрахунок техніко-економічних показників проекту, показує, що розроблена технологія дозволяє знизити затрати праці до 0,42 люд. год/га, собівартість до 48 грн/т і отримати економічний ефект 318237 грн. при терміні окупності капіталовкладень 1,08 року. Список літератури 1. Річні звіти ПП „Агрофірма Семенівка” за 2002...2004 роки. 2. Н.Э Фере и др. Пособие по ЭМТП. – М.: Колос, 1978. 3. Н.А. Шабала Механизация возделывания кукурузы. – Кишинев, 1991. 4. Н.В. Тудель „Интенсивная технология производства кукурузы”, Москва, Россельхозиздат, 1993 г. 5. В.И. Анурьев „Справочник конструктора машиностроителя”. Москва, машиностроение, 1972 г. 6. Д.А. Тудиков „Основа расчета трактора и автомобиля”. Москва, Колос, 1972 г. 7. „Экономическая эффективность применения новых технологий”. Методическое пособие кафедры МВЗ, Мелитополь, 1996 г. 8. ”Типові норми виробітку і витрати палива на механізовані польові роботи”. Урожай, Київ, 1991 р. 9. Сельскохозяйственная техника. Каталог, т.1, Киев, 2002 г. 10. Насінництво кукурудзи. Довідник. Сімферополь. Таврія. 1991. 11. Економічна ефективність застосування нових технологій. Методичний вказівник кафедри МВЗ. Мелітополь, 1996. 12. Сільськогосподарська техніка. Каталог, т. 1 і 2, вид. „Юнівест маркетінг”, Київ, 1998. 13. „Технологія та організація виробництва с/г культури”. Методичні вказівки, Баєв І.В., Мелітополь, 2002 р. |
|||||||||||||||||||||||||||||||||||||||||||||||||||||||||||||||||||||||||||||||||||||||||||||||||||||||||||||||||||||||||||||||||||||||||||||||||||||||||||||||||||||||||||||||||||||||||||||||||||||||||||||||||||||||||||||||||||||||||||||||||||||||||||||||||||||||||||||||||||||||||||||||||||||||||||||||||||||||||||||||||||||||||||||||||||||||||||||||||||||||||||||||||||||||||||||||||||||||||||||||||||||||||||||||||||||||||||||||||||||||||||||||||||||||||||||||||||||||||||||||||||||||||||||||||||||||||||||||||||||||||||||||||||||||||||||||||||||||||||||||||||||||||||||||||||||||||

, (3.3)
, (3.4)
, (3.6)
, (3.7)
, (3.9)
, (3.12)
, (3.13)
, (3.14)