Реферат: Расчет показателей эффективности инвестиционного проекта
|
Название: Расчет показателей эффективности инвестиционного проекта Раздел: Рефераты по банковскому делу Тип: реферат | ||||||||||||||||||||||||||||||||||||||||||||||||||||||||||||||||||||||||||||||||||||||||||||||||||||||||||||||||||||||||||||||||||||||||||||||||||||||||||||||||||||||||||||||||||||||||||||||||||||||||||||||||||||||||||||||||||||||||||||||||||||||||||||||||||||||||||||||||||||||||||||||||||||||||||||||||||||||||||||||||||||||||
Содержание1. Инвестиционное проектирование: принципы финансового обоснования.. 4 1.1. Понятие инвестиционного проекта и его эффективности .. 4 1.2. Основные принципы оценки эффективности .. 8 2. Показатели и виды эффективности инвестиционных проектов.. 10 2.1. Виды эффективности инвестиционных проектов . 10 2.2. Показатели эффективности ИП .. 13 3.1. История создания и развития предприятия, его цели и задачи .. 23 3.2. Расчет показателей эффективности инвестиционного проекта . 28 ВведениеОснову эффективности национальной экономики современной России составляет наряду с природными и трудовыми ресурсами и научно-технический потенциал страны. Переход экономики в новое качественное состояние увеличил значимость инновационной деятельности, развития наукоемких производств, что в конечном счете является важнейшим фактором выхода из экономического кризиса и обеспечения условий для экономического роста. В основе принятия инвестиционных решений лежит оценка инвестиционных качеств предполагаемых объектов инвестирования, которая в соответствии с методикой современного инвестиционного анализа ведется по определенному набору критериальных показателей эффективности. Определение значений показателей эффективности инвестиций позволяет оценить рассматриваемый инвестиционный объект с позиций приемлемости для дальнейшего анализа, произвести сравнительную оценку ряда конкурирующих инвестиционных объектов и их ранжирование, осуществить выбор совокупности инвестиционных проектов, обеспечивающих заданное соотношение эффективности и риска. Оценка эффективности инвестиций является наиболее ответственным этапом принятия инвестиционного решения, от результатов которого в значительной мере зависит степень реализации цели инвестирования. В свою очередь, объективность и достоверность полученных результатов во многом обусловлены используемыми методами анализа. В связи с этим важно рассмотреть существующие методические подходы к оценке эффективности инвестиций и определить возможности их применения с целью рационального выбора вариантов инвестирования. Цель работы - расчет показателей корпоративной эффективности инвестиционного проекта. Для достижения этой цели поставлены и решены следующие задачи: 1. Теоретические аспекты оценки инвестиционных проектов; 2. Оценка эффективности инвестиционного проекта; 3. Расчет показателей эффективности инвестиционного проекта на примере с/х предприятия. Предмет исследования – расчет показателей эффективности инвестиционного проекта в ОАО «Ижевская птицефабрика», возникающие в процессе финансово-хозяйственной деятельности. Объект исследования - является организация: ОАО «Ижевская птицефабрика». Теоретической и методологической основой данного исследования послужили труды отечественных и зарубежных авторов по проблемам управления организационным поведением. 1. Инвестиционное проектирование: принципы финансового обоснования1.1. Понятие инвестиционного проекта и его эффективностиИнвестиционный проект (investment project) — проект, предусматривающий (в числе других действий) осуществление инвестиций. Естественно, что проектные материалы в данном случае должны содержать информацию о том, кто осуществляет инвестиции, в какой форме они осуществляются, каков объем этих инвестиций и как они распределены во времени. Инвестор (investor) — участник инвестиционного проекта, в числе действий которого предусмотрено осуществление инвестиций. Инвестиционные проекты преследуют цель получения доходов от производства некоторой продукции или услуги. Объект, на котором будет осуществляться такое производство, мы называем "предприятие" и предполагаем, что в его рамках ведется учет связанных с его созданием и функционированием доходов и расходов (хотя такое предприятие может не быть юридическим лицом, а являться, скажем, подразделением какой-либо фирмы). Инвестиционный проект вовсе не обязательно предусматривает капитальное строительство, поскольку инвестиции могут осуществляться и в прирост оборотного капитала или инвестор может в качестве своего вклада внести в проект готовое здание или имеющееся оборудование. Далее, в качестве инвестора в проекте, в принципе, могут выступать почти все участники. Например, пусть проект предусматривает строительство нового здания на условиях "под ключ". Заказчик строительства является инвестором — тут проблем не возникает, поскольку он оплачивает работу и принимает здание на свой баланс. Но строительная организация — тоже инвестор, поскольку вынуждена вначале вкладывать свои средства в приобретение строительных материалов, перебазировку строительных машин, оплату труда своих рабочих и т. д. При этом ее расходы в отличие от расходов заказчика отражаются в увеличении текущих активов (статьи "Запасы материалов" и "Незавершенное строительное производство"). Однако такие вложения — это тоже инвестиции, а, следовательно, строительная организация — тоже инвестор. Характерно, что многие проекты, предусматривающие реальные инвестиции, неделимы, и нетиражируемы. Нельзя реализовать проект наполовину. Это не значит, что в проект нельзя вложить меньше средств, просто в этом случае остальные средства должен вложить какой-то другой участник (для большинства финансовых проектов положение иное — за меньшие средства можно приобрести меньше акций и получить соответственно меньший доход). Однако за половину средств нельзя построить объект половинной мощности и получать половинный доход. С другой стороны, подобные проекты обычно нельзя и автоматически удваивать — за вдвое большие средства можно построить два однотипных объекта, но эти объекты будут в разных местах, они будут конкурировать между собой за рынок сбыта и в общем случае суммарные затраты и результаты по двум таким проектам не станут вдвое больше. Как правило, за вдвое большие средства нельзя построить и объект вдвое большей мощности — сказывается эффект концентрации производства. Другими словами, изменение масштабов инвестиций не приводит к пропорциональному увеличению затрат и результатов, оно должно рассматриваться как самостоятельный новый проект и требует разработки самостоятельных проектных материалов. Инвестиционный проект предполагает удачное использование сложившейся или ожидающейся в перспективе рыночной конъюнктуры и, как правило, "выводит из игры" конкурентов (например, потому что на одном и том же месте в одно и то же время нельзя построить два предприятия по одному и тому же проекту; если же строить предприятия в разных местах и/или в разное время, то это будут два разных проекта, а не повторение одного и того же — эффективность этих проектов будет разной). Уникальность проектов обусловливает необходимость индивидуального подхода к оценке эффективности каждого из них. В любом проекте может быть своя "изюминка", обеспечивающая эффективность проекта и требующая индивидуального подхода. В то же время принципы, на базе которых должна быть учтена эта "изюминка" при оценке эффективности проекта, достаточно общие. Эффективность проекта оценивается определенными количественными характеристиками — показателями эффективности, отражающими (хорошо или плохо, точно или неточно) указанное соответствие в том или ином аспекте, "выгодность" реализации проекта для каждого из его участников, а также некоторыми качественными характеристиками. Чтобы рассчитать показатели эффективности, надо не только знать, какие действия выполняет участник, но и то, каких затрат это требует и к каким результатам приводит. Это означает, что предметом оценки эффективности может быть лишь такой проект, в котором указаны затраты и результаты каждого участника. 1) каждый участник проекта сам устанавливает свои цели, интересы и систему показателей, по которым он оценивает соответствие проекта своим целям и интересам. Какой-либо системы показателей, пригодной для оценки эффективности проекта с точки зрения всех его участников, которую можно было бы "утвердить" как обязательную для разработчиков любых инвестиционных проектов, просто не существует; 2) разработчик проекта должен по возможности понимать цели и интересы участника и обосновывать выгодность его участия в проекте теми показателями, которые эти цели и интересы выражают. Лучше всего, если соответствующую систему показателей он просто согласует с участниками. Чтобы обеспечить соответствие проекта целям и интересам определенного участника, в рыночной экономике выработано много различных механизмов. Об одном из них мы уже говорили — это цены. Повысив цену работ или продукции, можно сделать проект более выгодным для производителя этих работ (изготовителя продукции). Но того же можно добиться и "корректировкой" проекта, изменив требования к объемам, срокам и качеству поставляемой продукции, пересмотрев строительные решения сооружаемых зданий, технологию и организацию строительства и т. п. Как категория эффективность проекта имеет много разных видов. В общем случае она включает: • экономическую эффективность, отражающую соответствие затрат и результатов проекта целям и интересам его участников в денежной форме; • социальную эффективность, отражающую соответствие затрат и социальных результатов проекта целям и социальным интересам его участников (включая государство и общество); • экологическую эффективность, отражающую соответствие затрат и экологических результатов проекта интересам государства и общества; • оборонную эффективность, отражающую соответствие затрат и результатов проекта интересам безопасности страны; • другие виды эффективности. Рекомендуется оценивать следующие виды экономической эффективности инвестиционных проектов: • эффективность проекта в целом; • эффективность участия в проекте (эффективность инвестиций для участников проекта, эффективность собственного капитала). Рассмотрим каждый из этих видов эффективности отдельно, обратив внимание на содержание тех показателей, которыми они характеризуются. Эффективность проекта в целом подразделяется на общественную (социально-экономическую) и коммерческую. Показатели общественной эффективности проекта учитывают допускающие стоимостное измерение последствия осуществления инвестиционного проекта для рассматриваемой общественной системы, включая затраты и результаты в смежных областях, в предположении, что все результаты инвестиционного проекта используются этой общественной системой и за счет ее ресурсов производятся все затраты, необходимые для реализации проекта. Показатели коммерческой эффективности проекта в целом учитывают финансовые последствия его осуществления для реализующей его коммерческой структуры и определяются в предположении, что все необходимые для реализации проекта затраты производятся за счет ее средств. Эффективность участия в проекте может определяться по отношению к различным типам участников. Соответственно в расчетах может оцениваться: • эффективность участия предприятий в реализации проекта; • эффективность проекта для акционеров акционерных предприятий—участников инвестиционного проекта; • эффективность (инвестиций) для структур более высокого уровня по отношению к предприятиям—участникам проекта (народного хозяйства, регионов, отраслей); • бюджетная эффективность проекта, отражающая эффективность проекта с точки зрения бюджетов различных уровней. 1.2. Основные принципы оценки эффективностиНесмотря на существенные различия между типами проектов и многообразие условий их реализации, оценки эффективности проектов и их экспертиза должны производиться в определенном смысле единообразно, на основе единых обоснованных принципов. Их можно разделить на три группы: 1) методологические, наиболее общие, обеспечивающие при их применении рациональное поведение экономических субъектов независимо от характера и целей проекта; 2) методические, обеспечивающие экономическую обоснованность оценок эффективности проектов и решений, принимаемых на их основе; 3) операциональные, соблюдение которых облегчит и упростит процедуру оценок эффективности проектов и обеспечит необходимую точность оценок. Таблица 1 Принципы оценки эффективности инвестиций
Наряду с ними существуют еще и "частные" принципы, а точнее — правила, в соответствии с которыми осуществляются отдельные этапы оценки или учитываются отдельные специфические для конкретного проекта обстоятельства. Такие правила, иногда основанные на практическом опыте, иногда конкретизирующие общие принципы применительно к определенной ситуации, в случае необходимости излагаются при описании соответствующих этапов расчета. 2. Показатели и виды эффективности инвестиционных проектов2.1. Виды эффективности инвестиционных проектовОпределение приемлемого для инвестора уровня экономической эффективности инвестиций является наиболее сложной областью экономических расчетов, связанной с разработкой ТЭО, так как здесь надо свести воедино все множество факторов различных интересов потенциальных инвесторов, учесть трудно предсказуемые изменения во внешней среде по отношению к проекту, а также системы налогообложения в условиях нестабильной экономики. Все это многократно усложняется в связи с тем, что оценка эффективности должна базироваться на соответствующей информации за весьма длительный расчетный период. Проблема оценки экономической эффективности инвестиционного проекта заключается в определении уровня его доходности в абсолютном и относительном выражении (т.е. в расчете на единицу инвестиционных затрат, капитала), что обычно характеризуется как норма дохода. Оценку эффективности рекомендуется проводить по системе следующих взаимосвязанных показателей: - чистый доход (ЧД); - чистый дисконтированный доход (ЧДД) или интегральный эффект (другое, довольно широко используемое за рубежом название показателя – чистая приведенная (или текущая) стоимость, net present value (NPV)); - индекс доходности (или индекс прибыльности, profitability (PI)); - срок окупаемости (срок возврата единовременных затрат РВ); - внутренняя норма дохода (или внутренняя норма прибыли, рентабельности, intemal rate of retum (IRR)). В осуществлении и реализации инвестиционного проекта принимают участие ряд субъектов: акционеры (фирмы, компании), банки, бюджеты разных уровней. Поступающий в распоряжение общества доход (валовой внутренний продукт) от реализации эффективных проектов затем делится между ними. Наличие нескольких участников инвестиционного процесса предопределяет несовпадение их интересов, разное отношение к приоритетности различных вариантов проекта. Поступлениями и затратами этих субъектов определяются различные виды эффективности инвестиционного проекта с позиций каждого участника. При этом следует иметь в виду, что позиции участников проекта находят воплощение в исходной информации и формировании специфических потоков денежных средств для расчета показателей эффективности. Поэтому у них могут не совпадать результаты оценки, а следовательно, и решения об их участии в проекте. В настоящее время можно считать общепризнанным выделение следующих видов эффективности инвестиционных проектов.
Рис.1. Виды эффективности инвестиционных проектов Эффективность проекта в целом оценивается для презентации проекта и определения в связи с этим привлекательности проекта для потенциальных инвесторов. Общественная эффективность характеризует социально-экономические последствия осуществления проекта для общества в целом, т.е. она учитывает не только непосредственные результаты и затраты проекта, но и "внешние" по отношению к проекту затраты и результаты в смежных секторах экономики, экономические, социальные и иные внеэкономические эффекты. Общественную эффективность оценивают лишь для социально значимых инвестиционных проектов, затрагивающих интересы не одной страны, а нескольких. По проектам, где не нужно проведение экспертизы государственных органов управления, разработка показателей общественной эффективности не требуется. Коммерческая эффективность проекта характеризует экономические последствия его осуществления для инициатора, исходя из весьма условного предположения, что он производит все необходимые для реализации проекта затраты и пользуется всеми его результатами. Коммерческую эффективность иногда трактуют как эффективность проекта в целом. Считается, что коммерческая эффективность характеризует с экономической точки зрения технические, технологические и организационные проектные решения. Наиболее значимым является определение эффективности участия в проекте. Ее определяют с целью проверки реализуемости инвестиционного проекта и заинтересованности в нем всех его участников. Эффективность участия оценивают прежде всего для предприятия проектоустроителя (или потенциальных акционеров). Этот вид эффективности называют также эффективностью для собственного (акционерного) капитала по проекту. Эффективность участия в проекте включает и такие виды, как эффективность участия в проекте структур более высокого уровня (финансово-промышленных групп, холдинговых структур), бюджетная эффективность инвестиционного проекта (эффективность участия государства в проекте с точки зрения расходов и доходов бюджетов всех уровней). 2.2. Показатели эффективности ИПКлассификация показателей эффективности ИП. Международная практика обоснования инвестиционных проектов использует несколько показателей, позволяющих подготовить решение о целесообразности (нецелесообразности) вложения средств. Эти показатели можно объединить в две группы: 1. Показатели, определяемые на основании использования концепции дисконтирования: - чистая текущая стоимость; - индекс доходности дисконтированных инвестиций; - внутренняя норма доходности; - срок окупаемости инвестиций с учетом дисконтирования; - максимальный денежный отток с учетом дисконтирования. 2. Показатели, не предполагающие использования концепции дисконтирования: - простой срок окупаемости инвестиций; - показатели простой рентабельности инвестиций; - чистые денежные поступления; - индекс доходности инвестиций; - максимальный денежный отток. Классификация основных показателей эффективности инвестиционных проектов приведена в табл. 1. Таблица 2 Основные показатели эффективности инвестиционных проектов
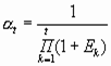
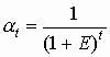
Система показателей, определяемая для оценки перечисленных видов эффективности, и методологические принципы их расчета едины. Отличия заключаются в тех исходных параметрах, которые формируют потоки реальных денежных средств по проекту применительно к каждому виду эффективности. Иными словами, единая и взаимосвязанная система параметров проекта находит воплощение в единых по экономической природе показателях эффективности в зависимости от области их применения в той экономической среде, которую они должны охарактеризовать. Некоторое исключение составляют показатели общественной эффективности. "Внешние" эффекты не всегда представляется возможным учитывать в стоимостном выражении. В отдельных случаях, когда эти эффекты весьма существенны, но не представляется возможным их оценить, неизбежна лишь качественная оценка их влияния. Оценка предстоящих затрат и результатов при определении эффективности инвестиционного проекта осуществляется в пределах расчетного периода (горизонт расчета). Горизонт расчета измеряется количеством шагов расчета. Шагом расчета при определении показателей эффективности в пределах расчетного периода могут быть месяц, квартал или год. Затраты, осуществляемые участниками, подразделяются на первоначальные, текущие и ликвидационные, которые осуществляются соответственно на стадиях строительной, функционирования и ликвидационной. Для стоимостной оценки результатов и затрат могут использоваться базисные, мировые и расчетные цены. Под базисными понимаются цены, сложившиеся в народном хозяйстве на определенный момент времени tб . Базисная цена на любую продукцию или ресурсы считается неизменной в течение всего расчетного периода. Измерение экономической эффективности проекта в базисных ценах производится на стадии технико-экономических исследований инвестиционных возможностей. На стадии технико-экономического обоснования (ТЭО) инвестиционного проекта обязательным является расчет экономической эффективности в прогнозных и расчетных ценах. Одновременно рекомендуется осуществлять расчеты в базисных и мировых ценах. Прогнозная цена Цt продукции или ресурса в конце t-го шага расчета определяется по формуле: Цt = Цб J(t,tн), (1) где Цб – базисная цена продукции или ресурса; J(t,tн) – коэффициент (индекс) изменения цен продукции или ресурсов соответствующей группы в конце t-го шага по отношению к начальному моменту расчета tн (в котором известны цены). По проектам, разрабатываемым по заказу органов государственного управления, значения индексов изменения цен на отдельные виды продукции и ресурсов следует устанавливать в задании на проектирование в соответствии с прогнозами Минэкономики РФ. Расчетные цены используются для вычисления интегральных показателей эффективности, если текущие значения затрат и результатов выражаются в прогнозных ценах. Это необходимо, чтобы обеспечить сравнимость результатов, полученных при разных уровнях инфляции. Расчетные цены получаются путем введения дефилирующего множителя, соответствующего индексу общей инфляции При разработке и сравнительной оценке нескольких вариантов инвестиционного проекта необходимо учитывать влияние изменения объемов продаж на рыночную цену продукции и цены потребляемых ресурсов. При оценке эффективности инвестиционного проекта соизмерение разновременных показателей осуществляется путем приведения (дисконтирования) их к ценности в начальном периоде. Для приведения разновременных затрат, результатов и эффектов используется норма дисконта (Е), равная приемлемой для инвестора норме дохода на капитал. Технически приведение к базисному моменту времени затрат, результатов и эффектов, имеющих место на t-м шаге расчета реализации проекта, удобно производить путем их умножения на коэффициент дисконтирования
где t – номер шага расчета, t = 0,1,2,...Т, (Т – горизонт расчета). Если же норма дисконта меняется во времени и на t-м шаге расчета равна Еt, то коэффициент дисконтирования равен
В качестве основных показателей, используемых для расчетов эффективности ИП, рекомендуются: - чистый доход (ЧД); - чистый дисконтированный доход (ЧДД); - внутренняя норма доходности (ВНД); - потребность в дополнительном финансировании (другие названия - ПФ, стоимость проекта, капитал риска); - индексы доходности затрат и инвестиций (ИДДЗ и ИДДИ); - срок окупаемости (СО); - группа показателей, характеризующих финансовое состояние предприятия - участника проекта. Условия финансовой реализуемости и показатели эффективности рассчитываются на основании денежного потока Фm. Чистый доход и ЧДД. Чистым доходом (другие названия — ЧД, Net Value, NV) называется накопленный эффект (сальдо денежного потока) за расчетный период: ЧД= ∑Фm m где суммирование распространяется на все шаги расчетного периода. Важнейшим показателем эффективности проекта является чистый дисконтированный доход (другие названия -- ЧДД, интегральный эффект, Net Present Value, NPV) — накопленный дисконтированный эффект за расчетный период. ЧДД рассчитывается по формуле: ЧДД = ∑Фm *am m ЧД и ЧДД характеризуют превышение суммарных денежных поступлений над суммарными затратами для данного проекта соответственно без учета и с учетом неравноценности эффектов (а также затрат, результатов), относящихся к различным моментам времени. Разность ЧД - ЧДД нередко называют дисконтом проекта. Для признания проекта эффективным с точки зрения инвестора необходимо, чтобы ЧДД проекта был положительным. Критерий ЧДД: a)отражает прогнозную оценку изменения экономического потенциала предприятия в случае принятия проекта; b)аддитивен в пространственно-временном аспекте, т.е. ЧДД зависит от длительности периода расчета, а ЧДД различных проектов можно суммировать для нахождения общего эффекта. Проект считается эффективным, если ЧДД от его реализации положителен. Чем больше значение ЧДД, тем эффективнее проект. При отрицательном значении ЧДД проект убыточный. ЧДД является основным показателем эффективности проекта. Критерий ЧДД предполагает дисконтирование денежного потока по цене капитала проекта Е, а критерий ВНД — по норме, численно равной ВНД(Ев), при котором ЧДД=0. При расчете ЧДД, как правило, используется постоянная норма дисконтирования, но могут использоваться и разные нормы по шагам расчёта. Внутренняя норма доходности. Внутренняя норма доходности (другие названия — ВНД, внутренняя норма дисконта, внутренняя норма рентабельности, Internal Rate of Return, IRR). В наиболее распространенном случае ИП, начинающихся с (инвестиционных) затрат и имеющих положительный ЧДД, внутренней нормой доходности называется положительное число Ев, если: - при норме дисконта Е - Ев чистый дисконтированный доход проекта обращается в О, - это число единственное. Для оценки эффективности ИП значение ВНД необходимо сопоставлять с нормой дисконта Е. Инвестиционные проекты, у которых ВНД > Е, имеют положительный ЧДД и поэтому эффективны. Проекты, у которых ВНД < Е, имеют отрицательный ЧДЦ и потому неэффективны (реализовывать данный про нецелесообразно, так как возникнут проблемы с возвратом кредита). Для оценки эффективности ИП за первые k шагов расчетного периода рекомендуется использовать следующие показатели: -текущий чистый доход (накопленное сальдо): k ЧД(к)= ∑Фm m=0 -текущий чистый дисконтированный доход (накопленное дисконтированное сальдо): k ЧДД(к)= ∑Фm*аm m=0 - текущую внутреннюю норму доходности (текущая ВНД), определяемая как такое число ВНД(к), что при норме дисконта Е = ВНД(k) величина ЧДД(k) обращается в 0, при всех больших значениях Е — отрицательна, при всех меньших значениях Е — положительна. Срок окупаемости. Сроком окупаемости с учетом дисконтирования называется продолжительность периода от начального момента до «момента окупаемости с учетом дисконтирования». Моментом окупаемости с учетом дисконтирования называется тот наиболее ранний момент времени в расчетном периоде, после которого текущий чистый дисконтированный доход ЧДД(к) становится и в дальнейшем остается неотрицательным. Логика критерия СО такова: * он показывает число базовых периодов (шагов расчета), за которое исходная инвестиция будет полностью возмещена за счет генерируемых проектом притоков денежных средств: * можно выделять и дробную часть периода расчета, если абстрагироваться от исходного предположения, что приток денежных средств осуществляется только в конце периода. Критерий СО: а) не учитывает влияние доходов последних периодов, выходящих за предел срока окупаемости; б) в отличие от других критериев позволяет давать оценки, хотя и грубые, о ликвидности и рискованности проекта. Потребность в дополнительном финансировании. Потребность в дополнительном финансировании с учетом дисконта (ДПФ) максимальное значение абсолютной величины отрицательного накопленного дисконтированного сальдо от инвестиционной и операционной деятельности. Величина ДПФ показывает минимальный дисконтированный объем внешнего финансирования проекта, необходимый для обеспечения его финансовой реализуемости. Индексы доходности. Индексы доходности (ИД) характеризуют (относительную) «отдачу проекта» на вложенные в него средства. Они могут рассчитываться как для дисконтированных, так и для недисконтированных денежных потоков. При оценке эффективности часто используются: - индекс доходности дисконтированных затрат — отношение суммы дисконтированных денежных притоков к сумме дисконтированных денежных оттоков. - индекс доходности дисконтированных инвестиций (ИДДИ) — отношение суммы дисконтированных элементов денежного потока от операционной деятельности к абсолютной величине дисконтированной суммы элементов денежного потока от инвестиционной деятельности. ИДДИ равен увеличенному на единицу отношению ЧДД к накопленному дисконтированному объему инвестиций. При расчете ИДДИ могут учитываться либо все капиталовложения за расчетный период, включая вложения в замещение выбывающих основных фондов, либо только первоначальные капиталовложения, осуществляемые до ввода предприятия эксплуатацию (соответствующие показатели будут, конечно, иметь различные значения). Индексы доходности дисконтированных затрат и инвестиций превышают 1, если для этого потока ЧДД положителен. Вопрос о реализации проекта рассматривается при ИД > 1, в противном случае проект убыточный. Логика критерия ИД такова: - он характеризует доход на единицу затрат; - этот критерий наиболее предпочтителен, когда необходимо упорядочить независимые проекты для создания оптимального портфеля в случае ограниченности общего объёма инвестиций. Рентабельности инвестиций. В ряде случаев определяется показатель рентабельности инвестиций (РИ), показывающий, сколько денежных единиц чистого дохода принесет с учетом дисконтирования одна денежная единица, инвестированная в проект: РИ=ЧДД/К Взаимосвязь показателей эффективности. Показатели ЧДД, ВНД, ИД и Е связаны очевидными соотношениями: - если ЧДД > 0, то одновременно ВНД>Е и ИД>1; - если ЧДД<0,то ВНД<Е, ИД<1; - если ЧДД = 0,то ВНД = Е, ИД = 1; Основной недостаток ЧДД — это абсолютный показатель, он не может дать информацию о «резерве безопасности проекта» (при ошибке в прогнозе денежного потока насколько велика вероятность того, что проект окажется убыточным). ВНД и ИД — дают такую информацию. При прочих равных условиях, чем больше ВНД по сравнению с ценой капитала (Е), тем больше «резерв безопасности проекта». Для анализа проектов используют график ЧДД =f(E). График — нелинейной зависимость, пересекает ось X в точке ВНД, а ось Y - в точке равной сумме всех элементов недисконтированного денежного потока (включая величину исходных инвестиций). Для неординарных потоков может иметь несколько точек пересечения. Социальная эффективность. Социальные результаты проектов в большинстве случаев поддаются стоимостной оценке и включаются в состав общих результатов проекта в рамках определения его экономической эффективности. При определении коммерческой и бюджетной эффективности проекта социальные результаты проекта не учитываются. Основными видами социальных результатов проекта, подлежащих отражению в расчетах эффективности, являются: · изменение количества рабочих мест в регионе; · улучшение жилищных и культурно-бытовых условий работников; · изменение условий труда работников; · изменение структуры производственного персонала; · изменение надежности снабжения населения регионов или населенных пунктов отдельными видами товаров; · изменение уровня здоровья работников и населения; · экономия свободного времени населения. 3. Расчет показателя корпоративной эффективности на примере сельскохозяйственного предприятия ОАО «Ижевская птицефабрика»3.1. История создания и развития предприятия, его цели и задачиВ 1963 году была организована ГУСП (Государственное унитарное сельскохозяйственное предприятие) «Ижевская птицефабрика» на базе Сарапульской птицефабрики. ОАО «Ижевская птицефабрика» является правопреемником государственного сельскохозяйственного предприятия «Ижевская птицефабрика» (регистрация 19 января 2005 года). Птицефабрика расположена в Завьяловском районе Удмуртской республики (пригород Ижевска) с общей земельной площадью с арендой земли 592га, мощностью 410 тысяч кур-несушек, с годовым производством яйца 132 млн. шт., мяса – 550 т. Полноправным акционером предприятия является Правительство Удмуртской Республики в лице Министерства имущественных отношений Удмуртской Республики. Численность работающих по состоянию на 01.01.2006 г.- 618 человек. ГУСП «Ижевская птицефабрика» обеспечивает население диетическим яйцом, мясом птицы, а также производит мясокостную муку, изделия из пуха и пера птицы. Основными видами деятельности птицефабрики, согласно Уставу, являются: - производство яйца, мяса птицы и другой продукции птицеводства; - организация и осуществление переработки, хранения и реализации продукции, продовольственных и непродовольственных товаров, в том числе через собственную торговую сеть и на рынках; - осуществление деятельности по торговле и закупкам продовольственных и непродовольственных товаров, продукции производственно-технического назначения, в том числе по бартерным сделкам, оказание посреднических услуг, ведение работ по строительству и ремонту объектов производственного, жилищного, культурно – бытового, социального и иного назначения; - оказание транспортных, транспортно-эксплуатационных и других услуг юридическим и физическим лицам; - осуществление в установленном порядке внешнеторговой деятельности, в том числе экспорт и импорт товаров, продукции, работ и услуг. На птицефабрике организован полузамкнутый цикл производства, в состав которого входят цеха инкубации, по выращиванию молодняка, промышленного стада, яйцесортировочный, убойный, по переработке отходов убойного и яйцесортировочного цехов в мясокостную муку. Предприятие имеет свою котельную, ремонтную мастерскую, автотракторный гараж с пунктом технического обслуживания, типовое пометохранилище. Розничная торговая сеть представлена 20 стационарными точками в г. Ижевске, двумя точками в г. Воткинске, одной – в г. Сарапуле, помимо этого существует 8 точек, не оборудованных стационарно (продуктовые рынки). К птицефабрике примыкает жилой поселок, в котором проживает около 4 тысяч человек. В поселке имеется детский комбинат на 160 детомест, средняя школа, клуб, библиотека, продовольственный магазин, спортивная и музыкальная школы, цех по изготовлению столярных изделий и мебели, баня-сауна. Поселок со всей своей инфраструктурой отапливается котельной птицефабрики. Основную долю в затратах предприятия составляют корма (78%). Комбикорм на птицефабрике применяют собственного производства, по сбалансированным рецептурам для разных групп птицы. Мощность кормоцеха составляет 25 тысяч тонн кормосмеси в год. На территории предприятия имеются 4 арочных склада, в подразделении Красный Кустарь имеются 3 арочных склада, в кормоцехе оборудованы отсеки для хранения кормов и пристроен склад. Общая вместимость складов – около 11000 тонн зерна. В настоящее время перед птицефабрикой стоят важнейшие задачи по техническому перевооружению, что будет способствовать повышению эффективности производства, снижению себестоимости продукции, повышению рентабельности конкурентноспособности нашей фабрики. Установка нового оборудования европейских фирм позволяет предприятию значительно сократить расходы на электроэнергию (до 55%), тепловую энергию в 5 раз, повысить производительность труда за счет снижения затрат труда до 60%. Внедрение нового оборудования позволит повысить продуктивность стада за счет улучшения условий содержания птицы, и улучшения проведения санитарно-ветеринарных мероприятий. В данных корпусах впервые было применено ниппельное поение птицы. Преимуществ ниппельного поения очень много. В первую очередь – это экономия расхода воды в 4,5 раза, исключение заражения птицы через воду, отпадает необходимость ежедневной промывки поилок, повышается качество помета, улучшаются показатели параметров микроклимата. Учитывая все положительные технологические и экономические стороны ниппельного поения в пяти корпусах в перспективе стоит вопрос о полной замене желобковых поилок на ниппельные. В нескольких корпусах проведена реконструкция системы вентиляции на проточно-вытяжную по схеме протяжной вентиляции. Усовершенствование системы вентиляции дает экономию электроэнергии, улучшение параметров микроклимата за счет активного воздухообмена в помещении. В перспективе перевод каждого птичника на автономный обогрев с использованием газовых генераторов, что позволит значительно сэкономить тепловую и электроэнергию. Корма - основная расходная статья птицеводства, В структуре себестоимости продукции корма занимают 75-80 %. Птицефабрика перешла на приготовление комбикормов собственного производства. Для этого были закуплены дробилки для зерна и других компонентов. Все поступающие в хозяйство корма исследуются на питательность и проверяются на токсичность. Для составления рационов был приобретен компьютер. Рецепт комбикормов рассчитывается и корректируется на компьютере в зависимости от живой массы и продуктивности птицы. Каждый день проверяется соответствие качества приготовленной кормосмеси к заданному рецепту. Кормоцех находится в стадии реконструкции. Наша инженерная служба, детально изучив все тонкости весового дозирования компонентов, совместно со специалистами с институтов проектируют технологическую схему приготовления и дозирования кормов. Установка весовых дозаторов позволит уменьшить затраты кормов на производство яйца, улучшить качество приготовляемой кормосмеси, довести каждый грамм дорогостоящих компонентов до птицы, облегчит труд рабочих кормоцеха. Одной из основных составляющих успеха работы птицеводческих предприятий – является хорошая птица. Птицефабрика работала со многими кроссами и достигла высоких результатов, полностью раскрывая генетический потенциал птицы. В 1990 году фабрика решила перейти на более перспективный кросс «Ломан-Браун», завезенный из Германии. Первой партией птицы был укомплектован корпус № 19. Для птицы были созданы все необходимые условия кормления и содержания, рекомендуемые для данного кросса, и при этом была получена наивысшая продуктивность. В 1995 году на ГПЗ «Свердловский» на основе кросса «Ломан-Браун» был отселекционирован кросс «Родонит», с которым в настоящее время работает наша птицефабрика. Кросс «Родонит» так же требователен к условиям содержания и кормления, не терпит упущений в работе. Генетический потенциал кросса исчерпан и ведется работа по поиску нового, более облегченного кросса с наименьшими затратами кормов на производство единицы продукции, с высоким генетическим потенциалом. Залог хорошей продуктивности кур не только генетика, но и условия выращивания. Главным критерием развития молодняка является получение нормативной живой массы до 30 дней. Для создания необходимых условий содержания в каждом корпусе цеха выращивания были смонтированы регуляторы освещенности, с помощью которых устанавливается продолжительность светового дня и уровень освещения для каждого периода роста цыпленка. Для поддержания оптимального микроклимата начали внедрять увлажнители воздуха. Для поения цыплят используется теплая питьевая вода. Для получения теплой воды были сделаны небольшие переоборудования в системе подачи питьевой воды. Данный вопрос находится на стадии усовершенствования. Все эти работы дали положительные результаты при выращивании молодняка. Получение высокого среднесуточного прироста и хорошей однородности молодняка являются в дальнейшем предпосылкой для получения высокой продуктивности кур-несушек. Наша птицефабрика направляет свои усилия не только на увеличение производства яиц, но и на улучшение его качества. Были закуплены две яйцесортировочные машины, что позволило качественно и своевременно отсортировывать и маркировать поступающее на яйцесклад яйцо. Благодаря использованию новой яйцесортировочной машины удалось значительно расширить ассортимент поставляемых на рынок не только диетических и столовых, но и отборных яиц (до 30 %). Но на этом мы не останавливаемся, и в ближайшие планы птицефабрики входит покупка новой современной яйцесортировальной и упаковочной машины. В короткий срок на птицефабрике было налажено производство порошка. Одним из резервов, который позволит предприятию повысить рентабельность производства мяса птицы, является ее глубокая переработка. В этом плане наша птицефабрика расширила ассортимент выпускаемой мясной продукции: более восьми наименований. В настоящее время ведется работа по сертификации дальнейшего увеличения ассортимента. 3.2. Расчет показателей эффективности инвестиционного проектаЭффективность данного инвестиционного проекта будет оценена методом определения чистой текущей стоимости и чистого дисконтированного дохода (ЧДД, NPV) – чистого приведенного дохода, на который может увеличиться стоимость предприятия в результате реализации проекта. Расчет эффективности основан на данных «Cash Flow» и процедуре дисконтирования денежных потоков, приведенных их к настоящему моменту времени. Денежный поток рассчитывается отдельно по каждому виду деятельности, по всем видам деятельности на каждом шаге расчета и по всем видам деятельности накопительным итогом. По операционной (текущей) и инвестиционной деятельности мы принимаем во внимание суммарный денежный поток, а по финансовой деятельности, чтобы избежать влияния принципа двойной записи, учитываем только банковский кредит и субсидии на оплату процентов. В операционной деятельности учитываются текущие денежные потоки: притоки (выручка от реализации продукции, субсидии по банковскому проценту), оттоки (расходы на производство, налоги, проценты по банковскому кредиту). Прибыль по производству и сбыту яйца по проекту рассчитана исходя из норматива выхода товарного яйца, его средней себестоимости и средних издержках, таблица 3 (приложения). Средняя себестоимость и средние издержки рассчитаны с учетом инфляции в 13%, в прогнозных ценах. По инвестиционной деятельности присутствуют только оттоки на капитальные вложения, в которых уже учтены затраты на пусконаладочные работы. Вложение первоначальных оборотных активов не выделено отдельной строкой, так как эти средства уже учтены в себестоимости, а, следовательно, в затратах. Реализация имущества по окончании проекта не предполагается. По финансовой деятельности, так как кредит является единственным источником финансовых средств, присутствуют притоки в виде банковского кредита и оттоки в виде погашения этого кредита со второго по седьмой год реализации проекта. Цель дисконтирования – привести денежный поток, неравномерно разбросанный по горизонтали планирования, к настоящему моменту, свернуть протяженную линию и оценить эффективность проекта с учетом временного фактора. Ставка дисконтирования определяется спецификой проекта. Норматив дисконтирования определяется как средневзвешенная стоимость капитала, инвестируемого в проект. В данном проекте только один источник финансовых средств - это банковский кредит, следовательно, норма дисконта составляет 14%. Коэффициент дисконтирования, он же фактор или множитель текущей стоимости, рассчитывается на каждом шаге расчета (для каждого года) по следующей формуле: 1/(1+Е)t . Дисконтированный денежный поток представляет собой произведение чистого денежного потока на коэффициент дисконтирования. Дисконтирование денежного потока оформляется в виде таблицы таким образом, чтобы обеспечить максимальную наглядность и удобство расчетов таблица 4 (приложения). По данным таблицы 4 можно наглядно, без дополнительных расчетов, определить период окупаемости. Дисконтированный период окупаемости – это, по сути, тот шаг расчета, на котором накопление чистого дисконтированного денежного потока приобретает положительное значение. В строке 6 таблицы 4 помещены дисконтированные значения денежных потоков предприятия вследствие реализации инвестиционного проекта. Рассмотрим следующую интерпретацию дисконтирования: приведение денежной суммы к настоящему моменту времени. Таким образом, оставшаяся часть денежного потока призвана покрыть исходный объем инвестиций. С течением времени величина непокрытой части уменьшается. Так к концу пятого года непокрытыми остаются 3 146 066 рублей и поскольку дисконтированное значение денежного потока в седьмом году составляет 3 200 982 рублей, становится ясным, что период покрытия инвестиций составляет пять полных лет и какую-то часть года. Более конкретно получим: 5 + 3 146 066/3 200 983 = 5,98. Видим, что с первого года проекта чистый денежный поток накопительным итогом имеет отрицательное значение, а на шестой год становится положительным. Таким образом, период окупаемости равен 5,98 года. Итоговое значение чистого дисконтированного денежного потока – это показатель NPV, или то количество денег, которое планируется получить по достижении горизонта планирования с учетом временного фактора. В данном проекте ЧДД равен 6 514 555 рубля. Положительное значение показывает, что вызываемый инвестициями денежный поток в течение всей экономической жизни проекта превысит первоначальные капитальные вложения, обеспечит необходимый уровень доходности на вложенные фонды и увеличение рыночной стоимости. Метод чистой текущей стоимости включает расчет дисконтированной величины положительных и отрицательных потоков денежных средств от проекта. Данный проект имеет положительную чистую текущую стоимость, так как дисконтированная стоимость его входящих потоков превосходит дисконтированную стоимость исходящих. Сальдо инвестиционного проекта по каждому году имеет положительное значение, следовательно, предприятие на каждом этапе развития проекта остается платежеспособным. Для нахождении внутренней нормы доходности используют те же методы, что и для чистой текущей стоимости, но вместо дисконтирования потов наличности при заданной минимальной норме процента определяют такую ее величину, при которой чистая текущая стоимость равна нулю (значения приведены в таблице 5). Таблица 5 Значения чистой дисконтированной стоимости при различных ставках дисконта
Постепенно увеличивая норму процента получили, что при 28% чистая текущая стоимость имеет отрицательное значение (Диаграмма). Диаграмма
Рассчитывая внутреннюю норму прибыль по формуле 1.3, получаем: 24+ (363 643 (28 -24 )/ (363 643 + 1 193 202)) = 24 + ,93 = 24,93 , то есть чистая текущая стоимость имеет положительное значение (+363 643) при ставке 24% ( Фактическая доходность выше её на 0,93%) и отрицательное значение (-1 193 202) при ставке 28% (фактическая доходность ниже этой ставки) и равна 24,93%. Следовательно, превышение 24,93% цены капитала, привлекаемого в проект, однозначно делает данный проект убыточным. Таким образом, итоговые показатели инвестиционного проекта можно оценить в таблице 6. Таблица 6 Основные показатели проекта
ЗаключениеВ условиях рыночной экономики возможностей для инвестирования довольно много. Вместе с тем любое предприятие имеет ограниченные свободные финансовые ресурсы, доступные для инвестирования. Поэтому встает задача оптимизации инвестиционного портфеля. Принятие решений инвестиционного характера, как и любой другой вид управленческой деятельности, основывается на использовании различных формализованных и неформализованных методов. Степень их сочетания определяется разными обстоятельствами, в том числе и тем из них, насколько менеджер знаком с имеющимся аппаратом, применимым в том или ином конкретном случае. В отечественной и зарубежной практике известен целый ряд формализованных методов, расчеты с помощью которых могут служить основой для принятия решений в области инвестиционной политики. Какого-то универсального метода, пригодного для всех случаев жизни, не существует. Вероятно, управление все же в большей степени является искусством, чем наукой. Тем не менее, имея некоторые оценки, полученные формализованными методами, пусть даже в известной степени условные, легче принимать окончательные решения. В основе процесса принятия управленческих решений инвестиционного характера лежат оценка и сравнение объема предполагаемых инвестиций и будущих денежных поступлений. Поскольку сравниваемые показатели относятся к различным моментам времени, ключевой проблемой здесь является проблема их сопоставимости. Относиться к ней можно по-разному в зависимости от существующих объективных и субъективных условий: темпа инфляции, размера инвестиций и генерируемых поступлений, горизонта прогнозирования, уровня квалификации аналитика и т. п. Список литературы1. Инвестиции: учебное пособие / Г.П. Подшиваленко, Н.И. Лахметкина, М.В. Макарова – М.: КНОРУС, 2007. – 200с. 2. 39-ФЗ «Об инвестиционной деятельности в РФ, осуществляемой в форме капитальных вложений», от 25 февраля 1999 г. 3. Бочаров В.В. Инвестиции: Учебник для вузов. – СПб.: Питер, 2008. – 384с. 4. Иванов В.А., Дыбов А.М., Экономика инвестиционных проектов: Учебное пособие. Ижевск: Институт экономики и управления УдГУ, 2000. 534 с. 5. С.А. Василенков «Критерии принятия инвестиционных решений» / "Инвестиционный банкинг", 2007, N 1 6. «Об утверждении методики расчета показателей и применения критериев эффективности инвестиционных проектов, претендующих на получение государственной поддержки за счет средств инвестиционного фонда РФ», приказ Министерства финансов РФ, от 23 мая 2006 года № 139/82н. 7. Ерков А. Стадии инвестиционного процесса // Финансовая газета. N 43. Октябрь 2005г. 8. Старик Д.Э. «Оценка эффективности инвестиционных проектов»// «Финансы», 2006, №10. 9. А.Б. Смушкин, «Комментарий к 39-ФЗ «Об инвестиционной деятельности в РФ, осуществляемой в форме капитальных вложений», от 25 февраля 1999 г.». 133с. 10. Кузьмина Л. «Анализ производственных инвестиций»// «Финансовая газета. Региональный выпуск», №13, 2001 год. 11. Чеченов А.А. Инвестиционный процесс: проблемы и методы его активизации. Нальчик, 2001. 12. Калашников И.Б. Инвестиционный процесс предприятия: понятие и сущность. Саратов, 1999. 13. Л. Кузьмина Анализ производственных инвестиций.// Финансовая газета. Региональный выпуск. №10, 2001 год. 14. Е.В. Кистерева «Инвестиционный бизнес-план, сделанный «вручную» // Справочник экономиста №2, 2007. 15. Е.В. Кистерева «Инвестиционный бизнес-план: разработка финансового плана» // Справочник экономиста №3, 2007. 16. Виленский П.Л., Лившиц В.Н., Смоляк С.А. Оценка эффективности инвестиционных проектов: Теория и практика: Учебное пособие. – М.: Дело, 2002. – 888 с. 17. Дыбов А.М., Иванов В.А. Практикум по экономической оценке инвестиций: Учебное пособие. – Ижевск: Изд-во Института экономики и Управления УдГУ, 2001. – 228 с. 18. Игонина Л.Л. Инвестиции: Учебное пособие. – М.: Юристъ, 2002. – 480 с. 19. Колтынюк Б.А. Инвестиции. Учебник. – СПб: Изд-во Михайлова В.А., 2003. – 848 с. 20. Дасковский В., Киселев В. «Об оценке эффективности инвестиций» // Экономист №3, 2007. 21. Белякова М.Ю. «Методы оценки и критерии эффективности инвестиционного проекта» // Справочник экономиста №3, 2006. 22. Белякова М.Ю. «Формирование инвестиционных ресурсов предприятия» // Справочник экономиста №2, 2006. 23. Белякова М.Ю. «Система управления риском на этапе инвестиционного процесса» // Справочник экономиста №1, 2006. 24. Белякова М.Ю. «Использование финансовых показателей при оценке инвестиционных проектов» // Справочник экономиста №11, 2005. 25. Федулова С.В. Финансы. Учебное пособие. Ижевск, 2003. 26. Ильин А.И. Планирование на предприятии. М., 2001. ПриложенияТаблица 3 Расчет прибыли по производству и сбыту яйца.
Таблица 4 Таблица денежных потоков (CashFlow) инвестиционного проекта, руб.
|
||||||||||||||||||||||||||||||||||||||||||||||||||||||||||||||||||||||||||||||||||||||||||||||||||||||||||||||||||||||||||||||||||||||||||||||||||||||||||||||||||||||||||||||||||||||||||||||||||||||||||||||||||||||||||||||||||||||||||||||||||||||||||||||||||||||||||||||||||||||||||||||||||||||||||||||||||||||||||||||||||||||||

, (2)
при t > 0 . (3)