Реферат: Знаходження похідної функції
|
Название: Знаходження похідної функції Раздел: Рефераты по педагогике Тип: реферат | |||||||||||||||||||||||||||||||||||||||||||||||||||||||||||||||||||||
| ТЕМА УРОКУ: Похідні елементарних функцій МЕТА УРОКУ: формування знань учнів про похідну сталої функції, степеневої функції з цілим показником, тригонометричних функцій.
І Перевірка домашнього завдання
1. Три учні відтворюють розв’язування вправ № 1 (1,2), 2. 1)
2)
Рівняння шуканої дотичної у – у0
= Отже, у – 1 = 2 (х -1) або у = 2х – 1. 2. Фронтальна бесіда за запитаннями №№ 11 – 17 із Запитання і завдання до розділу VII. II . Сприймання і усвідомлення знань про похідну сталої функції, степеневої функції з цілим показником На попередньому уроці ми довели, що похідна лінійної функції у = Якщо покласти Якщо у формулі Нам уже відомо, що Знайдемо похідну цієї функції, для цього зафіксуємо значення аргумента х0
і надамо йому приросту 1) 2)
(Скориставшись формулою 3)
Звідси Розглянемо функцію у = хn
-1
, де Знайдемо похідну цієї функції, для цього зафіксуємо значення аргумента х0
і надамо йому приросту 1) 2)
3)
Отже, Таким чином виконується рівність: Виконання вправ 1. Знайдіть похідну функції: а) у = х6
; б) у = х8
; в) у = х2
Відповідь: а) 6х5 ; б) 8х7 ; в) 7х6 ; г) 6х5 . 2. Знайдіть похідні функцій: а) у = х-10
; б) у = х2
Відповідь: а) -10х-11 ; б) -3х-4 ; в) -6х-7 ; г) -6х-7 . ІІІ. Сприймання і усвідомлення знань про похідну тригонометричних функцій
Знайдемо похідну функції у= 1) 2) 3)
Отже Аналогічно можна довести, що Знайдемо похідну функції Зафіксуємо х0
і надамо аргументу приросту
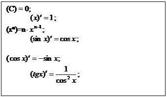
Отже, Аналогічно можна довести, що Виконання вправ № 1 (3), 5 із підручника. VI . Підведення підсумків уроку Провести підведення підсумків уроку з використанням таблиці 4 похідних. Таблиця Таблиця похідних
V . Домашнє завдання Розділ VІІ § 3. запитання і завдання для повторення розділу VІІ № 19 – 22. вправа №4 (2, 4). ТЕМА УРОКУ: Теореми про похідну суми, добутку і частки функцій МЕТА УРОКУ: Вивчення теореми про похідні суми, добутку і частки функцій, формування умінь учнів у знаходження похідних. І. Перевірка домашнього завдання
1. Усне розв’язування вправ. 1) Знайдіть похідні функцій а) у – х10
; б) Відповідь: а) 10х9 ; б) -9х-10 ; в) -4х-5 ;ё г) 3х2 . 2) Знайдіть похідні функцій: а) в) Відповідь:
а) 0; б) 2. Відповісти на запитання, що виникли у учнів під час виконання домашніх вправ. ІІ. Сприймання і усвідомлення теореми про похідну суми функції
Теорема: Якщо функції f(x) і g(x) диференційовані в точці х, то їхня сума диференційована в цій точці і
або коротко говорять: похідна суми дорівнює сумі похідних. Доведення Розглянемо функцію Зафіксуємо х0
і надамо аргументу приросту
Отже, Наслідки а) Похідна різниці дорівнює різниці похідних. Нехай у(х) = f(x) - g(x), тоді f(x) = у(х) + g(x) і б) Похідна суми декількох функцій дорівнює сумі похідних цих фукцій, тобто
Приклад. Знайдіть похідну функцій
а) б) в) Розв’язання
а) б) в)
Відповідь:
а) Виконання вправ 1. Знайдіть похідні функцій: а)
у = х3
+ х – х4
; б)
в)
Відповідь:
а) г) 2. Знайдіть значення похідної функції f(x) в точці х0 : а)
б) в) Відповідь:
а)
1; б) 3. При яких значеннях х значення похідної функції f(x) дорівнює 0: а) Відповідь:
а) ІІІ. Сприймання і усвідомлення теореми про похідну добутку
Теорема.
Якщо функції f(x) і g(x) диференційовані в точці х, то їхній добуток також – диференційована функція в цій точці і Доведення
. Розглянемо функцію 1)
Оскільки
2)
Отже,
Наслідки а)
Постійний множник можна винести за знак похідної: Дійсно, б) Похідна добутку декількох множників дорівнює сумі добутків похідної кожного із них на всі останні, наприклад:
Приклад. Знайдіть похідні функцій:
а) б) в) Розв’язування а) б)
в)
Виконання вправ. 1. Знайдіть похідну функцій: а)
в) Відповідь:
а)
6х-5; б) в) 2. Знайдіть похідні функцій: а) в) Відповідь:
а) в) 3. Знайдіть похідні функцій: а) Відповідь:
а) IV . Сприймання і усвідомлення теореми про похідну частки функцій
Теорема.
Якщо функції f(x) і g(x) диференційовані в точці х і g(x) Доведення Формулу похідної частки можна вивести, скориставшись означенням похідної. Проте це зробити можна простіше. Нехай
і підставимо замість у(х) значення
Отже, Приклад: Знайдіть похідні функцій а) Розв’язання
а) б)
Виконання вправ 1. Знайдіть похідні функцій: а) Відповідь:
а
) в) 2. Знайдіть похідні функцій: а) Відповідь:
а) в)
V . Домашнє завдання Розділ VII § 4. Запитання і завдання для повторення розділу VII № 23 – 27. вправа № 10 (1 -5, 7 - 8). ТЕМА УРОКУ : Похідна складеної функції Мета уроку: Формування поняття про похідну складеної функції, знань учнів про похідну складеної функції, умінь знаходити похідну складеної функції.
І. Перевірка домашнього завдання 1) 2)
3) 4) 5) 6)
2. Самостійна робота. Варіант 1. 1. Знайдіть значення похідної функції f(x) при заданому значенні аргументу х0 : а) б) 2. Знайдіть похідну функцій: а) б) в) Варіант 2. 1. Знайдіть значення похідної функції f(x) при заданому значенні аргумента х0 : а) б) 2. Знайдіть похідну функцій: а) б) в) Відповідь:
В-1. 1.
а) 2.
а) В-2. 1.
а) 2.
а)
ІІ. Сприймання і усвідомлення поняття складеної функції та її похідної
Розглянемо приклад. Приклад 1.
Нехай треба обчислити по заданому значенню х значення функції у, яка задана формулою Для цього спочатку треба обчислити за даним значенням х значення u= Отже, функція g ставить у відповідність числу х число u, а функція f – числу u число у. Говорять, що у є складеною функцією із функції g і f, і пишуть Функцію g(х) називають внутрішньою функцією, або проміжною змінною, функцію f(u) – зовнішньою функцією. Отже, щоб обчислити значення складеної функції Приклад 2.
Розглянемо функцію Приклад 3.
Запишіть складні функції Розв’язання
Виконання вправ. 1.
Задайте формулою елементарні функції а) в) Відповіді:
а) б) в) г) 2.
Дано функції: а) г) Відповідь:
а) в) д) У складній функції
Теорема.
Похідна складеної функції Доведення Будемо вважати, що функція Нехай, аргументу х0
надано приросту Подамо
Приклад 1. Знайдіть похідну функції у = (3х3 -1)5 . Розв’язання у = (3х3
-1)5
– складена функція При обчисленні похідної складеної функції явне введення допоміжної букви u для позначення проміжного аргументу не є обов’язковим. Тому похідну даної функції знаходять відразу як добуток похідної степеневої функції u5 на похідну від функції 3х3 -1:
Приклад 2. Знайдіть похідні функцій: а) в) Розв’язання
а) б) в) г)
Виконання вправ. 1. знайдіть похідні функцій: а) у = (3х+2)50 ; б) (6-7х)10 ; в) Відповідь:
а) в) 2. Знайдіть похідні функцій: а) в) Відповідь:
а) в) ІІІ. Підведення підсумків уроку
При підведенні підсумків уроку можна скористатись таблицею.
Таблиця диференціювання
IV . Домашнє завдання
Розділ VII § 4. запитання і завдання для повторення до розділу VII № 23–28. вправа № 10 (6, 10, 14, 22). ТЕМА УРОКУ: Похідна показникової, логарифмічної та степеневої функцій Мета уроку: Формування знань учнів про похідну показникової, логарифмічної та степеневої функції(з довільним дійсним показником), умінь учнів в знаходженні похідних функцій.
І. Перевірка домашнього завдання 1.Перевірити правильність виконання домашніх вправ за записами, зробленими на дошці.
6) 10) 11) 22) 2. Виконання усних вправ. Знайдіть похідні функцій, які подано в таблиці.
Таблиця
ІІ. Сприймання і усвідомлення матеріалу про похідну показникової функції
Перш ніж знаходити похідну показниковїх функції, зробимо два важливих зауваження. Графік функції у=ах
проходить через точку (0; 1). Нехай у у = ех
якщо основа а показникової функції у = ах
зростає від 2 до 3, то величина кута Таким чином, дотична до графіка функції у = ех в точці (0; 1) утворює з додатним напрямком осі абсцис, який дорівнює 450 . У відповідності з геометричним змістом похідної даний висновок означає, що значення похідної функції Знайдемо тепер формулу похідної функції Нехай аргумент х0
одержав приріст 1) 2) 3) Таким чином, похідна функції ех
дорівнює самій функції: Знайдемо похідну функції
Отже, Похідна показникової функції дорівнює добутку цієї функції на натуральний логарифм її основи. Приклад 1. Знайдіть похідну функцій: а) у = 5х
; б) у = е3-2х
; в) Розв’язання
а) б) в) г)
Виконання вправ. № 2 (2, 4, 6, 8, 10, 12), №2 (20, 22, 24, 26, 28, 30) із підручника (розділ Х). ІІІ. Сприймання і усвідомлення матеріалу про похідну логарифмічної функції
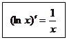
Розглянемо функцію Диференціюючи обидві частини цієї рівності, одержимо: Звідси Отже, Знайдемо похідну функції
Отже, Приклад 1. Знайдіть похідну функцій: а) в) а) б) в) г) = Виконання вправ. № 2 (14, 16, 18, 32, 34, 36, 38, 40, 42), із підручника (розділ Х). IV
. Сприймання і усвідомлення матеріалу про похідну степеневої функції
Ми довели, що Розглянемо функцію Знайдемо похідну цієї функції:
Отже,
ТЕМА УРОКУ: Розв’язування вправ Мета уроку: Формування умінь учнів знаходити похідні функцій. І. Перевірка домашнього завдання
1 перевірити правильність виконання домашніх вправ шляхом порівняння відповідей. № 2.
3) -е-х
; 5) 13) № 8.
1) 100х99
; 3) 11) 2. Усне розв’язування вправ. Знайдіть похідні функцій, поданих в таблиці.
ІІ. Формування умінь знаходити похідні функцій
1) Виконання вправ № 10 (12; 11; 13; 17; 19) розділу VІІ підручника. 2) Виконання вправ № 2 (23; 24; 31; 34; 35; 36) розділу Х підручника. 3)
Знайдіть похідну функції
Відповідь: 4. 4) Тіло рухається за законом Знайдіть швидкість точки через 2 секунди після початку руху. (Відстань вимірюється в метрах). Розв’язання
Відповідь:
ІІІ. Домашнє завдання
Підготуватися до контрольної роботи. Вправи ; 10 (15; 16; 20; 25) розділу VІІ; № 2 (22; 26; 38; 42), 8 (14; 18) розділу Х. ТЕМА УРОКУ : Тематична контрольна робота № 1 Мета уроку: Перевірити навчальні досягнення учнів з теми „Границя, неперервність та похідна функцій”.
Варіант 1 1. Знайдіть похідну функції: а) б) в) г) 2. Знайдіть похідну функції 3. Точка рухається за законом Варіант 2 1. Знайдіть похідну функції: а) б) в) г) 2. Знайдіть похідну функції 3. Точка рухається за законом Варіант 3 1. Знайдіть похідну функції: а) б) в) г) 2. Знайдіть похідну функції 3. Точка рухається за законом Варіант 4 1. Знайдіть похідну функції: а) б) в) г) 2. Знайдіть похідну функції 3. обертання тіла навколо осі здійснюється за законом Відповідь:
В-1.
1. а) в) 2. 3. 10 В-2
1. а) в) 2. 3. 9 В-3.
1. а) в) 2. 3. 35 В-4.
1. а) в) 2. 3. 20 |
|||||||||||||||||||||||||||||||||||||||||||||||||||||||||||||||||||||

=



.
.
.
.

;
.
.

.
.
;