Контрольная работа: Анализ периодических и непериодических сигналов
|
Название: Анализ периодических и непериодических сигналов Раздел: Рефераты по коммуникации и связи Тип: контрольная работа | |||||||||||||||||||||||||||||||||||||||||||||||||||||||||||||||||||||||||||||||||||||||||||||||||||||||||||||||||||||||||||||||||||||||||||||||||||||||||||||||||||||||||||||||||||||||||||||||||||||||||||||||||||||||||||||||||||||||||||||||||||||||||||||||||||||||||||||||||||||||||||||||||||||||||||||||||||||||||||||||||||||||||||||||||||||||||||||||||||||||||||||||||||||||||||||||||||||||||||||||||||||||||||||||||||||||||||||||||||||||||||||||||||||||||||||||||||||||||||||||||||||||||||||||||||||||||||||||||||||||||||||||||||||||||||||||||||||||||||||||||||||||||||||||||||||||||||||||||||||||||||||||||||||||||||||||||||||||||||||||||||||||||||||||||||||||||||||||||||||||||||||||||||||||||||||||||||||||||||||||||||||||||||||||||||||||||||||||||||||||||||||||||||||||||||||||||||||||||||||||||||||||||||||||||||||||||||||||||||||||||||||||||||||||||||||||||||||||||||||||||||||||||||||||||||||||||||||||||||||||||||||||||||||||||||||||||||||||||||||||||||||||||||||||||||||||||||||||||||||||
| Контрольная работа №1 Спектральный анализ периодического и непериодического управляющих сигналов Дано: Шифр сигнала ─ 4 из табл. 1[1];; Длительность периода ─ Т = 0,001 с = 1000 мкс ; Соотношение между периодом и длительностью импульса ─ Т = 3τ
Рис. 1 – Периодический сигнал Задание: 1.Выполнить математическое описание заданного периодического сигнала, изобразить графически 2-3 периода сигнала, указав на рисунке параметры. Математическое описание заданного периодического сигнала
Рис. 2 В результате подстановки данных варианта получаем униполярные прямоугольные периодические импульсы. Период сигнала : Т = 0,001 с = 1000 мкс ; Длительность импульса: τ*
= 2τ = 2· Т/3 = Временной интервал между импульсами: τ = Т/3 = Четная симметрия относительно моментов времени t = n·T/2, где n = 0,±1, ±2, ±3…;
Скважность импульсов:
Анализ временных свойств сигнала и формулировка обоснованных предположений о свойствах и особенностях спектрального состава сигнала. Сигнал является четной функцией времени Сигнал представляет собой знакопостоянную последовательность импульсов. Постоянная составляющая ряда Фурье равна:
В разложении сигнала в ряд Фурье будут присутствовать только косинусоидальные гармонические составляющие, т.е.:
Ряд Фурье можно преобразовать следующим образом:
Вычисление спектров амплитуд и фаз. Характер огибающей спектра амплитуд. Производим расчет весовых коэффициентов аn :
Амплитуды гармоник
Фазы гармоник
Результаты оформляем в виде таблицы.
Построение оценки сигнала
Для N=4 :
Пользуясь четной симметрией сигнала в отрицательном периоде строим график симметрично.
Расчет относительного значения среднеквадратической погрешности представления сигнала оценкой из гармонических колебаний. Квадрат сигнала численно равен мгновенной мощности, рассеиваемой на сопротивлении нагрузки 1Ом. Средняя мощность сигнала прямо пропорциональна энергии, запасакмой за период и обратно пропорциональна периоду.
Мощность n-ного гармонического сигнала:
Уравнение погрешности представления периодического сигнала усеченным рядом Фурье:
По полученным результатам строим график
Определение комплексной спектральной плотности непериодического сигнала, совпадающего с заданным периодическим на протяжении одного периода в симметричных пределах Рассмотрим непериодический сигнал s1 (t), изображенный на рисунке.
Его спектральная плотность
Сигнал s2 (t) образован суммой сигналов s1 (t), один из которых сдвинут вправо, а другой влево на величину t. Применяя теорему сдвига, получим:
Спектральная плотность – действительная функция частоты, т.к. мнимая составляющая равна нулю. Размерность спектральной плотности – В∙с. Построение графика модуля спектральной плотности и фазового спектра непериодического сигнала. Учитывая, что
Нули спектральной плотности находим, учитывая, что sin(pk)=0 и cos(p/2+pk)=0, k=0,±1,±2…
По горизонтальной оси откладываем номер гармоники, основной частоты:
Аргумент спектральной плотности будет равен:
Сопоставление спектров периодического и непериодического сигналов. Сопоставление спектров произведем на основании соотношения
Сравнение спектров периодического и непериодического сигналов показывает, что гармоники, построенные на частотах, кратных w1 , и ограниченные спектральной плотностью непериодического сигнала со значениями Сn на спектральных диаграммах совпадают. Определение энергии и средней мощности заданного сигнала на участке цепи с сопротивлением 1 Ом. Определим энергию сигнала по временному представлению.
Контрольная работа №2 Расчет прохождения периодических и непериодических сигналов через линейные электрические цепи первого порядка Дано: Шифр периодического сигнала s1 ─ 4 из табл. 3[1];
Рис. 1 После подстановки значений параметров и масштабирования, получаем:
Рис. 2 Длительность периода ─ Т = 0,001 с = 1000 мкс ; Соотношение между периодом и длительностью импульса ─ Т = 3τ Соотношение параметров цепи и сигнала:
Шифр цепи – 2 из табл. 4[1]; Рис. 3 Значения сопротивлений из табл. 1[1] – R1 = 2R; R2 = R Задание: Рассчитать и построить в масштабе АЧХ и ФЧХ интегрирующей и дифференцирующей цепей в диапазоне от нуля до 10 кГц, полагая Рассчитать и построить в масштабе переходную и импульсную характеристики цепей от нуля до tmax = 3tц (по шкале абсцисс сделать градуировку времени в мкс и в безразмерных величинах t/tц ); Проверить выполнение предельных соотношений между частотными и импульсными характеристиками. Рассчитать спектр амплитуд и фаз на выходе заданной цепи при действии периодического сигнала s1 (t). Построить с учетом масштаба на общей спектрограмме спектры амплитуд и фаз входного и выходного сигналов при действии сигнала s2 (t). Дать представление входного сигнала с помощью функций Хевисайда. Получить динамическое представление отклика заданной цепи на действие сигнала s2 (t)(с помощью переходных характеристик). Изобразить отклик цепи на интервале времени от нуля до tmax , в три раза превышающем длительность воздействия сигнала s2 (t) . Сделать выводы по результатам проведенного анализа. Расчет частотных характеристик интегрирующей и дифференцирующей цепей. Выполнение пунктов 1-3 задания оформляем в виде таблицы. Табл. 1 – Анализ дифференцирующей и интегрирующей цепей.
После анализа цепей находим частотные характеристики. Табл. 2 – Частотные характеристики цепей
Расчет временных характеристик дифференцирующей и интегрирующей цепей. Находим временные характеристики операторным методом, пользуясь значением операторного коэффициента найденного в пункте 1. Табл. 3 – Временные характеристики цепей
Проверка соотношений между частотными и временными характеристиками дифференцирующей и интегрирующей цепей. Предельные соотношения
Табл. 4 – Предельные соотношения
Расчет спектра амплитуд и фаз на выходе заданной цепи при действии периодического сигнала s1 (t). По известной формуле из теории четырехполюсников находим передаточный коэффициент заданной цепи:
Находим комплексный передаточный коэффициент, заменяя р на jw
Найдем спектральную плотность непериодического сигнала на входе(s2 (t) ) и выходе (s2в (t)) цепи, соответствующему периодическому сигналу s1 (t) на протяжении одного периода. Спектральная плотность непериодического сигнала s2 (t)(см. к.р.№1):
Спектральную плотность выходного сигнала s2в (t) найдем по формуле:
Учитывая, что
а также
Учитывая, что: Спектр амплитуд выходного периодического сигнала s1В (t) :
Спектр фаз:
Табл. 6 – Спектры входного и выходного периодического сигналов
Построение спектров амплитуд и фаз входного(s2 (t) ) и выходного(s2в (t)) непериодического сигналов В соответствии с пунктом 2, имеем: Амплитудные спектры
Учитываем, что при w=0
Амплитуда – четная функция частоты Фазные спектры
Где функция sign(w)=1 при w>0 и sign(w)=-1 при w<0 Фаза – нечетная функция частоты Табл. 7 – Спектры входного и выходного непериодического сигналов
Рис. 14 – Амплитудный спектр входного и выходного периодического сигналов.
Рис. 15 – Фазовый спектр входного и выходного непериодического сигналов. Представление входного непериодического s2 (t) с помощью единичной функции s(t) (функции Хевисайда). Входной сигнал является суммой функций Хевисайда, сдвинутых по временной оси и умноженных на амплитуду сигнала Е.
Рис. 16 – Функции Хевисайда Динамическое представление отклика заданной цепи на действие сигнала s2 (t). Заданная цепь является суммой интегрирующего и дифференцирующего звеньев.
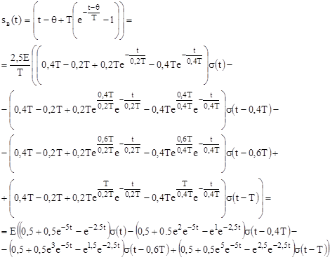
Находим переходную характеристику заданной цепи
Так как переходная функция является откликом цепи на единичный сигнал, то воспользовавшись линейностью преобразований Лапласа, получаем отклик заданной цепи на непериодический сигнал s2 (t).
Динамическое представление отклика:
Табл. 8 – Отклик заданной цепи на действие непериодического сигнала
Рис. 17 – Изображение входного непериодического сигнала s2 и отклик цепи на него. Выводы. Анализ линейной цепи облегчается, тем, что передаточный коэффициент заданной цепи можно представить в виде линейной комбинации передаточных коэффициентов интегрирующей и дифференцирующей цепей. В этом случае можно достаточно просто находить отклик цепи на сигнал, представляя его как линейную комбинацию откликов элементарных цепей. При прохождении сигнала через линейную цепь нули и точки экстремума его амплитудного и фазного спектров не меняются. Меняется лишь само значение экстремумов амплитудного спектра. Представление прямоугольно импульсных сигналов с помощью функции Хевисайда позволяет достаточно просто рассчитать отклик цепи, как линейную комбинацию откликов на единичную функцию включения. Операторный метод и теория обобщенных функций дает достаточно мощный аппарат для исследования цепей и сигналов. Контрольная работа №3 Расчет прохождения непериодического сигнала сложной формы через линейную цепь второго порядка Дано: Шифр входного сигнала s(t) ─ N1 = 4; N2 = 3 из табл. 2[1]; N2 = 3 – Соотношение параметров импульса : t2 = 1,5t1 из табл. 5[1]; N1 = 4 – Номер рисунка из табл. 5[1] – 4;
Рис. 1 Шифр цепи – N3 N4 = 44 из табл. 3[1]; Номер рисунка из табл. 6[1] N3 N4 = 44;
Рис. 2 Соотношение параметров цепи и сигнала:
Задание: Рассчитать и построить в масштабе АЧХ и ФЧХ цепи Рассчитать и построить в масштабе переходную и импульсную характеристики цепи; Проверить выполнение предельных соотношений между частотными и импульсными характеристиками. Дать поинтервальное аналитическое представление сигнала по его графику; Рассчитать операторным методом или методом временного интегрирования отклик на выходе линейной цепи и дать его поинтервальное описание По результатам вычислений изобразить отклик на выходе линейной цепи на отрезке времени от нуля до tmax , в три раза превышающем длительность воздействия сигнала. Сигнал воздействия и отклика совместить на одном рисунке. Сделать выводы ( оценка операторного и временного методов применительно к решаемой задаче, физическая интерпретация полученных результатов). Расчет частотных характеристик линейной цепи второго порядка Для того, чтобы найти операторную передаточную функцию, преобразуем схему
Рис. 3 Согласно известной из теоретической электротехники формуле переходим от треугольника к эквивалентной звезде:
Рис. 4 На холостом ходу:
Рис. 5 Находим операторный передаточный коэффициент:
Находим корни знаменателя К(р)
Получаем
Получаем комплексный передаточный коэффициент заменяя р на jw
АЧХ цепи: ФЧХ цепи: Табл. 1 – Расчет АЧХ и ФЧХ цепи
Рис. 6 – АЧХ цепи второго порядка
Рис. 7 – ФЧХ цепи второго порядка Расчет временных характеристик линейной цепи второго порядка Временные характеристики находим по обратному преобразованию Лапласа, используя операторный передаточный коэффициент. Операторный коэффициент является суммой коэффициентов интегрирующих звеньев вида
Импульсная характеристика интегрирующей цепи (см. к.р.№2)
Переходная характеристика интегрирующей цепи (см. к.р.№2)
Импульсная характеристика заданной цепи:
Переходная характеристика заданной цепи:
Табл. 2 – Расчет временных характеристик
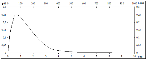
Рис. 8 – Импульсная характеристика цепи
Рис. 9 – Переходная характеристика цепи Предельные соотношения между частотными и временными характеристиками.
Поинтервальное описание входного сигнала Обозначим длительность сигнала – Т. Тогда
Рис. 10 – Входной сигнал На интервале t=[0; 0,4T] На интервале t=[0,4T; 0,6T] На интервале t=[0,6T; T] Используя функцию включения можно записать представление входного сигнала в виде:
Расчет отклика на выходе цепи Рассчитываем отклик на выходе методом временного интегрирования, используя интеграл Дюамеля:
На интервале t=[0; 0,4T]
На интервале t=[0,4T; 0,6T]
На интервале t=[0,6T; T]
На интервале t=[T; ¥]
Найдем отклик операторным методом. Входной сигнал равен:
Пользуясь преобразованием Лапласа
Обратное преобразование по Лапласу выражений вида:
Обратное преобразование по Лапласу выходного сигнала:
Окончательно:
На интервале t=[0; 0,4T]
На интервале t=[0,4T; 0,6T]
На интервале t=[0,6T; T]
На интервале t=[T; ¥]
Построение графика отклика сигнала на выходе цепи Табл. 3 – Расчет отклика сигнала
Рис. 11 – Входной и выходной сигналы Выводы Проделанная работа показывает, что с помощью функций Хевисайда можно представлять не только прямоугольные импульсы, но и сигналы более сложной формы. В этом случае можно перейти от кусочной аппроксимации к аналитическому изображению сигналов с точки зрения теории обобщенных функций. Сравнение временного и операторного методов для нахождения отклика заданной цепи говорит в пользу последнего, так как операторный метод позволяет более полно охватывать процесс вычислений и является более емким. Отклик на входной сигнал данной цепи второго порядка является апериодическим, так как корни знаменателя операторного передаточного коэффициента действительные. По графику отклика можно судить об интегрирующей природе цепи. |
|||||||||||||||||||||||||||||||||||||||||||||||||||||||||||||||||||||||||||||||||||||||||||||||||||||||||||||||||||||||||||||||||||||||||||||||||||||||||||||||||||||||||||||||||||||||||||||||||||||||||||||||||||||||||||||||||||||||||||||||||||||||||||||||||||||||||||||||||||||||||||||||||||||||||||||||||||||||||||||||||||||||||||||||||||||||||||||||||||||||||||||||||||||||||||||||||||||||||||||||||||||||||||||||||||||||||||||||||||||||||||||||||||||||||||||||||||||||||||||||||||||||||||||||||||||||||||||||||||||||||||||||||||||||||||||||||||||||||||||||||||||||||||||||||||||||||||||||||||||||||||||||||||||||||||||||||||||||||||||||||||||||||||||||||||||||||||||||||||||||||||||||||||||||||||||||||||||||||||||||||||||||||||||||||||||||||||||||||||||||||||||||||||||||||||||||||||||||||||||||||||||||||||||||||||||||||||||||||||||||||||||||||||||||||||||||||||||||||||||||||||||||||||||||||||||||||||||||||||||||||||||||||||||||||||||||||||||||||||||||||||||||||||||||||||||||||||||||||||||||




































































































,






,