Реферат: Удосконалення фінансування інноваційної діяльності за рахунок власних коштів
|
Название: Удосконалення фінансування інноваційної діяльності за рахунок власних коштів Раздел: Рефераты по экономике Тип: реферат | ||||||||||||||||||||||||||||||||||||||||
| Удосконалення фінансування інноваційної діяльності за рахунок власних коштів В сучасних умовах основним інструментом інноваційної діяльності суб’єктів господарювання є інноваційні проекти. Оскільки, одним із основних факторів, який стримує розвиток інноваційної діяльності, є дефіцит вільних фінансових ресурсів, проблема вибору проектів, які змогли б забезпечити високу ефективність вкладень капіталу, є надзвичайно актуальною. Станом на сьогодні існує велика кількість критеріїв та методів оцінки ефективності фінансування нововведень, однак, на нашу думку, не можна виділити один, найбільш досконалий, оскільки кожен із них має свої переваги та недоліки, які визначають доцільність і можливість застосування в конкретному випадку. Існування такої кількості оціночних показників з одного боку можна трактувати як позитивний момент, бо в ринкових умовах кожне підприємство, виходячи з ієрархії власних інтересів, повинно самостійно формувати оптимальну систему оціночних показників, яка повною мірою буде відображати сутність мотиваційного підходу до здійснення інноваційної діяльності. З іншого боку, таке різноманіття оціночних показників обумовлює появу відчутних труднощів, пов’язаних із складністю узгодження одержаних з їх допомогою результатів, що отримало у проектному аналізі назву “конфлікту критеріїв”. Проведений у роботі аналіз фінансових ресурсів інноваційної діяльності показав, що переважним джерелом фінансового забезпечення для промислових підприємств є власні кошти, оскільки їх використання має низку переваг перед зовнішнім фінансуванням: простота і швидкість залучення; висока норма прибутку інвестованого капіталу, оскільки не вимагається сплата позикового процента в будь-яких його формах; істотне зниження ризику неплатоспроможності і банкрутства підприємства при їх використанні; повне збереження управління в руках засновників компанії . Використання інших джерел фінансування обмежується цілим рядом факторів. Тому особливої актуальності набуває дослідження методології оцінки та обґрунтування інноваційних проектів з внутрішніми джерелами фінансування. Оскільки інноваційні проекти по своїй суті є інвестиційними, то часто для аналізу економічних результатів реалізації інноваційних проектів традиційно використовують показники оцінки економічної ефективності інвестиційних проектів. Показники, які використовуються в аналізі інвестиційної діяльності підприємств, поділяють на дві групи - критерії, які ґрунтуються на облікових оцінках і не враховують фактор часу, та критерії, що ґрунтуються на дисконтованих оцінках і враховують фактор часу. Найбільш точними є методи, які спираються на дисконтні оцінки. Існує декілька методів оцінки ефективності інвестицій, що ґрунтуються на теорії часової вартості грошей. Організація Об’єднаних націй по промисловому розвитку для оцінки інвестиційних проектів рекомендує використовувати показники чистий приведений дохід (“Net Present Value” - Зокрема, в умовах обмеженості власних коштів реалізація інноваційних проектів може набувати затяжного характеру, тобто вкладення коштів в проект відбувається не миттєво на початковому етапі, а розтягується на декілька етапів реалізації проекту, в той час як традиційні методичні підходи до оцінки динамічних показників ефективності передбачає вкладення капіталу на початку реалізації проекту, що приводить до проектування капітальних вкладень на момент початку реалізації проекту, а значить, до завищення дисконтованого грошового потоку інвестиційних витрат і до заниження показників ефективності відповідно. Тому застосування дисконтних показників ефективності інноваційних проектів, фінансованих за власні кошти, потребує додаткових досліджень. Розглянемо ключові ідеї, покладені в основу методів оцінювання інноваційних проектів, в яких використовуються вище згадані критерії. Міжнародна практика оцінки ефективності інвестицій базується на концепції часової вартості грошей і побудована на наступних принципах: · ефективність використання вкладених коштів оцінюється шляхом співставлення грошового потоку (cash flow), який буде зґенерований в процесі реалізації проекту з початковими інвестиціями. При цьому проект визнається ефективним, якщо забезпечується повернення початкової суми інвестицій та дохідність для інвестора; · кошти, що інвестуються, як і грошовий потік, приводяться до теперішнього моменту часу чи до певного розрахункового року, використовуючи деяку ставку дисконтування · процес дисконтування капітальних інвестицій і грошових потоків здійснюється за різними дисконтними ставками, які визначаються в залежності від особливостей інвестиційних проектів. Зауважимо, що відповідно до різних поглядів щодо причини зміни вартості грошей у часі, існують різні підходи щодо оцінки ставки дисконту. Ряд економістів схильні вважати, що дисконтна ставка повинна містити такі складові: ставка без урахування ризику; поправка на інфляцію; премія за ризик. Інші вчені до вище приведеного переліку додають такі елементи: премію за низьку ліквідність; премію за якість менеджменту; премію за територіальну та виробничу диверсифікацію; премію за диверсифікацію клієнтури; премію за структуру капіталу. Традиційно тривалість проекту вимірюється у звітних періодах (як правило, у роках), і звичайно позначається як Чистий приведений дохід
де Величина чистого приведеного доходу дозволяє зробити висновок про доцільність прийняття · можливість оцінки приросту вартості капіталу фірми; · адитивність, що дає можливість використовувати показник при оцінці економічного ефекту інноваційного портфеля; · можливість використання при аналізі проектів з нерівномірними грошовими потоками. Недоліками цього показника є суттєва залежність від часових параметрів проекту та від масштабів капітальних вкладень. Внутрішня норма дохідності
Чим більшою є величина Якщо показник До переваг описаного критерію відносять те, що він не залежить від абсолютного розміру інвестицій в інноваційний проект, може використовуватися для оцінки міри стійкості проекту та не потребує попереднього встановлення ставки дисконту. Недоліком описаного критерію є те, що даний показник не володіє властивістю адитивності і не дає однозначної оцінки для нестандартних інноваційних проектів. Дисконтний період окупності
і є часом, необхідним для того, щоб сума надходжень від реалізації проекту відшкодувала суму витрат на його впровадження. Важливо відзначити, що ні один із вище перерахованих критеріїв сам по собі не є достатнім для прийняття проекту. Рішення про інвестування коштів в проект, на нашу думку, повинно прийматися з врахуванням значень всіх критеріїв та інтересів всіх учасників інноваційного проекту. Важливу роль у цьому рішенні повинні відігравати структура, вартість та розподіл в часі капіталу, що залучається для реалізації проекту. У даній частині дослідження нами запропоновані нові методичні підходи щодо оцінки ефективності фінансування інноваційного проекту власними коштами з використанням методу дисконтованих грошових потоків, яка ґрунтується на застосуванні запропонованої у роботах [20; 29; 72] мікроекономічної моделі промислового підприємства. Алгоритм реалізації даних підходів представлено на рис.3.1.
Рис.3.1 Основні етапи визначення економічної ефективності інноваційного проекту Нехай основна діяльність промислового підприємства є прибутковою, тобто грошові надходження від реалізації продукції
де
фактично формує два джерела фінансування – амортизаційний фонд та обліковий прибуток підприємства. Особливості формування цих джерел фінансування на промислових підприємствах України детально проаналізовано в частині 2.2 роботи. Іншою важливою характеристикою моделі є припущення про досконалу маркетингову політику підприємства, наслідком якої є те, що вся виготовлена продукція реалізовується на ринку, а отже, приносить прибуток підприємству. Як було показано в попередніх частинах дослідження, інноваційна діяльність завжди супроводжується ризиками, в тому числі ризиком помилкової оцінки об’ємів споживання та, як наслідок, перевиробництва продукції. У наступній частині дослідження буде показано, як вплив ризику перевиробництва може бути мінімізований шляхом підвищення рентабельності продукції. Дохід, який отримує підприємство від реалізації продукції, тісно пов’язаний із технологічним рівнем підприємства, який залежить від використовуваних технологій виробництва продукції, організації постачання сировини та комплектуючих, технічного стану засобів виробництва, кваліфікації персоналу, організації менеджменту на підприємстві, тощо. Технологічний рівень підприємства може зростати внаслідок інвестицій в інноваційні проекти
де
Питання чисельної оцінки технологічного рівня підприємства та характер залежності (3.7) є актуальним питанням сучасної економічної науки і може бути темою окремого дослідження. Надалі ми будемо користуватися припущенням, що зміна чистого доходу від основної діяльності за сталих обсягів випуску продукції пропорційна до інвестицій, спрямованих на підвищення технологічного рівня підприємства
де Оскільки показником Вважаємо, що керівництво підприємства прийняло рішення про реалізацію інноваційного проекту, метою якого є поетапне збільшення прибутковості від основної діяльності за рахунок підвищення технологічного рівня підприємства. При цьому вирішено не змінювати обсяги виробництва, тобто
де Загальна вартість інвестицій, необхідна для фінансування проекту в повному обсязі складає
де
де
Нехай в першому звітному періоді чистий дохід підприємства складав
Інвестиції в інноваційний проект в розмірі
а чистий дохід підприємства в другому звітному періоді складе
Чистий дохід другого звітного періоду
що приведе до збільшення чистого доходу підприємства в третьому звітному періоді на величину
тоді чистий дохід, отриманий в третьому звітному періоді
Використовуючи вищенаведені рекурентні співвідношення можна стверджувати, що в
Таким чином, систематичне реінвестування власних коштів у фінансування інноваційного проекту приводить до степеневого в часі зростання чистого доходу підприємства. Таке степеневе зростання має місце на етапі впровадження інноваційного проекту, коли його результати починають давати економічний ефект безпосередньо в процесі впровадження інновації. Після завершення етапу впровадження і припинення інвестування у інноваційний проект підвищення технологічного рівня , а отже, і зростання чистого доходу, припиняється, і розпочинається етап використання інновації, коли виробництво починає приносити сталий дохід у розмірі
де Для того, щоб розрахувати показники ефективності інноваційного проекту, розрахуємо спочатку грошові потоки в моделі самофінансування інноваційного проекту. На протязі етапу впровадження інноваційного проекту чисті грошові надходження
Величина інвестицій у
Після закінчення етапу впровадження інвестування у інноваційний проект припиняється
а чисті грошові надходження, згенеровані проектом, складають
Необхідно також врахувати грошовий потік від ліквідації проекту, який виникає в
де Таким чином, грошові потоки у випадку фінансування інноваційного проекту прибутком від основної діяльності матимуть вигляд як у табл.3.1. Як видно із розрахунків, важливою характеристикою інноваційного проекту у випадку самофінансування в умовах дефіциту власних коштів є тривалість етапу впровадження Таблиця 3.1 Грошові потоки у випадку фінансування інноваційного проекту власними коштами
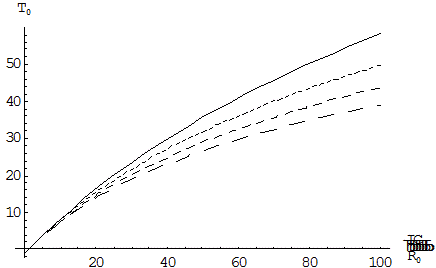
Розрахуємо тривалість етапу впровадження
звідки можна отримати вираз для тривалості етапу впровадження проекту в явному вигляді
Таким чином, у випадку фінансування інноваційного проекту власними коштами тривалість етапу впровадження проекту визначається виразом (3.27) і залежить від ефективності інновації Розрахуємо тепер чистий приведений дохід, який генерується інноваційним проектом. Протягом етапу впровадження інноваційного проекту буде отримано чистий приведений дохід в розмірі
де
отримаємо наступний вираз для чистого приведеного доходу, отриманого на етапі впровадження інноваційного проекту
Протягом етапу використання інновації буде отриманий чистий приведений дохід у розмірі
Після ліквідації проекту буде отримано чистий приведений дохід в розмірі
Тоді чистий приведений дохід
Отриманий нами в аналітичному вигляді вираз (3.33) для чистого приведеного доходу інноваційного проекту дає нам можливість з’ясувати основні особливості, притаманні фінансуванню інноваційних проектів за рахунок власних коштів підприємств. Для цього проаналізуємо детально залежність величини чистого приведеного доходу Аналіз наведеної залежності показує, що реінвестування власних коштів підприємства у фінансування інноваційного проекту значно скорочує терміни впровадження інновацій на підприємстві, зокрема, якщо загальний обсяг інвестицій, необхідних для реалізації проекту в 100 раз перевищує наявні власні кошти
Розглянемо тепер залежність чистого приведеного доходу проекту
Рис.3. 3 Чистий приведений дохід в залежності від тривалості проекту у випадку самофінансування Зростання загальної тривалості проекту, а значить, і тривалості фази використання інновації, як і очікувалось, приводить до зростання показника Графік Розглянемо тепер залежність чистого приведеного доходу проекту Як і очікувалось, зростання дисконтної ставки приводить до зменшення величини чистого приведеного доходу аж до
Рис.3. 4 Чистий приведений дохід в залежності від ставки дисконтування у випадку самофінансування Таким чином, застосування мікроекономічної моделі промислового підприємства для розрахунку дисконтованих показників ефективності інноваційних проектів Зокрема, детально проаналізована залежність показників економічної ефективності Економіко-математичний аналіз показав також, що у випадку самофінансування тривалість етапу впровадження інноваційного проекту перестає залежати тільки від технічних характеристик проекту і визначається також фінансовими характеристиками підприємства, на якому впроваджується інновація, а систематичне реінвестування власних коштів у фінансування інноваційного проекту приводить до степеневого в часі зростання прибутку від виготовлення та реалізації продукції на етапі впровадження інноваційного проекту, коли його результати починають давати економічний ефект безпосередньо в процесі впровадження інновації. Література: Возняк Г.В., Кузнєцова А.Я. Інноваційна діяльність промислових підприємств та способи її фінансування в Україні: монографія. / Г.В.Возняк. - К.: УБС НБУ, 2007.- 183 c. |
, (3.1)
. (3.2)
, (3.3)
, (3.9)
. (3.19)
. (3.30)
. (3.31)
. (3.33)

