Реферат: Операции многократной точности операции с длинными числами
|
Название: Операции многократной точности операции с длинными числами Раздел: Рефераты по информатике Тип: реферат | ||||||
Задание Операции многократной точности (т.е. операции с длинными числами). Конкретизация задания Сначала буквам присваивается значение – например: а=23850934, причем все переменные – целые числа, которые по длине не должны превышать 300 знаков. Потом пишется выражение, например f=(a+b)/c+(d+a). При этом деление – это целое от деления делимого на делитель. Операции сложения, вычитания, умножения – обычные арифметические операции, только это операции над длинными числами. Кроме сложения, вычитания, умножения и деления еще могут быть использованы скобки. Формат ввода Любую строку в поле ввода можно представить в виде S={C,V} Где S – константа либо вычисляемое значение. Если это – константа, то С – число в строковом виде, перед которым стоит символ «@», а если S надо найти то S=V, где V – выражение с переменными и числами. В строке не должно быть пробелов и все переменные состоят из одой буквы. Между строками в поле ввода не должно быть пустых строк. Вывод идет аналогично вводу. Пример ввода и вывода можно посмотреть на рисунке Интерфейс программы. Интерфейс программы – ее внешний вид является наглядным и удобным. В верхнем поле ввода пишутся известные величины и формулы, потом жмется кнопка «Расчитать» и в нижнем поле выводятся в алфавитном порядке все переменные. Программа написана в среде программирования Delphi 6. Использовались только стандартные компоненты – TEdit и TButton. Итого на форме размещено поле ввода, поле вывода и кнопка – для запуска процесса расчета. Использование визуаль
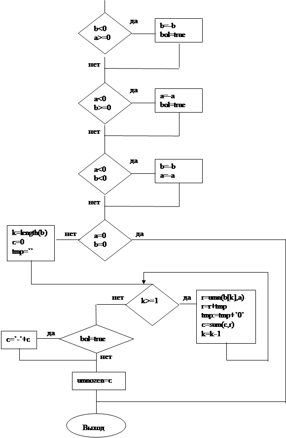
ных средств разработки на много ускорило процесс написания программы. Структура хранения Все длинные числа представляются в виде строки, каждый элемент которой – цифра. Если число отрицательное, то первым символом строки будет “-“. Чтобы считать по формуле используем структуру, описанную ниже type dd= record lin:array[1..300] of string; dl:integer; end; var mas:array[1..300] of dd; В массиве mas хранится уравнение. Каждый элемент массива – отдельное уравнение. В lin хранятся отдельные элементы уравнения. Например mas[3].lin=(‘A’,’=’,’3’,’/’,’(‘,’B’,’-‘,’1’,’)’) соответствует уравнению A=3/(B-1). В первом элементе (mas[i].lin[1]) всегда хранится буква, во втором (mas[i].lin[2]) символ “=”. Такая форма ведения уравнения нужна для удобства вычисления длинных формул. В dl хранится текущее число элементов в уравнении+1. Можно сказать – если dl=4, то в данном элементе хранится не формула, которую надо вычислить, а значение. Количество строк введенных в поле ввода должно быть не более 300 – это задается размерностью массива mas. Используемые процедуры и функции zapolnenie ; - заполнение массива mas из поля edt1. sum (a,b:string):string; - сумма чисел, хранящихся в a и b. minus (a,b:string):string; - разностьчисел, хранящихсяв a и b. minus=a-b umn (a:integer;var xx:string):string; - умножениечислаххнацифруа. Используетсявфункции umnozen. umnozen (a,b:string):string; - произведение чисел, хранящихся в a и b. del2 (str:string):string; - делитчисло str на 2. sravnenie (a,b:string):shortint; - сравнивает число a с числом b. Возвращается результат: · если а>b, то sravnenie =1 · если а<b, то sravnenie =-1 · если а<b, то sravnenie =0 delen (a,b:string):string; - частное от деления a на b. Берется целая часть. po _ ch _ num (ch:string;varznach:string):boolean; - ищет значение буквы в массиве mas. Если значение найдено то возвращается значение «Истина», в противном случае «Ложь». Функция используется для подстановки чисел в выражения. Аргументы: ch – буква, значение которой мы ищем, znach – найденное значение. sislo (ch:char):boolean; - проверяет – является ли символ ch цифрой. Если да – то возвращается «Истина». Функция используется для определения константа или выражения соответствует заданной букве. poisk (z:integer); - процедура для вычисления значения выражения. Она опирается на все предыдущие процедуры и функции. Z – номер вычисляемого значения в массиве mas. Алгоритм ее работы таков: считаем количество открывающихся скобок и если они есть, то начинаем считать с самой вложенной, потом идет умножение и деление, потом сумма и разность. После каждой операции длина уравнения уменьшается и обращение идет опять к процедуре poisk с тем же параметром z. vivod ; - вывод найденных значений в поле вывода memo3. TForm 1. Button 1 Click (Sender: TObject); - процедура нажатия на кнопку «Расчет». TForm 1. Button 2 Click (Sender: TObject); - процедура нажатия на кнопку «Задание». Все функции используют глобальную переменную mas и все процедуры и функции между собой тесно связаны. Рассмотрим алгоритм работы процедуры umnozen
unit Unit1; interface uses Windows, Messages, SysUtils, Classes, Graphics, Controls, Forms, Dialogs, StdCtrls, Grids; type dd= record lin:array[1..300] of string; dl:integer; end; TForm1 = class(TForm) Button1: TButton; Memo1: TMemo; Label1: TLabel; Label3: TLabel; Memo3: TMemo; Button2: TButton; procedure Button1Click(Sender: TObject); function minus(a,b:string):string; function sum(a,b:string):string; procedure Button2Click(Sender: TObject); private { Private declarations } public { Public declarations } end; var Form1: TForm1; mas:array[1..300] of dd; vs1:integer;{elementov v zn} y:integer; {elementov v mas} implementation {$R *.DFM} procedure zapolnenie; var tmp:string; j,nn,ll:integer; chislo:boolean; begin y:=0; for ll:=0 to form1.Memo1.Lines.Count do begin tmp:=form1.Memo1.Lines[ll]; y:=y+1; mas[y].dl:=1; nn:=0; chislo:=false; tmp:=ansiuppercase(tmp); for j:=1 to length(tmp) do begin if tmp[1]='@' then begin mas[y].lin[3]:=copy(tmp,4,300); mas[y].lin[1]:=tmp[2]; mas[y].lin[2]:=tmp[3]; mas[y].dl:=4; break; end else begin mas[y].lin[mas[y].dl]:=copy(tmp,nn+1,j-nn); mas[y].dl:=mas[y].dl+1; nn:=j; end; end; end; end; function TForm1.sum(a,b:string):string; var tmp,c,tmp2:string; i,k,ost,j:integer; bol:boolean; begin if ((b[1]='-') and (a[1]<>'-')) then begin sum:=form1.minus(a,copy(b,2,300)); exit; end; if ((a[1]='-') and (b[1]<>'-')) then begin sum:=form1.minus(b,copy(a,2,300)); exit; end; bol:=false; if ((b[1]='-') and (a[1]='-')) then begin bol:=true; a:=copy(a,2,300); b:=copy(b,2,300) end; if length(b)>length(a) then begin tmp:=b; b:=a; a:=tmp; end; ost:=0; if length(b)<>length(a) then b:='0'+b; c:=a; j:=length(a); tmp2:=''; for i:=length(b) downto 1 do begin tmp2:=tmp2+'0'; k:=strtoint(c[j])+strtoint(b[i]); k:=k+ost; ost:=0; if k>9 then begin ost:=k div 10; k:=k mod 10; end; c[j]:=inttostr(k)[1]; j:=j-1; end; if ost>0 then begin tmp2:=inttostr(ost)+tmp2; c:=form1.sum(tmp2,c); end; if bol then c:='-'+c; sum:=c; end; function Tform1.minus(a,b:string):string; var i,la,lb,vv,snos:integer; c,tmp:string; pom:boolean; begin if ((b[1]='-') and (a[1]<>'-')) then begin minus:=form1.sum(a,copy(b,2,300)); exit; end; if ((a[1]='-') and (b[1]<>'-')) then begin minus:=form1.sum(a,'-'+b); exit; end; if ((b[1]='-') and (a[1]='-')) then begin minus:=form1.minus(copy(b,2,300),copy(a,2,300)); exit; end; c:=a; pom:=false; la:=length(a); lb:=length(b); if lb>la then begin pom:=true; c:=b; b:=a; a:=c; la:=length(a); lb:=length(b); end; snos:=0; for i:=lb downto 1 do begin vv:=strtoint(a[la-lb+i])-strtoint(b[i])-snos; snos:=0; if vv<0 then begin snos:=1; vv:=vv+10; end; c[la-lb+i]:=inttostr(vv)[1]; end; if snos=1 then begin tmp:=''; for i:=1 to lb do tmp:=tmp+'0'; tmp:='1'+tmp; c:=minus(c,tmp); end; while ((c[1]='0')and(length(c)>1)) do c:=copy(c,2,300); if pom then c:='-'+c; minus:=c; end; function umn(a:integer;var xx:string):string; var i,ost,tmp,dl:integer; str:string; begin ost:=0; str:=''; dl:=length(xx); for i:=dl downto 1 do begin tmp:=a*strtoint(xx[i])+ost; if tmp>9 then begin str:=inttostr((tmp mod 10))+str; ost:=tmp div 10; if i=1 then str:=inttostr(ost)+str; end else begin str:=inttostr(tmp)+str; ost:=0; end; end; umn:=str; end; function umnozen(a,b:string):string; var k,i:integer; tmp,c,r:string; bol:boolean; begin bol:=false; if ((b[1]='-') and (a[1]<>'-')) then begin bol:=true; b:=copy(b,2,300); end; if ((a[1]='-') and (b[1]<>'-')) then begin bol:=true; a:=copy(a,2,300); end; if ((b[1]='-') and (a[1]='-')) then begin a:=copy(a,2,300); b:=copy(b,2,300) end; if ((a='0')or(b='0')) then begin umnozen:='0'; exit; end; k:=length(b); c:='0'; tmp:=''; for i:=k downto 1 do begin r:=umn(strtoint(b[i]),a); r:=r+tmp; tmp:=tmp+'0'; c:=form1.sum(c,r); end; if bol then c:='-'+c; umnozen:=c; end; function sravnenie(a,b:string):shortint; { если а>b, то сравнение=1 если а<b, то сравнение=-1 если а<b, то сравнение=0} var la,lb,i:integer; begin la:=length(a); lb:=length(b); if a[1]='-' then begin if b[1]='-' then sravnenie:=sravnenie(b,a) else sravnenie:=-1; exit; end; if b[1]='-' then begin if a[1]='-' then sravnenie:=sravnenie(b,a) else sravnenie:=1; exit; end; if lb>la then sravnenie:=-1; if lb<la then sravnenie:=1;; if la=lb then begin for i:=1 to la do begin if a[i]>b[i] then begin sravnenie:=1; exit; end; if a[i]<b[i] then begin sravnenie:=-1; exit; end; end; sravnenie:=0; end; end; function del2(str:string):string; var ost,i:integer; dr:string; begin ost:=0; dr:=''; for i:=1 to length(str) do begin dr:=dr+inttostr((strtoint(str[i])+ost*10) div 2); ost:=((strtoint(str[i])+ost*10) mod 2); end; if dr[1]='0' then dr:=copy(dr,2,300); del2:=dr; end; function delen(a,b:string):string; {delen=round(a/b)} var bol,zzz:boolean; pr,tmp,lev,prav,rab:string; begin if b='0' then begin showmessage('Íà íîëü äåëèòü íåëüçÿ!'); delen:=''; exit; end; zzz:=false; if ((b[1]='-') and (a[1]<>'-')) then begin zzz:=true; b:=copy(b,2,300); end; if ((a[1]='-') and (b[1]<>'-')) then begin zzz:=true; a:=copy(a,2,300); end; if ((b[1]='-') and (a[1]='-')) then begin a:=copy(a,2,300); b:=copy(b,2,300) end; bol:=true; lev:='0'; prav:=a; pr:='0'; rab:=a; if b<>'1' then while (bol) do begin tmp:=form1.minus(a,pr); if tmp[1]='-' then tmp:=copy(tmp,2,300); if (sravnenie(tmp,del2(b))<>1) then break;//bol:=false; tmp:=form1.minus(prav,lev); rab:=''; rab:=form1.sum(lev,del2(tmp)); pr:=umnozen(b,rab); if sravnenie(a,pr)=1 then begin lev:=rab; end else begin prav:=rab; end; end; if zzz then rab:='-'+rab; delen:=rab; if ((rab='-')or(rab=''))then delen:='0'; end; function po_ch_num(ch:string;var znach:string):boolean; var bol:boolean; i:integer; begin bol:=false; for i:=1 to y do begin if ((mas[i].dl=4)and(mas[i].lin[1]=ch)) then begin bol:=true; znach:=mas[i].lin[3]; end; end; po_ch_num:=bol; end; function sislo(ch:char):boolean; begin if ((ch>='0')and(ch<='9')or(ch='-')) then sislo:=true else sislo:=false; end; procedure poisk(z:integer); var i,k,j,m,k2,zz:integer; tmp:string; zn:char; begin {snachala ubiraem skobki, potom *, potom /, potom +, potom -} k:=0; for i:=1 to mas[z].dl-1 do if mas[z].lin[i]='(' then k:=k+1; if k>0 then begin k2:=0; for i:=1 to mas[z].dl-1 do begin if mas[z].lin[i]='(' then k2:=k2+1; if k2=k then begin if mas[z].lin[i+2]=')' then begin mas[z].lin[i]:=mas[z].lin[i+1]; for m:=i+1 to mas[z].dl-2 do mas[z].lin[m]:=mas[z].lin[m+2]; mas[z].dl:=mas[z].dl-2; poisk(z); exit; end else begin zz:=i+1; while mas[z].lin[zz]<>')' do begin if ((mas[z].lin[zz]='*')or(mas[z].lin[zz]='/')) then begin if po_ch_num(mas[z].lin[zz-1],tmp) then mas[z].lin[zz-1]:=tmp; if po_ch_num(mas[z].lin[zz+1],tmp) then mas[z].lin[zz+1]:=tmp; if (((sislo(mas[z].lin[zz-1][1])))and(sislo(mas[z].lin[zz+1][1]))) then begin zn:=mas[z].lin[zz][1]; if zn='*' then mas[z].lin[zz-1]:=umnozen(mas[z].lin[zz-1],mas[z].lin[zz+1]) else mas[z].lin[zz-1]:=delen(mas[z].lin[zz-1],mas[z].lin[zz+1]); for m:=zz to mas[z].dl-2 do mas[z].lin[m]:=mas[z].lin[m+2]; mas[z].dl:=mas[z].dl-2; poisk(z); exit; end; end; zz:=zz+1; end; //////// {snachala / i *, potom + i -} zz:=i+1; while mas[z].lin[zz]<>')' do begin if ((mas[z].lin[zz]='+')or(mas[z].lin[zz]='-')) then begin if po_ch_num(mas[z].lin[zz-1],tmp) then mas[z].lin[zz-1]:=tmp; if po_ch_num(mas[z].lin[zz+1],tmp) then mas[z].lin[zz+1]:=tmp; if ((sislo(mas[z].lin[zz-1][1]))and(sislo(mas[z].lin[zz+1][1]))) then begin zn:=mas[z].lin[zz][1]; if zn='+' then mas[z].lin[zz-1]:=form1.sum(mas[z].lin[zz-1],mas[z].lin[zz+1]) else mas[z].lin[zz-1]:=form1.minus(mas[z].lin[zz-1],mas[z].lin[zz+1]); for m:=zz to mas[z].dl-2 do mas[z].lin[m]:=mas[z].lin[m+2]; mas[z].dl:=mas[z].dl-2; poisk(z); exit; end; end; zz:=zz+1; end; //////// end; end; end; end else begin {esli skobok net} for zz:=1 to mas[z].dl-1 do begin if ((mas[z].lin[zz]='*')or(mas[z].lin[zz]='/')) then begin if po_ch_num(mas[z].lin[zz-1],tmp) then mas[z].lin[zz-1]:=tmp; if po_ch_num(mas[z].lin[zz+1],tmp) then mas[z].lin[zz+1]:=tmp; if ((sislo(mas[z].lin[zz-1][1]))and(sislo(mas[z].lin[zz+1][1]))) then begin zn:=mas[z].lin[zz][1]; if zn='*' then mas[z].lin[zz-1]:=umnozen(mas[z].lin[zz-1],mas[z].lin[zz+1]) else mas[z].lin[zz-1]:=delen(mas[z].lin[zz-1],mas[z].lin[zz+1]); for m:=zz to mas[z].dl-2 do mas[z].lin[m]:=mas[z].lin[m+2]; mas[z].dl:=mas[z].dl-2; poisk(z); exit; end; end; end; for zz:=1 to mas[z].dl-1 do begin //////// if ((mas[z].lin[zz]='+')or(mas[z].lin[zz]='-')) then begin if po_ch_num(mas[z].lin[zz-1],tmp) then mas[z].lin[zz-1]:=tmp; if po_ch_num(mas[z].lin[zz+1],tmp) then mas[z].lin[zz+1]:=tmp; if ((sislo(mas[z].lin[zz-1][1]))and(sislo(mas[z].lin[zz+1][1]))) then begin zn:=mas[z].lin[zz][1]; if zn='+' then mas[z].lin[zz-1]:=form1.sum(mas[z].lin[zz-1],mas[z].lin[zz+1]) else mas[z].lin[zz-1]:=form1.minus(mas[z].lin[zz-1],mas[z].lin[zz+1]); for m:=zz to mas[z].dl-2 do mas[z].lin[m]:=mas[z].lin[m+2]; mas[z].dl:=mas[z].dl-2; poisk(z); exit; end; end; /////// end; end; end; procedure vivod; var i:integer; begin form1.Memo3.Clear; for i:=1 to y do if mas[i].dl=4 then begin form1.Memo3.Lines.Add(mas[i].lin[1]+'='+mas[i].lin[3]); end; end; procedure TForm1.Button1Click(Sender: TObject); var i,j:integer; begin zapolnenie; for j:=1 to y do for i:=1 to y do poisk(i); vivod; end; procedure TForm1.Button2Click(Sender: TObject); begin messagedlg('Îïåðàöèè ìíîãîêðàòíîé òî÷íîñòè',mtinformation,[mbok],0); end; end. |
||||||

