Реферат: Некоторые приложения финансовой математики
|
Название: Некоторые приложения финансовой математики Раздел: Рефераты по математике Тип: реферат |
Некоторые приложения финансовой математики. Конверсия валюты и начисление процентов. Рассмотрим совмещение конверсии (обмена) валюты и наращения простых процентов, сравним результаты от непосредственного размещения имеющихся денежных средств в депозиты или после предварительного обмена на другую валюту. При этом возможны 4 варианта наращения процентов:
Операции без конверсии не представляют сложности. В операции наращения с двойной конверсией имеются два источника дохода: начисление процента и изменение обменного курса. Причём начисление процента является безусловным источником (ставка фиксирована, инфляцию не рассматриваем). Изменение обменного курса может, как быть источником дополнительного дохода, так и приводить к потерям. Остановимся на двух вариантах, предусматривающих двойную конверсию (варианты 2 и 4). Введём обозначения: Pv - сумма депозита в валюте, Pr - сумма депозита в тенге, Sv – наращенная сумма в валюте, Sr – наращенная сумма в тенге, K0 – курс обмена в начале операции, K1 – курс обмена в конце операции, n – срок депозита, i – ставка наращения для тенговых сумм(в виде десятичной дроби), j - ставка наращения для конкретной валюты. Рассмотрим варианты: ВАЛЮТА –> ТЕНГЕ –> ТЕНГЕ –> ВАЛЮТА. Операция состоит из трёх этапов: обмена валюты на тенге, наращение суммы в тенге, обратное конвертирование суммы в тенге в исходную валюту. Наращенная сумма, получаемая в конце операции в валюте, составит Sv =Pv K0 (1+ni)/K1 Как видим, три этапа операции нашли своё отражение в этой формуле в виде трёх сомножителей. Множитель наращения с учётом двойного конвертирования
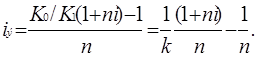
Где k=K1 /K0 – темп роста обменного курса за срок операции. Из данной формулы следует, что множитель наращения m связан линейной зависимостью со ставкой i и обратной – с обменным курсом в конце операции K1 (или с темпом роста обменного курса k). Исследуем зависимость общей доходности операции с двойной конверсией от соотношения конечного и начального курсов обмена k. Простая годовая ставка процентов, характеризующая доходность операции,
Подставляя в эту формулу выражение для Sv , получаем:
Из этой формулы следует, что с увеличением k доходность iэ падает. При k=1 доходность операции равна ставке в тенге, т.е. iэ =i. Величина iэ < i при k > 1 и iэ > iпри k < 1. При некотором критическом значении k, которое обозначим как k* , доходность операции равна нулю. Из равенства iэ =0 находим: k* =1+ni, что означает K* 1 =K0 (1+ni). Таким образом, если ожидаемые величины k и K* 1 превышают свои критические значения, то операция убыточна (iэ < 0). Определим максимально допустимое значение курса обмена в конце операции K1 , при котором эффективность будет равна существующей ставке по депозитам в валюте, и применение двойного конвертирования не даёт никакой дополнительной выгоды. Для этого приравняем множители наращения для двух альтернативных операций 1+nj=(1+ni)K0 /K1 Из полученного равенства следует, что max K1 =K0 (1+ni)/(1+nj) или max k=K1 /K0 =(1+ni)/(1+nj). Таким образом, депозит валюты через конверсию в тенге выгоднее валютного депозита, если обменный курс в конце операции ожидается меньше max K1 . Рассмотрим вариант: ТЕНГЕ –> ВАЛЮТА –> ВАЛЮТА –> ТЕНГЕ. Это операция с двойной конверсией, когда исходная и конечная суммы в тенге. В этом случае трём этапам операции соответствуют три сомножителя для наращенной суммы:
Проведем анализ эффективности этой операции и определим критические точки. Доходность операции в целом определяется по формуле
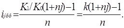
Отсюда, подставив выражение для Sr , получим
Зависимость показателя эффективности iэ от k линейная, iэ =j при k=1, iэ >j при k>1, iэ <j при k<1. Найдём критическое значение k*, при которых iэ =0: k*=1/(1+nj) или K*1 =K0 /(1+nj). Таким образом, если ожидаемые величины k или K1 меньше своих критических значений, то операция убыточна (iэ <0). Минимально допустимая величина k (темпа роста валютного курса за весь срок операции), обеспечивающая такую же доходность, что и прямой вклад в тенге, определяется путём приравнивания множителей наращения для альтернативных операций (или из равенства iэ =i): K1 (1+nj)/K0 =1+ni, откуда min k=(1+ni)/(1+nj) или minK1 =K0 (1+ni)/(1+nj). Таким образом, депозит сумм в тенге через конвертацию в валюту выгоднее депозита в тенге, если обменный курс в конце операции ожидается больше min K1 . Рассмотрим вариант совмещения конверсии валюты и наращения сложных процентов: ВАЛЮТА –> ТЕНГЕ –> ТЕНГЕ –> ВАЛЮТА. Три этапа операции запишем в одной формуле для наращенной суммы: Sv =Pv K0 (1+i)n /K1 , где i – ставка сложных процентов. Множитель наращения m=(1+i)n K0 /K1 =(1+i)n /k, где k=K1 /K0 – темп роста валютного курса за период операции. Определим доходность операции в виде годовой ставки сложных процентов iэ . Из формулы наращения по сложным процентам S=P(1+i)n находим:
Подставив в эту формулу значение Sv , получим
Из этого выражения следует, что с увеличением темпа роста k эффективность iэ падает. Анализ показывает, что при k=1 iэ =i, при k>1 iэ <i, а при k<1 iэ >i.критическое значение k, при котором эффективность операции равна нулю, определяется как k*=(1+i)n , что означает равенство среднегодового темпа роста курса валюты годовому темпу наращения по ставке в тенге. Таким образом, если ожидаемые величины k или K1 больше своих критических значений, то рассматриваемая операция с двойной конверсией убыточна (iэ <0). Максимально допустимое значение k, при котором доходность операции будет равна доходности при прямом инвестировании валютных средств по ставке j, находится из равенства соответствующих множителей наращения: (1+j)n =(1+i)n /kmax , откуда kmax =(1+i)n /(1+j)n , max K1 =K0 (1+i)n /(1+j)n . Таким образом, депозит валюты через конвертацию в тенге выгоднее валютного депозита, если обменный курс в конце опреации ожидается меньше max K1 . Пример . Имеется сумма в евро, которую предполагается разместить на полугодовой депозит. Обменный курс в начале операции 193 тенге за евро, в конце операции предполагается 197 тенге. Годовая ставка простых процентов по депозитам в тенге 17%, по валютным – 5%. Определить, как выгоднее разместить вклад: валютный или через конверсию в тенге. Решение . При двойной конверсии: евро тенге тенге евро расчёт производим по формуле k=K1 /K0 =197/193=1,02, iэ =[(1+0,5. 0,17)/1,02. 0,5]-1/0,5=0,13. По условию задачи, доходность валютного депозита 5%, доходность операции с двойной конверсией 13%. Следовательно, выгоднее разместить вклад в тенге. Пример . Имеется сумма в евро, которую предполагается разместить на полугодовой депозит. Обменный курс в начале операции 193 тенге за евро, в конце операции предполагается 197 тенге. Годовая ставка простых процентов по депозитам в тенге 17%, по валютным – 5%. Определить вид наиболее выгодного размещения вклада. Решение. Темп роста обменного курса за срок операции k=K1 /K0 =197/193=1,02. По формуле iэфф =[1,02. (1+0,5. 0,05)-1]/0,5=0,091 Выгоднее разместить депозит в тенге. Погашение задолженности частями. Контур финансовой операции – это графическое изображение процесса погашения краткосрочной задолженности частичными (промежуточными) платежами.
Пусть ссуда в размере D0 выдана на срок t. На протяжении этого срока в счёт погашения задолженности производятся два промежуточных платежа R1 и R2 , а в конце срока выплачивается остаток задолженности R3 , подводящий баланс операции. На интервале времени t1 задолженность возрастает до величины D1 . В момент t1 долг уменьшается до величины K1 =D1 -R1 и т. д. Заканчивается операция получением кредитором остатка задолженности R3 . В этот момент задолженность полностью погашается. С помощью последовательных частичных платежей иногда погашаются краткосрочные обязательства. В этом случае существуют два метода расчёта процентов и определения остатка задолженности: 1. Актуарный метод предполагает последовательное начисление процентов на фактические суммы долга. Для случая, показанного на рис.1, получим следующие расчётные формулы для определения остатка задолженности: K1 =D0 (1+t1 i)-R1 ; K2 =K1 (1+t2 i)-R2 ; K2 (1+t3 i)-R3 =0, где t1 , t2 , t3 – периоды времени, заданные в годах; i – годовая процентная ставка. 2. Правило торговца. При общем сроке ссуды t ≤1 можно записать следующее выражение:
где S – остаток долга на конец срока; в – наращенная сумма долга; K – наращенная сумма платежей; Rj – сумма частичного платежа; tj – интервал времени от момента платежа до конца срока; m – число частичных (промежуточных) платежей; P – ссуда банка. Переменная сумма счёта и расчёта процентов. Рассмотрим ситуацию, когда в банке открыт сберегательный счёт, который изменяется в течение срока хранения: денежные средства снимаются, делаются дополнительные взносы. Тогда в банковской практике при расчёте процентов часто используют методику расчёта с вычислением так называемых процентных чисел. Каждый раз, когда сумма счёта изменяется, вычисляется процентное число Сj за прошедший период j, в течение которого сумма на счёте осталась неизменной, по формуле Cj = Pj tj / 100, где tj – длительность j – го периода в днях, Pj – сумма на вкладе j-го периода. Для определения суммы процентов, начисленной за весь срок, все процентные числа складываются, и их сумма делится на постоянный делитель D: D=K/i, где К – временная база (число дней в году, т.е. 360,365 или 366); i – годовая ставка простых процентов, %. При закрытии счёта владелец получит сумму, равную последнему значению суммы на счёте плюс сумма процентов. Пример. Вкладчиком 20 января в банке был открыт счёт до востребования в размере Р1 =1000$, процентная ставка по вкладу составляла i=17% годовых. Дополнительный взнос на счёт составил R1 =2000$ и был сделан 10 февраля. Снятие со чёта в размере R2 =1500$ зафиксировано 3 марта. 10 апреля того же года счёт был закрыт. Определить сумму процентов и общую сумму, полученную вкладчиком при закрытии счёта. При расчётах принять схему 360/360, простые проценты с приближенным числом дней ссуды. Решение В задаче имеются 3 периода, в течение которых сумма на счёте оставалась неизменной: с 20 января по 10 февраля (Р1 =1000$; t1 =21), с 10 февраля по 3 марта (t2 =21; P2 =P1 +R1 =1000$+2000$=3000$), с 3 марта по 10 апреля (P3 =P2 +R2 =3000$-1500$=1500$; t3 =38). Найдем процентные числа: C1 = P1 t1 / 100=1000. 21/100=210 C2 = P2 t2 / 100=3000. 21/100=630 C3 = P3 t3 / 100=1500. 38/100=570 Постоянный делитель D=K/i=360/17=21 Сумма процентов I=(C1 +C2 +C3 )/D=(210+630+570)/21=67$ Сумма, выплачиваемая при закрытии счёта P3 +I=1500$+67$=1567$ Из алгоритма следует, что на каждую сумму, добавляемую на счёт или снимаемую со счёта, начисляются проценты с момента совершения соответствующей операции до закрытия счёта. Эта схема соответствует правилу торговца. Модели операций с ценными бумагами Облигации. Облигация – вид ценной бумаги, по которой её владельцу выплачивается ежегодный доход, размер которого заранее установлен в форме определенного процента к номиналу облигации или же выплачивается в виде выигрышей, разыгрываемых в тиражах. По сроку погашения различают краткосрочные облигации (несколько недель), среднесрочные (до 7 лет) и долгосрочные (свыше 7 лет). Выпускаются облигации и без указания срока погашения. Такие облигации могут быть выкуплены в любой момент. Применяются выплаты дохода по облигациям по фиксированным и переменным во времени процентным ставкам. Возможна также плавающая процентная ставка в зависимости от уровня ссудного процента. Для защиты от инфляции практикуется индексирование номиналов облигаций пропорционально индексу потребительских цен. Доходом от облигаций являются фиксированные проценты в сумме с разностью между номинальной стоимостью облигации и ценой её покупки, а также доходом от реинвестиций процентных денег. Под курсом облигации pk % понимается отношение цены P, по которой продаётся облигация, к номинальной стоимости облигации N в процентах:
Несмотря на более низкий доход по сравнению с другими видами ценных бумаг, облигации – более надёжный метод инвестиций капитала и поэтому находят широкое применение в финансовой практике, являясь обязательной составляющей активов страховых, инвестиционных и пенсионных фондов, финансовых компаний. Акции. Акции – представляют собой долевые ценные бумаги, свидетельствующие об участии из владельца в собственном капитале компании. Акции бывают простыми и привилегированными . По простым акциям размер дивидендов заранее не фиксируется и не гарантируется. Простые акции дают право на участие в управлении акционерным обществом по принципу: одна акция – один голос. Владельцы привилегированных акций имеют преимущественное право на получение дивидендов, гарантированный фиксированный процент, долю в остатке активов при ликвидации компании. Под курсовой стоимостью акции (курсом акции) понимается цена акции, складывающаяся на фондовом рынке при её покупке или продаже. Под номинальной стоимостью акции (номинал) понимается указанная на акции цена, по которой она продаётся при первичном размещении акционерного капитала. Источником дохода от покупки акции является разница между ценой продажи акции, через какой – то период времени и ценой покупки плюс дивиденды. Доходы от привилегированных акций. Доход от привилегированных акций (D) равен процентным деньгам (D%) плюс разность между ценой, по которой акции проданы через некоторое время p’ , и ценой покупки акции p: D=D%+p’ -p. Без реинвестиций D%=Nnp, где p – процентная ставка по привилегированным акциям; n – срок в годах от покупки до продажи; N - номинальная стоимость акции. Если процентные деньги вновь инвестируются под процентную ставку сложных процентов iс , то наращенная сумма представляет собой сумму финансовой ренты: D%= N p [(1+ic )n -1]/ic . Доходность от вложения денег в привилегированные акции найдём с использованием эффективной ставки сложных процентов (iэс ): D=p(1+iэс )n -p
Пример . Фирма приобрела 20 привилегированных акций номиналом по 200 тыс. $ с фиксированной процентной ставкой 15% в год. Стоимость этих акций ежегодно возрастает на 5% относительно номинальной. Полученные проценты вновь инвестируются под 7% годовых. Определить ожидаемый доход и доходность продажи акций через 2 года. Решение. Процентные деньги от 20 акций за год составят: D1 %=0,15. 200. 20=600тыс$ Доход от реинвестиций с учётом D%= Np [(1+ic )n -1]/ic : D%=D1 %[(1+ic )n -1]/ic =600. [(1+0,07)2 -1]/0,07=1242 тыс.$ Цена покупки акций: p=2000. 20=4000 тыс.$ Стоимость акций через 2 года: p'=2000. 20+0,05. 2000. 20. 2=4400 тыс.$ Ожидаемый доход: D=1242+4400-4000=1642 тыс.$ Эффективная процентная ставка доходности сделки по формуле
|








с учётом того, что K0
=193, K1
=197:
имеем:



составит: