Дипломная работа: Методика решения задач повышенной трудности в старших классах средней школы
|
Название: Методика решения задач повышенной трудности в старших классах средней школы Раздел: Рефераты по педагогике Тип: дипломная работа | ||||
ОГЛАВЛЕНИЕВведениеГлава 1. Теоретические основы обучению решению задач1.1 Определение задачи. Классификация и функции задач в обучении1.2 Обучение поиску решения задач1.3 Методические особенности решения нестандартных задачГлава 2. Методика решения нестандартных задач в старших классах средней школы2.1 Особенности решения текстовых задач2.2 Методика решения уравнений и неравенств2.3 Особенности решения задач с параметрами2.4 Педагогический эксперимент и анализ результатов2.4.1 Констатирующий этап эксперимента2.4.2 Поисковый этап исследования2.4.3 Формирующий этап экспериментаЗаключениеСписок литературыВВЕДЕНИЕ
В жизни каждого человека постоянно возникает большое количество таких ситуаций, которые связаны с числами и требуют выполнения арифметических действий над ними, - это задачи. Каждому учителю хорошо известно, какое большое место в начальном обучении математика занимала всегда, и сейчас продолжают занимать текстовые задачи. В математических задачах осуществляется переход от жизненных ситуаций к арифметическим действиям, следовательно, в общей системе обучения математики решение задач является одним из видов эффективных упражнений. Основной задачей обучения математике в школе является развитие математического мышления через обучение общим способам действий с математическими моделями реальной действительности и способам построения этих моделей. Обучение построениям моделей в основном осуществляется при решении математических задач. Решение задач включается практически в каждый урок математики, поэтому очень важно правильно организовать и спланировать урок математики. Усвоение учениками математических знаний зависит не только от правильного выбора методов работы, но и от формы организации учебного процесса и умелого его осуществления. Урок – основное звено учебно-воспитательного процесса. Планируя урок, определяя его задачи, необходимо учитывать, что он всегда является лишь частью, одним звеном более или менее длинной цепочки уроков, реализующих тему, раздел, учебный предмет в целом. Поэтому должен быть связан со всеми предшествующими и последующими уроками [10,19]. По новому определению, знания представляются не как обладание какой-либо информацией, а как умение и способность найти нужную информацию и правильно применять ее на практике. Поэтому важнейшей задачей школы является не формирование носителя определенной суммы знаний, а содействие становлению личности, ориентирующейся в потоке новой информации и умеющей ее творчески переработать, а это значит, что современной системе школьного образования соответствует лишь такая теория, которая учитывает развивающую роль обучения и воспитания в становлении личности ребенка. Школа должна готовить не только знающего, но и умеющего ученика. При решении так называемых «развивающих задач» прививаются “привычки ума”, учителя учат тому, как думать, а не тому, что думать. Дети сами могут постигать смысл узнаваемого с помощью умения размышлять, задавать вопросы по существу, улавливать взаимосвязи, выявлять модели, решать проблемы, принимать правильные решения, понимать и ценить разнообразие, работать совместно с другими людьми, рисковать и управлять ситуацией. Акцент делается не на запоминание фактов, а на умение критически и творчески думать. Основополагающими работами по теории развивающего обучения являются труды Л.С. Выготского, П.Я. Гальперина, В.В. Давыдова, Л.В. Занкова, Е.И. Кабановой-Меллер, А.Н. Леонтьева, Н.А. Менчинской, С.Л. Рубинштейна, Н.Ф. Талызиной, Д.Б. Эльконина, И.С. Якиманской и др. В области педагогики в теории развивающего обучения существенный вклад внесли Ю.К. Бабанский, Л.я. Зорина, И.Я. Лернер, М.И. Махмутов и др. Разработке теоретических основ развивающего обучения математике посвящены специальные исследования Х.Ж. Ганеева, Н.Б. Истоминой, Л.Г. Петерсон, З.И. Слепкань и др. Большое внимание в работах по развивающему обучению уделяется математическому мышлению. Формирование математического стиля мышления является важным для жизни в современном обществе. Объекты математических умозаключений и правила их конструирования должны вырабатывать умения формулировать, обосновывать и доказывать суждения, то есть развивать логическое мышление. Известный математик – педагог Д. Пойа в книге «Как решать задачу?» писал: «Что значит владение математикой? Это есть умение решать задачи, причем не только стандартные, но и требующие известной независимости мышления, здравого смысла, оригинальности, изобретательности». Поэтому важнейшей задачей школы является не формирование носителя определенной суммы знаний, а содействие становлению личности, ориентирующейся в потоке новой информации и умеющей ее творчески переработать. Основы такого умения необходимо заложить в начальной школе, где огромная роль, естественно, принадлежит учителю [20]. Всё вышесказанное говорит об актуальности проблемы исследования. Проблема исследования заключается в более глубоком изучении темы «Методика решения задач повышенной трудности в старших классах средней школы», анализе содержания и методов решения развивающих заданий, поиске путей повышения эффективности использования задач в процессе обучения. Объект исследования – процесс обучения математике в средней школе. Предмет исследования – сюжетные задачи курса математики и их использование с целью интеллектуального развития обучаемых и повышения качества обучения. Цель исследования состоит в изучении влияния задач повышенной трудности на умственное развитие обучаемых и выявлении методических особенностей использования задач указанного типа на уроках математики. Гипотеза исследования: систематическое и целенаправленное решение задач повышенной трудности с учетом уровня развития познавательных способностей ученика будет способствовать развитию всех познавательных процессов школьников, а также математической интуиции и творческого подхода к решению самых разнообразных задач. Исходя из цели исследования выделены задачи исследования: 1. Изучение математической, психолого-педагогической и методической литературы по проблеме исследования. 2. Поиск наиболее эффективных путей и способов организации решения задач на уроках математики. 3. Разработка методики решения задач повышенной трудности на уроках математики и во внеклассной работе в средней школе. 4. Экспериментальная проверка выдвинутой гипотезы в естественно-педагогическом эксперименте, анализ результатов. При решении вышеизложенных задач использовались следующие методы исследования: 1. Изучение и анализ математической, методической, педагогической и психологической литературы. 2. Наблюдение, анкетирование. 3. Экспериментальная проверка. Глава 1. ТЕОРЕТИЧЕСКИЕ ОСНОВЫ ОБУЧЕНИЮ РЕШЕНИЮ ЗАДАЧ 1.1 Определение задачи. Классификация и функции задач в обучении Учебные математические задачи являются очень эффективным и часто незаменимым средством усвоения учащимися понятий и методов школьного курса математики. Велика роль задач в развитии математического мышления и в математическом воспитании учащихся, в формировании у них умений и навыков в практическом применении математики. Решение задач служит достижению всех тех целей, которые ставятся перед обучением математике. Каждая конкретная учебная математическая задача предназначается для достижения чаще всего не одной, а нескольких педагогических, дидактических, учебных целей. И эти цели характеризуются как содержанием задачи, так и назначением, которое придает задаче учитель. Дидактические цели определяют роль задач в обучении математике. В зависимости от содержания задачи и дидактических целей ее применения из всех ролей, которые отводятся конкретной задаче, можно выделить ее ведущую роль. Обучающая роль математических задач. Эту роль математические задачи выполняют при формировании у учащихся системы знаний, умений и навыков по математике и ее конкретным дисциплинам. Следует выделить несколько видов задач по их обучающей роли: · задачи для усвоения математических понятий, · задачи для овладения математической символикой, · задачи для обучения доказательствам, · задачи для формирования математических умений и навыков, · задачи, предваряющие изучение новых математических фактов, создающие проблемную ситуацию. Развивающая роль задач. Одно из основных назначений задач заключается в том, чтобы активизировать мыслительную деятельность учеников на уроке математические задачи должны, прежде всего, будить мысль учеников, заставлять ее работать, развиваться, совершенствоваться. Говоря об активизации мышления учеников, нельзя забывать, что при решении математических задач учащиеся не только выполняют построения, преобразования, запоминают формулировки, но и обучаются четкому мышлению, умению рассуждать, сопоставлять и противопоставлять факты, находить в них общее и различное, делать правильные умозаключения. Перечислим виды задач, активизирующие и развивающие мышление учащихся: - задачи и упражнения, включающие элементы исследования, - задачи на доказательство, - задачи и упражнения на отыскание ошибок, - занимательные задачи, - отыскание различных вариантов решения и выбор лучшего из них, - составление задач учащимися. Воспитательная роль задач заключается в формировании личностных качеств: силы воли, аккуратности и т.п. Задача - это вопрос, требующий решения на основании определенных знаний и размышления. Процесс решения задачи представляет собой поиск выхода из затруднения или пути обхода препятствия, - это процесс достижения цели, которая первоначально не кажется сразу доступной. Задача предполагает необходимость сознательного поиска соответствующего средства для достижения ясно видимой, но непосредственно недоступной цели. Найти решение задачи ‑ это значит установить связь между заранее дифференцированными объектами или идеями (объектами, которые у нас имеются, и объектами, которые нам требуется отыскать, данными и неизвестным, предпосылкой и заключением). В работе выделяются задачи с дидактическими, познавательными и развивающими функциями. Задачи с дидактическими функциями (вводные, тренировочные) предназначаются преимущественно для облегчения введения или закрепления изучаемых теоретических сведений. Это задачи на непосредственное применение изучаемой теории, закрепление основных понятий и фактов. Задачи с познавательными функциями (теоретические, практические) содержат новую для учащихся учебную информацию. Они ориентированы на более глубокое усвоение основного материала школьного курса, в процессе их решения учащиеся знакомятся с новыми в познавательном отношении теоретическими сведениями: новыми понятиями, фактами, методами решения задач. К задачам с развивающими функциями относятся задачи, содержание которых несколько отходит от основного курса, посильно осложняет вопросы программы. Это задачи на сообразительность, развитие числовой и геометрической интуиции, пространственного представления и воображения, логического мышления. Часто одна и та же задача выполняет в обучении несколько функций одновременно. Задачи являются и предметом, и средством обучения. Они способствуют достижению всех целей обучения: воспитательных, образовательных, развивающих. Возможны различные подходы к определению последовательности в изучении теоретического материала и решении задач: а) изучается небольшой блок теоретического материала, затем решаются задачи, связанные с ним (традиционный подход); б) ведется «опережающее» изучение теоретического материала, после изучения крупного блока теории решаются задачи сразу по всему материалу этого блока; в) ведется «опережающее» решение задач (теоретический материал темы рассматривается вначале на ознакомительном уровне, теоремы пока не доказываются; после ознакомления с формулировками определений и теорем сразу переходят к решению задач; по мере приобретения навыков решения задач обращаются к изучению доказательств теорем теоретической части курса, причем многие из этих доказательств проводятся учащимися самостоятельно). Опыт учителей-новаторов показывает, что «крупноблочное» изучение теоретического материала позволяет решить проблему дефицита учебного времени, интенсифицировать учебный процесс, не перегружая учащихся [10,20]. Перейдем к рассмотрению классификаций задач. Сначала необходимо определить тот признак, по которому будем классифицировать. По содержанию задачи делятся на практические (задачи с практическим содержанием) и математические. При решении практических задач используется метод математического моделирования, его суть в следующем: а) переводим реальную ситуацию на математический язык и строим математическую модель; б) работаем внутри математической модели и получаем результат; в) переводим обратно на реальный язык или интерпретируем результат. При решении математической задачи используется только второй этап. По требованию выделяют задачи на доказательство, на построение и на вычисление. По характеру мыслительной деятельности различают стандартные и нестандартные задачи. К стандартным относятся задачи, которые имеют определенный алгоритм решения (алгоритмически разрешимые задачи). Задачи, не имеющие общего алгоритма решения, называются нестандартными. Нестандартные задачи имеют отчетливо выраженную развивающую функцию. Функции решаемой стандартной задачи зависят от того, какими теоретическими знаниями обладают учащиеся к моменту ее решения. Если учащимся известен алгоритм решения этой задачи, то ее можно считать шаблонной. Если к моменту решения стандартной задачи общий метод ее решения не известен, то такая задача является нешаблонной (при ее решении необходимо обнаружить общий метод решения или применить какой-либо искусственный прием). Нестандартные и нешаблонные задачи (вследствие общности их функции в обучении) можно объединить в одну группу - группу творческих задач. По целям применения задач в учебном процессе выделяют задачи подготовительные, задачи на закрепление, на приобретение новых знаний, на развитие мышления. В начальных классах ученики рассматривают и решают разнообразные задачи, большинство которых содержит числовые данные. Кроме того, учащиеся должны познакомится с решением задач, в которых значения одной – двух величин выражены буквами. Эти задачи подводят учеников к более широким обобщениям и служат вводным материалом к изучению алгебры. Сюжет некоторых решаемых в начальных классах задач построен на геометрическом материале, то есть в них идет речь о фигурах и протяженности. Большинство этих задач назвать геометрическими в полном смысле нельзя. Таким образом, основное внимание обращается на рассмотрение задач с числовыми данными, при решении которых используют как арифметические, так и алгебраические методы. Среди математических задач различают задачи простые и составные . К простым задачам относят те, которые можно решить одним действием. Задачи, которые составлены из нескольких простых и поэтому решаются с помощью двух и более действий, называют составными задачами . К любой простой задаче можно составить две обратные задачи, то есть две такие задачи, у каждой из которых в тот же сюжет искомое число из прямой задачи включено в виде одного из данных, а в качестве искомого выступает число, известное из условия прямой задачи. Кроме того, среди простых задач выделяются задачи, выраженные в косвенной форме. В зависимости от тех понятий, которые рассматриваются в курсе математики начальных классов, простые задачи делят на три группы. Первая группа включает простые задачи, при которых учащиеся усваивают конкретный смысл каждого из арифметических действий. 1) Нахождение суммы. 2) Нахождение остатка. 3) Нахождение суммы одинаковых слагаемых. 4) Деление на равные части; деление по содержанию. Вторая группа включает простые задачи, при решении которых учащиеся усваивают связь между компонентами и результатами арифметических действий. Это простые задачи на нахождение неизвестного компонента. Третья группа – простые задачи, при решении которых раскрываются понятия разности и кратного отношения. Однако, рассматривая различные подходы к классификации простых задач, Л.В. Занков замечает, что ни одна классификация не позволяет установить последовательность, в какой следует рассматривать их при обучении детей решению задач. Это является существенным недостатком различных классификаций. Однако, зная принципы классификации простых задач, учитель с меньшей затратой труда и времени научит школьников правильно находить, каким действием решается та или иная задача [11,12]. Методика располагает достаточно обоснованными суждениями о значении и системе использования простых задач в начальных классах. Простые задачи нужны ученику для того, чтобы: 1) ознакомиться со структурой математической задачи; 2) выработать у ребенка сознательное отношение к выбору действия, которое нужно произвести для нахождения ответа на вопрос задачи; задачи помогают раскрыть смысл действий; 3) увидеть элементарные функциональные зависимости между величинами, входящими в условие, понять связь между компонентами действий; 4) связать различные математические упражнения с жизнью, что повышает у детей интерес к предмету, оживляет процесс овладения навыками; 5) работа с изменением текста простой задачи позволяет ученику овладеть более отвлеченными математическими понятиями, переходить к обобщениям и абстрагированию; 6) готовить ученика к пониманию решения разнообразных составных задач [15]. 1.2 Обучение поиску решения задач С чего начинать решение задачи? Движение вашей мысли, как заметил известный советский психолог П.Я. Гальперин, не должно быть «броуновским», т.е. беспорядочным. Главное - нужно сделать глубокий и всесторонний анализ задачи. Решить математическую задачу ‑ это значит найти такую последовательность общих положений математики (определений, аксиом, теорем, правил, законов, формул), применяя которые к условиям задачи или к их следствиям (промежуточным результатам решения) получаем то, что требуется в задаче, ‑ ее ответ. Основными методами поиска решения задач являются анализ и синтез. Благодаря анализу осуществляется целенаправленная актуализация знаний (знания актуализируются не механически, наугад, «вслепую», а в связи с потребностью в них). В ходе анализа естественно определяются момент использования знаний (не тогда, когда вспоминаешь, а тогда, когда нужно), выбор знаний (берутся лишь те знания, в которых возникла потребность при анализе), форма использования знаний (не так, как в учебнике, а в том виде, в каком это удобнее для решения задачи) и характер использования знаний (все сразу или поочередно). Ранее были рассмотрены анализ Паппа и анализ Евклида. Они применимы и при поиске решений задач. Каждый из этих анализов имеет свою область применения. Например, при поиске решений текстовых задач с помощью уравнений более удобным является анализ Евклида: искомая величина обозначается через х и на основе текста задачи выводятся следствия до тех пор, пока не будет получено уравнение, связывающее искомую величину х с данными величинами. Поиск решения текстовых задач (решаемых арифметическими средствами) удобнее вести с помощью анализа Паппа. Поиск решения таких задач начинают с вопроса задачи и определяют, какие величины надо знать, чтобы ответить на этот вопрос. Далее выясняют, являются ли эти величины известными. Если некоторые из них не даны в условии задачи, то ставится вопрос, как можно найти такие величины, что необходимо знать для этого. Подобные вопросы повторяют до тех пор, пока не обнаружится, что нахождение «промежуточных» неизвестных величин сводится к вычислениям с данными величинами. Таким образом, при решении задач можно выделить следующие общие приемы мыслительной деятельности: первый прием - прием развертывания термина, он состоит в выведении всевозможных следствий из условия задачи или в выяснении всевозможных свойств объектов, о которых говорится в задаче. Второй прием - анализ через синтез - «челнок» состоит в чередовании восходящего анализа и синтетических рассуждений. Эти два приема подводят к формированию плана решения задачи. Третий прием - прием построения дедуктивных умозаключений. Именно эти приемы должны быть отработаны с учащимися. В заключение отметим, что большинство приемов поиска решения задач базируется на достаточно серьезном логическом содержании, поэтому овладение ими учащимися возможно лишь при условии систематического и целенаправленного их применения. Полезно практиковать в этих целях краткий методологический комментарий, разъясняющий учащимся суть применяемых приемов поиска решения задач [10,12]. Сам процесс решения задач при определенной методике оказывает весьма положительное влияние на умственное развитие детей, поскольку он требует выполнения умственных операций анализа и синтеза, абстрагирования и конкретизации, сравнения, обобщения. Существуют различные методические подходы к обучению детей решению текстовых задач. Но какую бы методику обучения ни выбрал учитель, ему надо знать, как построены такие задачи, и уметь их решать разными способами. Итак, любая текстовая задача – как считает Л.П. Стойлова – есть описание на естественном языке какого-либо явления (ситуации или процесса) с требованием дать количественную характеристику какого-либо компонента этого явления, установить наличие или отсутствие некоторого отношения между компонентами или определить вид этого отношения. М.И. Моро, А.М. Пышкало определяют задачу, как сформулированный словами вопрос, ответ на который может быть получен с помощью арифметических действий. Прежде всего, каждая задача включает числа: данные и искомые. Числа в задаче характеризуют численности множеств или значения величины, выражают отношение или являются отвлеченными данными числами. Каждая задача имеет условие и вопрос. В условии задачи указываются связи между данными числами, а так же между данными и искомыми; эти связи и определяют выбор соответствующих арифметических действий. Вопрос указывает, какое число является искомым. Исходя из этого, И.Б. Истомина считает, что любое математическое задание можно рассматривать, как задачу, выделив в нем условие и требование. Уточним теперь смысл термина «решение задачи». Так сложилось, что этим термином обозначают разные понятия: 1) решением задачи называют результат, т.е. ответ на требование задачи, на поставленный в ней вопрос. Чаще всего дети понимают под решением задачи ответ на поставленный ней вопрос. 2) решением задачи называют процесс нахождения этого результата, причем этот процесс рассматривается двояко: и как метод нахождения результата, (например, говорят о решении задачи арифметическим способом) и как последовательность действий, которые выполнит решающий, применяя тот или иной метод (т.е. в данном случае под решением задачи понимается вся деятельность человека, решающего задачу). Довольно часто бывает так, что как только учитель сообщил задачу, дети сразу же дают ответ на ее вопрос. Но это далеко не всегда удовлетворяет учителя. Он стремится выяснить, как получен ответ, на основе каких рассуждений, с помощью какого арифметического действия и т.п. сначала учитель требует обычно «полного» ответа на вопрос. Это имеет смысл не только с точки зрения развития устной речи учащегося, но и для того, чтобы дети еще раз вернулись мысленно к тексту задачи, сопоставляли свой ответ с условием и вопросом задачи. Получив ответ, учитель продолжает спрашивать: «Как ты это узнал?» Этот, казалось бы, простой вопрос нередко для ученика бывает трудным: «Я догадался», «Я посчитал» - вот типичные ответы первоклассников в подобных случаях (а иногда и просто «Я не знаю») Среди учителей было распространено мнение, что если ученик не может объяснить, как получил ответ на вопрос задачи, значит, он не решил ее. Дети внутренне не могут с этим согласиться. Возникает своего рода конфликтная ситуация, которая в данном случае совсем не полезна. Причина ее заключается в том, что учитель понимает требование решить задачу значительно шире, чем просто дать ответ на ее вопрос. Для того, чтобы такого взаимонепонимания между учителем и учащимся не возникало, необходимо разъяснить детям смысл требование «решить задачу». Полезно, например, сказать детям следующее: «Задачи, которые вы решаете на уроках математики, - это не загадки, которые надо разгадать». Решить задачу – это значит объяснить какие действия нужно выполнить над данными в ней числами, чтобы после вычислений получить число, которое в ней нужно узнать. Записать решение задачи – значит с помощью цифр и знаков действий показать, что нужно сделать, чтобы найти неизвестное число, выполнить вычисление и дать ответ на вопрос задачи. Научить детей решать задачи ‑ значит научить их устанавливать связи между данными и искомым и в соответствии с этим выбирать, а затем и выполнять арифметические действия. Чтобы добиться этого, учитель должен предусмотреть в методике обучения решению задач одного вида ступени, имеющие свои цели. На первой ступени учитель ведет подготовку к решению задач рассматриваемого вида. На этой ступени дети должны усвоить связи, на основе которых они будут выбирать действия при решении таких задач. На второй ступени учитель знакомит учеников с решением задач рассматриваемого вида. Здесь дети учатся переходить от конкретной ситуации, выраженной в задаче, к выбору соответствующего арифметического действия. На третьей ступени учитель формирует умение решать задачи рассматриваемого вида. Учащиеся должны научиться решать любую задачу независимо от ее конкретного содержания. Особенность решения сюжетной задачи состоит в том, что решаются, вообще говоря, две разные, хотя и взаимосвязанные проблемы: перевод содержания задач на язык математики (то есть математизация содержания) и решения собственно математической задачи средствами математики, что образует процесс сложной умственной деятельности. Чтобы овладеть им, надо знать основные этапы решения задачи и некоторые приемы их выполнения [11,15]. Структуру процесса решения задачи можно представить в виде следующей схемы:
1.3 Методические особенности решения нестандартных задач Главная цель задач ‑ развить творческое и математическое мышление учащихся, заинтересовать их математикой, привести к "открытию" математических фактов. Я считаю, что достичь этой цели с помощью обычных стандартных задач невозможно. Опыт использования ряда нестандартных задач показывает, что для формирования самостоятельности мышления, воспитания творческой активности необходимо включать их в систему упражнений и задач, используемых на уроке, во внеклассной работе. Решение нестандартных задач вызывает у детей наибольшие затруднения. Остановимся на понятии "нестандартная задача". "Нестандартные задачи ‑ это такие, для которых в курсе математики не имеется общих правил и положений, определяющих точную программу их решения", ‑ считает Фридман Л.М.[20]. Однако следует заметить, что понятие "нестандартная задача" является относительным. Одна и та же задача может быть стандартной или нестандартной в зависимости от того, знакомы ли ученики со способами решения таких задач. Нестандартная задача ‑ это задача, алгоритм решения которой учащимся неизвестен, т.е. учащиеся не знают заранее ни способов её решения, ни того, на какой учебный материал опирается решение. Как учитель может помочь учащимся решать нестандартные задачи? Универсального метода, позволяющего решить любую нестандартную задачу, нет, т.к. нестандартные задачи в какой-то степени неповторимы. Однако в методике можно найти описание опыта учителей, добивающихся хороших результатов в математическом развитии учащихся. Некоторые методические приемы обучения учащихся способам решения нестандартных задач сформированы в книгах Ж. Пойа "Как решать задачу, "Математическое открытие"; Л.И. Фридмана и Е.Н. Турецкого " Как научиться решать задачу"; Ю.М. Колягина "Учись решать задачу". Рассмотрим отдельные методические приемы обучения учащихся решать нестандартные задачи: 1. Прежде всего, отметим, что научить учащихся решать задачи (в т.ч. нестандартные) можно только в том случае, если у учащихся будет желание их решать, т.е. если задачи будут содержательными и интересными с точки зрения ученика. Поэтому задача учителя ‑ вызвать у учащихся интерес к решению той или иной задачи. Необходимо тщательно отбирать интересные задачи и делать их привлекательными для учащихся. Это могут быть ‑ задачи ‑ шутки, задачи ‑ сказки, старинные задачи и т.п. Одно бесспорно: наибольший интерес у учащихся вызывают задачи, взятые из окружающей жизни, задачи, связанные со знакомыми вещами, опытом. Важно показать детям, что от решения математической задачи можно получить такое же удовольствие, как от разгаданного кроссворда или ребуса. 2. Задачи не должны быть слишком легкими, но и не слишком трудными, т.к. ученики, не решив задачу или не разобравшись в решении, предложенном учителем, могут потерять веру в свои силы. В этом случае очень важно соблюсти меру помощи. Прежде всего, учитель не должен знакомить учащихся с уже готовым решением. Подсказка должна быть минимальной. Л.М. Фридман в своей книге "Как научиться решать задачи" пишет: "Для успешного решения нестандартных задач необходимо, прежде всего, уметь думать, догадываться. Но этого мало. Нужны, конечно, и знания, и опыт в решении необычных задач; полезно владеть и определенными общими подходами к решению". Чтобы помочь учащимся найти путь к решению задачи, учитель должен уметь поставить себя на место решающего задачу, попытаться увидеть и понять источник его возможных затруднений. Умелая помощь учителя оставляющая различную долю самостоятельной работы, позволит ученикам разумную долю самостоятельной работы, позволит ученикам развить математические способности, накопить опыт, который в дальнейшем поможет находить путь решения новых задач. "Лучшее, что может сделать учитель для учащегося, состоит в том, чтобы путем неназойливой помощи подсказать ему блестящую идею. Хорошие идеи имеют своим источником прошлый опыт и ранее приобретенные знания. Часто оказывается уместным начать работу с вопроса: "Известна ли вам какая-нибудь родственная задача?"[10]. Таким образом, хорошим средством обучения решению задач, средством для нахождения плана решения являются вспомогательные задачи. Умение подбирать вспомогательные задачи свидетельствует о том, что учащиеся уже владеют определенным опытом решения нестандартных задач. Если этот опыт невелик, то можно предложить учащимся вспомогательные задачи. Умело поставленные вопросы, вспомогательные задачи помогут понять идею решения. Необходимо стремиться к тому, чтобы учащиеся испытывали радость от решения трудной для них задачи. Рассмотрим примеры решения таких задач, с тем, чтобы выяснить особенности процесса их решения. 1. В трех ящиках 300 яблок. Число яблок первого ящика составляет половину числа яблок второго ящика и треть числа яблок третьего ящика. Сколько яблок в каждом ящике? Решение. Эта задача является текстовой. Для подобных задач никакого общего правила, определяющего точную программу, их решения не существует. Однако это не значит, что вообще нет каких-либо указаний для решения таких задач. Обозначим количество яблок в первом ящике через х . Тогда во втором ящике было 2х яблок, в третьем - 3х . Следовательно, сложив все числа х +2х +3х , мы должны получить 300 яблок. Получаем уравнение х +2х +3х =300.Решив уравнение, найдем: х =50 яблок, 2х =100 яблок, 3х =150 яблок. Значит, в первом ящике было 50 яблок, во втором ‑ 100 яблок, в третьем ‑ 150 яблок. Проанализируем процесс приведенного решения задачи. Сначала мы определили вид задачи "текстовая задача", и, исходя из этого, возникла идея решения ("составить уравнение"). Для этого, пользуясь общими указаниями и образцами решения подобных задач, полученных на уроках ("надо обозначить одно из неизвестных буквой, например х , и выразить остальные неизвестные через х , затем составить равенство из полученных выражений"), мы построили уравнение. Заметим, что эти указания, которыми мы пользовались, не являются правилами, ибо в них ничего не сказано, какое из неизвестных обозначить через х , как выразить остальные неизвестные через х , как получить нужное равенство и т.д. Все это делается каждый раз по-своему, исходя из условий задачи и приобретенного опыта решения подобных задач. Полученное уравнение представляет собой уже стандартную задачу. Решив её, мы тем самым решили и исходную нестандартную задачу. Смысл решения данной задачи состоит в том, что с помощью особого приема (составление уравнения) мы свели её решение к решению стандартной задачи. 2. В магазин "Цветы" привезли 30 желтых тюльпанов и столько же красных. Каждые 3 желтых тюльпана стоили 20 руб., а каждые 2 красных тюльпана стоили 30 руб. Продавец сложила все эти тюльпаны вместе и решила сделать букеты по 5 тюльпанов и продавать их по 50 руб. Правильно ли она рассчитала? Решение. Найдем стоимость всех тюльпанов, если бы продавец не складывала тюльпаны вместе (реальную стоимость) Процесс решения этой нестандартной задачи состоит в следующем: данную задачу мы разбили на такие подзадачи: 1) нахождение реальной стоимости; 2) нахождение предполагаемой стоимости; 3) сравнение полученных стоимостей и вывод о расчете продавца. Решив эти стандартные подзадачи, мы в конечном итоге решаем и исходную нестандартную задачу. По мнению Л.М. Фридмана [19,20], процесс решения любой нестандартной задачи состоит в последовательном применении двух основных операций: • сведение (путем преобразования или переформулирования) нестандартной задачи к другой, ей эквивалентной, но уже стандартной (способ моделирования); • разбиение нестандартной задачи на несколько стандартных вспомогательных подзадач (способ разбиения). Для того чтобы легче было осуществлять способы разбиения и моделирования, мы считаем полезным построение вспомогательной модели задачи ‑ схемы, чертежа, рисунка, графа, графика, таблицы. 3. Сколько всего различных незамкнутых ломаных можно построить с вершинами в точках A , B , C , D на рисунке?
Задача 3 – это фактически задача на перебор вариантов. Ее цель состоит в том, чтобы дать учащимся возможность накопить некоторый опыт по подсчету числа вариантов и по построению дерева вариантов. После обсуждения ответов и решений учащихся учитель может сказать примерно следующее:«Вы получили разные ответы, но никто не смог доказать, что он перебрал все возможные случаи. Давайте попробуем разработать такой способ подсчета, при котором можно быть уверенным в том, что мы перебрали все возможные варианты.» Тогда словосочетание «перебор … вариантов» появляется в таком контексте, что смысл его объяснять не надо, тем более, что используемые слова учащимся к этому моменту уже знакомы из других жизненных ситуаций.
Теперь подумаем, куда мы можем пойти из точки B , из точки C, из точки D, и т.д. В результате рассуждений получаем такой рисунок.
«Итак, мы видим, что можно построить 6 ломаных с началом в точке A . Как вы думаете, сколько всего ломаных мы получим, если проделаем такую же работу с остальными точками? Проверьте свое предположение дома» [9]. Здесь работа над задачей в классе заканчивается и учащимся предлагается закончить ее дома: изобразить все ломаные с началом в точке A
и, рассуждая аналогично (сделав такой же рисунок), выписать и изобразить все ломаные с началом в точках B
, C
и D
. В процессе выполнения этой работы учащиеся заметят, что каждая ломанная повторяется дважды, поскольку, например, ABCD
и DCBA
– это одна и та же ломаная. Поэтому всего различных ломаных получится не Далее учащимся предлагается дома на альбомном листе изобразить все 12 ломаных. 4. Изобразите отрезок
MN
. Отметьте на нем точки
K
и
L
так, чтобы отрезок
KN
составлял Подсказка содержится в тексте задачи. Учащимся предлагается в классе прочитать первые два предложения и подумать над подсказкой. Изобразим отрезок и отметим на нем точки. Отрезок KL
составляет
5. Решите задачу подбором. Из 29 коробок часть содержит по 14 кг конфет, а часть по 15 кг. Сколько тех и других коробок, если общая масса конфет в коробках обоих типов одинаковая? Внимательно изучив данные, видим, что 14 + 15 = 29. Значит коробок, в которых по 14 кг должно быть 15, а тех, в которых по 15 кг – 14 [1]. 6. Пассажир поезда, идущего со скоростью 50 км/ч, заметил, что встречный поезд шел мимо него в течение 10 секунд. Определите длину встречного поезда, если его скорость – 58 км/ч. Какие величины в задаче известны? Сделаем рисунок:
Длина поезда – это расстояние от начала головного вагона до конца хвостового вагона. Какие величины мы обычно используем, чтобы найти расстояние? Как бы вы решали задачу, если бы поезд, в котором сидел пассажир, стоял на месте? Решение. 1) 50 + 58 = 108 км/ч скорость, с которой встречный поезд проехал мимо пассажира. 2) 108 (км/ч) = (108 × 1000) : 3600 (м/с) = 30 (м/с). 3) 30 × 10 = 300 (м) – длина поезда. Ответ: 300 м. 7. На отдельном листе бумаги, используя чашку вместо циркуля, проведите карандашом окружность. Вырежьте получившийся круг и подумайте, как при помощи перегибания найти его центр. Подумайте, как найти центр круга в случае, если круг перегнуть нельзя. Выполнение первого задания – найти центр вырезанного круга перегибанием, как правило, затруднений не вызывает. Если же круг перегнуть нельзя, то центр найти сложнее. Здесь учащимся следует предложить подумать, какие из свойств углов и окружностей, с которыми они знакомы, можно использовать в этой задаче. Оказывается, достаточно построить прямой угол BAC , где точки A , B , C принадлежат окружности, тогда BC – диаметр, а его середина – центр окружности. Эти модели способствуют развитию у детей конкретного и абстрактного мышления во взаимосвязи между собой, т.к. модель задачи, с одной стороны, дает возможность школьнику в наглядной форме конкретно представить зависимости между величинами, входящими в задачу, а с другой ‑ способствует абстрагированию, помогает отвлечься от сюжетных деталей, от предметов, описанных в тексте задачи [2]. Методика рассматривает несколько методов решения задач ‑ алгебраический, арифметический, графический, практический, метод предположения, метод перебора. Они могут применяться как при решении стандартных задач, так и нестандартных. Алгебраический метод решения задач развивает теоретическое мышление, способность к обобщению, формирует абстрактное мышление и обладает такими преимуществами, как краткость записи и рассуждений при составлении уравнений, экономит время. Арифметический метод решения также требует большого умственного напряжения, что положительно сказывается на развитии умственных способностей, математической интуиции, на формировании умения предвидеть реальную жизненную ситуацию. Часто встречаются задачи, которые можно решить методом перебора. При этом ученик как бы экспериментирует, наблюдает, сопоставляет факты и на основании частных выводов делает те или иные общие заключения. В процессе этих наблюдений обогащается его реально-практический опыт. Именно в этом и состоит практическая ценность задач на перебор. При этом слово "перебор" используется в смысле разбора всех возможных случаев, которые удовлетворяют условие задачи, показав, что других решений быть не может. Встречаются задачи, в которых алгебраический или арифметический метод недостаточно эффективен. В этом случае при поиске решения используется метод предположения. В математике нет каких-либо общих правил, позволяющих решить любую нестандартную задачу, т.к. такие задачи в какой-то степени неповторимы. Нестандартная задача в большинстве случаев воспринимается как вызов интеллекту и порождает потребность реализовать себя в преодолении препятствия [10]. Глава 2. МЕТОДИКА РЕШЕНИЯ НЕСТАНДАРТНЫХ ЗАДАЧ В СТАРШИХ КЛАССАХ 2.1 Особенности решения текстовых задачС термином «задача» люди постоянно сталкиваются в повседневной жизни как на бытовом, так и на профессиональном уровне. Каждому из нас приходится решать те или иные проблемы, которые зачастую мы называем задачами. Это могут быть общегосударственные задачи (освоение космоса, воспитание подрастающего поколения, оборона страны и т.п.), задачи определенных коллективов и групп (сооружение объектов, выпуск литературы, установление связей и зависимостей и др.), а также задачи, которые стоят перед отдельными личностями. Проблема решения и чисто математических задач, и задач, возникающих перед человеком в процессе его производственной или бытовой деятельности, изучается издавна, однако до настоящего времени нет общепринятой трактовки самого понятия «задача». В широком смысле слова под задачей понимается некоторая ситуация, требующая исследования и разрешения человеком (или решающей системой). Отдельно стоят математические задачи, решение которых достигается специальными математическими средствами и методами. Среди них выделяют задачи научные (например, теорема Ферма, проблема Гольбаха и др.), решение которых способствует развитию математики и ее приложений, и задачи учебные, которые служат для формирования необходимых математических знаний, умений и навыков у разных групп обучаемых (школьников, слушателей курсов, студентов и др.) и направлены на изменение качеств личности обучаемого (не знал – знаю, не умел – умею и т.п.). Учебные математические задачи различаются по характеру их объектов. В одних задачах все объекты математические (числа, геометрические фигуры, функции и т.п.), в других объектами являются реальные предметы (люди, животные, автотранспортные и механические средства, сплавы, жидкости и т.д.) или их свойства и характеристики (количество, возраст, скорость, производительность, длина, масса и т.п.). Задачи, все объекты которых математические (доказательства теорем, вычислительные упражнения, установление признаков изучаемого математического понятия и т.д.), часто называют математическими заданиями. Математические задачи, в которых есть хотя бы один объект, являющийся реальным предметом, принято называть текстовыми (сюжетными, практическими, арифметическими и т.д.). Перечисленные названия берут начало от способа записи (задача представлена в виде текста), сюжета (описываются реальные объекты, явления, события), характера математических выкладок (устанавливаются количественные отношения между значениями некоторых величин, связанные чаще всего с вычислениями). В последнее время наиболее распространенным является термин «текстовая задача». Текстовой задачей будем называть описание некоторой ситуации (явления, процесса) на естественном и (или) математическом языке с требованием либо дать количественную характеристику какого-то компонента этой ситуации (определить числовое значение некоторой величины по известным числовым значениям других величин и зависимостям между ними), либо установить наличие или отсутствие некоторого отношения между ее компонентами или определить вид этого отношения, либо найти последовательность требуемых действий. Придерживаясь современной терминологии, можно сказать, что текстовая задача представляет собой словесную модель ситуации, явления, события, процесса и т.п. Как в любой модели, в текстовой задаче описывается не все событие или явление, а лишь его количественные и функциональные характеристики. Основная особенность текстовых задач состоит в том, что в них не указывается прямо, какое именно действие (или действия) должно быть выполнено для получения ответа на требование задачи. В каждой задаче можно выделить: а) числовые значения величин, которые называются данными, или известными (их должно быть не меньше двух); б) некоторую систему функциональных зависимостей в неявной форме, взаимно связывающих искомое с данными и данные между собой (словесный материал, указывающий на характер связей между данными и искомыми); в) требование или вопрос, на который надо найти ответ. Числовые значения величин и существующие между ними зависимости, т.е. количественные и качественные характеристики объектов задачи и отношений между ними, называют условием (или условиями) задачи. В задаче обычно не одно, а несколько условий, которые называют элементарными. Требования могут быть сформулированы как в вопросительной, так и в повествовательной форме, их также может быть несколько. Величину, значения которой требуется найти, называют искомой величиной, а числовые значения искомых величин – искомыми, или неизвестными. Систему взаимосвязанных условий и требований называют высказывательной моделью задачи. Для того чтобы уяснить структуру задачи, надо выявить ее условия и требования, т.е. построить высказывательную модель задачи [10,19,20]. 1. Из пункта А одновременно стартуют три бегуна и одновременно финишируют в том же пункте, пробежав по маршруту, состоящему из прямолинейных отрезков АВ, ВС, СА, образующих треугольник АВС. На каждом из указанных отрезков скорости у бегунов постоянны и равны: у первого – 10 км / ч, 16 км / ч и 14 км / ч соответственно; у второго – 12 км / ч, 10 км / ч и 16 км / ч соответственно. Третий бегун в пунктах В и С оказывается не один и меняет скорость на маршруте один раз. Установить, является ли треугольник АВС остроугольным или тупоугольным. Решение . Обозначим стороны треугольника: 1) 10, 10, 16; 3) 12, 12, 14; 2) 10, 16, 16; 4) 12, 14, 14; Первый вариант отпадает сразу, так как в этом случае третий бегун отстанет от второго. По аналогичной причине отпадает второй вариант (третий бегун обгонит первого). Остаются два варианта. Соответственно имеем две системы (уравнения составляются на основании условия равенства времени, затрачиваемого на маршрут бегунами):
Для каждой системы легко выразить Ответ. Треугольник тупоугольный (тупым является угол АСВ ). 2. Вася и Петя победили между собой 39 орехов. Число орехов, доставшихся любому из них, меньше удвоенного числа орехов, доставшихся другому. Квадрат трети числа орехов, доставшихся Пете, меньше числа орехов, доставшихся Васе. Сколько орехов у каждого? Решение. Если мы обозначим через x и y количество орехов, доставшихся соответственно Васе и Пете, то без труда составим систему из одного уравнения и трех неравенств:
Сложность задачи в третьей части – в решении системы. При этом мы должны помнить, что x
и y
–
целые положительные числа. Из уравнения найдем
Из первых двух неравенств найдем Ответ. 25 и 14 орехов. 3. Пункт А находится на берегу реки, ширина которой 400 м, скорость течения 3 км / ч. Пункт В расположен ниже по течению в 4 км от А (если В1 – проекция В на берег, на котором расположен А, то АВ1 =4 км), на расстоянии 2 км 680 м от противоположного берега (А и В – по разные стороны реки). Турист выехал из А на лодке, пересек реку, оставил на берегу лодку, дошел до В и вернулся тем же путем. На всех участках, по реке и по суше, он двигался прямолинейно. Скорость лодки в стоячей воде 5 км / ч, скорость передвижения туриста пешком 3,2 км / ч. За какое наименьшее время мог проделать свое путешествие турист? Решение. Пусть турист приплыл в точку С на противоположном берегу. Причем СD = x, где в – пункт, противоположный А (рис. 1,а ) ( АD перпендикулярен берегам ). Если время на прохождение участка АС равно t 1 , то на участке C D можно найти такую точку С 1 , что AC 1 = 5t 1 , C 1 C = 3t 1 . Это означает, что вектор если бы не было течения, и Рис. 1 а) Записав для треугольника AC1 D теорему Пифагора, получим
или
Аналогично, если t2
– время на пути от C
до A
, определив точку С
2
ниже С
так, что
Поскольку t 1 и t 2 – положительные корни соответственно уравнений (1) и (2), то
есть время передвижения на лодке. Время движения по суше равно
Таким образом, время, затраченное на путешествие, будет:
Рис. 1 б) Рассмотрим два прямоугольных треугольника PNM и KLP : катеты одного x и 0,32, другого 4-x и 2,68, расположенных, как показано на рисунке 1,б . Тогда
Длина ломанной KPM будет минимальной, если точка P лежит на отрезке KM
. Но Таким образом, минимальное время будет:
Ответ
. Наименьшее время, за которое турист мог проделать свое путешествие 2.2 Методика решения уравнений и неравенствУравнения и неравенства ‑ традиционная тема школьного курса математики, занимающая большое место, начиная с младших классов, где простейшие уравнения и неравенства до введения теории на основе свойств арифметических действий, и кончая старшими классами, где решаются трансцендентные уравнения. Уравнения и неравенства представляют собой тот алгебраический аппарат, тот язык, на который переводятся разного рода задачи, в том числе и прикладные, строятся их математические модели. Использование монотонности функций при решении уравнений и неравенств. Одну из наиболее часто встречающихся идей хорошо иллюстрирует решение следующего простого неравенства: 1. Решить неравенство:
Решение. Есть два стандартных пути решения: возведение в квадрат (при условии Рассмотрим еще один способ – нестандартный. Функция, расположенная в левой части, монотонно возрастает, в первой части убывает. Из очевидных графических соображений следует, что уравнение Ответ
. 2. Решить уравнение: Решение. Данное уравнение имеет очевидное решение x
= 1. Докажем, что других решений нет. Поделим обе части на Ответ . x = 1. Итак, основная идея, на которой основывались решения этих двух примеров, весьма проста: если f( x) монотонно возрастает, а φ(x) монотонно убывает, то уравнение f( x) = φ( x) имеет не более одного решения, причем если x = x 0 – решение этого уравнения, то при x > x 0 (x входит в область определения обеих функций f( x) и φ( x) ) будет f( x) > φ( x) , а при x < x 0 будет f( x) < φ( x) . Стоит обратить внимание на одну модификацию этой идеи, а именно: если f( x) – монотонная функция, то из равенства f( x) = f( y) следует, что x = y [8]. 3. Решить уравнение: Решение. Преобразуем уравнение:
Рассмотрим функцию Докажем, что при t > 1
эта функция монотонно убывает. Это можно сделать, например, стандартным образом: найти производную
и доказать, что при t > 1
Получившаяся функция, очевидно, является убывающей (основание растет, под знаком логарифма функция убывает). Наше уравнение имеет вид: Ответ . x = 4 [13]. Уравнения вида f( f ( x) ) = x . При решении уравнений указанного вида полезна бывает теорема: Если y = f(x) – монотонно возрастающая функция, то уравнения f( x) = x (А) и f ( f ( x)) = x (Б) эквивалентны . Доказательство. То, что уравнение (Б) является следствием уравнения (А), очевидно: любой корень (А) удовлетворяет (Б). (Если f ( x 0 ) = x 0 , то f ( f ( x 0 )) = f ( x 0 ) = x 0 .). Докажем, что любой корень уравнения (Б) удовлетворяет уравнению (А). Пусть x 0 такое, что f ( f ( x 0 )) = x 0 .Предположим, что f ( x 0 ) ≠ x 0 и для определенности f ( x 0 ) > x 0 . Тогда f ( f ( x 0 )) > f ( x 0 ) > x 0 , что противоречит предположению ( f ( f ( x 0 )) = x 0 ). Теорема доказана. Верна ли теорема для монотонно убывающей функции? Замечание.
Если y =
f (
x)
монотонно возрастает, то при любом k
уравнения Приведем несколько примеров использования этой теоремы [22]. 1. Решить уравнение: Решени е. Перепишем уравнение f (
f (
x)) =
x.
В соответствии с теоремой заменяем его на эквивалентное уравнение f (
x) =
x
или Ответ. 2. Решить уравнение:
Решение. Преобразуем уравнение: Данное уравнение имеет вид: f (
f (
x)) =
x,
где Согласно теореме имеем эквивалентное уравнение:
Ответ. 3. Решить систему уравнений
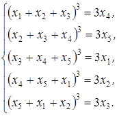
: Решение. Рассмотрим функцию
Система имеет вид y = f ( x), z = f ( y), x = f ( z), т.е. x = f ( f ( f ( x))). Согласно теореме x
удовлетворяет уравнению f (
x) =
x
или
Ответ. (0, 0, 0), (-1, -1, -1). Использование экстремальных свойств рассматриваемых функций. Оценки. Основные идеи этого пункта достаточно хорошо видны из примеров: 1. Решить уравнение: Решение. Левая часть данного уравнения не превосходит 2, а правая- не меньше 2. Следовательно, равенство может иметь место лишь при условии, что левая и правая части равны 2, т.е. x = 0. Замечание.
Данная ситуация, когда наименьшее значение функции, расположенной в одной части уравнения, равно наибольшему значению функции, расположенной в другой части, может быть обобщена. Более общий случай – уравнения вида f (
x) =
φ (
x)
, для которых f ( x) = φ ( x) = 0, в результате приходим к уже рассмотренной ситуации, поскольку наибольшее значение правой части равно нулю). 2. Решить уравнение: Докажем, что данное уравнение не имеет решений. Перейдем к следствию (потенцируем): Оценим левую часть на основании неравенства между средним геометрическим и средним арифметическим
т.е. левая часть меньше правой. Уравнение не имеет решений. Ответ. Нет решения. 3. Решить систему уравнений: Решение. Докажем, что Пусть для определенности x
5
> x
4
, тогда из первых двух уравнений получим Значит, Ответ.
(0, 0, 0, 0,0); Нестандартные по формулировке задачи, связанные с уравнениями или неравенствами. К данной категории, в частности, относятся задачи, в которых требуется определить число корней заданного уравнения, доказать существование корня на определенном промежутке, решить уравнение или неравенство на заданном промежутке. Рассмотрим несколько примеров. 1. Доказать, что уравнение Решение. Единственность положительного решения достаточно очевидна. Это следует из того, что Докажем единственность отрицательного корня. Можно поступить следующим образом. Рассмотрим функции
Докажем, что если Имеем
Значит, Утверждение доказано. 2. Найти все целые значения x, удовлетворяющие неравенству
Решение. Область определения левой части неравенства Если Если Если Ответ. 1; 2. 3. Найти все целые x, удовлетворяющие неравенству
Решение. Рассмотрим функцию Докажем, что, начиная с некоторого x , f ( x) возрастает. Это можно было сделать обычным путем, оценивая производную. Мы сделаем иначе. Нам достаточно доказать возрастание функции для целых x , т.е. что
Имеем
Последнее неравенство выполняется при Нам осталось найти наибольшее целое, для которого Докажем, что
Ответ. -1, 0, 1, 2 [22]. Тригонометрические уравнения. К нестандартным следует отнести также уравнения, содержащие обратные тригонометрические функции. 1. Решить уравнение:
Решение. По определению обратных тригонометрических функций
Эта задача сводится к следующей: «Найти cos
α
, если
Поскольку cos
α
>0
, то Получаем уравнение
Второе значение для x
не подходит, поскольку Ответ. Замечание.
Данное уравнение можно решить и иначе. Обозначим левую и правую части данного уравнения через y
.
Тогда
По смыслу задачи
Не так уж редко встречаются уравнения, решение которых основывается на ограниченности функций cos x и sin x . 2. Решить уравнение:
Решение. Поскольку превосходит 3 и равна 3, если Для нахождения значений x , удовлетворяющих обоим уравнениям, поступим следующим образом. Решим одно из них. Затем среди найденных значений отберем те, которые удовлетворяют и другому. Начнем со второго: Тогда Понятно, что лишь для четных k
будет Ответ. 4.
Найти в градусах корень уравнения: Решение. Уравнение является однородным второго порядка. Разделив обе части на
По условию Из уравнения Ответ. Тригонометрические неравенства.
Тригонометрическими неравенствами называются неравенства вида 1. Решить неравенство: Решение. Здесь должно выполняться условие
Так как
или Ответ. 2. Решить неравенство: Решение. Преобразуем левую часть равенства:
Остается решить неравенство
или Ответ. 3. Решить неравенство: Решение. Последовательно преобразуя левую часть неравенства, получим
Итак, имеем неравенство
устанавливаем, что
Ответ. 2.3 Особенности решения задач с параметрами Общеизвестно, что на вступительных экзаменах в вузы часто встречаются задачи, которым в «традиционном» школьном курсе в силу различных причин уделяется мало внимания. Одним из видов таких упражнений являются задачи, содержащие параметры. В школьных учебниках практически нет заданий на эту тему. Однако овладение методикой их решения мне кажется очень полезным: оно существенно повышает уровень логической подготовки учащихся, позволяет чуть по-новому, как бы изнутри взглянуть на такие «банальные» функциональные зависимости, подробно анализируемые школьной программой, как, к примеру, линейные и квадратные многочлены. Уравнения и неравенства с параметрами. В подобного рода задачах встречаются два вида символов: неизвестные или переменные (обычно обозначаются буквами x , y , z ,… ) и параметры (a , b , c ,… ). Конечно разница между ними весьма условна, в известной степени можно сказать, что параметр – это переменная, значение которой считается фиксированным, и каждое значение параметра определяет относительно заданного неизвестного соответствующее уравнение (неравенство, систему). Иными словами, уравнение с параметром является фактически семейством уравнений, рассматриваемых при фиксированном значении параметра. Введение параметра способствовало появлению качественно новых типов задач, вдохнуло, если так можно выразиться, новую жизнь в такие традиционные виды задач, как решение уравнений и неравенств. 1. Решить уравнение: Решение. Возводим обе части в квадрат (условие
Еще раз возводим в квадрат (условие
среди решений, которого надо найти те, для которых
Найдем дискриминант:
Теперь левая часть уравнения раскладывается на множители
Наше уравнение распадается на два:
каждое из которых надо решить при условии, что Начнем с уравнения Перейдем ко второму уравнению Ответ.
Если если при остальных 2. При каких значениях параметра а уравнение Решение. Это уравнение – квадратное, его дискриминант
Сумма корней уравнения равна Ответ. 3. При каких значениях параметра Решение. Так как по условию задачи рассматриваемое уравнение – квадратное, то
Так как по условию корни должны быть одинаковых знаков, то
Решением последнего неравенства является
С учетом условий Ответ. 4. Для каждого неотрицательного значения параметра Решение. Левая часть неравенства представляет собой многочлен как относительно
Левая часть представляет собой квадратный трехчлен относительно
Раскрывая левую часть неравенства на множители, получим
или
Второй множитель положителен при всех Ответ.
Если если если 5. Найти все значения параметра Решение. Обозначим Функция от Если Значит, Ответ. 6. Найти все значения Решение. Нам надо найти все Ответ. Графические методы решения задач с параметрами. Задачи с параметрами требуют к себе своеобразного подхода по сравнению с остальными – здесь необходимо грамотное и тщательное исследование. Для применения графических методов требуется умение выполнять построение различных графиков, вести графическое исследование, соответствующее данным значениям параметра. 1. При каких значениях параметра Решение. Рассмотрим функцию Графиком такой функции является ломанная из трех звеньев. Найдем точки излома: 1) 2) Так как С геометрической точки зрения количество решений уравнения
По рис. 4 видно, что уравнение
Так как
Объединением полученных интервалов будет интервал Ответ.
Уравнение имеет два решения при 2. При любом значении параметра
Решение. Рассмотрим плоскость Последнему неравенству соответствует область под параболой Внутри полосы
Например, если Ответ.
Если если если если если если если 2.4 Педагогический эксперимент и анализ результатовС целью практического обоснования выводов, полученных в ходе наблюдения за деятельностью учащихся 10 «А» и 10 «Б» классов был проведен частичный психолого-педагогический эксперимент в МОУ СОШ №3 г. Ставрополя. Работа предусматривала несколько этапов. На первом этапе проводился констатирующий эксперимент, направленный на выяснение уровня сформированности методов научного познания у учащихся. На следующем этапе была проведена серия экспериментальных занятий, направленных на формирование у учащихся основ методов научного познания. Заключительный этап исследования проводился теми же методами, что и первый. Затем следовало подведение итогов опытно-экспериментальной работы. Рассмотрим подробнее каждый из этапов. 2.4.1 Констатирующий этап эксперимента В опытно-экспериментальной работе участвовали два класса 10 «А» ‑ контрольный класс, 10 «Б» ‑ экспериментальный класс. В контрольном классе участвовало 18 человек и в контрольном такое же число, таким образом, участвовало 36 человек. В рамках данного этапа были использованы следующие методы: • невключенные наблюдения; • тестирование; • метод математической и статистической обработки данных. На данном этапе эксперимента были опробирваны задания. Цель их состояла в выявлении уровня общей сформированности методов научного познания. На этом этапе принимало участие два класса. Ход эксперимента 1. На какие числа без остатка делятся данные числа 237237, 312312, 568568, 749749? а) 7, 11, 13, 1001 б) 5, 11, 17, 101 в) 3, 9, 17, 1001 2. Три синих попугая капитана Флинта съедают 3 кг корма за три дня, пять зеленых попугаев – 5 кг корма за 5 дней, а семь оранжевых – 7 кг корма за 7 дней. Какие попугаи самые прожорливые? а) синие б) зеленые в) оранжевые г) все одинаковы д) невозможно определить 3. Выражение 1 + 2 – 3 – 4 + 5 + 6 – 7 – 8 + … ‑ 60 равно а) – 60 б) – 30 в) 0 г) 36 д) 60 4. Известно, что а) 3 б) в) г) 18 д) 27 5. Напротив клетки попугая висят часы. Он беспрерывно говорит по-испански, когда угол между стрелками часов острый, по-португальски, когда этот угол тупой, и молчит лишь тогда, когда этот угол прямой. Что он делал дольше в течение суток? а) говорил по-испански б) говорил по-португальски в) молчал г) ответ зависит от момента начала наблюдения д) по-испански он говорил столько же, сколько по-португальски Проанализировав работы, мы получили диаграмму.
1 – полностью верно 2 – частично верно 3 – неверно 4 – не приступили к выполнению задания Как видно из диаграммы на данном этапе работы нет существенных отличий экспериментального и контрольного классов. По полученным данным можно судить, что сформированность методов научного познания находится на уровне ближе к среднему. 2.4.2 Поисковый этап исследования На данном этапе осуществлялся подбор заданий для работы с учащимися для получения результатов исследования. С этой целью была проанализирована научная литература по проблеме исследования, отобраны, систематизированы и дополнены задания, упражнения, игры, которые бы помогли освоить методы научного познания учащимся. 2.4.3 Формирующий этап эксперимента Эксперимент длился с января по март 2004 года. В течение этого времени экспериментальный класс в ходе учебно-воспитательного процесса получал дополнительные задания на уроках математики. Цель этого этапа заключалась в проверке эффективности подобранной системы заданий в реальной практике. Второй срез был проведен в конце формирующего этапа эксперимента. Целью этого среза было выявление уровня эффективности проводимой опытно-экспериментальной работы. Предложенные задания были повышенной трудности по сравнению с первым срезом. Ход эксперимента 1. Уравнение а) 3 положительных решения б) 1 положительное и 2 отрицательных решения в) 1 положительное решение и 0 отрицательных г) 1 положительное и 1 отрицательное решение 2. Автомат делит четное число пополам, а нечетное увеличивает на 5. Известно, что за 3 шага автомат получил из нечетного числа n число 35. Какова сумма цифр числа n ? а) 8 б) 9 в) 10 г) 12 д) 15 3. Когда идет дождь, кошка сидит в комнате или в подвале. Когда кошка в комнате, мышка сидит в норке, а сыр лежит в холодильнике. Если сыр на столе, а кошка – в подвале, то мышка – в комнате. Сейчас идет дождь, а сыр лежит на столе. Тогда обязательно а) кошка в комнате б) кошка в норке в) кошка в комнате или мышка в норке г) кошка в подвале, а мышка в комнате д) такая ситуация невозможна 4. График функции
Тогда c равно: а) 0 б) 1 в) 0,5 г) – 1 5. Отношение углов треугольника равно 1 : 5 : 6. Длина наибольшей стороны – 6 см. Какова длина высоты, опущенной на наибольшую сторону? а) 1 см б) 1,5 см в) 2 см г) 2,5 см д) 3 см После анализа работ были получены следующие показатели, которые отображены в диаграмме.
1 – полностью верно 2 – частично верно 3 – неверно 4 – не приступили к выполнению задания Из диаграммы видно, что в экспериментальном классе значительно больше учащихся полностью верно выполняют предложенные задания, нет учащихся, которые бы вообще не приступали к выполнению заданий. Результаты каждого класса позволяют сделать вывод, что уровень знаний увеличился в рамках собственного класса. Из анализа результата можно сказать, что гипотеза подтвердилась, решение задач повышенной трудности будет способствовать развитию всех познавательных процессов школьников, а также математической интуиции и творческого подхода к решению самых разнообразных задач. ЗАКЛЮЧЕНИЕ Решение задачи крайне сложный процесс, при описании которого невозможно исчерпать все многообразие его сторон. Дать учащимся правила, позволяющие решить любую нестандартную задачу, невозможно, ибо нестандартные задачи в какой-то степени неповторимы, а универсального метода, позволяющего решить любую задачу, к сожалению, нет. Даже строгое выполнение всех указаний и следование советам учителя не сможет творческий процесс отыскания решений нестандартных задач уложить в определенные схемы. Задачи повышенной трудности служат переходным мостом от классной работы к внеклассной, служат хорошим материалом для выявления наиболее способных к математике учащихся, для дополнительных заданий, как в школе, так и дома. Последовательное осуществление органической связи между повседневной учебной работой на уроках и внеклассной работой с помощью задач повышенной трудности позволит учителю добиться больших успехов в развитии математических способностей отдельных учащихся и всего класса в целом. СПИСОК ЛИТЕРАТУРЫ 1. Алексеев В., Бородин П., Галкин В., Панферов В., Сергеев И., Тарасов В. Разные стандартные и нестандартные задачи // Математика, 2002. ‑ №36. – С. 24-27. 2. Генкин Г.З., Глейзер Л.П. Преподавание в классе с углубленным изучением математики // Математика в школе, 1991. ‑ №1. – С. 20-22. 3. Евсеева А.И. Уравнения с параметрами // Математика, 1998. ‑ №2. – С. 10-14. 4. Епифанова Т.Н. Графические методы решения задач с параметрами // Математика, 1998. ‑ №2. – С. 17-23. 5. Ефремов В.П., Ефремова Л.И. Нестандартные задачи на уроках и после // Математика, 2003. ‑ №7. – С. 56-58. 6. Задачи письменного экзамена по математике за курс ср. школы: условия и решения. Вып I / Д.И.Аверьянов и др. – М.: «Школа – Пресс», 1993. – 128 с. 7. Задачи повышенной трудности по алгебре и началам анализа: Учеб.пособие для 10-11 классов сред.шк. / Б.М.Ивлев и др. – М.: Просвещение, 1993. – 46 с. 8. Кожухова С.А., Кожухов С.К. Свойства функций в задачах с параметром // Математика, 1998. ‑ №2. – С. 14-17. 9. Кордемский Б.А. Очерки о математических задачах на смекалку. Пособие для учителей. – М.: Учпедгиз, 1958. – 116 с. 10. Кострикина Н.П. Задачи повышенной трудности в курсе алгебры 7-9 классов: Кн. для учителя. – М.: Просвещение, 1991. – 237 с. 11. Кучугурова Н.Д. Интенсивный курс методики преподавания математики: Учебное пособие. – Ставрополь: Изд-во СГУ, 2001. – 231 с. 12. Методика преподавания математики в средней школе / Общая методика / Сост. Р.С. Черкасов, А.А. Столяр. – М.: Просвещение, 1985. – 336 с. 13. Методическое пособие по математике для поступающих в вузы №1 / Под ред. А.А. Тырымова. – Волгоград: Изд. «Учитель», 1997. – 80 с. 14. Методическое пособие по математике для поступающих в вузы №3 / Под ред. А.А. Тырымова. – Волгоград: Изд. «Учитель», 1997. – 55 с. 15. Рогановский Н.М. Методика преподавания математики в средней школе. – Минск: Высшая школа, 1990. – 267 с. 16. Руководство к решению задач по математике: Справ. пособ. для поступающих в вузы / В.А. Протасеня, Л.А. Залетаева, Г.Т. Пушкина-Варчук, Т.Н. Чуракова; Под общ. ред. В.А. Протасени. – Минск: Высш. шк., 1991. – 350 с. 17. Сборник задач по математике для поступающих в вузы. В 2-х кн. Кн.1. Алгебра: Учеб.пособие / В.К.Егорьев, В.В.Зайцев, Б.А. Кордемский и др.; под ред. М.И.Сканави. – М.: Высшая школа, 1998. – 528 с. 18. Столяр А.А. Педагогика математики: Учебное пособие для физико-математических факультетов пед. ин-ов. – Минск.: Высшая школа, 1986. – 414 с. 19. Фридман Л.М. Теоретические основы методики обучения математике: Пособие для учителей, методистов и педагогических высших учебных заведений. – М.: Флинта, 1998. – 224 с. 20. Фридман Л.М., Турецкий Е.Н. Как научиться решать задачи: Кн. для учащихся ст. классов сред. шк. – М.: Просвещение, 1989. – 191 с. 21. Шарыгин И.Ф., Голубев В.И. Факультативный курс по математике: Решение задач: Учеб.пособие для 10 кл. ср. шк. – М.: Просвещение, 1989. – 350 с. 22. Шарыгин И.Ф., Голубев В.И. Факультативный курс по математике: Решение задач: Учеб.пособие для 11 кл. ср. шк. – М.: Просвещение, 1991. – 383 с. |

Далее учащимся предлагается сначала посчитать, сколько можно построить ломаных с началом в точке А
. Рассуждаем так: из точки А
можно пойти в точку B
или в точку C
или в точку D
. Чтобы ничего не пропустить, сделаем рисунок:


и 
>
. Треугольник тупоугольный. Для второй системы 

.
. Левая часть представляет собой монотонно убывающую функцию. Следовательно, каждое свое значение она принимает один раз, т.е. данное уравнение имеет единственное решение.
.
.
.
.
:
.
при
.
. Далее,
.
, откуда
.
.
.
.
.
.
, где
.
, т.е. 
и
.
[7].
.
, то
‑ точки излома. Заметим, что
.
, то второе неравенство равносильно неравенству
(меньший корень уравнения
.
и
;
;
и
и 
