Дипломная работа: Модернизация основного оборудования блока регенерации растворителя на установке депарафинизации
|
Название: Модернизация основного оборудования блока регенерации растворителя на установке депарафинизации Раздел: Промышленность, производство Тип: дипломная работа | |||||||||||||||||||||||||||||||||||||||||||||||||||||||||||||||||||||||||||||||||||||||||||||||||||||||||||||||||||||||||||||||||||||||||||||||||||||||||||||||||||||||||||||||||||||||||||||||||||||||||||||||||||||||||||||||||||||||||||||||||||||||||||||||||||||||||||||||||||||||||||||||||||||||||||||||||||||||||||||||||||||||||||||||||
Аннотация Дипломный проект посвящен модернизации основного оборудования блока регенерации растворителя на установке депарафинизации масел. Дипломный проект состоит из пояснительной записки и графической части. В пояснительной записке приведены: обзор литературы и производственные данные, технико-экономическое обоснование проекта; устройство и принципы работы проектируемого оборудования, технологический и прочностнойрасчеты; освещены вопросы по экономике и организации производства; безопасности и экономичности проекта; ремонту и монтажу оборудования. В графической части разработаны: технологическая схема установки, сборочный чертеж колонны; сборочный чертеж тарелки, сборочный чертеж теплообменника; чертежи деталей; расположение оборудования; таблица технико-экономических показателей. Пояснительная записка представлена на листах. Графическая часть представлена на листах формата А1. Содержание Введение 1 Характеристика вопроса по литературным и производственным данным. Технико-экономическое обоснование выбора проектных решений. 1.1. Характеристика исходного сырья и готового продукта. 1.2. Обзор существующих методов регенерации растворителя 1.3.Выбор конструкции проектируемых аппаратов 1.4. Технико-экономическое обоснование проекта 2 Описание технологии производства и конструкций разрабатываемого оборудования 2.1.Устройство и принцип работы колонны 2.2.Устройства и принцип работы теплообменника 2.3.Выбор конструкционных материалов. 3. Расчеты технологического оборудования. 3.1.Технологический расчет колонны. 3.2.Технологический расчет теплообменника. 3.3.Прочностной расчет основных элементов оборудования. 3.3.1.Расчет колонны. 3.3.2.Расчет теплообменника. 4.Расчет и выбор стандартизированного вспомогательного оборудования. 4.1.Подбор насоса. 4.2.Подбор емкости. 5. Монтаж оборудования. 5.1.Монтаж колонны. 5.2.Монтаж теплообменника. 6. Ремонт оборудования. 6.1.Годовой график ППР. 6.2.Ремонт колонны. 6.3.Ремонт теплообменника. 7. Технология изготовления фланца. 8. Автоматизация технологического процесса, выбор средств контроля и регулирования параметров 8.1.Описание технологической схемы блока регенерации растворителя. 8.2.Анализ технологического процесса. 8.3.Разработка совмещенной технологической схемы и выбор основных средств контроля и регулирования 9 Безопасность и экологичность проекта. 9.1.Характеристика опасных и вредных производственных факторов. 9.2. Санитарно-гигиенические мероприятия 9.3. Электробезопасность. Защита от статического электричества. Молниезащита. 9.4.Пожарная безопасность. 9.5. Экологичность проекта 9.6. Безопасность в условиях чрезвычайных ситуаций 10. Экономика и организация производства. 10.1. Организационная часть. 10.2. Экономическая часть. Заключение. Список использованной литературы. Приложения. Приложение 1. Опись чертежей. риложение 2. Колонна. Спецификация. Приложение 3. Тарелка. Спецификация. Приложение 4. Теплообменник. Спецификация. Введение До настоящего времени около 90% мирового производства смазочных масел производится на установках депарафинизации. Процесс депарафинизации заключается в удалении из масел высокозастывающих твердых углеводородов – парафинов, с целью получения масел с достаточно низкими температурами застывания. Депарафинированные масла должны обладать свойствами подвижности (или текучести) при температуре из применения. Свойства подвижности необходимо для применения масел при низких температурах в зимних условиях, для облегчения процесса запуска двигателей, для уменьшения износа трущихся поверхностей деталей двигателей, для возможности обеспечения нормальной циркуляции в аппарате с целью отвода тепла, выделяемого его рабочими узлами. В процессе депарафинизации получают средневязкое, вязкое, высоковязкое, остаточно депарафинированные масла и соответственно выделяются нежелательные компоненты масел в виде гача. Установка депарафинизации состоит из следующих блоков : 1) отделение кристаллизации – для захолаживания масел; 2) отделение регенерации – предназначено для регенерации растворителя (ацетона) из воды и масел; 3) фильтровальное отделение – для отделения твердых углеводородов; 4) холодильного отделения. Целью дипломного проекта является повышение производительности блока регенерации растворителя установки 39/2, а также решения вопросов монтажа и ремонта оборудования, безопасности и экологичности проекта, экономики и организации производства. 1 . Описание принципиальной технологической схемы блока регенерации растворителя 1.1. Характеристика исходного сырья и готового продукта В качестве исходного сырья блока регенерации используется обводненный ацетон. В таблице № 1.1.приведены характеристики исходного сырья и готового продукта. Характеристики исходного сырья таблица № 1.1.
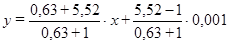
Ацетон – целевой продукт блока обезвоживания растворителя, представляет собой простейший кетон, бесцветная, легко подвижная жидкость с характерным запахом. Продукт – ацетон должен отвечать требованиям по ГОСТ 2868-89 по следующим показателям : а) молекулярный вес – 58,08; б) плотность при 20˚С, г/см³ - 0,7908; в) температура кипения при атмосферном давлении, ˚С – 56,2 1.2. Обзор существующих методов регенерации растворителя В настоящее время подавляющее большинство смазочных масел производится на установках депарафинизации. Процесс депарафинизации заключается в удалении из масел высокозастывающих твердых углеводородов – парафинов, путем его захолаживания и фильтрации через барабанные вакуум-фильтры. Для того, чтобы вязкость масла перед процессом фильтрации уменьшилась, его разбавляют растворителями. Наиболее широкое применение получили такие растворители как ацетон, МЭК. В процессе производства растворитель насыщается водой и к дальнейшему использованию не пригоден, то есть необходимо разделение смеси растворитель-вода. Для разделения любой исходной смеси на две части применяется схема полной ректификационной колонны. В таком аппарате сырье подается в середину колонны, дистиллят обогащенный низкокипящими компонентами отбирается сверху, а остаток обогащенный высококипящими компонентами – снизу колонны. Для создания жидкостного орошения колонна имеет конденсатор вверху и кипятильник внизу. Для выделения небольшого количества высококипящих или легколетучих компонентов или фракций применяют неполные ректификационные колонны, укрепляющие и отгонные. В укрепляющую колонну сырье подается в паровой фазе под нижнюю тарелку колонны. В полных ректификационных колоннах наряду с подогревателем или вместо его подается водяной пар. В нашем случае, необходимо полное разделение исходной смеси, поэтому выбираем схему полной ректификационной колонны. 1.3. Выбор конструкции проектируемых аппаратов Выбор конструкции колонны Выбор проектируемой колонны проводим на основе опыта эксплуатации аналогичных ректификационных колонн [4]. Для удаления воды из растворителя применяются почтиисключительно аппараты колонного типа. Основной задачей при проектировании является оптимальный выбор контактных устройств, которые подразделяются на два основных вида : - тарельчатые контактные устройства ( колпачковые, клапанные, ситчатые и т.д.); - насадочные компактные устройства (насыпная насадка, регулярная насадка, вакуумная насадка и т.д.). При выборе конструкции рабочих элементов колонных аппаратов необходимо считаться с такими факторами как гидравлическое сопротивление, диапазон изменения расходов по жидкой и газовой фазе, при котором аппарат работает устойчиво, простота конструкции и надежность эксплуатации. На основании технико-экологических показателей и данных заводских испытаний для данного процесса регенерации растворителя наиболее эффективными являются колпачковые тарелки. Поэтому в качестве элемента новизны при модернизации ректификационной колонны вносим замену устаревших S-образных тарелок на колпачковые тарелки. В связи с этим получаем увеличение производительности на 20%, увеличивается степень разделения смеси. Выбор теплообменника. Теплообменные аппараты предназначены для проведения процессов теплообмена при необходимости нагревания или охлаждения технологической среды с целью ее обработки или утилизации теплоты. Теплообменные аппараты можно классифицировать по следующим признакам: - по конструкции аппараты, изготовленные из труб кожухотрубчатые,«труба в трубе», оросительные, погруженные змеевиковые, воздушного охлаждения); аппараты, поверхность теплообмена которых изготовлена из листового материала с поверхностью теплообмена, изготовленной из неметаллических материалов; - по назначению – холодильники, подогреватели, испарители, конденсаторы ; - по направлению движения теплоносителей прямоточные, противоточные, перекрестного тока и др. Теплообменники типа «труба в трубе» и змеевиковые стальные в общем объеме теплообменной аппаратуры составляют около 8%, а оросительныеоколо 2%. Доля спиральных и пластинчатых теплообменников и АВО пока не велика. Наиболее большое распространение получили кожухотрубчатыетеплообменники. Они бывают следующих видов : - теплообменники с неподвижными трубными решетками (тип Н). В кожухе размещен трубный пучок, теплообменные трубы которого развальцованы в трубных решетках. Трубная решетка жесткосоединена с кожухом. С торцов кожух аппарата закрыт распределительными камерами. Кожух и камеры соединены фланцами. Особенностью этих аппаратов является то, что трубы жестко соединены с трубными решетками, а решетки приварены к корпусу (кожуху). В связи с этим исключена возможность взаимных перемещений труб и кожуха. Теплообменники типа Н отличаются простым устройством и сравнительно дешевы, однако им присущи два крупных недостатка во-первых, наружная поверхность труб не может быть очищена от загрязнения механическим способом; во-вторых, область применения теплообменных аппаратов типа Н ограничена возникновением в кожухе и трубах аппарата так называемых температурных напряжений. По этой причине теплообменники типа Н используют при небольшой разноститемператур (менее 30˚С) кожуха и труб, при этом возможна так называемая самокомпенсацияконструкции. - теплообменники с U-образными трубами. В кожухотрубчатых аппаратах этой конструкции обеспечивается свободное удлинение труб, что исключает возможность возникновения температурных напряжений. В аппаратах типа U обеспечивается свободное температурное удлинение труб: каждая труба может увеличиваться в длину независимо от кожуха и соседних труб. Разность температуры стенок труб по ходамв этих аппаратах не должна превышать 100˚С. Преимущество конструкции аппарата типа U – возможность периодического извлечения трубного пучка для чистки наружной поверхности труб или полной замене пучка. Однако следует отметить, что внутренняя поверхность труб в этих аппаратах неудобна для механической очистки. Поскольку механическая обработка (очистка) внутренней поверхности труб в аппаратах типа Uпрактически невозможна, в трубное пространство таких аппаратов следует направлять среду, не образующую отложений, которые требуют механической очистки. Один из распространенных дефектов теплообменника типа U- нарушение герметичности узла соединения труб с трубной решеткой из-за весьма значительных изгибающих напряжений, возникающих от массы труб и протекающих в них средах. Так же недостатком является относительно плохое заполнениекожуха трубами из-за ограничений, обусловленные изгибом труб, что уменьшает поверхность теплообмена. К существующим недостаткам аппаратов типа U следует отнести невозможность замены труб (за исключением крайних труб) при выходе их из строя, а также сложность размещения труб особенно при большом их числе. - теплообменные аппараты с плавающей головкой (тип П). В теплообменниках с плавающей головкой теплообменные трубы закреплены в двух трубных решетках, одна из которых неподвижно связана с корпусом, а другая имеет возможность свободного осевого перемещения, последнее исключает возможность температурных деформаций кожуха и труб. Выбираем для нагрева исходной смеси теплообменник с U-образными трубками. 1.4 Технико-экономическое обоснование проектируемой установки В предлагаемом дипломном проекте рассматривается установка депарафинизации масел 39/2 существующего производства с использованием растворителей , мощностью по сырью 236600 т. в год. В качестве базового варианта для регенерации растворителя на установке депарафинизации масел был принят блок регенерации. В качестве аппаратурного оформления блока – Колонна К-8, желобчатые тарелки в этой колонне морально и физически устарели. В данном проекте вместо существующих желобчатых предлагается установить колпачковые тарелки, с более высоким КПД и повышенной производительностью в 1,2 раза выше прежних (желобчатых). Кроме того, с переходом на 2 годичный цикл работы оборудования, увеличивается количество рабочих дней. Предлагаемый проект не требует перестройки зданий, увеличения количества работающих. Анализ себестоимости продукции по двум вариантам до и после показывает на снижение себестоимости продукции, увеличения рентабельности, улучшении технико – экономических показателей(см. таблицу 10.17), за счёт увеличения выхода конечного продукта с 175712 т/год до 183396т/год(на 7,7 тыс.т/год). Определим ориентировочным экономическим расчётом срок окупаемости предлагаемых капитальных вложений, Ток , лет, по формуле:
где
Срок окупаемости в течении 1 года. Приведённые показатели свидетельствуют о целесообразности предлагаемого проекта. 2. Выбор конструкции проектируемого аппарата В дипломном проекте были разработаны два аппарата: ректификационная колонна и теплообменник с U-образными трубками. 2.1. Устройство и принцип работы колонны Тарельчатый колонный аппарат (см. чертеж БРР 01.00.000.СБ) состоит из вертикального корпуса, эллиптического днища, крышки и жестко скрепленной с корпусом опорной обечайкицилиндрической формы , в свою очередь состоит из пяти царг. Обводненный растворитель подается на 7-ю тарелку кетоновой колонны К-8. В низ колонны подается острый пар. С верха колонны К-8 пары растворителя со следами воды конденсируются и охлаждаются в конденсаторе – холодильнике Т-17(Т-20). Затем охлажденный конденсат направляется в емкость Е-6 для дальнейшего использования. Вода из нижней части колонны К-8, содержащая следы растворителя, дренируется автоматически в ПЛК.
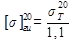
Теплообменник типа U (см. чертеж БРР 02.00.000.CБ) состоит из кожуха и трубного пучка. Трубная решетка соединена фланцевым соединением с кожухом и распределительной камерой. Камера закрыта эллиптической крышкой. При нагревании трубки удлиняются за счет U-образного исполнения. Теплообменник нагрева исходной смесиработает следующим образом : пар через штуцер проступает в трубное пространствотеплообменника, по мере продвижения по трубам пар нагревает исходный раствор который подается в межтрубное пространство. Нагретый исходный раствор выходит из теплообменника и направляется в колонну. 2.3. Выбор конструкционных материалов В качестве конструкционных материалов для изготовления аппаратов выбираем листовой прокат, а для изготовления патрубков – трубный прокат. Основным критерием при выборе конструкционного материала для химической аппаратуры является его химическая и коррозионная стойкость в рабочей среде. Наряду с этим к конструкционным материалам одновременно предъявляются требования высокой механической прочности, жаростойкости, сохранение пластичных свойств при высоких и низких температурах. Необходимо также учитывать физические свойства материалов (теплопроводность, линейное температурное расширение), а также некоторые другие соображения технико-экономического порядка, такие как дефицитность, стоимостьматериала. Также должна обеспечиваться хорошая свариваемость материалов. Среда в колонне – обводненный растворитель (ацетон), температура рабочей среды 100˚С, давление - 0,02 МПа. В теплообменнике – в трубном пространстве пар, в межтрубном обводненный растворитель, которые малоагрессивны. Выбираем материал для изготовления аппаратов в целом [4], – сталь ВСт 3сппо ГОСТ 380-88. Эта сталь хорошо свариваемая, обладает хорошей коррозионной стойкостью в данной среде. Способ сварки для днищ с обечайкой- стыковкой с двухсторонним сплошным проваром, выполненными автоматической сваркой. Материал проволоки Св-08 по ГОСТ 2246-70, марка флюса АН-348 по ГОСТ 9087- 69 . Для сварки патрубков, фланцев к корпусу аппарата выбираем способ сварки , вручную электродуговой сваркой. Тип марки электродов Э 42 по ГОСТ 0467-70. Крепежные детали для фланцевых соединений по ГОСТ 7798-70, гайки по ГОСТ 5915-70. Материал сталь 35. 3. Технологический расчет проектируемого оборудования 3.1 Технологический расчет ректификационной колонны 3.1.1 Целью расчета является составление материального и теплового балансов, определение диаметра и высоты колонны 3.1.2.Исходные данные Исходная смесь – ацетон-вода Производительность по исходной смеси – 1 кг/с Содержание низкокипящего компонента : - в исходной смеси ХF = 40% ; - в дистиллятеХD = 98% ; - в кубовом остатке ХW = 0,005% Схема материальных потоков показана на рис. 3.1. 3.1.3.Материальный баланс ректификационной колонны Расчет ведем согласно [6] GF = GD + GW (3.1) XF GF = XD GD + XW GW Схема материальных потоков показана. ( Рисунок 3.1.) Откуда находим : GW
= GD = GF – GW = 1- 0,6 = 0,4 кг/с 3.1.4Определение числа тарелок Построим кривую равновесия и определим температуры в колонне. На основании справочных данных о температурах кипения [6] , равновесных составах жидкости и пара для смеси ацетон – вода строим кривую температур кипения смеси в координатах t – x,y, и кривую равновесия в координатах x - y(см. рисунок 3.2., 3.3.)
По кривой температур кипения t = f (x) имеем : - температура в кубе колонны tw = 99˚C - температура дистиллята tD = 56˚C - температура кипения исходной смеси tF = 65˚C Определяем минимальное и рабочее флегмовое число. Минимальное флегмовое число определяем по формуле : Rmin
= где Мольная доля легколетучего компонента в исходной смеси определяется по формуле :
где МA = 58 – молекулярная масса ацетона [6], Мв = 18 - молекулярная масса воды. Получим :
Аналогично
Тогда :
Рабочее флегмовоечисло определяем по формуле: R = 1,3∙Rmin + 0,3 (3.4.) R = 1,3∙0,252 + 0,3 = 0,63 Уравнение рабочих линий : а) для верхней (укрепляющей) части :
б) для нижней (исчерпывающей) части :
Относительный мольный расход питания определяем по формуле :
Действительное число тарелок определяем по формуле:
Принимаем действительное число тарелок 3.1.5 Тепловой баланс колонны Расход тепла, отдаваемого охлаждающей воде в дефлегматоре– конденсаторе QD
= GD
(1+R)∙ где rD - удельная теплота конденсации паров в дефлегматоре, Дж/кг. Удельная теплота конденсации паров в дефлегматоре определяем по формуле :
где
QD = 0,4∙(1+0,63)∙626,2∙10³ = 408282,4 Вт Расход тепла, получаемого в кубе - испарителе от греющего пара. Qк = QD
+ GD
∙CD
∙ где Qпот ≈ 0,03∙QК – тепловые потери колонны в окружающую среду. QК =1,03∙(408282,4+0,4∙2346,4∙56+0,6∙4190∙99-1∙3268,2∙65)=497294,76 Вт Расход тепла в паровом подогревателе исходной смеси : Q = 1,05∙GF ∙CF ∙(tF - tпар ) (3.12.) Q = 1,05∙1∙3226,3∙(65-25)=135504,6 Вт Расход тепла, отдаваемого охлаждающей воде в водяном холодильнике дистилляте Q = GW ∙CW ∙(tw -tкон )(3.13.) Q = 0,6∙4190∙(99-25)=186036 Вт Расход греющего пара, имеющего Рабс=0,3 МПа а) в кубе - испарителя
где
в) в подогревателе исходной смеси
Всего 0,24+0,07 = 0,31 кг/с = 1116 кг/ч Расход охлаждающей воды при нагреве ее на 20˚С а) в дефлегматоре
б) в водяном холодильнике дистиллята
в) кубовый остаток (вода) не охлаждается, а сливается в ПЛК. Всего 0,005+0,0004=0,0054 3.1.6 Определение диаметра колонны Диаметр колонны определяется по формуле : D = где V – объемный расход проходящего по колонне пара, м3 /с, ω – скорость пара, Объемный расход проходящего по колонне пара определяется по формуле :
где
Средние концентрации жидкости : а)в верхней части колонны:
б) в нижней части колонны :
Средние концентрации пара находим по уравнениям рабочих линий : а) в верхней части колонны :
б) в нижний части колонны :
Средние температуры пара определяем по диаграмме t- x,y : а) при б) при Средние мольныемассы и плотности пара : а)
б)
ρ
Плотность воды и ацетона в жидком состоянии приблизительно равны. Температура в верху колонны при Плотность жидкого ацетона при 56˚С
Скорость пара определяем по формуле : где С = 0,058 – коэффициент [6]. ω = 0,058 Тогда в = Принимаем в = 0,5 м Определим диаметр штуцеравывода паров по формуле : d = Принимаем диаметр штуцера вывода паров в = 0,05 м 3.1.7 Расчет высоты колонны Высоту колонны определяем по формуле : Н= НС +НК +НТ ,где (3.19) НС = 1000 мм – высота сепарационногопространства [6]. НК = 1700 мм – высота кубовой части НТ - высота тарельчатой части Высоту тарельчатой части определяем по формуле: НТ = (n-1)∙h, (3.20) где h’ = 0,5 м и h” =0,3 –расстояние между тарелками H’ T = (14-1)∙0,3= 3,9м ; H” T = (6-1)∙0,5= 2,5м ; НТ = H’ T + H” T =3,9+2,5=6,4м Тогда Н=6,4+1+1,7=9,5м 3.1.8 Расчет гидравлического сопротивления тарелок Гидравлическое сопротивление тарелок колонны определяется по формуле :
где n = 19 шт – число тарелок в колонне. Полное гидравлическое сопротивление одной тарелки определяется по формуле :
где
Гидравлическое сопротивление сухойтарелки определяется по формуле :
где
Скорость пара в патрубке колпачка определяется по формуле :
Гидравлическое сопротивление газожидкостного слоя на тарелке определяется по формуле : где ho = 0,075м – высота светлогослоя жидкости на тарелке.
Гидравлическое сопротивление, обусловленное силами поверхностного натяжения, определяем по формуле :
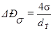
где σ = 39,6 ∙ 10-3 Н\м – поверхностное натяжение жидкости при средней температуре в колонне 77,5˚С. dЭ = 0,07 м – диаметр патрубка колпачка.
Тогда
3.1.9 Расчет брызгоуноса жидкости Расчетная схема приведена на рисунке 3.4 Относительный брызгоунос определяется по формуле:
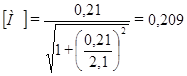
гдеσ =39,6·10-3 Н/м –поверхность натяжения жидкости; ω = 1,36 м/с –скорость пара в рабочем сечении аппарата; h т =0,3 м –расстояние между тарелками; R 1 =23·10-5 –коэффициент [9]; n1 =1,16 –показатель степени [9]; h пн = высота пены на тарелке ; Высота пены определяется по формуле:
R 2 =0,23 –коэффициент [9]; R 3 =4,4·10-2 –коэффициент [9]; R 4 =4,6 –коэффициент [9]; ρ =1,61 кг/м3 –плотность пара; h сл – высота подпора жидкости над сливным порогом; h пор – высота сливного порога на тарелке; Высоту подпора жидкости над сливным порогом определяем по формуле:
где ρж =854,6 кг/м3 – средняя плотность жидкости в колонне; G ж =5040 кг/ч –нагрузка по жидкости; Тогда:
П=0,4м – периметр слива [9]; Тогда:
Высота сливного порога определяется по формуле: h пор = h г.б - h сл+ h пр+ h у ; (3.30.) где h сл – высота глубины барботажа , м ; h пр – высота прорези в колпачке , м ; h у – высота установки колпачка , м ; Высота глубины барботажа определяется по формуле :
где Р=0,12 МПа –абсолютное давление в аппарате; Тогда:
Высота открытия прорези в колпачке определяется по формуле:
где m = 11 – количество колпачков на тарелке ; z = 16 – количество прорезей в колпачке ; в = 0,004 – расчетная ширина прорези ;
Тогда: h пор = 0,049-0,017+0,021+0=0,07 м Тогда:
y =0,035 кг⁄кг ‹ [y ]=0,1 кг⁄кг [9] , следовательно брызгоунос жидкости в пределах нормы . 3.1.10 Расчет переливного устройства Расчет переливного устройства сводится к выполнению условия: а)
где F пер =0,045 м2 – площадь перелива тарелки [9] ; Lm = 5040 кг/кг= 1,4 кг/с – массовый расход жидкости ; ρ ж = 854,6 кг/м3 – средняя плотность жидкости в аппарате ; Hмт =0,3 м – расстояние между тарелками ; R 1 = 0,25 – коэффициент [9]; R 2 = 0,65 – коэффициент [9]; Тогда :
Условие выполняется. б)
где l пер = 0,4 м – периметр слива тарелки ; Q = 0,035 м – зазор между основанием тарелки и нижней крышкой сливного стакана.
Условие выполняется. Работа переливного устройства обеспечивается. 3.1.11 Определение толщины тепловой изоляции Рассчитаем толщину теплоизоляции по формуле :
Толщина теплоизоляции 3.2.Технологический расчет теплообменника 3.2.1 Целью расчета является определение основных размеров теплообменника 3.2.2 Исходные данные для расчета Расход обводненного растворителя Gp = 1кг/с ; Начальная температура обводненного растворителя : t1н = 15˚С; Конечная температура обводненного растворителя : t1к = 65˚С Нагрев осуществляется насыщенным паром, давлением р=0,1 МПа, с температурой t2н = 99,1˚С. 3.2.3 Расчет ведем согласно [6] Расчетная схема теплообменника показана на рисунке 3.3. 3.2.4 Схема распределения температур в теплообменнике Qn = 99,1˚C ↔ Qn = 99,1˚C t1н = 15˚C → t1кон = 65˚C
Средний температурный напорпри противотоке :
3.2.5 Определение тепловой нагрузки Q=GP ∙CP ∙(t1 k -t1н ), (3.35.) где СР =3268,2 Дж/кг∙К – теплоемкость обводненного растворителя Q=1∙3268,2∙(65-15) = 163410 Вт 3.2.6 Выбор теплообменника По рекомендации /6/ принимаем коэффициент теплопередачи от пара к жидкости Кор = 250 Вт/м2 К. Ориентировочную поверхность теплообменника определяем по формуле : Fор
= где К=250 Вт/м2 К – минимальное ориентировочное значение коэффициента теплопередачи. F = Принимаем теплообменник типа ТУ имеющий следующие характеристики [6]: D=325 мм ; F=12,5 м2 ; L=2,0м 3.2.7 Уточненный тепловой расчет теплообменника Скорость движения обводненного растворителя в межтрубном пространстве определяем по формуле : ωP
= где
ωP
= Критерий Рейнольдса: Rep
= где γ = 0,364∙10-6 м2 ∙с - кинематическаявязкость обводненного растворителя. Rер
Критерий Прандтля. Рr = Рr = Коэффициент теплопередачи к обводненному растворителю
Коэффициент теплопередачи от конденсирующего пара, согласно [6],
Коэффициент теплопередачи определяем по формуле : К= Где λ =46 Вт/м∙К – теплопроводность углеродистой стали
Тогда К= Требуемая поверхность теплообменника составляет : F= Согласно [6] следует, что подходит кожухотрубчатый теплообменник с U-образными трубками длиной L=2,0 м и номинальной поверхностью При этом запас Δ= 3.3. Прочностной расчет основных элементов оборудования 3.3.1 Расчет ректификационной колонны 3.3.1.1 Целью расчета является определение толщины стенки обечайки корпуса аппарата, работающего под внутренним давлением . 3.3.1.2 Исходные данные для расчета - внутренний диаметр обечайки D=0,5 м - рабочая температура Т=100˚С - рабочее давление Р= 0,02 МПа - материал обечайки сталь ВСт3сп 3.3.1.3 Расчет обечайки аппарата Толщина обечайки корпуса аппарата определяется из условия прочности и устойчивости. Расчет ведем согласно [7], Исполнительная толщина обечайки аппарата S≥Sp+С(3.40.) Где Sp – расчетная толщина обечайки , м; С=С1 +С2 +С3 – суммарная прибавка к расчетной толщине стенки, м; С1 = 0,002м – прибавка для компенсации коррозии и эрозии. С2 = С3 =0 – прибавка для компенсации минусового допуска и технологического допуска соответственно. Расчетная толщина обечайки аппарата определяется по формуле : Sp = [σ] = 149 МПа – допускаемое напряжение для стали ВСт3сп при t=100˚C Sp = S ≥ 0,0011+0,002 = 0,0032 м Принимаем толщину стенки обечайки S=5 мм Пробное давление определяем по формуле : Рпр
= 1,25∙р∙ где [σ]20 = 154 МПа – допускаемое напряжение для стали ВСт3сп при t=20˚C Рпр
= 1,25∙0,02∙ Давление при гидроиспытании определяем по формуле : Рг
.
u
= Рпр
+Pг ,
где Pг
= Рг . u =0,08+0,09=0,17 МПа Проверяем выполнение условия : Рг
.
u
<P∙1,35 Условие не выполняется, следовательно нужно производить расчет при гидроиспытании. Толщина стенки обечайки при гидроиспытании определяется по формуле: Sp1
= где
S≥0,0013+0,002=0,0033 м Исходя из конструктивных соображений принимаем толщину стенки обечайки S=0,009 м, так как обечайка изготавливается из трубы ø529x9 мм. Проверяем выполнение условия устойчивости обечайки по формуле:
М – изгибающий момент, действующий на колонну от ветра МН∙м;
Допускаемая осевая сжимающая сила рассчитывается по формуле :
где прочности, МН; (3.49.)
Допускаемая осевая сжимающая сила из условия местной устойчивости в пределах упругости определяется по формуле :
Допускаемая осевая сжимающая сила из условия общей устойчивости в пределах упругости определяется по формуле :
Где Е=1,91∙105 МПа – модуль продольной упругости
где ℓпр = 23,4 – приведенная расчетная длина обечайки ℓпр = 2∙9,=19 м(3.53.)
Допускаемый изгибающий момент определяется по формуле
Где
условия устойчивости в пределах упругости, МН∙м
Осевая сжимающая сила в рабочих условиях определяется по формуле:
Для определения изгибающих моментов, для разных состояний аппарата воспользуемся программой расчета изгибающего момента от ветровой нагрузки « STR 3» на ЭВМ. Данные расчета приведены на рисунке 3.2. Подставляя полученные данные в формулу (3.47) получаем - условие устойчивости аппарата в рабочих условиях :
Устойчивость обечайки при S= 0,009 м обеспечивается
3.3.1.4 Расчет эллиптического днища аппарата Целью расчета является определение толщины днища аппарата, нагруженного внутренним избыточным давлением. Расчетная схема днища показана на рисунке 3.3 Данные для расчета : - внутренний диаметр днища D=0,5м - рабочее давление Р = 0,02 МПа - рабочая температура Т= 100˚С - материал днищасталь ВСт 3 сп Расчетная толщина стенки днища определяется из условия прочности [7]. Исполнительная толщина стенки днища аппарата определяется по формуле: S≥ Расчетная толщина стенки днища определяется по формуле:
где R=D –для эллиптических днищ с Н=0,25 D
Принимаем толщину стенки днища S=5 мм. Из приведенных выше расчетов, видим, что необходимо производить расчет при гидроиспытании. Толщина днища при гидроиспытании определяется по формуле :
Sp≥ 0,0013+0,002=0,0033 м Принимаем толщину стенки днища S=0,008м из условия лучшей свариваемости. 3.3.1.5 Расчет укрепления отверстия Целью расчета является укрепление отверстия в стенке корпуса колонны, работающего под внутренним давлением. Расчетная схема приведена на рисунке 3.4. Данные для расчета : нутренний диаметр обечайки D=0,5м - исполнительная толщина стенки обечайки S=0,009м - диаметр условного прохода штуцера dу = 250 мм Расчет ведем согласно [8], Отверстие считается одиночным, если ближайшее к нему отверстие не оказывает на него влияния, и удовлетворяет условию : в ≥ где в =0,5м – расстояние между смежными отверстиями
в ≥ 0,5>0,12 – условие (3.49) выполняется. Определяем диаметр отверстия, не требующего укрепления, считая, что все отверстия аппарата являются одиночными.
Где S = 0,009м – исполнительная толщина стенки обечайки
То есть отверстие dу
= 250мм не требует укрепления. 3.3.1.6 Расчет опоры Целью расчета является выбор стандартной опоры и расчет ее элементов. Расчетная схема показана на рисунке 3.5. Данные для расчета : - внутренний диаметр обечайкиD=0,5м - рабочая температура t = 100˚C - материал опоры сталь ВСт 3 сп Определяем максимальную и минимальную приведенные нагрузки для выбора стандартных опор.
М1 = 82499 Н – изгибающий момент в нижнем сечении опорной обечайки в рабочих условиях. М2 = 81939 Н- изгибающий момент в нижнем сечении опорной обечайки в условиях гидроиспытания. F1 = 48100 H- осевая сжимающая сила в рабочих условиях. F2 = 54300 H - осевая сжимающая сила в условиях гидроиспытания.
где М3 = 29918 Н – изгибающий момент в нижнем сечении опорной обечайки в условиях монтажа (без теплоизоляции); F3 = 35700 Н – осевая сжимающая сила в условиях монтажа (без теплоизоляции)
По найденным 3 – 500 –160 –80 – 4000 ОСТ 26 – 467–78. Опора имеет следующие параметры : D1 = 700 мм, D2 = 450 мм, Dб = 620 мм ; d = 45 мм, d1 = 70 мм , в = М30, n=10, S1 = 9 мм S2 = 20 мм, S3 = 20 мм, h = 300 мм Проверка опоры для рабочих условий. Прочность сварного соединения опоры с корпусом определяется условием:
где
32,4 МПа<104,3 МПа – условие выполняется. Проверяем условие устойчивости в сечении y-y
где
сила из условия устойчивости, МН;(3.68.) где Е = 1,99∙105 МПа – модуль продольной упругости; D = 0,5м – диаметр нижней части опоры.
Допускаемый изгибающий момент находим по формуле:
Тогда
Проверяем выполнение условия устойчивости сечения: Y-Y
0,28<1 – условие выполняется Проверка ширины и толщины опоры кольца Ширина кольца: Она должна удовлетворить условию:
где
Тогда
Толщина нижнего опорного кольца S2 = 0,02 м и должна удовлетворять условию: S2
≥ Где х1
– коэффициент определяемый в зависимости от параметра Принимаем х1 = 0,5
где D*= 0,5м – диаметр опоры.
оверка опоры для условий гидроиспытаний: Проверка прочности сварного шва (соединения) корпуса с опорой выполняется по формуле:
3,26 МПа < 107,8 МПа – условие выполняется. Проверка устойчивости в сечении Y-Y выполняется по формуле :
По формулам (3.67.) – (3.71.) для сечения Y-Y имеем:
Проверяем выполнение условия :
Проверка ширины и толщины опорного кольца по формуле (3.79.):
Расчетная толщина опорного кольца определяется по формуле (3.80)
Расчет показал, что выбранная опора обладает достаточной прочностью и устойчивостью. 3.3.1.7 Расчет болтов фланцевого соединения Целью расчета является проверка болтов фланцевого соединения на прочность. Расчетная схема приведена на рисунке 3.6. Данные для расчета:
Материал фланца - сталь ВСт 3 сп. Материал прокладки - паронит марки ПОН. Материал болтов – сталь 35. Расчет вспомогательных величин. Эффективная ширина прокладки :
Характеристику прокладки принимаем по [11] m=2,5
К = 0,9 – коэффициент обжатия.
Податливость прокладки находим :
Податливость болтов находим:
где
где
Параметры фланца Эквивалентная толщина втулки Коэффициенты:
Угловую податливость фланца находим:
Где
ВСт 3 сп при t = 20˚C
Плечи момента находим:
Коэффициент жесткости фланцевого соединения Фланцевое соединение , нагруженное внутренним давлением:
Расчет нагрузок. Равнодействующая внутреннего давления:
Находим реакцию прокладки в рабочих условиях:
Находим нагрузку, возникающую от температурных деформаций:
где
Болтовая нагрузка Рб в условиях монтажа принимается большей из следующих значений:
где M=0 – изгибающий момент F=0 – осевая сжимающая сила
Приращениенагрузки в болтах в рабочих условиях находим:
Расчет болтов Проверяем прочность болтов в условиях монтажа:
где
Условие выполняется. 3.3.2. Расчет теплообменника 3.3.2.1 Целью расчета является определение толщины стенок кожуха, толщины трубной решетки, расчет опор 3.3.2.2 Исходные данные Наружный диаметр кожуха D=325мм Диаметр трубок d=20x2мм Шаг отверстий в решетке Давление трубы (избыточное) : в межтрубном пространстве в трубном пространстве Расчетная температура : в межтрубном пространстве в трубном пространстве Материал деталей сталь ВСт 3 сп Расчетная схема приведена на рисунке 3.7. 3.3.2.3 Расчет обечайки кожуха Толщину стенки кожуха определяем по формуле:
где
Для условий гидроиспытаний в качестве расчетного принимают пробное давление из условия
Тогда: Исполнительную толщину стенки кожуха принимаем Sк = 8мм. Допускаемое внутреннее избыточное давление определяется по формуле:
где с – прибавка для компенсации коррозии и эрозии. Для материалов, стойких к данной среде, при отсутствии данных о проницаемости рекомендуется принимать с = 2мм.
Рисунок 3.7. Расчетная схема аппарата Допустимое внутреннее избыточное давление существенно превышает рабочее давление и давление гидроиспытаний. 3.3.2.4 Расчет трубной решетки Толщину трубной решетки, исходя из условий закрепления труб развальцовкой с обваркой, определяем по формуле [8]:
Толщина трубной решетки, исходя из условий прочности решетки:
φ0 – коэффициент ослабления решетки отверстиями.
φ0
= где φ0
=
Исполнительную толщину трубной решетки с учетом прибавки на коррозию из конструктивных соображений принимаем Sp = 20мм. 3.3.2.5 Расчет седловых опор аппарата Вес аппарата с учетом теплоизоляции принимаем Вес жидкости определим по формуле :
тогда общая нагрузка на опоры:
По [6] выбираем: опора 20-167-1, число опор 2 шт, L=2600мм, D=325мм, Н=85мм, а = 500мм, е = 1000мм, в =180мм Нагрузка балки определяется по формулам:
Опорное усилие: Момент над опорами :
Максимальный момент между опорами:
Рисунок 3.8. К расчету седловых опор Поперечное усилие в сечении над опорами :
Проверим несущую способность обечайки в сечении между опорами : Условие прочности :
Где К9 = 1,1 – коэффициент, учитывающий частичное заполнение жидкостью
Условие выполняется. Проверим несущую способность обечайки в области опорного узла. Для этого определим параметры:
Общее осевое мембранное напряжение изгиба, действующее в области опорного узла
Условие прочности:
где
где К10 = 0,25 - коэффициент, учитывающий влияние ширины пояса опоры. К12 = 0,84 - коэффициент, учитывающий влияние угла охвата.
Где
К14 =0,46 - коэффициент, учитывающий влияние угла охвата. К16 = 0,96 - коэффициент, учитывающий влияние расстояния до днища К17 = 0,29 - коэффициент, учитывающий влияние ширины пояса опоры.
Тогда условие
Условие устойчивости:
Где Fe - эффективное осевое усилие от мембранных напряжений, действующих в области опоры:
Допускаемую осевую силу определяем по формуле:
тогда Допускаемый изгибающий момент определим по формуле:
Где
Допускаемая поперечная сила:
Где
огда условие
Условие выполняется. Таким образом, принятая толщина стенки кожуха обеспечит прочность и устойчивость обечайки кожуха в местах установки опор без подкладных листов. 4. Расчет и выбор стандартизированного вспомогательного оборудования 4.1. Подбор насоса Подберем насос для подачи обводненного растворителя. Исходные данные: - Расход экстракта V=1,2∙10-3 м3 /с - Плотность - Вязкость Геометрическая высота подъема экстракта Н1 = 10м,расчет ведем согластно [11]; Общий напор, развиваемый насосами считаем так:
Где Р1 и Р2 - давление в пространстве нагнетания и всасывания, Р1 = Р2
Где
Принимаем скорость движения жидкости в нагнетательном трубопроводе Тогда диаметр трубопровода:
Принимаем трубу Уточняем скорость:
Величина критерия Рейнольдса:
Принимаем шероховатость труб Величины: Имеем
Принимаем длину трубопровода Трубопровод имеет 8 отводов с углом φ = 90˚С, 7 вентилей прямоточных и измерительную диафрагму, тогда:
Н=15+0,63=15,63м Мощность потребляемая насосом.
Выбираем насос НК 8/30, с характеристикой:
4.2. Подбор емкости Подберем емкость сбора растворителя. Необходимый объем емкости определим по формуле :
где G = 0,4 кг/с – расход растворителя;
Выбираем емкость [6] диаметром в = 1800м, номинальный объем Н=2550мм 5. Монтаж оборудования 5.1. Монтаж колонны. 5.1.1 Исходные данные Колонна имеет диаметр 500мм и длину 13980мм, масса колонны 3640 кг. Место установки: Нижегородская область, г.Кстово, промзона, завод ОАО «ЛУКОЙЛ-Нижегороднефтеоргсинтез». 5.1.2. Выбор способа монтажа При выбореспособа монтажа колонны учитываем длительность работ и приведенные затраты. Наиболее экономично вести подъем колонны краном способом скольжения. При подъеме аппарата способом скольжения очень мал объем подготовительных работ. Но при таком способе грузоподъемность крана должна быть больше массы аппарата, а вот высота вылета стрелы может быть меньше высоты аппарата. Подъем колонны осуществляется краном «Камаз-JONES» грузоподъемностью 25 тонн, который обладает хорошей проходимостью и маневренностью, и может передвигаться с грузом на крюке, а удельное давление на грунтневелико. 5.1.3 Описание технологии монтажа Перед проведением работ должна быть подготовлена монтажная площадка, изготовлены фундаменты, площадка покрыта сборными железобетонными плитами. При монтаже выполняют строповку ниже вершины аппарата за специальные монтажные упоры, но выше центра тяжести. Аппарат выкладывают относительно фундамента таким образом, чтобы точка крепления и ось фундамента находились на одной окружности описываемой стрелой крана (рисунок 5.1). Подъем ведут в такой последовательности: Сначала поднимают вершину аппарата при одновременном подтаскивании его нижней части лебедкой или трактором. Для обеспечения горизонтального перемещения нижняя часть укладывается на монтажные сани. Скорость подтаскивания согласовывается со скоростью подъема, чтобы грузовой полиспастнаходился в вертикальном положении. Плавный переход в вертикальное положение в этом случае производят после того, как аппарат в наклонном положении устанавливают на фундамент. Перевод осуществляется с помощью тормозной системы, которая начинает работать, когда достигается неустойчивое равновесие аппарата. После установки колонны на фундамент, производится нивелировкаи окончательная выверка вертикального положения колонны и крепление его к основанию анкерными шпильками. Вертикальность колонны выверяют по уровню или отвесу. 5.1.4 Характеристика применяемого грузоподъемного оборудования и такелажной оснастки Для монтажа колонны выбираем кран марки «Камаз-JONES» со следующими характеристиками: - максимальный вылет стрелы – 28 метров; - высота стрелы – 20 метров; - грузоподъемность – 25 тонн. При монтаже колонны использовались троса марки ТК 6x61 со следующими характеристиками: - диаметр – 12 мм; - площадь сечения – 564,9 мм2 ; - разрывное усилие – 11350 кг. Соответствие между вылетом стрелы, грузоподъемностью и радиусом приведены в таблице 5.1. 5.2. Монтаж теплообменника Теплообменный аппарат устанавливают на фундамент, который представляет из себя два железобетонных столба с анкерными болтами под опоры. Теплообменник устанавливают на подвижную и неподвижную опору, поэтому болты перемещаются в овальном отверстии подвижной опоры в направлении температурного удлинения аппарата. Гайки на болтах не затягивают на 1÷2 мм, чтобы аппарат мог свободно перемещаться в горизонтальной плоскости [18]. Монтаж теплообменника осуществляется с помощью крана «Камаз-JONES». Вертикальность аппарата выверяют по уровню или отвесу, а горизонтальность только по отвесу. Чтобы исключить влияние местных неровностей корпуса на качество выверки, уровень следует прикладывать к привалочным поверхностям фланцев корпуса или в нескольких местах к корпусу [18]. После установки и выверки производят контрольную разборку аппарата. При этом проверяют наличие прокладок, комплектность съемных деталей, правильность их взаимного расположения, наличие зазоров, расстояния мест вальцовки труб в трубных решетках. При гидравлическом испытании контролируется плотность соединений и прочность аппарата.
Рисунок 5.1. Схема монтажа колонны
Рис.5.2 Высотные характеристики крана Jones 20 RT 6. Ремонт оборудования 6.1. Годовой график ППР Годовой график ППР блока регенерации представлен в таблице 6.1. 6.2. Ремонт колонны 6.2.1 Подготовка колонны к ремонту Перед началом ремонта полностью отключаются аппараты и трубопроводы установки от рабочей части схемы цеха. Остановку колонны осуществляет эксплуатационныйперсонал. Колонна пропаривается паром, а затем продувается инертным газом. Отключение колонны от коммуникаций заглушками производит ремонтный персонал согласно соответствующей в цехе схеме установки заглушек под руководством начальника цеха. После подготовительных операций (пропарка, промывка) открываются люки колонны. Люки нужно открывать в строгой последовательности, начиная с верхнего когда колонна находится под паром, для предотвращения тока воздуха через колонну при одновременном открытии нижнего и верхнего люков. После пропаривания колонна промывается водой и проветривается. Проветривание необходимо для охлаждения колонны и доведения концентрации продуктов в ней до допустимых санитарных норм. После окончания проветривания нужно провести анализ проб воздуха, взятых из колонны на разных высотных отметках. К работам внутри колонны разрешается приступить только тогда, когда анализ покажет, что концентрация вредных газов и паров не превышает предельно допустимых санитарных норм. Перед проведением капитального ремонта до остановки агрегата, механик цеха или мастер по ремонту оборудования, выполняющий ремонт, обязан составить дефектную ведомость, которая должна отвечать типовым объемам работ. Подготовленный к ремонту аппарат принимает механик цеха от начальника смены по акту передачи оборудования в ремонт. Перед проведением такого ремонта, за сутки до начала работ механик цеха обязан письменно поставить в известность начальника цеха в необходимости остановки и подготовки аппарата к ремонту в указанное и согласованное время с начальником цеха сроком. Выполнение работ фиксируется механиком в ремонтном журнале. 6.2.2 Текущий ремонт В ходе выполнения текущего ремонта колонны производятся следующие виды работ: - наружный осмотр аппарата; - частичная смена шпилек и гаек; - ремонт изоляции аппарата. 6.2.3 Капитальный ремонт колонны Царговые колонны при капитальном ремонте демонтируются на отдельные царги, демонтируются внутренние устройства колонны(тарелки), производится чистка колпачков, при необходимости производится полная замена колпачков, при сильном износе производится полная замена тарелки. Ремонт колонны заканчивается ее испытанием. При гидравлическом испытании колонна заполняется водой при открытой воздушке, установленной в верху колонны. Появление воды в воздушке свидетельствует о заполнении колонны. После закрытия воздушки давление в колонне медленно повышают до контрольной величины. При этом давлении аппарат выдерживается 5 минут, затем давление снижают до рабочего. Аппарат считается выдержавшим гидроиспытание если не обнаружено: а) течи, трещин, потения в сварных швах и на основном металле; б) течи в фланцевых соединениях; в) видимых остаточных деформаций; г) падения давления по манометру. ГРАФИК ППР
6.3. Ремонт теплообменника 6.3.1 Характеристика дефектов В процессе длительной работы теплообменный аппарат подвергается загрязнению и износу. Поверхность теплообменника покрывается накипью и маслом. С увеличением отложений возрастает термическое сопротивление стенки и ухудшается теплообмен. Износ теплообменного аппарата выражается в следующем: 1) уменьшение толщины стенки корпуса, днища, трубных решеток; 2) выпучины и вмятины на корпусе и днищах; 3) свищи, трещины, прогары на корпусе, трубках и фланцах; 4) увеличение диаметра отверстий для труб в трубной решетке; 5) прогиб трубных решеток и деформация трубок; 6) нарушение термоизоляции. 6.3.2 Подготовка теплообменника к ремонту Подготовка к ремонту включает в себя выполнение следующих мероприятий: - снижают избыточное давление до атмосферного и аппарат освобождается от продукта; - отключается арматура и ставятся заглушки на всех проводящих и отводящих трубопроводах; - проводится продувка водяным паром с последующей промывкой водой и продувкой воздухом; - выполняется анализ на наличие ядовитых и взрывоопасных продуктов; - составляется акт сдачи в ремонт. 6.3.3 Текущий ремонт теплообменника При текущем ремонте выполняются следующие виды работ: а) снимается крышка с распределительной камеры для проверки исправности перегородки; б) производится ревизия запорной арматуры; в) частичная замена изоляции. 6.3.4 Капитальный ремонт теплообменника При капитальном ремонте выполняются следующие виды работ: 1) работы выполняемые при текущем ремонте; 2) выявление дефектов вальцовки и сварки гидравлическим испытанием на рабочее давление; 3) частичная смена или отключение дефектных трубок, крепление труб вальцовкой или сваркой, для чего извлекают трубный пучок из корпуса теплообменного аппарата с помощью тракторной лебедки и автомобильного крана. Демонтаж производится в следующей последовательности: - снимаются крышки теплообменного аппарата; - проводится предварительный сдвиг трубчатки; - тракторной лебедкой трубный пучок извлекается из аппарата; - при помощи хомутов и стропов трубчатка подвешивается к крюку автомобильного крана, который после окончательного извлечения трубного пучка опускает его на прицеп для транспортировки на место очистки и ремонта. При ремонте трубного пучка допускается установка пробок на 15% трубок. Применение бывших в употреблении трубок допускается , если они потеряли вследствие износа не более 30% первоначального веса. 4) Чистка внутренней поверхности корпуса аппарата и его дефектация. Корпус аппарата, имеющий различные выпучены и вмятины выправляется ударами кувалды по медной прокладке. Если невозможно устранить указанные выше дефекты ударами и нагревом, то поврежденные участки удаляются или на них ставят накладки. Свищи и трещины устраняются путем заварки или постановкой накладок с предварительным удалением дефектного участка. При помощи цветной дефектоскопии определяют протяженность и положение концов трещин, обнаруженных в корпусе. Эти концы до заварки засверливаются сверлами диаметром 3÷5 мм. Несквозные трещины глубиной не более 0,4 толщины стенки разделываются под заварку односторонней вырубкой на максимальную глубину трещины со снятием кромок под углом 50-60˚. При трещине более 100мм сварку проводят обратноступенчатым методом. Сквозные и несквозные трещины глубиной более 0,4 толщины стенки разделывают на всю толщину вырубкой зубилом или газорезкой. При появлении гнездообразных трещин поврежденные места вырезаются и закрываются заплатами без острых углов. Заплаты ввариваются заподлицо с основным металлом. Площадь заплаты не должна превышать 1/3 площади листа аппарата. Чистка межтрубного пространства осуществляется химическим методом без вскрытия и разборки теплообменника 5-15% раствором соляной кислоты с добавкой ингибитора. По окончании ремонта проводится гидроиспытание. 7. Технология изготовления фланца Исходные данные: Рабочий чертеж детали. Материал детали – сталь ВСт 3 сп Заготовка – листовой прокат. Маршрут изготовления фланца приведен на чертеже. Припуск на размеры заготовки фланца составляет 10 мм. Определение режимов наружного продольного точения с ø470 до ø460 мм. Величину подачи определяем в соответствии с рекомендациями при черновом точении в зависимости от глубины резания и диаметра детали. Глубина резания t = 2 мм. Принимаем подачу S = 1,1 мм/об. Скорость резания определяем по формуле :
где x = 0,15 - коэффициент y = 0,45 – коэффициент Т= 60 мин – среднее значение стойкости режущего инструмента m = 0,2 - коэффициент
Для расчетов тогда Частота вращения заготовки определяется по формуле : n= D = 470 мм – диаметр обрабатываемой поверхности. Подставляем численные значения, получим : n= Определяем тангенциальную составляющую усилия резания по формуле:
Cp = 300 – коэффициент x = 1,0 – коэффициент y = 0,75 – коэффициент n = - 0,15 – коэффициент Kp - общий поправочный коэффициент на скорость резания
где
Кp = 0,86∙0,98∙1,15∙1∙1=0,97
Мощность резания N, кВт, определяется по формуле: N = N = Необходимая мощность на приводе станка определяется по формуле: Nст
= Nст
= По справочнику в зависимости от мощности привода и размеров заготовки подбираем станок токарно-винторезный модели 16 К 25, с мощностью эл. двигателя главного привода 11 кВт. Расчет технической нормы времени. Штучное время для нашей операции определяется по формуле :
На основе рекомендации принимаем:
Время оперативное определяется по формуле :
Где
n = 88 об/мин – число оборотов S= 1,1- мм/об – подача Тогда получим: На основе проверочных данных вспомогательное время на весь комплекс действий для обработки заготовки на токарно-винторезном станке 16К25 составляет:
Тогда оперативное время составляет :
Определим штучное время для данной операции:
Заключение В проекте разработано основное оборудование блока регенерации растворителя установки депарафинизации масел колонна и теплообменник. В колонне взамен S-образных тарелок использованы колпачковые тарелки с повышенным КПД, кроме того, с переходом на двухгодичный цикл работы оборудования, увеличивается количество рабочих дней, что позволило увеличить выпуск готовой продукции с 175712 т/год до 183396 т/год. Принятые в проекте решения подтверждены технологическими и прочностными расчетами. Экономические расчеты показали целесообразность замены изношенного оборудования: себестоимость снизилась с 3830 руб/тон до 3710 руб/тон; уровень рентабельности увеличился с 30,5% до 34,7% (на 4,2%). Годовая прибыль выросла на 30997 тыс. руб., при сроке окупаемости капитальных вложений в течение одного года. Принятые в проекте решения подтверждены технологическими и прочностными расчетами. Экономические расчеты показали целесообразность модернизации: снизилась себестоимость продукции, срок окупаемости составил 1,0 год; Годовая прибыль выросла на 30997 тыс. рублей.
1. Гальперин Н.И. Основные процессы и аппараты химической технологии. - М.: Химия, 1981. - 812 с. 2. Основные процессы и аппараты химической технологии: Пособие по проектированию / Под ред. Ю.И.Дытнерского. - М.: Химия, 1991.- 494 с. 3. Примеры и задачи по курсу "Машины и аппараты химических В.М. Ульянова; НГТУ Н.Новгород, 2003. - 391с. 4. Саблина З И. Состав и химическая стабильность моторных топлив. М. Химия. 1972 г -277с. 5.Генкин А. Э. Оборудование химических заводов. Учебное пособие. - М.: Высшая школа . 1986. - 280 с. 6. Дытнерский Ю,М. Процессы и аппараты химической технологии. Ч.2 Массообменные процессы и аппараты. - М.: Химия, 1995. 7. Плановский А, Н, Рамм В. Н., Коган С. З. Процессы и аппараты химической технологии. Учебник для вузов 3 изд. М. Химия 1987г. 496 с. 8. Павлов К.Ф., Романков П.Г., Носков А.А. Примеры и задачи по курсу процессов и аппаратов химической технологии. - Л.: Химия, 1981. - 560 с. 9. Лащинский А.А. Конструирование сварных химических аппаратов: Справочник. - Л.: Машиностроение, 1981. - 382 с. 10. ГОСТ 14249-89. Сосуды и аппараты. Нормы и методы расчёта на прочность. 11. ГОСТ 24755-89.Сосуды и аппараты. Нормы и методы расчёта на прочность укрепления отверстий. 12. ГОСТ 24756-81. Сосуды и аппараты. Нормы и методы расчёта на прочность. Определение расчётных усилий для аппаратов колонного типа от ветровых нагрузок и сейсмических воздействий. 13. ОСТ 26-291-94. Сосуды и аппараты стальные сварные. Общие технические условия. 14. ОСТ 26-373-78. Нормы и методы расчёта на прочность фланцевых соединений сосудов и аппаратов. 15. Дятлов В.Н. Коррозионная стойкость металлов и сплавов: Справ. - М.: Машиностроение, 1984. - 352 с. 16. Система технического обслуживания и ремонта оборудования предприятийхимической промышленности. - М.: Химия, 1986. - 352 с. 17. Гальперин М.И., Артемьев В.И., Местечкин Л.М. Монтаж технологического оборудования нефтеперерабатывающих заводов. - М.: Стройиздат, 1982. - 352 с. нефтеперерабатывающих заводов. - М.: Химия, 1988. 19. Справочник технолога-машиностроителя. - М.: Машиностроение, 1985. - 496 с. 18. Фарамазов С.А. Ремонт и монтаж оборудования химических и нефтеперерабатывающих заводов. - М.: Химия, 1988. 19. Справочник технолога-машиностроителя. - М.: Машиностроение, 1985. - 496 с. 20. Автоматизация технологических процессов.- М.: Химия, 1988.- 382с 21. Технологическая схема установки 39/2 с автоматизацией процесса ОАО "ЛУКОЙЛ-Нижегороднефтеоргсинтез" 22. ГОСТ 12.0.003-74. Система стандартов безопасности труда. Опасные, вредные производственные факторы. Классификация. - М.: Издательство стандартов, 1974. 23. Регламент установки. ПЛАС. Технологическая карта. Материалы преддипломной практики. Основная часть расчётно-пояснительной записки к дипломному проекту. 24. СНиП 2.04.09-84. Пожарная автоматика зданий и сооружений. – М.: ЦИТП Госстроя СССР, 1985. 25. ГОСТ 12.1.007-76. Вредные вещества. Классификация и общие требования безопасности. - М.: Изд-во стандартов, 1976. 26. Лазарев Н.В. Вредные вещества в промышленности. – Л.: Химия, 1976. 27. Средства индивидуальной защиты: Справ. / Под ред. Каминского С.Л. Л.: Химия, 1989. 28. Сафонова Н.А. Спецодежда и спецобувь. – М.: Химия, 1984. 29. ГОСТ 12.10.05-88. Система стандартов безопасности труда. Общие требования к воздуху рабочей зоны. - М.: Изд-во стандартов,1988. 30. Методические указания по выполнению расчетной части раздела "Охрана труда" в дипломных проектах. Ч.1 и 2 / ГПИ. Горький:, 1983 (4). 31. СНиП 2.04.05-91. Отопление, вентиляция и кондиционирование. – М.: ГП ЦПП, 1994. 32. ГОСТ 12.1.003-83. Шум. Общие требования безопасности. – М.: Изд-во стандартов, 1983. 33. ГОСТ 12.1.012-90. Вибрационная безопасность. Общие требования. – М.: Изд-во стандартов, 1990. 34. СНиП 23-05-95. Естественное и искусственное освещение. – М.: Минстрой России, 1995. 35. Правила устройства электроустановок. (ПУЭ). – М.: Энергоатомиздат, 1985. 36. Статическое электричество в химической промышленности / Под ред. Сажина Б.И. – Л.: Энергия, 1977. 37. Правила защиты от статического электричества в производствах химической, нефтяной и нефтеперерабатывающей промышленности. – М.: Химия, 1973. 38. Инструкция по проектированию и устройству молниезащиты зданий и сооружений (РД 34.12.122-87). – М.: Госстрой, 1983. 39. Баратов А.Н., Иванов Е.Н. Пожаротушение на предприятиях химической и нефтеперерабатывающей промышленности. – М.: Химия, 1979. 40. Правила устройства и безопасной эксплуатации сосудов, работающих под давлением. (ПБ 10-115-96). – М.: ПИО ОБТ, 1996. 41. Пожарная опасность веществ и материалов, применяемых в химической промышленности. Справ. / Под ред.Рябова И.В. - М.: Химия, 1970. 42. Справочник нефтепереработчика. / Под ред. Ластовкина Г.А., Радченко Е.Д., Рудина М.Г. - Л.: Издательство Химия, 1986. 43. ГОСТ 12.1.011-78. Смеси взрывоопасные. Классификация. – М.: Изд-во стандартов, 1978. 44. НПБ 105-95. Определение категорий зданий и помещений по взрывопожарной опасности. - М.: Главное управление Государственной противопожарной службы МВД России, 1996. 45. Строительные нормы и правила. Нормы проектирования. Противопожарные нормы. (СНиП 2-01.02-85). – М.: ЦИТП Госстроя СССР, 1986. 46. Торочешников Н.С. и др. Техника защиты окружающей среды. – М.: Химия, 1981. 47. Атаманюк В.Г., Ширшев Л.Г., Акимов Н.И. Гражданская оборона. – М.: Высшая школа, 1986. 48. Тихомиров М.И. Гражданская оборона предприятий химической промышленности. – М.: НИИТЭХИМ, 1970. 49. СНиП II-11-77 . Защитные сооружения гражданской обороны. – М.: ЦИТП Госстроя СССР, 1985. 50. Методические указания по выполнению организационно-экономической части дипломных проектов конструкторского направления для студентов спец. 170500 всех форм обучения / НГТУ; Сост.: Л.Е. Зимина и др. Н.Новгород, 2002. - 14 с. 51. Калькуляция продукции установки39/2 и её экономические показатели ОАО "ЛУКОЙЛ-Нижегороднефтеоргсинтез" 52. Колонные аппараты: Каталог / ЦИНТИхимнефтемаш, М., 1978. - 30 с. 53. Стандартные, кожухотрубчатые теплообменные аппараты общего назначения: Каталог / ЦИНТИхимнефтемаш, М., 1978. - 14 с. 54. Стандарт предприятия. Проекты (работы) дипломные и курсовые. Общие требования к оформлению пояснительных записок и чертежей. СТП 1-У НГТУ-04 / НГТУ Н.Новгород, 2004. - 25с. 55. Попова Г.Н., Алексеев С.Ю. Машиностроительное черчение. Справ. - СПб.: Политехника, 1999. - 453 с. 56. ГОСТ 2.001-93 ЕСКД. Общие положения. 57. ГОСТ 2.105-95 ЕСКД. Общие требования к тестовым документам. 58. Дипломные проекты конструкторского направления: Метод. указания по дипломному проектированию для студентов спец. 170500 всех форм обучения / НГТУ; Сост.: А.И. Пронин и др. Н.Новгород, 2004. - 43 с.
С1 П = 3,83 тыс.руб. Себестоимость единицы продукции по Аналогу, тыс.руб.; С2 n = 3,71 тыс.руб. Себестоимость единицы продукции по проекту, тыс.руб.; В2 = 183369 т/год – выпуск готовой продукции по проекту, тыс.руб.
В период капитального ремонта смонтированы новые тарелки в К-8, теплообменник с У-образными трубками, новые киновские сборки, общей стоимостью капитальных затрат – 2703,96 тыс.руб. Определим ориентировочным экономическим расчетом окупаемости предполагаемых капитальных вложений, Ток, лет по формуле:
Срок окупаемости в течение 1 года. Приведенные показатели свидетельствуют о целесообразности и эффективности предлагаемой модернизации 1. Описание технологии производства и конструкций разрабатываемого оборудования В дипломном проекте были разработаны два аппарата: ректификационная колонна и теплообменник с U-образными трубками. 1.1. Устройство и принцип работы колонны Тарельчатый колонный аппарат (см. чертеж БРР 01.00.000.СБ) состоит из вертикального корпуса, эллиптического днища, крышки и жестко скрепленной с корпусом опорной обечайкицилиндрической формы. Обводненный растворитель подается на 17-ю тарелку кетоновой колонны К-8. В низ колонны подается острый пар. С верха колонны К-8 пары растворителя со следами воды конденсируются и охлаждаются в конденсаторе – холодильнике Т-17(Т-20). Затем охлажденный конденсат направляется в емкость Е-6 для дальнейшего использования. Вода из нижней части колонны К-8, содержащая следы растворителя, дренируется автоматически в ПЛК.
Теплообменник типа U (см. чертеж БРР 03.00.000.CБ) состоит из кожуха и трубного пучка. Трубная решетка соединена фланцевым соединением с кожухом и распределительной камерой. Камера закрыта эллиптической крышкой. При нагревании трубки удлиняются за счет U-образного исполнения. Теплообменник нагрева исходной смесиработает следующим образом : пар через штуцер проступает в трубное пространствотеплообменника, по мере продвижения по трубам пар нагревает исходный раствор который подается в межтрубное пространство. Нагретый исходный раствор выходит из теплообменника и направляется в колонну. 2.4. Выбор конструкционных материалов В качестве конструкционных материалов для изготовления аппаратов выбираем листовой прокат, а для изготовления патрубков – трубный прокат. Основным критерием при выборе конструкционного материала для химической аппаратуры является его химическая и коррозионная стойкость в рабочей среде. Наряду с этим к конструкционным материалам одновременно предъявляются требования высокой механической прочности, жаростойкости, сохранение пластичных свойств при высоких и низких температурах. Необходимо также учитывать физические свойства материалов (теплопроводность, линейное температурное расширение), а также некоторые другие соображения технико-экономического порядка, такие как дефицитность, стоимостьматериала. Также должна обеспечиваться хорошая свариваемость материалов. Среда в колонне – обводненный растворитель (ацетон), температура рабочей среды 100˚С, давление - 0,7 МПа. В теплообменнике – в трубном пространстве пар, в межтрубном обводненный растворитель, которые малоагрессивны. Выбираем материал для изготовления аппаратов в целом – сталь ВСт 3сппо ГОСТ 380-71. Эта сталь хорошо свариваемая, обладает хорошей коррозионной стойкостью в данной среде. Способ сварки для днищ с обечайкой- стыковкой с двухсторонним сплошным проваром, выполненными автоматической сваркой. Материал проволоки Св-08 по ГОСТ 2246-70, марка флюса АН-348 по ГОСТ 9087- 69 . Для сварки патрубков, фланцев к корпусу аппарата способ сварки тавровый, вручную электродуговой сваркой. Так электродов Э 42 по ГОСТ 0467-70. Крепежные детали для фланцевых соединений по ГОСТ 7798-70, гайки по ГОСТ 5915-70. Материал сталь 35. 6. Ремонт оборудования 6.1. Годовой график ППР Годовой график ППР блока регенерации представлен в таблице 8.1. 6.2. Ремонт колонны 6.2.1 Подготовка колонны к ремонту Перед началом ремонта полностью отключаются аппараты и трубопроводы установки от рабочей части схемы цеха. Остановку колонны осуществляет эксплуатационныйперсонал. Колонна пропаривается паром, а затем продувается инертным газом. Отключение колонны от коммуникаций заглушками производит ремонтный персонал согласно соответствующей в цехе схеме установки заглушек под руководством начальника цеха. После подготовительных операций (пропарка, промывка) открываются люки колонны. Люки нужно открывать в строгой последовательности, начиная с верхнего когда колонна находится под паром, для предотвращения тока воздуха через колонну при одновременном открытии нижнего и верхнего люков. После пропаривания колонна промывается водой и проветривается. Проветривание необходимо для охлаждения колонны и доведения концентрации продуктов в ней до допустимых санитарных норм. После окончания проветривания нужно провести анализ проб воздуха, взятых из колонны на разных высотных отметках. К работам внутри колонны разрешается приступить только тогда, когда анализ покажет, что концентрация вредных газов и паров не превышает предельно допустимых санитарных норм. Перед проведением капитального ремонта до остановки агрегата, механик цеха или мастер по ремонту оборудования, выполняющий ремонт, обязан составить дефектную ведомость, которая должна отвечать типовым объемам работ. Подготовленный к ремонту аппарат принимает механик цеха от начальника смены по акту передачи оборудования в ремонт. Перед проведением такого ремонта, за сутки до начала работ механик цеха обязан письменно поставить в известность начальника цеха в необходимости остановки и подготовки аппарата к ремонту в указанное и согласованное время с начальником цеха сроком. Выполнение работ фиксируется механиком в ремонтном журнале. 6.2.2 Текущий ремонт В ходе выполнения текущего ремонта колонны производятся следующие виды работ: - наружный осмотр аппарата; - частичная смена шпилек и гаек; - ремонт изоляции аппарата. 6.2.3 Капитальный ремонт колонны Царговые колонны при капитальном ремонте демонтируются на отдельные царги, демонтируются внутренние устройства колонны(тарелки), производится чистка колпачков, при необходимости производится полная замена колпачков, при сильном износе производится полная замена тарелки. Ремонт колонны заканчивается ее испытанием. При гидравлическом испытании колонна заполняется водой при открытой воздушке, установленной в верху колонны. Появление воды в воздушке свидетельствует о заполнении колонны. После закрытия воздушки давление в колонне медленно повышают до контрольной величины. При этом давлении аппарат выдерживается 5 минут, затем давление снижают до рабочего. Аппарат считается выдержавшим гидроиспытание если не обнаружено: а) течи, трещин, потения в сварных швах и на основном металле; б) течи в фланцевых соединениях; в) видимых остаточных деформаций; г) падения давления по манометру. 6.3. Ремонт теплообменника 6.3.1. Характеристика дефектов В процессе длительной работы теплообменный аппарат подвергается загрязнению и износу. Поверхность теплообменника покрывается накипью и маслом. С увеличением отложений возрастает термическое сопротивление стенки и ухудшается теплообмен. Износ теплообменного аппарата выражается в следующем: 1) уменьшение толщины стенки корпуса, днища, трубных решеток; 2) выпучины и вмятины на корпусе и днищах; 3) свищи, трещины, прогары на корпусе, трубках и фланцах; 4) увеличение диаметра отверстий для труб в трубной решетке; 5) прогиб трубных решеток и деформация трубок; 6) нарушение термоизоляции. 6.3.2 Подготовка теплообменника к ремонту Подготовка к ремонту включает в себя выполнение следующих мероприятий: - снижают избыточное давление до атмосферного и аппарат освобождается от продукта; - отключается арматура и ставятся заглушки на всех проводящих и отводящих трубопроводах; - проводится продувка водяным паром с последующей промывкой водой и продувкой воздухом; - выполняется анализ на наличие ядовитых и взрывоопасных продуктов; - составляется акт сдачи в ремонт. 6.3.3 Текущий ремонт теплообменника При текущем ремонте выполняются следующие виды работ: а) снимается крышка с распределительной камеры для проверки исправности перегородки; б) производится ревизия запорной арматуры; в) частичная замена изоляции. 6.3.4 Капитальный ремонт теплообменника При капитальном ремонте выполняются следующие виды работ: 1) работы выполняемые при текущем ремонте; 2) выявление дефектов вальцовки и сварки гидравлическим испытанием на рабочее давление; 3) частичная смена или отключение дефектных трубок, крепление труб вальцовкой или сваркой, для чего извлекают трубный пучок из корпуса теплообменного аппарата с помощью тракторной лебедки и автомобильного крана. Демонтаж производится в следующей последовательности: - снимаются крышки теплообменного аппарата; - проводится предварительный сдвиг трубчатки; - тракторной лебедкой трубный пучок извлекается из аппарата; - при помощи хомутов и стропов трубчатка подвешивается к крюку автомобильного крана, который после окончательного извлечения трубного пучка опускает его на прицеп для транспортировки на место очистки и ремонта. При ремонте трубного пучка допускается установка пробок на 15% трубок. Применение бывших в употреблении трубок допускается , если они потеряли вследствие износа не более 30% первоначального веса. 4) Чистка внутренней поверхности корпуса аппарата и его дефектация. Корпус аппарата, имеющий различные выпучены и вмятины выправляется ударами кувалды по медной прокладке. Если невозможно устранить указанные выше дефекты ударами и нагревом, то поврежденные участки удаляются или на них ставят накладки. Свищи и трещины устраняются путем заварки или постановкой накладок с предварительным удалением дефектного участка. При помощи цветной дефектоскопии определяют протяженность и положение концов трещин, обнаруженных в корпусе. Эти концы до заварки засверливаются сверлами диаметром 3÷5 мм. Несквозные трещины глубиной не более 0,4 толщины стенки разделываются под заварку односторонней вырубкой на максимальную глубину трещины со снятием кромок под углом 50-60˚. При трещине более 100мм сварку проводят обратноступенчатым методом. Сквозные и несквозные трещины глубиной более 0,4 толщины стенки разделывают на всю толщину вырубкой зубилом или газорезкой. При появлении гнездообразных трещин поврежденные места вырезаются и закрываются заплатами без острых углов. Заплаты ввариваются заподлицо с основным металлом. Площадь заплаты не должна превышать 1/3 площади листа аппарата. Чистка межтрубного пространства осуществляется химическим методом без вскрытия и разборки теплообменника 5-15% раствором соляной кислоты с добавкой ингибитора. По окончании ремонта проводится гидроиспытание. |
|||||||||||||||||||||||||||||||||||||||||||||||||||||||||||||||||||||||||||||||||||||||||||||||||||||||||||||||||||||||||||||||||||||||||||||||||||||||||||||||||||||||||||||||||||||||||||||||||||||||||||||||||||||||||||||||||||||||||||||||||||||||||||||||||||||||||||||||||||||||||||||||||||||||||||||||||||||||||||||||||||||||||||||||||

; (3.3.)



(3.15)
, (3.17)




(3.18)
d =
; (3.27.)
; (3.29.)
;
; (3.31.)
; (3.32.)
;
;
;
˚С
, где (3.39.)
Вт/м2
К
, (3.48)
(3.50.)
; (3.51.)
МН
МН
,
- допускаемый изгибающий момент из
МН∙м
МН∙м
S≥0,0001+0,002=0,0021 м
, (3.62.)
- допускаемая осевая сжимающая сила, МН(3.67.)
- допускаемая осевая сжимающая
МН
(3.69.)
(3.71.)
МН∙м
МН∙м
, (3.73.)
(3.74.)
МН/м(3.81.)
(3.88.)
, (3.97.)
, (3.99.)
, (3.105.)
(3.109.)
;(3.111.) 

(3.116.)
, (3.121.)
, где
(3.124.)
, где (3.126.)
(3.129.)
, (3.132.)
(3.134.)

<1
(4.2)


(4.4)
1 год