Курсовая работа: Дифференциальные уравнения для электрической цепи
|
Название: Дифференциальные уравнения для электрической цепи Раздел: Рефераты по математике Тип: курсовая работа |
Министерство Образования Российской Федерации ИрГТУ Кафедра АПП Курсовая работапо математикеВыполнил: студент группы АТП-05-1 Поверил: профессор Баев А. В. Иркутск 2007 г Задание. 1. Для заданной электрической цепи составить дифференциальные уравнения при входном воздействии типа скачка. 2. Применить к полученному уравнению преобразование Лапласа при нулевых начальных условиях. 3. Решить уравнение операторным методом. 4. Построить переходный процесс. 5. Записать выражение и построить частотные характеристики цепи: АЧХ, ФЧХ, ДЧХ, МЧХ и АФЧХ (амплитудно-фазовую характеристику). 6. Описать динамику вашей цепи в терминах пространства состояния. Схема электрической цепи
Дано: R = 5 L = 10 C = 12
При подстановке данных получаем окончательное дифференциальное уравнение:
Применим преобразование Лапласа и запишем передаточную функцию для данной цепи
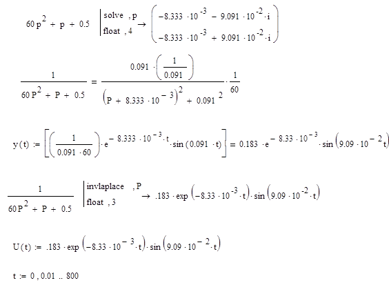
Решаем характеристическое уравнение:
График переходного процесса
Заменим P = jω , получая комплексную переменную:
Решаем алгебраически: АФЧХ :
ДЧХ :
ФЧХ :
С помощью MathCAD строим все виды характеристик цепи:
Графики частотных характеристик цепи: ДЧХ и МЧХ:
АЧХ: ФЧХ:
АФЧХ:
Опишем динамику нашей цепи в терминах пространства состояния. Компактная форма:
Составляем матрицу A:
Составляем матрицу единичную матрицу Ep:
Выражение для передаточной функции:
Составляем матрицу из алгебраического дополнения:
Составляем транспонированную матрицу:
Находим определитель ∆
Выражение для передаточной функции:
При подстановке данных, получаем:
Дискретная форма. Передаточная функция равна:
Находим корни корни характеристического уравнения:
Из таблицы оригиналов и значений:
Произведем подстановку данных:
Разделим числитель и знаменатель на z в max степени:
Следовательно:
где m- максимальная степень z, L- максимальная степень z в знаменателе:
Находим, целю часть:
Следовательно:
График дискретной функции :
|
































