Лабораторная работа: Лінійне програмування
|
Название: Лінійне програмування Раздел: Рефераты по информатике Тип: лабораторная работа | ||||||||||||||||||||||||||||||||||||||||||||||||||||||||||||||||||||||||||||||||||||||||||||||||||||||||||||||||||||||||||||||||||||||||||||||||||||||
Завдання до лабораторної роботи "Транспортна задача" Завдання 1. Створити новий документ на основі шаблону Самостійна робота та скопіювати до документу умови задачі. Завдання 2. Записати математичну модель задачі (використовуючі редактор формул). Завдання 3. Знайти розв"язок задачі із використанням задачі пошуку рішень табличного процесора Excel. У процесі запису математичної моделі задачі до комірок ЕТ викорисовувати функцію СУММПРОИЗВ() Завдання 4. Зберегти документи Word і Excel у паці Самостійна робота. Задача До піприємства харчової галузі надходить сировина із різних КСП. Сировина надходить із будь-якого КСП на будь-яке підприємство. Потреби, запаси і тарифи перевезень наведені у таблиці. Скласти Оптимальний план перевезень (із найменшими витиратами).
Математична модель задачі буде мати наступний вигляд F(x)=4 x11+x12+10 x13+2 x21+3 x22+2 x23+x31+2 x32+5 x33
Цільова функція 2950
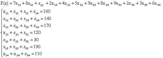
1.ЗАГАЛЬНИЙ ВИГЛЯД РОЗВ ’ ЯЗКУ ТРАНСПОРТНОЇ ЗАДАЧІ: Математична модель задачі буде мати наступний вигляд
1. Порядок виконання 1. 2. Як викликати "Редактор формул"? Вставка – обьект - microsofteguation 3.0 1. 3. Як вибрати необхідну функцію? Вставка – функція 4. Яким чином задаються обмеження? Обмеження задаються за допомогою “ПОИСК РЕШЕНИЯ” – ОГРАНИЧЕНИЯ - ДОБАВИТЬ |
||||||||||||||||||||||||||||||||||||||||||||||||||||||||||||||||||||||||||||||||||||||||||||||||||||||||||||||||||||||||||||||||||||||||||||||||||||||


