Курсовая работа: Анализ ассортимента, экспертиза качества и хранение вафель в розничной торговой сети Сампо

Название: Анализ ассортимента, экспертиза качества и хранение вафель в розничной торговой сети Сампо
Раздел: Рефераты по культуре и искусству
Тип: курсовая работа

Государственное образовательное учреждение высшего профессионального образования

ПЕТРОЗАВОДСКИЙ ГОСУДАРСТВЕННЫЙ УНИВЕРСИТЕТ

Кафедра зоотехнии и товароведения экспертизы продовольственных товаров

ЕВСЕЕВА Людмила Владимировна

Анализ ассортимента, экспертиза качества и хранение вафель в розничной торговой сети «Сампо»

Курсовая работа по товароведению и экспертизе кондитерских и вкусовых товаров

Научный руководитель: Майорова А.С.

Петрозаводск – 2010


Оглавление


Введение

Кондитерские изделия— это продукты высокой калорийности и усвояемости, отличающейся приятным вкусом и ароматом, состоящие, главным образом, из сахара или другого сладкого вещества, а также патоки, различных фруктов и ягод, молока, какао продуктов, сливочного масла, орехов, пшеничной муки, пектина и др.

Разнообразные кондитерские товары подразделяют на две группы: сахаристые (сахарные) и мучные. К сахаристым относят фруктово-ягодные изделия, карамель, драже, шоколад, какао-порошок, конфеты, ирис, халву и восточные сладости типа карамели и конфет. К мучным, кондитерским изделиям относят печенье, пряники, вафли, кексы, ромовые баба, рулеты, мучные восточные сладости, торты, пирожные.

Впервые вафли появились в Германии в 13 веке. Однако, тогда их готовили только дома, и они лишь отдаленно напоминали современные вафли, ведь толщина вафельного листа была 13 сантиметров. Промышленное производство вафель началось в 1856 году в Чехии. Одна из чешских пекарен производила от двухсот до пятисот тысяч вафель в год. В качестве начинки чешские кондитеры использовали смесь миндаля и сахара. В СССР только в 1957 году был открыт первый цех по производству вафель. По уровню оснащения и механизации он превосходил все существующие тогда вафельные цеха в Европе. В год советские кондитеры производили до 6 тысяч тонн вафель.

Ассортимент вырабатываемых в нашей стране кондитерских изделий разнообразен, непрерывно изменяется и насчитывает около 5000 наименований. Общий объём производства составляет 2,2 млн. т в год. Российский рынок считается вторым в мире (после США) по производству кондитерских изделий. Устойчивыми темпами развивается производство мучных изделий (54% общего объема). Кондитерские изделия всегда украшают наш стол и, обладая приятным ароматом, вкусом и привлекательным видом, компенсируют высокобелковое питание человека. Поскольку в этих изделиях очень мало свободной влаги, то сроки хранения позволяют применять их для экспедиций и армейских пайков, туристических походов и восхождений на вершины гор. Именно углеводное питание за счёт кондитерских изделий помогает человеку выдержать длительные физические нагрузки. Однако большой спрос на эти изделия способствует появлению различных фальсификатов. (Романов А.С. 2005)

Пищевая ценность кондитерских изделий обусловлена имеющимся в них комплексом необходимых организму человека веществ (углеводов, белков жиров, минеральных веществ, витаминов и др.). Основными направлениями в разработке новых видов кондитерских изделий являются совершенствование ассортимента товаров для детского и диетического питания, увеличение количества белка, снижение содержания углеводов, и в первую очередь сахаров. С целью сохранения белка, витаминов, ферментов и других биологически-активных веществ изыскиваются также новые технологические процессы производства кондитерских изделий.

В настоящее время по объему производства мучные изделия занимают второе место после сахарных. Их производят специализированные и универсальные кондитерские фабрики, кондитерские цехи хлебокомбинатов, ресторанов и т.п. Наряду с автоматизированными поточными линиями по выпуску печенья, крекеров, вафель производительностью выше 1000 кг/ч, мучные кондитерские изделия производятся небольшими участками в количестве от100 до 300 кг/ч. При этом, менее механизированным остается производство тортов и пирожных.Последнее десятилетие общее состояние здоровья россиян имеет негативные тенденции. Продолжает сокращаться средняя продолжительность жизни, растет общая заболеваемость населения, в значительной мере связанная с нарушением нормального питания. Эти нарушения в питании населения обусловлены как резким ухудшением экономического состояния большей части населения Российской Федерации, так и кризисным состоянием производства продовольственного сырья и пищевых продуктов.

Большая часть населения страны испытывает дефицит в витаминах, минеральных элементах и других биологически активных веществах. Этот фактор является одной из основных причин снижения иммунитета организма, усиления развития многих заболеваний и сокращения продолжительности жизни.

Развитие многих заболеваний усиливается и в связи с несовершенной структурой питания (высокий уровень потребления продуктов с высоким содержанием жира, рафинированных и консервированных продуктов, недостатком продуктов растительного происхождения и пр.)

Преобразования на рынке кондитерских изделий, происходящие в последние годы, в значительной степени изменили традиционные подходы к этой группе продуктов. Они постепенно превратились из высококалорийных десертов в важные и излюбленные компоненты пищевого рациона людей всех возрастных групп.

Цель проекта: изучить потребительские свойства товара, научиться обеспечивать уход за ним для правильной организации обслуживания покупателей, а также хорошо ориентироваться в вопросах, касающихся особенностей сырья, технологии, формировании ассортимента, потребительских свойств и качества кондитерских изделий на всём протяжении их жизненного цикла.

Объектом курсовой работы является вафли.

Предметом исследований является анализ ассортимента, экспертиза качества и хранение вафель в розничной торговой сети – хлебозавод «Сампо».

Цель данной курсовой работы – закрепление и углубление теоретических знаний и практического опыта по специальности, приобретение навыков самостоятельной работы с литературой, по анализу результатов торговой деятельности, повышения уровня знаний в сфере товароведения и экспертизы продовольственных товаров.

Для достижений данной цели, необходимо решить следующие задачи:

· Изучить литературу по исследуемой теме;

· Определить методы исследований (экспертизы);

· Дать краткую характеристику хлебозавода «Сампо».

· Определить источники поступления вафель в магазин «Сампо 12»;

· Проанализировать ассортимент вафель;

· Изучить организацию контроля за качеством вафель на хлебозаводе «Сампо»;

· Рассмотреть вопрос по экспертизе качества и хранению вафель в розничной торговой сети;

· Определить факторы, влияющие на формирование ассортимента и качества вафель в магазине «Сампо 12».

Структура работы: курсовая работа состоит из введения, двух глав, заключения, списка использованной литературы, приложений.

Практическая часть курсовой работы будет построена на примере действующего предприятия хлебозаводе «Сампо», расположенного в городе Петрозаводске по адресу: Первомайский пр. 76.

1.Обзор литературы

1.1.Пищевая ценность вафель и пути её повышения

Кондитерскими товарами называются пищевые изделия, большая часть которых состоит из сахара, чаще всего видоизменённого, или другого сладкого вещества (мёд. Ксилит, сорбит), а также патоки, различных фруктов, ягод, молока, сливочного масла, какао-бобов и т.д. (А.Ш. Шепелев, 2004).

В их состав входят разнообразные виды сырья, содержащие белки, жиры, углеводы, благодаря которым они характеризуются высокой пищевой ценностью.

Мучные кондитерские изделия – группа разнообразных высококалорийных продуктов, значительно различающихся по рецептурному составу, технологии производства и потребительским свойствам. Они обладают высокой пищевой ценностью, прекрасными вкусовыми достоинствами и привлекательным внешним видом. Эти свойства присущи кондитерским изделиям благодаря применению для их производства многих видов натурального высококачественного сырья.

Ассортимент кондитерских изделий весьма разнообразен и благодаря хорошей усвояемости, высокой калорийности может удовлетворять практически любые запросы и вкусы населения.

Для оценки качества и характеристики «полезности» пищевых продуктов введено понятие их «пищевой ценности».

Пищевая ценность – это совокупность свойств продукта, определяющая его способность удовлетворять физиологические потребности организма в питательных веществах и энергии . Химический состав пищевых продуктов.

Обогащение пищевых продуктов должно осуществляться на основе принципов, сформулированных зарубежными и отечественными учёными с учётом основополагающих данных современной науки о роли питания и отдельных пищевых веществ и поддержании здоровья и жизнедеятельности человека, о потребности организма в отдельных пищевых веществах и энергии, о реальной структуре питания и фактической обеспеченности витаминами, макро- и микроэлементами населения нашей страны, а также с учётом огромного и многолетнего опыта по разработке, производству, использованию и оценке эффективности обогащённых продуктов питания в нашей стране и за рубежом.

С другой стороны, обогащение – это серьёзное вмешательство в традиционную пищевую технологию, требующее от специалистов пищевой промышленности не только сугуцбо технологических знаний, но так же знаний по пищевой химии, биохимии, гигиене питания, владения вопросами взаимодействия микронутриентами и их сохранения в ходе технологического процесса производства и хранения продуктов питания.

Наиболее важные принципы обогащения:

1. для обогащения следует использовать те элементы, дефицит которых реально имеют место и широко распространён.

2. обогащать витаминами и минеральными веществами следует прежде всего продукты массового потребления, доступные для всех групп.

3. гарантируемое производителем, содержание витаминов и минеральных веществ в обогащённом ими продуктом питания должно быть достаточно для удовлетворения данным продуктом 30-50% средней суточной нормы в этих элементах при обычном уровне потребления этого продукта.

4. обогащение не должно ухудшать потребительские свойства продуктов: уменьшать усвояемость, снижать вкусовые свойства, аромат, сокращать срок хранения.

При выборе элементов, предназначенных для обогащения, следует учитывать. Что вафли являются источником витамина В, по этому целесообразно обогащать дополнительно кальцием и калием. В соответствии с принципом 2, кондитерские изделия являются товаром повседневного спроса детского и взрослого питания, целесообразно обогащать витаминами и минеральными веществами (Романов А.С. 2005).

Энергетическая ценность любого пищевого продукта – это показатель, характеризующий количество энергии, которое освобождается из химических соединений, входящих в состав данного продукта, в процессе биологического окисления их в организме. Показатели энергетической ценности рассчитываются на 100 г пищевого продукта (его съедобной части) и обычно выражаются в килокалориях. Энергетическая ценность в расчёте на 100г продукта колеблется от 1200 кДж до 2300кДж.

Для определения пищевой и энергетической ценности продуктов пользуются специально разработанными таблицами химического состава пищевых продуктов.

Таблица 1

Сводная рецептура вафель «Фруктовые»

Сырье Массовая доля СВ, % Расход сырья на 1т изделий, кг Расход сырья на 100г изделий, г
В натуре В СВ В натуре В СВ
Мука пшеничная в/с 85,50 248,97 212,87 24,91 21,26
Меланж 27,00 19,92 5,38 1,99 0,5
Масло растительное 100,00 4,98 4,98 0,49 0,5
Соль 96,50 1,25 1,21 0,13 0,12
Сода 50,00 1,25 0,63 0,13 0,06
Сахарный песок 98,50 615,09 614,17 61,51 61,42
Джем яблочный 10,00 282,33 28,23 28,23 2,82
Джем абрикосовый 10,00 282,33 28,23 28,23 2,82
Итого - 1456,12 895,7 145,62 89,5
Выход 86,70 1000,00 867,00 100 100

Таблтца 2

Химический состав и энергетическая ценность вафель «Фруктовые»

Сырье Вода Белки Жиры Углеводы Энергетическая ценность
полисахариды Моно- и дисахариды ккал кДж
Мука пшеничная в/с 14,0 10,3 0,9 74,2 1,8 327 1368
Меланж 74,0 12,7 11,5 0,7 - 157 657
Масло растительное 0,1 0 99,9 0 0 899 3761
Соль 3,0 0 0 0 0 0 0
Сода 0,1 0 0 0 0 0 0
Сахарный песок 0,14 0 0 99,8 99,8 374 1565
Джем яблочный 29,8 0,4 0 68,7 66,2 260 1088
Джем абрикосовый 25,9 0,5 0 71,9 68,8 273 1142

В зависимости от применяемого сырья, техноло­гии его переработки и конечного продукта, все кондитерские изделия, вырабатываемые на предприятиях России, подразделяются на две боль­шие группы: сахарные и мучные.

К сахарным относят конфеты, шоколад и какао продукты, мармеладо-пастильные изделия, карамель, халву, ирис, драже, восточные сладости. Основным компонентом в рецептуре этих изделий является сахар. Группа мучных кондитерских изделий включает печенье, пряники, вафли, галеты, крекер, кексы, рулеты, торты, пирожные. Эти изделия также отличаются высоким содержанием сахара, однако главным компонентом рецептуры при их производстве в подавляющем большинстве случаев (исключение – изделия из сбивного теста) является мука.

Кондитерский рынок стабильно развивается благодаря расширению производства новых видов продукции, улучшению её качества и использованию прогрессивных упаковочных материалов. Наращивание объемов производства в большей степени зависит от выбора пищевых добавок. Особое внимание уделяется созданию кондитерских изделий, отвечающих потребностям конкретных групп населения: детей различного возраста, людей с различными заболеваниями (диабет и др.) и испытывающих различные физиологические нагрузки.

Вафли – кондитерские изделия, представляющие собой тонкопористые листы, с начинкой или без неё. Это очень мягкие изделия, обладающие хрупкостью и малой толщиной. Они удачно сочетаются с другими пищевыми продуктами, поэтому их используют для производства конфет, тортов, мороженого. Форма вафель прямоугольная, круглая, треугольная, фигурная или в виде палочек. Вафли готовят с жировой («Ананасные», «Апельсиновые», «Лимонные», «Ягодные»), пралиновой («Карнавальные», «Невские» «Миндаль», «Орешки», «Ракушки»), фруктовой («Натура», «Таежные», «Фруктовые»), кремовой, помадной или другими начинками. Для каждого вида определённые размеры. Они могут быть частично или полностью глазированы шоколадной глазурью («ChocoFriend», «Afrika») или иметь другую внешнюю отделку. (Рыжакова А.В, 2005).

Процесс производства вафель включает приготовление вафельного листа и начинки, их соединение, охлаждение, резку на штучные изделия и упаковку. В зависимости от рецептуры вафельные листы делятся на три вида: сахарные сдобные (мука высшего сорта, сахар, яичные желтки, молоко и жир); полусахарные (без молока); простые ( без молока, сахара, масла и жира).

Технология приготовления вафель включает следующие стадии: замес теста, формирование и выпечка вафельных листов, приготовление начинок, формирование пласта, охлаждение его и разрезание на отдельные изделия, упаковывание. Вафельное тесто имеет жидкую консистенцию с влажностью 63-66%. Особые требования предъявляют к пшеничной муке по качеству и количеству клейковины: оптимально использование муки со слабой клейковиной, её содержание не выше 32%.

Замес вафельного теста можно осуществлять непрерывным и периодическим способами. Замес вторым способом производиться в тестомесильной машине, куда в определённой последовательности вводят: химический разрыхлитель, соль, воду (10% от общего количества), меланж, пищевые фосфатиды в виде эмульсии и растительное масло. Сырьё тщательно перемешивают в течение 30мин, вводят оставшееся количество воды, затем добавляют муку по рецептуре.

Формирование и выпекание вафельных листов из теста осуществляются при температуре 170-180 градусов в течении 2-4 мин. В электрических печах. Готовые листы охлаждают и прослаивают начинкой.

Применяются различные начинки. Жировая начинка представляет собой смесь кондитерского жира, сахарной пудры, кислоты и ароматизаторов. В рецептуру некоторых начинок входит какао-порошок. Помадная начинка готовится путём смешивания помады с жиром, пищевыми фосфатидами и сорбитом.

1.2. Классификация и характеристика ассортимента вафель

Ассортимент кондитерских изделий постоянно растет. Разработано большое количество рецептур кондитерских изделий повышенной витаминной ценности с применением биологически активных добавок. Перспективным направлением при этом является использование в производстве кондитерских изделий фруктово-овощных, ягодных добавок (морковь, яблоки, тыква, кабачки, свекла, облепиха и т.д.) в виде пюре, паст, порошков, сиропов и др. К примеру, разработаны рецептуры сахарного печенья с использованием томатного масла и белково-томатной масляной пасты, в результате чего получаются продукты высокой витаминной ценности.

Вафли вырабатывают с начинкой и без неё. Размер вафель с начинкой должен быть (мм, не более): прямоугольных – длина 140, ширина 70; длина палочек – 300, диаметр круглых – 70, а в вафлях без начинки нормируется только толщина – не более 10 мм. Размер мелких вафель не устанавливают.

В реализацию поступают главным образом сахарные и полусахарные вафли, а простые используются для производства конфет, тортов, мороженого.

Сахарные вафли используются для производства вафель без начинок – Динамо (смесь вафель, имеющих вкус и запах какал, кофе, ванилина). Полусахарные вафли идут на производство вафель с начинкой, в зависимости от которых различают следующий ассортимент: - с фруктовой начинкой –Фруктовые, Лесная быль, Фруктово-ягодные, Осень, Лесная поляна;

- с помадной начинкой – Берёзка;

-с жировой начинкой – Лимонные, Апельсиновые, Ягодные, Солнечные, Снежок;

- пралине и типа пралине – Невские, Ореховые, Минутка, Ракушки, Спартак;

- диабетические с жировой начинкой.

Наибольшее распространение получили вафли с жировой начинкой, во многом, благодаря вкусовым характеристикам. Кроме этого, вафли с жировой начинкой выделяются среди остальных отсутствием в начинке свободной влаги, благодаря чему, хрустящие свойства вафель сохраняются дольше. Главными компонентами рецептуры жировых начинок являются сахарная пудра и кондитерский жир.

Вафли с фруктовой начинкой должны заинтересовать людей, ведущих здоровый образ жизни. Ведь, козырем этих вафель является низкая калорийность, благодаря отсутствию кондитерского жира. Кроме этого вафли с фруктовой начинкой обладают высокими органолептическими показателями. К большому сожалению, из-за высокой влажности начинки, всеми любимые хрустящие свойства этих вафель часто не сохраняются пока вафли проходят тернистый путь от конвейера до Вашего стола. Основными компонентами при изготовлении являются фруктовое пюре и сахар. Именно поэтому вафли с фруктовой начинкой так напоминают вкус мармелада.

Среди популярных начинок для вафель можно выделить вафли с начинкой типа пралине. Как правило, в их составе содержится обжаренные ореховые ядра, растертые с сахаром и жиром. В остальном они мало чем отличаются от вафель с жировой начинкой. Благодаря высокому содержанию орехов эти вафли являются источником растительного белка и витаминов группы B.

Начинку для вафель с помадной начинкой делают из сахара и патоки с добавлением молока, фруктово-ягодного сырья и других ингредиентов. Вафли с помадной начинкой можно отличить по ярко-выраженному молочному вкусу.

Вафли с начинкой изготавливаются с различным сочетанием вафельных листов и начинок. Бывают трехслойные и пятислойные. Трехслойные вафли вырабатываются с одним слоем начинки, вафельные листы находятся снаружи. Такие вафли в основном вырабатываются с влагосодержащими начинками: помадными, фруктовыми и другими. Пятислойные вафли состоят из двух слоев начинки, находящихся между тремя вафельными листами. Сами вафельные листы также имеют классификацию.

В зависимости от рецептуры теста вафельные листы делятся на 3 вида:

  • сахарные сдобные (мука высшего сорта, сахар, яичные желтки, молоко и жир)
  • полусахарные (без молока)
  • простые (без молока, сахара, масла и жира)

Сахарные вафельные листы используют для изготовления вафель без начинок – вкус и запах таких вафель определяется ароматизаторами, которые добавляют непосредственно в момент изготовления вафельного листа. Полусахарные вафельные листы используются при изготовлении вафель с начинками. Ну а простые вафельные листы используются для производства конфет, тортов, мороженного и других изделий в качестве полуфабриката.

Вафли бывают глазированными и не глазированными. В качестве глазури может использоваться шоколад или другая кондитерская глазурь. Традиционно вафли выпускаются в прямоугольной форме в весовом виде и фасованные в пачки. В последнее время набирают популярность вафельные батончики – по сути те же вафли, но другой формы. Как правило, глазированными вафли встречаются именно в виде батончиков.

1.3 Требования к качеству

Требования предъявляемые к качеству сырья: для производства вафель с фруктовой начинкой хорошего качества необходимо использовать только высококачественное сырье, поэтому знание требований, предъявляемых к сырью, крайне необходимо.

Для производства вафельного листа используются следующие основные виды сырья: мука пшеничная высшего сорта, желтки или меланж, масло растительное. К дополнительному сырью относятся соль, сода, фосфатидный концентрат. Сырьё, применяемое при изготовлении вафель, должно соответствовать требованиям действующих стандартов или технических условий.

Для производства вафель используется пшеничная мука высшего сорта.

Качество муки характеризуется ее цветом, вкусом, запахом, влажностью, зольностью, содержанием различных примесей, крупностью помола, а также количеством и качеством клейковины (ГОСТ 26574-85).

Мука высшего сорта должна иметь белый цвет или белый со слабо выраженным кремовым оттенком.

Вкус муки должен быть свойственным пшеничной муке (слегка сладковатый). Горьковатый или кисловатый привкус, затхлый, плесневелый или посторонний запах свидетельствуют о недостаточной свежести муки или наличие в ней посторонних примесей, что не допускается при производстве вафель и других кондитерских изделий.

Согласно действующим нормам влажность муки должна быть не более 15 %. В рецептурах принята влажность 14,5 %.

Мука обладает гигроскопичностью, поэтому в складе необходимо поддерживать относительную влажность воздуха 60-70% и температуру 15-18 °С.

Зольность муки высшего сорта не должна превышать в пересчете на сухое вещество 0,55 %. Это один из основных объективных показателей, определяющих сортность муки.

В муке может быть мине­ральная примесь, которая попадает при помоле от трущихся частей жерновов, или земля с поверхности зерна. Эти примеси нежелательны, и содержание их не должно превышать 0,1 % (при разжевывании не должно ощущаться хруста).

Зараженность и загрязненность вредителями не допускается.

Чем крупнее частицы муки, тем медленнее происходит ее набухание. С уменьшением раз­меров частиц и с увеличением их удельной поверхности резко возрастает водопоглотительная способность.

Размер частиц муки определяют, просеивая ее на лабора­торном рассеве через контрольные сита. Муку высшего сорта просеивают через одно сито.

Массовая доля сырой клейковины в муке является одним из важнейших показателей ее качества и должна быть в муке высшего сорта не ниже 28 %. Регламентируется в муке и качество сырой клейковины. Оно должно быть не ниже второй группы.

В зависимости от рецептуры в состав вафельных листов входят яичные желтки или меланж. Введение яиц, наряду с повышением питательных и вкусовых достоинств, придает изделиям пористость, хрупкость, рассыпчатость. Желток яйца содержит лецитин, являющийся эмульгатором. Благодаря этому структура теста и изделий из него значительно улучшаются.

Для производства вафельного теста, как правило, используется нерафинированное подсолнечное масло высшего или первого сорта. Вкус и запах этого масла должен быть свойственным подсолнечному маслу, без постороннего запаха, привкуса и горечи. Наличие сетки над осадком не является браковочным фактором. Кислотное число для высшего сорта должно быть не более 1,5 мг, для первого – не более 2,25 мг (ГОСТ 1129 - 93).

Поваренная соль применяется как вкусовое вещество, а также как улучшитель физических свойств теста.

Соль должна быть без запаха и без посторонних механических примесей, заметных на глаз.

Сода пищевая (гидрокарбонат натрия) представляет собой белый кристаллический порошок с солоноватым слабощелочным вкусом. Применение соды как разрыхлителя теста основано на том, что при добавлении кислоты или нагревании она выделяет углекислый газ, который и способствует разрыхлению теста.

В производстве мучных кондитерских изделий фосфатидный концентрат используются для улучшения качества теста и получения стойких эмульсий. К качеству фосфатидных концентратов предъявляют следующие требования. Вкус – свойственный фосфатидам, не допускается прогорклый, кислый или какой-либо другой посторонний привкус.

Для производства фруктовых начинок для вафель требуются следующие виды сырья: сахар, пюре фруктовое, припасы, кислота лимонная, ароматизаторы пищевые.

Сахар-песок согласно требованиям соответствующего стандарта должен состоять из однородных кристаллов с ясно выраженными гранями. Он должен быть сыпучим, не липким и сухим на ощупь, сладким, без постороннего привкуса и запаха, как в сухом сахаре, так и в его водном растворе. Цвет сахара-песка должен быть белым, а сахара-песка для промышленной переработки – белый с желтоватым оттенком. Он полностью растворяется в воде и дает прозрачные или слабо опалесцирующие растворы без нерастворимого осадка и посторонних примесей. В сахаре-песке не должно быть комков непробеленного сахара, слипшихся кристаллов и посторонних примесей. Влажность сахара-песка допускается не более 0,14 %.Содержание сахарозы - не менее 99,75 %, редуцирующих веществ - не более 0,05 %, зольных веществ - не более 0,04 %. Для сахара-песка для промышленной переработки эти показатели соответственно равны 99,55 %, 0,065 % и 0,05 % (ГОСТ 4495-87).

Пюре фруктовое – наиболее распространенный вид фруктово-ягодного сырья, используемого в кондитерской промышленности. Оно готовится из плодов и ягод одного вида и имеет наименование в зависимости от применяемого сырья.

Пюре фруктово-ягодное должно удовлетворять следующим требованиям ТУ 10.963.11-90: внешний вид – однородная протертая масса без частиц волокон, семян, косточек, наличие посторонних примесей не допускается. Вкус и запах должны быть натуральными, хорошо выраженными, свойственными данному виду продукции. Не допускаются посторонние привкусы и запахи. Цвет – свойственный плодам или ягодам данного сорта, из которых изготовлено пюре-полуфабрикат. Пюре из яблок – от светло-желтого до кремового (из красных яблок – допускаются более желтые оттенки). Из абрикосов – от светло-желтого до оранжевого. Массовая доля сернистого ангидрида должна быть в пределах 0,15-0,2 %, минеральных примесей не более 0,03 %, наличие посторонних примесей не допускается. Влажность абрикосового пюре – не более 12,0 %, яблочного – не более 9,0 %.

Припасы представляют собой полуфабрикаты, приготовленные из свежих фруктов и ягод, которые обладают сильно выраженным ароматом. Назначение припасов – придать кондитерским изделиям вкус и запах натуральных фруктов и ягод. Припасы консервируют сахаром и изготовляют двумя способами: горячим (пастеризованные) и холодным (непастеризованные). Последние готовят только из вишни, земляники (клубники), малины и черной смородины. Они должны представлять собой густую протертую однородную массу, в которой допускается присутствие семян ягод малины, земляники, клубники и черной смородины. Вкус и запах припасов должен быть ясно выраженным, свойственным соответствующим натуральным фруктам или ягодам, без посторонних привкусов и запахов. Вкус сладкий или кисло-сладкий, цвет, соответствующий данному виду фруктов или ягод (ГОСТ 8756 - 89).

Кислота лимонная и ароматизаторы являются дополнительным сырьем в кондитерском производстве.

Кислота лимонная используется для подкисления кондитерских изделий. В зависимости от качества вырабатывается трех сортов: экстра, высшего и первого. Внешний вид – бесцветные кристаллы или белый порошок без комков. В первом сорте допускается желтоватый оттенок. Двухпроцентный раствор кислоты должен быть прозрачным, не содержать механических примесей и не иметь запаха. Вкус – кислый, без посторонних привкусов. Структура – сыпучая, сухая (ГОСТ 908-79).

Качество пищевых ароматизаторов должно соответствовать следующим требованиям. Внешний вид – прозрачная жидкость, запах – соответствие контрольному образцу. Кроме того, для каждого вида ароматизатора регламентируются цвет, показатель преломления и плотность. Во всех видах и наименованиях эссенций не допускается присутствие мышьяка, солей меди и свинца. Кроме того, в ароматизаторах нормируется крепость (концентрация спирта) – растворителя и содержание композиции душистых веществ (ГОСТ 10-273-99).

Вода является вспомогательным сырьём при производстве кондитерских изделий.

Применяемая непосредственно в изделия, а также для мытья производственного оборудования вода должна соответствовать всем требованиям, предъявляемым к питьевой воде. Необходимо, чтобы она имела чистый вкус и прозрачность, была безопасной по бактерицидному составу и безвредной по содержанию химических веществ

Качество должно соответствовать следующим требованиям. Внешний вид – поверхность должна быть с чётким рисунком, края – с ровным обрезом, без подтёков. Вафли должны иметь одинаковый размер и правильную форму, установленную для данного наименования. Поверхность глазированных вафель - без пузырей, пятен и трещин.

Вафельный лист плотно соприкасается с начинкой, которая не должна выступать за края.

Допускается наличие (по счету) 4% в партии вафель с неплотным прилеганием листов к начинке, а также 6 – с явными следами начинки на внешней поверхности и 7% - с явно повреждёнными углами, неровным обрезом и трещинами на поверхности. Для вафель без начинки допускается 10% в партии ломаных вафельных листов.

Вкус и запах должны быть свойственными наименованию вафель, без постороннего привкуса и запаха. Цвет – от светло-жёлтого до жёлтого для вафель с начинками и светло-коричневый для вафель без начинки, без подгорелостей.

На изломе вафельные листы должны быть равномерно пропечённые, хрустящие, с развитой пористостью. Начинка – однородной по консистенции, без крупинок и комочков, равномерно распределена. Начинка пралине, типа пралине и жировая – легко тающая, нежная, маслянистая (Рыжакова А.В, 2005).

Физико-химические показатели вафель. Влажность в вафлях колеблется от 0,5 до 9%, массовая доля общего сахара (в просчёте на сухое вещество) – от 0 до 74% в зависимости от рецептуры; массовая доля жира также определяется рецептурой и колеблется от 0 до 42%.

Щёлочность учитывается только в вафлях без начинки типа Динамо – до 1; массовая доля золы, нерастворимой в 10%-ном растворе HCl, - не более 0,1%.

Влажность вафельных листов низкая - 3 - 4%, количество начинки обычно 75 - 80%. Содержание сахара, жира нормируется стандартами. Кроме того для вафель нормируются микробиологические показатели (МАФАМ, БГКН, дрожжи, грибы) и содержание токсичных элементов (Шепелев А.Ф. 2004).

К реализации не допускаются вафли со следующими дефектами: салистые, прогорклые, затхлый привкус и запах; загрязнённые, влажные на ощупь, с неплотным прилеганием листов к начинке, с выступающей за края начинкой и подтёками; глазированные с пузырями, пятнами и трещинами; неоднородные по окраске и консистенции начинки, а также в промаслившейся упаковке.(Чепурной И.П. 2008).

1.4 Хранение вафель

Упаковывают вафли массой до 250г в пачки или пакеты, в коробки – до 1500 фигурные, а диабетические – до 100г укладывают рядами, одинаковым рисунком в одну сторону.

Пачки и коробки с вафлями массой не более 20кг укладывают в фанерные и дощатые ящики, из гофрированного картона – не более 16кг. Пакеты массой не более 8 кг помещают в ящики. Весовые вафли упаковывают рядами, которые перестилают оберточной бумагой, в ящики массой нетто (в кг): для плоских вафель с начинкой - до 16, без начинки - до 8; фигурных с начинкой - до 4.

При расфасовке в пачки вафли завертывают вхудожественно оформленную этикетку из писчей бумаги или этикеточной бумаги и в один из следующих видов подвертки: пергамент, подпергамент, пергамин, целлофан, фольгу. Для вафель с фруктовой начинкой в качестве подвертки лучше применять писчую бумагу, т.к. влагопроницаемая писчая бумага способствует удалению избыточной влаги из вафельных листов и сохранению их хрустящих свойств.

Коробки при расфасовке в них вафель с фруктовыми начинками должны выстилаться пергаментом, подпергаментом, пергамином, целлофаном, фольгой или писчей бумагой. Коробки должны быть оклеены художественно оформленной этикеткой, допускается нанесение художественной печати непосредст­венно на коробку. .

Коробки перевязывают цветной бумажной, галунной или шел­ковой лентой, или заклеивают этикеткой с нанесенным товарнымзнаком.

Краски на этикетках должны быть немаркими, маркировка – четкой. Свободные места в коробках должны быть заполнены бумажной стружкой или подушечкой из бумаги.

Пакеты для расфасовки вафель должны изготовляться из целлофана или полимерных пленок, разрешенных к упаковке продуктов Министерством здравоохранения РФ. Пакеты должны быть художественно оформлены и утверждены в установленном порядке.

Пакеты должны быть обвязаны цветной лентой либо заклеены этикеткой с нанесенным товарным знаком.

Пачки и коробки с вафлями укладывают в ящики из гофрированного картона массой нетто не более 16 кг.

Весовые вафли укладывают рядами на ребро или плашмя с
перестилкой рядов бумагой.

Все виды тары, а также материалы, применяемые при упаковке вафель, должны быть чистыми, сухими, без посторон­него запаха и соответствовать требованиям действующих стандар­тов или технических условий.

На ящики наносят маркировку, содер­жащую: товарный знак и наименование предприятия-изготовителя, его местонахождение; наименование продукта; массу (нетто и брутто), а для продукции в мелкой упаков­ке — число единиц упаковки; дату выработки; порядковый номер прейскуранта розничных цен, срок хранения; надписи: «Хранить в сухом месте!», «Не бросать!»; номер настоящего стандарта.

Маркировку ящиков производят наклеиванием этикеток или четким оттиском по трафарету, или штампом несмывающейся, не имеющей запаха краской.

Вафли должны храниться в хорошо проветриваемых, су­хих, чистых, крытых складах, не имеющих посторонних запахов, незараженных амбарными вредителями, при температуре не выше 18 °С и относительной влажности

65-70 %.

Не допускается хранить вафли совместно с продуктами, имеющими специфический запах.

Ящики с вафлями должны быть установлены на стелла­жи штабелями высотой не более 2 м. Между штабелями и стеной оставляют проходы не менее 0,7 м, расстояние от источников тепла, водопроводных и канализационных труб должно быть не менее 1 м.

При соблюдении указанных требований устанавливают гарантийные сроки хранения вафель с жировой начинкой 2 месяца, с фруктовой начинкой 1месяц со дня выработки.( ГОСТ 14031-68. Вафли. Технические условия)

Допустимые отклонения массы нетто единицы упаковки (в %, не более) при массе вафель: до 200г – 5; от 200 до 500г – 2,5; свыше 500г – 1.

Хранят вафли при температуре 18 +/- 3 градуса и относительной влажности воздуха 65-70% в хорошо проветриваемых, сухих, чистых, крытых складах, не имеющих посторонних запахов, не заражённых вредителями. В процессе хранения вафель в неблагоприятных условиях они могут потерять хрупкость, отслаиваться от начинки. Вафли с жировой начинкой быстро приобретают привкус испорченного жира.

Сроки хранения со дня выработки следующие: вафли с жировой начинками – 1мес с помадными начинками – 25сут; с жировыми начинками на сливочном масле – 15сут; без начинок – 3мес. Этот срок может быть продлен, в условиях низких отрицательных температур и хранения вафель в полиэтиленовой упаковке.

Не допускается хранить вафли совместно с продуктами, имеющими специфический запах (Рыжакова А.В. 2005).

2. Исследовательская часть

2.1 Объекты и методы исследований

Кондитерские изделия нуждаются в особом контроле качества и безопасности, так как отличаются специфическими условиями производства, хранения, транспортирования, реализации и т.д. Нацелена на установление объективных, фактических данных о качестве производимых кондитерских изделий на всех стадиях производства, а также этапах поступления к конечному потребителю. Экспертиза качества кондитерских товаров – специальное компетентное экспертное исследование, в котором экспертной оценке повергается как готовая продукция, так и сырье, вспомогательные материалы, пищевые добавки.

Качество вафель определяют по вкусу и запаху, внешнему виду, цвету, строению на изломе, состоянию начинки. Из физико-химических показателей нормируют размеры (ширину, длину или диаметр, толщину), содержание жира, сахара, влажность(в соответствии с рецептурой), содержание золы, нерастворимой в 10%-ной соляной кислоте, а в вафлях без начинки — щелочность.

Экспертиза – это исследование каких-либо вопросов, решение которых требует специальных знаний, с представлением мотивированного заключения.

Экспертиза классифицируется на следующие виды:

Экологическая экспертиза товара. Экологические свойства товара характеризуются экологическими показателями, отражающими воздействие приобретённого товара на человека и окружающую среду в процессе потребления. Для этого используется экологическая экспертиза товара. Она предусматривает совокупности методов анализа и учитывает не только непосредственное потребление, но и все сопутствующие ему операции (хранение, транспортировку, разгрузку, погрузку и др.). Экологическое воздействие товара на потребителя чаще всего носит косвенный характер, иногда вызывая в окружающей среде нежелательные эффекты или необратимые изменения.

Экологические показатели качества товара включают две основные группы показателей, отражающих особенности воздействия на:

- на природную среду;

- на предметно-пространственную среду.

Товарная экспертиза подразделяется в зависимости от объектов которые подвергаются исследованию на экспертизу продовольственных и непродовольственных товаров. В процессе экспертизы определяют: соответствие товарных качеств действующим государственным стандартам, договорным условиям поставщика и покупателя; снижение качества товара прейскурантной или договорной цене; правильность уценки и переоценки товаров; размеры естественной убыли; причины брака товаров; обоснованность списания испорченных товаров из подотчёта материально-ответственных лиц на результаты хозяйственной деятельности предприятия и т.п.

Товарная экспертиза определяет также правильное наименование товара, назначение и соответствие изделий действующим товарно-транспортным документам.

Технологическая экспертиза исследует технологию обработки сырья, полуфабрикатов и изделий, изготовления продукции; соответствие продукции технологическим режимам и нормативам по количественному и качественному состоянию (Красовский П.А. 1998).

Методы экспертизы – это совокупность методических приёмов, которые применяются при экспертном исследовании потребительских товаров, отображённых в документах экспертизы.

Методы проведения экспертизы могут быть сгруппированы с учётом различных оснований. Для классификации методов выбрано два основания:

- различия, определяемые спецификой объекта экспертизы на стадиях разработки и эксплуатации;

- различия, определяемые особенностями подхода специалистов к решению стоящих задач и набором средств, используемых для их решения.

Необходимый метод товарной экспертизы устанавливается специалистом уже на предварительном этапе проведения товарной экспертизы. Известно, что существует два основных метода товарной экспертизы – измерительный метод товарной экспертизы и органолептический метод товарной экспертизы.

Методы подразделяются: 1. Эмпирический – основан на действиях и операциях с использованием средств измерений (технических или органов чувств) для определения действующих характеристик исследуемых объектов.

1.1. Органолептический метод товарной экспертизы используется для определения качества продукции. При использовании органолептического метода товарной экспертизы исследования приводятся путем восприятия человеческих органов чувств. Поэтому при использовании органолептического метода товарной экспертизы могут быть установлены такие критерии товара – внешний вид (внешнее восприятие и определение видимых дефектов), восприятие на ощупь (осязание), запах, звук, вкус. Естественно, что при применении органолептического метода товарной экспертизы не исключено и использование доступных измерительных и других технических средств, которые способны качественно улучшить чувственные восприятия, задействованные в данном методе товарной экспертизы. При использовании органолептического метода товарной экспертизы применяются линейки, весы, лупы, микроскопы и так далее.
1.2. Измерительный метод товарной экспертизы при определении качественных характеристик исследуемого объекта характеризуется использованием технических средств измерения. Измерительный метод товарной экспертизы дает экспертам достоверную информацию, которая исследуется, анализируется, сопоставляется и является основным критерием (в совокупности с последующими выводами) для составления экспертного заключения. Измерительные методы товарной экспертизы достаточно разнообразны – физико-технические, биологические, химические и прочие.
1.3. Регистрационный метод основан на наблюдении и подсчете числа определенных событий, случаев, предметов или затрат.

1.4. Социологический метод определения показателей качества основан на сборе и анализе мнений потребителей.

1.5. Биологический

2. Теоретический – основан на мыслительной деятельности или операциях в целях познания действительности.

2.1. Анализ

2.2. Сравнение

2.3. Синтез

2.4. Диагностика

2.5. Прогнозирование

2.6. Планирование

2.7. Абстрагирование

2.8. Моделирование

2.9. Конкретизация

2.10. Обобщение

2.11. Идеализация

2.12. Систематизация

3. Практический основан на технологических действиях и операциях, предназначенных для определении характеристик товара и обеспечении сохранности при товародвижении.

3.1. метод оценки качества

3.2. технологический

3.3. для определения сохранности товара

4.4. методы упаковывания

4.5.методы маркирования

4.6. методы транспортирования

4.7 методы хранения

4.8. методы товарной обработки

Из эмпирических методов использованы: органолептический, измерительный; из практических: оценки качества, упаковывания, маркирования, хранения.

2.2. Анализ ассортимента вафель, реализуемых в торговой сети ООО «Сампо». Магазин «Сампо-12»

Анализ ассортимента продовольственного магазина «Сампо 12». Площадь магазина 74кв. метра. Форма обслуживания - магазинная. Метод продажи товаров – через прилавок.

Поставщиком является Петрозаводский хлебозавод «Сампо».

Ассортимент – набор товаров, выделенных по определенному признаку.

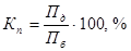
1. Широта ассортимента – количество видов, разновидностей и наименований товаров однородных и разнородных групп. Коэффициент широты (Кш ) выражается как отношение действительного количества видов, разновидностей и наименований товаров однородных и разнородных групп к базовому.

Действительная широта (Шд ) – фактическое количество видов, разновидностей и наименований товаров, имеющихся в наличии. Базовая широта (Шб ) – широта, принятая за основу для сравнения.

Широта может служить косвенным показателем насыщенности рынка товарами: чем больше широта, тем больше насыщенность. Широта выступает в качестве одного из критериев конкурентоспособности фирм (чем больше Кш тем конкурентоспособней фирма).

Чем шире ассортимент, тем более разнообразные потребности могут быть удовлетворены. С другой стороны, при сверхвысокой широте ассортимента потребителю трудно ориентироваться в этом многообразии, что затрудняет выбор нужного товара. Поэтому широта не может служить единственным показателем рациональности ассортимента.

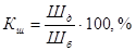
1. Полнота ассортимента– способность набора товаров однородной группы удовлетворять одинаковые потребности. Полнота характеризуется количеством видов, разновидностей и наименований товаров однородной группы.

Действительный показатель полноты (Пд ) – характеризуется фактическим количеством видов, разновидностей и наименований товаров однородной группы. Базовый показатель полноты (Пб ) – характеризуется регламентируемым или планируемым количеством видов, разновидностей и наименований товаров однородной группы.

Коэффициент полноты (Кп ) – отношение действительного показателя полноты к базовому.

Чем больше полнота ассортимента, тем выше вероятность того, что потребительский спрос на товары определенной группы будет удовлетворен, т.е. удовлетворены разнообразные потребности, обусловленные разными вкусами, привычками и иными факторами.

Чрезмерное увеличение полноты ассортимента также может затруднить выбор потребителя, поэтому полнота должна быть рациональной.

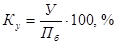
    Устойчивость ассортимента (У) – способность набора товаров удовлетворять спрос на одни и те же товары. Особенностью таких товаров является наличие устойчивого спроса на них.

Коэффициент устойчивости (Ку ) – отношение количества видов, разновидностей и наименований товаров, пользующихся устойчивым спросом у потребителей (У), к общему количеству видов, разновидностей и наименований товаров тех же однородных групп.

Выявление товаров, пользующихся устойчивым спросом, требует маркетинговых исследований методами наблюдения и анализа документальных данных о поступлении и реализации различных товаров.

Потребители товаров устойчивого ассортимента могут быть охарактеризованы как «консерваторы во вкусах и привычках». Оценив определенное наименование товара, они долго не меняют свои предпочтения. Изготовители и продавцы чаще всего стремятся расширить количество товаров, пользующихся устойчивым спросом. Однако следует иметь в виду, что вкусы и привычки со временем меняются.

    Новизна (обновление) ассортимента (Н) – способность набора товаров удовлетворять изменившиеся потребности за счет новых товаров.

Новизна характеризуется действительным обновлением – количеством новых товаров в общем перечне (Н) и степенью (коэффициентом) обновления (Кн ), которая выражается через отношение количества новых товаров к общему количеству наименований товаров (или действительной широте).

Причинами, побуждающими изготовителя и продавца обновлять ассортимент, являются: замена товаров, морально устаревших, не пользующихся спросом; разработка новых товаров улучшенного качества с целью стимулирования их покупки потребителем; проектирование и разработка новых товаров, не имевших ранее аналогов; расширение ассортимента за счет увеличения полноты для создания конкурентных преимуществ организации.

Потребителями новых товаров являются так называемые «новаторы», потребности которых часто меняются из-за желания ощутить новизну объектов. Зачастую новые товары удовлетворяют не столько физиологические, сколько психологические и социальные потребности.

Так, покупатель новой престижной марки автомобиля, имеющий автомобиль старой модели, который пригоден для использования как транспортное средство, удовлетворяет в первую очередь социальные потребности.

Следует иметь ввиду, что постоянное и повышенное обновление ассортимента для изготовителя и продавца связано с определенными затратами и риском, что они могут не оправдаться, например, новый товар может не пользоваться спросом. Поэтому обновление ассортимента также должно быть рациональным.

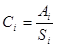
    Структура ассортимента (С) характеризуется удельной долей каждого вида и/или наименования товара в общем наборе.

Показатели структуры ассортимента могут иметь натуральное или денежное выражение и носят относительный характер. Они рассчитываются как отношение количества отдельных товаров к суммарному количеству всех товаров (S), входящих в ассортимент.

Сi – относительный показатель структуры отдельных товаров (i); Аi – количество отдельного (i-го) товара в натуральном или денежном выражении; Si – суммарное количество всех товаров, имеющихся в наличии в натуральном или денежном выражении.

Структура ассортимента, рассчитанная в натуральном выражении, отличается от структуры того же ассортимента в денежном выражении.

    Ассортиментный минимум (перечень) – минимально допустимое количество видов товаров повседневного спроса, определяющих профиль розничной торговой организации.

Раньше в условиях дефицита по этому показателю проверяли работу магазинов. По мере насыщения рынка товарами казалось, что надобность в этом показателе отпала. Однако при приватизации многие торговые предприятия изменили профиль или реальный ассортимент, исключив из него дешевые товары повседневного спроса. Для предотвращения таких негативных явлений вернулись к этому показателю, переименовав его в «ассортиментный перечень». Замена термина «минимум» на «перечень» не очень удачна в сочетании с прилагательным «ассортиментный» (ассортимент – набор или перечень товаров).

Ассортиментный перечень утверждается органами местного самоуправления. Он включает два-три вида товаров повседневного спроса из каждой группы, определяющих профиль торговой организации. Несоблюдение его считается нарушением правил торговли.

7. Рациональность ассортимента (Р) – способность набора товаров наиболее полно удовлетворять реально обоснованные потребности разных сегментов потребителей.

Коэффициент рациональности (Кр ) – средневзвешенное значение показателя рациональности с учетом реальных значений широты, полноты, устойчивости и новизны, помноженные на соответствующие коэффициенты весомости.

где вш, вп, ву, вн – коэффициенты весомости (степень значимости) для каждого показателя, причем данные коэффициенты в сумме равны 1.

Коэффициенты весомости определяют экспертным путем, они характеризуют удельную долю показателя при формировании потребительских предпочтений, влияющих на сбыт товаров. Сложность их расчета заключается в том, что не существует общих для всех или хоть бы для группы товаров коэффициентов весомости. Они индивидуальны для каждого товара.

С определенной степенью достоверности коэффициент рациональности может свидетельствовать о рациональном ассортименте.

8. Гармоничность ассортимента – свойство набора товаров разных групп, характеризующее степень их близости по обеспечению рационального товародвижения, реализации и/или использования.

Гармоничность обеспечивает качественную характеристику ассортимента и не измеряется количественно, вследствие чего это свойство носит описательный характер.

Стремление к гармоничности при формировании ассортимента выражается в специализации магазина или отдельных его секций. К преимуществам гармоничного ассортимента следует отнести наименьшие затраты изготовителя и продавца на доставку, хранение, реализацию, а для потребителя – на поиск и приобретение товаров, близких по назначению или дополняющих друг друга.

Характеристика ассортимента вафель.

Наименование Вид начинки Количество слоёв Срок хранения
Апельсиновые жировая 3 90сут
Ванильные жировая 3 90сут
Десертные жировая 3 90сут
Лимонные жировая 3 90сут
Ореховые типа пралине 3 90сут
Сампо жировая 3 90сут
Артек жировая 3 90сут
Сливочные жировая 3 90сут
Листовые отсутствует 1 30сут

1. Анализ ассортимента за 2007год.

При подсчете Кш, за базовый коэффициент принят ассортимент кондитерской фабрики «1 мая». Таким образом:

1. Кш = (7/36)*100% =19%

Устойчивым спросом пользуются вафли: Сливочные, Сампо, Артек, таким образом:

2. Ку = (3/7)*100 = 43%

3. Структура ассортимента:

Наименование Количество (кг) Количество (шт.)

Цена

(руб.)

Структура ассортимента в натуральном виде кг Структура ассортимента в денежном выражении %
Апельсиновые 0,05 2600 6,10 130 18,3
Сливочные 1 315 110 315 39,9
Ванильные 0,05 1800 6,10 90 12,7
Артек 0,2 360 21,70 72 9,1
Артек 0,05 1400 6,10 70 9
Десертные 0,2 260 21,70 52 6,5
Десертные 0,05 540 6,10 27 3,8
Итого: 7275 756 100

Исходя из расчётов можно сделать вывод о том, что наибольший удельный вес в натуральном выражении занимают вафли Апельсиновые, в денежном выражении вафли сливочные.

Показатель глубины ассортимента рассчитывается: Гл действительная/Гл базовую.

В базовую глубину входят вафли: Апельсиновые – 1кг, 200гр, 50гр; ванильные – 1кг, 200гр, 50гр; десертные – 1кг, 20гр, 50гр; лимонные – 1кг, 200гр, 50гр; листовые 1кг; ореховые – 1кг; ореховые в упаковке (фасованные) – 1кг; Сампо – 1кг, 200гр, 50гр; сливочные – 1кг; Артек – 1кг, 200гр, 50гр; ягодные - 1кг, 200гр, 50гр; снежинка – 1кг, 200гр, 50гр; ананасовые – 1кг, 200гр, 50гр.

4. Гл = (7/31)*100 = 23%

Ассортимент представлен не полностью, представлена лишь четвёртая часть ассортимента.

2. Характеристика ассортимента вафель (за 2008год)

1. Кш = (9/36)*100% = 25%

2. Устойчивым спросом пользуются вафли апельсиновые, ванильные, Артек.

Ку = (3/9)*100% = 33%

3. Структура ассортимента:

Наименование Количество (кг) Количество (шт)

Цена

(руб)

Структура ассортимента в натуральном виде кг Структура ассортимента в денежном выражении %
Апельсиновые 0,05 3000 6,10 150 12,6
Десертные 1 145 110 145 11
Артек 1 280 110 280 21,3
Сливочные 1 320 110 320 24,3
Ванильные 0,2 800 21.70 160 12
Артек 0,2 480 21,70 96 7,2
Артек 0,05 1020 6,10 51 4,3
Десертные 0.2 310 21.70 62 4,6
Ягодные 0.05 640 6.10 32 2,7
Итого: 6995 1296 100

Исходя из расчётов можно сделать вывод о том, что наибольший удельный вес в натуральном выражении занимают вафли Сливочные, вафли сливочные и Артек, в денежном выражении наибольший удельный вес имеют вафли Артек и Сливочные.

4. Кг = (9/31)*100%= 29%

5. Количество новых товаров – 1 (ягодные).

Кн = (1/9)*100% = 11%

Можно сделать вывод, что ассортимент представлен не полностью, хотя показатели широты и глубины незначительно возросли к 2009году. Наибольшим спросом пользуются вафли Апельсиновые (0,05кг) и вафли Артек (0,05кг). Также появились в продаже вафли ягодные.

В целом количество реализуемых вафель практически не изменилось.

2.3. Экспертиза качества вафель реализуемых в розничной торговой сети «Сампо».

Органолептическая оценка вафель.

При оценке качества обращают внимание на внешний вид вафель, учитывают состояние их поверхности, краёв однотипность по размеру и форме. Вафельные листы должны плотно соприкасаться с начинкой.

Определяя цвет, устанавливают равномерность окраски, наличие пятен, пригорелости.

При осмотре строения в изломе определяют пропечённость, пористость, распределение начинки и хрустящие свойства вафельных листов.

Качество начинки оценивают по однородности консистенции и пралене предусматривается легкотающая, нежная маслянистая консистенция.

Очень важно установить соответствие вкуса и запаха, выявить отклонения во вкусе и аромате, особенно хранившихся вафель. Наряду с органолептической оценкой, следует определить размер вафель: длину и толщину.

Органолептические показатели качества вафель на примере

Показатель Характеристика по ГОСТ Фактические данные
Внешний вид Поверхность с чётким рисунком, края с ровным обрезом без подтёков. Должны иметь одинаковый размер и правильную форму. Начинка не должна выступать за края. Лист полностью соприкасается с начинкой ( допускается до 4% в партии). Допускается неравномерное по толщине распределение глазури. Образец имеет одинаковый размер, ровные края, начинка не выступает за края, лист полностью соприкасается с начинкой, глазурь распределена равномерно.
Цвет От светло-жёлтого, до жёлтого. Светло - жёлтый
Строение в изломе Равномерно пропеченные листы с развитой пористостью, обладающие хрустящими свойствами. Равномерно пропеченные листы с развитой пористостью, обладающие хрустящими свойствами.
Качество начинки Однородной консистенции, без крупинок и комочков. Однородная, без крупинок и комочков.
Вкус и запах Свойственный, без постороннего привкуса и запаха. Свойственный, без посторонних привкусов и запахов.

Размер вафель должен быть в миллиметрах, не более: С начинкой, прямоугольных: ширина – 70, длина – 140.

Длина и ширина соответствуют стандарту.

Из физика–химических показателей рассчитана кислотность потенциометрическим методом: К = 31

Маркировка полная, чёткая. Указанно: наименование товара, изготовитель, адрес изготовителя и контактная информация, масса, состав, дата изготовления, сроки и условия хранения, ГОСТ.

2.4 Хранение вафель в розничной торговой сети «Сампо».

Вафли должны храниться в хорошо проветриваемых сухих, чистых, крытых складах, не имеющих посторонних запахов, не заражённых вредителями хлебных запасов, при температуре (18+/-3) градуса С и относительной влажности 65-70%, в течении одного месяца.

В магазине Сампо-12 (Мурманская 27), вафли хранятся в сухих, чистых коробках, в секции хлебобулочных изделий, без посторонних запахов. Строго, с установленными сроками.

Заключение

В ходе курсовой работы была изучена литература по исследуемой теме, определенны методы испытаний, дана краткая характеристика хлебозавода «Сампо», магазина «Сампо 12», определены источники поступления вафель в торговую сеть, проанализирован ассортимент, изучена организация контроля за качеством, рассмотрен вопрос по экспертизе и хранению вафель, определены факторы влияющие на формирование ассортимента и качества вафель в магазине «Сампо 12».

Вафли – ценные пищевые продукты питания, имеющие потребительскую значимость. Качество вафель ООО «Сампо», соответствует требованиям нормативных документов.

Органолептические свойства соответствуют. Соблюдаются условия хранения и маркировки товара.

Ассортимент вафель в магазине «Сампо 12» представлен узко, в количестве девять наименованмй. Это может быть обусловлено наличием коонкурентов, таких как гипермаркет «Лента», магазин «Звезда», Главный рынок, а также рядом расположенных магазинов.

Практическая значимость исследования состоит в том, что оно содержит разработки рекомендаций по экспертизе качества и хранению вафель в розничной торговой сети, которые могут быть использованы непосредственно на практике:

Предложения:

- расширить ассортимент

- заменить из ассортимента вафли «десертные», на новую позицию

- довести до производителя результаты исследования

- расширить деятельность торгового предприятия

Список литературы

1. ГОСТ 14031-68. Вафли. Технические условия.

2. ГОСТ 5904-82. Изделия кондитерские.

3. ГОСТ 908-79. Кислота лимонная пищевая. Технические условия.

4. ГОСТ 4495-87. Сахар-песок. Технические условия.

5. ГОСТ 13830-91. Соль поваренная пищевая. Общие технические условия.

6. ГОСТ 27168-88. Мука пшеничная хлебопекарная. Правила приёмки. Метод отбора проб.

7. Красовский П.А. Товар и его экспертиза. –М.: 1998. -28с.

8. Криштафович В.И. Товароведение и экспертиза продуктовых товаров. –М.: 2008. -247с.

9. Романов А.С. Экспертиза хлеба и хлебобулочных изделий. Качество и безопасность. 2005. -189с.

10. Чепурной И.П. Идентификация и фальсификация продовольственных товаров. –М.: 2008. -106с.

11. Шепелев А.Ф. Товароведение и экспертиза продовольственных товаров. –М.: 2004. -654с.

12. Товароведение, экспертиза, стандартизация/ под ред. Горфинкеля В.Я. 2006. -169с