Реферат: Роль загальних розумових дій і прийомів розумової діяльності у навчанні інформатики
|
Название: Роль загальних розумових дій і прийомів розумової діяльності у навчанні інформатики Раздел: Рефераты по педагогике Тип: реферат | ||||||||||||||||||||||||||||||||||||||||||||||||||||||||||||||||||||||||||||||||||||||||||||||||||||||||||||||||||||||||||||||||||||||||||||||||||||||||||||||||||||||||
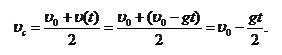
Реферат на тему: "Роль загальних розумових дій і прийомів розумової діяльності у навчанні інформатики " Розумові дії класифікуються за різними основами. У психолого-педагогічній літературі достатньо обґрунтоване положення про те, що в процесі навчання необхідно виділяти дві самостійні та взаємопов'язані задачі: опанування студентами змістом того чи іншого предмета і цілеспрямоване формування в них прийомів розумової діяльності. Прийоми розумової діяльності можна поділити на дві групи за ступенем використання в різних галузях людської діяльності: 1. Загальні розумові дії. 2. Специфічні розумові дії. Загальні розумові дії (операції) як механізми, необхідні для успішною протікання розумових дій, найбільш повно відображені у працях С.Л. Рубінштейна та психологів його школи. Такими діями вважають: аналіз, синтез, аналіз через синтез, порівняння, абстрагування, узагальнення, аналогія, класифікація. Навчальну діяльність не можна звести лише до одного з цих компонентів. Тільки у взаємопоєднанні вони забезпечують повноцінну навчальну діяльність. Студент добре усвідомлює лише те, що виступає як предмет і мета його діяльності. Тому діяльність студента передбачає виконання дій з навчальним матеріалом і перетворення матеріалу, що засвоюється, на пряму мету цих дій (розв'язування задач). Важливо, щоб з діяльності, що виконується, і її результатів студент здобував інформацію про істотні властивості реального світу. Активне формування навчальної діяльності приводить до суттєвих змін в особистості студента, в його свідомості, тобто сприяє становленню студента як суб'єкта діяльності (індивідуальності). Інтелектуальний розвиток відбувається в процесі засвоєння студентами знань і способів діяльності. Формування таких прийомів дає можливість студенту самостійно організовувати свою продуктивну навчальну діяльність, оцінювати її результати (що є необхідною умовою для саморегуляції навчальної діяльності), коригувати її у процесі виконання. У процесі навчання інформатики викладач може використовувати в поєднанні стихійний, непрямий і прямий шляхи формування прийомів розумової діяльності. Залежно від індивідуальних особливостей і ступеня підготовленості студентів, складності і обсягу матеріалу, що вивчається, в одних випадках викладачу необхідно добирати спеціальну систему вправ для вивчення і закріплення нового матеріалу, за допомогою якої і формуються прийоми діяльності, в інших випадках доцільно знайомити студентів відразу із структурним складом прийому, його сутністю, правилом-орієнтиром. Такий підхід породжує деякі перехідні варіанти. Одним з таких варіантів є методика формування прийомів розумової діяльності, розроблена О.Н. Кабановою-Медлер, за якою в центрі уваги на семінарі перебувають певні прийоми розумової діяльності, але структура цих прийомів студентам жорстко не задасться. Тому вони часто ставляться в умови самостійного виділення послідовності дій, яка задає прийом, або знаходження загального орієнтиру. Доцільно, щоб студенти підводилися до розуміння прийомів і оволодіння ними у процесі засвоєння нових знань. Розглянемо характеристику деяких прийомів загальних розумових дій студентів та можливості їх формування при вивченні інформатики. Аналіз і синтез. Аналіз — розбір, розчленування цілого на частини. Розв'язування будь-якої задачі починається з аналізу умови, виділення вихідних даних (аргументів) і результатів. Далі синтезується розв'язок, зіставляються аргументи і результати. Ці процеси чітко виражені при розв'язуванні задач на побудову різного роду алгоритмів і запису їх алгоритмічною мовою або подання за допомогою графічних схем. Аналізуючи умову задачі, вихідні дані, необхідно насамперед з'ясувати, які властивості вихідних даних, виявлені в процесі аналізу, синтезуватимуться у висновки, що приведуть до розв'язку. Будь-який алгоритм утворюється в результаті синтезу окремих кроків, на кожному з яких відбувається перетворення інформації за тими чи іншими правилами або аналізуються наявність певних властивостей окремих доз інформації. Синтез – поєднання, об'єднання частин у ціле. Аналіз і синтез у методиці називається міркуванням від того, що вимагається в умові, від того, що дано, до того, що треба знайти. Операції аналізу і синтезу мають специфіку під час навчання інформатики. Існують очевидні їх прояви: аналіз постановки задачі, синтез її розв'язку за допомогою програмних чи інших засобів. Метою аналізу може бути з'ясування причин помилки. При цьому процес виконання програми розчленовується на кроки, а процес зміни даних – на послідовність переривань і моторних запусків програми. Якщо пошук помилки виконується за допомогою комп'ютера, шляхом трасування програми, то це «грубий» аналіз розкладання: якщо помилка шукається за столом, це – уявне виділення частин чи етапів процесу відшукання розв'язку. Сутність пошуку помилки полягає в До виконання розумової дії аналізу ведуть, наприклад, завдання на виконання обчислень за різними формулами в середовищі електронних таблиць. Особливість методичного прийому полягає в тому, що студенти одержують в надрукованому вигляді таблиці, в яких містяться результати обчислень за деякими формулами для конкретно сформульованого завдання. Коли студенти при роботі в середовищі електронних таблиць починають самостійно вводити потрібні формули і одержувати конкретні результати, то саме аналіз вихідних даних, одержаних результатів та остаточних правильних результатів дозволяє адекватно оцінити свої дії та зробити правильні висновки. Під час навчання інформатики необхідно продовжувати формувати евристичні прийоми розумової діяльності і, в першу чергу, прийом «аналіз через синтез». Сутність його полягає в тому, що об'єкт в процесі мислення включається у все нові й нові зв'язки і завдяки цьому виступає в інших якостях; з об'єкта таким чином ніби вичерпується досі невідомий зміст, об'єкт немов би повертається щоразу іншою своєю стороною, в ньому виявляються нові й нові властивості. Приклад 1. Скласти схему розв'язування рівняння соs(bх) = a. Аналізуючи умову задачі і враховуючи властивості функції y = соs(х), студенти повинні дійти висновку, що насамперед необхідно перевірити виконання умови |а|≤1. Якщо |a|>1, то рівняння не має розв'язків. Якщо |a|<1, то необхідно проаналізувати значення b. Якщо b≠0, то слід зробити висновок, що рівняння має розв'язок x = 1/b(± аrcсоs а)+2/b*π. Якщо ж b=0, то рівняння має безліч розв'язків при а = 1 і не має жодного розв'язку при а≠1. Приклад 2. Побудувати математичну модель руху тіла, кинутого вертикально вгору. Аналізуючи умову задачі та враховуючи, що математична модель явища являє собою рівняння (чи систему рівнянь), яке описує стан досліджуваного явища в будь-який момент часу та закономірності, яким задовольняє його перебіг, доходимо висновку: для побудови математичної моделі руху тіла в розглядуваному випадку необхідно проаналізувати, як змінюється висота у, на якій знаходиться тіло, із зміною часу t. Аналізуючи фактори, які впливають на зміну координати у, робимо висновок, що висота, на якій знаходиться тіло в певний час i, залежить від того, на якій висоті у0 воно знаходилось у момент кидання, тобто в початковий момент часу t = 0, а також від того, на яку величину змінилася ця висота за час і. Щоб визначити шлях, пройдений тілом за час t, необхідно з'ясувати, як змінюється швидкість руху тіла із зміною часу t. Нехтуючи опором повітря, вважатимемо, що швидкість зменшується лише під впливом сил всесвітнього тяжіння, тобто за кожну одиницю часу на величину g, де g — прискорення вільного падіння. Таким чином, швидкість тіла в будь-який момент матиме значення υ(t)=υ0 - gt, де υ0 – швидкість тіла в момент кидання. Шлях, пройдений тілом за час t при рівноприскореному русі, дорівнює середній швидкості руху тіла, помноженій на час руху тіла. Середня швидкість руху тіла в нашому прикладі дорівнює:
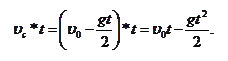
Отже, за час і тіло пройде шлях
Синтезуючи результат наведеного аналізу, доходимо висновку, що в будь-який момент часу і висота, на якій знаходиться тіло, визначається за формулою: Якщо рух рівноприскорений, наведений вище аналіз умов задачі та вихідних даних виявляється достатнім для досягнення поставленої мети. Якби розглядався нерівноприскорений рух, аналіз був би складнішим, оскільки довелося б досліджувати залежність відстані, пройденої за даний проміжок часу, від змінної швидкості. Синтез результатів такого ускладненого аналізу приводить до інших висновків. Порівняння. У психолого-педагогічних дослідженнях розроблено правило-оріентир прийому порівняння: 1) з'ясувати мету порівняння; 2) виділити основні ознаки порівняння; 3) знайти спільне і відмінне у порівнюваних явищах чи об'єктах. Порівняння — основа кожної навчальної діяльності, яка базується на співставленні і протиставлянні властивостей об'єктів чи явищ. Порівняння використовується, наприклад, при співставленні схожих вказівок: копіювання і розмноження даних в електронних таблицях; вказівок циклу для і поки, описаних навчальною алгоритмічною мовою; фільтрів у середовищі електронних таблиць і баз даних; форм в текстовому редакторі, електронних таблицях та базах даних; правил листування звичайною та електронною поштою; прийомів пошуку файлів у операційній системі Windows, текстовому редакторі Word, електронних таблицях Excel. Порівняння — це обов'язковий етап засвоєння означення поняття, на основі якого виділяють суттєві та несуттєві ознаки поняття. Саме за допомогою порівняння можна вводити нові поняття, при цьому вказувати слід спочатку на схожість, а потім на відмінність.
Приклад 3. Перш ніж взагалі говорити про різні вказівки навчальної алгоритмічної мови, можна порівняти три типи алгоритмів: лінійний, з розгалуженням і циклічний. Будемо називати лінійним алгоритм, в якому кожна вказівка виконується лише раз, циклічним — той, в якому виконання деякої групи вказівок повторюється кілька разів, і з розгалуженням — такий, в якому залежно від того, задовольняється чи ні деяка умова, з кількох вказівок виконується тільки одна. Тут відображена сутність їх відмінності. Поки відсутнє поняття умови циклу або вибору (воно з'явиться пізніше), відмінності таких вказівок з'ясовуються при відповіді на питання: скільки разів повторюється одна група вказівок або яка з кількох вказівок виконується? Приклад 4. Потрібно порівняти графічні схеми кількох алгоритмів (лінійних, з розгалуженням, циклічних) чисельних і не чисельних. Мета порівняння: з'ясувати загальні правила побудови графічних схем алгоритмів. Ознаки порівнюваних об'єктів: використання тих або інших елементів при конструюванні графічної схеми алгоритму, вихідні дані алгоритму, послідовність виконання вказівок алгоритму. Спільні ознаки: 1) графічна схема кожного алгоритму починається входом і виходом, які мають вигляд стрілки; 2) функціональні (арифметичні) елементи на схемах зображають у вигляді прямокутників; 3) якщо алгоритм містить у собі перевірку деякої умови, то відповідний елемент зображають у вигляді ромба, з якого виходять дві стрілки з написами «так» і «ні» або позначками «+» і «-», які відповідно вказують послідовність дій при виконанні або невиконанні умови, що перевіряється; 4) до кожного елемента схеми входить стрілка, що вказує на послідовність виконання вказівок алгоритму; 5) з кожного елемента. за винятком логічного, який вказує на необхідність перевірки умови та розгалуження, виходить одна стрілка; 6) наприкінці кожного розгалуження окремі напрями виконання дій об'єднуються в єдине закінчення вказівки розгалуження. Відмінності: узагальнені графічні схеми різних типів алгоритмів (лінійних, з розгалуженням, циклічних) мають різний вигляд і різну структуру; в чисельних і нечисельних алгоритмах опрацьовуються різні типи вихідної інформації, а в результаті виконання алгоритмів одержують різні типи підсумкової інформації. Висновок: графічні схеми різних типів алгоритмів мають спільні ознаки і оформляються за одними й тими самими правилами, незалежно від логічної структури алгоритму і типу даних, що опрацьовуються; графічні схеми різних типів алгоритмів мають різну структуру залежно від логічної структури алгоритмів. Приклад 5. Порівняємо об'єкти системи управління базами даних МS Ассеss таблиці і форми, щоб визначити призначення кожного з таких об'єктів та з'ясувати шляхи використання кожного в середовищі системи управління базами даних. Спільні ознаки: таблиці і форми, призначені для введення, редагування та перегляду даних, що зберігаються в середовищі БД. Інколи вони за зовнішнім виглядом можуть не відрізнятися один від одного, якщо при створенні форми обирався табличний тип. Вони зв'язані між собою, однак у таких зв'язках таблиця первинна, а форма від неї похідна. Хоча на практиці форма може існувати відокремлено, але тоді до неї не можна застосовувати багато важливих вказівок. У таблицях та формах дозволяється опрацьовувати дані: впорядковувати лише за однією ознакою; знаходити дані за однією ознакою. Однак у таблицях, на відміну від форм, можна використовувати фільтри, змінювати тип даних, ключові поля. Приклад 6. Проведемо порівняльну характеристику двох послуг Інтернет: електронної пошти і телеконференцій. Обидві створені для спілкування та передавання електронних повідомлень, підтримуються, як правило, однією і тією самою клієнтською програмою. І при електронному листуванні, і при роботі з телеконференціями допустима однакова операція – дозволяється дати відповідь конкретному адресату. Решта дій, які користувачеві дозволяється виконати з використанням цих двох сервісів, відрізняються. Відправити електронного листа можна або одному адресатові, або кільком, якщо відправляти копії вихідних повідомлень чи відправити повідомлення в групу або список розсилання, тобто сам автор листа визначає, хто буде ознайомлений з інформацією, що міститься в повідомленні, Відправлення повідомлення до телеконференції передбачає, що із змістом цього повідомлення знайомитиметься багато людей — усі, хто має доступ до цієї конференції та цікавиться її змістом. Класифікація. Класифікація — операція поділу множини на підмножини, які не перетинаються. Широко використовується при вивченні понять курсу інформатики. Класифікація як розумова операція зустрічається при засвоєнні студентом достатнього обсягу матеріалу і пов'язана із зміцненням знань.
Прикладом класифікації можуть стати схема з характеристиками дисків, характеристики операційних систем, класифікація мов програмування тощо. Узагальнення і абстрагування. Схема емпіричного узагальнення полягає в порівнянні об'єктів, виборі спільних рис (абстрагуванні), переліку основних властивостей (узагальненні). Прийом цього виду узагальнення можна описати у вигляді такого правила-орієнтира: 1) з'ясувати мету порівняння; 2) знайти відмінності узагальнюваних об'єктів; 3) виділити суттєві спільні ознаки узагальнюваних об'єктів відповідно до поставленої мети; 4) сформулювати висновки. Проілюструємо роботу за даною схемою на прикладі вивчення теми «Алгоритм. Властивості алгоритмів». Прийом індуктивного узагальнення «від часткового до загального» доцільно застосовувати, коли студенти не знають загальних істотних ознак досліджуваного явища і виділяють їх самостійно. Студентам пропонується розглянути, наприклад, такі послідовності дій: алгоритм обкладання стіни кахлем (подано в словесній формі), алгоритм обчислення площі трикутника за формулою Герона (подано в графічній формі), алгоритм визначення загального опору ділянки електричного кола (подано в табличній формі), алгоритм відправлення електронного повідомлення поштою (подано в словесній формі). Важливо, щоб алгоритми були різних типів і подані в різній формі. Мета узагальнення: 1. Знайти спільні риси в поданих наборах дій (вказівок, операцій) і сформулювати їх властивості. Виділити суттєві ознаки даних наборів операцій і сформулювати їх. 2. Вказати відмінності поданих наборів дій: форма запису (словесна, графічна, таблична); об'єкти, над якими виконуються дії; характер дій; порядок виконання дій. 3. Виділити спільні суттєві ознаки розглядуваних наборів дій: 1) кожна дія будь-якого з даних наборів має закінчений характер і повинна бути виконана за певний час; 2) після виконання кожної дії визначено, яка дія виконуватиметься на наступному кроці; 3) кожен набір містить скінчену кількість дій (вказівок); 4) дані набори дій застосовні до будь-яких варіантів вихідних даних і до розв'язування будь-якої задачі розглядуваного типу; 5) кожна вказівка алгоритму доступна (зрозуміла) виконавцеві, тобто може бути ним виконана; 6) вказані набори дій при конкретних варіантах вихідних даних приводять до результату за скінченну кількість кроків. 4. Сформулювати поняття алгоритму і його властивості на основі аналізу, проведеного за наведеною вище схемою. 5. На практиці студенти часто не можуть з'ясувати й обґрунтувати, що саме в досліджуваному типі явищ є суттєво загальним, виділити всі загальні ознаки, тому викладач повинен ретельно добирати приклади, чітко формулювати кожен крок алгоритму, ставити запитання, які допоможуть розв'язати ці завдання. Перехід «від загального до часткового» застосовується в узагальненні при розв'язуванні задач на розпізнавання окремих ознак явиш. Студенти знають, які саме істотні ознаки необхідно виявити, тому із сукупності заданих об'єктів виділяють ті, які мають властивості, зазначені у змісті поняття, що формується. Цей прийом можна описати такою послідовністю дій: 1) з'ясувати мету узагальнення; 2) пригадати і сформулювати істотні ознаки розглядуваного явища (дати формулювання поняття); 3) зіставити задані об'єкти за даними ознаками (перевірити наявність суттєвих ознак у об'єктів); 4) виділити ті об'єкти, які мають дані ознаки; 5) сформулювати висновок (узагальнити). Приклад 8. При формуванні поняття алгоритму з розгалуженнями семінар «Вказівка розгалуження» можна побудувати так. Після проведення етапу мотивації навчальної діяльності студентів викладач дає означення вказівки розгалуження, пояснює, як таку вказівку зображають на графічних схемах алгоритмів і як описують алгоритмічною мовою, як слід розуміти і виконувати вказівку розгалуження. Далі пропонує студентам порівняти деякі алгоритми, подані в різних формах, і виділити алгоритми з розгалуженнями. Для порівняння можна запропонувати: 1) алгоритм правопису префіксів пре-, при-; 2) алгоритм розв'язування нерівності
3) алгоритм визначення кислотності розчину; 4) алгоритм приготування кави; 5) алгоритм увімкнення електроприладу, що має перемикач напруги, в мережу з напругою 220 В; 6) алгоритм обчислення найбільшого спільного дільника двох натуральних чисел. Нехай потрібно з'ясувати, чи є вказані алгоритми алгоритмами з розгалуженнями. Мета аналізу визначена в поставленому запитанні. Далі необхідно; пригадати основні ознаки алгоритму з розгалуженнями; зіставити подані алгоритми і виділити ті. в яких є вказівки розгалуження; сформулювати висновок, які саме алгоритми є алгоритмами з розгалуженнями. Потім викладач пропонує студентам розглянути несуттєві відносно поставленої мети узагальнення ознаки алгоритмів з розгалуженнями і зробити відповідний висновок про суттєві і несуттєві ознаки алгоритмів з розгалуженнями. Абстрагування — практично невіддільний від узагальнення прийом. В емпіричному мисленні йому передують порівняння та елементарний аналіз. Аналітичний характер абстрагування полягає в тому, що виділяється суттєве відносно поставленої мети (для розглядуваних Приклад 9. Розглянемо спосіб узагальнення «під часткового до загального» на прикладі вивчення теми «Величини». Послідовність дій при використанні цього прийому така: 1) зіставити задані об'єкти; 2) виділити суттєві спільні для всіх об'єктів ознаки і назвати їх; 3) об'єднати об'єкти за цими ознаками. Студентам пропонується розглянути дві таблиці (табл. 4.1 і 4.2), в яких кожна величина має ім'я і конкретне значення: Таблиця 4.1 Таблиця 4.2
Зіставивши таблиці, студенти повинні виділити в кожній спільні ознаки (величини набувають певних числових чи нечислових значень) і зробити висновок: величини можуть бути числового і нечислового типу. Далі викладач пропонує студентам проаналізувати значення величин, поданих у лівій таблиці, поділити їх на окремі групи і зробити висновки. Під керівництвом викладача студенти самі визначають типи числових величин — цілі, натуральні, дійсні. Аналогічно, аналізуючи значення величин, поданих у правій таблиці, вводиться поняття величин нечислового типу — літерних. Викладач повідомляє, що для величин, значеннями яких є таблиці, графіки тощо, пізніше будуть введені відповідні типи величин. У наведеному прикладі використано прийом абстрагування — виділялись суттєві ознаки поданих величин відносно поставленого перед студентами запитання. За цими спільними суттєвими ознаками об'єкти об'єднували в певні групи. Так здійснювалося узагальнення, абстрагування від несуттєвих ознак. Проте при визначенні типів величин важливо звернути увагу студентів і на несуттєві ознаки — ім'я величини, конкретне значення, якого вона набуває, тощо. Отже, будь-який процес узагальнення містить у собі аналіз явищ, порівняння, абстрагування від несуттєвого. У психолого-педагогічній літературі виділяють різні узагальнення, залежно від того, яке абстрагування входить до прийому узагальнення. Під час вивчення інформатики доцільно використати прийом узагальнення, який базується на абстрагуванні з використанням протиставлення, коли виділяються і суттєві, і несуттєві ознаки, після чого вони протиставляються. Наукове узагальнення включає не взагалі властивості, спільні або схожі для певних явищ, а властивості, істотні для них. У логіці під істотними розуміють такі незалежні ознаки об'єкта, кожна з яких є необхідною, а всі разом достатніми для того, щоб об'єкт належав до даного поняття. Під істотними розуміють такі ознаки, які не можна відокремити від певного класу предметів, вони однозначно відрізняють кожний предмет даного класу від предметів інших класів. Абстрагування — дія спрямована на виділення в предметах і явищах суттєвого і відкидання несуттєвого. Виділяють два типи абстрагування: конкретне (виділення суттєвих і несуттєвих ознак базується на порівнянні об'єктів з наступним висновком, що об'єднує всі суттєві ознаки одним реченням) та поняттєве (виділення об'єкта спирається на використання понять). Перший тип абстрагування розглянемо па прикладі формування поняття табличної величини. Приклад 10. Порівнюючи задані приклади таблиць, абстрагуючись від конкретного їх вмісту, знайти спільні суттєві ознаки таблиць, для яких потім можна ввести правила опису будь-якою мовою програмування. 1. Цифри
Тут Цифри — позначення (ім'я) таблиці-рядка з 10-ма клітинками з номерами 1,2,...,10, до кожної з яких занесено по одній цифрі. Параметри
Тут Параметри — ім'я таблиці-рядка з 6-ма клітинками з номерами 1,2,3,4,5. До клітинок таблиці занесені деякі дійсні числа. 2. Країни
Тут Країни — ім'я таблиці-стовпчика з 8-ма клітинками з номерами 1,2,...,8. До клітинок таблиці занесені назви деяких країн.
Тут Голосні — ім'я таблиці-рядка з 10-ма клітинками з номерами 1,2,...,10. До клітинок таблиці занесені деякі літери. Комісія
Тут Комісія — ім'я таблиці-стовпчика з 30-ма клітинками з номерами 1,2,...,30. До клітинок таблиці занесені деякі прізвища. 6. Річки
Тут Річки — ім'я таблиці-стовпчика з 5-ма клітинками з номерами 1,2,...5. До клітинок таблиці занесені назви деяких річок. Суттєві ознаки: наявність назви таблиці, кількість і порядок розташування клітинок в таблиці — визначає розмірність таблиці, структура таблиці — кілька рядків чи стовпчиків, можливість нумерації елементів таблиці, однаковий тип вмісту клітинок таблиці. Несуттєві ознаки: назва таблиці, кількість клітинок у таблиці, номер першої та останньої клітинок, тип елементів таблиці, розміри клітинок таблиці, розміри таблиці, подання таблиці (у вигляді стовпчика чи рядка або кількох стовпчиків чи рядків). Другий тип абстрагування проілюструємо на прикладі виділення суттєвих і несуттєвих ознак поняття вказівки про надання значення. Приклад 11. З'ясувати, які з наведених записів є правильно записані вказівки про надання значення:
Передусім необхідно виявити суттєві і несуттєві ознаки вказівки про надання значення. Суттєві ознаки: наявність знака:=; ліворуч від знака:= правильно записаної вказівки про надання значення подано ім'я деякої змінної величини; праворуч від знака:= правильно записаної вказівки про надання значення записується деякий вираз (зокрема константа), який визначає правило одержання одного конкретного значення певного типу; тип імені, вказаного ліворуч від знака:=, повинен збігатися з типом значення, одержуваного за правилом, вказаним праворуч від знака:=. Несуттєві ознаки: типи величин; кількість символів у тому чи іншому імені; складність виразу, записаного праворуч від знака:= вказівки про надання значення. Аналогія. Під час засвоєння студентами нових знань, умінь і навичок та їх застосуванні значну роль відіграє використання аналогії. Наприклад, порівняння записів окремих вказівок і алгоритмів навчальною алгоритмічною мовою і конкретною мовою програмування дає змогу з'ясувати спільне в записах вказівок навчальною алгоритмічною мовою і конкретними мовами програмування, такими як Бейсік, Паскаль і т.д.„ а також виявити відмінності у записах основних алгоритмічних конструкцій — вказівок про надання значення, розгалуження, повторення, посилання на допоміжні алгоритми та ін. Таке порівняння сприяє з'ясуванню спільних рис і відмінностей різних алгоритмічних мов, глибшому усвідомленню їх суттєвих і несуттєвих особливостей, переваг і недоліків кожної з них, правил описування алгоритмів конкретними мовами програмування, глибокому їх запам'ятовуванню і запобіганню помилок. Використання аналогії потребує і вивчення основ роботи з прикладним програмним забезпеченням: текстовим і графічним редакторами, електронними таблицями, базами даних та іншими. Для них аналогічними є правила збереження файлів, однак формати збереження різні; правила пошуку файлів за різними ознаками окремо або в їх сукупності; правила встановлення параметрів сторінки та друкування файлів; правила використання буфера обміну та можливості використання OLEтехнології тощо. Використання аналогії надає викладачу можливість вирішувати методичні завдання під час навчання теми «Пошук інформації в Інтернет за допомогою пошукових машин», оскільки принципи організації простого пошуку інформації у глобальній мережі повністю аналогічні пошуку потрібної інформації, наприклад, у довідниковій системі операційної системи Windows. |


